Модернизация узла теплообмена установки гидроочистки дизельных топлив на Омском НПЗ
Министерство образования и науки
Российской Федерации
федеральное государственное бюджетное
образовательное учреждение
высшего профессионального образования
«Национальный минерально-сырьевой
университет «Горный»
кафедра автоматизации технологических
процессов и производств
Допускается к
защите в ГАК
Заведующий
кафедрой АТПП, доцент
__________________
КульчицкийА.А.
“____”
___________ 2014 г.
ДИПЛОМНАЯ РАБОТА
ДР 091078
ПОЯСНИТЕЛЬНАЯ ЗАПИСКА
Тема: Модернизация узла теплообмена
установки гидроочистки дизельных топлив на Омском НПЗ
Автор:
студент гр. ОНГ-09-1 ____________________ / Неежко М.А. /
Руководитель
работы: в.н.с., к.х.н. ___________/ Шариков Ф.Ю, /
Рецензент:
в.н.с. хим.фак. МГУ им.Ломоносова __________ /Баранов А.Н./
Консультанты:
ГЭ доцент
______________ / Кремчеев Э.А./
БП ассистент
______________ / Ковшов С.В. /
О и У доцент
______________ / Смирнова Н.В./
НГ и Г
профессор ______________ / Голдобина Л.А./
Ин.яз доцент
______________ / Кузнецова Е.В./
Санкт-Петербург 2014
Содержание
АННОТАЦИЯ
Введение
. ОПИСАНИЕ ТЕХНОЛОГИЧЕСКОГО ПРОЦЕССА И ТЕХНОЛОГИЧЕСКОЙ СХЕМЫ
.1 Описание технологического процесса
.1.1 Назначение процессов гидроочистки
.1.2 Химизм процесса гидроочистки
.1.3 Катализаторы гидроочистки
.1.4 Тепловой эффект реакции
.1.5 Влияние параметров процесса на гидроочистку
. ОБЩИЕ СВЕДЕНИЯ ТЕПЛООБМЕННЫХ АППАРАТОВ
.1 Классификация теплообменных аппаратов
.1.1 Кожухотрубчатые теплобменники
.1.2 Пластинчатые теплообменники
.1.3 Теплообменник типа «труба в трубе»
.1.4 Спиральный теплообменник
. ХАРАКТЕРИСТИКА СТАЛИ
.1 Сталь
.2 Сталь ОХ18Н10Т
.2.1 Химический состав нержавеющей стали ОХ18Н10Т по ГОСТ
5632-72 (в %)
.2.2 Механические свойства (характеристики) при Т=20oС
нержавеющей стали ОХ18Н10Т.
.2.3 Физические свойства материала 0Х18Н10Т
.2.4 Технологические свойства материала сталь 0Х18Н10Т
.3 Сталь 12МХ
.3.1 Химический состав стали 12МХ ГОСТ 20072 - 74 (в %)
.3.2 Механические свойства при Т=20oС материала 12МХ
.3.3 Физические свойства материала 12МХ
.3.4 Технологические свойства материала 12МХ
. МОДЕЛИРУЮЩИЕ ПРОГРАММЫ ДЛЯ НЕФТЯНОЙ И ГАЗОВОЙ
ПРОМЫШЛЕННОСТИ
.1 Система проектирования AutoCAD
.2 Программный пакет Компас-3D
.3 Программный пакет Aspen HYSYS
.3.1 Термодинамические данные по чистым компонентам
.3.2 Средства представления и анализа свойств нефтей и
газовых конденсатов
.3.3 Методы расчета термодинамических свойств
.3.4 Средства моделирования отдельных процессов и аппаратов
.3.5 Построение технологических схем из отдельных элементов
.3.6 Расчет технологических схем
.3.6.7 Анализ старой и подборка новой оптимальной схемы
теплообмена в программном пакете HYSYS.
. ТЕПЛОВОЙ И МАТЕРИАЛЬНЫЙ РАСЧЕТ ТЕПЛООБМЕННИКА Т-5
.1 Температурный режим аппарата
.2 Тепловая нагрузка аппарата
.3 Ориентировочный выбор теплообменника
.4 Коэффициент теплоотдачи от стенки к раствору
.5 Коэффициент теплоотдачи от сырья к стенке
.6 Тепловое сопротивление стенки
.7 Коэффициент теплопередачи
.8 Температуры стенок
.9 Поверхность теплообмена
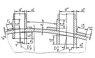
. КОНСТРУКТИВНЫЙ РАСЧЕТ
.1 Кожух теплообменника
.2 Обечайка цилиндрическая.
.3 Днище эллиптическое №1
.4 Днище эллиптическое №2
.5 Опоры аппарата.
.6 Штуцер
.7 Фланцевое соединение
.8 Трубная решетка
. ГИДРАВЛИЧЕСКИЙ РАСЧЕТ
.1 Скорость раствора в трубах
.2 Коэффициент трения
.3 Скорость раствора штуцерах
.4 Гидравлическое сопротивление трубного пространства
. ЭКОНОМИЧЕСКАЯ ЧАСТЬ
.1 Расчет материальных затрат
.2 Расчет показателей оценки инвестиционного проекта
. БЕЗОПАСНОСТЬ ЖИНЕДЕЯТЕЛЬНОСТИ В УСЛОВИЯХ ЭКСПЛУАТАЦИИ
УСТАНОВКИ Л-24/7.
.1 Анализ вредных и опасных факторов производства
.2 Основные требования по пожарной безопасности
.2.1 Требования пожарной безопасности к электроустановкам и
вентиляци
.2.2 Средства (системы) пожаротушения на установке
.2.3 Обеспечение безопасности людей при пожаре
.3 Анализ вредных и опасных факторов производства
.3.1 Взрывоопасность и пожароопасность на установке Л-24/7.
.4 Дополнительные меры безопасности при эксплуатации
производства
.4.1 Безопасные методы обращения с пирофорными отложениями и
продуктами
.4.2 Способы обезвреживания и нейтрализации продуктов на
установке при разливах и авариях
.5 Коллективные и индивидуальные средства защиты работающих
.5.1 Коллективные средства защиты работающих
.5.2 Средства индивидуальной защиты работающих
.6 Безопасность ведения работ в условиях ЧС.
.6.1 Прекращение подачи оборотной воды
.6.2 Прекращение подачи электроэнергии.
.6.3 Прекращение подачи воздуха КИП.
.6.4 Прекращение подачи сырья на установку
.6.5 Прекращение подачи жидкого топлива на установку
.6.6 Нарушение в системе канализации и в оборотных системах
водоснабжения
.6.7 Ограничение или прекращение приема продуктов с установки
.6.8 Нарушение санитарного режима, представляющие опасность
для людей и окружающей среды
.6.9 Остановка циркуляционного компрессора ПК-1 (ПК-2, ПК-3)
.6.10 Разрыв (прогар) трубы в печах П-1 (П-2), П-3 (П-4)
.6.11 Разгерметизация фланцевого соединения или трубопровода,
работающего под давлением
.6.12 Остановка сырьевого насоса Н-1, Н-2, Н-3
.6.13 Остановка горячего насоса Н-4, Н-5, Н-6
.6.14 Отказ КИП и А, при котором необходима аварийная
остановка
.7 Анализ травматизма и профзаболеваемости
. ЭКОЛОГИЧЕСКАЯ ЧАСТЬ
.1 Промышленные отходы
.2 Твердые и жидкие отходы
.3 Сточные воды
.4 Выбросы в атмосферу
.5 Расчет предусмотренных выплат за выбросы с предприятия
Библиографический список
Приложения
АННОТАЦИЯ
В данной дипломной работе проведены анализ, моделирование и модернизация
узла теплообмена реакторного блока установки гидроочистки дизельных топлив.
Проведено обоснование выбранной конструкции оборудования, найден оптимальный
режим его функционирования, описаны технологические параметры процесса.
В специальной части предложена математическая модель узла теплообмена
реакторного блока, позволяющая получить ключевые параметры процесса
теплообмена, на основе модели найден оптимальный режим работы узла теплообмена.
Для построения математической модели узла теплообмена и анализа
экспериментальных данных было использовано программное обеспечение Aspen HYSYS, версия 3.2. для графического моделирования
модернизированного теплообменника - программный пакет КОМПАС.
Также был проведен экономический анализ предложенного технологического
решения, описаны соответствующие экологические показатели и показатели
безопасности жизнедеятельности.
Дипломная работа содержит пояснительную записку объемом 100 страниц,
включающую 30 таблиц, 22 рисунка, 1 чертеж формата А1.
ABSTRACT
, modeling and modernization of the heat exchange unit
reactor block of diesel hydro-treating installation have been performed in this
graduation paper. The choice of equipment has been proved, the optimal mode of
its operation has been found, the basic technological parameters of the process
have been described.model of the heat exchange unit of reactor block has been
proposed in the special part. It has allowed to find the key technological
parameters of the heat exchange process The optimum operation for the heat
exchange assembly has been found on the basis the model.Aspen HYSYS, version
3.2, has been used for development of the mathematical model of heat exchange
unit and experimental data analysis, “КОМПАС” program package - for reactor graphical
presentation.economical and ecological parameters of the proposed technological
process have been described in this graduation paper. Corresponding indicators
of safety characteristics have also been presented.thesis contains an
explanatory note of 100 pages, including 30 tables, 22 figures, 1 drawing A1.
Введение
Омский
нефтеперерабатывающий завод - одно из крупнейших нефтеперерабатывающих предприятий России. Принадлежит компании
«Газпром нефть
<#"870410.files/image001.gif">
Рис.1. Кожухотрубчатый теплообменник
Кожухотрубные теплообменники появились в начале ХХ века в связи с
потребностями тепловых станций в теплообменниках с большой поверхностью, таких,
как конденсаторы и подогреватели воды, работающие при относительно высоком
давлении. Кожухотрубные теплообменники применяются в качестве конденсаторов,
подогревателей и испарителей. В настоящее время их конструкция в результате
специальных разработок с учетом опыта эксплуатации стала намного более
совершенной. В те же годы началось широкое промышленное применение
кожухотрубных теплообменников в нефтяной промышленности. Для эксплуатации в
тяжелых условиях потребовались нагреватели и охладители массы, испарители и
конденсаторы для различных фракций сырой нефти и сопутствующих органических
жидкостей. Теплообменникам часто приходилось работать с загрязненными
жидкостями при высоких температурах и давлениях, и поэтому их необходимо было
конструировать так, чтобы обеспечить легкость ремонта и очистки.
С годами кожухотрубные теплообменники стали наиболее широко применяемым
типом аппаратов. Это обусловлено прежде всего надежностью конструкции, большим
набором вариантов исполнения для различных условий эксплуатации, в частности:
· однофазные потоки, кипение и конденсация по горячей и
холодной сторонам теплообменника с вертикальным или горизонтальным исполнением
· диапазон давления от вакуума до высоких значений
· в широких пределах изменяющиеся перепады давления по обеим
сторонам вследствие большого разнообразия вариантов
· удовлетворение требований по термическим напряжениям без
существенного повышения стоимости аппарата
· размеры от малых до предельно больших (5000 м2)
· возможность применения различных материалов в соответствии с
требованиями к стоимости, коррозии, температурному режиму и давлению
· использование развитых поверхностей теплообмена как внутри
труб, так и снаружи, различных интенсификаторов и т.д.
· возможность извлечения пучка труб для очистки и ремонта
Кожухотрубные теплообменники состоят из пучков труб, укрепленных в
трубных досках, кожухов, крышек, камер, патрубков и опор. Трубное и межтрубное
пространства в этих аппаратах разобщены, причем каждое из них может быть
разделено перегородками на несколько ходов. Классическая схема кожухотрубчатого
теплообменника показана на рисунке.
Рис.2. Классическая схема кожухотрубчатого теплообменника
Теплопередающая поверхность аппаратов может составлять от нескольких
сотен квадратных сантиметров до нескольких тысяч квадратных метров. Так,
конденсатор паровой турбины мощностью 150 Мвт состоят из 17 тысяч труб с общей
поверхностью теплообмена около 9000 м2.
Кожух (корпус) кожухотрубчатого теплообменника представляет собой трубу,
сваренную из одного или нескольких стальных листов. Кожухи различаются главным
образом способом соединения с трубной доской и крышками. Толщина стенки кожуха
определяется давлением рабочей среды и диаметром кожуха, но принимается не
менее 4 мм. К цилиндрическим кромкам кожуха приваривают фланцы для соединения с
крышками или днищами. На наружной поверхности кожуха прикрепляют опоры
аппарата. В кожухотрубчатых теплообменниках проходное сечение межтрубного
пространства в 2-3 раза больше проходного сечения внутри труб. Поэтому при
равных расходах теплоносителей с одинаковым фазовым состоянием коэффициенты
теплоотдачи на поверхности межтрубного пространства невысоки, что снижает общий
коэффициент теплопередачи в аппарате. Устройство перегородок в межтрубном
пространстве кожухотрубчатого теплообменника способствует увеличению скорости
теплоносителя и повышению эффективности теплообмена. Трубные доски (решетки)
служат для закрепления в них пучка труб при помощи развальцовки, разбортовки,
заварки, запайки или сальниковых креплений. Трубные доски приваривают к кожуху
(рис. а, в), зажимают болтами между фланцами кожуха и крышки (рис. б, г) или
соединяют болтами только с фланцем свободной камеры (рис. д, е). материалом
досок служит обычно листовая сталь толщиной не менее 20 мм. Кожухотрубчатые
теплообменники могут быть жесткой (рис. а, к), нежесткой (рис. г, д, е, з, и) и
полужесткой (рис. б, в, ж) конструкции, одноходовые и многоходовые,
прямоточные, противоточные и поперечноточные, горизонтальные, наклонные и
вертикальные. На рисунке а) изображен одноходовой теплообменник с прямыми
трубками жесткой конструкции. Кожух и трубки связаны трубными решетками и
поэтому нет возможности компенсации тепловых удлинений. Такие аппараты просты
по устройству, но могут применяться только при сравнительно небольших разностях
температур между корпусом и пучком труб (до 50оС). Они имеют низкие
коэффициенты теплопередачи вследствие незначительной скорости теплоносителя в
межтрубном пространстве. В кожухотрубчатых теплообменниках проходное сечение
межтрубного пространства в 2-3 раза больше проходного сечения трубок. Поэтому
при одинаковых расходах теплоносителей, имеющих одинаковое агрегатное
состояние, коэффициенты теплоотдачи на поверхности межтрубного пространства
невысокие, что снижает коэффициент теплопередачи в аппарате. Устройство
перегородок в межтрубном пространстве способствует увеличению скорости
теплоносителя и повышению коэффициента теплопередачи. На рисунке б изображен
теплообменник с поперечными перегородками в межтрубном пространстве и
полужесткой мембранной компенсацией тепловых удлинений вследствие некоторой
свободы перемещения верхней трубной доски. Для устранения напряжений в металле,
обусловленных тепловыми удлинениями, изготавливают также однокамерные
теплообменники с гнутыми U- и W-образными трубами. Они целесообразны при
высоких давлениях теплоносителей, так как изготовление водяных камер и
крепление труб в трубных досках в аппаратах высокого давления - операции
сложные и дорогие. Однако аппараты с гнутыми трубами не могут получить широкого
распространения из-за трудности изготовления труб с разными радиусами гиба,
сложности замены труб и неудобства чистки гнутых труб.
