Моделювання секційної печі трубопрокатного цеху №4 ВАТ 'НТЗ Iнтерпайп'
Резюме
Пояснювальна записка до дипломної роботи: 52 с.,
1 рис., 6 табл., 1 додатки, 11 джерел.
Об’єкт дослідження - секційна піч
трубопрокатного цеху №4 ВАТ "НТЗ Iнтерпайп".
Мета роботи - дослідження роботи секційної печі.
Метод дослідження - математичне моделювання
теплової роботи секційної печі у програмному середовищі SC−4 та
розрахунки нагріву металу при заданих технологічних та конструктивних
параметрах з використанням вищезгаданої комп’ютерної програми.
Розроблено математичну модель секційної печі ТПЦ
№4 ВАТ "НТЗ Iнтерпайп", яка дозволяє розраховувати температурне поле
металу, що нагрівається у кожній зоні печі й наприкінці нагріву, а також
витрату палива по зонах печі й у печі в цілому при заданих параметрах.
Розроблені алгоритм розрахунку нагріву труб та
програма повірочного розрахунку нагріву труб в секційній печі ТПЦ №4.
Секційна піч, математична модель, повірочний
розрахунок, технологічний параметр, питома витрата палива.
піч секційний паливо теплообмін
Зміст
Вступ
.
Аналітична частина
.1
Характеристика об’єкта дослідження
1.1.1
Загальна характеристика секційних печей
1.1.2
Характеристика секційної печі №2 ТПЦ №4
.2
Обґрунтування вибору методу математичного моделювання
.
Основна частина
2.1
Розрахунок горіння палива
.2
Розрахунок теплообміну у робочому просторі печі
.3
Розрахунок нагріву металу
.4
Алгоритм розрахунку теплового балансу і визначення витрати палива по зонах печі
3.
Охорона праці
3.1 Аналіз умов праці на ділянці секційної печі
3.2
Виробнича санітарія та гігієна праці
.3
Техніка безпеки
.4
Пожежна профілактика
Висновок
Перелік
посилань
Додаток
А
Вступ
Наша країна займає одне з перших
місць по витраті палива в металургії, тому проблема раціонального використання
природного газу дуже актуальна.
Робота металургійної галузі в умовах
ринкової конкуренції вимагає зниження енерговитрат при виробництві продукції.
Основний напрямок економії палива - це утилізація теплоти.
Технічні можливості печі
визначаються сукупністю її конструктивних і теплотехнічних характеристик, при
роботі печі ці характеристики є наперед заданими, тому поліпшення показників
роботи діючих печей може досягатися головним чином шляхом вдосконалення процесу
управління їх тепловим режимом.
Для кінцевого вибору методу
покращення показників роботи діючих печей, створюється математична модель
процесу нагріву.
1. Аналітична частина
.1 Характеристика об’єкта
дослідження
В якості об’єкта дослідження обраний
участок нагріву заготовок трубопрокатного цеха №4 ПАТ "Інтерпайп
НТЗ". Нагрів заготовок відбувається в секційній печі.
.1.1 Загальна характеристика
секційних печей
Секційна піч - прохідна піч для
швидкісного нагріву перед прокаткою круглих заготовок довжиною від 3 метрів і
діаметром до 200 мм і для термообробки довгих труб. Піч може бути використана і
для підігріву полураската в лінії прокатного стана.
Піч складається з великого числа
нагрівальних секцій з розташованими між ними (в тамбурах) водоохолоджуваними
роликами. Ролики встановлюються під кутом до напрямку руху виробу, що
забезпечує його обертання і рівномірний нагрів. Швидкісний нагрів
забезпечується в результаті інтенсивного теплообміну при високій температурі
печі. Приклад конструкції секційної печі наведено на рисунку 1.1.
Особливість даної конструкції -
розташування рекуператорів під піччю. Піч по довжині має кілька зон нагріву, по
4-6 секцій на зону. Кожна зона з'єднана димоходами зі своїм рекуператором.
Всього в печі може бути будь-яка кількість секцій від 1 до 20-40 штук. Довжина
однієї секції становить 1-1,5 метра, довжина тамбура - 0,4-0,6 м.
- водоохолоджуваний ролик; 2 -
тамбур; 3 - каркас; 4 - пальник; 5 - заготовки; 6 - повітро- і газопроводи; 7 -
рекуператор; 8 - збірний димовий канал; 9 - отвір для термопари
Рисунок 1.1- Схема секційної печі.
Піч працює наступним чином.
Заготовка подається рольгангом до першої секції і входить в неї консольно до
контакту з роликами в тамбурі між 1-ю і 2-ю секціями. Тому, щоб заготовка
завжди мала опору на ролики, вона повинна бути достатньої довжини (бажано не
менше трьох відстаней між осями роликів). Проходячи послідовно з однією і тією
ж швидкістю по всіх зонах, нагріта заготовка видається на рольганг прокатного
стану. Іноді в останній зоні печі заготовка рухається з більш високою
швидкістю.
Продукти горіння (дим) утворюються
при спалюванні газу в двопровідних факельних пальниках. Пальники (зазвичай від
2 до 6 штук) розташовані в протилежних стінках робочої камери в різних рівнях
для забезпечення віхреобразного циркулюючого руху диму навколо нагрітої
заготовки. Такий рух диму сприяє збільшенню конвективної складової теплового
потоку на метал, хоча промениста складова відіграє надважливу роль, а також
підвищує рівномірність нагріву металу. Температура в секції (зоні) може
досягати 1450÷1500°С.
Відпрацьований дим виходить із секції у відносно холодний тамбур, а звідти вниз
в димохід. Вертикальні димоходи від 3-5 тамбурів об'єднуються в один канал, в
якому стоїть металевий радіаційно-конвективний рекуператор для підігріву
повітря до 350-400°C. Для виключення перепалу трубок металевого рекуператора
дим перед рекуператором необхідно охолоджувати холодним вентиляторним повітрям
до 800-900°С. Деяка кількість холодного повітря засмоктується в дим через
щілини між тамбуром і примикають до нього секціями. Після рекуператора дим іде
до димової труби по димовому борову. Нагрівання заготовок в секційної печі
проходить у 2-3 рази швидше у порівнянні з нагріванням в інших методичних печах
і обмежений, головним чином, температурними напруженнями, що виникають у
процесі нагрівання заготовок. Очікуваного у зв'язку з цим різкого зменшення
утворення окалини не відбувається. Справа в тому, що поверхня заготовок більше
часу перебуває при високих температурах (1050-1250°С) порівняно з тим, що є в
інших методичних печах. Вигар металу, що нагрівається в секційних печах перед
прокаткою, становить 0,7-1,5%. Питома витрата палива в секційних печах висока і
становить 85-140 кг у.п./т металу за рахунок високої температури диму, що
відходить і слабкій утилізації його фізичної теплоти. Це проявляється у низькій
температурі підігріву повітря в рекуператорі [1].
.1.2 Характеристика секційної печі
№2 ТПЦ №4
Секційна піч швидкісного нагріву з
роликовим подом призначена для нагрівання труб під відпуск.
Розмір труб, що нагріваються:
