Решение задач, связанных с вычислениями над комплексными числами, в пакете Excel
МИНИСТЕРСТВО
ОБРАЗОВАНИЯ И НАУКИ РФ
ФЕДЕРАЛЬНОЕ
АГЕНСТВО ПО ОБРАЗОВАНИЮ
ИРКУТСКИЙ
ГОСУДАРСТВЕННЫЙ ТЕХНИЧЕСКИЙ УНИВЕРСИТЕТ
Кафедра
электроснабжения и электротехники
КУРСОВАЯ
РАБОТА
«Новые
информационные технологии в электроэнергетике»
Вариант №10
Выполнил
студент группы
Припадчев
И.А
Проверил
преподаватель кафедры ЭиЭ
Свеженцева
О.В
Иркутск 2008
1. Символический или
комплексный метод расчета разветвленных электрических цепей переменного
синусоидального тока средствами Excel
.1 Краткие теоретические
сведения
Цель данной работы показать возможности пакета Excel
применительно к решению задач, связанных с вычислениями над комплексными
числами. Математическая модель задачи основывается на методе контурных токов,
применяемом для расчета разветвленных электрических цепей.
Метод контурных токов.
При расчете методом контурных токов полагают,
что в каждом независимом контуре течет свой контурный ток. Уравнения составляют
относительно контурных токов, после чего определяют токи ветвей через контурные
токи. Таким образом, число неизвестных в методе контурных токов определяется
количеством независимых контуров и уравнения составляются по второму закону
Кирхгофа. Этот метод является более экономичным с вычислительной точки зрения,
т.к. содержит меньшее число уравнений. Покажем применение метода контурных
токов на примере анализа следующей электрической цепи.
Рис.1.2
В этой схеме два узла , три ветви и
два независимых контура. Положим, что в левом контуре, по часовой стрелке,
течет контурный ток
и в правом
также по часовой стрелке течет контурный ток
. Для каждого из контуров составим
уравнения по второму закону Кирхгофа. При этом учтем, что в смежной ветви (с
сопротивлением
) течет
сверху вниз ток
.
Направление обхода контуров примем также по часовой стрелке.
Уравнение для первого контура по
второму закону Кирхгофа
.
Или, по-другому, сгруппировав
коэффициенты при неизвестных
и
. (1.1)
Уравнения для второго контура
,
или
. (1.2)
В уравнении (1.1) коэффициент при
неизвестном токе
, являющийся
суммой сопротивлений первого контура , обозначим через
,
коэффициент при токе
-
сопротивление смежной ветви, взятое со знаком минус, обозначим через
. Объединим
эти уравнения в систему линейных алгебраических уравнений:
. (1.3)
Здесь
,
,
.
В общем случае можно сказать, что
сопротивление смежной ветви между
и
контурами (
) входит в
уравнение со знаком минус, если направления контурных токов
и
вдоль этой
ветви встречны, и со знаком плюс , если направления согласны. Если в схеме
будет больше двух контуров, например три, то система линейных алгебраических
уравнений , составленных по второму закону Кирхгофа будет состоять из трех
уравнений.
В общем случае система для
независимых
контуров в матричной форме имеет следующий вид:
. (1.4)
Здесь матрица коэффициентов
размерностью
, Вектор
столбец неизвестных
размерностью
, столбец
свободных членов
-
.
Рекомендуется для единообразия в
знаках сопротивлений с разными индексами все контурные токи направлять в одну и
ту же сторону, например, все по часовой стрелке.
Если в результате решения системы
линейных алгебраических уравнений какой-либо контурный ток окажется
отрицательным, то это будет означать что в действительности направление
контурного тока обратно, принятому, за положительное.
Квадратная матрица коэффициентов
является
симметричной матрицей относительно главной диагонали. Систему линейных
алгебраических уравнений (1.4) можно решать каким-либо точным методом решения
систем линейных алгебраических уравнений, например методом Гаусса (метод
последовательных исключений), методом обратной матрицы, методом Крамера (метод
определителей).
