Застосування мережевого підходу у вивченні міграційних потоків

  • Вид работы:
    Реферат
  • Предмет:
    Социология
  • Язык:
    Украинский
    ,
    Формат файла:
    MS Word
    383,25 Кб
  • Опубликовано:
    2015-04-28
Вы можете узнать стоимость помощи в написании студенческой работы.
Помощь в написании работы, которую точно примут!

Застосування мережевого підходу у вивченні міграційних потоків

ЗАСТОСУВАННЯ МЕРЕЖЕВОГО ПІДХОДУ У ВИВЧЕННІ МІГРАЦІЙНИХ ПОТОКІВ

Зміст

Вступ

1. Витоки методу мережевого аналізу в соціології

2. Теоретичні постулати мереженого аналізу

3. Мережеві підходи в рамках досліджень груп

4. Деякі тенденції розвитку сучасних мережевих досліджень

5. Теорія соціальних мереж міграційних потоків

Висновки

Список використаної літератури

Вступ

Міграція населення зумовлена економічними, політичними, етнічними та релігійними чинниками. Протягом усієї історії людства вона відігравала визначну роль у суспільному розвитку. З одного боку, масштаби та напрями міграційних процесів певною мірою свідчать про стан соціального та економічного розвитку країни. З іншого боку, процес міграції сам значною мірою впливає на розвиток країни. За різними оцінками експертів, поза межами України на сьогоднішній день знаходиться від 2,5 до 5 млн. осіб працездатного віку.

Аналіз останніх досліджень. Проблеми міграції населення України одержали висвітлення в дослідженнях таких вітчизняних науковців як С.І. Бандур, О.Л. Бугрова, О.М. Гладун, І. Гнибіденко, В. Джаман, М. Долішній,А. Доценко, А. Загробська, Л. Запорожан, Е. Кальмуцька, Е. Лібанова, О. Маліновська, С. Мельник, В. Онікієнко, О. Позняк, М. Романюк, С. Чехович, Т. Царик, О. Хомора та інші.

Метою дослідженняє аналіз мотивації населення України до зовнішньоїтрудової міграції та визначення наслідків трудової міграції.

Для ринку праці України на сучасному етапі розвиткухарактерними особливостями залишаються: згортання сфери прикладання праці; низький рівень заробітної плати в державному секторі економіки; високий рівень безробіття, особливо прихованого; низька ефективність державної політикищодо підтримки самозайнятості та малого підприємництва; а також природно-економічні,політичні та інші чинники, котрі не дозволяють повним обсягом створювати сприятливі умови щодо залучення інвестицій для працевлаштування в праценадлишкових регіонах. За таких умов активізувалися процеси трудової міграції, зокрема міждержавної.

1. Витоки методу мережевого аналізу в соціології

Сучасна соціологія являє собою складну систему ідей, гіпотез, концепцій, теорій та методів досліджень. Поряд з цим, у сучасних соціологічних парадигмах активно використовуються ідеї і принципи класичної соціології, які, фактично, виконують роль банку ідей. Однією з таких спроб переосмислення дотеперішнього наукового досвіду, вкорінених у класичних соціологічних текстах та теоріях є мережевий аналіз.

В силу безальтернативності марксистського трактування соціальної реальності, вивченню соціальних мереж на пострадянському просторі до недавнього часу не приділялося належної уваги. Категоріальний апарат мережевого аналізу, специфічні методи прикладних досліджень (включаючи комп’ютерне програмне забезпечення), і, щонайголовніше, величезний досвід мережевого аналізу, який з успіхом використовувався у корекції соціального управління, для нас досі залишається незнайомим. Сьогодні з’являються лише поодинокі дослідження соціальних мереж у контексті трансформації інституту блату, взаємної соціальної підтримки домогосподарств, дослідження феномену подарунків у якості інвестиції в соціальну мережу чи розвідки щодо методів дослідження соціальних мереж. Серед небагатьох грунтовних досліджень мережевої теорії на пострадянському просторі можна назвати роботи російських дослідників Г. В. Градосельскої та В. В. Радаєва, які аналізують соціальні мережі у контексті економічної соціології.

