Расчет по экспериментальным данным структурных характеристик, силовых констант и параметров Джадда-Офельта для активированных кристаллов
Министерство
образования и науки Российской Федерации
Федеральное
государственное бюджетное образовательное учреждение
высшего
профессионального образования
"Кубанский
государственный университет" (ФГБОУ ВПО "КубГУ")
Физико-технический
факультет
Кафедра
физики и информационных систем
Выпускная
квалификационная работа бакалавра
Расчет
по экспериментальным данным структурных характеристик, силовых констант и
параметров Джадда-Офельта для активированных кристаллов
Работу выполнил
Прудников Василий Евгеньевич
Научный руководитель
профессор, доцент Исаев В.А.
Нормоконтролёр
к.ф.-м.н. доцент Быковский П.И.
Краснодар
2014
Реферат
Прудников В.Е. Расчет по экспериментальным
данным структурных характеристик, силовых констант и параметров Джадда-Офельта
для активированных кристаллов. Дипломная работа: 59 с., 12 рисунков, 8 таблиц,
40 источников.
Стереоатомный анализ, полиэдр Вороного-Дирихле,
структура кристалла, параметры Джадда-Офельта.
Объектом исследования данной дипломной работы
являются активированные кристаллы, предназначенные для использования в качестве
активной среды в лазерах.
Целью работы является изучение и исследование
структуры, силовых параметров и констант Джадда-Офельта для активированных
кристаллов.
В результате выполненной дипломной работы
описана структура и изучены параметры активированных кристаллов, которые
необходимы для дальнейшего изучения в кристаллохимическом анализе.
Содержание
Обозначения
и сокращения
Введение
.
Стереоатомный анализ структуры кристаллов
.1
Основные характеристики полиэдров Вороного-Дирихле
.2
Основные положения метода пересекающихся сфер
.3
Стереоатомный анализ кристаллов со структурой шеелита
.4
Однородное и неоднородное уширение линий
.
Теория Джадда-Офельта и структурные особенности кристаллов
.1
Теория Джадда-Офельта
.2
Связь параметров Джадда-Офельта с особенностями структуры кристаллов
.
Исследование структуры и расчет параметров Джадда-Офельта для активированных
кристаллов
.1
Исследование структуры шеелитов методом пересекающихся сфер
.2
Расчёт параметров Джадда-Офельта
Заключение
Список
использованных источников
Обозначения и сокращения
|
VПВД
|
Объем
полиэдра Вороного-Дирихле
|
|
RСД
|
Радиус
сферы, объем которой равен объему полиэдра Вороного-Дирихле
|
|
G3
|
Безразмерная
величина второго момента полиэдра Вороного-Дирихле, характеризующая степень
его сферичности
|
|
Nf
|
Число
граней полиэдра
|
|
DA
|
Смещение
ядра атома из геометрического центра тяжести его полиэдра Вороного-Дирихле
|
|
rS
|
Слейтеровский
радиус
|
|
Rsd
|
Радиус
сферического домена
|
|
CN=n:m:l
|
Полное
координационное число атома
|
|
CN
|
Координационное
число атома
|
|
SПВД
|
Площадь
поверхности ПВД
|
|
D(CP)
|
Смещение
атома из центра тяжести его КП
|
|
DA
|
Смещение
атома из центра тяжести его ПВД
|
|
μ
|
Характеризует
степень ионности связей
|
|
ОКГ
|
Оптический
квантовый генератор
|
Введение
Важной задачей современной лазерной физики
является поиск и детальное исследование новых перспективных материалов,
обладающих совокупностью заданных оптических, спектрально-люминесцентных и
физико-химических свойств, позволяющих, с одной стороны, значительно улучшить
параметры существующих устройств, а с другой - создать элементы принципиально
нового типа. Получение материалов с необходимыми свойствами требует изучения
фазовых диаграмм, разработку способов синтеза и роста, исследования различных
свойств, что приводит к значительным финансовым и временным затратам. Поэтому
принципиальное значение приобретают работы, направленные на разработку методов
прогнозирования материалов с необходимым набором свойств.
Применение кристаллохимического подхода,
основанного на установлении связи состав-структура-свойство, позволяет
сократить путь от соединения к материалу, пригодному для изготовления
оптических элементов приборов и устройств. Анализ распределения электронной
плотности вокруг атомов показывает, что области пространства, отвечающие в
структуре кристаллов отдельным атомам, напоминают многогранники. Приближением,
которое позволяет установить форму этих многогранников, является метод
полиэдров Вороного-Дирихле. Характеристики полиэдров Вороного-Дирихле в сочетании
с методом пересекающихся сфер позволяют расширить область применения
кристаллохимического подхода для выявления закономерностей
состав-структура-свойство.
Кристаллическая структура молибдатов и
вольфраматов щелочноземельных металлов (шеелит) позволяет введение
ионов-активаторов (редкоземельных элементов). Такие материалы выполняют
одновременно функции лазерной среды (позволяют осуществить генерацию на
лазерных ионах Nd3+) и ВКР-среды (обеспечивают эффективное ВКР-преобразование
лазерного излучения с частотным сдвигом порядка 900 см-1 на колебаниях (WO4)2-
или (МоО4)2- комплекса).
Такие многофункциональные лазерно-рамановские
среды позволяют генерировать мощное когерентное излучение на многих новых
длинах волн и осуществлять дискретную перестройку частоты излучения.
Другой важной задачей квантовой электроники
является поиск и детальное исследование новых перспективных материалов,
обладающих совокупностью заданных оптических, спектрально-люминесцентных и
физико-химических свойств, позволяющих, с одной стороны, значительно улучшить
параметры существующих устройств, а с другой - создать элементы принципиально
нового типа. Получение материалов с необходимыми свойствами требует изучения
фазовых диаграмм, разработку способов синтеза и роста, исследования различных свойств,
что приводит к значительным финансовым и временным затратам. Поэтому
принципиальное значение приобретают работы, направленные на разработку методов
прогнозирования материалов с необходимым набором свойств.
Применение кристаллохимического подхода, основанного
на установлении связи состав-структура-свойство, позволяет сократить путь от
соединения к материалу, пригодному для изготовления оптических элементов
приборов и устройств. Анализ распределения электронной плотности вокруг атомов
показывает, что области пространства, отвечающие в структуре кристаллов
отдельным атомам, напоминают многогранники. Приближением, которое позволяет
установить форму этих многогранников, является метод полиэдров
Вороного-Дирихле. Характеристики полиэдров Вороного-Дирихле в сочетании с
методом пересекающихся сфер позволяют расширить область применения
кристаллохимического подхода для выявления закономерностей
состав-структура-свойство.
Целью настоящей работы являлось исследование
спектроскопических характеристик активированных кристаллов вольфрамата и
молибдата стронция и исследование зависимости между структурными и
спектроскопическими свойствами кристаллов со структурой шеелита.
Основные задачи работы:
проведение стереоатомного анализа вольфраматов и
молибдатов щелочноземельных металлов;
расчет спектроскопических характеристик
активированных кристаллов на основе экспериментально полученных спектров и
спектров, взятых из литературных источников;
исследование взаимосвязи между
спектроскопическими характеристиками активированных кристаллов со структурой
шеелита и их структурными особенностями;
1. Стереоатомный анализ структуры кристаллов
Поиск новых соединений, обладающих требуемым
набором свойств, - трудоемкая и затратная задача. Методы кристаллохимического
анализа позволяют значительно сократить путь от соединения до материала,
пригодного для изготовления элементов оптических приборов и устройств. Развитие
современных методов кристаллохимического изучения свойств кристаллов,
базирующихся на данных рентгеноструктурного анализа, еще в большей мере
позволяет ускорить и сделать экономически выгодными исследования по обнаружению
соединений, обладающих необходимыми физическими свойствами.
Исследование структуры
кристаллов позволяют выяснить способ взаимного пространственного размещения
атомов в них, а также с высокой точностью установить значения расстояний между
атомами. Для наглядности каждый сорт атомов характеризуется координационным
числом (КЧ) и формой координационного полиэдра (КП). Значение КЧ указывает
количество химических связей, образованных "центральным" атомом с
ближайшими соседними атомами, а КП характеризует взаимную пространственную
ориентацию этих связей. Задача определения КЧ, таким образом, неразрывно
связана с проблемой определения химически связанных между собой атомов в
исследуемых структурах.
Каждому атому в структуре
кристалла можно приписать некоторый постоянный радиус, зависящий от типа связей
этого атома с другими атомами, окружающими его в структуре кристалла. Основное
требование, которое налагается на совокупность радиусов атомов, состоит в их
аддитивности. Иначе говоря, сумма кристаллохимических радиусов двух атомов А и
В должна с высокой точностью воспроизводить величину межатомного расстояния А-В
в структуре кристалла. С учетом общепринятой в настоящее время классификации
химических связей атомам в кристалле, опираясь на сферическую модель атома,
приписывают соответственно ковалентные, металлические, ионные и
ван-дер-ваальсовы радиусы атомов.
Однако полученные в последние
десятилетия результаты анализа распределения электронной плотности вокруг
атомов, опирающиеся как на современные квантово-механические расчеты, так и на
данные прецизионного рентгеноструктурного анализа, показывают, что области
пространства, отвечающие в структуре кристаллов отдельным атомам (атомные
домены), имеют форму, которая, в общем случае, далека от сферической и
напоминает многогранник. Как известно [100], сравнительно простым приближением,
которое позволяет установить форму атомных доменов, является метод полиэдров
Вороного-Дирихле, использовать которые для кристаллохимического анализа
предложено в [40].
Рассмотрим основные параметры
стереоатомной модели, следуя работе [40].
1.1 Основные характеристики полиэдров
Вороного-Дирихле
Полиэдром Вороного-Дирихле (или
атомным доменом) некоторого атома А называется выпуклый многогранник,
ограниченный плоскостями, которые проведены через середины отрезков,
связывающих этот атом с его соседями, перпендикулярно этим отрезкам. Например,
если атом А окружен в кристалле шестью атомами X, образующими координационный
полиэдр в виде правильного октаэдра, то полиэдр Вороного-Дирихле этого атома
имеет форму куба. Таким образом, общее число атомов, окружающих некоторый атом
А в структуре кристалла, равно числу граней его полиэдра Вороного-Дирихле, так
как каждая грань этого полиэдра соответствует одному соседнему атому.
Систематический анализ
характеристик атомных доменов с помощью полиэдров Вороного-Дирихле показал, что
для атомов А, находящихся в определенном валентном состоянии и окруженных в
структуре кристаллов атомами X одной и той же природы, объем полиэдров
Вороного-Дирихле практически не зависит от их формы и числа образованных
химических связей А-Х, то есть координационного числа атома А. Примерное
постоянство объема полиэдров Вороного-Дирихле (VПВД) позволяет моделировать
атом в структуре кристалла мягкой (способной деформироваться) сферой
фиксированного радиуса RСД (назовем его радиусом сферического атомного домена),
который определяется соотношением
VПВД = (4/3)π(RСД)3.
(1.1)
Вместе с тем замечено, что
экспериментальные значения межатомных расстояний, соответствующие в структуре
кристаллов химическим связям, например Na-Cl, практически непрерывно изменяются
в интервале более 0.8А. Аналогичная ситуация установлена и для многих других
изученных к настоящему времени связей А-Х, различающихся природой атомов А и X.
Этот факт свидетельствует о том, что существующий до сих пор постулат о
примерном постоянстве длин связей А-Х (при фиксированной природе атомов А и X)
в структуре разных соединений не согласуется с экспериментальными данными.
Поэтому наблюдаемая на практике весьма значительная вариация длины формально
однотипных связей А-Х показывает, что любые попытки улучшить существующие
системы дискретных кристаллохимических радиусов заведомо обречены на провал.
Авторы работы отмечают также,
что по мере увеличения числа структурно изученных соединений появляется все
больше экспериментальных фактов, указывающих на отсутствие четкой и однозначной
границы между сильными и слабыми межатомными взаимодействиями. Об этом
свидетельствует, в частности, существование эквивалентных терминов
специфические межатомные взаимодействия и вторичные связи, которыми объединяют
межатомные контакты с расстояниями, промежуточными по величине между принятыми
в качестве классических химических связей А-Х и ван-дер-ваальсовых
взаимодействий А...Х. Поэтому весьма существенно, что использование полиэдров
Вороного-Дирихле позволяет одновременно с единых позиций выявлять и
анализировать не только сильные межатомные взаимодействия, которые принято
считать химическими связями, но и слабые, в том числе и специфические,
ван-дер-ваальсовы взаимодействия, играющие очень важную роль на
супрамолекулярном (т.е. надмолекулярном) уровне организации структуры
кристаллических веществ.
Таким образом, размеры атома в
структуре кристалла или многоатомной молекулы естественнее характеризовать
объемом некоторой области, включающей ядро атома и называемой областью действия
атома или атомным доменом. Каждому кристаллографическому сорту атомов в структуре
соединения будет соответствовать определенный полиэдр Вороного-Дирихле, а
структуру кристалла в целом можно рассматривать как совокупность полиэдров
Вороного-Дирихле, соприкасающихся конгруэнтными гранями и полностью заполняющих
все пространство кристалла так, что любая его точка принадлежит хотя бы одному
такому полиэдру. Иначе говоря, разбиение Вороного-Дирихле представляет собой
такое пространственное размещение полиэдров, которое одновременно является как
плотнейшей упаковкой, так и редчайшим покрытием.
Полиэдр Вороного-Дирихле любого
атома в структуре некоторого кристалла можно охарактеризовать следующими
важнейшими параметрами VПВД - объем полиэдра; RСД - радиус сферы, объем которой
равен объему полиэдра Вороного-Дирихле; Nf - число граней полиэдра; DA -
смещение ядра атома из геометрического центра тяжести его полиэдра
Вороного-Дирихле; G3 - безразмерная величина второго момента полиэдра
Вороного-Дирихле, характеризующая степень его сферичности. Последняя величина
вычисляется по формуле
G3=
, (1.2)
где Z - число базисных атомов в
элементарной ячейке;- расстояние от точки полиэдра Вороного-Дирихле до
соответствующего ему атома pi.
Отметим, что каждая грань
полиэдра Вороного-Дирихле атома А, находящегося в окружении атомов X (включая и
случай Х=А), отвечает одному парному межатомному взаимодействию. В классической
кристаллохимии каждое такое взаимодействие характеризуют только межатомным
расстоянием r(А-Х). Использование же полиэдров Вороного-Дирихле позволяет
охарактеризовать каждое межатомное взаимодействие А-Х тремя новыми параметрами:
величиной площади общей грани (S) полиэдров Вороного-Дирихле соседних атомов А
и X; значением телесного угла (Ω), под
которым общая грань полиэдров Вороного-Дирихле атомов видна из точки,
отвечающей положению ядра любого из них, а также объемом бипирамиды, в
основании которой лежит общая грань полиэдров Вороного-Дирихле атомов А и X, а
ядра атомов находятся в апикальных позициях этой бипирамиды. Численное значение
Ω,
равно
величине площади сегмента сферы единичного радиуса, высекаемого пирамидой, в
вершине которой находится атом А, а в основании лежит грань S полиэдра
Вороного-Дирихле этого атома.
Существенно, что в структуре
кристаллов сумма телесных углов Ω, отвечающих
всем парным межатомным взаимодействиям с участием некоторого атома, постоянна и
равна 4π
стерадиан.
Далее для упрощения телесные углы во всех случаях будут выражаться не в
стерадианах, а в процентах от полного телесного угла.
Итак, в отличие от общепринятой
геометрической модели структуры кристалла (упаковки жестких сфер), в которой по
существу единственной характеристикой химической связи А-Х является межъядерное
расстояние, т.е. отрезок r(А-Х), в стереоатомной модели трехмерным образом
химической связи А-Х является бипирамида, в аксиальных позициях которой
находятся сами атомы А и X, а в экваториальной плоскости - общая грань
полиэдров Вороного-Дирихле этих атомов. Основными характеристиками этой
бипирамиды являются ее высота, которая тождественна межатомному расстоянию