Компенсационные устройства сложны в изготовлении (мембранные, сильфонные,
с гнутыми трубами) или недостаточно надежны в эксплуатации (линзовые,
сальниковые). Более совершенна конструкция теплообменника с жестким креплением
одной трубной доски и свободным перемещением второй доски вместе с внутренней
крышкой трубной системы (рис. е). некоторое удорожание аппарата из-за
увеличения диаметра корпуса и изготовления дополнительного днища оправдывается
простотой и надежностью в эксплуатации. Эти аппараты получили название
теплообменников «с плавающей головкой». Теплообменники с поперечным током (рис.
к) отличаются повышенным коэффициентом теплоотдачи на наружной поверхности
вследствие того, что теплоноситель движется поперек пучка труб. При
перекрестном токе снижается разность температур между теплоносителями, однако
при достаточном числе трубных секций различие в сравнении с противотоком
невелико. В некоторых конструкциях таких теплообменников при протекании газа в
межтрубном пространстве и жидкости в трубах для повышения коэффициента
теплоотдачи применяют трубы с поперечными ребрами.
Преимущества кожухотрубных теплообменников:
· Надежность
· Высокая эффективность
· Компактность
· Широкий спектр применений
· Большая площадь теплообмена
· Не повреждает структуру продукта
· Легкая очистка и обслуживание
· Отсутствие "мертвых зон"
· Низкие затраты электроэнергии
· Безопасное использование для персонала
Рис.3. Различные варианты кожухотрубчатых теплообменников
2.1.2 Пластинчатые теплообменники
Устройство,
в котором осуществляется передача теплоты
<#"870410.files/image004.jpg">
Рис.4.
Пластинчатый теплообменник
Теплообменная поверхность разборных пластинчатых теплообменников легко
доступна для очистки; монтаж и демонтаж таких аппаратов осуществляется весьма
быстро. Такие теплообменники применяются как холодильники и конденсаторы.
Изготавливают пластинчатые аппараты с поверхностью теплообмена до 800.
Допустимые температуры теплоносителей от -30°до 180°С, давление до 1.6 МПа.
Данный рабочий диапазон уже, чем у кожухотрубчатых теплообменников, это связано
со свойствами прокладочных материалов для уплотнения пластин.
2.1.3 Теплообменник типа «труба в трубе»
Теплообменник труба в трубе необходим для эффективного отбора или
передачи тепловой энергии. В зависимости от конечного результата устройства
подразделяют на два типа:
· нагреватели,
· холодильники.
Разделяются они и по виду транспортировки тепла. Они могут быть
поверхностными, регенеративными и смесительными. Теплообменник труба в трубе -
это устройство, состоящее из вмонтированных друг в друга труб. В процессе
работы между ними производится обмен энергией. Так как наружная труба большего
сечения, она соединяется с внешними аналогами. Внутри неё установлены другие
трубки, которые также участвуют в теплообмене.
Рис.5. Теплообменник типа «труба в трубе»
Теплообменник труба в трубе прост, этим и обусловлена его колоссальная
популярность. Первое, что привлекает инженеров, - высокая скорость
транспортировки рабочих жидкостей. Это осуществляется с помощью оптимального
подбора сечения труб. Другой момент - изготовить теплообменник труба в трубе
очень просто. Однако его расчёт обусловлен рядом профессиональных подходов. При
обслуживании систем важно производить своевременную чистку. Конструкция
устройство позволяет это сделать без особых трудозатрат. Радует и оптимальный
срок службы, а также универсальность схемы, ведь теплоносителем может быть не
только жидкий агент, но и парообразный. Конечно, в системе есть минусы, и
инженеры, производя расчёт, их учитывают. Эксплуатация осложняется тем, что
габариты конструкции большие, поэтому требуется правильная организация места,
где систему труба в трубе планируется установить. Также не радует и высокая
стоимость, а также сложности при расчёте конструкции.
2.1.4 Спиральный теплообменник
Спиральный
теплообменник- это теплообменник <#"870410.files/image006.gif">
Рис.6.
Спиральный теплообменник
Два
или четыре длинных металлических листа укладываются спиралью вокруг центральной
трубы, образуя два или четыре однопроточных канала. Для того, чтобы обеспечить
постоянную величину зазоров к одной стороне листов привариваются разделительные
шипы. Центральная труба при помощи специальной перегородки разделена на две
камеры, которые образуют входной и выходной коллектора. Скрученные спирали
помещаются в цилиндрический кожух. Внешние концы спиральных листов
привариваются вдоль образующей обечайки. Для выхода каналов наружу в местах
фиксации краев каналов в кожухе просверливаются отверстия, которые герметично
закрываются входным и выходным коллекторами с присоединительными патрубками.
Движение потоков в спиральных теплообменниках происходит по криволинейным
каналам близким по форме к концентрическим окружностям. Направление векторов
скоростей движения потоков постоянно претерпевают изменение. Геометрия каналов
и разделительные шипы создают значительную турбулентность уже при низких
скоростях потоков, при этом улучшается теплопередача и уменьшается загрязнение.
Все это обуславливает компактность конструкции спиральных теплообменников,
которые могут быть интегрированы с любой технологической линией, что
значительно сокращает затраты на установку.
Возможные
конфигурации потоков:
Противоток
(наиболее часто);
Перекрестные
потоки (обычно в конденсаторах и испарителях);
Параллельные
потоки (редко);
Комбинации
вышеназванных.
Преимущества
спиральных теплообменников:
Широкий
диапазон рабочих температур и давлений;
Компактная
конструкция (например, 700 м2 в 6 м3);
Широкий
рабочий диапазон ( 10 - 100% от расчетной нагрузки);
Высокие
коэффициенты теплопередачи;
Высокая
турбулентность;
Пониженная
загрязняемость;
Меньшее
количество остановов на обслуживание;
Высокий
самоочищающий эффект при применении сильно загрязненных жидкостей;
Легкая
очистка механическим и химическим способом;
Отсутствие
ограничений при выборе величины зазора канала;
Массовые
расходы по обеим сторонам могут значительно отличаться;
Низкие
потери давления;
Большой
выбор материалов уплотнений;
3. ХАРАКТЕРИСТИКА СТАЛИ
3.1 Сталь
Cплав
<#"870410.files/image007.jpg">
Рис.7. Возможности программы КОМПАС-3D
По умолчанию КОМПАС-3D поддерживает экспорт / импорт наиболее популярных
форматов моделей, за счёт чего обеспечивается интеграция с различными CAD / CAM
/ CAE пакетами.
Базовая функциональность продукта легко расширяется за счёт различных
приложений, дополняющих функционал КОМПАС-3D эффективным инструментарием для
решения специализированных инженерных задач. Например, приложения для
проектирования трубопроводов, металлоконструкций, различных деталей машин
позволяют большую часть действий выполнять автоматически, сокращая общее время
разработки проекта в несколько раз.
Модульность системы позволяет пользователю самому определить набор
необходимых ему приложений, которые обеспечивают только востребованную
функциональность. Дружелюбный, интуитивно понятный интерфейс, мощная справочная
система и встроенное интерактивное обучающее руководство «Азбука КОМПАС»
позволяют освоить работу с системой в кратчайшие сроки и без усилий.
4.3 Программный пакет Aspen HYSYS
Aspen HYSYS предназначен для моделирования в стационарном режиме,
проектирования химико-технологических производств, контроля производительности,
мониторинга состояния оборудования и выявления неисправностей, оптимизации и
бизнес-планирования в области добычи и переработки углеводородов и нефтехимии.
В основу универсальной системы моделирования HYSYS заложены общие
принципы расчетов материально-тепловых балансов технологических схем. Как
правило, любое производство состоит из стадий (элементов), на каждой из которых
производится определенное воздействие на материальные потоки и превращение
энергии. Последовательность стадий обычно описывается с помощью технологической
схемы, каждый элемент которой соответствует определенному технологическому
процессу (или группе совместно протекающих процессов). Соединения между
элементами технологической схемы соответствуют материальным и энергетическим
потокам, протекающим в системе. В целом моделирование технологической схемы
основано на применении общих принципов термодинамики к отдельным элементам
схемы и к системе в целом.включает набор следующих основных подсистем,
обеспечивающих решение задачи моделирования химико-технологических процессов:
Набор термодинамических данных по чистым компонентам (база данных) и
средства, позволяющие выбирать определенные компоненты для описания
качественного состава рабочих смесей.
Средства представления свойств природных углеводородных смесей, главным
образом - нефтей и газоконденсатов, в виде, приемлемом для описания
качественного состава рабочих смесей, по данным лабораторного анализа.
Различные методы расчета термодинамических свойств, таких как
коэффициента фазового равновесия, энтальпии, энтропии, плотности, растворимости
газов и твердых веществ в жидкостях и фугитивности паров.
Набор моделей для расчета отдельных элементов технологических схем -
процессов.
Средства для формирования технологических схем из отдельных элементов.
Рис.8.
Основные элементы программного пакета
Средства
для расчета технологических схем, состоящих из большого числа элементов,
определенным образом соединенных между собой.
4.3.1 Термодинамические данные по чистым
компонентам
Эти данные необходимы для расчета термодинамических свойств, таких как
коэффициента фазового равновесия, энтальпии, энтропии, плотности, растворимости
газов и твердых веществ в жидкостях и фугитивности паров. Они включают
критические параметры и фактор ацентричности;
молекулярная масса;
плотность в точке кипения или при стандартных условиях;
температура кипения при атмосферном давлении;
константы для расчета идеально-газовой теплоемкости или идеально-газовой
энтальпии, энергии Гиббса, теплоты образования и сгорания, вязкости,
поверхностного натяжения, и т.п.
Библиотека программы HYSYS содержит данные более 2500 чистым веществам,
что дает возможность использовать программу практически для любых
технологических расчетов процессов добычи и переработки углеводородного сырья,
нефтехимии и химии. На практике, при решении задач, характерных для газовой и
нефтяной промышленности, используются не более 100 компонентов.
гидроочистка теплообменник реакция химизм
4.3.2 Средства представления и анализа свойств
нефтей и газовых конденсатов
Эти средства необходимы, чтобы на основе данных лабораторных исследований
свойств нефтей, газоконденсатов и нефтепродуктов получить необходимые данные
для адекватного представления этих смесей в моделирующей системе. Потоки
углеводородов могут быть определены (заданы) с помощью лабораторных данных
разгонки. Обычно эти данные состоят из собственно данных разгонки (ИТК, ASTM
D86, ASTM D1160 или ASTM D2887), данных по удельному весу (средний удельный вес
и, возможно, кривая удельного веса) и, возможно, данных по молекулярному весу,
содержанию легких компонентов, а также данных по специальным товарным
свойствам, таким как температура застывания и содержание серы. Эта информация
используется для генерации набора дискретных псевдокомпонентов, которые потом
применяются для представления состава каждого потока, характеризуемого кривой
разгонки.
4.3.3 Методы расчета термодинамических свойств
Моделирующая система HYSYS включает различные методы расчета
термодинамических свойств, таких как коэффициента фазового равновесия,
энтальпии, энтропии, плотности, растворимости газов и твердых веществ в
жидкостях и фугитивности паров. Имеются почти все опубликованные в литературе
методы, а также специально разработанные методы, лицензированные у третьих
фирм. Представленные в программе методы включают в себя:
Уравнения состояния, такие как метод Пенга-Робинсона для расчета
коэффициентов фазового равновесия, энтальпий, энтропий и плотностей;
Обобщенные корреляции, такие как метод расчета коэффициентов фазового
равновесия Чао-Сидера и метод расчета плотности жидкости API;
Методы коэффициентов активности жидкости, такие как метод NRTL
(Non-Random Two-Liquid - Неслучайное двужидкостное) для расчета коэффициента
фазового равновесия;
Специальные методы расчета свойств специфических систем компонентов,
таких как спирты, амины, гликоли и системы кислой воды.
Наиболее часто для моделирования процессов добычи, транспортировки и
переработки природного газа и нефти используется уравнение состояния
Пенга-Робинсона или его расширенная модификация, реализованная в программе
HYSYS.
4.3.4 Средства моделирования отдельных процессов
и аппаратов
От состава средств моделирования отдельных процессов зависят
функциональные возможности всей моделирующей системы. Как правило, все
моделирующие системы включают средства для моделирования следующего набора
процессов:
ректификационных колонн произвольной конфигурации, включая колонны с
расслаивающимися на тарелках жидкостями и с химическими реакциями на тарелках;
нефтяных колонн, гидравлики ректификационных колонн с ситчатыми, клапанными и
колпачковыми тарелками, и насадочных колонн;
теплообменных аппаратов различных типов: нагревателей, холодильников,
ребойлеров с паровым пространством, конденсаторов, воздушных холодильников;
трубопроводов различных конфигураций, от горизонтальных до вертикальных,
с использованием совершенных методов расчета гидравлических сопротивлений
двухфазных потоков;
реакторов: идеального вытеснения и идеального смешения, равновесных,
стехиометрических, причем реакции могут протекать в трубе, в произвольной
емкости, на тарелке ректификационной колонны.
С помощью большого набора встроенных утилит возможен расчет:
условий гидратообразования и его ингибирования, образования твердой
углекислоты;
точки росы по воде и углеводородам;
товарных свойств нефтепродуктов;
размеров емкостей и трубопроводов;
нестационарного процесса сброса давления из емкости или системы емкостей в
аварийном режиме.
4.3.5 Построение технологических схем из
отдельных элементов
Система HYSYS имеет графический интерфейс, позволяющий формировать схемы
непосредственно на экране компьютера, выбирая элементы из списка и соединяя их
в определенном порядке. Этот интерфейс называется окном PFD (Process Flowsheet
Diagram - технологическая схема процесса).
4.3.6 Расчет технологических схем
Любая задача моделирования эквивалентна задаче решения большой системы
нелинейных уравнений. Эта система включает расчет необходимых термодинамических
свойств, расходов и составов для всех потоков с применением выбранных моделей
расчета свойств и процессов. В принципе, возможно решение всех этих уравнений
одновременно, но в моделирующих системах обычно используется другой подход:
каждый элемент схемы решается с применением наиболее эффективных алгоритмов,
разработанных для каждого случая.