Між тим, у західній соціології мережевий підхід використовується у надзвичайно широкому спектрі досліджень. Феномен соціального капіталу, зв’язки між корпораціями та неурядовими організаціями, здатність до самоорганізації у межах локальних спільнот, організована злочинність та трудова міграція, етнічне підприємництво та доступ до ресурсів, гендерні соціальні мережі та здоров’я, комп’ютерні мережі та світова економічна система - це лише побіжний перелік тем, які аналізуються із застосуванням мережевої теорії. Окрім того, в силу відсутності строгої спеціалізації у західних суспільних науках концепт соціальних мереж фігурує у широкому спектрі наукових дисциплін від соціальної антропології до психології. Ряд напрацювань із цих дисциплін був запозичений соціологічним напрямком аналізу соціальних мереж. Так, спрямованість на дослідження стійких паттернів соціальної взаємодії, очевидно, була запозичена мережевими аналітиками із соціальної антропології; на рівні аналізу кластерів соціальної мережі та у процесі візуалізації соціальних мереж активно використовуються соціометричні методики; основними ж методами, аналізу соціальних мереж є математична теорія графів, призначена для вивчення структурних взаємозв’язків між акторами.

Піонерами у розвитку методології сучасного мережевого аналізу стали антропологи, яким важливо було зафіксувати відмінності в структурах невеликих і традиційних суспільств і виробити методи їх емпіричного дослідження. А.Р. Радий-Кліфф-Браун першим використовував термінологію мережевих досліджень і закликав розглядати суспільну структуру як мережу соціальних відносин (коротко - циклічний структурний аналіз) [35]. Особливу популярність вчені цього напрямку отримали завдяки дослідженням структури спорідненості Е. Бот в Англії в 1950 -х та досліджень урбанізації в 1950- 1960 -х рр. в Манчестерському університеті, здійсненим на чолі з М. Глубманом і пізніше Дж.К. Мітчелом. Ця група антропологів вивчала мережі громад в південній Африці, Індії та Великобританії. Послідовник Радкліфф-Брауна С. Найдел провів чітке розділення між структурою і функцією, важливе для розуміння принципів сучасного мережевого аналізу. "Ми визначаємо структуру суспільства через конкретну популяцію, поведінкові зразки та мережі (або системи) відносин, одержувані акторами через виконання їх спільних і взаємоорієнтованих ролей" [32, с. 12]. Він закликав вивчати соціальні структури через конфігурацію інтерактивних взаємин між акторами, а не просто статистичний розподіл акторів на ту чи іншу роль.

Логіка побудови соціальних груп, їх взаємодія між собою і відносини всередині себе, опис їх структурних властивостей та ефектів і послужило надалі основним напрямком концептуалізації мережевого аналізу. Вирішальним для його формування стало застосування математичних методів з області лінійної і дискретної математики - теорії матриць і графів. Заслуга їх першої розробки належить засновнику соціометрії Дж. Морено (1892-1974), який у другій третині XX століття запропонував використувати соціограму при описі елементарних соціальних відносин. Морено вивчав процеси соціального тяжіння і відштовхування між членами груп і розробляв процедури їх вимірювання. В одному з його експериментів ставилося завдання розмістити вихованок дитячого будинку для дівчаток в окремих котеджах так, щоб у загальному котеджі знаходилися тільки ті з них, хто симпатизував один одному, і не допускалося проживання разом дівчаток, що зазнають один до одного неприязнь. Випробовуваних запитували, хто їм подобається і з ким разом вони хотіли б трудитися або проводити вільний час. Результати були представлені у вигляді ряду матриць, де кожному члену групи виставлялася оцінка іншими членами групи. Далі підраховувалися індивідуальні та групові індекси, будувалися соціограма у вигляді графів, на яких членам груп приписувалися певні позиції, а вибори (як позитивні, так і негативні) вказувалися стрілками. Так відображалася "структура" переваг у групі. Морено назвав її структурою притягань (зображується суцільними лініями) і відштовхувань (пунктирні лінії).

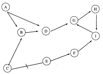
На рис. 2.1 наведено приклад соціограми Морено, яка відображає структуру знайомств між дітьми. Стрілками позначені існуючі відносини знайомства, або, відповідно, можливі шляхи розповсюдження інформації від однієї дитини до іншої. Діти - вузли мережі - вважаються досяжними один для одного, якщо вони з'єднані прямим або покроковим шляхом. Довжина шляху, по який проходить інформація від однієї дитини до іншої, вимірюється мінімальною кількістю кроків, необхідним для їх з'єднання. Це визначає близькість вузлів. А може зв'язатися з D безпосередньо, а може через В. Вузли можуть бути краще або гірше з'єднані з іншими, що визначає їх місце в соціальній мережі. У нашому прикладі найкращі позиції мають вузли В, D, G: кожен з них може отримувати інформацію від 3 -х інших вузлів.

 

Рис. 1. Соціограма знайомств дітей між собою

Зображення мережі у вигляді графів погано підходило для цілей операціоналізації. З графами складно було працювати, оскільки вони могли створюватися і перемальовуватись тільки вручну, з неминучими помилками. Але ті ж самі відносини можна виразити в табличному вигляді (див. табл. 2.1). Одиниця в такому випадку позначає наявність відношення, нуль - його відсутність. Такий вираз параметрів мережі відкрив шлях до математичних операцій з масивами даних. Так були отримані важливі концептуальні складові сучасного мережевого аналізу: карти відносин між вузлами (в термінах теорії графів - матриці суміжностей), а також візуалізація в просторі цих карт (що, власне, і є побудовою графа) .