зовнішній діаметр - 139-377 мм;
товщина стінки - 6-24 мм;
довжина - 5-13 м.
Продуктивність печі - 11-22 т/год.
По тепловому режиму піч розділена на
4 зони (по 5 секцій, в кожній зоні). Піч складається з 20 секцій.
Основні розміри робочого простору
печі:
загальна довжина печі по кладці -
41,7 м;
довжина секції - 1,62 м;
внутрішній діаметр - 0,928 м;
об'єм печі - 37,9 м3.
Вогнетривка кладка секцій печі
виконана: хромомагнезитовою цеглою товщиною - 0,116 м, потім шар шамотної цегли
- 0,116 м, ізоляція шамотом легковаговим - 0,116 м, діатомовою цеглою - 0,116 м
і азбестом - 0,01м.
Піч опалюється природним газом за
допомогою двопровідних пальників низького тиску типу РНП-8 (I-III зона)
продуктивністю 80 - 150 м3/год. (750-1400 кВт) та РНП-6 (IV зона)
продуктивністю 40-80 м3/год. (375-750 кВт). У кожній секції
встановлено по 2 пальника, всього 40 пальників на піч. Пальники в секції
розташовані в шаховому порядку. Повітря на горіння подається за допомогою двох
паралельно встановлених вентиляторів типу ВМ-50/1000-16 (один з яких резервний)
продуктивністю50000 м3/год., напором Н=1050 мм вод.ст. (10,3 кПа).
Повітря підігрівається в трубчастих
металевих рекуператорах, встановлених по одному на кожну зону. Труби
теплообмінника виконані з жаротривкої сталі - Х25Т. Поверхня нагріву одного
рекуператора - 80 м2. Продукти горіння збираються через тамбури в
спільний димохід печі кожної зони і видаляються через 2 металеві труби висотою
- 30 м.
У кожній димовій трубі встановлений
газоаналізатор "OXITEC" визначає вміст О2 у відхідних продуктах
горіння. Просування труб в печі здійснюється за допомогою пічного рольганга, що
складається з 21 ролика.
Ролики розташовані в тамбурах
між секціями. Відстань між осями сусідніх секцій - 2,11 м. Обертання труб при
нагріванні досягається розташуванням осей роликів під кутом 80
до поперечної осі печі. Привід
роликів індивідуальний.
1.2 Обґрунтування вибору
методу математичного моделювання
Дослідження теплотехнічних агрегатів
може робитися різними способами:
а) експериментом на діючому об'єкті;
б) експериментом на фізичній моделі
об'єкту;
в) чисельним експериментом з
використанням математичної моделі об'єкту.
Труднощі при фізичному моделюванні
полягають в коректному перенесенні результатів з фізичної моделі на об'єкт, особливо
у разі "холодного" моделювання високотемпературних агрегатів.
Математичною моделлю називається
сукупність математичних об'єктів і зв'язків між ними, що відбивають
найважливіші властивості, даного об'єкту або процесу. Процес розробки
математичної моделі з подальшим її використанням називається математичним
моделюванням.
Існують різні підходи до
математичного опису процесів що протікають в печах. Зазвичай модель складається
з двох частин:
а) зовнішня задача (теплообмін в
газовому об'ємі з поверхнями, що оточують його).
б) внутрішня задача (поширення
теплоти усередині виробу, що нагрівається).
Рішення цих двох задач може бути
виконане або аналітичним, або чисельним, або чисельно-аналітичним методами.
Аналітичні методи ґрунтовані на
використанні апарату математичної фізики. Вони дозволяють отримати точне
рішення задачі, що є їх основною перевагою. Аналітичні рішення дозволяють
визначити температури в тілі у будь-який момент часу явним чином (по формулах).
Недоліком цих методів є їх застосовність лише для досить простих задач, а також
складність отримуваних рішень, зазвичай у вигляді нескінченних рядів різних
функцій.
Аналітичне рішення задач нагріву
матеріалів ускладнюється при зміні ïх
теплофізичних властивостей або граничних умов при зовнішньому теплообміні,
внаслідок чого завдання стає нелінійним. Такі завдання вирішують за допомогою
наближених інженерних методів розрахунку, чисельних і чисельно-аналітичних
методів (ЧАМ). ЧАМ, як і чисельні методи, вимагають використання ЕОМ, але об'єм
підготовленої роботи і обчислення при цьому, як правило, менше.
Чисельні методи - це методи
наближеного або точного рішення прикладних завдань, ґрунтовані на побудові
кінцевої послідовності дій над кінцевою безліччю чисел. Чисельні методи є
найбільш універсальними, але через великий об'єм обчислень вимагають, як
правило, використання обчислювальної техніки, а їх рішення залежить від
особливостей вживаних алгоритмів і від здібностей ЕОМ.
Метод кінцевих різниць базується на
рішенні початкового рівняння теплопровідності за заданих граничних умов. Його
переваги полягають в простоті і наочності при переході від диференціальних
рівнянь до їх аналога алгебри.
Оскільки в інтервалі при
чисельно-аналітічне
рішення переходить в точне аналітичне рішення, то точність розрахунку
підвищується із зменшенням інтервалу часу. Можна задати будь-яку точність і
досягти її вибором ΔFo. При
цьому збільшується кількість інтервалів, що ускладнює розрахунок. Але бувають
випадки, коли можна обійтися простішим методом розрахунку, який дістав назву
інженерного або метод теплової діаграми
Й.Д. Семікіна. У основу цього методу
покладено складання теплового балансу для оброблюваного тіла. При цьому
визначають загальну тривалість нагріву як частку від ділення зміни ентальпії
матеріалу на середню щільність теплового потоку, і динаміку зміни
середньомасової температури - як функцію часу. У цьому методі для області
регулярного режиму виходять з відомого розподілу температур по перетину тіла.
Результати рішення представляють у вигляді температурних і теплових діаграм.
Основним недоліком методу являється не можливість його використання в
інерційному періоді нагріву та охолодження.
У нашому випадку найбільш доцільним
для розрахунку задачі є застосування наближеного аналітичного методу,
заснований на використанні аналітичного рішення задачі нагріву циліндра за
граничних умов II роду.
Якщо весь процес нагріву розбити на
інтервали тривалістю Δτ і
записати аналітичне рішення для кожного такого інтервалу з урахуванням перепаду
температури, що утворився по перетину, то отримаємо вираження для визначення
температурного поля тіла в кінці і-го інтервалу часу.
При розрахунках температурного
режиму роботи печей досить знати значення температури поверхні
,
центру
і
середньомасової
температури. Ця
обставина полегшує розрахунок нагріву в порівнянні з чисельними методами. Для
вказаних температур циліндра в кінці і-го інтервалу аналітичне рішення за
граничних умов II роду і параболічного початкового розподілу температур буде
виглядати так [2]:
температура поверхні

