|
Грузовые
пункты и род груза
|
Род
вагона
|
Выгрузка
(прибытие), ваг.
|
Погрузка
(отправление), ваг.
|
Недостаток
порожних вагонов(-)
|
Избыток
порожних вагонов (+)
|
|
Повагонные
отправки
|
кр
|
17
|
22
|
5
|
-
|
|
Тяжеловесные
|
пв
|
15
|
3
|
-
|
12
|
|
Соль
|
пв
|
-
|
13
|
13(+1)
|
-
|
|
Кр.
тоннажные контейнеры
|
ф.пл
|
12
|
12
|
-
|
-
|
|
Строит.
Матер.
|
кр
|
-
|
3
|
3
|
-
|
|
щебень
|
пв
|
7
|
-
|
-
|
7(-1)
|
|
Итого
по МОП
|
кр
|
17
|
25
|
8
|
-
|
|
пв
|
22
|
16
|
-
|
6
|
|
ф.пл
|
12
|
12
|
-
|
-
|
|
ПНП
нефтяные
|
ц
|
12
|
-
|
-
|
12
|
|
Бензин
|
ц
|
-
|
5
|
5
|
-
|
|
нефть
продукты
|
ц
|
-
|
7
|
7
|
-
|
|
Итого
по ПНП
|
ц
|
12
|
12
|
-
|
-
|
|
Всего
|
-
|
63
|
65
|
8
|
6
|
Примечание: Кр - крытые вагоны; пв - полувагоны.
ф.пл (фитинговой платформы); ц - цистерны.
5. Механизация перегрузки зерна
Выгрузка зерна из судов производится по прямому
варианту портальными кранами, оборудованными грейферами, через специальные
бункеры на Прикордонных путях в вагоны-хопперы, которые перед погрузкой должны
быть осмотрены в техническом и коммерческом отношении с представителями порта и
государственной хлебной инспекции (ГХИ) на предмет годности под погрузку.
Вагоны к местам погрузки подаются локомотивом
станции, перестановка их под бункеры осуществляются автопогрузчиком.
Перед перестановкой вагоны освобождаются от
загрузочных рукавов, рабочие закрывают люки и двери вагонов, сходят с вагонов и
бункеров, убирают приставные лестницы, отходят от путей и опор бункеров.
Уборка с мест погрузки и взвешивание вагонов
производится маневровым локомотивом станции по указанию станционного диспетчера
станции Порт Туркменбаши.
Взвешивание как порожних, так и груженых вагонов
с зерном производится с расцепкой каждого вагона на 150-ти тонных весах
приемосдатчиком станции в присутствии тальмана Порта и представителя
грузовладельца.
Данные по каждому взвешенному порожнему вагону
записываются приемосдатчиком станции в книге перевеса и передаются тальманом
Порта в вагонную группу и на склад порта.
После окончания погрузки производится
взвешивание вагонов, результаты взвешивания записываются в книге перевески
станции и склада, заверяются подписями приемосдатчика и тальмана и передаются в
вагонную группу порта и в ГХИ для оформления сертификата качества.
В книге взвешивания отмечается время окончания
взвешивания. Время оформления документов и сдачи их в вагонную группу порта
вместе с карантинным сертификатом и сертификатом качества ГХИ не должно
превышать 1 час. В случае не предоставления Портом документов в течение 1 часа
после взвешивания вагонов оформляется акт общей формы в соответствии, с которым
взимается плата за пользование вагонами парка до предоставления документов.
Акт общей формы подписывается представителем
вагонной группы Порта.
В случае подачи вагонов с насыпными и
навалочными грузами на причал для дозировки выписывается новая памятка приемосдатчика.
Техник по импорту проверяет правильность
оформления накладной и приложений, выписывает вагонный лист и передает
товарному кассиру для последующего оформления.
Наложение запорно-пломбировочных устройств на
люки после окончания погрузки производится Портом. Правильность и количество
наложенных запорно-пломбировочных устройств и нанесение меловых разметок
удостоверяется подписью приемосдатчика в уведомлении Порта об окончании
погрузки.
Полностью оформленные документы товарный кассир
записывает в книгу сдачи документов и сдает под расписку оператору станционного
технологического центра.
Механизация перегрузки зерна представлена на
плакате
.1 Нормирование сроков на грузовые операции с
вагонами
В расчетные сроки выгрузки-погрузки включают
затраты времени на операции:
подготовительные (снятие пломб, закруток))
заключительные (закрытие дверей, установка
закруток, пломб)
Расчет норм времени на грузовые операции для
групп вагонов, поданных под выгрузку или погрузку, производится по формуле:
Tп (в) = ( m*t ) / Пмаш
где m - количество вагонов в подаче (10 ваг).-
норма времени на выгрузку-погрузку одного вагона механизированным способом. (20
мин.)
Пмаш - количество механизмов для
обеспечения погрузки-выгрузки вагонов.
Тп(в) = ( 10*20 ) / 1 = 200 мин.
.2 Расчет грузопотоков
Анализ переработки груза начинается с
определения величины грузопотоков (количества груза, перегружаемого по каждому
этапу). Сначала определяется величина грузопотоков по прибытию и отправлению
груза, затем принимаем расчетный суточный и годовой грузопоток.- число подач в
течение суток (8 подач).- число вагонов в подаче ( 10 ваг)
Находим массу вагона:= 65 * 1= 65т
= q * n * n
= 65 * 8 * 10 = 5200 т/сут= - (Q*365) / К
где 365 - количество дней в году
К - коэффициент неравномерности (1,1)- годовой
грузооборот= (5200*365) / 1,1 = 1725454 т/год
5.3 Определение
потребной часовой производительности перегрузочных устройств
При выборе и последующем расчете перегрузочных
устройств особенно важным является правильное установление основных исходных
данных, к числу которых, прежде всего, относится их потребная часовая = 233,63
* 1,1 = 257 т/час
.4 Расчет фактической производительности и
определения параметров перегрузочного оборудования
Фактическая часовая производительность
перегрузочной машины циклического действия определяется по формуле:
= ( t / T ) * q
где t - время предусмотренных перерывов в работе
в течении часа; t=300 с- средняя масса единовременно перемещаемого груза; q = 8
т
Т - продолжительность одного цикла, с
Т = f (t +t +t +t +t +t +t)
где t - время на захват груза t = 15 с- время
подъема груза на требуемую высоту- время поворота крана- время на изменение
вылета стрелы; l = 5 м- время на опускание груза; h = 2.5 м- время высыпания
груза t = 1 с- время на перемещение одного вагона t = 20 с
= h / V
где h - высота подъема груза h = 3,8 м- скорость
подъема, опускания груза V = 1 м/с= 3,8 / 1= 3.8 c
= m / V
где m - количество оборотов- скорость поворота
крана= 1 /0.02= 50 c
= l / V
где l - расстояние изменения вылета- скорость
изменения вылета= 5 / 0.73 = 6.8 c
= l / V
где l - расстояние, на которое требуется
опустить грузскорость передвижения= 1,4 / 0,55 = 2.5 c
Т = 0,8* (15+3,8+50+6,8+2,5+1+20) = 79.28
Q = ( 300/79.28 ) * 8 = 332,99 т/час
6. АСУ припортовой станции
.1 Назначение системы
Назначение системы - комплексная автоматизация
технологических цепочек операций с объектами перевозочного процесса с созданием
полного набора АРМов для работников, принимающих участие в организации
перевозочного процесса и его документального оформления на припортовой станции.
Реализация требований по припортовой станции очередная ступень к полной
автоматизации линейного уровня железнодорожного транспорта.
Создание достоверной динамической модели
технологического процесса подразделений линейного уровня, точно отражающую
технологическую ситуацию в каждый конкретный момент времени. Создание
современного интерфейса работы пользователю с минимальным вводом показателей,
максимум показателей из динамической модели. Исключение в технологическом
процессе повторного ввод информации.
На базе этой модели ведение необходимой
документации, создание мощной справочной системы, развитие элементов
управляющей системы.
Автоматизация технологического процесса
подразделений линейного уровня является основой для создания достоверных
информационных систем верхнего уровня.
Доступ диспетчерского аппарата дороги к
оперативной информации на припортовых станциях, оборудованных АСУ и возможность
влияния на перевозочный процесс позволит своевременно обеспечивать станцию
вагонами под погрузку, что в свою очередь даст возможность без задержек
осуществлять прием грузов к перевозке и обеспечить своевременную доставку груза
к потребителю. Это позволит в значительной степени сделать железнодорожный
транспорт привлекательным для перевозок. А следствие этого - привлечение
большего числа клиентов.
6.2 Особенности работы портовых станций
· Портовая
станция, как объект автоматизации, представляет собой не самостоятельную
единицу хозяйственной деятельности, а комплексную систему взаимодействия с
таким крупным клиентом, как порт.
· Порт
является сложной динамической системой хозяйственной деятельности со своими
многочисленными парками, со своим путевым развитием, причалами, складами,
средствами механизации и т.д. С точки зрения взаимодействия с железной дорогой,
порт может выступать как получатель груза, но чаще, в современных экономических
условиях, порт - это целая сеть экспедиторских организаций, которые являются
грузополучателями.
· Единая
технология работы станции и порта должна предусматривать оптимальные
технологические схемы обработки судов и вагонов, например, перевалку грузов по
прямому варианту "судно-вагон" и обратно; маршрутизацию погрузки
грузов; организацию единых комплексных смен; порядок взаимной информации о
подходе судов и вагонов, о ходе выполнения технических, грузовых и коммерческих
операций с вагонами.