r(А-Х), и телесный угол Ω при вершине
бипирамиды, занятой атомом А (или X). Существенно, что постоянство r(А-Х,) в
полиэдре АХn является лишь необходимым условием для вывода о равноценности
связей А-Х, тогда как достаточным условием является только одновременное
постоянство как r(А-Х,), так и Ω(А-Х,)
в структуре кристалла.
В качестве иллюстрации
рассмотрим двухмерные комплексы АХn с четырьмя идентичными по длине
расстояниями А-Х. В двухмерном случае в комплексе АХn все n связей А-Х
равноценны, если каждой из них отвечает Ω(А-Х)
- 2π/n
(в
трехмерном случае Ω(А-Х) - 4π/n,
т.е.
при n=4 величина Ω(А-Х) - 2π/n
=90°. Поэтому
равноценность четырех связей А-Х наблюдается лишь тогда, когда атомы X
находятся в вершинах квадрата (рисунок. 1.1 а), так как при любом ином способе
размещения aтомов X вокруг А, несмотря на равенство r(A-X), связи А-Х заведомо
будут в той или иной степени неравноценны.
Рисунок 1.1 - Двухмерные
"полиэдры" Вороного-Дирихле атома А в двухмерном комплексе АХ4.
Жирные линии на рисунок 1.1
являются границами "двухмерного полиэдра ВД" четырехугольника, каждая
сторона которого отвечает одной "грани полиэдра" ВД. Угол между
соседними стрелками соответствует "телесному" углу Ω(А-Х)
соответствующей связи А-Х. Заштрихован двухмерный аналог
"бипирамиды", являющейся геометрическим образом связи А-Х в
трехмерном случае.
Количественно охарактеризовать
неравноценность связей именно и позволяют значения Ω(А-Х).
Например, как видно из рисунок 1.1 б, на котором по сравнению с рисунок 1.1 а,
лишь один атом Х4 незначительно сместился вправо (при фиксированном г(А-Х)),
изменение даже одного значения Ω(A-X,) приводит
к неравноценности телесных углов, соответствующих и трем другим связям,
несмотря на то, что все расстояния г(А-Х,) идентичны. Аналогичная ситуация
наблюдается и при смещении одного атома (Х4) по линии связи А-Х в направлении к
атому А (или при удалении oт него). Хотя в этом случае (рисунок 1.1 в) все
валентные углы Х-А-Х равны 90°, соответствующие этим же связям
"телесные" углы Ω(А-Х)
≠90° и отличаются друг от друга. Указанные примеры свидетельствуют о том,
что величины Ω(А-Х) чутко
реагируют на любые изменения во взаимном положении атомов X вокруг атомов А.
Поэтому при анализе координационных полиэдров АХn следует обращать внимание не
только на r(А-Х) или валентные углы Х-А-Х, как это принято в настоящее время,
но и на значения телесных углов Ω(А-Х),
отвечающих соответствующим связям.
Таким образом, в стереоатомной
модели структуры кристалла важнейшим параметром химической связи А-Х является
величина телесного угла Ω, под
которым общая грань полиэдров Вороного-Дирихле двух атомов видна из точки,
отвечающей положению ядра любого из них. В рамках этой модели критерием наличия
межатомного взаимодействия А и X в структуре кристалла является условие, что
величина телесного угла соответствующей грани полиэдра Вороного-Дирихле имеет
ненулевое значение. Будем далее называть все атомы X, удовлетворяющие
требованию Ω(А-Х) >0, атомами
окружения (или соседями) атома А. Отметим, что в общем случае атомы окружения X
подразделяются на два типа. Атомы X, для которых центры отрезков А-Х лежат на
поверхности полиэдра Вороного-Дирихле атома А, считаются прямыми соседями атома
А. Те же атомы X, для которых центры отрезков А-Х не лежат на поверхности
полиэдра Вороного-Дирихле атома А, называют непрямыми соседями, и все связанные
с ними характеристики отмечают символом # (например, r(А-#Х)), которым
автоматически помечаются непрямые соседи в процессе расчета характеристик
полиэдра Вороного-Дирихле некоторого атома А с помощью комплекса программ
TOPOS. Различие между прямыми и непрямыми соседями для двухмерного случая
показано на рисунок 1.2.
Рисунок 1.2 - Различие между
прямыми (атомы X) и непрямыми (атом #Z) соседями атома А в его координационной
сфере.
В представленном двухмерном
случае (ядра всех шести атомов лежат в плоскости рисунка) "полиэдр"
ВД атома А, окруженного 4 атомами X и одним атомом #Z, представляет собой
пятиугольник. Центры отрезков А-Х лежат на соответствующих ребрах (в трехмерном
случае - гранях) полиэдра ВД, проходящих перпендикулярно этим отрезкам через их
центры. Для непрямого соседа центр отрезка A-#Z (точка с) не лежит на ребре ab,
существование которого обусловлено наличием атома #Z в координационной сфере
атома А. Таким образом, пунктирный отрезок, символизирующий связь A-#Z, не
пересекает соответствующую ему грань полиэдра ВД.
Систематический анализ
характеристик полиэдров Вороного-Дирихле атомов металлов А, находящихся в структуре
кристаллов в окружении атомов неметаллов X фиксированной природы, показал, что
с ростом межатомных расстояний r(А-Х) наблюдается достаточно закономерное
уменьшение значений соответствующих им телесных углов Ω(А-Х).
Практически для всех изученных совокупностей полиэдров АХn распределения (Ω,
г)
в первом приближении описываются линейной зависимостью типа
Ω(A-X)=a-br(A-X)
(1.3)
с модулем коэффициента
корреляции ρ в диапазоне 0,9<ρ<1.
Коэффициенты
aи b в соотношении (1.3) зависят от природы атомов A и X.
Статистический анализ
кристаллов, содержащих в своей структуре координационные полиэдры АХn, показал,
что обычно общее число граней полиэдра Вороного-Дирихле (Nf) больше, чем
классическое КЧ атома А. Для любого полиэдра Вороного-Дирихле (или их некоторой
совокупности) можно легко установить число невалентных взаимодействий (Nnb),
приходящихся на одну валентную связь, поскольку оно равно (Nf-КЧ)/КЧ. Имеющиеся
данные свидетельствуют о том, что обычно величина Nnb максимальна при небольших
КЧ атомов А, а с ростом КЧ она, как правило, уменьшается до нуля. Сравнительно
большие значения Nnb, достигающие 5, наблюдаются при КЧ 3 или 4 (при квадратной
координации), то есть в тех случаях, когда за счет трех или четырех граней А-Х
не может образоваться замкнутый полиэдр ВД. Отметим, что основная доля
невалентных взаимодействий обычно отвечает атомам, которые играют роль непрямых
соседей. Кроме того, практически во всех соединениях, содержащих
координационные полиэдры АХn, значительное число невалентных взаимодействий
соответствует контактам типа А…X. При этом если связям А-Х отвечают
сравнительно короткие r(А-Х) и большие Ω(А-Х),
то для невалентных взаимодействий, наоборот, характерны большие значения r(A…X)
и маленькие Ω(А…X). Существенно,
что, несмотря на указанное различие валентных и невалентных взаимодействий
атомов А и X, как правило, все они одновременно подчиняются одной и той же
зависимости типа (1.3).
Как указывалось выше, при
определении КЧ атомов обычно принято учитывать только сильные (ковалентные,
ионные или металлические) химические связи. Поэтому классическая и
стереоатомная модели - не позволяют на основании анализа только одних
абсолютных значений межатомных расстоянии r(А X) или телесных углов граней
полиэдров Вороного - Дирихле делать априорные заключения о прочности тех или
иных связей, а значит, и КЧ атомов, участвующих в их образовании. Очевидно, что
при переходе от простых веществ к соединениям, в структуре которых некоторый
атом А окружен в общем случае химически разносортными атомами X, Y и т.д.,
неминуемо возникает еще более сложная проблема, так как требуется установить,
какие из гетероядерных связей (А-Х, A-Y и т.д.) отвечают сильному химическому
взаимодействию и, следовательно, должны быть учтены в КЧ, а какие являются
слабыми (ван-дер-ваальсовыми) и могут быть опущены. Аналогичная ситуация имеет
место и в том случае, когда координационные полиэдры атомов А, находящихся в
окружении атомов X, по тем или иным причинам сильно искажены.
.2 Основные положения метода
пересекающихся сфер
С квантовомеханической точки
зрения, атомы не имеют строго определенных границ, так как функции, описывающие
строение электронных оболочек и распределение электронной плотности ρ(r)
атомов
в целом, не имеют верхнего предела. Однако поскольку эти функции фактически
быстро затухают, то в качестве квантовомеханической характеристики размера
атома, как известно, можно принять орбитальный радиус г0 его внешней
электронной оболочки. Предположение о том, что образование сильной химической
связи обусловлено совпадением положения внешних валентных орбиталей этих
атомов, приводит к условию
(А-Х) = rо(А) + rо(Х). (1.4)
Обнаруженное во многих случаях
значительное отклонение экспериментальных значений r(А-Х) от рассчитанных по
(1.4) объясняют тем, что в кристаллах атомы находятся в возбужденных
электронных состояниях, близких по энергии к основным, но с несколько
отличающимися значениями r0. Эмпирической оценкой орбитальных радиусов атомов,
отвечающих их реальным электронным состояниям в кристаллах, явились
атомно-ионные радиусы, из которых наибольшую известность получили радиусы
Слейтера (rs). Как и в случае орбитальных радиусов r0, в слейтеровской системе
радиусов атомам каждого элемента отвечает определенное и единственное значение
rs, причем в большинстве случаев rs = r0, где r0 - орбитальные радиусы атомов
по Уэберу-Кромеру.
В то же время, учитывая
близость r0 и rs, слейтеровские радиусы атомов можно принять в качестве
реперных характеристик условно изолированных, т.е. химически не связанных,
атомов.
В качестве параметра, характеризующего
размер уже не изолированного (как rs), а химически связанною атома А в
структуре некоторого вещества, принят упоминавшийся выше радиус сферического
домена (Rсд) этого атома. Значение Rсд является переменным параметром,
зависящим oт валентного состояния атома А и природы атомов, окружающих его
(химически взаимодействующих с атомом А) в структуре кристалла. Выбор именно
Rсд в качестве характеристики химически связанного атома обусловлен двумя
существенными обстоятельствами. Во-первых, в структуре любого вещества каждому
кристаллографическому сорту атомов А. отвечает строго определенное значение
Rсд, не зависящее от каких-либо субъективных оценок, так как оно однозначно
обусловлено природой и взаимным пространственным размещением ядер атомов А, X и
других относительно друг друга. Во-вторых, объем полиэдров Вороного-Дирихле (а
значит, и эквивалентная одномерная характеристика Rсд) атомов А, находящихся в
определенном валентном состоянии в окружении атомов X данной химической
природы, в пределах погрешности структурного эксперимента практически не
зависит от КЧ атома А. Например, в случае атомов Zr(IV), образующих
координационные полиэдры ZrFn с n= 6, 7 или 8, несмотря на изменение r(Zr-F) в
диапазоне от 1.15 до 2.35Å, значение Rсд
атомов циркония практически постоянно и равно 1.24(1) Å.
Таким
образом, постоянство объема полиэдров Вороного-Дирихле некоторого атома А при
разных значениях его КЧ можно рассматривать как следствие образования
однотипной электронной конфигурации валентной оболочки за счет химического
взаимодействия с атомами окружения.
Как показал анализ всех
имеющихся к настоящему времени данных о строении кристаллов простых веществ oт
водорода до калифорния, в подавляющем большинстве случаев для атомов в
структуре кристаллов Rсд-rs =Δ > 0. В
структуре кристаллов более 20000 химических соединений обнаруживается следующая
закономерность: атомы металлов, находящиеся в валентных состояниях с
положительной степенью окисления, имеют значения Rсд-rs =Δ
< 0, в
то время как атомы неметаллов, рассматриваемые как анионы Х, имеют значения
Rсд-rs =Δ
> 0. Дополнительный
анализ показывает, что при фиксированной природе атомов Хm-, окружающих атомы
Аz+ (m или z равны степени окисления соответствующих атомов), величина Rсд
атома А закономерно уменьшается при увеличении степени его окисления, а при
фиксированной степени окисления - с ростом электроотрицательности атомов X.
Указанное уменьшение Rcд атома А в полном согласии с общепринятыми
представлениями можно трактовать как увеличение степени переноса электронной
плотности с валентных орбиталей атома А на вакантные орбитали
электроноакцепторных атомов X.
С учетом постулированной
двухсферной модели квазиизолированных атомов А и X возможны варианты парного
межатомного взаимодействия (а именно: А-А, Х-Х и А-Х), с которыми в общем
случае можно столкнуться в структурe любых кристаллов. Предположим, что в
первых двух случаях взаимодействуют атомы разной химической природы, т.е. с
разными наборами rs и Rсд. Не вводя конкретных значений rs и Rсд, а принимая
только, что для атомов A Rсд<rs, тогда как для X, наоборот, Rсд>rs,
возможные варианты парного взаимодействия упрощенно можно описать схемой,
представленной на рис 1.3. Всегда на первом месте (т.е. слева) указана
соответствующая характеристика первого (левого) атома. Например, перекрывание
типа Rсд×rs
для
связи А-Х означает пересечение сферы радиуса Rсд атома А со сферой радиуса rs
атома X.
Для каждого атома, ядро
которого находится в общем центре двух сфер, на рисунок 1.3 сплошной линией
обозначена сфера радиуса rs, а пунктирной - радиуса Rсд. Принято, что для А
(или А’) Rсд<rs, а для X (или X') Rсд>rs. Штриховкой выделены области
пересечения сфер соседних aтомов, наличие которых является необходимым и
достаточным условием реализации соответствующего типа перекрывания. Подстрочный
индекс в обозначении типа перекрывания указывает суммарное число
реализовавшихся парных пересечений, количество которых реально может изменяться
от 0 (тип П0) до 4 (тип П4). Буквенные символы играют роль меток. Итак,
возможны следующие случаи:
. Два атома, находящиеся па
расстояниях, превышающих суммы радиусов их внешних сфер (рисунок 1.3а1, 1.3а2,
1.3а3, считаются химически не связанными, так как в этом случае итоговое
перекрывание их сфер (тип П0) равно нулю.
. Химическое взаимодействие
двух атомов начинается с момента пересечения внешних сфер этих атомов (рисунок
1.3б1, 1.3б2, 1.3б3). Такое взаимодействие называется одинарным перекрыванием
П1.
. Представим, что
взаимодействующая пара атомов (уже имеющая перекрывание типа П1) сближается.
Тогда с некоторого межъядерного расстояния наружная сфера одного атома будет
перекрываться сразу с обеими сферами соседнего атома в зависимости от
абсолютных значений rs и Rсд атомов, такое перекрывание может осуществляться
наружной сферой либо правого (рис 1.3в1, 1.3в2, 1.3в3), либо левого (рис 1.3г1,
1.3г2_ 1.3г3) атома. Такой тип взаимодействия называется двойным перекрыванием
П2.
Рисунок 1.3 - Схематическое
изображение основных типов перекрывания (пересечения) "двухсферных"
атомов [40]
активированный
кристалл офельт шеелит
4. При сближении атомов,
реализовавших перекрывание типа П2, наступит момент, начиная с которого
обязательно возникнет качественно новый тип перекрывания (тройное перекрывание
П3), при котором внутренние сферы обоих атомов будут перекрываться с внешней
сферой соседнего (рис 1.3д1, 1.3д2, 1.3д3).
. Сокращение межъядерного
расстояния между двумя атомами, уже реализовавшими перекрывание типа П3, с
некоторого момента приведет к перекрыванию также и их внутренних сфер (рисунок
1.3е1, 1.3е2, 1.3е3). Этот случай, при котором попарно перекрываются каждая из
двух сфер одного атома с каждой из двух сфер соседнею атома, называется
четверным перекрыванием (тип П4).
. Таким образом, в
рассмотренной модели межатомного взаимодействия сближение двух атомов в общем
случае сопровождается закономерным изменением типа пересечения их сферических
оболочек по ряду П0 → П1 → П2 → П3 → П4. Отметим, что
если два атома идентичны не только химически (в этом случае совпадают только их
значения rs), но и кристаллографически (при этом условии в общем случае равны
также и их значения Rсд), то из-за требований симметрии перекрывания типа П2
для них в принципе невозможны, и поэтому сразу реализуется переход П1 →
П3. По той же причине абсолютные значения перекрываний, отличающихся
перестановкой радиусов, для таких атомов будут одинаковы. Вследствие этого лишь
связи А-А (или Х-Х) между кристаллoгpaфически идентичными атомами можно считать
неполярными. Поэтому связи А-А (или Х-Х) между кристаллографически разными
атомами из-за возможного различия Rсд атомов (позволяющего реализовать
перекрывание типа П2), вопреки распространенному мнению, в общем случае будут
полярными.
. Согласно сказанному, для
некоторой пары атомов увеличение числа перекрываний связано с уменьшением
межатомного (межъядерного) расстояния. Движущей силой такого сближения является
уменьшение энергии системы за счет перераспределения электронной плотности,
которое можно интерпретировать либо как образование общих электронных пар (ковалентная