; (1.1)
де qі - щільності теплового
потоку, Вт/м2;- розрахунковий розмір циліндру, що нагрівається, м;
λм -
теплопровідність сталі, Вт/(м
К);- число Фур'є;
-температура центра

- середньомасова температура
, (1.3)
де 
суми членів ряду для поверхні та
центра знаходяться по формулам


; (1.4)


. (1.5)
Складність розрахунку полягає
у визначенні суми членів ряду для поверхні 
і центру 
циліндра.
Це пов'язано з тим, що ми не знаємо скільки членів ряду необхідно узяти для
виконання розрахунків заданої точності. Відомо одне: чим більше членів ряду,
тим точніше розрахунок. Розрахунки показують, що при ΔFo>0,04
сповна достатнє двох членів ряду.
Наближеність даного методу
розрахунку полягає в тому, що середню щільність теплового потоку у інтервалі
найкраще визначати по середньоарифметичному усереднюванню, а це не завжди
вірно. Крім того, погрішність розрахунку залежить від точності визначення суми
членів ряду для поверхні і центру циліндра і від відхилення розподілу
температур по товщині тіла на початку кожного інтервалу від параболічного. У
нашому випадку тема дипломної роботи: " Теплотехнічний розрахунок
секційної печі", ця задача розглядається при постійних граничних умовах та
постійних теплофізичних властивостях, тому її доцільно розраховувати наближеним
аналітичним методом .
В аналітичній частині
розглянуто об’єкт дослідження - ділянку термообробки труб трубопрокатного цеха
№4 "Інтерпайп НТЗ". Нагрів труб відбувається в секційній печі . Розглянуто
характеристику секційних печей, процес нагріву металу в секційній печі №2 в ТПЦ
№4, методи математичного моделювання процесів, що протікають в печі.
2. Основна частина
В якості прикладу була
вибрана секційна піч, яка розташована в технологічній лінії виготовлення труб
ТПЦ №4 ВАТ Інтерпайп НТЗ.
Метою розрахунку є
дослідження роботи секційної печі.
Вихідні дані для розрахунку:
а) призначення печі - відпал
труб;
б) Розміри труб, що
нагріваються:
1) зовнішній діаметр dн, м - 0,219;
) товщина стінки s, м - 0,01;
) внутрішній діаметр dвн , м -
0,199.
в) Продуктивність печі, т/год. - 12;
г) теплофізичні властивості металу:
1) густина сталі, ρм,
кг/м3 - 7800 ;
2)теплопровідність сталі λм,
Вт/(м
К) - 30;
) теплоємність сталі Cм,
Дж/(кг
К) - 700.
д) паливо - природний газ;
е) початкова температура
металу tн,
- 20;
ж) температурний режим по
зонах печі:
І зона - температура печі
tпеч1, 
- 1120;
ІІ зона - температура печі
tпеч2, 
- 1140 ;
ІІІ зона - температура печі
tпеч3, 
- 950;
ІV зона - температура печі
tпеч4, 
- 910.
з) кількість секцій, Z - 20.
2.1 Розрахунок горіння палива
Вихідні данні:
Коефіцієнт витрати повітря n = 1,05
Склад природного газу представлено в
таблиці 2.1
Таблиця 2.1 - Склад природного газу,
%
|
CH4
|
C2H6
|
C3H8
|
C4H10
|
CO2
|
O2
|
N2
|
∑
|
|
89,9
|
3,1
|
0,9
|
0,4
|
0,3
|
0,2
|
5,2
|
100
|
Теплота згоряння палива Qн

357
89,9+635
3,1+911
0,9+1186
0,4=35357,1 кДЖ/м3.
Теоретична витрата повітря L0
де 0,21 - частка кисню в повітрі.
Дійсна витрата повітря Ln

=1,05
9,407=9,877 м3/м3
Кількість і склад продуктів горіння
- загальна кількість диму, що
утворюється при згорянні 1м3 природного газу 

(2.1)

=
=0,01
(0,3+89,9+2
3,1+3
0,9+4
0,4)=1,007.


.



= 1,007+1,947+7,855+0,099= 10,908.
Дані про склад продуктів
згоряння наведено в таблиці 2.2
Таблиця 2.2 - Склад продуктів
згоряння природного газу, %
|
СО2
|
Н2О
|
N2
|
O2
|
S
|
|
9,23
|
17,85
|
72,01
|
0,91
|
100
|
.2 Розрахунок теплообміну у робочому
просторі печі
Вихідні дані для розрахунку
теплообміну:
- довжина секції lcекц= 1,62 м;
довжина тамбура lтамб= 0,49 м;
діаметр секції dсекц= 0,928 м;
діаметр тамбура dтамб= 0,49, м;
ступінь чорноти кладки Eм=Eкл= 0,8.
Розміри секцій
Площа металу, в секції
Площа металу, в тамбурі
Об’єм секції
Середня ефективна довжина променя в
робочому просторі печі
Площа тамбура
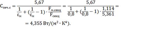
Зведений коефіцієнт випромінювання
для секції
Зведений коефіцієнт випромінювання
для тамбура
.3 Розрахунок нагріву металу
Секційна піч складається з 4 зон і
20 секцій ( на зону по 5 секцій).
Поверхня тіла, що нагрівається
Об'єм тіла, що нагрівається
Маса тіла, що нагрівається
Розрахунковий (еквівалентний) розмір
нагрітого тіла
де k1=2 - коефіцієнт форми тіла (
циліндр).
Розрахунок нагрівання металу в 1
секції
Температура газу
Задаємося tг = 1369,471 0С.
Коефіцієнт послаблення променів
де
-
сумарний парціальний тиск;
- парціальний тиск
водяного пара.