· Особое
значение в системе «железная дорога - порт» имеет согласованность задач
планирования, для которых характерна достаточно высокая динамика. Кроме
календарного плана-расписания погрузки, порт предоставляет суточную заявку на
подачу вагонов, где указывает пути подачи, число и род вагонов, наименование
грузов, вариант перегрузки грузов и наименование судов, обрабатываемых по
«прямому» варианту. Так как заявки от порта связаны с выполнением расписания
движения судов, то они могут корректироваться в течение суток.
· Технология
работы станций и портов включает особый документооборот, значительный объем
которого составляет документооборот с таможней.
· Большие
объемы информации по одновременному приему груза к перевозке с порта требуют
значительные людские и временные ресурсы;
· Сформировать
подачу вагонов в нужный район порта и причал можно только на основе анализа
данных полных перевозочных документов (дополнительно, например, учитываются
станция отправления и отправитель, экспедитор, масса, длина и положение
грузоместа и т.п.). При отсутствии этих сведений появляется необходимость
повторной переработки вагонов и очень часто это порождает меловую разметку, что
ведет к снижению перерабатывающей способности станции.
· Работа
станции при порте находится в сильной зависимости от работы станций,
формирующих вагонопоток на нее. Формирование составов прямым назначением в
конкретный район порта может значительно разгрузить портовую станцию и
уменьшить простои вагонов до подачи их в порт, тем самым, увеличив количество
погруженных/выгруженных вагонов.
.3 Основные функции системы
· Совершенствование
информации о подходе и наличии поездов, вагонов, контейнеров и грузов;
· Увеличение
пропускной способности транспортной системы «Железные дороги - порты»;
· Рациональное
взаимодействие в работе станций и порта;
· Оптимизация
процессов формирования передач вагонов и контейнеров в порт;
· Информационное
обеспечение единого технологического процесса на участке станций, соседствующих
с портом;
· Концентрация
информации от отдельных подразделений и станций на уровне района;
· Сокращение
объемов маневровой работы;
· Снижение
простоя вагонов под накоплением судовых партий.
· Автоматизация
технологии работы с таможенными документами;
· Электронный
обмен перевозочными документами между портом и железнодорожной станцией.
Дополнительные задачи нового комплекса в первую
очередь связаны с информатизацией технологических операций, которые решаются
работниками массовых профессий, в соответствии с установленной технологией
организации перевозочного процесса. К ним относятся работники технической
конторы, товарной конторы, приемосдатчики станции и порта. На базе
автоматизации технологических операций появляется возможность решать задачи
системы управления припортовой станции, такие как планирование, оперативная
работа, анализ, контроль, поиск вагонов, контейнеров, клиентуры и.т.д.
Информатизация технологических операций
перевозочного процесса должна охватить все подразделения припортовой станции,
связанные с грузовой и коммерческой работой: оформление прибытия, отправления
поездов, документальная подготовка расформирования поездов, оформление
погрузки, выгрузки, подачи, уборки вагонов, перечисление в ремонт, резерв
и.т.д.
Требования к комплексам задач по автоматизации
рабочих мест опорной товарной конторы и приемосдатчика, по ведению баз
согласованных заявок и конвенционных запрещений, по оформлению коммерческих
операций приема груза к перевозке, прибытия его и раскредитования перевозочных
документов и, связанных с ними, задач справочной системы и задач оформления
сообщений в системы верхнего уровня подробно описаны в документе “Технические
требования к доработке базовых АСУ под потребности припортовой станции"..
АСУ припортовой станции решает задачи по:
·
предварительному
информированию,
·
расформированию
и формированию составов и подач,
·
планированию,
·
формированию
технологических документов,
·
работе
на крупном участке станций.
Технология работы станции в условиях
функционирования АСУ ОЦ в графическом виде представлена на плакате №8.
.3.1 Предварительное информирование
· Задачей
данного комплекса является формирование полной модели подхода поездов, порожних
вагонов, контейнеров, местного и экспортного груза.
· Предварительная
информация вместе с данными о количестве и составе поездов, которые должны
прибыть с каждого назначения должна содержать полный объем сведений, имеющихся
в основных перевозочных документах. С этой целью организуется передача на
портовую станцию сообщений 410 установленной структуры со станций отправления,
оборудованных АРМ ТВК, а также прием и обработка этих сообщений на станции
перевалки.
· Припортовая
станция обеспечивается информацией из перевозочных документов сразу после их
оформления на месте погрузки.
· Существуют
объективные причины, по которым первичные сведения об отправке груза не могут
быть получены (или могут быть не получены) непосредственно со станции погрузки.
При реализации приема из дорожной системы АСОУП и обработки сообщения
"дальнего информирования" с. 2977 по станциям, не входящим в
"зону влияния" системы, появляется возможность не только иметь полные
сведения об отправке, но и отследить продвижение по сети дорог СНГ грузов
(вагонов) в адрес порта.
6.3.2 Расформирование и формирование
· Основная
деятельность припортовой станции - оперативно формировать группы вагонов,
контейнеров для загрузки судов в соответствии с заявками порта, а также
оперативно подавать вагоны, контейнера для приема груза при разгрузке судов.
· Для
формирования многогруппных подач с совмещением подбора вагонов по грузовым
фронтам вместо сортировки вагонов по направлениям используется сортировка по
отдельным местам назначения.
· Специфичность
критериев разметки при расформировании состава и подборке вагонов снижает
возможность автоматизации данных процессов в рамках типовой (базовой) АСУСС.
Для определения внутристанционного назначения целесообразно иметь динамически
добавляемый перечень показателей вагонной и отправочной моделей системы,
который на сегодняшний день включает:
·
код
ЕСР станции назначения вагона
·
код
грузополучателя
·
код
груза
·
код
собственника
·
род
вагона
·
категория
пригодности под погрузку
·
грузовая
специализация
·
код
упаковки
·
код
территории годности
·
код
требуемой подготовки
·
признак
владения
·
код
владельца/арендатора
·
инвентарный
номер вагона
·
первая
особая отметка (код маршрута и признак )
·
вторая
особая отметка (код схемы прикрытия)
·
третья
особая отметка (код негабаритный и живности)
·
примечание
(в натурном листе)
·
признак
гружености
·
код
выходной станции
·
прогнозируемое
место подачи
·
код
станции погрузки
·
код
плательщика
·
код
коммерческого брака
·
код
технического брака
·
результат
натурного осмотра цистерн (состояние котлов и сливных приборов)
·
марка
(сорт) груза
особые отметки по положению и размерам груза.
.3.3 Планирование
· Задачи
планирования основываются на определении количества ожидаемых вагонов для
передачи в порт в соответствии с заявками, предъявленными портом.
В число ожидаемого наличия включаются:
·
имеющиеся
в наличии порожние вагоны, которые будут оставлены для погрузки на следующие
сутки;
·
имеющиеся
на станции груженые вагоны, которые после выгрузки могут быть использованы под
погрузку в следующие сутки;
·
порожние
вагоны, которые должны прибыть на данную станцию для использования под
погрузку;
·
груженые
вагоны, которые должны прибыть на данную станцию под выгрузку и могут быть
использованы под погрузку в следующие сутки.
· Для
представления объемов выгрузки и планирования грузовых операций имеются заранее
данные о подходе грузов и контейнеров в каждый грузовой район. С этой целью при
первом появлении вагона в системе (в оптимальном варианте по поступлению
сообщения 410 об отгруженной отправке) на каждый вагон рассчитывается Прогнозируемое
Место Подачи (ПМП). ПМП указывает район станции, подъездной путь, район порта,
причал или другое, более детальное, место выполнения грузовых операций.
· Используя
данные о станции и времени отправления (проследования) вагона, а также
специальные нормативные таблицы, рассчитывается ожидаемое время прибытия
грузов, в том числе экспортных, порожняка по нужному типу.
· Сменно-суточный
план работы составляется по определенной форме и содержит задания на погрузку
грузов в суда и выгрузку из судов. Учитывается информация о подходе судов и
наличие в порту. Должны быть введены в систему и выданы в виде выходной формы
заявки на подачу вагонов под погрузку на данные сутки. Заявки могут
корректироваться в течение суток.
· Планирование
облегчается формированием выходных форм, как по наименованиям грузов, так и по
родам подвижного состава в целом по станции и по отдельным местам подач, по
каждому грузоотправителю и грузополучателю, с указанием технологического
(погружен, выгружен и т.д.) и технического (годность под погрузку) состояния
вагонов и контейнеров.
· Анализ
выполнения плана производится на текущий момент времени, за текущую смену, за
прошедшую смену, за текущие или прошедшие сутки с нарастающим итогом за месяц,
квартал, год.
· Исполнение
работы от начала суток может быть представлено как в таблично-текстовом, так и
в графическом виде.
6.3.4 Формирование технологических документов по
приема вагонов и контейнеров из порта и сдачи в порт
· При
приеме вагонов и контейнеров из порта и при передаче их в порт система
автоматически формирует передаточную ведомость (согласованную передаточную
ведомость), на ее основе формируются сообщения 4770 и 3344 в АСОУП.
· Припортовая
станция в основном работает с экспортными и импортными грузами. Вагоны с
экспортными грузами могут прибывать на станцию по четырем вариантам:
·
Затаможенный
российской таможней с ГТД (грузовая таможенная декларация), на которой стоит
штамп «выпуск разрешен»
·
Прибытие
по процедуре внутреннего таможенного транзита (ВТТ) с ДКД (документ контроля
доставки)
·
ДКД
отсутствует, но есть ссылка в перевозочных документах
·
ДКД
есть, но в нем указано несколько вагонов, а фактически их прибыло меньше.