Применение к анализу и расчету цепей
переменного тока метода
контурных
токов.
Переменным током называется ток,
изменяющийся во времени по величине и направлению. Значение тока в любой данный
момент времени называется мгновенным значением тока
. Ток
определен, если известна зависимость его мгновенного значения от времени
и указано
его положительное направление. Токи, значения которых повторяются через равные
промежутки времени в той же последовательности, называются периодическими.
Очень широкое распространение на
практике получил символический, или комплексный метод расчета цепей
синусоидального тока. Сущность символического метода расчета состоит в том, что
при синусоидальном токе можно перейти от уравнений, составленных для мгновенных
значений и являющихся дифференциальными уравнениями к алгебраическим
уравнениям, составленным относительно комплексов тока и э.д.с. Этот переход
основан на том , что в любом уравнении, составленном по законам Кирхгофа для
установившегося процесса, мгновенное значение тока
заменяют
комплексной амплитудой тока
; мгновенное значение напряжения на
активном сопротивлении
-комплексом 
, мгновенное значение напряжения на
индуктивности
- комплексом

, опережающим ток на
; мгновенное
значение напряжения на емкости
- комплексом 
, отстающим от тока на
;
мгновенное значение э.д.с.
- комплексом
.
Известно, что окончательные
расчетные формулы метода контурных токов получают в результате выводов, в основу
которых положен второй закон Кирхгофа. Поскольку первый и второй законы
Кирхгофа справедливы и для цепей синусоидального тока, то все вышеприведенные
выкладки справедливы и для цепей синусоидального тока. Все расчетные формулы
пригодны и для расчета синусоидальных цепей, если в этих расчетных формулах
вместо постоянного тока
подставить
комплекс тока
, вместо
сопротивления
комплексное
сопротивление
, вместо
постоянной э.д.с.
-
комплексную э.д.с.
.
Покажем применение комплексной
арифметики к решению систем линейных алгебраических уравнений с комплексными
коэффициентами методом обратной матрицы.
Пусть дана система 
линейных алгебраических уравнений с
комплексными коэффициентами. Запишем ее в матричной форме.
.
В этой системе матрица коэффициентов
размерность
состоит из
комплексных чисел
, где
и
. Столбец
неизвестных
размерностью
представляет
собой также комплексные числа
, где
. Столбец свободных членов
размерностью
состоит
также из комплексных чисел
, где
.
Общепринятым приемом решения систем
линейных алгебраических уравнений с комплексными коэффициентами является
представление этой системы в виде двух систем линейных алгебраических уравнений
- го
порядка: отдельно для действительной части и отдельно для мнимой части. В итоге
получаем вместо системы, состоящей из
линейных алгебраических уравнений с
комплексными коэффициентами, систему, состоящую из
уравнений с
действительными коэффициентами, в которой неизвестными являются действительные
и мнимые части числа
, т.е.
.
Будем решать эту задачу средствами Excel . Исходными
данными в этой задаче будут выступать матрица коэффициентов
и столбец
свободных членов
. Для ввода
матрицы коэффициентов зарезервируем двумерный массив с числом строк -
, числом
столбцов -
. Для ввода
каждого из коэффициентов исходной системы отводится по две ячейки в строке : отдельно
под действительную, отдельно под мнимую часть числа.
Преобразуем исходную матрицу
коэффициентов во вспомогательную матрицу коэффициентов размерностью
. Каждую
строку исходной матрицы коэффициентов преобразуем в две строки во
вспомогательной матрице. Покажем это преобразование на следующем примере: пусть
исходная система линейных алгебраических уравнений с комплексными
коэффициентами состоит из трех уравнений, запишем первое уравнение этой системы
в общем виде:



Раскроем скобки, перемножив попарно
комплексные числа, и вновь представим эти произведения в виде комплексных чисел:


Приравниваем теперь правую и левую
части последнего уравнения отдельно для действительной и отдельно для мнимой
частей. В итоге имеем:




Здесь неизвестными являются:
Последние две строчки в этой таблице дают
фрагмент вспомогательной матрицы коэффициентов, соответствующий первому
уравнению в нашей системе линейных алгебраических уравнений с комплексными
коэффициентами. Аналогично строятся фрагменты во вспомогательной матрице
коэффициентов, соответствующие второму и третьему уравнению в системе.