модель), либо как переход электронов от одного атома к другому (ионная модель).
В первом приближении количественной мерой такого перераспределения могут
служить абсолютные значения величин перекрывания и его типа. Учитывая
общепринятое мнение об увеличении прочности связи при сокращении ее длины,
постулируется, что наиболее сильные химические связи образуются в результате
перекрывании типа П4, а самые слабые в случае П0. Чтобы не вводить новых
терминов, пересечения типа П0 рассматриваются как ван-дер-ваальсовы связи, а
пересечения типа П1 считаются аналогом специфических или вторичных межатомных
взаимодействий. Так как при определении КЧ атомов принято учитывать только
сильные химические связи, то координационное число равно общему количеству соседних
атомов, связанных с центральным только за счет пересечении типа П4, П3 и (или)
П2, которые являются аналогами сильных химических взаимодействий.
Таким образом, рассмотренный
метод определения КЧ некоторого атома А (XY и др.) в структуре кристалла включает
следующие стадии:
а. Для анализируемой
структуры проводится расчет характеристик полиэдров Вороного - Дирихле всех
кристаллографически разных сортов атомов (А, Х Y, и др.), содержащихся в
структуре соединения,
б. На основании полученных
результатов для каждого базисного атома определяется реализующееся значение
Rсд, а также устанавливается природа и количество атомов, окружающих
анализируемый атом в структуре кристалла. Атомами окружения считаются все
атомы, полиэдры Вороного-Дирихле которых имеют общую грань с полиэдром
Вороного-Дирихле анализируемою атома (для них Ω>0). Отметим,
что в общем случае контактам с непрямыми соседями #Х отвечают аномально низкие
значения Ω(А - #Х) и большие
r(А - #Х). Поэтому далее любые контакты типа А - #Х (независимо от состава и
строения соединений, природы атомов А и #Х, конкретных значений r(A - #X) и Ω(А
- #Х), а также типа пересечений) в качестве химических связей не
рассматриваются;
в. Для анализируемого
атома и каждого из атомов его окружения (в том числе и непрямых соседей #Х,
если они имеются) рассчитываются численные значения парных перекрываний
соответствующих сфер,
г. Проводится
классификация всех парных межатомных взаимодействий с участием анализируемого
атома на сильные (пересечения типа П4, П3 и П2) и слабые (тип П1 или П0);
д. Значение КЧ атома
принимается равным общему количеству образованных им сильных химических связей
(или пересечений типа П4, П3 и П2), при этом любые пересечения с меткой #, т.е.
отвечающие непрямым соседям, не учитываются.
Определение типа связи опирается на модель
межатомного взаимодействия, в рамках которой каждый атом представляется в виде
двух сфер с общим центром в ядре атома. Одна из сфер характеризует
изолированный атом, и ее радиус rs в структуре любого соединения постоянен и равен
квазиорбитальному слейтеровскому радиусу. Другая сфера характеризует химически
связанный атом в структуре конкретного кристалла, и ее радиус RСД равен радиусу
сферического домена, объем которого равен объему полиэдра Вороного-Дирихле. В
рамках этого метода легко интерпретируется экспериментально наблюдаемая
вариация межъядерных расстояний (в ряде случаев весьма значительная),
отвечающих сильным химическим связям А-Х (пересечениям П2-П4). Так, сокращение
межъядерных расстояний r(A-X) в общем случае неизбежно сопровождается
увеличением объема соответствующих парных пересечений типа
rS´RСД (1.5)
и/или
RСД´rS.(1.6)
Ненулевые по величине пересечения типа (1.5) или
(1.6) можно интерпретировать как наличие переноса электронной плотности с
валентной оболочки атома радиуса rS на вакантные валентные орбитали соседнего
атома с радиусом RСД. С указанной точки зрения пересечения типа П2, при которых
одно из двух произведений вида (1.5) или (1.6) непременно равно нулю, можно
трактовать как донорно-акцепторные или ионные связи. Поэтому при образовании
связи донором электронов (в рамках ковалентной модели химической связи) или
образующимся катионом (с позиций ионной модели) будет являться тот атом,
значение rS которого входит в ненулевое по абсолютной величине произведение
(1.5) или (1.6). Например, если для некоторой связи А-Х rS(А)´RСД(Х)
= 0, а RСД(А)´rS(Х) > 0, то атом Х является
донором электронов (катионом), а атом А - акцептором электронов (анионом).
В тех случаях, когда оба произведения (1.5) или
(1.6) одновременно не равны нулю (пересечения типа П4 или П3), реально возможны
две ситуации. Так, если взаимодействующие атомы идентичны как химически (при
этом их значения rS = const), так и кристаллографически (при этом их значения
RСД = const), то пересечения rS´RСДºRСД´rS>
0 и возникающая связь будет ковалентной неполярной, так как перенос электронной
плотности от левого атома к правому (определяется пересечением (1.5)) будет
полностью компенсироваться идентичным по величине переносом от правого атома к
левому (определяется пересечением (1.6)). Если же при перекрывании типа П3 или
П4 вследствие химической и (или) кристаллографической неэквивалентности
взаимодействующих атомов значения произведений (1.5) и (1.6) отличаются, то
соответствующую связь можно назвать ионно-ковалентной (или полярной
ковалентной). При этом в некоторой связи А-Х атомом, приобретающим заряд d+,
будет являться тот атом, значение rS которого входит в большее по абсолютной
величине произведение (1.5) или (1.6). Например, если для связи А-Х rS(А)´RСД(Х)
> RСД(А)´rS(Х) > 0, то итогом химического
взаимодействия изначально нейтральных атомов А и Х явится увеличение
электронной плотности (возникнет некоторый заряд d-) в области
действия атома Х, тогда как у атома А, являющегося более сильным донором (или
более слабым акцептором) электронов, возникнет равный по абсолютной величине
заряд d+.
Таким образом, согласно использованной модели при пересечениях типа П2, П3 или
П4 перенос электронной плотности между атомами А и Х при возникновении связи
А-Х в общем случае должен быть пропорционален разности
DП(А-Х)=½rS(А)´RСД(Х)
- RСД(А)´rS(Х)½.
(1.7)
Для сравнения степени переноса электронной
плотности используем безразмерную величину
(1.8)
Расчет КЧ атомов по
вышеуказанному алгоритму, а также определение некоторых других параметров
полиэдров Вороного-Дирихле в структуре кристаллов соединений любою состава и
строения можно осуществить с помощью не имеющего аналогов ни в России, ни за
рубежом комплекса структурно-топологических программ TOPOS, созданного на
кафедре неорганической химии Самарского государственного университета.
.3 Стереоатомный анализ кристаллов со структурой
шеелита
В данной работе был проведен стереоатомный
анализ кристаллов со структурой шеелита с использованием программного комплекса
TOPOS. Данные рентгеноструктурного анализа исследуемых кристаллов приведены в
таблице 1.1.
Расчет параметров полиэдров Вороного-Дирихле
производился для атомов Ca, Sr, Pb и Ba, т.к. именно их позиции занимают ионы
редкоземельных ионов при росте активированных вольфраматов и молибдатов. Для
расчета параметров использовалась программа Dirichlet, результаты приведены в
таблице 1.2.
Таблица 1.1 - Рентгеноструктурные данные
кристаллов со структурой шеелита
|
CaWO4
|
SrWO4
|
PbWO4
|
BaWO4
|
CaMoO4
|
SrMoO4
|
PbMoO4
|
BaMoO4
|
|
a,
Å
|
5,2430
|
5,4170
|
5,4556
|
5,6130
|
5,2220
|
5,3897
|
5,4340
|
5,5800
|
|
c,
Å
|
11,3740
|
11,9510
|
11,9923
|
12,7200
|
11,4250
|
12,0209
|
12,1070
|
12,8200
|
|
V,
Å3
|
312,66
|
350,68
|
356,93
|
400,75
|
311,55
|
349,19
|
357,49
|
399,17
|
|
ρрент, г/см3
|
6,11
|
6,67
|
8,46
|
6,37
|
4,26
|
4,69
|
6,81
|
4,94
|
Исследования, проведенные в рамках метода
пересекающихся сфер, показывают, что атом Ca (Sr, Pb, Ba) образует 8 связей
второго порядка (пересечения типа П2) с кислородным окружением (см. рисунок
1.4), которое образует псевдокубическую конфигурацию. Общий вид взаимодействия
редкоземельного иона и одного из атомов кислорода из его окружения представлен
на рисунке 1.5.
Таблица 1.2 - Параметры полиэдров
Вороного-Дирихле кристаллов вольфраматов и молибдатов щелочноземельных металлов
|
CaWO4
|
SrWO4
|
PbWO4
|
BaWO4
|
CaMoO4
|
SrMoO4
|
PbMoO4
|
BaMoO4
|
|
RSD,
Å
|
1,444
|
1,523
|
1,540
|
1,618
|
1,443
|
1,523
|
1,540
|
1,610
|
|
V,
Å3
|
12,611
|
14,791
|
15,293
|
17,739
|
12,576
|
14,795
|
15,293
|
17,482
|
|
S,
Å2
|
30,720
|
34,057
|
34,827
|
38,178
|
30,650
|
34,013
|
34,774
|
37,685
|
|
Cpac,
отн. ед.
|
0,604
|
0,608
|
0,603
|
0,606
|
0,613
|
0,604
|
0,609
|
0,613
|
|
Ccov,
отн. ед.
|
2,394
|
2,329
|
2,322
|
2,303
|
2,365
|
2,345
|
2,317
|
2,311
|
|
G3,
отн. ед.
|
0,081390
|
0,081284
|
0,081309
|
0,081128
|
0,081323
|
0,081312
|
0,081250
|
0,080996
|
|
Sang,
отн. ед.
|
12,30
|
12,14
|
12,27
|
11,99
|
12,09
|
12,14
|
12,06
|
11,69
|
|
Dist,
Å
|
2,441
|
2,580
|
2,602
|
2,738
|
2,451
|
2,575
|
2,611
|
2,736
|
Рисунок 1.4 - Полиэдр Вороного-Дирихле атома
стронция в кристалле SrWO4
Рисунок 1.5 - Общая схема взаимодействия
редкоземельного иона (находящегося в позиции редкоземельного металла) и атома
кислорода из его ближайшего окружения
Значения объемов пересечений, рассчитанных в
рамках метода пересекающихся сфер, представлены в таблице 1.3.
Таблица 1.3 - Значения объемов пересечений для
кристаллов со структурой шеелита
|
CaWO4
|
SrWO4
|
PbWO4
|
BaWO4
|
CaMoO4
|
SrMoO4
|
PbMoO4
|
BaMoO4
|
|
rs-Rsdl,
Å3
|
1,3898
|
2,0519
|
1,2139
|
2,5734
|
1,3610
|
2,0571
|
1,1861
|
2,5384
|
|
rs-Rsdm,
Å3
|
1,4315
|
2,1359
|
1,2379
|
2,6428
|
1,4569
|
2,1217
|
1,2516
|
2,6686
|
|
Rsd-Rsdl,
Å3
|
0,3449
|
0,3906
|
0,4129
|
0,4497
|
0,3323
|
0,3882
|
0,3977
|
0,4212
|
|
Rsd-Rsdm,
Å3
|
0,4387
|
0,5042
|
0,5148
|
0,5664
|
0,4442
|
0,4981
|
0,5172
|
0,5515
|
.4 Однородное и неоднородное уширение линий
Одной из существенных проблем физики
ОКГ является вопрос о природе спектральной линии люминесценции, на частоте
которой возникает стимулированное излучение. Вид контура линии люминесценции во
многом определяет энергетические параметры ОКГ, в частности и такую важную
характеристику, как порог возбуждения генерации. Известные лазерные кристаллы
по спектроскопическим свойствам их активаторных центров можно подразделить на
два типа - простые соединения и смешанные системы, или твердыые кристаллические
растворы. Под активаторным центром мы подразумеваем здесь условно выделенное из
объема кристалла локальное образование с радиусом порядка линейных размеров
элементарной ячейки, состоящее из примесного иона и непосредственно его окружающих
ионов матрицы-основы. Представленние о локальности центра подразумевает
изолированность активаторных ионов друг от друга. Оно весьма условно, поскольку
при статическом распределении примеси в кристалле всегда даже при очень малых
концентрациях имеется какое-то количество близко расположенных центров, а также
парных или более сложных ассоциатов. Критерием тут является относительное
количество таких образований. Многочисленные исследования свидетельствуют, что
условные локальности удовлетворительно выполняется до концентраций активаторных
ионов
Если в соединение, характеризующееся
упорядоченностью своей структуры, активаторная примесь входит изоморфно,
замещая один тип ионов матрицы, расположенных в строго эквивалентных позициях,
то мы имеем дело с идеальным простым одноцентровым кристаллом. В этом случае
все элементарные центры являются идентичными, и связанная с ними спектральная
линия представляет собой наложение множества тождественных по положению и
контуру линий. Поэтому линии в спектрах, принадлежащих таким кристаллам,
называют однородно уширенными. В реальных простых кристаллах вследствие микро
неоднородностей самой матрицы активаторные центры будут несколько отличаться
друг от друга. Особенно это заметно при низких температурах, когда уширение
уровней за счет безызлучательных переходов становится малым. В этом случае
наблюдаемые линии представляют собой суперпозицию слегка разнесенных по частоте
линий, принадлежащих отдельным центрам.
Также, как следует из теории, ширина
электронной линии при
должна
стремится к величине порядка естественной ширины, то есть к величине
(2.1)
Уширение, связанное с дефектностью кристалла,
получило название неоднородного уширения. Как правило, ширина таких линий
отличается слабой температурной зависимостью. Форма их удовлетворительно
описывается гауссовым контуром. Последнее является отражением того факта, что
отклонение частот отдельных линий от среднего значения является случайным и
определяется случайным характером искажения внутрикристаллического поля.
Характер образования элементарных
центров определяется способами компенсации заряда, обеспечивающих их локальную
электронейтральность. Гетеровалентный изоморфизм может также приводить как к
одноцентровым системам (
с ионами
), так и к
многоцентровым (
с ионами
).
Вследствие разупорядоченности
структуры в смешанных кристаллических системах в них всегда имеется несколько
отличающихся друг от друга позиций, в которые могут входить активаторные ионы.
Это, разумеется, приводит к образованию множества центров. В отличие от простых
многоцентровых кристаллов, в оптических спектрах которых каждому типу центров
принадлежат четко разрешенные линии, в смешанных системах такого разделения нет
даже при очень низких температурах, и спектры характеризуются широкими
полосами, представляющими собой суперпозицию множества линий.
Таким образом, в качестве надежного
критерия при определении типа реальных примесных кристаллов можно принять
характер температурного поведения контура электронной линии (полосы)
активатора. Если при низких температурах имеется переход от однородного контура
к неоднородному, то мы имеем дело с простым кристаллом. В смешанных системах
такого перехода нет и контур линии (полосы) всегда неоднородный. В ряде случаев
тип соединения можно определить и по характеру разупорядоченности его
кристаллической структуры.
Если сравнивать изученность
оптических свойств простых кристаллов с
-ионами, где активаторные центры в
основном структурно вырождены, и многоцентровых сред с разупорядоченной
структурой, то исследование стимулированного излучения первых в большинстве
случаев велось на базе обширного спектроскопического материала. Для
многокомпонентных кристаллических лазерных систем имеет место обратная картина
- накопленны результаты генерационных экспериментов и почти отсутствует
информация об их спектроскопических свойствах. Очевидно, такое положение дел
является тормозом в поисковых исследованиях новых веществ этого перспективного
класса активированых сред для твердотельных ОКГ.
2. Теория Джадда-Офельта и структурные
особенности кристаллов
.1 Теория Джадда-Офельта
Важнейшей характеристикой оптических спектров
примесных центров в кристаллах и стеклах является интенсивность спектральных
линий. Интенсивности в спектрах излучения связаны с энергией, излучаемой
возбужденными частицами, а в спектрах поглощения связаны с коэффициентами
поглощения исследуемого вещества, которые в свою очередь зависят от энергии,
поглощаемой частицами этого вещества. Проанализировав и обобщив результаты
экспериментальных исследований интенсивностей переходов редкоземельных (РЗ)
ионов в кристаллах, Ван Флек рассмотрел три возможных механизма переходов между
энергетическими уровнями этих ионов, основанных на вынужденном электродипольном
(ed), магнитодипольном (md) и квадрупольном (qd) излучениях.Электродипольные
переходы между состояниями 4fn-конфигурации запрещены правилами отбора по
четности [4]. Ван Флеком показано [5], что этот запрет в той или иной степени
может сниматься за счет нецентросимметричных взаимодействий РЗ ионов с
окружением, которые вызывают перемешивание состояний противоположной четности.
В качестве таких взаимодействий в кристалле могут быть как статические
(нечетные члены в разложении по сферическим гармоникам потенциала
кристаллического поля), так и динамические (колебания решетки, обуславливающие
нарушения инверсной симметрии) части потенциала кристаллического поля.
Для расчета интенсивностей вынужденных дипольных
переходов необходимо знание всех энергий и собственных функций конфигураций
4fn-1 примесных ионов, а также нечетной части потенциала кристаллического поля,
что представляет собой крайне сложную задачу. Применяя методы тензорной алгебры
Рака, Джадд [6] и Офельт [7] решили данную проблему следующим образом.
Сила осциллятора P′ спектральной линии,
соответствующая электродипольному переходу с i-й компоненты основного уровня
иона на компоненту f возбужденного уровня, определяется выражением