По каждому из этих вариантов существует своя
технология, в соответствии с которой, происходит регистрация в книгах учета,
регистрация документов, переданных в таможню.
Задача автоматизации заключается в определении
технологии работы с перевозочными документами на этапе обработки по прибытию,
регистрации в соответствующей книге, контроль раскредитования документов.
Данные для автоматизации учета выделяются в перевозочном документе и
заполняются при оформлении документа.
6.4
Автоматизированная система выполнения коммерческих операций
Автоматизированная система выполнения
коммерческих операций (АСКО) является субподсистемой автоматизированной системы
управления грузовой и коммерческой работой железных дорог (АСЦМ), отдельные
задачи АСКО могут решаться в рамках автоматизированной системы управления
грузовой станцией (АСЦГ). Цель создания АСКО - повышение производительности
труда коммерческих работников, качества коммерческих операций и обслуживание
отправителей и получателей. Подсистема решает следующие группы задач:
расчетно-финансовые, информационно-отчетные, по управлению грузовой и
коммерческой работой станции.
Первичная информация о грузовой отправке
появляется при оформлении в товарной конторе перевозочного документа,
содержащего все необходимые данные для расчетно-финансовых, статических,
технологических, технических и оперативных целей. Благодаря этому возникла
дополнительная цель АСКО - подготовка исходной информации для управления
перевозочным процессом в других подсистемах АСУЖТ.
Основные задачи АСКО:
1. Исчисление
перевозочных плат, дополнительных сборов и штрафов.
2. Ведение
банковской и планово-финансовой отчетности.
3. Контроль
за продвижением грузов и контейнеров для обеспечения установленных сроков
доставки и анализа их соблюдения.
4. Розыск
своевременно недоставленных отправок; воссоединение разъединенных документов и
грузов.
5. Хранение
и выдача информации о грузах, принятых к перевозке, выданных и переданных.
6. Информация
получателей о подходе, прибытии грузов и подачи вагонов под выгрузку.
7. Автоматизация
учетно-расчетных операций, связанных с завозом и вывозом грузов со станции
автотранспортом.
8. Учет
наличия коммерческих приспособлений, наличия и продолжительности нахождения
вагонов на местах необщего пользования, и автоматизация расчетов за задержку
вагонов.
9. Внедрение
бездокументной технологии перевозочного процесса.
В каждой из перечисленных задач
предусматривается автоматизация ряда операций. Так при решении первой и второй
задачи будут автоматизированы: составление перечней железнодорожных документов
по плательщикам, суточного и месячного свода заказов, банковских сводных
платежных требований, свода различных сборов, ведение лицевых счетов
отправителей и получателей, учет расхода бланков дорожных ведомостей и
комплектов перевозочных документов.
Большинство задач подсистемы может решаться в
результате интегральной обработки информации, содержащейся в перевозочных
документах, некоторые потребуют построения динамической модели перевозочного
процесса.
Для внедрения и разработки АСКО сложились
благоприятные условия: концентрация грузовой работы на меньшем числе станций,
централизация расчетов за перевозки, расширение предварительной таксировки
перевозочных документов, введение новых форм перевозочных документов,
приспособленных для обработки на ЭВМ.
Технической базой АСКО являются технические
средства, принятые в АСУДТ: ЭВМ в вычислительных центрах станции, и ГВЦ:
видеотерминалы, подключенные к ЭВМ для заготовки исходной информации на
перевозочных документах и магнитных носителях и устанавливаемые в товарных
конторах грузовых станций, в технологических центрах обработки поездной
информации и перевозочных документов на грузовых и сортировочных станциях, на
грузосортировочных платформах, складах и контейнерных пунктах;
автоматизированные рабочие места, система оргсвязи, устройство для считывания
номеров вагонов и контейнеров (в перспективе).
Информация, полученная ВЦ со станции,
обрабатывается на ЭВМ для решения комплекса задач АСКО, включая и исчисление
провозной платы, которая является одной из основных задач автоматизации
коммерческих операций. Исходные данные для решения этой задачи на ЭВМ содержатся
в перевозочных документах и тарифах.
При функционировании АСКО централизованные
расчеты за перевозки выполняются в таком порядке. Информацию для решения задач
подготавливают в РТК на магнитном носителе, который передают в ВЦ. На ЭВМ
обрабатываются данные и печатаются соответствующие документы и отчеты с
установленной периодичностью. По плательщикам, которые рассчитываются плановыми
платежами и лимитированными справками, лицевые счета ведут в ВЦ. Эти счета по
плановым платежам выдаются в конце месяца, а по лимитированным справкам - когда
остаток лимита у плательщика меньше объема двухсуточной работы. В других
случаях данные об изменении суммы лимита выдаются по запросу РТК. Документы,
полученные из вычислительного центра, РТК передает установленным порядком
учреждениям Госбанка, плательщикам и управлению дороги.
6.5 Без документная
технология
Оформление грузовых и коммерческих операций при
перевозке грузов требует большого объема ручного труда. В последнее время
предпринимались усилия соединить устаревшую технологию грузовой и коммерческой
работы с современными техническими средствами автоматизации. Чтобы избавиться
от ручной работы, целесообразно перейти на разработанную в МИИТе, так
называемую, "бездокументную технологию". Она предусматривает минимальное
документирование при оформлении перевозок с помощью ЭВМ и упразднение ручной
работы по заполнению документов. ЭВМ может выдавать по запросу машинные
выходные формы, некоторые формы учета, отчетности и перевозочных документов.
Бездокументная технология будет внедрятся в рамках АСУЖТ на базе
микропроцессорных ЭВМ, мини - и микро- ЭВМ, способных выполнять десятки
миллионов операций в секунду. Обладающих широкими функциональными возможностями
и развитой сетью периферийных устройств в интеллектуальных терминалах,
работающем в многопрограммном режиме обработки информации. На базе таких ЭВМ
можно построить систему управления перевозочным процессом, обеспечивающую
непрерывный обмен информации на всех уровнях. В ней будут использованы каналы
связи и устройства считывания информации, персональные программирующие
компьютеры.
Основная задача новой технологии - автоматизация
приема, выдачи, учета и розыска грузов, слежение за их продвижением на всех
этапах перевозочного процесса без документирования и канцелярской работы.
Система должна работать в диалоговом режиме, выдавать по запросу на печать
необходимые справки, статистическую информацию. Упразднение ручной работы по
оформлению бумажных перевозочных документов и канцелярских отчетов, учету
грузов и вагонов, упростит прием и выдачу грузов, позволит отменить часть
выполняемых операций и формальностей.
Содержание набора информации о грузе является
аналогом перевозочного документа. Динамическая информационная модель будет
сформирована на станции отправления с передачей данных в ДВДЦ. информация о
грузе будет перемещаться в соответствии с переходом его с дороги на дорогу и до
станции назначения. В ГВЦ МПС будет построена динамическая модель по
укрупненным элементам транспортного процесса: дорогам, грузовым и сортировочным
станциям.
Вот один из вариантов бездокументной технологии
на основных этапах перевозочного процесса.
На станции отправления заявка отправителя на
перевозку груза с помощью персональной ЭВМ будет передана по каналам связи в
СВЦ или ГВЦ. Исходя из месячного плана перевозок и других данных, хранящихся в
памяти. ЭВМ ответит на запрос и запишет основные реквизиты информации о грузе.
Приняв и разместив на складе груз, оператор с помощью видеотерминала передает
информацию в СВЦ, где она будет сопоставлена с первичными данными и при
совпадении поступит на регистрацию хранения грузов. Дополнительная информация
для ввода в память при приеме груза будет автоматически считана с маркировки,
наклеенной на груз в виде штрихового кода. В начале погрузки в ЭВМ поступит
сигнал, и набор информации о грузе из раздела модели "хранение"
перейдет в раздел "погрузка".
По сигналу окончания погрузки в памяти ЭВМ по
виду отправки информация из раздела "погрузка" будет передана в
раздел "ожидание" уборки вагонов.
Автоматическое устройство спишет номер вагона, в
который погружен груз, и эта информация, через видеотерминал поступит в ЭВМ,
где дополнит записанную ранее информацию об отправке груза. Перечень грузов в
сборном вагоне будет бездокументным аналогом вагонного листа. Очередная
передача информации произойдет по мере выполнения операции формирования и
отправления поезда. Бездокументный отчет принятой отправки в СВЦ завершится
после отправления состава, в котором будет вагон с принятым грузом. Информация
перейдет на долговременные носители.
Если на станции отправления нет ВЦ, информация
поступит через видеотерминал ВЦ коллективного пользования.
Даты приема и отправления будут переданы в ВЦ
дороги отправления, где ЭВМ сформирует обобщенную информационную модель,
характеризующую состояние вагона и груза на отдельных этапах перевозки.
При передаче грузов с дороги на дорогу шифр
дороги после автоматического считывания будет передан в ДВЦ через терминал
сдающей дороги. В памяти ЭВМ должны находиться соответствующие данные этому
шифру о вагоне и грузе, поступившие ранее со станции отправления. Затем эта
информация поступит в ВЦ принимающей дороги. Для контроля и уточнения данных о
передаваемых грузах и вагонах пункт передачи в рамках диалога в пункте
перехода. Можно сформировать архив данных о передаваемых с дороги на дорогу
грузах, с помощью которого можно организовать их розыск.
На станции назначения после автоматического
считывания информации с прибывшего вагона по его шифру поступит запрос в ВЦ
дороги назначения. Из памяти ЭВМ ДВЦ будет выбрана и передана на станцию полная
информация о грузе. С этого момента на станции назначения начнет действовать
информационно-динамическая модель, списывающая последовательность обработки
вагонов и грузов и решающая задачи учета отчетности. По каналам связи
получатель будет уведомлен о прибытии груза, в товарной конторе не потребуется
регистрация документов и оформление выдачи груза.