При расчете системы взаимосвязанных аппаратов в HYSYS последовательность
расчета элементов определяется автоматически (или может быть задана
пользователем). При наличии рециклов создается итерационная схема, в которой
рецикловые потоки разрываются, и создается последовательность сходящихся
оценочных значений. Эти значения получаются замещением величин, рассчитанных
при предыдущем расчете схемы (Метод Простого Замещения) или путем применения
специальных методов ускорения расчета рециклов - Вегштейна (Wegstein) и
Бройдена (Broyden).
Ключевые особенности HYSYS:
удобный графический интерфейс (PFD - Process Flowsheet Diagram);
точные термодинамические модели (наличие 20 различных методов расчета
термодинамических и физических свойств; более 2000 библиотечных компонентов и
16000 пар бинарных коэффициентов);
открытая архитектура (возможность создавать пользовательские
термодинамические и кинетические модели, а также модели единиц оборудования с
помощью встроенного языка программирования (аналога Visual Basic));
обширная библиотека модульных операций (статические и динамические модели
ректификационных колонн, реакторов, теплообменников, циклонов);
детальный проектный и поверочный расчет теплообменников: импорт моделей
из TASC+ (программа для детального конструкционного расчета кожухотрубчатых
теплообменников), ACOL+ (детальный расчет воздушных холодильников), MUSE
(расчет пластинчато-ребристых теплообменников);
наличие экономической оценки решения;
передача данных в конструкторскую программу (например, в AutoCAD).
С помощью набора встроенных утилит возможен расчет:
условий гидратообразования и его ингибирования, образования твердой
углекислоты;
точки росы по воде и углеводородам;
кривых разгонок (ИТК, ГОСТ, вакуумная разгонка и т.д.);
товарных свойств нефтепродуктов;
размеров емкостей;
нестационарного процесса сброса давления из емкости или системы емкостей
в аварийном режиме.
С использованием HYSYS можно проводить расчеты:
ректификационных колонн произвольной конфигурации, включая колонны с
расслаивающимися на тарелках жидкостями и с химическими реакциями на тарелках;
нефтяных колонн, гидравлического режима ректификационных колонн с ситчатыми,
клапанными и колпачковыми тарелками, и насадочных колонн;
теплообменных аппаратов различных типов: нагревателей, холодильников,
рибойлеров с паровым пространством, конденсаторов, воздушных холодильников;
трубопроводов различных конфигураций (горизонтальных и вертикальных) с
использованием методов расчета гидравлических сопротивлений двухфазных потоков;
реакторов идеального вытеснения и идеального смешения, равновесных
(реакции могут протекать в трубе, в произвольной емкости, на тарелке
ректификационной колонны).
Экономический эффект от использования программы HYSYS достигается за счет
следующих факторов:
Оптимизация проектирования − возможность в сжатые сроки оценить
рентабельность, безопасность и надежность установки;
Мониторинг состояния оборудования - уверенность в том, что оборудование
работает в оптимальном режиме;
Уменьшение затрат на реализацию проекта - возможность свести к минимуму
количество ошибок и сделать проект менее трудоемким [6].
4.3.6.7 Анализ старой и подборка новой
оптимальной схемы теплообмена в программном пакете HYSYS
Рис. 9. Начальная схема теплообмена
При анализе старой схемы теплообмена были выявлены два существенных
недостатка: неэкономичность и сильное экологическое загрязнение. Поэтому мной
были предложены некоторые варианты модернизации узла, а затем выбрана самая
подходящая, из предложенных, схема по нагреву газосырьевой смеси.
Рис. 10. Схема модернизации за счет замены одного теплообменника на два
меньших размеров
Данная модернизация хоть и является экономически выгодной, но два новых
теплообменника не обеспечивают нужного температурного режима процесса, т.е.
внедрение двух теплообменников меньшего размера является неоправданным.
Рис.11. Схема модернизации, где все теплообменники заменены одним,
большим по площади (4 хода).
Данная схема модернизации экономически невыгодна, также конструкция
теплообменника является весьма громоздкой, тяжелой в монтаже и трудной в
обслуживании.
Рис. 12. Оптимальная схема теплообмена
В данной схеме один теплообменник заменен на более продуктивный
двухходовой. Данный проект является экономически выгодным, но главным плюсом
является его экологичность. За счет подогрева газосырьевого продукта до 400
градусов мы можем исключить из схемы печь (на время пока наш катализатор
новый), а затем включать ее только при необходимости, основной нагрев будет
происходить новым теплообменником.
. ТЕПЛОВОЙ И МАТЕРИАЛЬНЫЙ РАСЧЕТ ТЕПЛООБМЕННИКА Т-5
5.1 Температурный режим аппарата
Dtб = t1вых - t2вх = 340 - 300 = 40 °С. [1]
Dtм = t1вх - t2вых= 400 -380 = 20 °С. [2]
Если Dtб/Dtм меньше или равно 2, то, с ошибкой, не превышающей 4% средний
температурный напор модет быть вычислен:
Dtср =
(Δtб - Δtм)/2= (40 - 20)/2 = 10
ºС [3]
5.2 Тепловая нагрузка аппарата
Q =
1,05G1c(t2вых - t2вх), [5]
где с = 1,67 кДж/(кг×K) -
теплоемкость сырья [10],
G1 =70
м3 /ч = 70*555=38850 кг/ч=10,8 кг/с - массовый расход газосырьевой смесь,
кг/ м3
при температуре 3800С
,05
- коэффициент, учитывающий потери в окружающую среду.
Q = 1,05×10,8×1,67×(380-300) = 1500 кВт. [6]
Расход
газопродуктовой смеси:
G2 = 10 кг/с, [8]
5.3 Ориентировочный выбор теплообменника
Принимаем ориентировочное значение критерия Рейнольдса Reор = 15000, соответствующее развитому
турбулентному режиму движения жидкости, при котором обеспечиваются наилучшие
условия теплообмена.
Число труб приходящееся на один ход теплообменника:
/z = G1/0,785Reорdвнμ2, [9]
где dвн - внутренний диаметр трубок,
μ2 = 0,1∙10-3 Па∙с -
вязкость сырья при 400 ºС [1. с.142].
для труб 25×2 dвн = 0,021 м
n/z = 10,7/0,785∙15000∙0,021∙0,1∙10-3
=443. [10]
Принимаем также ориентировочное значение коэффициента теплопередачи Кор =
300 Вт/м2∙К [1 c.
172], тогда ориентировочная поверхность теплообмена:
ор = Q/Kор Δtср = 1500∙103/300∙10 =500 м2. [11]
Выбираем по ГОСТу теплообменник с близкой(большей) поверхностью
теплообмена. F=507 м2 с диаметром кожуха 1000 мм и
718 трубками 25×2 .
5.4 Коэффициент теплоотдачи от стенки к раствору
где l1 = 0,15 Вт/м×К - теплопроводность сырья [2.
Приложение Б],
Nu2 -
критерий Нуссельта.
Фактическое значение критерия Рейнольдса:
1 = G1/[0,785dвн(n/z)m2 ]= [12]
= 10,7/[0,785×0,021*(718/2)*0,1×10-3 ]= 18135
Режим движения турбулентный в этом случае критерий Нуссельта:
Nu2 = 0,021Re10,8Pr10,42(Pr1/Prст1)0,25, [13]
где
Рr1 = 
-
критерий Прандтля для сырья при 350 °С [1c.564].
Принимаем
в первом приближении отношение (Pr1/Prст1)0,25 = 1, тогда
Nu = 0,021×181350,8×10,630,43 =
148 [14]
a2 = Nu1l1/dвн,= 148×0, 15/0,021 =
1056,3 Вт/м2×К. [15]
5.5 Коэффициент теплоотдачи от сырья к стенке
, [16]
где
r = 555 кг/м3 - плотность при 380 град, посчитано при
помощи коэффициента пересчета(0,0075) плотности ДТ для разных температур.
m1 = 0,1×10-3 Па×с -
динамическая вязкость, [1. с.142]
l = 0,15 Вт/(м×К) - теплопроводность [ 2. Приложение Б]
Физико-химические
свойства сырья взяты при температуре 400 °С.
a1 = 3,78×0,49 [5552×0,025×442/(0,1×10-3×10)]1/3 = 2786 Вт/(м×К). [17]
5.6 Тепловое сопротивление стенки
[18]
где
dст = 0,002 м - толщина стенки трубки;
lст = 49 Вт/м×К - теплопроводность стали 12МХ [1 c.529];=
r2 = 1/2900 м×К/Вт -
тепловое сопротивление загрязнений стенок [1 c.531];
S(d/l) = 0,002/49 + 1/2900 + 1/2900 = 7,2×10-4 м×К/Вт. [19]
5.7 Коэффициент теплопередачи
K =
1/(1/a1+S(d/l)+1/a2) =
/(1/1056,3+7,2×10-4+1/2786) = 500 Вт/м2×К. [20]
5.8 Температуры стенок
tст2 =
tср2 + КDtср/a2 =
330 + 500×10/1056,3
=334,7°С. [21]
Уточняем коэффициенты теплоотдачи.
Критерий Прандтля для раствора при tст2 =172 ® Prст2 = 10,57 [10]
a2ут = a2(Pr2/Prст2)0,25 = 1056,3(10,63/10,57)0,25 = 1057,7 Вт/м2×К. [22]
K =
1/(1/2786+7,2×10-4+1/1057,7) = 495 Вт/м2×К. [23]
Температура стенки:
tст2 =
330 + 495×10/1057,7=334,67°С. [24]
Полученные значения близки к ранее принятым и дальнейших уточнений не
требуется.
5.9 Поверхность теплообмена
F = Q/KDtср = 1500×103/495×10 = 303 м2 [25]
Выбираем теплообменник с ближайшей большей поверхность теплообмена: 800
диаметр кожуха 2х ходовой теплообменник кол-во трубок 442 25×2
с длиной труб 9 м, у
которого поверхность теплообмена 312,0 м2.
6. КОНСТРУКТИВНЫЙ РАСЧЕТ
При данном расчете основными документами, с которыми ведется работа это
ГОСТы под номерами:
-
ГОСТ Р 52857.2-2007 <#"870410.files/image017.gif">
Рис.13 Кожух
Исходные данные:
Таблица 6.1.
|
Материал:
|
ОХ18Н10Т
|
|
Внутр. диаметр, D:
|
800 мм
|
|
Толщина стенки, s:
|
16 мм
|
|
Прибавка для компенсации
коррозии и эрозии, c1:
|
3 мм
|
|
Прибавка для компенсации
минусового допуска, c2:
|
0,8 мм
|
|
Прибавка технологическая,
c3:
|
0 мм
|
|
Сумма прибавок к расчётной
толщине стенки, c:
|
3,8 мм
|
|
Длина кожука, L:
|
8700 мм
|
Таблица 6.2.
Выбор минимального диаметра по ГОСТу
|
Диаметр кожуха
|
Минимальная толщина стенок
из стали
|
|
углеродистой и
низколегированной, двухслойной
|
высоколегированной
хромоникелевой
|
|
наружный
|
внутренний
|
для аппаратов типа
|
|
|
Н и К
|
П и У
|
Н и К
|
П и У
|
|
159, 219, 273, 325, 426,
530
|
400, 500
|
5
|
5
|
3
|
3
|
|
630
|
600
|
6
|
6
|
4
|
4
|
|
-
|
700, 800
|
6
|
8
|
4
|
6
|
|
-
|
900, 1000
|
6
|
10
|
6
|
8
|
|
-
|
1200
|
6
|
12
|
6
|
10
|
|
-
|
1400 и более
|
6
|
14
|
6
|
12
|
Коэффициенты прочности сварных швов:
Продольный шов:
= 1
Окружной шов:
= 1
Расчёт на прочность по ГОСТ 14249-89
Допускаемое давление:
=2 * 103 * 1 * (16 -
3,8) / (800 + 16 - 3,8) =3,094 МПа [26]
,094 МПа > 2 МПа
Заключение: Условие прочности выполнено
Расчётная толщина стенки с учётом прибавок:
= (2 * 800)/(2 * 103 * 1
- 2) + 3,8 =11,7 мм sр=7,84мм [27]
Расчетный диаметр одиночного отверстия, не требующего укрепления:
[28]
Минимальное расстояние между “одиночными” штуцерами:
= 2 * (800 * (16 - 3,8))1/2 = 197,58
мм [29]
6.2 Обечайка цилиндрическая
Рис. 14 Обечайка
Исходные данные:
Таблица 6.3.
|
Материал:
|
ОХ18Н10Т
|
|
Внутр. диаметр, D:
|
800 мм
|
|
Толщина стенки, s:
|
14 мм
|
|
Прибавка для компенсации
коррозии и эрозии, c1:
|
3 мм
|
|
Прибавка для компенсации
минусового допуска, c2:
|
0,8 мм
|
|
Прибавка технологическая,
c3:
|
0 мм
|
|
Сумма прибавок к расчётной
толщине стенки, c:
|
3,8 мм
|
|
Длина обечайки, L:
|
800 мм
|
Коэффициенты прочности сварных швов:
Продольный шов:
= 1
Окружной шов:
= 1
Расчёт на прочность и устойчивость по ГОСТ 14249-89
Гладкая
обечайка, нагруженная внутренним избыточным давлением (п. 2.3.1.).
Допускаемое давление:
=
мм[30]
,59 МПа > 2 МПа
Заключение: Условие прочности выполнено
Расчётная толщина стенки с учётом прибавок:
= (2 * 800)/(2 * 103 * 1 - 2) + 3,8
=11,7 мм [31]
Расчетный диаметр одиночного отверстия, не требующего укрепления:
[32]
Минимальное расстояние между “одиночными” штуцерами:
6.3 Днище эллиптическое №1
Толщины обечаек, днищ, опор с учетом прибавки для компенсации коррозии
должны быть не менее: (D/1000+2,5) мм - из углеродистых и низколегированных
сталей, где D - внутренний диаметр обечайки, днища, опоры, мм; (ГОСТ Р
53677-2009)
Расчёт на прочность и устойчивость по ГОСТ 14249-89
Рис. 15 Днище эллиптическое
Исходные данные
Таблица 6.4.
|
Материал:
|
ОХ18Н10Т
|
|
Внутр. диаметр, D:
|
800 мм
|
|
Толщина стенки днища, s1:
|
14 мм
|
|
Прибавка для компенсации
коррозии и эрозии, c1:
|
3 мм
|
|
Прибавка для компенсации
минусового допуска, c2:
|
0,8 мм
|
|
Прибавка технологическая,
c3:
|
0 мм
|
|
Суммарная прибавка к
толщине стенки, c:
|
3,8 мм
|
|
Высота днища, H:
|
200 мм
|
|
Длина отбортовки, h1:
|
0 мм
|
Радиус кривизны в вершине днища:
Н = 0,25 D
= 8002 / (4 * 200) = 800 мм [33]
Коэффициент прочности сварного шва:
= 1
Расчёт в рабочих условиях
Условия нагружения:
|
Расчётная температура, T:
|
400
|
oC
|
|
Расчётное внутреннее
избыточное давление, p:
|
2
|
МПа
|
Результаты расчёта:
Допускаемые
напряжения:
Допускаемые напряжения для материала ОХ18Н10Т при температуре t = 400 oC
(рабочие условия):
[б]= 103 МПа
Модуль продольной упругости для материала ОХ18Н10Т при температуре 400
oC:
E= 1,78∙105 МПа
Днища,
нагруженные внутренним избыточным давлением (п. 3.3.1.).