.(2.1)
В этом уравнении, m - масса
электрона, h - постоянная Планка и ν - частота линии. Множитель χ зависит от
показателя среды, в которой находится ион; согласно Броеру, для воды χ=1.19. В
криволинейных координатах 
для электрона j

, (2.2)
где 
,(2.3)
- сферическая гармоника. Выбор q в
(2.1) зависит от поляризации падающего света. Уравнение (2.1) можно считать
небольшим уточнением уравнения Слейтера [8].
Для оценки матричного элемента в
(2.1) необходимы детальные описания состояний i и f. Имея относительно малые
расщепления уровней, созданные кристаллическим полем, обычно необходимо первым
делом принять, что квантовое число J, соответствующее полному угловому моменту
электронной системы редкоземельного иона, остается хорошим квантовым числом.
Существует, в первом приближении, линейная комбинация, соответствующая
компоненте i основного уровня конфигурации lN

,(2.4)
где M - квантовое число проекции J -
Jz. Символ ψ
обозначает
дополнительные квантовые числа, которые могут быть необходимы для обозначения
индивидуального уровня; если строго следовать RS (Рассел-Саундерс) связи, то ψ может
включать в себя S и L, квантовые числа, соответствующие суммарным спину и
орбитальному моменту, соответственно, электронной системы. Тем не менее, в
нашем случае нет необходимости принимать RS-связь. По аналогии с (2.4), мы
можем написать