После выгрузки груза, получателя информируют о
месте его хранения на складе. Оператор-приемосдатчик может по коду отправки
выводить на экран дисплея сведения о выдаваемом грузе. Для контроля эту
информацию сверяют с данными товаротранспортной накладной шофера-экспедитора.
7. Охрана труда на грузовой станции
.1 Требования безопасности при погрузке
разгрузке работах
Погрузочно-разгрузочные работы
с грузами массой более 50 кг, а также подъем их на высоту более 3 м разрешается
производить только механизированным способом.
Переноска материалов вручную на
носилках по горизонтальному пути допускается лишь в исключительных случаях и на
расстояние не более 50 м.
На предприятиях перемещение
грузов в технологическом процессе массой более 20 кг или на расстоянии более 25
м должно быть механизировано.
Для мужчин старше 18 лет
предельная норма переноски грузов вручную по ровной горизонтальной поверхности
на одного человека составляет 30 кг.
Для женщин нормы предельно
допустимых нагрузок при подъеме и перемещении тяжестей вручную согласно
Постановлению Совета Министров республика Туркменистана от 06.02.1993 № 105
постоянно -7 кг, 2 раза в час - 10 кг.
Погрузочно-разгрузочные
операции с пылевидными материалами (цемент, известь, гипс и др.) необходимо
выполнять механизированным способом. В виде исключения разрешается выполнять
ручные работы по разгрузке цемента при его температуре не выше 45 0С.
Перемещение ящиков и тяжелых
штучных грузов должно производиться только с помощью специальных ломов, катов и
других приспособлений. Катки должны быть одного диаметра, а их концы должны
выступать из-под груза более чем на 300-400 мм. При перемещении груза вниз или
вверх нельзя находиться на пути его движения.
Переносить грузы с
железнодорожной платформы или из вагона необходимо по трапу или мостику из
щитов (с ограждением) шириной не менее 0,8 м - при одностороннем и не менее 1,5
м при двустороннем движении.
Погрузку и разгрузку грузов
типа бочек, барабанов с кабелем, рулонов бумаги и т.п. допускается выполнять с
помощью наклонный площадки и оттягивания грузов канатами с противоположной
стороны.
Балки, рельсы, трубы и другие
длинномерные грузы следует переносить с помощью специальных приспособлений
(клещей, захватов).
При погрузке - разгрузке
железнодорожных вагонов последние должны закрепляться на путях с помощью
тормозных башмаков. На расстоянии 5 м устанавливают дополнительный башмак для
защиты от наезда другого вагона. При открывании двери вагона рабочий должен
находиться в стороне от дверного проема. При открывании бортов платформы
сначала открывать средине запоры, а затем крайние, стоя сбоку от бортов.
Не допускается нахождение людей
и передвижение транспортных средств в зоне возможного падения груза. Грузы
(кроме балласта, выгружаемого для путевых работ) при высоте штабеля до 1,2 м
должны находиться от наружной грани головки ближайшего к грузу рельса или
подкранового пути на расстоянии не менее 2,0 м, а при большой высоте - не менее
2,5 м.
7.1.1 Требования к процессам
производства погрузочно-разгрузочных работ
Выбор способов производства
работ должен предусматривать предотвращение или снижение до уровня допустимых
норм воздействия на работающих опасных и вредных производственных факторов
путем:
механизации и автоматизации
погрузочно-разгрузочных работ;
применения устройств и
приспособлений, отвечающих требованиям безопасности;
эксплуатации производственного
оборудования в соответствии с действующей нормативно-технической документацией
и эксплуатационными документами;
применения знаковой и других
видов сигнализации при перемещении грузов подъемно-транспортным оборудованием;
правильного размещения и
укладки грузов в местах производства работ и в транспортные средства;
соблюдения требований к
охранным зонам электропередачи, узлам инженерных коммуникаций и
энергоснабжения.
При перемещении груза
подъемно-транспортным оборудованием нахождение работающих на грузе и в зоне его
возможного падения не допускается.
После окончания и в перерыве
между работами груз, грузозахватные приспособления и механизмы (ковш, грейфер,
рама, электромагнит и т.п.) не должны оставаться в поднятом положении.
Перемещение груза над
помещениями и транспортными средствами, где находятся люди, не допускается.
Грузы, размещаемые вблизи
железнодорожных и крановых рельсовых путей, должны быть расположены в
соответствии с требованиями и нормативно-технической документации, утвержденной
Госгортехнадзором.
Строповку грузов следует
производить в соответствии с «Правилами устройства и безопасной эксплуатации
грузоподъемных кранов», утвержденными Госгортехнадзором.
Строповку крупногабаритных
грузов (металлических, железобетонных конструкций и др.) необходимо производить
за специальные устройства, строповочные узлы или обозначенные места в
зависимости от положения центра тяжести и массы груза.
Места строповки, положение
центра тяжести и массы груза должны быть обозначены предприятием-изготовителем
продукции или грузоотправителем.
Перед подъемом и перемещением
грузов должны быть проверены устойчивость грузов и правильность их строповки.
Способы укладки и крепления
грузов должны обеспечивать их устойчивость при транспортировании и
складировании, разгрузке транспортных средств и разборке штабелей, а также
возможность механизированной погрузки и выгрузки. Маневрирование транспортных
средств с грузами после снятия крепления с грузов не допускается.
Штабели сыпучих грузов должны
иметь откосы крутизной, соответствующей углу естественного откоса для грузов
данного вида, или должны быть ограждены прочными подпорными стенками.
При выполнении
погрузочно-разгрузочных работ с применением машин непрерывного транспорта:
укладка грузов должна
обеспечивать равномерную загрузку рабочего органа и устойчивое положение груза;
подача и снятие груза с
рабочего органа машины должна производиться при помощи специальных подающих и
приемных устройств.
При производстве работ с
тарно-штучными грузами следует использовать контейнеры, средства пакетирования,
а также специализированные грузозахватные приспособления, исключающие выпадение
грузов.
Крыши контейнеров, устройства
для их строповки и крепления к транспортным средствам должны быть очищены от
посторонних предметов, льда и снега.
При погрузке (выгрузке)
металлов электромагнитными и грейферными захватами зона подъема и перемещения
грузов должна быть ограждена.
На местах погрузки и выгрузки
лесоматериалов должны быть предусмотрены приспособления, исключающие развал
лесоматериалов.
Погрузку и выгрузку сыпучих
грузов следует производить механизированным способом, исключающим загрязнение
воздуха рабочей зоны.
При разгрузке сыпучих грузов из
полувагонов люки следует открывать специальными приспособлениями, позволяющими
работающим находиться на безопасном расстоянии.
При разгрузке сыпучих грузов из
полувагонов на повышенных путях, расположенных на высоте более 2,5 м, люки
следует открывать со специальных мостиков.
При ликвидации зависания
сыпучих грузов в емкостях нахождение в них работающих не допускается.
При разгрузке сыпучих грузов с
автомобилей-самосвалов, стоящих на насыпях, а также при засыпке котлованов и
траншей грунтом, автомобили-самосвалы необходимо устанавливать на расстоянии не
менее 1м от бровки естественного откоса.
Погрузочно-разгрузочные работы
и перемещение опасных грузов следует производить:
в соответствии с требованиями
безопасности труда; содержащимися в документации, утвержденной в установленном
порядке;
в специально отведенных местах
при наличии данных о классе опасности и указаний отправителя груза по
соблюдению мер безопасности.
Не допускается выполнять
погрузочно-разгрузочные работы с опасными грузами при обнаружении
несоответствия тары требованиям нормативно-технической документации,
утвержденной в установленном порядке, неисправности тары, а также при отсутствии
маркировки и предупредительных надписей на ней.
После окончания работ с
опасными грузами места производства работ, подъёмно-транспортное оборудование,
грузозахватные приспособления и средства индивидуальной защиты должны быть
подвергнуты санитарной обработке в зависимости от свойств груза.
При возникновении опасных и
вредных производственных факторов вследствие воздействия метеорологических
условий на физико-химическое состояние груза погрузочно-разгрузочные работы
должны быть прекращены или приняты меры по созданию безопасных условий труда.
Погружать и разгружать
животных, сырье и продукты животного происхождения следует лишь при наличии
данных о характере груза и в соответствии с требованиями. Перед началом работ
груз должен быть проверен органами ветеринарного надзора.
Погружать, выгружать и
перемещать грузы, требующие карантинной обработки, следует на специально
выделенных площадках, отвечающих предъявляемым к ним санитарным требованиям
Министерства здравоохранения республика Туркменистан.
После выполнения
погрузочно-разгрузочных работ с животными, сырьем и продуктами животного
происхождения места производства работ, транспортные средства, грузозахватные
приспособления, инвентарь и средства индивидуальной защиты должны быть
подвергнуты дезинфекции.
Перед началом
погрузочно-разгрузочных работ должен быть установлен порядок обмена условными
сигналами между подающим сигналы (стропальщиком) и машинистом
подъемно-транспортного оборудования.
7.1.2 Требования к местам
производства погрузочно-разгрузочных работ
Места производства
погрузочно-разгрузочных работ должны иметь основание, обеспечивающее
устойчивость подъемно-транспортного оборудования, складируемых материалов и
транспортных средств.