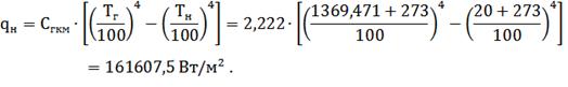
Ступінь чорноти газу
Зведений коефіцієнт
випромінювання
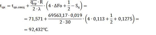
Час нагріву, в секції
Визначаємо число Фур'є
Початкова щільність теплового
потоку
Початкова температура печі
Задаємося середньою щільністю
теплового потоку в інтервалі

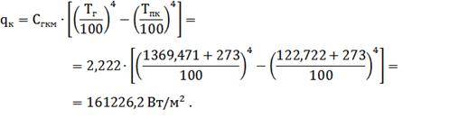
'= 161416,8 Вт/м2.
ума членів ряду для поверхні
циліндра в інтервалі
де µ1=3,832 - перший корінь
рівняння
(µ1)=0;
µ2= 7,016 - другий корінь
рівнянняJ0(µ2)=0 .
ума членів ряду для центру в
інтервалі
де Jo(
)= -0,403 - функція Бесселя
нульового порядку від µ1;(
)= 0,3 - функція Бесселя нульового
порядку від µ2.
Температура поверхні металу в
кінці 1 секції
Щільність теплового потоку в
кінці 1 секції
Температура печі в 1 секції
Середня щільність теплового
потоку в 1 секції
= 

161607,5+
Температура металу в центрі,
в кінці 1 секції
Температура металу кінцева, в
кінці 1 секції
Перепад температур

tк= tпк - tцк =(122,722 -
71,571)=51,151
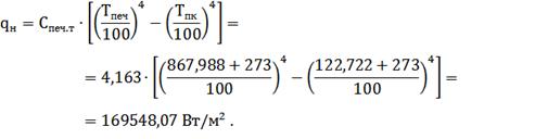
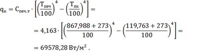
Розрахунок нагріву металу в
тамбурі.
Температура печіпеч =
867,9880 
- задаємося.
Час нагріву, в 1 тамбурі
Визначаємо число Фур'є
Початкова щільність теплового
потоку
Задаємося середньою щільністю
теплового потоку в інтервалі

'= 69563,17 Вт/м2.ума
членів ряду для поверхні в інтервалі
ума членів ряду для центру
циліндра в інтервалі
Температура поверхні металу в
кінці 1 тамбура
Щільність теплового потоку в
кінці 1тамбура
Середня щільність теплового
потоку в 1 тамбурі
= 

69548,07+
Температура металу в центрі,
в кінці 1 тамбура
Температура металу кінцева, в
кінці 1 тамбура
Перепад температур