В итоге получаем вспомогательную
матрицу коэффициентов размерностью
для нахождения
неизвестных
,
,
,
,
,
. При
условии, что детерминант этой системы не вырожден, находим решение этой системы
методом обратной матрицы. Обозначим вспомогательную матрицу коэффициентов через
. Найдем
обратную матрицу
. Умножив
эту матрицу на вектор-столбец свободных членов, найдем искомые неизвестные
,
,
,
,
,
.
1.2
Исходные данные для варианта №10
|
Вариант
|
          
|
|
|
|
|
|
|
|
|
|
|
|
|
10
|
23
|
80
|
33
|
5
|
-
|
6
|
89
|
-
|
38+2j
|
60
|
34j
|
.3 Расчетная Excel таблица
для расчета коэффициентов системы линейных алгебраических уравнений
|
C1=
|
33
|
Xc!=
|
-96,5065
|
Z11=
|
27
|
+
|
-96,3181
|
|
C2=
|
5
|
Xc2=
|
-636,943
|
Z22=
|
84
|
+
|
-636,943
|
|
C3=
|
0
|
Xc3=
|
0
|
Z33=
|
80
|
+
|
2,7946
|
|
L1=
|
6
|
Xl1=
|
0,1884
|
|
|
|
|
|
L2=
|
89
|
Xl2
|
2,7946
|
|
Z12=Z21=
|
-4
|
|
|
L3=
|
0
|
Xl3=
|
0
|
|
Z23=Z32=
|
-80
|
|
|
R1=
|
23
|
|
|
|
|
|
|
|
R2=
|
4
|
|
|
|
|
|
|
|
R3=
|
80
|
|
|
|
|
|
|
Применяемые формулы для расчета:
Система линейных алгебраических
уравнений с комплексными коэффициентами приобрела вид:
Матрица коэффициентов,
преобразованная для применения ее в Excel, принимает
вид:
|
L1
|
B1
|
L2
|
B2
|
L3
|
B3
|
|
27
|
-4
|
0
|
0
|
0
|
|
-96,31
|
27
|
0
|
-4
|
0
|
0
|
|
Z=
|
-4
|
0
|
84
|
636,943
|
-80
|
0
|
|
0
|
-4
|
-636,943
|
84
|
0
|
-80
|
|
0
|
0
|
-80
|
0
|
80
|
-2,79
|
|
0
|
0
|
0
|
-80
|
2,79
|
80
|
Вектор столбец свободных членов приобретает вид:
1.4 Excel -
программа по расчету контурных токов
|
L1
|
B1
|
L2
|
B2
|
L3
|
B3
|
|
27
|
96,31
|
-4
|
0
|
0
|
0
|
|
-96,31
|
27
|
0
|
-4
|
0
|
0
|
|
Z=
|
-4
|
0
|
84
|
636,943
|
-80
|
0
|
|
0
|
-636,943
|
84
|
0
|
-80
|
|
0
|
0
|
-80
|
0
|
80
|
-2,79
|
|
0
|
0
|
0
|
-80
|
2,79
|
80
|
|
|
98
|
|
|
|
|
|
|
2
|
|
|
|
|
|
E=
|
-60
|
|
|
|
|
|
|
0
|
|
|
|
|
|
|
0
|
|
|
|
|
|
|
-34
|
|
|
|
|
|
|
Обратная
матрица
|
|
|
|
Z1=
|
0,00269743
|
-0,009624411
|
-6,05944E-05
|
-1,74058E-05
|
-5,99E-05
|
-1,94953E-05
|
|
0,00962441
|
0,00269743
|
1,74058E-05
|
-6,05944E-05
|
1,95E-05
|
-5,99145E-05
|
|
-6,059E-05
|
-1,74058E-05
|
1,00754E-05
|
-0,001576451
|
6,5E-05
|
-0,001574185
|
|
1,7406E-05
|
-6,05944E-05
|
0,001576451
|
1,00754E-05
|
0,001574
|
6,49751E-05
|
|
-5,991E-05
|
-1,94953E-05
|
6,49751E-05
|
-0,001574185
|
0,012605
|
-0,001134601
|
|
1,9495E-05
|
-5,99145E-05
|
0,001574185
|
6,49751E-05
|
0,001135