Расчётная толщина стенки с учётом прибавок:
=(2 * 800)/(2 * 103 * 1
- 0.5 * 2) + 3,8 = 11,6 мм [34]
Допускаемое давление:
=
МПа [35]
2,609 МПа > 2 МПа
Заключение: Условие прочности выполнено
6.4 Днище эллиптическое №2
Расчёт на прочность и устойчивость по ГОСТ 14249-89
Рис. 16 Днище эллиптическое.
Исходные данные
Таблица 6.5.
|
Материал:
|
ОХ18Н10Т
|
|
Внутр. диаметр, D:
|
1000 мм
|
|
Толщина стенки днища, s1:
|
16 мм
|
|
Прибавка для компенсации
коррозии и эрозии, c1:
|
3 мм
|
|
Прибавка для компенсации
минусового допуска, c2:
|
0,8 мм
|
|
Прибавка технологическая,
c3:
|
0 мм
|
|
Суммарная прибавка к
толщине стенки, c:
|
3,8 мм
|
|
Высота днища, H:
|
200 мм
|
|
Длина отбортовки, h1:
|
0 мм
|
Радиус кривизны в вершине днища:
= 10002 / (4 * 200) = 1250
мм [36]
Коэффициент прочности сварного шва:
= 1
Расчёт в рабочих условиях
Условия нагружения:
|
Расчётная температура, T:
|
400
|
oC
|
|
Расчётное внутреннее
избыточное давление, p:
|
2
|
МПа
|
Результаты
расчёта:
Допускаемые
напряжения:
Допускаемые напряжения для материала ОХ18Н10Т при температуре t = 400 oC
(рабочие условия):
[б]= 103 МПа
Модуль продольной упругости для материала ОХ18Н10Т при температуре 400
oC:
E= 1,78∙105 МПа
Днища,
нагруженные внутренним избыточным давлением (п. 3.3.1.).
Расчётная толщина стенки с учётом прибавок:
=(2 * 1000)/(2 * 103 * 1 - 0.5 * 2) + 3,8 = 13,56 мм
[37]
Допускаемое давление:
=
2,49 МПа [38]
,49 МПа > 2 МПа
Заключение: Условие прочности выполнено
6.5 Опоры аппарата
Максимальная масса аппарата:
= Ga+Gв = 7400 +2138 = 9538 кг = 10 кН, [39]
где Ga = 7400 кг - масса аппарата [2 c.56]
Gд -.
Масса дизельного топлива в аппарате
Gд=
2138 кг. [40]
Принимаем, что аппарат установлен на двух седловых опорах, тогда нагрузка
приходящаяся на одну опору:
Gоп =
10/2 = 5 кН [41]
По Тимонину выбираем опору с допускаемой нагрузкой 80 кН(одна опора
подвижная для компенсации расширения кожуха).
Рис. 17 Опора аппарата
Исходные данные
Таблица 6.6.
|
Элемент, связанный с
опорой:
|
Кожух теплообменника
|
|
Внутренний диаметр , D:
|
800 мм
|
|
Толщина стенки обечайки, s:
|
14 мм
|
|
Прибавка для компенсации
коррозии и эрозии, c1:
|
3 мм
|
|
Прибавка для компенсации
минусового допуска, c2:
|
0,8 мм
|
|
Прибавка технологическая,
c3:
|
0 мм
|
|
Сумма прибавок к стенке ,
c:
|
3,8 мм
|
|
Ширина опоры, b:
|
250 мм
|
|
Угол охвата опоры, :
|
120 градус
|
|
Расстояние от края элемента,
lo:
|
5,5∙103 мм
|
|
Расстояние до днища, a:
|
1,7∙103 мм
|
|
Высота опоры, H:
|
154 мм
|
|
Толщина листа, s2:
|
6 мм
|
|
Ширина листа, b2:
|
360 мм
|
|
Угол охвата листа, :
|
140 градус
|
Так же по
Тимонину [7] выбираем строповые устройства. Это ушки в исполнении с нагрузкой
на одно строповое устройство 0,08 МН.
Рис. 18 Ушки.
Рис.19 Таблица строповых устройств.
6.6 Штуцер
Расчёт прочности узла врезки штуцера
Исходные данные
Таблица 6.7.
|
Элемент:
|
Штуцер
|
|
Условное обозначение
(метка)
|
Штуцер
|
|
Элемент, несущий штуцер:
|
Кожух теплообменника
|
Рис. 20. Штуцер
|
Материал несущего элемента:
|
ОХ18Н10Т
|
|
Толщина стенки несущего
элемента, s:
|
14 мм
|
|
Сумма прибавок к стенке
несущего элемента, c:
|
3,8 мм
|
|
Материал штуцера:
|
ОХ18Н10Т
|
|
Внутренний диаметр штуцера,
d:
|
250 мм
|
|
Толщина стенки штуцера, s1:
|
20 мм
|
|
Сумма прибавок к толщине
стенки штуцера (включая коррозию), cs
|
2 мм
|
|
Длина штуцера, l1:
|
80 мм
|
Коэффициенты прочности сварных швов:
Продольный шов штуцера:
фl = 1
Шов обечайки в зоне врезки штуцера:
ф = 1
Расчётный диаметр цилиндрической обечайки:
= 800 мм
Расчёт в рабочих условиях
Условия
нагружения:
|
Расчётная температура, T:
|
400
|
oC
|
|
Расчётное внутреннее
избыточное давление, p:
|
2
|
МПа
|
Свойства
материала элемента, несущего штуцер
Допускаемые напряжения для материала ОХ18Н10Т при температуре t = 400 oC
(рабочие условия):
[б]= 103 МПа
Модуль продольной упругости при температуре 400 oC:
E = 1,78∙105 МПа
Свойства
материала штуцера
Допускаемые напряжения для материала ОХ18Н10Т при температуре t = 400 oC
(рабочие условия):
[б]1= 103 МПа
Модуль продольной упругости при температуре 400oC:
E1 = 1,78∙105 МПа
Расчётная толщина стенки штуцера:
=2 * (250 + 2 * 2) / (2 * 103 * 1 - 2)= 2,49 мм [42]
Допускаемое давление:
=
МПа [43]
,6 МПа > 3 МПа
Заключение: Условие прочности и устойчивости выполнено
Расчёт укрепления отверстия по ГОСТ 24755-89
Расчётная толщина стенки несущего элемента:= 7,84 мм
Условный расчётный диаметр отверстия:
=250 = 250 мм [44]
Расчётный диаметр отверстия (ось штуцера совпадает с нормалью к
поверхности в центре отверстия):
=250 + 2 * 2 = 254 мм (т.к. агрессивная среда с двух сторон)
[45]
Расчетный диаметр одиночного отверстия, не требующего укрепления:
= 
[46]
Расчетная длина внешней части штуцера:
= min{ 80; 1.25 * ((250 + 2 * 2) * (20 - 2))1/2}=80мм [47]
Отношения
допускаемых напряжений (п. 2.6)
Для внешней части штуцера:
=min{1.0, 103 / 103} = 1 [48]
Ширина зоны укрепления:
= (800 * (14 - 3,8))1/2= 90,3 мм [49]
Расчетная ширина зоны укрепления:
р=90,3 мм
Расчетный диаметр:
= 0.4 * (800 * (14 - 3,8))1/2= 36,1 мм [50]
[51]
= min{1; [1 + (80 * (20 - 2) * 1 + 0 * 0 * 0 + 0 * (0 - 2 - 0) * 1) /
(90,3 * (14 - 3,8))] / [1 + 0.5 * (254 - 36,1) / 90,3+ 1 * (250 + 2*2) / 800 *
1 / 1 * 80 / 90,33272] = 1,030459}=1
=2 * 1 * (14 - 3,8) * 1 * 103 * 1 / [800 + (14 - 3,8) * 1]=
2,59 МПа [54]

= (800 * (14 - 3,8))1/2 + (800 * (14 - 3,8))1/2 =
180,6 мм [52]
Условие выполнено, дальнейших расчётов укреплений не требуется.
Допускаемое давление [p] = 2,59 МПа > 2 МПа
Заключение: Условие прочности и устойчивости выполнено
Заключение: Условие прочности выполнено
6.7 Фланцевое соединение
Выбран по РД 26-15-88
Рис. 21. Фланцевое соединение
Исходные данные
Таблица 6.8.
|
Материал:
|
ОХ18Н10Т
|
|
Смежный элемент:
|
Кожух теплообменника
|
|
Материал смежного элемента:
|
ОХ18Н10Т
|
|
Внутренний диаметр фланца,
D:
|
800 мм
|
|
Наружный диаметр фланца,
Dн:
|
1,005∙103 мм
|
|
Высота фланца (кольца), h1:
|
75 мм
|
|
Сумма прибавок, c:
|
0 мм
|
|
Длина конической части
втулки, l:
|
55 мм
|
|
Длина цилиндрической части
втулки, lc:
|
0 мм
|
|
Толщина цилиндрической
части втулки, s0:
|
19 мм
|
|
Толщина конической части
втулки, s1:
|
38 мм
|
|
Радиус перехода, r:
|
7 мм
|
Фланец камеры:
|
Материал:
|
ОХ18Н10Т
|
|
Смежный элемент:
|
Обечайка цилиндрическая
|
|
Материал смежного элемента:
|
ОХ18Н10Т
|
|
Внутренний диаметр фланца,
D:
|
800 мм
|
|
Наружный диаметр фланца,
Dн:
|
1,005∙103 мм
|
|
Высота фланца (кольца), h2:
|
75 мм
|
|
Сумма прибавок, c:
|
0 мм
|
|
Длина конической части
втулки, l:
|
55 мм
|
|
Длина цилиндрической части
втулки, lc:
|
0 мм
|
|
Толщина цилиндрической
части втулки, s0:
|
19 мм
|
|
Толщина конической части
втулки, s1:
|
38 мм
|
|
Радиус перехода, r:
|
7 мм
|
Болты:
|
Диаметр болтовой
окружности, Dб:
|
945 мм
|
|
Материал:
|
35Х
|
|
Наружный диаметр, d:
|
36 мм
|
|
Количество, n:
|
36
|
|
Контроль затяжки:
|
Нет
|
Прокладка:
|
Материал прокладки:
|
Асбест по ГОСТ 2850 - в
оболочке из стали 08Х13
|
|
Толщина, hп:
|
2 мм
|
|
Средний диаметр, Dсп:
|
850 мм
|
|
Ширина, bп:
|
19 мм
|
6.8 Трубная решетка
Исходные данные
Решетка:
Таблица 6.9.
|
Материал:
|
ОХ18Н10Т
|
|
Толщина решетки, sp:
|
100 мм
|
|
Сумма прибавок к расчётной
толщине решетки, cp:
|
2 мм
|
|
Диаметр утолщенной части,
DB:
|
750 мм
|
|
Наличие перегородки:
|
Да
|
|
Толщина решетки в месте
паза под перегородку, sn:
|
40 мм
|
|
Ширина паза под
перегородку, bn:
|
40 мм
|
|
Шаг расположения отверстий,
tp:
|
32 мм
|
|
Расстояние между рядами
отверстий, tn
|
55,42 мм
|
|
Толщина стенки, sT
|
5 мм
|
|
Суммарная прибавка, cT:
|
2 мм
|
|
Диаметр отверстий, d0:
|
25,5 мм
|
|
Специальные требования к
жесткости (недопустим остаточный прогиб)
|
Нет
|
Расчёт в рабочих условиях по ГОСТ Р 52857.7-2007
Условия
нагружения:
|
Расчётное избыточное
давление в трубном пространстве, pT:
|
2Па
|
|
Расчётное избыточное
давление в межтрубном пространстве, pM:
|
2МПа
|
|
Расчетная температура
решетки, Tp:
|
400 oC
|
Результаты
расчёта:
Прочность
трубной решетки
Расчетное давление (принимается равным максимально возможному перепаду
давлений, действующих на решетку):
= max{ |2; |2; |2- 2} =2МПа [53]
Расчетная толщина трубной решетки в беструбной зоне:
= 0.5 * 36,41201 * (2 / 103)1/2 =2,53 мм [54]
Условие прочности:
100 мм > 2,53 + 2 = 4,53 мм. Условие прочности выполнено
Для решеток с трубами, закреплёнными на всю толщину решетки:
Расчетная толщина трубной решетки в зоне перфорации:
= 850 / 4.2 * (2 (0,515625 *
103))1/2 =44,47 мм [55]
Условие прочности:
100 мм > 44,47 + 2 = 46,47 мм. Условие прочности выполнено
Расчетная толщина трубной решетки из условия прочности в сечении канавки:
[56]
=44,47 * max{[1 - (25,5/40 * (55,42563/32 - 1))1/2; 0,5156251/2}=31,8мм
Условие прочности:
мм > 31,8+ 2 = 33,8мм. Условие прочности выполнено
Расчетная толщина решетки в месте уплотнения под кольцевую прокладку:
[57]
=max{0.71 * (2/ 103 * 850 * (850 - 750))1/2; 0.5 * 850 *2/ 103}=28,8 мм
Условие прочности:
мм > 28,8 + 2 = 30,8 мм. Условие прочности выполнено
7. ГИДРАВЛИЧЕСКИЙ РАСЧЕТ
7.1 Скорость раствора в трубах
wтр = G2z/(0,785dвн2nr2) = 10*2/(0,785*0,025*442*555)=0,16
м/с
7.2 Коэффициент трения
, [58]
где
е = D/dвн = 0,2/25 = 0,008 - относительная шероховатость,
D = 0,2 мм -
абсолютная шероховатость.
l =
0,25*{lg[0.008/3.7+(6.81/18135)^0.9]}^2 = 0,6
7.3 Скорость раствора штуцерах
wшт =4G2/(0,785dшт2r2)
= 10/(3,14×0,8×555) = 0,19с [59]
7.4 Гидравлическое сопротивление трубного
пространства
[60]
=
0,6((9*2/0,025*0,025*555/2)+6(0,025*555/2+3*0,036*555/2)=
=3218
Па
8. ЭКОНОМИЧЕСКАЯ ЧАСТЬ
Установка гидроочистки дизельных топлив Л-24-7 предназначена для удаления
органических сернистых, азотистых, и кислородсодержащих соединений из
дизельного топлива путем их деструктивной гидрогенизации, а также деструктивной
депарафинизации гидроочищенного дизтоплива.