(2.5)
Состояния (A| и |A')будучи созданными
из одной и той же конфигурации lN, обладают одинаковой четностью. Тем не менее,
при замене 
мы обнаруживаем, что 
. Имеем уравнение

(2.6)
откуда следует, в первом приближении, что -
электродипольный переход произойти не сможет. Это всего лишь формулировка
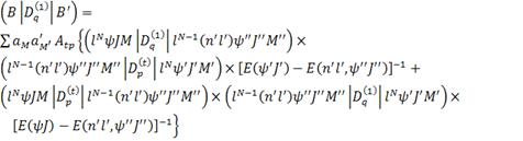
правила Лапорте. Чтобы получить ненулевые матричные элементы компонент D(1),
необходимо ввести примесь в состояния (A| и |A′), построенные из
конфигураций с противоположной lNчетностью.
Перемешивание конфигураций противоположной
четности происходит в том случае, если вклад V в гамильтониан увеличивается от
взаимодействия электронов иона с электрическим полем решетки, которое считается
статическим, содержит нечетные термы. При разложении

, (2.7)
это условие становится эквивалентным
требованию, что не все Atp, для которых t нечетно, исчезают. Выражения (2.5) и
(2.6) заменены на

,(2.8)
и 
, (2.9)
где 
,(2.10)
и
.(2.11)
Символ Σk обозначает
суммирование по J", M", I' и по тем значениям n′, для которых
lN-1(n′l′) - возбужденные конфигурации. В уравнениях (2.10) и (2.10) E(ψJ) и E(ψ′J′)
обозначает энергии уровней ψJ и ψ′J′
lN конфигурации; аналогично, 
отвечает за энергию уровня ψ′′J′′lN-1(n'l′)
конфигурации. Теперь нетрудно получить уравнение

, (2.12)
суммирование ведется по M, M′,
t и p, и эти квантовые числа заключены в символе κ.
Практически для всех конфигураций девятикратное
суммирование в (2.12) слишком громоздко. Наличие выражения

(2.13)
в уравнении (2.12) предполагает, что
возможно каким-то образом использовать аппроксимацию, объединяя, таким образом,

и Dp(t)в единый оператор,
действующий между состояниями lN [9]. Количество суммирований, которое мы хотим
"поглотить", зависит от того, насколько мы готовы принять 
как инвариант по отношению к 
или 
. Например, наименьшее, что мы можем
сделать, - это предположить, что расщеплениями внутри возбужденных конфигураций
можно пренебречь по сравнению с интервалом энергий, в котором находятся
конфигурации, лежащие над lN. Это равнозначно тому, что 
не зависит от 
. Если состояния lN представляются
как линейные комбинации заполненных RS-связанных состояний типа

, (2.14)
то мы можем провести суммирование по

и 
в (2.12), используя такие
уравнения, как

,(2.15)
где 
- тензор, чья амплитуда
определяется выражением

.(2.16)
Простейший путь проверить (2.15) - выразить все
матричные элементы через редуцированные матричные элементы, аналогичные
содержащимся в (2.16); потом будет показано, что (2.15) эквивалентно правилу
суммирования Биденхарна-Эллиота [10].
В то же время видно, что упрощения,
возникающие при использовании уравнений (2.15) и (2.16) незначительны. Таким
образом, должна быть увеличена степень приближения. Наименее строгое
"расширение" - предположить, что 
- инвариант как по отношению к 
, так и по отношению к 
. Это эквивалентно тому, что мы
будем считать возбужденную конфигурацию 
полностью вырожденной.
Аппроксимации ведут к большим упрощениям в
вычислениях. Аналог уравнения (2.16)

,(2.17)
где 
- сумма по всем электронам
одноэлектронных тензоров 
, для которых

.(2.18)
В (2.17) введено сокращение

(2.19)
где 
- радиальная часть соответствующей
одноэлектронной собственной функции. Чтобы получить (2.17), необходимо
разложить матричные элементы в (2.17) при помощи уравнения Рака, произвести
суммирование по 
и затем перейти от RS-связи к
промежуточной. С другой стороны, уравнения (2.15) и (2.17) могут быть получены
из уравнения Эдмондса, если правильно интерпретировать символ 
из этого уравнения.
Уравнение (2.17) прекрасно подходит
для наших целей; тем не менее, могут быть выполнены дальнейшие приближения.
Если мы примем, что 
является инвариантом по отношению к
, 
и 
, и если полное описание основной
конфигурации не содержит электронов с азимутальным квантовым числом 
, то тот факт, что радиальные
функции 
, для всех 
, образуют полную систему, позволяет
нам написать