|
0,012604544
|
|
Произведение
исходной матрицы на обратную
|
|
|
|
Z*Z1=
|
1
|
-7,14218E-18
|
-8,80914E-20
|
0
|
5,42E-20
|
0
|
|
7,1557E-18
|
0
|
-1,35525E-19
|
0
|
1,0842E-19
|
|
1,7347E-18
|
-8,67362E-19
|
1
|
0
|
0
|
4,16334E-17
|
|
3,2526E-18
|
8,67362E-19
|
0
|
1
|
0
|
0
|
|
-4,066E-19
|
2,43945E-19
|
0
|
-1,4447E-17
|
1
|
6,93889E-18
|
|
0
|
0
|
0
|
1,73472E-18
|
2,78E-17
|
1
|
|
Искомые
токи
|
|
|
|
|
|
0,24939781
|
|
|
|
|
|
|
0,94957988
|
|
|
|
|
|
|
I=
|
0,04694469
|
|
|
|
|
|
|
-0,0952116
|
|
|
|
|
|
|
0,02876733
|
|
|
|
|
|
|
-0,5212149
|
|
|
|
|
|
В соответствии с произведенным расчетом:
2. Решение
в пакете Mathcad систем
линейных алгебраических уравнений с комплексными коэффициентами методом Гаусса
.1 Краткие
теоретические сведения
В системе Mathcad возможно
решение систем линейных алгебраических уравнений с комплексными коэффициентами.
Любое выражение, начинающееся с цифры, Mathcad
интерпретирует как число. Большинство операций в среде Mathcad по
умолчанию осуществляется над комплексными числами. В Mathcad комплексное
число представляется в алгебраической форме. Чтобы ввести комплексное число
следует в начале ввести действительную часть комплексного числа, затем знак +
или - , коэффициент перед мнимой частью (это может быть любое действительное
число), а затем символ <i>. Для ввода мнимой единицы надо
нажать клавиши <1>,<i>. Комплексное число можно ввести
в виде обычной суммы действительной и мнимой частей или в виде выражения,
содержащего мнимое число.
В Mathcadе используют
две встроенные константы, обозначающие мнимую единицу
.
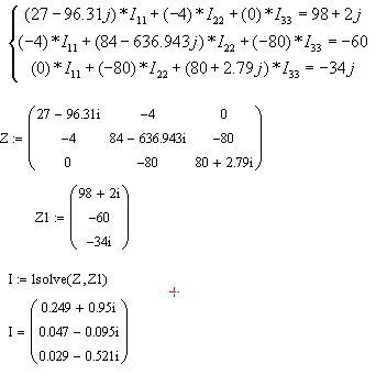
Из курса линейной алгебры известно,
система линейных алгебраических уравнений (СЛАУ) имеет единственное решение,
если ее матрица коэффициентов является невырожденной. Самый простой способ
решения таких систем - использование алгоритма Гаусса, реализованного во
встроенной функции Lsolve.
Для применения этого способа
необходимо, чтобы СЛАУ была записана в матричной форме.
Для обращения к функции нужно
указать два аргумента:
. В функции Lsolve
запрограммирован численный метод LU-разложения, основанный на
алгоритме последовательных исключений Гаусса. Суть его состоит в преобразовании
матрицы коэффициентов
к верхнему
треугольному виду, т.е. к форме, когда все элементы ниже главной диагонали
матрицы являются нулевыми. Результат, выдаваемый методом Гаусса, является
точным.
