Основи безпеки дорожнього руху
МІНІСТЕРСТВО
ОСВІТИ І НАУКИ
Національний
університет «Львівська політехніка»
КОНТРОЛЬНА
РОБОТА
з
дисципліни «Основи безпеки дорожнього руху»
Виконав Кравчук А.І.
Перевірив Качмар Р.Я.
Львів
- 2013
Задача №1
Розв’язати за методикою сталого
радіуса повороту напряму та зворотну задачу безпечного маневру об’їзду
перешкоди з габаритами 
(рис.1). Приймається, що швидкість
автомобіля 
, км/год протягом усього маневру є
незмінною. Зобразити схему об’їзду автомобілем перешкоди.
Пряма задача. Визначити
мінімальну відстань від автомобіля, до перешкоди достатню для можливості
здійснення безпечного маневру об’їзду.
Обернена задача. Визначити,
чи є технічна можливість об’їхати перешкоду, якщо в момент, коли водій помітив
її відстань від автомобіля до перешкоди становить 
.
Рис. 1. Розрахункова схема
об’їзду перешкоди
Таблиця 1
Вихідні дані до задачі №1
|
Тип та стан дорожнього покриття
|
yn, м
|
Пряма задача
|
Обернена задача
|
|
|
va, км/год
|
Марка АТЗ
|
va, км/год
|
Марка АТЗ
|
Sn, м
|
|
Мокрий асфальтобетон
|
0,2
|
80
|
ЗИЛ-130
|
50
|
ВАЗ-2107
|
30
|
Розв’язок.
Пряма задача.
Визначимо безпечний інтервал між
автомобілем і перешкодою:

,
де 
- інтервал між перешкодою, та
автомобілем (м), [
]=км/год;
Визначаємо мінімальну
величину поперечного зміщення автомобіля, м, необхідну для відвороту від
перешкоди:

,
маневр обгін поворот автомобіль
де 
- відстань, на яку виступає
перешкода від крайньої правої габаритної точки автомобіля (м); Ш - габаритна
ширина АТЗ (м);
Радіус повороту центра мас,
при якому поворот автомобіля відбудеться без заносу:

,
де 
- коефіцієнт зчеплення шин коліс
автомобіля у поперечному напрямі;
Визначаємо радіус переміщення
центру задньої осі автомобіля:

,
де b - відстань
по горизонталі від центра мас до осі задніх коліс, м;
Радіус траєкторії передньої
габаритної точки визначається так:

,

=145.2999м
де 
- база транспортного засобу, м; 
- передній звіс автомобіля, м;
Визначаємо висоту сегменту 
:

, 
,
Отже, мінімальна відстань,
достатня для здійснення безпечного маневру об’їзду перешкоди, становить
48.8131м .
Обернена задача.
Визначимо безпечний інтервал
між автомобілем і перешкодою:

,
де 
- інтервал між перешкодою, та
автомобілем (м), [
]=км/год;
Визначаємо мінімальну
величину поперечного зміщення автомобіля, м, необхідну для відвороту від
перешкоди:

,
де 
- відстань, на яку виступає
перешкода від крайньої правої габаритної точки автомобіля (м); Ш - габаритна
ширина АТЗ (м);

,
де 
- коефіцієнт зчеплення шин коліс
автомобіля у поперечному напрямі;
Визначаємо радіус переміщення
центру задньої осі автомобіля:

,
де b - відстань
по горизонталі від центра мас до осі задніх коліс, м;
Радіус траєкторії передньої
габаритної точки визначається так:

,

=57.119м
де 
- база транспортного засобу, м; 
- передній звіс автомобіля, м;

, 
,
За відомою величиною 
визначаємо поперечне зміщення
автомобіля 
і, порівнюємо його з 
. Відстань від передньої частини
автомобіля до перешкоди, коли автомобіль розпочинає рух по криволінійній
траєкторії визначаємо за формулою:

,
Отже, 
< 
, тому технічної можливості об’їхати
перешкоду немає.
Задача №2
Оцінити на заданій ділянці
дороги безпеку її зон. Ділянка дороги має довжину 1км . Швидкість в’їзду на
задану ділянку - 
.
Зона 1 - поворот дороги з
радіусом R.
Зона 2 - на 100-му метрі дороги
починається спуск довжиною 100м. Швидкість руху обмежена величиною 
.
Зона 3 - наприкінці спуску
розміщений вузький міст, рух по якому дозволяється з швидкістю в два рази
меншою, ніж по спуску: 
.
Зона 4 - після моста за 300-м
метром починається поворот з радіусом R і
обмеженою видимістю 
.
Зона 5 - після моста за 500
метрів (ділянка дороги з 400-го по 900-й метр) дорога проходить через населений
пункт, де швидкість руху обмежена величиною 
.
Зона 6 - на 900-му метрі
дороги розташована небезпечна ділянка з обмеженням швидкості руху до 
.
Таблиця 2
Вихідні дані до задачі №2
|
v2, км/год
|
R ,м
|
Sв, м
|
Ступінь завантаження, %
|
Тип та стан дорожнього покриття
|
Марка АТЗ
|
|
50
|
60
|
60
|
0
|
Сухий асфальтобетон
|
ГАЗ-24
|
Розв’язок.
Дані:

;
;
Знаходимо максимальну
швидкість руху автомобіля по круговій ділянці дороги з умови виникнення заносу,
км/год:
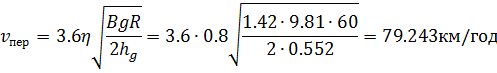
Знаходимо максимальну
швидкість руху автомобіля по круговій ділянці дороги з умови перекидання,
км/год:
Обчислюємо максимально
допустиму швидкість за умови видимості 
,км/год:

;

;
Визначаємо коефіцієнт безпеки
К для кожної із зон:

,
Зона 1. 
; Зона 4. 
;
Зона 2. 
; Зона 5. 
;
Зона 3. 
; Зона 6. 
.
На основі розрахунків 
, робимо висновки про ступені
безпеки зон розглядуваної ділянки дороги:
зона 1 - безпечна; зона 2 -
мало небезпечна;
зона 3 - небезпечна; зона 4 -
безпечна;
зона 5 - безпечна; зона 6 -
дуже небезпечна.
Задача №3
Необхідно визначити:
1) безпечну
на початок маневру обгону відстань між автомобілем 1, який здійснює обгін та
автомобілем 3 зустрічного напрямку руху (рис. 2,3);
2) загальний
шлях обгону;
3) загальну
тривалість обгону;
4) тривалість
і шлях, який долає обганяючи АТЗ на стадіях обгону.
5) Розглянути
три випадки обгону: з незмінною в часі швидкістю; при потоковому характері
руху; незавершений обгін. Зобразити схеми обгонів.
Рис. 2 Схема обгону при обгоні з
постійною швидкістю та при потоковому характері руху
Рис. 3 Схема незавершеного обгону
Таблиця 3
Вихідні дані до задачі №3
|
Марка АТЗ
|
Обгін з сталою швидкістю, км/год
|
Обгін при потоковому характері руху, км/год
|
Незавершений обгін, км/год
|
|
АТЗ 1
|
АТЗ 2
|
v1
|
v2
|
v3
|
v
|
vmax
|
v3
|
v1
|
v2
|
v3
|
|
ВАЗ-2103
|
ЗИЛ-130
|
90
|
50
|
100
|
80
|
100
|
100
|
90
|
50
|
60
|
Розв’язок.
Дані:
Завантаження автомобіля 0%;
Дорожнє покриття - суха щебінка 
;

; 
; 
; 
;

; 
; 
;

;
Обгін з незмінною в часі
швидкістю (рис. 2). Загальний шлях обгону 
, тобто шлях, який долає автомобіль
1, визначається за такою формулою:

,
де 
і 
- габаритна довжина автомобіля 1 і
2 відповідно; 
і 
- дистанції між автомобілями 1 і 2
на початку та по завершенню обгону відповідно; 
і 
- стала в часі швидкість автомобіля
1 і 2 відповідно.
Тривалість обгону 
визначається за такою формулою:
Безпечна відстань між
автомобілями 1 і 3 на початку маневру обгону визначається за такою формулою:

,
де 
- швидкість
автомобіля 3.
Обгін при потоковому
характері руху (рис. 2). Шлях обгону 
, тобто шлях, який долає автомобіль
1, визначається за такою формулою:

,
де 
- швидкість
автомобілів 1 і 2 на початку обгону; 
- максимальна
швидкість автомобіля 1.
Тривалість обгону 
визначається за такою формулою:
Безпечна відстань між
автомобілями 1 і 3 на початку маневру обгону визначається за такою формулою:
Незавершений обгін (рис. 3).
Шлях 
та час 
обгону
визначається за такими формулами:

,

,
де 
- тривалість
трьох стадій незавершеного обгону, 
- шлях, який
долає автомобіль 1 за час 
.
Перша стадія 
;
Друга стадія 
;
де 
- час
спрацювання гальмівного приводу автомобіля 1, 
- час
нарощення сповільнення автомобіля 1 до максимального значення 
; 
- мінімальна швидкість автомобіля
1.
Третя стадія 
; 
;

;

;

;
Можемо визначити шлях 
та час 
обгону за
такими формулами:

,

,
Отже, безпечна відстань між
автомобілями на початок маневру обгону становить 243.94м.
Таблиця 4
Параметри АТЗ
|
Марка АТЗ
|
Габаритна
|
Колія В, м
|
База L, м
|
Передній звіс lп.з.,м
|
Висота центру мас автомобіля над дорожнім
полотном hg,
м
|
Відстань b
по
горизонталі від центру мас до задньої осі, м
|
|
Ширина Ш, м
|
Довжина, l,
м
|
|
|
|
|
|
|
|
|
|
|
|
Без навантаження
|
З повним навантаженням
|
|
|
ВАЗ-2103
|
1,61
|
4,116
|
1,32
|
2,424
|
0,628
|
0,56
|
0,581
|
1,324
|
|
ЗИЛ-130
|
2,5
|
6,7
|
1,79
|
3,8
|
1,08
|
0,89
|
1,34
|
1,97
|
|
ГАЗ-24
|
1,82
|
4,76
|
1,42
|
2,8
|
0,756
|
0,552
|
0,62
|
1,34
|
|
ВАЗ-2107
|
1,62
|
4,128
|
1,32
|
2,424
|
0,651
|
0,56
|
0,581
|
1,324
|
Список літератури
1. Собакарь
А.О. Основи безпеки дорожнього руху: Навч. Посібник / А.О. Собакарь, Я.Д.
Холмянський, С.М. Тараненко. - К.: Знання, 2007. - 312с
2. Тимовський
О.А. Основи безпеки керування дорожніми транспортними засобами: Навч. посібник.
/ О.А. Тимовський, З.Д. Дерех,
. Иванов
В.Н. Все об активной и пассивной безопасности автомобіля. / В.Н. Иванов - М.:
АСТ: Астрель: Транзиткнига, 2005. - 175 с.