, (2.20)
и проблема вычисления
межконфигурационных радиальных интегралов исчезает. Так как у редкоземельных
ионов 3d и 4d оболочки заполнены, то этот метод может не сработать для 
; с другой стороны, нет никаких
запретов для электронов с 
, так как в основной конфигурации ни
одна g-орбиталь не занята. Возможное занятие 
-орбиталей мешает нашему приближению
ко всем четырем квантовым числам 
, 
, 
и 
.
Уравнение (2.17) может быть
использовано для упрощения первого произведения в правой части (2.12). Точно
такая же замена может быть сделана и для второго произведения; имея соотношение

(2.21)
две части в большой мере исчезают,
если 1+λ+t
- нечетное.
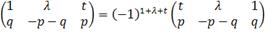
Для того чтобы не обнулилась правая часть (2.17), t должно быть нечетным;
отсюда, условие соблюдено, если λ нечетное. Сокращение будет
полным, если, для данных 
и 
, выражения

, (2.22)

,(2.23)
которые считаются независимыми от 
и 
, могут быть приняты равными друг
другу. Это все равно, что принять, что конфигурации 
находятся намного выше состояний,
участвующих в оптических переходах. Хотя теория может быть развита без этого
предположения, с ним возможно значительное упрощение вычислений. Таким образом,
мы заменяем оба выражения в (2.22) и (2.23) на одно - 
. Уравнение (2.12) может быть
записано в виде

,(2.24)
где

.(2.25)
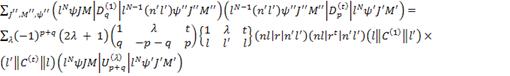
Суммирование в (2.25) ведется по
всем значениям 
и 
, согласующимся с 
, являющейся возбужденной
конфигурацией. В уравнении (2.26) оператор 
связывает состояния 
; матричные элементы, таким образом,
могут быть вычислены с использованием стандартных тензорнооператорных методов.
Чтобы вычислить силу осциллятора
перехода с компоненты, соответствующей 
, на компоненту, соответствующую 
, должны быть оценены радиальные
интегралы и параметры кристаллического поля 
, должны быть выполнены суммирования
в (2.24) и (2.25), и получающийся матричный элемент

(2.26)
должен заменить

(2.27)
в уравнении (2.1).
Расщепления основных уровней редкоземельных
ионов в кристаллах, наблюдаемые [11] или вычисленные [12], редко превышают 250
см-1. Для уровня, где это расщепление получено, отношение вероятностей
заселенности высшей и низшей компонент составляет примерно 0.3 при комнатной
температуре; таким образом, если мы будем считать все компоненты основного
уровня одинаково заселенными, то это не вызовет больших ошибок в расчетах.
Принимая во внимание произвольную ориентацию редкоземельных ионов, уравнение
(2.1) может быть заменено на

,(2.28)
где суммирование ведется по q и всем
компонентам i и fосновного и возбужденного уровней. Используя (2.24), мы видим,
что суммирование по i и f переходит в суммирование по определенным состояниям
типа 
и 
. Нет необходимости в том, чтобы
вводить собственные вектора из уравнений (2.5) и (2.6); мы можем просто взять
состояния 
и 
для компонент основного и
возбужденного уровней, соответственно, и просуммировать по M и 
. Как и ожидалось, все квантовые
числа и индексы, которые зависят от направления в пространстве, исчезли, и мы
получаем следующее выражение

,(2.29)
где 
,(2.30)

. (2.31)
2.2 Связь параметров Джадда-Офельта с
особенностями структуры кристаллов
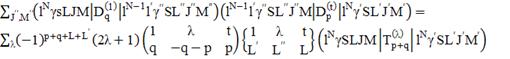
Параметры Джадда-Офельта выражаются следующим
образом [13]

(2.32)
Здесь Atp - параметры
кристаллического поля нечетного порядка, вычисляемые из формулы

(2.33)
где 
- заряд электрона, 
- величина заряда в позиции Ri,
соответствующей окружающим атомам, составляющим кристалл, 
- сферические гармоники.
Параметр Ξ выражается
следующим образом

(2.34)
Здесь 
- разница энергий между
конфигурацией 4fN и возбужденной конфигурацией противоположной четности,
4fN-1nl1. Первые два множителя являются межконфигурационными радиальными
интегралами

(2.35)

(2.36)
Два других множителя представляют
собой редуцированные матричные элементы тензорного оператора 
, который определяет угловую часть
кристаллического поля, и могут быть вычислены квантовых чисел углового момента
конфигураций, соответствующих уравнениям

(2.37)