tк= tпк - tцк = 119,763- 92,432
=27,331
Далі розрахунок в секціях і
тамбурах ведеться аналогічно.
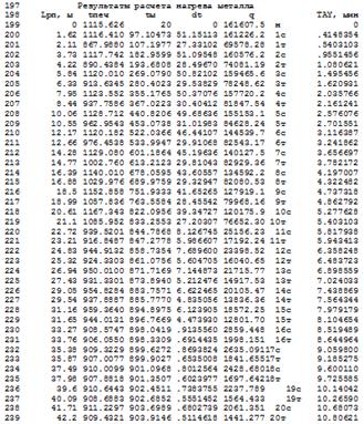
Результати розрахунку нагріву
метала приведені у таблиці 2.3.
Таблиця 2.3 - Результати розрахунку
нагріву метала
|
tг, 0С
|
tпеч , 0С
|
qcp', Вт/м2
|
tп, 0С
|
tм, 0С
|
tц, 0С
|
Δt, 0С
|
q, Вт/м2
|
qcp , Вт/м2
|
Qпрп, кВт
|
|
|
1
|
2
|
3
|
4
|
5
|
6
|
7
|
8
|
9
|
10
|
|
|
1115,63
|
|
20
|
20
|
20
|
0
|
161607,5
|
|
|
|
|
1369,4
|
1116,41
|
161416,8
|
122,72
|
97,10
|
71,57
|
51,15
|
161226,2
|
161416,8
|
20,84
|
|
|
1369,4
|
867,99
|
Початок тамбура 1
|
69548,07
|
|
|
|
|
867,99
|
695663,1
|
119,76
|
107,20
|
92,43
|
27,33
|
69578,28
|
|
1,94
|
|
|
1369,4
|
1116,37
|
Початок секції 2
|
161242,3
|
|
|
|
|
1369,4
|
1117,74
|
160909,3
|
208,53
|
182,96
|
157,43
|
51,10
|
160576,2
|
160909,3
|
20,88
|
|
|
890,44
|
Початок тамбура 2
|
74050,81
|
|
|
|
|
890,44
|
74066,01
|
206,89
|
193,68
|
178,39
|
28,50
|
74081,19
|
74066,00
|
2,02
|
|
|
1369,4
|
Початок секції 3
|
160592,4
|
|
|
|
|
1369,4
|
1120,01
|
160029
|
294,51
|
269,08
|
243,69
|
50,82
|
159465,6
|
160029,0
|
20,95
|
|
|
913,63
|
Початок тамбура 3
|
78238,90
|
|
|
|
|
913,63
|
78243,8
|
294,19
|
280,4
|
264,65
|
29,54
|
78248,62
|
78243,76
|
2,11
|
|
|
1369,4
|
1119,99
|
Початок секції 4
|
159470,8
|
|
|
|
|
1369,4
|
1123,55
|
15859,5
|
380,38
|
355,18
|
330,01
|
50,37
|
157720,2
|
158595,5
|
21,06
|
|
|
937,76
|
Початок тамбуру 4
|
81890,52
|
|
|
|
|
937,76
|
81869
|
381,30
|
367,02
|
350,90
|
30,40
|
81847,54
|
81869,03
|
2,20
|
|
|
1369,4
|
1123,60
|
Початок секції 5
|
157697,2
|
|
|
|
|
1369,4
|
1128,71
|
156425,2
|
465,68
|
440,82
|
415,99
|
49,69
|
155153,1
|
156425,2
|
21,22
|
|
|
962,95
|
Початок тамбуру 5
|
84765,88
|
|
|
|
|
962,95
|
84697,1
|
467,72
|
453,07
|
436,70
|
31,02
|
84628,24
|
84697,06
|
2,30
|
|
|
1350,7
|
1113,47
|
Початок секції 6
|
147813,6
|
|
|
|
|
1350,7
|
1120,18
|
146176,7
|
545,27
|
522,04
|
498,83
|
46,44
|
144539,7
|
146176,6
|
20,96
|
|
|
676,45
|
Початок тамбуру 6
|
82810,76
|
|
|
|
|
976,45
|
82676,96
|
548,19
|
533,99
|
518,28
|
29,91
|
82543,17
|
82676,96
|
2,35
|
|
|
1350,7
|
1120,47
|
Початок секції 7
|
144396,9
|
|
|
|
|
1350,7
|
1129,08
|
142262,2
|
623,8
|
601,19
|
578,60
|
45,20
|
140127,5
|
142262,2
|
21,23
|
|
|
1002,76
|
Початок тамбура 7
|
83365,62
|
|
|
|
|
1
|
2
|
3
|
4
|
5
|
6
|
7
|
8
|
9
|
10
|
|
|
1002,76
|
83147,5
|
627,41
|
613,21
|
597,60
|
29,81
|
82929,36
|
83147,49
|
2,46
|
|
|
1350,7
|
1129,55
|
Початок секції 8
|
139894,6
|
|
|
|
|
1350,7
|
1140,01
|
137243,4
|
699,87
|
678,06
|
656,27
|
43,61
|
134592,2
|
137243,4
|
21,57
|
|
|
1029,98
|
Початок тамбуру 8
|
82714,48
|
|
|
|
|
1029,98
|
82397,53
|
703,98
|
689,98
|
674,65
|
29,33
|
82080,53
|
82397,51
|
2,57
|
|
|
1350,7
|
1140,67
|
Початок секції 9
|
134253,7
|
|
|
|
|
1350,7
|
1152,86
|
131086,5
|
772,77
|
751,93
|
731,12
|
41,65
|
127919,1
|
131086,4
|
21,97
|
|
|
1057,83
|
Початок тамбуру 9
|
80812,93
|
|
|
|
|
1057,83
|
80390,60
|
777,18
|
763,56
|
748,72
|
28,46
|
79968,16
|
80390,54
|
2,68
|
|
|
1350,7
|
1153,71
|
Початок секції 10
|
127468,1
|
|
|
|
|
1350,7
|
1167,34
|
123822,0
|
841,78
|
822,10
|
802,43
|
39,35
|
120175,9
|
123822,0
|
22,43
|
|
|
1085,95
|
Початок тамбуру 10
|
77701,05
|
|
|
|
|
1085,95
|
77176,72
|
846,30
|
833,26
|
819,09
|
27,20
|
76652,3
|
77176,67
|
2,8
|
|
|
1350,7
|
938,53
|
Початок секції 11
|
25473,81
|
|
|
|
|
1350,7
|
939,52
|
25315,09
|
848,83
|
844,79
|
840,71
|
8,13
|
25156,23
|
25315,02
|
15,72
|
|
|
916,85
|
Початок тамбура 11
|
17507,39
|
|
|
|
|
916,85
|
17349,89
|
850,17
|
847,28
|
844,19
|
5,99
|
17192,24
|
17349,81
|
2,12
|
|
|
1350,7
|
940,04
|
Початок секції 12
|
24987,99
|
|
|
|
|
1350,7
|
944,91
|
24193,25
|
862,58
|
858,74
|
854,89
|
7,69
|
23398,52
|
24193,26
|
15,86
|
|
|
924,33
|
Початок тамбуру 12
|
16333,8
|
|
|
|
|
924,33
|
16187,29
|
863,78
|
861,08
|
858,18
|
5,60
|
16040,65
|
16187,22
|
2,15
|
|
|
1350,7
|
945,39
|
Початок секції 13
|
23242,02
|
|
|
|
|
1350,7
|
950,01
|
22478,90
|
875,29
|
871,72
|
868,15
|
7,14
|
21715,77
|
22478,9
|
16,00
|
|
|
931,33
|
Початок тамбуру 13
|
15200,47
|
|
|
|
|
931,33
|
15059,00
|
876,41
|
873,89
|
871,20
|
5,21
|
14917,53
|
15059,00
|
2,18
|
|
|
1350,7
|
950,46
|
Початок секції 14
|
21564,72
|
|
|
|
|
1350,7
|
954,83
|
20835,11
|
887,07
|
883,75
|
880,45
|
6,62
|
20105,47
|
20835,1
|
16,14
|
|
|
937,89
|
Початок тамбуру 14
|
14107,79
|
|
|
|
|
937,89
|
13972,1
|
888,11
|
885,78
|
883,28
|
4,84
|
13836,36
|
13972,08
|
2,20
|
|
|
1350,7
|
955,26
|
Початок секції 15
|
19960,57
|
|
|
|
|
1350,7
|
959,36
|
19266,4
|
897,96
|
894,90
|
891,84
|
6,12
|
18572,25
|
19266,41
|
16,26
|
|
|
944,01
|
Початок тамбура 15
|
13060,64
|
|
|
|
|
944,01
|
12931,24
|
898,93
|
896,77
|
894,45
|
4,47
|
12801,70
|
12931,17
|
2,23
|
|
|
918
|
908,78
|
Початок секції 16
|
2797,658
|
908,57
|
2828,564
|
898,5
|
898,04
|
897,58
|
0,91
|
2859,448
|
2828,553
|
14,88
|
|
906,06
|
Початок тамбуру 16
|
2043,870
|
|
|
|
906,06
|
2021,069
|
898,67
|
898,33
|
897,98
|
0,69
|
1998,151
|
2021,010
|
2,08
|
|
918
|
908,66
|
Початок секції 17
|
2835,041
|
|
|
|
918
|
909,32
|
2735,100
|
900,06
|
899,63
|
899,19
|
0,87
|
2635,019
|
2735,066
|
14,90
|
|
907,01
|
Початок тамбуру 17
|
1970,483
|
|
|
|
907,01
|
1906,099
|
900,22
|
899,90
|
899,57
|
0,65
|
1841,655
|
1906,069
|
2,09
|
|
918
|
909,40
|
Початок секції 18
|
2612,483
|
|
|
|
918
|
910,01
|
2520,577
|
901,50
|
901,1
|
900,70
|
0,80
|
2428,680
|
2520,581
|
14,92
|
|
907,88
|
Початок тамбуру 18
|
1816,571
|
|
|
|
907,88
|
1757,141
|
904,64
|
901,35
|
901,04
|
0,60
|
1697,642
|
1757,106
|
2,09
|
|
918
|
910,08
|
Початок секції 19
|
2407,750
|
|
|
|
918
|
910,64
|
2322,765
|
902,82
|
902,45
|
902,08
|
0,74
|
2237,789
|
2322,770
|
14,94
|
|
908,69
|
Початок тамбура 19
|
1674,163
|
|
|
|
908,69
|
1619,330
|
902,95
|
902,69
|
902,40
|
0,56
|
1564,433
|
1619,298
|
2,09
|
|
918
|
910,71
|
Початок секції 20
|
2218,434
|
|
|
|
918
|
911,23
|
2139,988
|
904,04
|
903,70
|
903,36
|
0,68
|
2061,351
|
2139,892
|
14,95
|
|
909,43
|
Початок тамбуру 20
|
1542,479
|
|
|
|
909,43
|
1491,908
|
904,16
|
903,91
|
903,65
|
0,51
|
1441,28
|
1491,88
|
2,10
|
|
Всього
|
412,47
|
|
|
|
|
|
|
|
|
|
|
|
|
|
2.4 Алгоритм розрахунку теплового
балансу і визначення витрати палива по зонах печі
Визначаємо втрати теплоти робочим
простором в зоні секційної печі