Проектная производительность 1200 тыс.т/г ( 8000 часов работы в год)
Ввод установки в эксплуатацию - март 1967г.
Проект установки разработан институтом «Ленгипронефтегаз» (номер проекта
I-0-410-9, 1954 г.)
Проект реконструкции установки по вводу блока деструктивной
депарафинизации гидроочищенного дизтоплива разработан проектно-конструкторским
бюро (ПКБ) ОАО «Газпромнефть-ОНПЗ» в 2011году
Производительность по сырью после реконструкции:
- по реакторному блоку гидроочистки дизельного топлива 600 тыс.т/г
(8000 часов работы в год)
- по реакторному блоку депарафинизации гидроочищенного дизельного
топлива 405 тыс.т/г.
Технологическая схема установки однопоточная (после реконструкции 2011
г.)
8.1 Расчет материальных затрат
Таблица 8.1.
Расчет капитальных затрат на оборудование
|
Наименование
|
Единица измерения
|
Количество
|
Цена (руб.)
|
Стоимость (руб.)
|
|
Теплообменник 1
|
М2
|
700
|
4200
|
2940000
|
|
Монтаж
|
-
|
2
|
125000
|
250000
|
|
Транспортировка
|
|
|
|
294000
|
|
ИТОГО:
|
-
|
-
|
-
|
6 424 000
|
Таблица 8.2.
Расчет эксплуатационных затрат
|
Наименование
|
Расход т/год
|
Цена (руб.)
|
Стоимость (руб.)
|
|
Мазут
|
7500
|
11500
|
86 250 000
|
|
Чистка трубного
пространства
|
|
112 000
|
224 000
|
|
Чистка межтрубного
пространства
|
|
56 000
|
112 000
|
Стоимость всех капитальных затрат составляет 6 424 000 руб.
За счет замены теплообменника на более продуктивный мы сэкономим на
количестве сжигаемого мазута в печи (тк. новый теплообменник будет эффективнее
нагревать газосырьевую смесь до ее попадания в печь).
Таблица 8.3.
Расчет капитальных затрат на новый теплообменник
|
Наименование
|
Единица измерения
|
Расход т/год
|
Количество
|
Цена (руб.)
|
Стоимость (руб.)
|
|
Теплообменник
|
М2
|
|
|
|
5 460 000
|
|
Монтаж
|
-
|
|
1
|
213000
|
213000
|
|
Транспортировка
|
|
|
1
|
|
273 000
|
|
ИТОГО:
|
-
|
|
-
|
-
|
5 946 000
|
Таблица 8.4.
Расчет эксплуатационных затрат для нового оборудования
|
Наименование
|
Расход т/год
|
Цена (руб.)
|
Стоимость (руб.)
|
|
Мазут
|
4000
|
11500
|
82 800 000
|
|
Чистка трубного
пространства
|
|
74 000
|
74 000
|
|
Чистка межтрубного
пространства
|
|
38 000
|
38 000
|
8.2 Расчет показателей оценки инвестиционного
проекта
Таблица 8.5.
Расчетные формулы показателей оценки инвестиционного проекта
|
Год
|
Экономия млн. руб.
|
Инвестиции млн. руб.
|
Денежный поток млн. руб.
|
Дисконт
|
Норма дисконта, %
|
Дисконтированный денежный
поток, млн. руб.
|
ЧДД, млн. руб.
|
ИД
|
|
0
|
|
5,95
|
-5,95
|
1,00
|
15
|
-5,95
|
-5,95
|
0
|
|
1
|
32
|
0,00
|
32
|
0,87
|
15
|
27,84
|
21,8
|
4,6
|
|
2
|
32
|
0,00
|
32
|
0,76
|
15
|
24,32
|
46
|
8,7
|
|
3
|
32
|
0,00
|
32
|
0,66
|
15
|
21,12
|
67,1
|
12,21
|
|
4
|
32
|
0,00
|
32
|
0,57
|
15
|
18,24
|
85,4
|
15,3
|
|
5
|
32
|
0,00
|
32
|
0,5
|
15
|
16
|
101,3
|
18
|
|
6
|
32
|
0,00
|
32
|
0,43
|
15
|
13,76
|
115,1
|
20,3
|
|
7
|
32
|
0,00
|
32
|
0,38
|
15
|
12,16
|
127,1
|
22,3
|
|
8
|
32
|
0,00
|
32
|
0,33
|
15
|
10,56
|
137,6
|
24,1
|
|
9
|
32
|
0,00
|
32
|
0,28
|
15
|
8,96
|
146,7
|
25,6
|
|
10
|
0,00
|
32
|
0,24
|
15
|
7,68
|
154,6
|
26,9
|
Экономия =(Эксплуатационные затраты1- Эксплуатационные затраты2)*0,2
Или
так Дисконт =1/(1+q), где q - норма дисконта
ВНД
= 455% (посчитано при помощи специальной функции для денежных потоков в Excel)
=
5,95:32= 0,2= 70 дней
Срока
окупаемости можно также определить по графической зависимости накопленного
дисконтированного денежного потока за определенный период времени.
Рис.22.
Графическое определение срока окупаемости
Вывод:
Исходя из наших расчетов, а также из графического материала, видно, что проект
является экономически выгодным и окупится через 70 дней.
9. БЕЗОПАСНОСТЬ ЖИНЕДЕЯТЕЛЬНОСТИ В УСЛОВИЯХ ЭКСПЛУАТАЦИИ
УСТАНОВКИ Л-24/7.
.1 Анализ вредных и опасных факторов
производства
Опасности применяемого оборудования и трубопроводов обусловлены
спецификой производства: пожаро-взрывоопасностью используемого сырья и
получаемых продуктов; высокие энергетические параметры (температура, давление)
рабочей среды; значительное количество нефтепродуктов, обращающихся в
технологической системе.
Установка Л-24-7 - гидроочистки дизельных топлив является
взрывопожароопасным производством. Процесс проводится при повышенных
температурах (300…425оС) и давлении до 5,88 МПа (60 кгс/см2).
Продуктами, определяющими взрывоопасность установки, являются пары
дизельных фракций, бензин-отгона, водородсодержащий газ, углеводородные газы,
которые при взаимодействии с кислородом воздуха образуют смеси, взрывающиеся
при наличии открытого огня или искры. Жидкие продукты, получаемые на установке,
являются горючими жидкостями, имеют низкую температуру вспышки,
водородсодержащий газ имеет широкий объемный диапазон предела взрываемости в смеси
с воздухом (4,09÷80) %.
К факторам, повышающим опасность производства, относятся:
- несоблюдение норм технологического режима, предусмотренных
Регламентом;
- несоблюдение установленной последовательности операций по пуску
и останову установки, отдельных видов оборудования;
несоблюдение обслуживающим или ремонтным персоналом правил
безопасного проведения подготовительных, ремонтных и других видов (огневых,
земляных и т.д.) работ;
разгерметизация оборудования установки (вследствие несоблюдения
вышеуказанных факторов, а также процессов коррозии и износа металла
оборудования), приводящая к образованию газо-взрывоопасных сред, с возможным
последующим загоранием;
отказ работы приборов КИП и А, системы ПАЗ, системы
автоматического управления процессом;
прекращение подачи на установку: электроэнергии, пара, воздуха
КИП, оборотной воды и т.д.
Наиболее опасные места на установке:
- места отбора проб для лабораторных анализов;
- сырьевая, бензиновая и горячая насосные;
печи П-1, П-2, П-3, П-4;
помещение компрессорной;
- заглубленная дренажная емкость Е-20;
- все колодцы промканализации и приямки, где возможны скопления
углеводородных газов
9.2 Основные требования по пожарной безопасности
Ответственность за пожарную безопасность отдельных объектов возлагается на
руководителя объекта или лицо, исполняющее его обязанности, назначаемое
приказом руководителя предприятия.
На объекте на видном месте должна быть вывешена табличка с указанием
фамилии, имени, отчества и должности ответственного за пожарную безопасность.
Во всех производственных, административных, складских и вспомогательных
помещениях на видных местах должны быть вывешены таблички с указанием номера
телефона вызова пожарной охраны.
Правила применения на территории объекта открытого огня, проезда
транспорта, допустимость курения устанавливаются «Инструкцией по пожарной
безопасности в ОАО Газпромнефть - ОНПЗ» /общие правила/ (V-2) и «Инструкцией по охране труда и
безопасному проведению огневых работ в ОАО Газпромнефть - ОНПЗ» (IV-ПБ-114).
Для привлечения работников к работе по предупреждению и правильным
действиям в случае возникновения пожаров борьбе на объектах могут создаваться
добровольные пожарные дружины.
9.2.1 Требования пожарной безопасности к
электроустановкам и вентиляции
Электроустановки должны монтироваться и эксплуатироваться в соответствии
с Правилами устройства электроустановок (ПУЭ), Правилами технической
эксплуатации электроустановок потребителями (ПТЭЭП), Правилами по охране труда
(правила безопасности) при эксплуатации электроустановок и другими нормативными
документами.
Электродвигатели, аппараты управления, пускорегулирующая,
контрольно-измерительная и защитная аппаратура, вспомогательное оборудование и
проводки должны иметь исполнение и степень защиты, соответствующие классу зоны
по ПУЭ. А также иметь аппараты защиты от токов короткого замыкания и
перегрузок.
При эксплуатации электроустановок запрещается:
- использовать электроаппараты и приборы в условиях, не
соответствующих рекомендациям (инструкциям) предприятий-изготовителей, или
имеющие неисправности, могущие привести к пожару, а также эксплуатировать
провода и кабели с поврежденной или потерявшей защитные свойства изоляцией;
- пользоваться поврежденными розетками, рубильниками, другими
электроустановочными изделиями;
обертывать электролампы и светильники бумагой, тканью и другими
горючими материалами, а также эксплуатировать их со снятыми колпаками
(рассеивателями);
пользоваться электроплитками, электрочайниками и другими
электронагревательными приборами без подставок из негорючих материалов;
оставлять без присмотра включенные в сеть электронагревательные
приборы.
Переносные электрические светильники должны быть выполнены с применением
гибких электропроводок, оборудованы стеклянными колпаками, а также защищены
предохранительными сетками и снабжены крючками для подвески. Напряжение питания
переносных электросветильников должно быть12 В.
При эксплуатации систем вентиляции и кондиционирования воздуха
запрещается:
- оставлять двери вентиляционных камер открытыми;
- закрывать вытяжные каналы, отверстия и решетки;
выжигать скопившиеся в воздуховодах жировые отложения, пыль и
другие горючие вещества.
Вентиляционные камеры, фильтры, воздуховоды должны очищаться от горючих
пылей и отходов производства в сроки, определенные приказом по предприятию.
Фильтры для очистки воздуха, удаляемого от обеспыливающих устройств машин
и агрегатов, должны устанавливаться в изолированных помещениях.
9.2.2 Средства (системы) пожаротушения на
установке
Системы противопожарной защиты
На установке предусмотрены следующие системы:
·
система
противопожарного водопровода с подключением лафетных стволов, расположенных в
следующих местах:
а) напротив бензиновой насосной,
б) на эстакаде между С-201 и Х-2- радиус действия каждого ствола 30 м;
·
колонные аппараты
К-1, К-2, К-3, К-4, К-5, К-6 оснащены водяными сухотрубами с подачей воды от
противопожарного водопровода;
·
пожарные гидранты
(ПГ), расположенные по периметру установки;
·
система
паротушения в горячей насосной, подача пара в насосную осуществляется штурвалом
задвижки, вынесенным на внешнюю сторону стены;
·
паровая завеса
печей П-1, П-2, П-3, П-4 которая представляет собой закольцованный трубопровод
диметром 125 мм, через каждые 300 мм имеются отверстия диаметром 5 мм;
·
подача пара в
камеры сгорания печей П-1, П-2, П-3, П-4 в случае прогара змеевиков.
Установка оснащена первичными средствами пожаротушения:
·
система паровых
стояков, с возможностью подключения гибких паровых шлангов;
·
система водяных
стояков, с возможностью подключения гибких водяных шлангов;
·
порошковые
огнетушители типа ОП-8, углекислотные - ОУ-5, ОУ-10 ящики с песком, лопаты,
носилки, войлок - в количестве, предусмотренном «Правилами пожарной
безопасности в РФ» ППБ-01-93.
9.2.3 Обеспечение безопасности людей при пожаре
Безопасность людей на случай пожара обеспечивается:
·
конструктивно-планировочным
решением производственных помещений и оборудования объекта, гарантирующим
возможность осуществления быстрой эвакуации людей;
·
наличием в
помещениях компрессорной, насосных, здании операторной нескольких (минимум
двух) выходов, согласно проекту;
·
постоянным
содержанием в исправном состоянии специального оборудования, способствующего
успешной эвакуации людей в случае пожара или аварийной ситуации (систем
оповещения, аварийного освещения);
·
ознакомлением
всех работающих с основными требованиями пожарной безопасности на ежегодных
занятиях по программе пожарно-технического минимума;
·
приобретением
навыков действий при возникновении аварийных ситуаций путем проведения
тренировочных занятий по «Плану локализации аварийных ситуаций»;
·
установлением со
стороны администрации систематического контроля за соблюдением мер
предосторожности при ремонтных работах, эксплуатации оборудования,
электроприборов.
Расположение средств пожарной сигнализации, пути эвакуации персонала из
опасной зоны обозначены на плане расположения аппаратуры и оборудования
объекта.
9.3 Анализ вредных и опасных факторов
производства
Основные опасные и вредные производственные факторы:
· Наличие на объекте большого количества дизельного топлива под
давлением и высокой температуре, при реакции с воздухом взрывоопасная смесь.
· Присутствие на установке ВСГ (водородсодержащий газ) под
высоким давлением, что создает опасность при прорыве трубы.