(2.38)
Наконец, последний множитель - 6j
символ, связанный с преобразованиями между различными схемами связи углового
момента.
Наибольший вклад в подмешивание
волновых функций с противоположной четностью вносят 5d орбитали. Вклад
радиальных интегралов в Ωλ
значительно
увеличивается при увеличении значения λ, т.к. λ принимает
большие значения при большем t (t является показателем степени в радиальных
интегралах [13]). Отсюда, на Ω6 больше всего влияют изменения в радиальных
интегралах, тогда как на Ω2
влияние
оказывают асимметрия локального кристаллического поля и изменения в разности
энергий между 4fN и 4fN-15d1 конфигурациями.
В работах [14] и [15] подробно обсуждается
проблема так называемых сверхчувствительных переходов и зависимости параметра Ω2
от
особенностей локального окружения редкоземельного иона. Основной теорией,
удовлетворительно объясняющей данное явление, является теория неоднородного
диэлектрика[16].Суть данного механизма заключается в следующем. Дипольные
компоненты поля излучения индуцируют совокупность переменных электрических
диполей лигандов, окружающих РЗ ион, которые могут обеспечить смешивание
4f-электронных состояний через электростатическое квадруполь-дипольное
взаимодействие (РЗ ион-лиганд). В нецентросимметричных системах, а также
центросимметричных системах при учете колебаний решетки, это индуцированное
квадруполь-дипольное взаимодействие может значительным образом увеличивать
вероятность электроквадрупольных переходов между энергетическими уровнями 4f
оболочки РЗ иона. При этом наблюдаемые спектральные переходы не являются чисто
квадрупольными, так как в целом процесс взаимодействия излучение-ион, является
дипольным. Вследствие этого сверхчувствительны переходы получили название
"псевдоквадрупольных". Из этой теории следует, что большие значения
параметра Ω2 будут достигаться в
системах с высокой степенью асимметрии ближайшего окружения редкоземельного
иона.
Зависимость Ω2 от
разности энергий между 4fN и 4fN-15d1 конфигурациями Tb3+ исследуется в работе
[17]. Увеличение длины волны 4f-5d полосы поглощения Tb3+ отражает уменьшение
4f-5d-разницы энергий. Это можно приписать увеличению поляризованности лигандов
вокруг иона. Большая поляризованность лигандов дает большее перекрытие между
орбиталями РЗ и лиганда, т.е. большую степень ковалентности между РЗ и
лигандами. Согласно нефелауксетическому эффекту это ведет к расширению частично
заполненной 4f оболочки, уменьшая отталкивание между электронными
конфигурациями РЗ ионов. В результате, разница энергий между 4fN и 4fN-15d1
конфигурациями уменьшается. Соответственно уменьшение 4f-5d разницы энергий
указывает на увеличение ковалентности между РЗ и лигандом. А т.к. согласно
формуле (2.33) параметр Ω2 обратно
пропорционален разности энергий между 4fN и 4fN-15d1 конфигурациями, то
получается, что параметр Ω2 увеличивается
при увеличении ковалентности между РЗ и лигандом.
Зависимость параметров Ω4
и
Ω6
от
ковалентности исследуется в работе [13]. Мессбауэревской спектроскопией 151Eu
подтверждается, что образуются σ-связи
между 2p-орбиталями лигандов и 6s-орбиталями РЗ. В этих связях перекрытие между
заполненными 2p-орбиталями и пустыми 6s-орбиталями ведет к передаче σ-электрона
между лигандом и РЗ. В результате плотность 6s оболочки увеличивается. 6s электроны
экранируют 5d орбитали или отталкивают 5d электроны. Таким образом, увеличение
передачи σ электрона от
лиганда дает уменьшение 5d электронной плотности РЗ и уменьшение Ω6.
Итого,
Ω6
уменьшается
при увеличении ковалентности между лигандом и РЗ.
В работах [14] и [18] сделано предположение, что
параметры Ω4 и Ω6
увеличиваются
при увеличении колебательных амплитуд связей Ln-O. Это предположение приводит к
идее [19], что Ω4 и Ω6
также
будут уменьшаться при увеличении жесткости среды, в которой расположен редкоземельный
ион.
Теперь представляется возможным найти некоторые
теоретические корреляции между параметрами Джадда-Офельта и параметрами
полиэдров Вороного-Дирихле. Наиболее очевидна связь между параметром Ω2
и
параметром G3. Ω2 принимает
большие значения для сред с большой степенью асимметрии окружения
редкоземельного иона, а параметр G3 является мерой сферичности полиэдра
Вороного-Дирихле и, соответственно, будет увеличиваться при увеличении степени
асимметрии окружения РЗ. Следовательно, Ω2 увеличивается
при увеличении G3.
Можно установить некоторую связь между степенью
ковалентности и радиусом сферического домена. Анализ показывает, что при
фиксированной природе атомов Хm-, окружающих атомы Аz+ (m или z равны степени
окисления соответствующих атомов), величина RСД атома А закономерно уменьшается
при увеличении его степени окисления, а при фиксированной степени окисления - с
ростом электроотрицательности атомов Х. Указанное уменьшение RСД атома А можно
трактовать как увеличение степени переноса электронной плотности с валентных
орбиталей атома А на вакантные орбитали электроноакцепторных атомов Х и
соответственное уменьшение степени ковалентности связи А-Х. В [20]упоминается,
что ион редкоземельного металла, расположенный в кристаллической решетке шеелита,
образует восемь связей второго порядка с окружающими его атомами кислорода,
поэтому будет логичным предположение, что увеличение/уменьшение радиуса
сферического домена иона редкоземельного металла будет больше соответствующего
изменения радиуса сферического домена отдельно взятого атома кислорода из его
окружения. Для случая, когда ковалентность связи Ln-O увеличивается
(соответственно, должен увеличиваться Ω2, и
уменьшаться Ω4 и Ω6),
получаются
следующие зависимости: Ω2 пропорционален
Rsd, Rsd-Rsd и обратно пропорционально rs - Rsd, и Ω4
и
Ω6
обратно
пропорциональны Rsd, Rsd-Rsd и пропорциональны rs - Rsd.
В статье [21] говорится об обратной зависимости
параметра Ω2 и длины связи
лантаноид-кислород. Возможна прямая связь между жесткостью связи и площадью грани
Wi,
выраженной в процентах телесного угла, но данное предположение не всегда может
оказываться верным. Для оценки жесткости среды можно использовать набор силовых
констант и данные ИК-спектроскопии. Оценка колебательных амплитуд химических
связей пока не представляется возможной.
Полученные теоретические зависимости могут
оказать большую помощь при оценке значений параметров интенсивности в
зависимости от структурных особенностей матрицы, но следует учитывать возможные
погрешности данного метода, связанные с дефектами кристаллов, погрешностью
вычисления параметров интенсивности и одновременным влиянием разнонаправленных
зависимостей параметров интенсивности от особенностей структуры.
3. Исследование структуры и расчет параметров
Джадда-Офельта для активированных кристаллов
.1 Исследование структуры
шеелитов методом пересекающихся сфер
Методом описанным в главе 1
были рассчитаны характеристики полиэдров Вороного-Дирихле.
Таблица 3.1 - Данные расчетов
основных характеристик полиэдров Вороного-Дирихле
|
SrMoO4
|
|
Центральный
атом
|
CN
|
Rsd
|
CN
n:m:l
|
V
(VDP)
|
V(CP)
|
SПВД
|
G3
|
D(CP)
|
DA
|
|
O1
|
3
|
1.565
|
12:0:7
|
16.045
|
72.290
|
35.306
|
0.085511908
|
0.218
|
0.124
|
|
Sr1
|
8
|
1.524
|
12:0:0
|
14.826
|
45.712
|
34.063
|
0.081263877
|
|
|
|
Mo1
|
4
|
1.262
|
8:0:0
|
8.427
|
14.852
|
26.225
|
0.090671748
|
|
|
|
SrWO4
|
|
Центральный
атом
|
CN
|
Rsd
|
CN
n:m:l
|
VПВД
|
V(CP)
|
SПВД
|
G3
|
D(CP)
|
DA
|
|
O1
|
3
|
1.566
|
12:0:7
|
16.089
|
72.496
|
35.359
|
0.085528366
|
0.231
|
0.124
|
|
Sr1
|
8
|
1.523
|
12:0:0
|
14.791
|
45.752
|
34.057
|
0.081284203
|
|
|
|
W1
|
4
|
1.267
|
8:0:0
|
8.526
|
45.752
|
26.318
|
0.090204336
|
|
|
Интегральным параметром, количественно
характеризующим нецентросимметричность окружения атома комплексообразователя в
структуре кристалла, является величина смещения атома из центра тяжести
собственного полиэдра ВД (DA). Для атомов Sr DA = 0.124 (табл. 1).
В структуре расматриваемых
соединений безразмерный параметр G3, характеризующий степень сферичности
полиэдров ВД атомов Sr (для сферы G3=0.077), изменяется от 0.081263877
до 0.081284203.
Таблица 3.2 - Стереоатомные
характеристики соединения SrWO4
|
Центральный
атом
|
Тип
и число атомов окружения
|
Межатомное
расстояние r,
Å
|
Телесный
угол W, %
|
Абсолютная
величина перекрывания (Å3) двух сфер
с радиусами
|
Тип
перекрывания
|
|
|
|
|
rS´rS
|
rS´ RСД
|
RСД´rS
|
RСД´RСД
|
|
|
1
|
2
|
3
|
4
|
5
|
6
|
7
|
8
|
9
|
|
Структура
SrWO4
|
|
O
|
vW(1)
|
1.779
|
22.46
|
0.0363
|
0.0020
|
1.1253
|
0.7559
|
П3
|
|
vSr
(´1)
|
2.580
|
12.14
|
0.0006
|
0
|
2.0519
|
0.3906
|
П2
|
|
vSr(´1)
|
2.610
|
12.71
|
0
|
0
|
0
|
0.5042
|
П2
|
|
O(´2)
|
2.899
|
7.79
|
0
|
0
|
0
|
0.
2977
|
П1
|
|
O
(´1)
|
3.008
|
6.19
|
0
|
0
|
0
|
0.2109
|
П1
|
|
W
(´1)
|
3.081
|
2.54
|
0
|
0
|
0
|
0.0257
|
П1
|
|
O
(´2) O(1)
O(1) Sr(1)
|
3.107
3.233 3.266 3.873
|
5.30
6.36 3.10 0.14
|
0
0 0 0
|
0
0 0 0
|
0
0 0 0.0190
|
0.2421
0.3025 0.0713 0.0027
|
П1
П1 П1 П1
|
|
Sr
|
vO
(´4)
|
2.580
|
12.14
|
0.0006
|
2.0519
|
0
|
0.3906
|
П2
|
|
vO
(´4)
|
2.610
|
12.71
|
0
|
2.1359
|
0
|
0.5042
|
П2
|
|
O
(´4)
|
3.873
|
0.14
|
0
|
0.0190
|
0
|
0.0027
|
П1
|
|
W
|
vO
(´4)
|
1.779
|
22.46
|
0.0363
|
1.1253
|
0.0020
|
0.7559
|
П3
|
|
O
(´4)
|
3.081
|
2.54
|
0
|
0
|
0
|
0.0257
|
П1
|
Таблица 3.3 - Стереоатомные
характеристики соединения SrMoO4
|
Центральный
атом
|
Тип
и число атомов окружения
|
Межатомное
расстояние r,
Å
|
Телесный
угол W, %
|
Абсолютная
величина перекрывания (Å3) двух сфер
с радиусами
|
Тип
перекрывания
|
|
|
|
|
rS´rS
|
rS´ RСД
|
RСД´rS
|
RСД´RСД
|
|
|
1
|
2
|
3
|
4
|
5
|
6
|
7
|
8
|
9
|
|
Структура
SrMoO4
|
|
O
|
vMO(1)
|
1.767
|
22.62
|
0.0975
|
0.0029
|
1.4779
|
0.7613
|
П3
|
|
vSr
(´1)
|
2.583
|
12.06
|
0.0004
|
0
|
2.0370
|
0.3845
|
П2
|
|
vSr(´1)
|
2.610
|
12.74
|
0
|
0
|
2.1333
|
0.5026
|
П2
|
|
O(´2)
|
2.898
|
7.85
|
0
|
0
|
0
|
0.2928
|
П1
|
|
O
(´1)
|
3.034
|
5.97
|
0
|
0
|
0
|
0.1976
|
П1
|
|
Mo
(´1)
|
3.104
|
2.38
|
0
|
0
|
0
|
0.0237
|
П1
|
|
O
(´2) O(1)
O(1) Sr(1)
|
3.130
3.189 3.266 3.835
|
0
0 0 0
|
0
0 0 0
|
0
0 0 0.0291
|
0.2315
0.3135 0.0646 0.0028
|
П1
П1 П1 П1
|
|
Sr
|
vO
(´4)
|
2.583
|
12.06
|
0.0004
|
2.0270
|
0
|
0.3845
|
П2
|
|
vO
(´4)
|
2.610
|
12.74
|
0
|
2.1333
|
0
|
0.5026
|
П2
|
|
O
(´4)
|
3.835
|
0.20
|
0
|
0.0291
|
0
|
0.0028
|
П1
|
|
Mo
|
vO
(´4)
|
1.767
|
22.62
|
0.0975
|
1.4779
|
0.0029
|
0.7613
|
П3
|
|
O
(´4)
|
3.104
|
2.38
|
0
|
0
|
0
|
0.0237
|
П1
|
Таблица 3.4 - Стереоатомные
характеристики соединений SrWO4 и SrMoO4
|
Состав
|
|
Атом
окружения Х
|
DП (S-Х), Å3
|
m
|
|
SrWO4
|
O
|
vW
|
1.1233
|
0.1974
|
|
|
vSr
|
2.0519
|
|
|
|
|
Сумма:
3.1752
|
|
|
SrMoO4
|
O
|
vMO
|
1.4750
|
0.3518
|
|
|
vSr
|
2.0370
|
|
|
|
vSr
|
2.1333
|
|
|
|
|
Сумма:
5.6453
|
|
Рисунок 3.1 - Кристаллическая
структура SrMoO4
.2 Расчёт параметров Джадда-Офельта
В настоящей работе проведен расчёт параметров
Джадда-Офельта для монокристаллов вольфрамата стронция и свинца, активированных
ионами неодима Nd3+, которые необходимы для установления связи в ряду
состав-структура-свойство. Расчёт параметров интенсивности производился на
основе спектров поглощения, взятых из статей [22]и [25].
Параметры интенсивности, полученные другими
авторами статей [23-26], а так же рассчитанные в рамках данной работы,
приведены в таблице 1.
Таблица 3.5 - Значения параметров интенсивности
ионов неодима в кристаллах вольфраматов стронция и свинца
|
Кристалл
|
Концентрация,
ат.%
|
 ×10-20, см2 ×10-20, см2 ×10-20, см2Источник
|
|
|
|
|
SrWO4:Nd3+
|
0.16
|
18.07
|
4.64
|
6.65
|
[22]*
|
|
0.40
|
12.12
|
4.10
|
5.98
|
[22]*
|
|
1.00
|
14.34
|
2.65
|
5.25
|
[23]
|
|
2.00
|
11.48
|
3.20
|
3.45
|
[23]
|
|
PbWO4:Nd3+
|
1.1
|
11.29
|
2.18
|
5.11
|
[24]
|
|
1.6
|
7.96
|
3.56
|
2.98
|
[25]*
|
|
2.0
|
7.53
|
3.15
|
3.06
|
[25]
|
|
2.5
|
7.13
|
3.35
|
2.69
|
[40]
|
Звездой отмечены литературные источники, на
основе которых производился расчёт параметров интенсивности ионов неодима.
Рисунок 3.2 - Зависимость параметра 
от концентрации ионов неодима в