Выбор мест проведения
погрузочно-разгрузочных работ, размещение на них зданий (сооружений) и
отделение их от жилой застройки санитарно-защитными зонами должны
соответствовать требованиям строительных норм и санитарных норм, утвержденных
Минздравом республика Туркменистан, и другой нормативно-технической
документации.
На площадках для укладки грузов
должны быть обозначены границы штабелей, проходов и проездов между ними. Не
допускается размещать грузы в проходах и проездах. Ширина проездов должна
обеспечивать безопасность движения транспортных средств и подъемно-транспортного
оборудования.
Места производства
погрузочно-разгрузочных работ, включая проходы и проезды, должны иметь
достаточное естественное и искусственное освещение в соответствии со
строительными нормами и правилами.
Освещенность должна быть
равномерной, без слепящего действия светильников на работающих. Типы
осветительных приборов следует выбирать в зависимости от условий среды, свойств
и характера перерабатываемых грузов.
Рабочие, занятые на
погрузочно-разгрузочных работах, должны быть обеспечены санитарно-бытовыми
помещениями и доброкачественной питьевой водой.
Площадки производства
погрузочно-разгрузочных работ должны соответствовать требованиям пожарной
безопасности, а также строительным нормам и правилам, и правилам пожарной
безопасности, утвержденным или согласованным.
Температуру наружного воздуха и
силу ветра в данном климатическом районе, при которых следует прекращать
производство работ на открытом воздухе или устраивать перерывы для обогревания
рабочих, устанавливает администрация предприятия в соответствии с действующим
законодательством.
Места производства
погрузочно-разгрузочных работ должны быть оснащены необходимыми средствами
коллективной защиты и знаками безопасности по.
Движение транспортных средств в
местах погрузочно-разгрузочных работ должно быть организовано по
транспортно-технологической схеме с установкой соответствующих дорожных знаков,
а также знаков, принятых на железнодорожном, водном и воздушном транспорте.
Температура, влажность,
скорость движения воздуха в рабочей зоне производственных помещений, а также
содержание вредных веществ в местах производства погрузочно-разгрузочных работ
уровни шума и вибрации на рабочем месте.
Для перехода работающих по
сыпучему грузу, имеющему большую текучесть и способность засасывания, следует
устанавливать трапы или настилы с перилами на всем пути передвижения.
Грузовые столы, рампы, эстакады
и другие сооружения должны быть оборудованы постоянными или съемными отбойными
устройствами.
Проходы и рабочие места должны
быть выровнены и не иметь ям, рытвин. Зимой проходы должны быть очищены от
снега, а в случае обледенения посыпаны песком, шлаком или другими
противоскользящими материалами.
Для прохода (подъема) на
рабочее место должны быть предусмотрены тротуары, лестницы, мостики, трапы,
отвечающие требованиям безопасности.
.1.3 Требования к применению
подъемно транспортного оборудования
Подъемно-транспортное
оборудование, применяемое при проведении погрузочно-разгрузочных работ, должно
соответствовать требованиям правилам устройства и безопасной эксплуатации грузоподъемных
кранов Госгортехнадзора республика Туркменистана, а также требованиям
безопасности, изложенным в стандартах и технических условиях на оборудование
конкретного вида.
Установка, регистрация,
испытание и техническое освидетельствование подъемно-транспортного оборудования
и грузозахватных приспособлений должны быть выполнены в соответствии с
правилами устройства и безопасной эксплуатации грузоподъемных кранов,
утвержденными Госгортехнадзором республика Туркменистана, и другой
нормативно-технической документацией, утвержденной в установленном порядке.
Не допускаются работы на
грузоподъемной машине (кран, перегружатель кранового типа) при скорости ветра,
превышающей значение, указанное в паспорте машины, а также при снегопаде,
тумане, дожде, снижающих видимость в пределах рабочей зоны.
Не допускаются работы на
грузоподъемной машине, если температура окружающего воздуха ниже значения,
указанного в паспорте машины.
Подъемно-транспортное
оборудование, транспортные средства при производстве погрузочно-разгрузочных
работ должны быть в состоянии, исключающем их самопроизвольное перемещение.
Съемные грузозахватные
приспособления (стропы, траверсы и др.) до пуска в работу должны быть
подвергнуты полному техническому освидетельствованию.
Подъемно-транспортным оборудованием
разрешается поднимать груз, масса которого вместе с грузозахватными
приспособлениями не превышает допустимую грузоподъемность данного оборудования.
.1.4 Требования к персоналу,
допускаемому к погрузочно-разгрузочным работам
К управлению подъемно-транспортным
оборудованием допускаются лица не моложе 18 лет, прошедшие медицинское
освидетельствование в порядке, установленном Минздравом, обученные безопасности
труда и имеющие право управления указанным оборудованием.
Рабочие, занятые на погрузочно-разгрузочных
работах, должны проходить предварительный и периодические осмотры в
соответствии с требованиями Министерства здравоохранения республика
Туркменистана.
Рабочим, занятым на погрузке и
выгрузке животных и сырья животного происхождения, должны быть сделаны
профилактические прививки в соответствии с требованиями Министерства
здравоохранения Туркменистана.
Инженерно-технические
работники, ответственные за безопасное проведение погрузочно-разгрузочных
работ, должны проходить проверку знаний особенностей технологического процесса,
требований безопасности труда, устройства и безопасной эксплуатации
подъемно-транспортного оборудования, пожарной безопасности и производственной
санитарии в соответствии с их должностными обязанностями и в порядке, установленном
органами государственного надзора.
К выполнению
погрузочно-разгрузочных работ допускаются лица, прошедшие курс обучения и
проверку знаний по безопасности труда в соответствии, а также оказанию первой
помощи.
Работающие, допущенные к
погрузке (разгрузке) опасных и особо опасных грузов, должны проходить
специальное обучение безопасности труда с последующей аттестацией.
При производстве
погрузочно-разгрузочных работ с опасными грузами, текущий инструктаж следует
проводить перед началом работ.
В программу инструктажа должны
быть включены сведения о свойствах опасных грузов, правила работы с ними, меры
оказания первой доврачебной помощи.
.1.5 Требования к применению
средств индивидуальной защиты работающих
Спецодежда, спецобувь и другие
средства индивидуальной защиты должны соответствовать требованиям.
Спецодежду в зависимости от
категории перерабатываемых грузов следует подвергать стирке, химчистке,
обезвреживанию и другим видам санитарной обработки в соответствии с
действующими нормами, утвержденными в установленном порядке.
Рабочие при получении
спецодежды, спецобуви и других средств индивидуальной защиты должны быть
проинструктированы о порядке пользования этими средствами и ознакомлены с
требованиями по уходу за ними.
При наличии опасности падения
предметов сверху работающие на местах производства погрузочно-разгрузочных
работ должны носить защитные каски установленных образцов.
При выполнении
погрузочно-разгрузочных работ следует использовать средства индивидуальной
защиты в зависимости от вида груза и условий ведения работ.
Средства индивидуальной защиты
должны соответствовать требованиям и стандартов на средства защиты конкретных
видов.
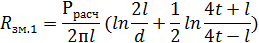
7.1.6 Расчет заземления крана
Цель расчета - обеспечить такое сопротивление
заземляющих устройств, которое не будет превышать допустимых значений. Для
крана, питающегося от распределительного устройства с глухо заземлённой
нейтралью, оно должно быть не более 10 Ом (повторное заземление), а для крана
питающегося от распределительного устройство с изолированной нейтралью, - не
более 4 Ом (защитное заземление).
При выполнении расчета для случая подключения
крана к трехфазной сети с изолированной нейтралью, т.е. для защитного
заземления, принимают величину допустимого сопротивления растеканию тока
заземляющей системы [Rдоп]≤ 4 Ом.
В первую очередь рекомендуется использовать
естественные заземлители. Однако в рассматриваемом случае будем исходить из
предположения, что вблизи места установки крана отсутствуют естественные
заземлители, которые допускается использовать в качестве защитного заземления.
Поэтому будем применять групповой заземлитель, состоящий из вертикальных
одиночных заземлителей, соединенных между собой горизонтальной полосой связи.
Расчет групповых искусственных заземлителей
сводится к определению необходимого числа одиночных заземлителей (электродов).
Определим сопротивление растеканию одного
электрода (заземлителя).
В качестве заземлителя принимаем стальные трубы
диаметром 57x3,5 мм (d=0.057 м) и длиной l=3,0 м.
Для трубчатого вертикального заземлителя
где Ррасч - расчетное
удельное сопротивление грунта, Ом-м;

- длина электрода, м;- диаметр
электрода, м;- расстояние от поверхности земли до центра заземлителя.
При
реальном проектировании расчетное удельное сопротивление грунта принимают на
основе непосредственных замеров на месте размещения заземления. Справочные
табличные данные и результаты измерения сопротивления образца грунта
использовать запрещается. Однако в дипломном проектировании можно
воспользоваться табличными данными.
Принимаем,
что в районе размещения крана грунт в основном состоит из глины с p = 40 Ом*м.
Поскольку зимой верхний слой земли промерзает (летом высыхает) и его удельное
сопротивление увеличивается, то среднее значение умножается на коэффициент
сезонности ѱ, который зависит от климатической зоны (I, II, III или IV),
в который находится электроустановка. Для II климатической зоны (район Санкт -
Петербурга) для вертикального заземлителя по прил. 14 ѱв =
1,5.
Тогда
расчетное удельное сопротивление грунта:
расч = pѱв = 40*1,5 = 60
Ом*м;
сопротивление
заземлителя:

= 16,1 Ом.
Примечание.