· Процесс
гидроочистки ведется при высоких температурах до 425
С
· Рабочее
давление установки около 4 Мпа
· Возможность
образования зарядов статического электричества при движении азов и жидкостей по
аппаратам и трубопроводам создает опасность взрыва или загорания
· При
обслуживающих работах может произойти падение с большой высоты (высота реактора
10м)
· Возможность
травмирования работников при использовании неисправного инструмента
· Наличие
постоянного теплового излучения от реакторов и теплообменников
· Наличие
шумов и вибрации в насосном помещении
9.3.1 Взрывоопасность и пожароопасность на
установке Л-24/7
Таблица 9.1
Классификация
по взрывоопасности технологических блоков
|
№ п/п
|
Номер блок
|
Номера позиций аппаратуры,
оборудования по технологической схеме составляющие технологический блок
|
Относительный
энергетический потенциал технологического блока
|
Категория взрывоопасности
|
Класс зоны по уровню
опасности возможных разрушений, травмирования персонала
|
|
1.
|
1
|
Н-1 (Н-2), Т-1, Т-2, Т-5,
П-1, Р-1, Р-2, С-101, С-1, ТВ-101, К-3, ПК-1 (ПК-2), С-5
|
40,87
|
I
|
1- 48,621 м 2 -71,652 м 3 -
122,832 м 4 - 358,26 м 5 - 716,52 м
|
|
2.
|
2
|
Н-3 (Н-2), Т-3, Т-4, Т-6,
П-2, Р-3, Р-4, С-201, С-2, ТВ-201, К-4, ПК-3 (ПК-2), С-6
|
40,87
|
I
|
1- 48,621 м 2 - 71,652 м 3
- 122,832 м 4 - 358,26 м 5 - 716,52 м
|
|
3.
|
3
|
К-1, К-2, Н-4, Н-5, Н-6,
П-3, П-4, Т-9, Т-10, Т-11, Т-12, Т-13,Т-15, Т-16, АВО-1, АВО-2, ХК-1, ХК-2,
С-7, С-8, С-8а, С-7а, Н-7, Н-8, Н-9, Х-11
|
57,97
|
I
|
1- 76,394 м 2 -112,58 м 3 -
192,995 м 4 - 562,901 м 5 - 1125,8 м
|
|
4.
|
4
|
К-6, С-10, С-11, Н-15, Н-16
|
19,89
|
III
|
1- 12,798 м 2 - 18,86 м 3 -
32,33 м 4 - 94,3 м 5 - 188,6 м
|
|
5.
|
6
|
К-7, ХК-3, С-9, Т-17, Т-18,
Т-19, Т-20, Х-9, Х-10, Э-1, Э-2, Н-10, Н-11, Н-12, Е-8, Е-9, Е-10
|
19,74
|
III
|
1- 12,616 м 2 - 18,592 м 3
- 31,872 м 4 - 92,96 м 5 - 185,92 м
|
|
6.
|
7
|
Т-23, Ф-1, Ф-2
|
5,944
|
III
|
1- 1,145 м 2 - 1,688 м 3 -
2,894 м 4 - 8,44 м 5 - 16,888 м
|
|
7.
|
8
|
Е-20, Н-28
|
3,758
|
III
|
1- 0,458 м 2 - 0,677 м 3 -
1,157 м 4 - 3,373 м 5 - 6,746 м
|
|
8.
|
9
|
Е-19
|
35,77
|
II
|
1- 39,174 м 2 - 57,73 м 3 -
98,97 м 4 - 288,651 м 5 - 577,301 м
|
|
9.
|
10
|
Е-23, Х-13
|
22,26
|
III
|
1- 16,006 м 2 - 23,588 м 3
- 40,437 м 4 - 117,941 м 5 - 253,883 м
|
Таблица 9.2
Взрывопожарная
опасность, санитарная характеристика зданий и помещений, наружных установок
|
Наименование
производственных зданий, помещений, наружных установок
|
Категории взрывопожарной и
пожарной опасности помещений, зданий и наружных установок
|
Классификация взрывоопасных
зон внутри и вне помещений для выбора и установки электрооборудования по ПУЭ
|
Группа производ-ственныхых
процессов по санитарной характерис-тике
|
Средства пожаротушения
|
|
|
класс взрывоопасной зоны
|
категория и группа
взрывоопасных смесей
|
наименование веществ,
опреде-ляющих категорию и группу взрывоопасных смесей
|
|
|
|
Компрессорная а) Помещение
компрессоров
|
А
|
В-1А
|
II C-Т1, IIА-Т3
|
ВСГ, Н2S
|
3б
|
Огнетушители ОП-10, ОУ-40
|
|
б) Помещение маслосклада
|
В-4
|
-
|
-
|
Высокотемпера-турные УВ
|
3б
|
Огнетушители ОП-10
|
|
в) Венткамера приточная
|
Д
|
-
|
-
|
-
|
-
|
Огнетушители ОП-10
|
|
г) Венткамера вытяжная
|
А
|
В-1А
|
II C-Т1
|
Углеводороды в смеси с
воздухом
|
3б
|
Огнетушители ОП-10
|
9.4 Дополнительные меры безопасности при
эксплуатации производства
.4.1 Безопасные методы обращения с пирофорными
отложениями и продуктами
Образование пирофорных соединений связано с воздействием на железо и его
окислы:
·
в газовой и паровой
фазе (над поверхностью нефтепродукта) - сероводорода, содержащегося в газах и
парах нефтепродуктов;
·
в жидкой фазе
(под поверхностью нефтепродукта) элементарной серы и растворенного
сероводорода.
Внешне пирофорные соединения, состоящие из сульфидов железа, смолистых
веществ, продуктов органического происхождения, механических примесей,
представляют собой черный осадок, похожий на сажу, покрывающей внутренние
стенки трубопроводов и технологического оборудования.
Пирофорные соединения, под воздействием атмосферного кислорода, способны
к сильному разогреву и могут быть источником взрыва и пожара.
Взрывы и пожары, возникающие в результате самовозгорания пирофорных
соединений, чаще всего возникают при опорожнении и вскрытии технологического
оборудования с нефтепродуктами.
До тех пор пока пирофорные отложения покрыты жидкостью или соприкасаются
с парами и газами, не содержащими кислород, они не окисляются. После высыхания
пирофоров и при контакте их с кислородом воздуха начинается быстрое окисление и
самовозгорание.
Активность пирофорных соединений возрастает с повышением температуры
окружающей среды, хотя самовозгорание возможно при любой, даже низкой
температуре (имеются факты самовозгорания при температуре минус 20 оС).
Аппараты и трубопроводы после вывода оборудования из работы и их освобождения
от продуктов должны быть пропарены водяным паром. При вскрытии аппарата должен
быть вскрыт нижний штуцер или люк и взята проба для анализа на содержание в ней
опасных концентраций паров продукта (должно быть не более 10 % от нижнего
концентрационного предела воспламенения). Очистку внутренних стенок аппаратов и
емкостей от пирофоров проводят при одновременном увлажнении водой, с
применением инструментов, исключающих искрообразование. Пирофорные соединения,
извлеченные из аппаратов и емкостей, удаляют с территории установки, следя за
тем, чтобы при перевозке они были достаточно увлажнены.
При консервации технологической установки или части оборудования, все
сосуды и аппараты должны быть подвергнуты очистке от пирофорных соединений. Все
трубопроводы, сосуды и аппараты необходимо поставить под избыточное давление
азотом до 3 кгс/см2 (при этом необходимо учитывать, чтобы давление азота не
превышало разрешенного давления трубопроводов, сосудов, аппаратов).
9.4.2 Способы обезвреживания и нейтрализации
продуктов на установке при разливах и авариях
Разливы вязких нефтепродуктов (мазут) удаляются путем смешивания продукта
с песком, затаривания смеси в емкости (бочки) и вывоза с территории.
Разливы светлых нефтепродуктов смываются водой, подаваемой по шлангу к
месту разлива, в промливневую канализацию предприятия.
9.5 Коллективные и индивидуальные средства
защиты работающих
.5.1 Коллективные средства защиты работающих
В соответствии с ГОСТ 12.4.011-75 “Средства защиты работающих” установка
оснащена следующими защитными системами и мероприятиями:
а) для обеспечения санитарных норм воздушной среды в
производственных помещениях по проекту выполнена система кондиционирования и
вентиляции, эксплуатация которой осуществляется согласно “Правил приемки,
испытания и эксплуатации вентиляционных систем нефтеперерабатывающих и
нефтехимических предприятий”;
б) в открытых насосных установки предусмотрен обогрев полов для
исключения образования обледенений в зимний период года;
в) система электрического освещения производственных помещений, рабочих
мест, площадок обслуживания предназначена для нормализации освещения в темное
время суток;
г) изоляция наружных поверхностей трубопроводов, аппаратов
выполняется с целью уменьшения тепловых потерь в окружающую среду, а также для
обеспечения нормальных температурных условий в помещениях и при температуре
поверхности 60 оС и выше, с целью защиты работающих от ожогов. В случаях, когда
теплоизоляцию осуществить невозможно (наружная поверхность печей) - горячая
поверхность ограждается в местах проходов и площадок обслуживания;
д) контур заземления - защиты от действия электрического тока и
статического электричества;
е) ограждение площадок обслуживания, расположенных на высоте
маршевых лестниц, переходов, выполнение ступенек и площадок из
просечно-вытяжного листа, ограждение движущихся и вращающихся частей
механизмов, удобный доступ к оборудованию, при его обслуживании, позволяет
обеспечить безопасные условия труда;
ж) система дистанционного управления (отключение эл.двигателей,
включение отсекающих устройств, перекрывающих технологические потоки, подачу
топлива к печам, включение средств пожаротушения) защищает работающих от
действия опасных факторов при аварийных ситуациях;
з) для защиты персонала от производственного шума выполнены
следующие мероприятия:
технологические печи оснащены кессонами звукоизоляции,
понижающие шум, сопровождающий процесс горения топлива в печи;
аппараты воздушного охлаждения имеют вентиляторы с пониженной
скоростью вращения.
Для обеспечения противопожарной защиты установки предусмотрены следующие
средства:
а) Колонные аппараты оснащены водяными оросительными системами с
подачей противопожарной воды высокого давления..
б) Для защиты оборудования от перегрева в случае пожара на установке
имеются пожарные лафеты.
в) Открытая насосная оборудована системой пенотушения.
г) Для предотвращения проникновения к печам газового облака
предусмотрена система создания паровой завесы печей
д) Для ликвидации загорания, в результате прогара змеевика печи,
предусмотрена система подачи пара в камеру сгорания печей.
е) Для ликвидации местных очагов пожара на установке имеется
стационарная система паротушения, состоящая из паропроводов, паровых стояков с
отводами для присоединения паровых шлангов для подачи пара к местам возможных
загораний.
ж) Кроме вышеуказанных средств, установка оснащена первичными
средствами пожаротушения в количестве, предусмотренном «Правилами пожарной
безопасности в РФ» (ППБ-01-03).
9.5.2 Средства индивидуальной защиты работающих
Таблица 9.3
Средства индивидуальной защиты работающих
|
№ п/п
|
Наименование стадий
технологического процесса
|
Профессии работающих
|
Средства индивидуальной
защиты работающих
|
Наименование и номер
нормативного документа
|
Срок службы
|
Периодичность стирки,
химчистки защитных средств
|
|
1
|
2
|
3
|
4
|
5
|
6
|
7
|
|
1
|
Реакторный блок; блок
стабилизации; блок очистки ВСГ, у/в газов; узел дозирования присадок
|
Оператор, машинист
компрессоров
|
костюм из смесовых тканей
для защиты от общих производственных и механических воздействий (МВО,
искробезопасный)
|
Каталог бесплатной выдачи
специальной одежды, специальной обуви и других средств индивидуальной защиты
работников ОАО «Сибнефть-ОНПЗ» утвержден 10.07.02г. Дополнение к каталогу от
01.11. 06г.
|
12 месяцев
|
при необходимости
|
|
|
|
ботинки кожаные с жестким
подноском или сапоги кожаные с жестким подноском
|
|
12 месяцев
|
|
|
|
|
белье нательное
|
|
12 месяцев
|
при необходимости
|
|
|
|
каска защитная
|
|
36 месяцев
|
|
|
|
|
рукавицы КР
|
|
1 месяц
|
|
|
|
|
рукавицы х/б с брезентовым
наладонником
|
|
6 месяцев
|
|
|
|
|
рукавицы суконные
|
|
4 месяца
|
|
|
|
|
очки защитные
|
|
до износа
|
|
|
|
|
противогаз
|
|
до износа
|
|
|
|
|
куртка на утепляющей
прокладке
|
|
24 месяца
|
при необходимости
|
|
|
|
брюки на утепляющей
прокладке
|
|
24 месяца
|
при необходимости
|
|
|
|
подшлемник
|
|
36 месяцев
|
|
|
|
|
Валенки обрезиненные
|
|
30 месяцев
|
|
|
|
|
Наушники противошумные
|
|
36 месяцев
|
|
9.6 Безопасность ведения работ в условиях ЧС
.6.1 Прекращение подачи оборотной воды
При понижении давления оборотной воды I системы, поступающей на
конденсаторы - холодильники, на охлаждение трущихся частей насосов, срабатывает
сигнализация. При этом необходимо выполнить следующие операции по аварийной
остановке установки:
сообщить об аварии диспетчеру производства, администрации
производства;
остановить все насосы и закрыть приемные и выкидные задвижки;
потушить печи П-1 (П-2) , П-3 (П-4), закрыть топливный газ на
установку;
дать пар в камеру сгорания печей П-1 (П-2) , П-3 (П-4);
закрыть задвижки подачи сырья на щит смешения, закрыть перетоки:
из С-3 (С-4) в Т-9 (Т-13);
из С-101 (С-201) в Т-9 Т-13);
из К-3 (К-4), в К-7;
- закрыть подачу пара в Т-20;
- при повышении температуры на приеме компрессоров: ПК-1, ПК-2,
ПК-3, остановить компрессоры;
закрыть все задвижки на линиях откачки дизельного топлива и
бензина на выходе с установки;
сдренировать сепараторы и трубопроводы от остатков воды (в
зимнее время).
При прекращении подачи охлаждающей воды II системы, поступающей в
холодильники на охлаждение масла компрессоров: ПК-1, ПК-2, ПК-3, срабатывает
сигнализация, а затем блокировка полной остановки компрессоров по давлению
охлаждающей воды и температуре масла. Далее по схеме блокировок, от остановки
компрессоров останавливаются сырьевые насосы Н-1, Н-2, Н-3. Затем выполняются
операции по аварийной остановке установки, которые были изложены в разделе по прекращению
подачи воды I системы.
9.6.2 Прекращение подачи электроэнергии
Пуск насосов, компрессоров производить после включения в работу
вентиляции.
При прекращении подачи электроэнергии на установку останавливаются все
насосы, компрессоры и вентиляторы. При этом необходимо:
- поставить в известность диспетчера производства,
администрацию производства;
- немедленно потушить печи П-1 (П-2) , П-3 (П-4), подать пар в
камеры сгорания;
- закрыть задвижки на приеме и выкиде насосов и компрессоров;
- закрыть задвижки подачи сырья на щит смешения;
- закрыть пар в Т-20;
- закрыть задвижки на перетоках: из С-1 (С-2) в Т-9 (Т-13), из
С-101 (С-201) в Т-9 (Т-13), из К-3 (К-4), в К-7;
- понизить давление в системе реакторного блока;
- закрыть задвижки на линиях выхода дизельного топлива на
выходе с установки;
- сдренировать аппараты и трубопроводы от остатков воды (в
зимнее время);
- после подачи электроэнергии убедиться, что в подстанциях и
распредустройствах не образовалась взрывоопасная концентрация газов, включить
вентиляцию.