кристаллах SrWO4
Рисунок 3.3 - Зависимость параметра 
от концентрации ионов неодима в
кристаллах SrWO4
Рисунок 3.4 - Зависимость параметра 
от концентрации ионов неодима в
кристаллах SrWO4
Рисунок 3.5 - Зависимость параметра 
от концентрации ионов неодима в
кристаллах PbWO4
Рисунок 3.6 - Зависимость параметра 
от концентрации ионов неодима в
кристаллах PbWO4
Рисунок 3.7 - Зависимость параметра 
от концентрации ионов неодима в
кристаллах PbWO4
Параметры Джадда-Офельта тесно
связаны с особенностями окружения иона редкоземельного металла в кристалле
[27], поэтому подобные исследования позволяют получить новую информацию о связи
спектроскопических свойств редкоземельных ионов и структурных особенностей
кристаллических сред. В статье [28] указывается, что 
увеличивается при уменьшении
разности энергий между 4fN и 4fN-15d1 конфигурациями. Большая поляризованность
связи дает большее перекрытие между орбиталями примесного иона и лиганда, то
есть большую степень ковалентности между ними. Согласно нефелауксетическому эффекту
это ведет к расширению частично заполненной 4f оболочки, уменьшая отталкивание
между электронными конфигурациями редкоземельных ионов. В результате, разница
энергий между 4fN и 4fN-15d1 конфигурациями уменьшается. Соответственно
уменьшение 4f-5d разницы энергий указывает на увеличение ковалентности между РЗ
и лигандом. Это изменение ковалентности связи редкоземельный ион - лиганд и,
как следствие, перераспределение электронной плотности в исследуемом
концентрационном ряду связано с одновременно возрастающим числом оптических
центров, имеющих симметрию окружения ниже 
. То есть нарушение регулярной
структуры кристаллической решетки, и понижение точечной симметрии ближайшего
окружения примесного иона обусловлено существованием оптических центров Nd3+,
имеющих симметрию окружения ниже 
[27]. Однако на рисунках 1 и 4 при
превышении концентрации активатора в 1 ат.% наблюдается тенденция плавного
уменьшения значения параметра интенсивности 
, а не увеличения, что может
указывать на появление ещё одного процесса - концентрационного тушения.
Совокупное влияние обоих этих факторов и обуславливает наблюдаемую тенденцию
параметра интенсивности 
.
Параметр интенсивности 
, как указывается в статье [29],
более зависит от изменений электронной плотности 4f и 5d орбиталей,
ковалентность на него влияет иначе, чем на 
. Формирующиеся σ связи между
2p-орбиталями лигандаи 6s-орбиталями редкоземельного иона ведет к передаче σ-электрона
между лигандом и примесным ионом. В результате плотность 6s оболочки
возрастает, тем самым6s электроны экранируют 5d орбитали или отталкивают 5d
электроны. Таким образом, увеличение передачи σ электрона от
лиганда дает уменьшение 5d электронной плотности редкоземельного иона и, как
следствие уменьшение 
. Поэтому значение параметра
уменьшается в исследуемом
концентрационном ряду, вследствие увеличениячисла сильных ковалентных связей
между лигандом и редкоземельным ионом, образование которых обусловлено
возрастающим числом оптических центров, имеющих симметрию окружения ниже 
, а так же наличием
концентрационного тушения. Параметр 
изменяется в результате
одновременного влияния указанных факторов, что часто затрудняет установление
причины его изменения.
Кроме теоретической важности, данные зависимости
имеют большую практическую важность. По известным зависимостям оценивать
значения параметров Джадда-Офельта, из которых уже можно рассчитать
интересующие величины. И наоборот, зная, какими свойствами должна обладать
лазерная среда, можно по данной цепочке зависимостей примерно определить
требуемый состав матрицы.
Заключение
Одним из современных методов развития
кристаллохимического изучения свойств кристаллов является стереоатомный анализ,
использующий данные рентгеноструктурного анализа и базирующийся на свойствах
полиэдров Вороного-Дирихле. В сочетании с другими методами исследований он еще
в большей мере позволяет ускорить и сделать экономически выгодными исследования
по обнаружению соединений, обладающих необходимыми физическими свойствами.
Предложенный для оценки КЧ
метод:
а) пригоден для соединений
любого состава и строения, включая простые вещества;
б) дает возможность на
основании одних кристаллоструктурных данных делать достаточно обоснованные
заключения о наличии сильных химических связей между атомами без привлечения
каких-либо кристаллохимических радиусов; в) позволяет получать однозначные
результаты о КЧ атомов, не зависящие от каких-либо априорных или субъективных
оценок и допущений.
По методу Джадда-Офельта из спектров
поглощения кристаллов SrWO4 и PbWO4, активированных ионами Nd3+, с
соответствующими атомными концентрациями 0.16, 0.40 ат.% и 1.6 ат.% определены
параметры интенсивности ионов. В кристаллах SrWO4 с концентрациями примеси
0.16, 0.40 ат.% параметры интенсивности неодима имеютзначения: 
, 
, 
и
, 
, 
(×10-20 см2)
соответственно. В кристалле PbWO4: Nd3+с концентрацией 1.6 ат. %:
, 
, 
(×10-20 см2).
Сделано предположение, что изменение
параметров интенсивности 
ионов неодима в исследуемых
концентрационных рядах кристаллов вольфраматов стронция и свинца вызвано двумя
сопутствующими процессами - увеличением силы ковалентности связи редкоземельный
ион-лиганд, которое обусловлено увеличением количеством дефектов при увеличении
концентрации неодима, а так же появлении концентрационного тушения при
превышении концентрации активатора в 1 ат.%.
Список использованных
источников
1.
Inorganic crystal structure database. Gmelin-Institut fur Anorganische Chemie
& FIC Karlsruhe. 2001.
.
Cambridge structural database system. Version 5.22. Cambridge Crystallographic
Data Centre. 2001.
3.
Protein data bank. Release #98. Research Collaboratory for Structural
Bioinformatics. 2001.
.
Конвей Дж. Упаковки шаров, решетки и группы Т. 1, 2. / Дж. Конвей, Н. Слоэн. -
М.: Мир, 1990. - 415 с.
.
Сережкин В.Н. Кристаллохимические радиусы и координационные числа атомов / В.Н
Сережкин, Д.В. Пушкин. - Самара: Изд-во "Самарский университет",
2004. - 64 c.
.
Ландсберг Г.С. Новое явление рассеяния света / Г.С. Лансберг, Л.И. Мандельштам
// Журнал Русского Физико-химического общества. - 1928. - №60. - С. 335-353.
7.
Raman S.V. A new type of secondary emission / С.V.
Raman, К.S.
Krishnan // Nature. - 1928. - Vol. 3048. - №121. - P.
501-502.
.
Плачек Г. Релеевское рассеяние и Раман-эффект / Г. Плачек. - Пер. с нем.
Харьков-Киев: Гостехиздат Украины, 1935. - 173 с.
9.
Woodbury E.J. Ruby laser operation in the near ir / Е.J.
Woodbury, W.К. Ng // Proceedings
of the IRE. - 1962. - Vol. 50. - P. 2367-2374.
.
Hellwarth R.W. Theory of stimulated Raman scattering // R.W. Hellwarth // Phys.
Rev. - 1963. - Vol. 130. - P. 1850-1852.
.
Garmire E. Coherently driven molecular vibrations and light modulation / E.
Garmire, E. Pandarese, С.H.
Townes // Phys. Rev. Lett. - 1963. - Vol. 11. - №4. - P. 160-163.
.
Bloembergen N. Coupling between vibrations and light waves in Raman laser media
/ N. Bloembergen, Y. R. Shen // Phys. Rev. Lett. - 1964. -
Vol. 12. - P. 504-507.
.
Луговой В.Н. Введение в теорию вынужденного комбинационного рассеяния / В.Н.
Луговой. - М.: Наука, 1968. - 230 с.
.
Сущинский М.М. Вынужденное комбинационное рассеяние света / М.М. Сущинский. -
М.: Наука, 1985. - 173 c.
.
Зубов В.А. Стимулированное комбинационное рассеяние света / В.А. Зубов, М.М.
Сущинский, И.К. Шувалов // Успехи Физических Наук. - 1964. - Т. 83. - C.
197-222.
16.
Raman spectroscopy of crystals for stimulated Raman scattering / Т.Т.
Basiev, A.A Sobol, P.G. Zverev et al // Optical Materials. - 1999. - Vol. 11. -
P. 307-314.
.
Physical, chemical and optical properties of barium nitrate Raman crystal /
P.G. Zverev, T.T. Basiev, V.V. Osiko et al // Optical Materials. - 1999. - Vol.
11. - P. 315-334.
.
Zverev P.G. Stimulated Raman scattering of laser radiation in Raman crystals /
P.G. Zverev, T.T. Basiev, and A. M. Prokhorov // Optical Materials. - 1999. -
Vol. 11. - P. 335-352.
19.
Басиев T.T Новые материалы для ВКР лазеров / Т.Т. Басиев, В.В. Осико // Успехи
химии. - 2006. - Т. 75. - №10. - C. 939-955.
.
Бломберген Н. Нелинейная оптика / H. Бломберген - Пер. с англ. М.: Мир, 1966. -
424 с.
21.
Lasing properties of selectively pumped Raman-active Nd3+-doped molybdate and
tungstate crystals / T.T. Basiev, M.E. Doroshenko, L.I. Ivleva et al // Quantum
Electronics. - 2006. - Vol. 36. №8. - P. 720-726.
.
Зверев П.Г. ВКР активные кристаллы и разработка ВКР преобразователей на их
основе: дис. д-р. физ.-мат. наук: 01.04.21 / П.Г. Зверев; Институт
спектроскопии РАН. - Троицк, 2013. - 328 с.
.
Параметры интенсивности ионов неодима в кристаллах вольфраматов стронция / В.А.
Исаев, А.В. Скачедуб, В.А. Клименко и др. // Экологический вестник научных
центров Черноморского экономического сотрудничества. - 2013. - Т. 1. - С.
32-41.
24.
Effect of annealing treatment on spectroscopic properties of a Nd3+-doped PbWO4
single crystal / Y. Chen, Y. Lin, Z. Luo et al // J. Opt. Soc. Am. B. - 2005. -
Vol. 22. -№4. -P. 898-904.
.
Growth and spectra properties of Nd3+-doped PbWO4 single crystal / Y. Huang, X.
Feng, Z. Xu et al // Solid State Communications. - 2003. - Vol. 127. - P. 1-5.
.
Properties of Nd3+-doped and undoped tetragonal PbWO4, NaY(WO4)2, CaWO4, and
undoped monoclinic ZnWO4 and CdWO4 as laser-active and stimulated Raman
scattering-active crystals / A.A. Kaminskii, H.J. Eichler, K. Ueda et al //
Applied Optics. - 1999. - Vol. 38. - №21. - P.
4533-4547.
.
Скачедуб А.В. Параметры интенсивности ионов эрбия в кристаллах вольфрамата
свинца / А.В. Скачедуб, В.А. Клименко // Научный журнал КубГАУ. - 2013. - Т. 5.
- №89. - С.
1-18.
.
Ebendorff - HeidepriemH. Tb3+ f-d absorption as indicator of the effect of
covalency on the Judd - Ofelt Ω2
parameter in glasses / H. Ebendorff - Heidepriem, D. Ehrt // Journal of Non -
Crystalline Solids. - 1999. - Vol. 248. - P. 247-252.
.
Effect of glass composition on Judd - Ofelt parameters and radiative decay
rates of Er3+ in fluoride phosphate and phosphate glasses / H. Ebendorff -
Heidepriem, D. Ehrt, M. Bettinelli et al // Journal of Non - Crystalline Solids.
- 1998. - Vol. 240. - P. 66-78.
.
Judd B.R. Optical absorption intensities of rare - earth ions / B.R. Judd //
Phys. Rev. - 1961. - Vol. 127. - P. 750-762.
.
Ofelt G.S. Intensities of crystal spectra of rare-earth ions / G.S. Ofelt // J.
Chem. Phys.
- 1962. - Vol. 37. - P. 511-519.
.
Бейдер Р. Атомы в молекулах. Квантовая теория. М.: Мир, 2001. 532 c
.
Скачедуб А.В. Параметры интенсивности ионов эрбия в кристаллах вольфрамата
свинца // А.В. Скачедуб, В.А. Клименко // Научный журнал КубГАУ. - 2013. - Т.
5. - №89. - С. 1-18.
.
Кондон Е. Теория атомных спектров. / Е. Кондон, Г. Шортли. - М.: Издательство
иностранной литературы, 1949. - 438 с.
.
Сережкин В.Н., Пушкин Д.В. Кристаллохимические радиусы и координационные числа
атомов: Учебное пособие. - Самара: Изд-во "Самарский университет",
2004. - 64 c.
.
Воронина И.С., Ивлева Л.И., Полозков Н.М., Зверев П.Г., Басиев Т.Т. Рост и
свойства монокристаллов BaW04:Nd3+. // Труды V Международной конференции
"Кристаллы: рост, свойства, реальная структура, применение", г.
Александров. - 2001. - т. 2. - с. 333-336.
.
Ивлева Л.И., Воронов В.В., Воронина И.С. Особенности кристаллизации и реальная
структура объемно-профилированных оксидных монокристаллов. // Известия Академии
Наук, серия физическая.- 2004.- том 68, - №6. - с. 834-838.
.
Андриенко О.С., Евтушенко Г.С., Суханов В.Б. Экспериментальное исследование
влияния добавок HBr на генерационные характеристики CuBr лазера // Квантовая
электроника. 2004. Т. 34. №7. С. 1-5.
.
Параметры интенсивности ионов неодима в кристаллах вольфраматов стронция / В.А.
Исаев, А.В. Скачедуб, В.А. Клименко и др. // Экологический вестник научных
центров Черноморского экономического сотрудничества. - 2013. - Т. 1. - С.
32-41.
.
Блатов В.А., Сережкин В.Н. // Кристаллография. 1995. Т.40. №2. C. 302.