Расширенная матрица коэффициентов
принимает вид:
2.2 Mathcad- программа
решения систем линейных алгебраических уравнений с комплексными коэффициентами
В результате получили , что значения
контурных токов, найденные с помощью Excel программы
совпадают со значения, найденными в Mathcad программе.
3. Решение
в пакете Mathcad систем
обыкновенных дифференциальных уравнений методом Рунге-Кутта
.1 Краткие
теоретические сведения
Численные методы решения
обыкновенных дифференциальных уравнений используются для расчета переходных
процессов в электроэнергетических системах. Рекомендуемый численный метод
расчета переходного процесса - метод Рунге-Кутта. Все изложение ведется под
реализацию этого метода.
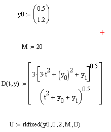
В качестве исходных данных задачи
имеем:
1. Систему обыкновенных дифференциальных
уравнений 1-го порядка, описывающую переходный процесс в электроэнергетической
системе.
2. Начальные условия Коши. Под
начальными условиями Коши понимают значения искомых переменных при
.
. Интервал интегрирования
системы обыкновенных дифференциальных уравнений. Переходные процессы в линейных
электрических цепях обычно являются быстропротекающими, длительность их
составляет десятые, сотые доли секунды.
Должен быть задан шаг интегрирования
. В Mathcad имеется
несколько встроенных функций, которые позволяют решать задачу Коши для систем
обыкновенных дифференциальных уравнений 1-го порядка:
·
- метод Рунге-Кутта с фиксированным
шагом
;
·
- метод Рунге-Кутта с переменным
шагом
;
·
- метод Булирша-Штера.
У этих функций следующие аргументы:
-вектор начальных значений в точке
размерностью
,
- начальная точка расчета,
- конечная точка расчета,
- число шагов, на которых численный
метод находит решение, эта переменная однозначно определяет шаг интегрирования,
он равен длине отрезка интегрирования
, деленному на число
, чем больше
число
, тем точнее
найденное решение,
- векторная функция размера
двух
аргументов - скалярного
и
векторного
. При этом
- искомая
векторная функция аргумента
того же
3.2
Исходные данные для варианта №10
3.3 Mathcad-
программа решения систем обыкновенных дифференциальных уравнений методом Рунге
- Кутта
Считаем с шагом
Считаем с шагом
:
Считаем с шагом
:
4.
Схемотехническое моделирование в системе Elektronics Workbench
Elektronics Workbench позволяет
строить аналоговые, цифровые и цифро-аналоговые схемы различной степени
сложности.
Исследуемая схема собирается на
рабочем поле при одновременном использовании мыши и клавиатуры. При построении
и редактировании схем выполняются следующие операции:
· выбор компонент из библиотеки
компонентов,
· выделение объекта,
· перемещение объекта,
· копирование объекта,
· удаление объекта,
· соединение компонентов схемы
проводниками,
· установка значений компонентов,
· подключение приборов.
После построения схемы и подключения приборов
анализ ее работы начинается после нажатия выключателя в правом верхнем углу
окна программы. Сделать паузу при работе схемы можно нажатием клавиши F9
на клавиатуре. Повторное нажатие выключателя в правом верхнем углу прекращает
работу схемы.
4.1 Эквивалентные
преобразования двухполюсников
Сведения из теории. Замена является
эквивалентной, если при одинаковых токах через элементы напряжения на их
зажимах также будут равны.
· Замена двух последовательно
включенных сопротивлений:
.
· Замена двух параллельно включенных
сопротивления:
.
· Замена двух последовательно
включенных ЭДС:
(сумма алгебраическая).
· Замена двух параллельно включенных
источников тока
.
· Замена неидеального источника тока
неидеальным источником ЭДС:
электрический сеть комплексный excel
и
.
Формула для обратной замены:
и
,
где
- резистор,
включенный последовательно с источником ЭДС
;
- резистор, включенный параллельно
источнику тока
.
Цель работы: исследование
последовательного параллельного соединения резисторов.