(2.4)
Визначаємо втрати теплоти
робочим простором в зоні секційної печі через секції

(2.5)
Визначаємо втрати теплоти
робочим простором в зоні секційної печі через тамбур

. (2.6)
де 1.5 - коефіцієнт запасу на
невраховані втрати
Визначаємо щільність
теплового потоку через кладку печі

. (2.7)
Визначаємо теплоту, яка
виноситься з димовими газами з робочого простору печі

(2.8)
Визначаємо фізичне тепло
повітря

(2.9)

- коефіцієнт рекуперації
Приймаємо, що температура
диму, що залишає робочий простір секції печі, дорівнює середній температурі
печі 
.
Так, як повітря, що йде на
горіння, підігрівається, то приходом тепла є хімічне тепло горіння палива

(2.10)
Визначаємо коефіцієнт
використання тепла палива
Визначаємо витрата газу
Визначаємо фізичне тепло повітря

(2.13)
Результати розрахунків
приведені таблиці -2.3
Таблиця 2.3- Визначення
витрати палива по зонам печі
|
Зона печі
|
I
|
II
|
III
|
IV
|
|
|
1120
|
1140
|
950
|
910
|
|
|
115,5394
|
121,0228
|
90,86604
|
85,03731
|
|
|
1010,505
|
887,0902
|
148,193
|
16,677
|
|
|
18325,44
|
15652,68
|
15543,9
|
14889,42
|
|
|
281,9244
|
281,9244
|
281,9244
|
281,9244
|
|
|
3620,121
|
3620,121
|
3620,121
|
3620,121
|
|
КИТ
|
0,584
|
0,574
|
0,6627
|
0,6812
|
|
В, м3/с
|
0,0545
|
0,0496
|
0,0102
|
0,0042
|
|
В м3/год
|
196,291
|
178,562
|
36,726
|
15,201
|
В основній частині на основі
створеної математичної моделі був виконаний повірочний розрахунок секційної
печі. В результаті було визначено витрату палива по зонам печі і температуру металу
в процесі нагріву.
3. Охорона праці
Дана випускна робота бакалавра
присвячена розрахунку секційної, в умовах діючого ПАТ "Інтерпайп
НТЗ", тому в даному розділі розглянуті основні шкідливі і небезпечні
виробничі фактори.
Державна політика в області охорони
роботи, закріплена Законом України "Про охорону праці" (стаття 4),
базується на пріоритеті життя і здоров’я працівників [3].
Трубопрокатний цех №4 ОАО
"НТЗ" один з найбільших у світовій практиці цехів по виробництву
труб. Масштаби виробництва і різнотипність сортаменту зажадали оснащення цеху
складним технологічним і енергетичним устаткуванням. Експлуатація такого
устаткування обумовлює необхідність створення безпечних, нешкідливих і
комфортних умов праці для персоналу цеху.
Тема моєї випускної
роботи бакалавра "Теплотехнічний розрахунок секційної печі", тому у
цьому розділі я буду розглядати ділянку прокатного цеху - зону секційної печі,
приміщення цеху одноповерхове.
.1 Аналіз умов праці на ділянці
секційної печі
Шкідливими та небезпечними виробничими
чинниками на ділянці секційної печі №1 в ТПЦ-4 є наявність: шуму, запиленості,
тепла та теплового випромінювання, електричного струму, недостатньої
освітленості.
Джерелом шуму є працююче
устаткування, заготовка, що рухається. В результаті того, що шум вільно
поширюється з одного прольоту в іншій, створюється шумова обстановка змішаного,
стабільного і частково пульсуючого шумового фону і імпульсивних шумів різної
інтенсивності і спектрального складу.
В цій зоні допускається знаходження
адміністративно-побутових споруд, складів, пунктів харчування. Обов’язкове
озеленення санітарно-захисної зони. Зелене насадження добре поглинає шум.
Робота у прокатному цеху відноситься
до категорії середньої ваги (II б), тому що енерговитрати згідно з ДСН
3.3.6.042-99, знаходяться в межах 232-293 Вт [4].
У зоні секційної печі потенційно
небезпечними та шкідливими виробничими чинниками, згідно ГОСТ 12.0.003-74 [5],
являються: відхилення параметрів мікроклімату від допустимих значень,
загазованість, запиленість, розжарений метал, підвищена вибухонебезпечність,
можливість поразки електричним струмом, можливість травмування рухомими
частинами машин і механізмів, вантажопідйомними машинами і пристосуваннями, а
також високий рівень шуму.
Показниками, що характеризують
мікроклімат, є: температура і відносна вологість повітря, швидкість руху
повітря, інтенсивність теплового випромінювання.
Оптимальні показники мікроклімату
поширюються на всю робочу зону, допустимі показники встановлюються
диференційовано для постійних і непостійних робочих місць. Допустимі і фактичні
показники температури, відносній вологості, швидкості руху повітря і
інтенсивності теплового випромінювання в робочій зоні виробничого приміщення
для постійних робочих місць (ДСН 3.3.6.042-99 [4]) приведені в таблиці 3.1.
Таблиця 3.1 - Параметри мікроклімату
на робочих місцях ділянки секційної печі ТПЦ №4
|
Період року
|
Температура повітря в цеху, оС
|
Відносна вологість повітря, %
|
Швидкість руху повітря, м/с
|
|
Значення
|
Допустимі
|
Фактичні
|
Допустимі
|
Фактичні
|
Допустимі
|
Фактичні
|
|
Теплий
|
≤ 28
|
30
|
40-60
|
49-50
|
0,2 - 0,5
|
2,17
|
|
Холодний
|
15 - 21
|
18
|
40-60
|
47-53
|
0,4
|
1,04
|
Згідно ДСН 3.3.6.037-99 [4] рівень
звуку на постійних робочих місцях у виробничих приміщеннях і на території
підприємства не перевищує 80 дБ (А), тоді як фактичне значення шуму на ділянці
кільцевої печі перевищує 100 дБ (А).
Небезпечним чинником є просочування
газу з газопроводів, газової арматури, внаслідок якого можуть виникнути
отруєння обслуговуючого персоналу. Гази можуть прориватися і при вибиванні їх
через затвори. Природний газ вельми токсичний у зв'язку з високим вмістом СО.
При вдиханні повітря з вмістом 0,3-0,5% СО протягом короткого часу виникають
отруєння із смертельним наслідком, при вмісті 0,15-0,2% СО в повітрі виникають
важкі отруєння, якщо протягом 2-х годин людина вдихала повітря з таким вмістом
СО.
СО відноситься до речовин 4-го класу
небезпеки, гранично допустима його концентрація в повітрі, згідно ГОСТ
12.1.005.88 [6], складає 20 мг/м³. Легкі