В последние годы все шире начинает внедряться в практику метод расчета
заземлителей, при котором условно принимается, сто земля имеет два слоя -
верхний и нижний, - обладающих каждый своим удельным сопротивлением p1 и
p2. При этом толщина верхнего слоя h1 может быть равной
толщине слоя сезонных изменений или больше ее. Следовательно, только верхний
слой подвержен воздействию погодных условий и его удельное сопротивление p1
имеет значительные сезонные колебания.
При
расчете сопротивления одного вертикального заземлителя в двухслойной земле в
формуле (см. п. 3.2) вместо pрасч подставляют значение
эквивалентного удельного сопротивления двухслойной земли, которое определяют
дующим образом:
экв = 
,
где
Ɩ - длина (высота) электрода;

и 
2 - длина частей электрода,
находящихся в верхнем и нижнем слоях земли соответственно, м.
Определим
ориентировочное число одиночных заземлителей:
Этот
результат не учитывает, что на общих участках земли, по которым проходят токи
(между электродами), плотность тока увеличивается.
Это
равносильно уменьшению сечения земли, по которому проходит ток, т.е.
практически сопротивление растеканию каждого отдельного заземлителя в групповом
заземлителе будет больше, чем это определено по формуле для одиночного
заземлителя.
Определим
по прил. 15 и 16 коэффициенты использования вертикальных электродов (ղв) и
горизонтального проводника связи (ղr).
Поскольку
расстояние между одиночными заземлителями принято равным 3 м, длина заземлителя
также 3 м, а число заземлителей в результате предварительного расчета оказалось
равным четырем, то в рассматриваемом случае ղв = 0,69 и ղr = 0.45.
Без
учета полосы связи необходимое число электродов составит:

Принимаем к установке 6
заземлителей. Заземлители располагаем вдоль рельсовых путей по аналогии со
схемой на рис. 3.1, б.
Сопротивление горизонтального
проводника связи составит:
Где: L=15м - длина горизонтальной
полосы связи (по три метра между шестью заземлителями);= 0,04 м - ширина полосы
(принимаем стальную полосу 4x40 мм);r = 0,5 м - расстояние от
поверхности земли до оси полосы (или от поверхности земли до верхнего конца
заземлителя); расч - удельное сопротивление грунта. Для
горизонтального заземлителя (для II климатической зоны) коэффициент сезонности 
в = 3,5,
поэтому Pрасч = P
в = 40x3,5 =
140 Ом.м.
Общая проводимость заземлителей (так
как можно считать, что они работают параллельно) составит:
Тогда общее сопротивление
искусственного группового заземлителя:
Правильно рассчитанное заземляющее
устройство должно отвечать условию 
Расчет выполнен верно, так как 3,42
< 4 Ом.
7.2 Обеспечение безопасности и ликвидация
аварийных ситуаций при перевозке опасных грузов бензина
Исходные данные: На рассматриваемом в дипломном
проекте (Технология работа припортовой станции) Порт Туркменбаши путь необщего
пользования № 13 производятся технологические операции (налив) подготовка
вагонов опасным грузом (бензин) массы 65 т.
Требуется:
1 охарактеризовать транспортную опасность
перевозимого опасного груза;
изложить требования к безопасности бензина.
определить порядок необходимых действий по
ликвидации аварийной ситуации с опасным грузом.
Бензины предназначены для
применения в поршневых двигателях внутреннего сгорания с принудительным
воспламенением (от искры). В зависимости от назначения их разделяют на
автомобильные и авиационные.
Бензин - горючая смесь лёгких углеводородов с
температурой кипения от 33 до 205 °C (в зависимости от примесей). Eще в XIX
веке не находил лучшего применения, чем антисептическое средство и топливо для
примусов. Тогда из нефти отгоняли только керосин, а все остальное уничтожали
как непригодное. С появлением двигателя внутреннего сгорания, работающего по
циклу Отто, бензин стал одним из главных продуктов нефтепереработки. Однако в
последнее время он начал уступать первенство дизельному топливу, поскольку
дизельные двигатели имеют более высокий коэффициент полезного действия
класс 3 - легковоспламеняющиеся жидкости
подкласс 1 - легковоспламеняющиеся жидкости с
температурой вспышки менее минус 18 0С в закрытом тигле;
категория опасности 1 - без дополнительного вида
опасности;
степень опасности 2.
Ассортимент, качество и состав автомобильных
бензинов. Наибольшая потребность существует на бензинА-92, который
вырабатывается по ТУ 38.001165-97, хотя доля бензина А-76 в общем объем
производства остается очень высокой. Указанные ТУ предусматривают также марки
бензиновА-80иА-96соктановыми числами по исследовательскому методу
соответственно 80 и 96. Эти бензины предназначены в основном для поставки на
экспорт. Бензин АИ-98с октановым числом 98 по исследовательскому методу
производится по ТУ 38.401-58-122-95и ТУ 38.401-58-127-95. Бензины А-76, А-80,
АИ-91, А-92 и А-96 допускается вырабатывать с использованием этиловой жидкости.
Токсичность автомобильных бензинов
Токсикологическое воздействие бензинов на живые организмы, в том числе и на
человека, проявляется при их проникновении в организм со вдыхаемым воздухом,
питьевой водой, а также через кожные покровы. Токсичность различных технических
жидкостей и их паров характеризуется пределами допустимых концентраций (ПДК) в
воздухе и воде. Неэтилированные бензины являются относительно малотоксичными
продуктами. Токсичность неэтилированных бензинов зависит от содержания ароматических
углеводородов, ПДК которых на порядок меньше, чем у алифатических
углеводородов. Вредное воздействие паров бензина на человека возрастает при
добавлении высокооктановых кислородсодержащих компонентов, имеющих относительно
малые значения ПДК. Использование ТЭС в бензинах приводит к резкому возрастанию
их токсичности. Этилированные бензины и особенно сам ТЭС относятся к ядовитым
продуктам. Пары этилированного бензина, содержащие легкие углеводородные
фракции, по токсичности мало отличаются от неэтилированного бензина. Но при
полном испарении этилированного бензина при его случайном разливе в воздух
попадают и пары ТЭС. Этилированные бензины особенно опасны при попадании внутрь
организма или на кожные покровы. Опасность усугубляется, если этилированный
бензин попадает на ранки или потертости. Категорически запрещается есть и пить
в помещениях, где пролит бензин. При отравлениях этилированным бензином
происходит поражение высшей нервной системы, проявляющееся в появлении
зрительных и слуховых галлюцинаций, возбуждения, агрессивности, нарушения сна,
головных болей и общей слабости.
При попадании значительного количества
этилированного бензина внутрь организма может наступить острое отравление со
смертельным исходом в первые часы или через 3-5 сут. Место, на котором был
разлит этилированный бензин, должно быть дегазировано раствором хлорной
извести. В случае значительного разлива этилированного бензина на цементный пол
или асфальт залитое место надо тщательно вытереть сухой тряпкой или концами, а
затем обмыть керосином или неэтилированным бензином. Тряпку или концы после
этого надо сжечь. Естественно, что эту работу следует производить с
использованием индивидуальных средств защиты (противогаза, комбинезона,
резинового фартука, резиновых сапог, брезентовых рукавиц). Попадание бензинов в
водоемы хозяйственно-питьевого, культурно-бытового и рыбохозяйственного
назначения приводит к непригодности использования воды для питья и
приготовления пищи. При этом ПДК бензина в питьевой воде составляет 0,1 мг на 1
л. В водоемах рыбохозяйственного использования ПДК бензина равна 0,05 мг на 1
л.
Хранение, перевозка и применение этиловой
жидкости и этилированного бензина должны производиться в соответствии с
Инструкцией о мерах безопасности при работе с этиловой жидкостью. К работе с
этиловой жидкостью допускаются лица мужского пола, получившие медицинское
заключение о возможности работы в контакте с тетраэтилсвинцом (ТЭС) и допуск к
самостоятельной работе. Территория этилосмесительной установки (ЭСУ) и место
слива этиловой жидкости должны быть ограждены. Доступ посторонних лиц на
установку, к месту слива и хранения этиловой жидкости запрещается.
Общеобменная вентиляция в помещениях, где
хранится этиловая жидкость и производится работа с ней, должна работать
постоянно. Перед входом в помещение необходимо убедиться, что вентиляция
работает. Загрязненные полы и стены помещений, выполненные из бетона, гладкой
плиты, камня, резины, необходимо дегазировать в течение 20 мин. кашицей хлорной
извести, затем омыть раствором соды (мыла). Металлические поверхности должны
обезвреживаться керосином. Операции с этиловой жидкостью, в том числе и
приготовление этилированного бензина, должны производиться в герметичной
аппаратуре, исключающей возможность контакта работающих с этиловой жидкостью.
Емкости-хранилища этиловой жидкости должны быть
оборудованы не менее чем тремя измерителями верхнего и нижнего уровней.
Сигнализация верхнего предельного уровня должна осуществляться от двух
измерителей уровня, сигнализация предельного нижнего уровня - от одного
измерителя. Перед заполнением емкостей этиловой жидкостью необходимо проверить
их подготовленность. Вновь смонтированные емкости и емкости после ремонта
должны быть проверены на герметичность и продуты инертным газом. В
неподготовленные и неисправные емкости слив этиловой жидкости производить
запрещается.
Прием этиловой жидкости в емкость должен
производиться под слой жидкости. Вытесняемые из емкости-хранилища пары должны
быть пропущены через систему очистки от тетраэтилсвинца. Емкость, в которую производится
слив этиловой жидкости, должна иметь свободный объем для приема всей этиловой
жидкости и оборудована азотным дыханием. Емкость следует заполнять не более чем
на 90 % ее объема. Слив этиловой жидкости из железнодорожных цистерн должен
производиться путем передавливания инертным газом (азотом) только в дневное
время в присутствии начальника этилосмесительной установки или лица, его
замещающего.Не допускается осуществлять слив этиловой жидкости совместно с
другими продуктами.