4.2
Индивидуальное задание для варианта №10
5.
Структурное моделирование в системе Matlab
Пакет Power System Blockset служит для
моделирования энергетических систем и устройств. Для обращения к этому пакету
следует в окне браузера выбрать библиотеку этого пакета. В состав библиотеки
входят:
1. Elektrical
Sources-источники
электрической энергии и сигналов
2. Elementes-
линейные и нелинейные компоненты электротехнических и электронных устройств
3. Power
Electronics-устройства
энергетической электроники
4. Machines-электрические
машины
5. Connectors-подключающие
устройства
6. Measurements-измерительные
и контрольные устройства
7. Powerlib
Extras- специальные
энергетические устройства.
Библиотека звеньев блоков представляет собой
набор объектов, используя которые можно собирать произвольную конструкцию.
Число однотипных звеньев в структурной схеме модели не ограничено. Каждый блок,
входящий в пакет, имеет хотя бы один параметр настройки. Чтобы открыть окно
настройки параметров, необходимо дважды щелкнуть левой клавишей мыши на
изображении блока. На рис. 4.1 представлено окно настройки параметров RLC-цепи.
5.1 Последовательные
и параллельные RLC-цепи
В состав библиотеки входят две последовательные
и две параллельные RLC-цепи.
Эти цепи (последовательная Series
RLC Branch
и параллельная Parallel
RLC Branch)
задаются тремя параметрами: сопротивлением R,
индуктивностью L, емкостью
С. У так называемых нагрузочных цепей (последовательная Series
RLC Load
и параллельная Parallel
RLC Load)
дополнительно задаются допустимые мощности рассеяния: активная для резистора и
реактивные для индуктивности и конденсатора. Последовательные и параллельные RLC-цепи
могут использоваться для моделирования колебательных контуров и создания эквивалентов
нагрузки.
Отдельные элементы R,
L, C
Для ввода отдельных элементов
(резистора R,
конденсатора С, индуктивности L) можно использовать любую из RLC-цепей,
задав параметрам значения, соответствующие отсутствию ненужных компонентов.
Например, если с помощью последовательной RLC-цепи нужно
задать только резистор R, то надо задать
(индуктивность
при этом исчезнет и будет заменена проводником) и
(
означает
бесконечно большое значение емкости, что превращает ее также в проводник). Это
правило модификации распространяется и на другие сложные компоненты. Это
правило позволяет быстро модернизировать отдельные цепи, например превращать
резистор R в RL и RLC-цепь, не
вводя новых компонент в уже составленную схему, а просто задав их в окне
параметров RLC-цепей.
Протокол работы схемы:
СПИСОК ИСПОЛЬЗУЕМОЙ ЛИТЕРАТУРЫ
1. 1.Электротехника
и электроника в экспериментах и упражнениях. Практикум на Elektronics
Workbench в двух томах / Под
ред. Д.И. Панфилова. -М.: “Додека”, ,2000 , т.2.-287 с.
2. А.И.
Плис, Н.А. Сливина. Mathcad
2000. Математический практикум для экономистов и инженеров - М.: “Финансы и
статистика”, 2000. - 655с.
. Л.А.
Бессонов. Электрические цепи - М.: “Высшая школа”,1996,. -559 с.
. Л.А.
Бессонов. Теоретические основы электротехники (в трех частях) - М.: “Высшая
школа”,1973,. - 749 с.
. О.В.
Свеженцева , Ю.В. Гаврилова. Вычислительная математика. Основные алгоритмы. МУ
для выполнения лабораторных работ для студентов специальности 10.04. - Иркутск,
2002. - 23 с.
. Ф.А.Васильева,
О.В. Свеженцева. Исследование переходных процессов в линейных электрических
цепях 3-го порядка численными методами. МУ к аттестационной работе по циклу
ЕНД. - Иркутск, 2002. - 48 с.
. В.П.Дьяконов.
Mathlab 6/5 SPI/7.0
+Simulink 5/6 в математике и
моделировании. - М.: “СОЛН- Пресс”, 2005.