отруєння виникають при вдиханні протягом декількох годин повітря з 0,14-0,15%
СО.
При нагріві злитків в нагрівальній
печі в повітрі виділяється пил, що містить окисли заліза з домішками окислів
марганцю до 3% (згідно ГОСТ 12.1.005.88 [6] і відноситься до 3 класу - помірно
небезпечні).
Вміст шкідливих речовин представлені
в таблиці 3.2.
Таблиця 3.2 - Вміст шкідливих
речовин
|
Шкідлива речовина
|
Фактична концентрація, мг/м³
|
ГДК, мг/м³
|
Клас небезпеки
|
|
Пил, що містить окисли заліза з домішками
окислів марганцю до 3%
|
13-40
|
6
|
3
|
|
СО
|
6
|
20
|
4
|
Концентрація пилу на робочих місцях
знаходиться в межах від 13 мг/м³ до
40 мг/м³. Найбільша
концентрація пилу була виявлена на ділянці робочої зони нагрівальних печей - 40
мг/м³, що перевищує ГДК в
6,6 рази.
До небезпечних фізичних чинників в
трубному виробництві відносяться труба і трубна заготівка в процесі їх обробки.
Травмування можливе при необережному дотику до краю труби із задиркою. Також
небезпеку представляє нагрітий метал, оскільки непередбачений контакт з ним
може викликати опіки і травми.
Різні транспортні пристроїв прокатному
цеху створюють потенційну небезпеку механічних поразок. Найбільш небезпечними є
частини агрегатів, що обертаються (валки, ролики). Велику небезпеку представляє
робота з підйомно-транспортними засобами із-за можливості обриву вантажу.
У цеху знаходиться велика кількість
електричних приладів, електродвигунів, а також металоконструкцій, які можуть
знаходитися під напругою. По небезпеці поразки електричним струмом ділянка
секційної печі відноситься до приміщень з особливою небезпекою, оскільки
характеризується наявністю в них наступних умов, що створюють підвищену
небезпеку: струмопровідних полів (металевих, залізобетонних, цегельних);
високої температури (жаркі приміщення), близьке розташування металевих
конструкцій і електроустаткування.
Дія струму може викликати опіки і
травми, а також електротравми і електричний удар. Для людини смертельно
небезпечний струм - 0,1 А і вище.
Згідно ДБН В.25-28-2006 [7] робота
на ділянці секційних нагрівальних печей ТПЦ-4 відноситься до VIІ розряду
зорового навантаження, оскільки робота пов'язана з обробкою матеріалів, що
світяться, і виробів.
Величина освітлення робочих місць
ділянки складає 200 лк при загальному освітленні. Найменше нормоване значення
коефіцієнта природної освітленості - 0,7%.
3.2 Виробнича санітарія та гігієна
праці
Проаналізувавши у попередньому
пункті шкідливі і небезпечні виробничі чинники.
Для видалення надлишків явного тепла
використовується загальнообмінна вентиляція (аерація) відповідно до . СНиП
2.04.05-91 [8]. Віконні прорізи в стінах будинку забезпечують необхідний
приплив свіжого повітря.
Для зменшення шкідливого впливу шуму
в цеху передбачене:
розміщення посад керування в
звукоізольованих кабінах;
зменшення шуму обертових вузлів
устаткування, раціональний режим роботи устаткування,
планово попереджувальний ремонт;
застосування для виготовлення
деталей і вузлів, що піддаються ударним навантаженням.
Для зниження запиленості
пропонується дрібнодисперсне розпилення води, у межах, що допускаються
технологічним процесом.
Для зменшення загазованості
необхідна ретельна герметизація устаткування, особливо печей і газопроводів.
Герметичність кладки печі, особливо по швах.
Для створення безпечних умов роботи
з електричними установками існує ряд захисних пристосувань:огородження і
блокування,засоби, що ізолюють робітника від землі,застережливі написи і
плакати,сигналізація, пристрої, які створюють захисне заземлення.
Для висвітлення вертикальних площин,
ділянок машин і механізмів, недоступних для загального висвітлення, а також для
посилення освітленості окремих робочих поверхонь застосовують місцеве
висвітлення. Для нього використовують світильники з непросвічуючими
відбивачами, із захисним кутом не менш 30˚ згідно з ДБН В.2.5-28-2006 [7].
При огляді і змащенні устаткування,
регулюванні валків і калібрів, перевірці розмірів металу, що прокочується, і
інших роботах застосовуються переносні світильники з напругою 12 В.
.3 Техніка безпеки
На підприємствах передбачаються
наступні види інструктажів:
а) увідний - проводить інженер по
охороні праці з усіма робітниками, які тільки-но вступили на роботу, з
практикантами та командированими з метою дати загальне уявлення правил техніки
безпеки, пожежної безпеки;
б) первинний на робочому місці -
проводить курівник підрозділу, майстер або інший робітник, назначений керівником
з робітниками, які тільки-но вступили на роботу, яких перевели з інших
підрозділів та командированими. Мета - познайомити зі специфікою конкретного
виробництва, із шкідливими та небезпечними чинниками виробничих факторів, з
роботою устаткування;
в) повторний (плановий,періодичний)
- проводиться відділом праці 1 раз в 6 місяців, а на виробництвах з підвищеною
небезпекою 1 раз в квартал. Мета - перевірка знань по охороні праці, підвищення
кваліфікаціï;
г) позаплановий - проводиться при
зміні технологіï або
впровадженні нового устаткування, при порушенні правил техніки безпеки;
д) цільовий - проводиться при
виконанні робот по наряду допуску або перед виконанням разових робіт не
зв’язаних з основним фахом.
З метою недопущення травматизму,
раціонального та безпечного виконання робіт проводять наступні заходи:
- механізація і автоматизація
виробництва, що полегшує фізичні навантаження;
- безпечне
розташування устаткування, яке передбачає достатню площу проходів та проїздів
(відстань між устаткуванням повинна складати 1,7 м, а між рядами устаткування
передбачені проходи шириною 2,7 м);
- поблизу агрегату
знаходиться керівний пункт управління , що полегшує роботу з об’єктом;
- у всіх місцях