9.6.3 Прекращение подачи воздуха
КИП
Прекращение или снижение подачи воздуха к контрольно-измерительным
приборам приведет к нарушениям технологического режима. При этом необходимо:
- поставить в известность диспетчера производства, администрацию
производства;
- остановить сырьевые насосы Н-1, Н-2, Н-3;
закрыть приемные и выкидные задвижки на сырьевых насосах Н-1,
Н-2, Н-3;
потушить печи П-1 (П-2), П-3 (П-4), перекрыть топливный газ и
жидкое топливо к печи, дать пар в камеры сгорания;
закрыть “свежий” ВСГ на установку;
остановить все насосы и закрыть на них приемные и выкидные
задвижки;
закрыть перетоки из С-1 (С-2) в Т-9 (Т-13), из С-101 (С-201) в
Т-9 (Т-13), из К-3 (К-4) в К-7;
закрыть пар в Т-20;
перевести на байпас отдув газа с установки;
избыточное давление на блоке стабилизации сбросить на факел;
закрыть задвижки на линиях откачки дизельного топлива и бензина
с установки.
При устойчивом поступлении воздуха КИП к приборам, пустить компрессоры:
ПК-1, ПК-2, ПК-3, ПК-4 и наладить нормальный режим.
9.6.4 Прекращение подачи сырья на установку
При прекращении подачи сырья резко повышается температура на выходе из
печи П-1 (П-2) в реакторах, что может привести к прогару труб змеевиков печей,
закоксованию катализатора в реакторах.
При уменьшении расхода сырья на установку до 40 м3/ч, срабатывает
предупредительная сигнализация. При полном падении расхода сырья производится
остановка установки. При этом необходимо:
- поставить в известность диспетчера производства и администрацию
производства;
- остановить насосы Н-1, Н-2, Н-3, закрыть задвижки на приеме и
выкиде насосов;
уменьшить подачу топлива в печь П-1 (П-2);
перекрыть перетоки из С-101 (С-201) в Т-9 (Т-13);
блок стабилизации перевести на горячую циркуляцию;
закрыть задвижки на линии откачки дизельного топлива и бензина с
установки;
установку перевести на горячую циркуляцию водородсодержащим
газом по реакторному блоку;
блок очистки на циркуляции.
9.6.5 Прекращение подачи жидкого топлива на
установку
При прекращении подачи жидкого топлива к печам, шуровку форсунок
перевести на газовое топливо. При снижении давления топливного газа на
установку срабатывает сигнализация. При прекращении подачи газообразногоого
топлива переходят на работу с жидким топливом. Производительность установки понижается,
для сохранения заданных температур в соответствии с обеспеченностью топливом.
При прекращении подачи жидкого и газообразного топлива нарушается температурный
режим установки. При этом необходимо:
- сообщить диспечеру производства, администрации производства;
- закрыть все задвижки подачи топлива к форсункам печей;
прекратить подачу сырья на щит смешения, дать пар в камеры
сгорания печей;
остановить сырьевые насосы Н-1. Н-2, Н-3, закрыть задвижки на
приеме и выкиде насосов;
закрыть задвижки на перетоках из С-1 (С-2) в Т-9 (Т-13), из
С-101 (С-201) в Т-9 (Т-13).
блок стабилизации перевести на холодную циркуляцию;
закрыть задвижки на линиях откачки дизельного топлива и бензина
с установки;
реакторный блок перевести на холодную циркуляцию водородсодержащим
газом;
блок очистки перевести на циркуляцию.
9.6.6 Нарушение в системе канализации и в
оборотных системах водоснабжения
При нарушении в системе канализации поднимается уровень в колодцах. При
этом необходимо выполнить следующие операции:
- сообщить диспетчеру производства, администрации производства;
при повышении уровня воды до электродвигателя ПК-1, ПК-2 (ПК-3,
ПК-2), потушить печи П-1 (П-2), остановить сырьевые насосы, остановить аварийно
ПК-1, ПК-2 (ПК-3, ПК-2), закрыть задвижки на приеме и выкиде насосов,
компрессоров;
блок стабилизации, блок очистки перевести на горячую циркуляцию;
дать пар в камеры сгорания П-1 (П-2);
закрыть задвижки подачи сырья на щит смешения;
закрыть переток из С-101 (С-201) в Т-9 (Т-13).
9.6.7 Ограничение или прекращение приема
продуктов с установки
При ограничении приема гидроочищенного дизельного топлива
(депарафинизированного) повышается уровень колонн К-1 (К-2). При этом
необходимо:
- сообщить диспетчеру производства, администрации производства;
- понизить загрузки по сырью до нормальной работы колонн К-1
(К-2).
При прекращении приема гидроочищенного дизельного топлива резко
повышается уровень колонн К-1 (К-2). При этом необходимо:
- сообщить диспетчеру производства, диспетчеру товарного
производства;
остановить сырьевые насосы Н-1, Н-2 , закрыть задвижки на приеме
и выкиде Н-1, Н-2, Н-3, закрыть электрозадвижки на щит смешения;
- перевести установку на горячую циркуляцию.
После налаживания откачки гидроочищенного дизельного топлива установка
выводится на режим.
При ограничении или прекращении приема сероводорода (кислого газа) с
установки резко возрастает давление в К-7, С-9. При этом необходимо:
- сообщить диспетчеру производства, администрации производства;
- открыть сброс с С-9 на факел;
по согласованию с диспетчером, в случае необходимости,
приступить к остановке установки.
9.6.8 Нарушение санитарного режима,
представляющие опасность для людей и окружающей среды
При прекращении работы приточной вентиляции включить резервный
вентилятор, принять меры к немедленному включению вентиляции. Работа без
приточной вентиляции запрещается:
- при прекращении работы вытяжной вентиляции открыть двери для
естественной вентиляции;
- сообщить руководству производства, принять меры к немедленному
включению вентиляции;
усилить контроль за работой оборудования, не допуская утечек
нефтепродуктов.
9.6.9 Остановка циркуляционного компрессора ПК-1
(ПК-2, ПК-3)
При остановке компрессоров по блокировке останавливаются сырьевые насосы
Н-1, Н-2, (Н-3). При этом необходимо:
- сообщить диспетчеру производства, администрации производства;
- потушить печь П-1 (П-2), дать пар в камеры сгорания;
остановить насосы Н-1, Н-2, Н-3;
закрыть задвижки на приеме и выкиде насосов Н-1, Н-2;
закрыть задвижки подачи сырья на щит смешения;
перекрыть задвижки на перетоках из С-1 (С-2) в Т-9 (Т-13), из
С-101 (С-201) в Т-9 (Т-13);
перевести блок стабилизации на горячую циркуляцию;
9.6.10 Разрыв (прогар) трубы в печах П-1 (П-2),
П-3 (П-4)
При разрыве, прогаре трубы в печи П-1 (П-2) необходимо:
- сообщить диспетчеру производства, администрации производства;
- немедленно прекратить подачу топлива к форсункам печи;
прекратить подачу сырья, остановить насосы Н-1 (Н-2, Н-3),
закрыть задвижки на приеме и выкиде насосов;
дать пар в камеры сгорания;
остановить циркуляционный компрессор ПК-1 (ПК-2, ПК-3);
закрыть задвижки на линиях сырья и ВСГ на щит смешения.
прекратить подачу свежего водородсодержащего газа (ВСГ) в
систему реакторного блока, закрыть задвижку на линии свежего ВСГ на установку;
понизить давление в системе реакторного блока сбросом ВСГ в
линию топливного газа, а затем на факел;
перекрыть перетоки: из С-1 (С-2) в Т-9 (Т-13), из С-101 (С-201)
в Т-9 (Т-13), из К-3 (К-4) в Т-17;
прекратить циркуляцию МЭА в К-3 (К-4);
блок стабилизации перевести на циркуляцию;
блок очистки остановить.
После ликвидации загорания продукта в камере печи систему реакторного
блока продуть инертным газом по схеме:
щит смешения ®
Т-1, Т-2, (Т-3, Т-4) ®
П-1 (П-2) ® Р-1, Р-2 (Р-3,
Р-4) ® Т-2, Т-1 (Т-4, Т-3) ® С-101 (С-201) ® ТВ-101 (ТВ-201) ® Х-14 (Х-15) ® Х-1 (Х-2) ® С-1 (С-2) ® К-3 (К-4) ® щит отдува на свечу
Нефтепродукт из сепаратора С-1 (С-2) под давлением инертного газа
дренируется по линии дренажа в Е-20.
При разрыве (прогаре) трубы печи П-3 (П-4) необходимо:
- сообщить диспетчеру производства, администрации производства;
- немедленно прекратить подачу топлива к форсункам печи П-3 (П-4);
остановить сырьевые насосы Н-1, Н-2, Н-3, закрыть задвижки на
выкиде и приеме Н-1, Н-2, Н-3;
дать пар в камеру сгорания;
закрыть клапан поз.FV 71-1 (FV 71-2), расположенный на линии подачи
теплоносителя с выкида насоса Н-4 (Н-5) в змеевик печи П-3 (П-4);
дать пар в змеевик печи П-3 (П-4), выдавить нефтепродукт в колонну
К-1 (К-2), закрыть задвижки на входе теплоносителя в К-1 (К-2);
понизить расход топлива на печи П-1 (П-2);
откачать нефтепродукт из К-1 (К-2) насосами Н-4, Н-6 Н-5),
насосы остановить, закрыть задвижки на приеме и выкиде насосов;
реакторный блок перевести на горячую циркуляцию ВСГ.
9.6.11 Разгерметизация фланцевого соединения или
трубопровода, работающего под давлением
При разгерметизации фланцевого соединения или трубопровода системы
реакторного блока необходимо:
- сообщить диспетчеру производства, администрации производства;
- прекратить подачу сырья на щит смешения, остановить Н-1, Н-2,
Н-3 , закрыть задвижки на приеме и выкиде Н-1, Н-2, Н-3;
прекратить подачу топлива к печам П-1 (П-2), дать пар в камеры
сгорания печей;
прекратить подачу «свежего» ВСГ на установку;
понизить давление в системе путем отвода газа в линию топливного
газа, затем на факел, остаточное давление сбросить “на свечу”. Остановить
циркуляционные компрессоры ПК-1 (ПК-2, ПК-3);
нефтепродукт выдавить из системы РБ в систему стабилизации;
блок стабилизации и очистки перевести на циркуляцию.
При прорыве фланцевого соединения или разрыве трубопровода на блоке
стабилизации необходимо:
- сообщить диспетчеру производства, администрации производства;
- отключить аварийный участок запорной арматурой;
аварийный участок оградить предупредительными знаками;
при необходимости остановить блок стабилизации с освобождением
отдельных аппаратов или трубопроводов от нефтепродуктов;
остановить сырьевые насосы Н-1, Н-2, Н-3 , перекрыть задвижки на
приеме и выкиде Н-1, Н-2, Н-3;
понизить расход топлива на печи П-1, П-2;
реакторный блок и блок очистки перевести на циркуляцию ВСГ.
При прорыве фланцевого соединения или разрыве трубопровода на блоке
очистки необходимо:
- сообщть диспетчеру производства, администрации производства;
- отключить аварийный участок запорной арматуры;
аварийный участок оградить предупредительными знаками;
при необходимости остановить блок очистки с освобождением
отдельных аппаратов или трубопроводов от продукта.
в зависимости от опасности прорыва, на реакторном блоке понизить
загрузку до 50 м3/ч или снять сырье, блоки РБ и стабилизации перевести на
горячую циркуляцию.
9.6.12 Остановка сырьевого насоса Н-1, Н-2, Н-3
При этом необходимо:
- сообщить диспетчеру производства, администрации производства;
- снизить подачу топлива в П-1, П-2;
закрыть задвижки на приеме и выкиде насосов Н-1 (Н-2, Н-3);
закрыть электрозадвижки на щит смешения;
закрыть задвижки на линиях перетока из С-1 (С-2) в Т-9 (Т-13),
из С-101 (С-201) в Т-9 (Т-13);
блок стабилизаци перевести на горячую циркуляцию;
после пуска насоса постепенно поднять производительность до
необходимых пределов.
9.6.13 Остановка горячего насоса Н-4, Н-5, Н-6
При этом необходимо:
- сообщить диспетчеру производства, администрации производства;
- остановить сырьевые насосы Н-1, Н-2, Н-3, закрыть задвижки на
приеме и выкиде Н-1, Н-2, Н-3;
закрыть электрозадвижки на щит смешения;
снизить подачу топлива в П-1, П-2;
реакторный блок перевести на горячую циркуляцию ВСГ;
потушить печи П-3, П-4;
закрыть задвижки по горячей струе в Т-12 (Т-16);
закрыть задвижки на приеме и выкиде Н-4, Н-5, Н-6;
закрыть задвижки на клапанной сборке поз.FRCSA 71 (теплоносителя в П-3, П-4);
закрыть задвижки на выходе с установки гидроочищенного дизельного
топлива
9.6.14 Отказ КИП и А, при котором необходима
аварийная остановка
При отказе в работе КИП и А необходимо немедленно ликвидировать
неисправность.
Запрещается ведение технологического процесса и работа оборудования с
неисправными или отключенными системами контроля, управления, ПАЗ.
Допускается в исключительных случаях по письменному разрешению
руководителя кратковременное отключение защиты по отдельному параметру только в
дневную смену на время расчетной продолжительности. При этом разрабатываются
организационно-технические мероприятия, проект организации работ,
обеспечивающие безопасность технологического процесса и производства работ.
Расчетное время отключения не более 3 часов.
Отключение предаварийной сигнализации в этом случае не допускается.
9.7 Анализ травматизма и профзаболеваемости
Анализ причин несчастных случаев на производстве проводят с целью
выработки мероприятий по их устранению и предупреждению. Для этого используются
монографический, топографический и статистический методы. Монографический метод
предусматривает многосторонний анализ причин травматизма непосредственно на
рабочих местах. При этом изучают организацию и условия труда, состояние
оборудования, инвентаря, инструментов. Этот метод эффективен при статистическом
анализе состояния охраны труда. Топографический метод анализа позволяет
установить место наиболее частых случаев травматизма. Для этого на плане-схеме
предприятия, где обозначены рабочие места и оборудование, отмечают количество
несчастных случаев за анализируемый период. Это позволяет уделить больше
внимания улучшению условий труда на рабочих местах, где наиболее часто
происходят несчастные случаи. Статистический метод анализа основан на изучении
количественных показателей данных отчетов о несчастных случаях на предприятиях
и в организациях. При этом используются в основном коэффициенты частоты и
тяжести травматизма.
На установке Л-24/7 за время ее работы не было ни одной аварии, что
говорит о качественной и своевременной работе отдела по организации безопасного
труда на предприятии. Но хочется привести две таблицы, которые свидетельствуют
о травмах легкой тяжести за последние 4 года.