Слив этиловой жидкости из железнодорожных
цистерн должен производиться на специально оборудованных площадках. Запрещается
слив этиловой жидкости из железнодорожных цистерн в бочки. После слива этиловой
жидкости железнодорожную цистерну, контейнер промыть 2-3-х кратным заполнением
их чистым бензином, который должен вытесняться инертным газом (азотом) в
свободную емкость. При розливе этиловой жидкости необходимо надеть защитный
костюм, изолирующий противогаз, резиновые сапоги, фартук, перчатки; в закрытом
помещении включить аварийную вентиляцию; участок розлива этиловой жидкости
дегазировать и промыть водой. Все работы на установке должны быть прекращены до
полной дегазации и уборки этиловой жидкости.
Перед проведением работ внутри емкости для
этиловой жидкости необходимо слить из емкости этиловую жидкость, промыть путем
2-3-х кратного заполнения ее чистым бензином, отглушить от действующих
коммуникаций стандартными заглушками, пропарить с последующей конденсацией пара
в холодильнике. Пропаривание можно считать законченным, когда в водяном
конденсате после холодильника в результате анализа не будет обнаруживаться
тетраэтилсвинец. После проведения указанных операций емкость должна быть
проветрена и затем промыта водой.
К перевозке опасных грузов
допускаются локомотивные бригады, прошедшие обязательный инструктаж, изучившие
требования и обеспеченные комплектом настоящих Правил, имеющие соответствующий
допуск к работе с опасными грузами (на основании инструкции), снабженные
средствами индивидуальной защиты (СПИ-20 или аналогичными), аптечкой и
комплектом переносных радиостанций.
При возникновении аварийных
ситуаций на перегоне машинист локомотива незамедлительно сообщает об этом
установленным порядком по поездной радиосвязи или любым другим возможным в
создавшейся ситуации видом связи поездному диспетчеру и дежурным по ближайшим
станциям, ограничивающим перегон. Машинист локомотива и его помощник имеют
право вскрыть пакет с перевозочными документами.
Сообщение должно включать в
себя описание характера аварийной ситуации, сведения о наличии пострадавших,
содержащиеся в перевозочных документах наименование груза, номер аварийной
карточки (номер ООН груза, при наличии), количество опасного груза в зоне
аварийной ситуации, а на электрифицированных участках - сведения о
необходимости снятия напряжения в контактной сети.
После передачи сообщения об
аварийной ситуации локомотивная бригада принимает меры, руководствуясь
указаниями, содержащимися в аварийной карточке на данный опасный груз.
При получении от машиниста
сообщения об аварийной ситуации, а также при возникновении аварийной ситуации в
пределах станции дежурный по станции сообщает о случившемся начальнику станции,
поездному диспетчеру, в штаб гражданской обороны района (города), после чего
принимает меры, руководствуясь указаниями, содержащимися в соответствующей
аварийной карточке.
При отсутствии перевозочных
документов номер аварийной карточки следует установить в соответствии с п. 1.5
настоящих Правил.
К принятию неотложных мер могут
быть привлечены работники всех других служб железной дороги, при условии
обязательного проведения с ними предварительного и текущего инструктажа по
работе с опасными грузами и обеспечения их средствами индивидуальной защиты.
Поездной диспетчер, получив
сообщение об аварийной ситуации, немедленно сообщает об этом дежурному по
отделению (управлению) железной дороги и в зависимости от создавшейся ситуации
принимает решение о направлении восстановительного и пожарного поездов, других
аварийно-восстановительных подразделений, а также регулирует движение поездов в
районе места происшествия.
Дежурный по отделению
(управлению) железной дороги, получив сообщение об аварийной ситуации, передает
сообщение начальнику отделения железной дороги, в случае отсутствия отделения
железной дороги - начальнику железной дороги, председателю комиссии по
чрезвычайным ситуациям отделения железной дороги, старшему дежурному помощнику
начальника оперативно-распорядительного отдела службы перевозок железной
дороги, ревизору по безопасности движения поездов отделения (управления)
железной дороги и главному врачу Центра санэпиднадзора железной дороги.
В случае, когда в зоне
аварийной ситуации оказалось большое количество опасного груза (целые вагоны,
их группы или большое количество упаковок опасного груза) или возникла
чрезвычайная ситуация, дежурный по отделению (управлению) железной дороги
сообщает об этом местной администрации, которая действует в соответствии
соФедерального закона "О защите населения и территорий от чрезвычайных
ситуаций природного и техногенного характера".
После вызова специальных служб
для ликвидации аварийной ситуации дежурный по отделению (управлению) железной
дороги сообщает о ней начальнику отдела грузовой и коммерческой работы,
руководству службы военизированной охраны железной дороги.
Начальник отделения железной дороги
(начальник железной дороги) при аварийной ситуации, представляющей угрозу
населению или окружающей среде, совместно со специалистами причастных служб, а
в необходимых случаях совместно с представителями местных органов власти,
территориальных служб, здравоохранения, внутренних дел, промышленных
предприятий, организаций и специалистами грузоотправителя (грузополучателя)
должны оперативно выполнить следующий комплекс мероприятий:
а) провести
санитарно-химическую разведку очага аварии и территории, находящейся под
угрозой поражения от факторов аварии, определить границы опасной зоны, принять
меры по ее ограждению и оцеплению;
б) при необходимости провести
эвакуацию населения близлежащих территорий (радиус зоны эвакуации определяется
исходя из свойств и количества груза, особенностей местности и
погодно-климатических условий);
в) оценить пожарную обстановку;
г) выявить людей, подвергшихся
воздействию ядовитых (токсичных) и едких веществ, биологически опасных
препаратов, и организовать оказание им медицинской помощи;
д) разработать план ликвидации
аварийной ситуации, в котором предусмотреть следующий порядок действий:
дать краткую характеристику
очага поражения;
определить угрозу взрыва и
пожара для личного состава подразделений и населения, а также угрозу развития
пожара;
определить силы и средства,
необходимые для ликвидации последствий аварии, и порядок их использования;
поставить задачи отдельным
подразделениям и специализированным формированиям;
установить динамический
контроль содержания химических веществ в окружающей среде;
установить последовательность
аварийно-восстановительных работ;
организовать регистрацию
участников ликвидации последствий аварийной ситуации;
выбрать способы нейтрализации и
дегазации на основе указаний аварийной карточки;
организовать контроль за
полнотой нейтрализации (дегазации, обеззараживания) местности, объектов внешней
среды, техники, транспорта, спецодежды;
организовать медицинское
обеспечение;
предпринять необходимые меры
безопасности;
организовать управление ходом
работ и установить порядок представления донесений.
Общее руководство безопасным
ведением работ осуществляет руководитель работ по ликвидации последствий
аварийной ситуации. Ответственность за выполнение установленных руководителем
работ мер безопасности работниками подразделений железнодорожного транспорта, а
также личным составом привлеченных подразделений несут руководители этих
подразделений.
Запрещается приступать к
восстановительным работам в зоне аварии с опасными грузами силами подразделений
до прибытия соответствующих аварийных служб, устранения ими угрозы жизни и
здоровью людей и получения инструктажа на ведение восстановительных работ.
Если свойства веществ и
материалов неизвестны, руководитель работ может принять меры по их выяснению
через грузоотправителя (грузополучателя), специализированные
научно-исследовательские организации, автоматизированную
информационно-справочную систему "Опасные грузы", а в необходимых
случаях требовать направления на место аварии соответствующих специалистов
грузоотправителя (грузополучателя).
Вагоны с опасными грузами,
представляющие опасность (пожары, утечки), должны быть с соблюдением мер
предосторожности отведены в безопасное место на расстояние, указанное в
аварийной карточке, но не менее 200 м от производственных и жилых строений,
других вагонов с опасными грузами или на специально оборудованные пути,
определяемые техническо-распорядительным актом станции.
Работники Санэпиднадзора,
прибыв к месту аварийной ситуации, обязаны незамедлительно организовать
контроль за выполнением предписаний и рекомендаций по безопасному ведению
работ, а также контроль эффективности обеззараживания территории, транспортных
средств и механизмов.
На период проведения
аварийно-восстановительных работ должно быть организовано круглосуточное
дежурство медперсонала и при необходимости развернут стационарный эвакопункт.
Слив и выгрузка опасных грузов
из поврежденных цистерн или тары на грунт, в водоем и т.д. не разрешаются и
могут быть допущены только в исключительных случаях при наличии разрешения компетентного
органа по перевозке опасных грузов и по согласованию с местными органами
власти.
Возможность возобновления
движения поездов и маневровой работы через территорию, подвергшуюся загрязнению
в результате аварии, определяется руководителем работ после получения
соответствующего заключения органов Санэпиднадзора.
Работники Санэпиднадзора после
проведения работ по обеззараживанию (дегазации) обязаны организовать
лабораторный контроль их эффективности; если аварийная ситуация с опасными
грузами произошла в зимнее время, лабораторный контроль эффективности
обеззараживающих работ необходимо повторить в теплое время года; при
необходимости работы по обеззараживанию повторяются.
При возникновении пожара на
перегоне машинист после оценки обстановки по согласованию с поездным
диспетчером принимает решение либо следовать до ближайшей станции (разъезда),
либо остановить поезд на участке, по возможности горизонтальном и благоприятном
для подъезда пожарных автомобилей (у шоссейных дорог, переездов).