виїзду транспорту з цеху встановити світлові знаки, швидкість виїзду обмежити
до 3 км/год.
Для забезпечення захисту людей від
випадкового торкання до струмоведучих частин використовують захисні
огородження, безпечне розташування та ізоляцію струмоведучих частин,
використання малих напруг, блокувальні пристрої, електричний розподіл мереж,
попереджувальну сигналізацію та знаки безпеки, подвійну або підсилену ізоляцію,
контроль ізоляції, засоби індивідуального захисту. Захист від поразки при
торканні до металевих неструмовідних частин, що можуть опинитися під напругою
внаслідок руйнування ізоляції, здійснюється захисним заземленням, зануленням,
захисним вимиканням. Особливу увагу необхідно приділити забезпеченню швидкого
вимикання електричних пристроїв в разі аварії або нещасного випадку.
Для попередження
травмування персоналу механізмами, що рухаються встановлюють огородження,
захисні кожухи на обертових частинах устаткування, забезпечують зручний доступу
до всіх механізмів для їхнього обслуговування й ремонту, фарбують устаткування,
що підвищує увагу до найнебезпечніших місць.
.4 Пожежна профілактика
Виробничий процес в
цеху (на ділянці, у відділенні) по пожежовибухонебезпеці, згідно НАПБ
Б.03.002-2007 [9] відноситься до категорії "Г", оскільки обробці
піддаються негорючі матеріали в розжареному стані.
Робочий майданчик
секційної печі,згідно з ПУЕ та НПАОП 40.1-1.32-01 [10] по вибуховій небезпеці
відноситься до класу В - 1а, оскільки утворення вибухонебезпечної суміші
горючих газів з повітрям можливо лише в результаті аварії або несправності.
Будівля цеху
побудована з негорючих матеріалів (металоконструкцій, цеглини, залізобетону,
стекла і так далі) і, згідно ДБН В.1.1-7-2002, має II міру вогнестійкості [11].
Джерелом виникнення пожежі можуть
бути:
газоповітряні вибухонебезпечні
суміші;
масло, при попаданні в нього іскри
або відкритого вогню;
електроустаткування - при короткому
замиканні;
самозагоряння промасленого дрантя
або інших предметів.
Газорятівні служби здійснюють
постійний контроль за станом газопроводів, газових засувок.
Небезпека виникнення пожежі на
ділянці нагрівальної печі може бути зменшена в результаті вживання наступних
заходів: оснащенням систем управління електроустаткуванням автоматами
максимального струмового захисту; обмеженням кількості паливно-мастильних
матеріалів добовою потребою (останні ГСМ зберігаються на складі, спеціально
обладнаному в протипожежному відношенні);головні двигуни електроприводів
оснащені системою замкнутої примусової вентиляції з очищенням повітря від
щіткового пилу і охолоджуванням його; трансформаторні кіоски винесені за межі
виробничого приміщення; маслопідвали обладнані системою припливно-витяжної
вентиляції, що видаляє пари масла і що зменшує їх концентрацію в повітрі;
електроустаткування і освітлення маслопідвалів виконане в
іскро-вибухобезпечному виконанні; промаслене дрантя після використання
збирається в металеві ящики з герметичними кришками, а в кінці зміни вивозиться
з цеху і спалюється в спеціально відведеному місці; статистичний заряд
відводиться в землю по мережі заземлення.
Для гасіння пожеж водою
використовується пожежний водопровід, об'єднаний з виробничим. На його мережі
вприміщенні цеху встановлені пожежні крани з брезентовими рукавами і
відведеннями. Для доступу на дах будівлі використовуються пожежні сходи,
укріплені на стінках.
Системи автоматичного гасіння пожежі
і сигналізації нормативами, що діють, не передбачаються.
У частині "Охорона праці"
розглянуто шкідливі і небезпечні фактори на ділянці термообробки труб.
Висновок
У даній роботі розглянуто - ділянку
термообробки труб трубопрокатного цеха №4 "Інтерпайп НТЗ, характеристику
секційних печей, процес нагріву металу та методи математичного моделювання
процесів, що протікають в печі
В основній частині. на основі
створеної математичної моделі був виконаний повірочний розрахунок секційної
печі. В результаті було визначено витрату палива по зонам печі і температуру
металу в процесі нагріву.
Результати розрахунків показали, що
метал нагрівається згідно з технологічною інструкцією, при цьому витрата палива
складає:
І зона - 196,291 м3/год;
ІІ зона - 178,562 м3/год;
ІІІ зона - 36,726 м3/год;зона
- 15,201 м3/год.
Загальна витрата палива 426,781 м3/год.
У частині "Охорона праці"
розглянуто шкідливі і небезпечні фактори на ділянці термообробки труб.
Перелік посилань
1. Свинолобов
Н.П., Бровкин В.Л. Печи черной металлургии: Учебное пособие для вузов. -
Днепропетровск: Пороги, 2002. - 154 с.
. Губинский
В.И., ЛУ Чжун - У. Теория пламенних печей. - М.: Машиностроение, 1995. - 256 с.
. Закон
України "Про охорону праці". Верховна Рада України; Закон вiд
14.10.1992 №2694-XII - К.: Основа, 1993.
. ДСН
3.3.6.042-99. "Санітарні норми мікроклімату виробничих приміщень". -
К.: Держстандарт, 1999.
. ГОСТ
12.0.003-74 Система стандартов безопасности труда. Опасные и вредные
производственные факторы. Классификация.
. ГОСТ
12.1.005-88 ССБТ. "Воздух рабочей зоны. Общие санитарно-гигиенические
требования". − М.: Изд-во стандартов, 1990.
. ДБН
В.25-28-2006. "Природне і штучне освітлення". - К.: Мінбуд. України,
2006.
. СНиП
2.04.05-91*У. "Отопление, вентиляция и кондиционирование". Издание неофициальное,
Киев: КиевЗНИИЭП, 1996.
9. НАПБ
Б.03.002-2007. Норми визначення категорій приміщень, будинків та зовнішніх
установок за вибухопожежною та пожежною небезпекою. - К.: Укр. НДІПБ, 2007.
10. НПАОП
40.1-1.32-01. "Правила будови електроустановок. Електрообладнання
спеціальних установок". - К.: Держгірпромнагляд України, 2001.
. ДБН
В.1.1.7-2002. Захист від пожежі. Пожежна безпека об'єктів будівництва. −
К.: Держбуд України, 2003.
Додаток А