Таблица 9.4.
Динамика производственного травматизма за 2010-2013
г.г
|
год
|
Кол-во несчастных случаев
|
|
2010
|
14
|
|
2011
|
8
|
|
2012
|
5
|
|
2013
|
5
|
Таблица 9.5.
Расходы на охрану труда за 2010-2013 г.
|
годРасходы на охрану труда,
млн. руб.
|
|
|
2010
|
278,3
|
|
2011
|
286,2
|
|
2012
|
293,3
|
|
2013
|
294,1
|
Анализируя две таблицы можно сделать вывод, что чем больше денег, а
следовательно времени и внимания выделяется на охрану труда, тем меньше
несчастных случаев мы наблюдаем.
Главным профзаболеванием является нарушение слуха, в связи с повышенным
уровнем шумов на объекте. Побочным может быть заболевание дыхательных путей
из-за постоянного вовлечения в процесс дыхания паров нефтепродуктов.
10. ЭКОЛОГИЧЕСКАЯ ЧАСТЬ
10.1 Промышленные отходы
Промышленные отходы - твёрдые, жидкие и газообразные отходы производства,
полученные в результате химических, термических, механических и других
преобразований материалов природного и антропогенного происхождения.
Отходы определённой продукции - неупотребимые остатки сырья и возникающие
в ходе технологических процессов вещества и энергия, не подвергающиеся
утилизации. Часть отходов, которая может быть использована в том же производстве,
называется возвратными отходами. Сюда входят остатки сырья и других видов
материальных ресурсов, образовавшиеся в процессе производства товаров
(выполнения работ, оказания услуг). Из-за частичной утраты некоторых
потребительских свойств возвратные отходы могут использоваться в условиях со
сниженными требованиями к продукту, или с повышенным расходом, иногда они не
используются по прямому назначению, а лишь в подсобном производстве (например,
автомобильные отработанные масла - для смазки неответственных узлов техники).
При этом остатки сырья и других материальных ценностей, которые передаются в
другие подразделения в качестве полноценного сырья, в соответствии с
технологическим процессом, а также попутная продукция, получаемая в результате
осуществления технологического процесса, к возвратным отходам не относятся.
Отходы, которые в рамках данного производства не могут быть использованы, но
могут применяться в других производствах, именуются вторичным сырьём. Отходы,
которые на данном этапе экономического развития перерабатывать нецелесообразно.
Они образуют безвозвратные потери, их предварительно обезвреживают в случае
опасности и захоранивают на спецполигонах.
10.2 Твердые и жидкие отходы
Таблица 10.1.
Твердые и жидкие отходы
|
Наименование отхода
|
Складирование и
транспортировка
|
Периодичность образования
|
Условия (метод) и место
захоронения, обезвреживания, утилизации
|
Количество т/год
|
Примечание
|
|
Используемые отходы
|
|
1.
|
Отходы катализаторов и
контактных масс (пакет катализаторов DN-3531 и IL)
|
затаривается в
металлические бочки, вывозится автотранспортом
|
1 раз в 2 года
|
отправляется на регенерацию
в фирму изготовитель
|
35,87
|
|
|
2. с
|
Отходы катализаторов и
контактных масс (пакет катализаторов SDD800 и DN-3531)
|
затаривается в
металлические бочки, вывозится автотранспортом
|
1 раз в 3 года
|
отправляется на регенерацию
в фирму изготовитель
|
30,68
|
|
|
3.
|
Масла индустриальные
отработанные (по МИО)
|
Затаривается в
маслозаправщики
|
По мере накопления
|
отправляются на утилизацию
на ТЭУ
|
1,06
|
|
|
Неиспользуемые отходы
|
|
1.
|
Шлам очистки трубопроводов
и емкостей от нефти (нефтешлам)
|
складируется в
металлический контейнер и вывозится автотранспортом
|
В процессе эксплуатации, по
мере накопления и в ремонт
|
Вывозится с установки на
ЗАО «Полигон»
|
6,0
|
|
|
2.
|
Обтирочный материал
загрязненный маслами
|
В металлических
контейнерах, вывозится автотранспортом
|
По мере накопления
|
Вывозится с установки на
ЗАО «Полигон»
|
0,5
|
|
10.3 Сточные воды
Сточные воды - любые воды и атмосферные осадки, отводимые в водоемы с
территорий промышленных предприятий и населенных мест через систему канализации
или самотеком, свойства которых были ухудшены в результате деятельности
человека. Сточная промышленная вода - вода, которая была загрязнена в
результате использования на предприятии.
Таблица 10.3.
Сточные воды
|
№ п/п
|
Наименование стока
|
Количество образования
сточных вод м3 / ч
|
Условия (метод) ликвидации
обезвреживания, утилизация
|
Периодичность выбросов
|
Место сброса
|
Установленная норма
содержания загрязнений в стоках, мг/л
|
Примечание
|
|
1
|
2
|
3
|
4
|
5
|
6
|
7
|
8
|
|
1.
|
Вода на охлаждение
компрессоров и насосного оборудования
|
4,0
|
водоочистные сооружения ОАО
«Газпромнефть-ОНПЗ»
|
постоянно
|
сбрасывается в промливневую
канализацию
|
Нефтепродукт - 500
|
|
|
2.
|
Смыв полов
|
4,0
|
- // -
|
периодически 2 раза в сутки
|
сбрасывается в промливневую
канализацию
|
Нефтепродукт - 500
|
|
|
3.
|
Конденсат водяного пара
после пропарки и промывки оборудования при подготовке к ремонту
|
20,0
|
- // -
|
периодически перед ремонтом
|
сбрасывается в промливневую
канализацию
|
Нефтепродукт - 500
|
|
|
4.
|
Подтоварная вода из Е-3
|
1,5
|
- // -
|
постоянно
|
сбрасывается в промливневую
канализацию
|
Нефтепродукт - 500
|
|
|
5.
|
Воды от промывки
холодильного оборудования от грязи
|
3,0
|
- // -
|
периодически по мере
загрязнения
|
сбрасывается в промливневую
канализацию
|
Нефтепродукт-500
|
|
Для снижения сбросов нефтепродуктов со сточными водами на очистные
сооружения предприятия выполняются следующие мероприятия:
- освобождение оборудования, трубопроводов при подготовке к
ремонту, пропарке и в аварийных ситуациях производится в закрытую дренажную
емкость Е-20;
- промывные воды от смыва полов насосных, компрессорной, ливневые
стоки с территории установки сбрасываются в промливневую канализацию,
оборудованную гидрозатворами, далее на очистные сооружения предприятия.
Контроль над содержанием нефтепродуктов в сточных водах осуществляется
сангигиенической лабораторией и технологическим персоналом установки.
Содержание нефтепродуктов в сточных водах установки не должна превышать 500
мг/литр.
10.4 Выбросы в атмосферу
Установка гидроочистки дизельных топлив имеет следующие выбросы вредных
веществ в атмосферу:
- организованные
- неорганизованные
К организованным выбросам относятся дымовые газы из дымовой трубы печей и
выбросы вытяжной системы вентиляции.
К неорганизованным выбросам относятся выбросы через воздушники аппаратов,
продувочные свечи, неплотности технологического оборудования.
Основными вредными веществами, выбрасываемыми в атмосферу из источников,
являются углеводороды, окислы азота, кислый газ (сероводород), окись углерода,
сернистый газ.
Согласно ГН 2.2.5.1313-03 «Предельно допустимые концентрации (ПДК)
вредных веществ в воздухе рабочей зоны» установлены следующие величины ПДК в
воздухе рабочей зоны:
- сернистого газа SO2 - 10 мг/м3;
- окиси углерода СО - 20 мг/м3
- сероводорода Н2S -
10 мг/м3
углеводородов - 900/300 мг/м3
окислов азота - 5 мг/м3
На установке предусмотрены следующие проектные решения, обеспечивающие
надежность и безопасность ведения технологического процесса, защиту персонала и
окружающей среды:
- конструкция уплотнений, материалы прокладок фланцевых соединений
аппаратов, трубопроводов обеспечивают необходимую степень герметичности
разъемных соединений;
- материал, используемого оборудования, выбран с учетом
коррозионных свойств сред, статических и температурных нагрузок;
большая часть технологического оборудования размещена на
открытой площадке, чем обеспечивается более безопасные условия его работы и
обслуживания;
освобождение оборудования и трубопроводов от газообразных
продуктов осуществляется в закрытую факельную систему;
освобождение оборудования и технологических трубопроводов от
жидких нефтепродуктов производится в закрытую дренажную емкость.
Для контроля за процессом горения и полноты сжигания топлива в печах П-1,
П-2, П-3, П-4, установлены тягомеры для измерения разряжения в камерах радиации
и конвекции печей.
Высота дымовых труб Н-60 м обеспечивает рассеивание вредных веществ.
10.5 Расчет предусмотренных выплат за выбросы с
предприятия
Расчет выплат за выбросы производственного объекта проведем на основании
данных технологического регламента установки Л-24-7, откуда берется информация
о виде выбросов, их составе и количестве. Также воспользуемся нормативным
документом - Приложением №1 к Постановлению Правительства РФ от 12.06.2003 N
344 (ред. от 26.12.2013) "О нормативах платы за выбросы в атмосферный
воздух загрязняющих веществ стационарными и передвижными источниками, сбросы
загрязняющих веществ в поверхностные и подземные водные объекты, в том числе
через централизованные системы водоотведения, размещение отходов производства и
потребления", где содержатся данные о нормативах платы за каждый вид
выбросов.
Таблица 10.5
Расчет платы за промышленные выбросы
|
Промышленные выбросы
|
Количество ( м3/год)
|
Нормативы платы за выброс
(руб/ м3)/(руб/т)
|
Стоимость (руб)
|
|
Выбросы в атмосферу
|
|
сернистый ангидрид
|
39,416
|
21
|
827,736
|
|
бензпирен
|
0,00002
|
2049801
|
40,99
|
|
окись углерода
|
10,866
|
0,6
|
6,51
|
|
окись азота
|
2,154
|
35
|
75,4
|
|
двуокись азота
|
13,257
|
52
|
689,36
|
|
пары УВ
|
244,34
|
5
|
1221,8
|
|
Сточные воды:
(нефтепродукты)
|
223
|
5510
|
1228730
|
|
Твердые отходы (нефтешлам 3
класс опасности)
|
5,5
|
497
|
2 734
|
|
ИТОГО
|
-
|
-
|
1 234 325
|
Рассчитаем общее количество воды, отправляемое на очистные сооружения за
период работы установки, который равен 8000 часов. Общее количество воды будет
равно 44 698 м3 . Т.к. вода не сбрасывается, а отправляется на очистные
сооружения, то непосредственного загрязнения не происходит, однако, мы учтем
максимальное содержание нефтепродукта в воде и посчитаем плату за это. В одном
литре у нас содержится 500 мг нефтепродукта, т.е. в 44 698 м3. мы получаем 223
тонны нефтепродукта.
Плата за промышленные выбросы на установке л-24/7 составляет 1 234 325
рублей в год. Плата за катализаторы не взимается, т.к. они подвергаются
регенерации и направляются на дальнейшее использование.
Вывод: при модернизации узла теплообмена мы будем выбрасывать в атмосферу
меньше вредных веществ, т.к. новое оборудование позволяет более эффективно
нагревать газосырьевую смесь, что сократит сжигание мазута, который является
сырьем для печи. Также модернизация поможет немного уменьшить количество
производимого шлама.
Библиографический список
1. Павлов
К.Ф., Романков П.Г., Носков А.А. Примеры и задачи по курсу процессов и
аппаратов.Л.:Химия,1987, 576 с.
2. Основные
процессы и аппараты химической технологии: Пособие по проектированию. // Под
ред. Ю.И. Дытнерского. М.:Химия, 1983. 272 с.
. Разработка
конструкции химического аппарата и его графической модели. Методические
указания. - Иваново, 2004.
. Лащинский
А.А., Толчинский А.Р. Основы конструирования и расчета химической аппаратуры -
Л. «Машиностроение», 1975.
. Басов
К.А. «CATIA V5. Геометрическое моделирование. Учебное пособие» // М.: ДМК
Пресс, 2008 - 272 с
. Будник
В.А. Методическое пособие по программе подготовки студентов технологических
дисциплин. Работа в среде «HYSYS» //Салават, 2010.
7. Тимонин
А.С. Основы конструирования и расчета химико-технологического и
природоохранного оборудования: 1 и 2 том. Справочник. - Калуга, 2002.
. Технологический
регламент установки гидроочистки дизельных топлив на ОАО Газпромнефть Омский
НПЗ.
9. Выбор
и расчет теплообменников. Учебное пособие. Сост. С.Н. Виноградов, К.В.
Таранцев. Пенза 2001.
. Определение
теплофизических свойств газов, жидкостей и водных растворов веществе.
Методические указания. Сост. Е.М. Щадрина, Г.В. Волкова. Иваново 2009.
11. Технико-экономические
расчёты в обосновании принимаемых решений в дипломном проекте: Метод. указания
/ сост.: Н.В. Смирнова; СПб, 2011.
12. РУКОВОДЯЩИЙ
ДОКУМЕНТ. СОСУДЫ И АППАРАТЫ. НОРМЫ И МЕТОДЫ РАСЧЕТА НА ПРОЧНОСТЬ И
ГЕРМЕТИЧНОСТЬ ФЛАНЦЕВЫХ СОЕДИНЕНИЙ. РД 26-15-88.
13. ГОСТ
24755-89 Сосуды и аппараты. Нормы и методы расчета на прочность укрепления
отверстий.
14. ГОСТ
14249-89 Сосуды и аппараты. Нормы и методы расчета на прочность.
. Основы
КОМПАС-3D. Учебное пособие. Сост. Г.М.
Горшков, Д.А. Коршунов, В.В. Богданов. Ульяновск 2008.
16. ГОСТ Р 52857.7-2007 Сосуды и аппараты. НОРМЫ И МЕТОДЫ РАСЧЕТА НА
ПРОЧНОСТЬ.
Приложения
Рис.1 Начальная схема теплообмена на установке
гидроочистки ДТ
Рис.2 Расчет первоначального теплообменного аппарата
Рис.3 Расчет параметров температурного режима исходной схемы теплообмена
Рис.4 Схема предложенной модернизации узла теплообмена (замена на два
меньших теплообменника)
Рис.5 Параметры теплообменников меньших по размеру
Рис.6 Расчет параметров температурного режима с новыми теплообменниками
Рис.7 Модернизация заменой всех теплообменников на один с большой
поверхностью теплообмена
Рис.8 Задание параметров большого теплообменного аппарата
Рис.9 Расчет параметров температурного режима процесса с большим
теплообменником
Рис.10 Моделирование оптимальной схемы теплообмена в ПО HYSYS
Рис.11 Теплообменник использованный в оптимальной схеме теплообмена