При возникновении пожара
машинист, дежурный по станции, маневровый диспетчер, поездной диспетчер должны
немедленно:
сообщить в органы внутренних
дел (линейные органы внутренних дел) и на центральный пункт пожарной связи
гарнизона пожарной охраны: наименования и количество груза в горящем и смежных
с ним вагонах; принятые меры по отцепке и эвакуации соседних вагонов,
обесточиванию участка контактной сети; характер (вид, степень) опасности
грузов, находящихся в зоне пожара, и другие необходимые сведения;
организовать сбор членов
добровольной пожарной дружины;
подать заявку энергодиспетчеру
о снятии напряжения в контактной сети;
обеспечить первоочередную
эвакуацию пассажиров, подвижного состава с людьми и опасными грузами в
безопасное место;
освободить до прибытия
пожарного поезда по возможности не менее трех соседних путей с обеих сторон от
очага пожара и вывести вагоны из опасной зоны на расстояние не менее 200 м.
приступить к тушению пожара с
использованием первичных средств пожаротушения согласно указанию аварийной
карточки;
предотвратить, по возможности,
растекание легковоспламеняющихся и горючих жидкостей; емкости с такими
жидкостями, по возможности, переместить в безопасное место;
заземлить после получения
информации о снятии напряжения контактную сеть на участках работы пожарных
подразделений в возможно короткий срок.
К выполнению работ при
необходимости могут быть привлечены другие работники железнодорожного
транспорта.
Ответственность за организацию
и руководство тушением пожара до прибытия пожарных подразделений, спасанием
пассажиров, эвакуацией подвижного состава и грузов возлагается: на станциях -
на начальника станции, его заместителя, а в их отсутствие на дежурного по
станции; на перегонах - на машинистов (помощников) и бригады специалистов
сопровождения опасных грузов.
Ответственный за тушение пожара
высылает работников железнодорожного транспорта для встречи подразделений
пожарной охраны.
После прибытия к месту пожара
подразделений пожарной охраны руководитель тушения пожара возглавляет работы по
тушению пожара и управляет подразделениями пожарной охраны, участвующими в
ликвидации пожара. Действия работников станции по эвакуации и рассредоточению
подвижного состава осуществляются по указанию руководителя тушения пожара или
по согласованию с ним.
Руководителем тушения пожара
для тушения пожара могут создаваться следующие боевые участки: по обеспечению
эвакуации подвижного состава; защите подвижного состава; тушению пожара и
охлаждению выведенных из зоны пожара железнодорожных вагонов, в том числе
вагонов-цистерн.
При пожаре на
электрифицированных участках запрещается до снятия напряжения приближаться к
проводам и другим частям контактной сети и воздушных линий на расстояние менее
2 м, а к оборванным проводам контактной сети на расстояние менее 8 м до их
заземления.
Заключение
В ходе дипломного
проектирования были рассмотрены: работа станции Порт Туркменбаши, процесс
взаимодействия двух видов транспорта - железнодорожного и морского в
техническом, технологическом и информационном аспектах, выявлены существующие
недостатки в работе, предложены меры по их устранению, которые позволят
ускорить прохождение внешнеторговых грузов через транспортный узел. Были также
проведены исследования по охране труда. На основе разработки дипломного проекта
сделаны следующие выводы и предложения:
) Увеличилась занятость
приемосдатчиков и требования к выполнению грузовых операций (подача вагонов
ведется строго по периодам, которые согласовываются с Порт Туркменбаши).
Выросли объемы работы с контейнерами, что является положительным моментом в
работе станции и порта, т.к. контейнерные перевозки более технологичны и
способствуют интеграции Туркменистана в мировую транспортную сеть.
) В настоящее время в Порт
Туркменбаши имеет место большая конкуренция в сфере транспортно-экспедиционных
услуг. В Порт Туркменбаши сейчас осуществляют свою деятельность около 45
различных экспедиторских организаций. Но не всегда условия, предложенные портом
для работы тех или иных экспедиторских фирм, являются одинаковыми. Также
непросто приходится небольшим экспедиторским фирмам, но это, безусловно, общая
проблема всего малого предпринимательства в Туркменистане.
) По прошлому опыту,
эффективный уровень взаимодействия достигается применением непрерывных
планов-графиков работы транспортного узла (НПГРТУ), задачей которых являются
оперативная координация и согласование режимов работы взаимодействующих видов
транспорта, создание устойчивого ритма транспортного конвейера, повышение его
общей производительности для сокращения времени обработки транспортных средств,
ускорение доставки грузов и, соответственно, снижение транспортных затрат.
Основная задача возрождения НПГРТУ - ускорение прохождения груза через порт.
) Необходимо автоматизировать
рабочие места и переходить на бездокументную технологию, то есть все процессы
(движение груза, выгрузка и т.п.) сопровождаются информацией, находящейся на
АСУ. Практическая реализация безбумажной технологии сталкивается с необходимостью
унификации понятий, кодов, классификаторов объектов. Создание унифицированной
для всех видов транспорта сети требует больших временных и денежных затрат.
Поэтому необходимо полнее использовать возможности интеграции действующих и
создаваемых ведомственных сетей, обеспечив при этом эффективное взаимодействие
между видами транспорта, выход на международные сети, а также возможность
информационного обслуживания судовладельцев и экспедиторов. На железнодорожном
транспорте в вопросе информационного обеспечения перевозок грузов достигнут
определенный прогресс. Учитывая наличие на морском транспорте современных
информационных и навигационных технологий с использованием спутниковой связи,
взаимодействие в этом вопросе двух ведомств, представляется объективно
необходимым.
) Также существует проблема,
связанная с большой продолжительностью оформления перевозочных документов
вследствие их большого количества. При разработке порядка оформления
перевозочных, сертификационных и таможенных документов, схем документооборота в
транспортном узле, необходимо исходить из следующих принципов: количество
документов должно быть минимальным; оформление документов должно производиться
заблаговременно или параллельно производству грузовых и технических операций с
судами и вагонами для исключения непроизводительных простоев транспортных
средств; передача документов не должна задерживать перемещения вагонов и судов,
а также прохождения грузов через порт.
) Современные транспортные
услуги предполагают, помимо гарантированных сохранности и доставки грузов, еще
и постоянное их информационное сопровождение на всем пути от поставщика к
потребителю, что возможно только при переходе на новый уровень информационно -
логистического сопровождения транспортного процесса. Именно такие информационные
технологии должны внедряться в системе, осуществляющей смешанные перевозки
грузов. Формирование единого информационного пространства позволит поднять на
более высокий уровень организации взаимодействие видов транспорта.
Таким образом, для совершенствования
взаимодействия представителей смежных областей транспортного бизнеса, является
развитие современных систем телекоммуникации и связи, внедрение информационных
технологий и создание единого информационного пространства всего транспортного
комплекса. Для создания единого информационного пространства необходима
координация не только перевозчиков, но и других ведомств: таможенных и
пограничных органов, министерства по антимонопольной политике и др. Это
позволит значительно улучшить качество услуг, предоставляемых транспортниками
клиентам и соответственно повысить конкурентоспособность российских
перевозчиков на мировом рынке.
) Большой удельный вес
транспортных расходов в общем объеме издержек, серьезное влияние
транспортировки на само существование материального потока ставят перед
транспортными предприятиями и фирмами задачи по сокращению суммарных затрат на
транспортировку и переработку грузов. На сегодняшний день компании - партнеры,
основным видом деятельности которых является транспортный бизнес, должны
рассматривать сложившуюся ситуацию с точки зрения снижения общих затрат, а не
сиюминутной личной выгоды каждого из них.
Надежная работа единой транспортной системы
Туркменистана немыслима без тесного делового взаимодействия между всеми
субъектами торгово-транспортных систем, проходящих через транспортный узел на
базе морского порта.
Координация действий различных организаций -
участников транспортного процесса в вопросах планирования, организации,
контроля и регулирования, применение передовых технологий и методов труда будет
способствовать ускорению процесса прохождения внешнеторговых грузов через
транспортный узел на базе морского порта Туркменистана, улучшению обработки
транспортных средств, снижению непроизводительных временных и финансовых
затрат.
Библиографический
список
1
Транспортный устав железных дорог Туркменистана. - Ашгабад, 2005.
Единый
технологический процесс Порт Туркменбаши и станции Порт Туркменбаши.
Правила
перевозок опасных грузов по железным дорогам (введены в действие на 15 заседании
СЖТ СНГ) (с изменениями на 20 ноября 2013 года) (редакция, действующая с 1
марта 2014 года).
Правила
безопасности и порядок ликвидации аварийных ситуаций с опасными грузами при
перевозке их по железным дорогам. (http://lawru.info/tag/t4492).
Технико-распорядительный
акт станции Порт Туркменбаши.
Гриневич
Г.П. Комплексная механизация и автоматизация погрузочно-разгрузочных работ на
железнодорожном транспорте: Учебник для ВУЗов ж.-д. трансп. 4-е изд., пере раб.
и доп. - М: Транспорт, 1981.
Задания
и методические указания, для разработки раздела в дипломных проектах по
дисциплине “Безопасность в чрезвычайных ситуациях”, методические указания к
дипломному проектированию СПБ 2006.
Технология
грузовой и коммерческой работы станции, методические указания к дипломному
проектированию СПБ 2010.
Безопасность
производственных процессов, методические указания к дипломному проектированию
СПБ 1996.
Сравнительная
технико-экономическая оценка эффективности различных вариантов доставки грузов
в транспортной логистике, учебное пособие СПБ 1999.
Инженерные
решения по охране труда “Электробезопасность”, учебное пособие СПБ 2002.