Таблиця 1

Матричне відображення соціограми, яка  представлена на рисунку 1

 

A

B

C

D

E

F

G

H

I

A

 

1

0

1

0

0

0

0

0

B

1

 

1

1

0

0

0

0

0

C

0

1

 

0

0

0

1

0

0

D

1

1

0

 

0

0

0

0

E

0

0

0

0

 

1

0

0

0

F

0

0

0

0

1

 

0

1

0

G

0

0

1

1

0

0

 

1

1

H

0

0

0

0

0

1

1

 

1

I

0

0

0

0

0

0

1

1

 

 

. Теоретичні постулати мереженого аналізу

соціологія міграція мережевий

В епоху становлення мережевого аналізу обговорювалися питання про те, що вважати елементарною одиницею мережі, її вузлом, і як трактувати відносини між вузлами. Згідно Ч. з Кадушіним, "мережа містить набір об'єктів (у математичній термінології, вузлів) і карту або опис відносин між об'єктами або вузлами" [22, с.4]. Вузлами можуть бути об'єкти, сукупності об'єктів, перетини об'єктів. У соціальній теорії ними можуть бути індивіди, групи індивідів, створені ними соціальні установи. Мережа створює формуючі між цими об'єктами зв'язку, інакше б будь-який список об'єктів був мережею .

У мережевих дослідженнях виділяється кілька ключових характеристик зв'язків, що створюють формат мережі (Лазарсфельд). По-перше, це дискретність: вузли повинні відділятися один від одного, щоб мати можливість бути пов'язаними. По-друге, це подібність: вузли повинні бути подібні в ключових характеристиках, підходити один до одного, щоб утворювати зв'язок. По-третє, це близькість: вузли повинні бути локалізовані один по відношенню до одного, тобто співвідноситися просторово, географічно, співставлятися у часі. Ідеальні об'єкти можуть бути мережевими, якщо їх буття локалізовано в просторово-часових координатах. По-четверте, особливістю мережевих зв'язків є взаємність. Між групами елементів мережі відбувається обмін, при цьому суттєвим є асиметричний характер взаємодій.

Чи достатньо наявності відносин між двома вузлами, щоб виникла мережа? Зрозуміло, що не будь-яка діада (сукупність двох вузлів) включена в мережу. Навіть якщо як мережі розглядається бінарне утворення, це має на увазі ставлення до присутнього третього. Сукупність елементів стає мережею, коли її учасників об'єднують взаємні зобов'язання, почуття, уявлення, які обумовлюють їх взаємодію. Цей комплекс не присутній сам по собі в структурі з двох елементів, але діє як третій, додатковий елемент; в термінах Т. Огдена, створює "аналітичне третє". Огден міркує про третій елемент як про соціальний рамку, яка інтенсифікує обох членів діади [33, с.3-19].

Елементарною мережею, яка формує відносини, характерні для мережі, на думку класиків мережевого аналізу, є все ж сукупність трьох вузлів. Ф. Хай-дер, один із засновників гештальт-психології, розробив концепцію "балансу". Наявність третього елемента вносить новий зміст у стосунки двох і здатний зруйнувати баланс в мережі, якщо ставлення до третього запису нерівнозначне. "У випадку з трьома одиницями, - формулює Хайдер, - стан рівноваги існує, якщо всі три відносини позитивні у всіх відносинах, або два з них негативні, а один позитивний" [20, с.107-112].

У своїх РОХ-моделях ( рис. 2.2) Хайдер показує, що індивід Р заради стабільності своїх відносин з О повинен збалансувати своє сприйняття об'єкта X із сприйняттям цього об'єкта з точки зору О. Якщо це сприйняття різне, Р здатний вирішити цю проблему двома шляхами: (1) змінити своє ставлення до X або (2) трансформувати ставлення до О. Як стверджує Хайдер, має місце тенденція до встановлення рівноваги. "Якщо не досягнуто рівноважний стан, виникають зусилля до його досягнення... Якщо зміни неможливі, стан дисбалансу породжуватиме напругу" [20, с. 111]. У самій тріаді існує 16 можливих конфігурацій, і досягнення рівноваги в елементарних комірках стає елементом життя будь-якої мережі [38, с.45].

Рис. 2. Динаміка когнітивного балансу, (а) - незбалансовані відношення; (b), (с) - збалансовані відношення

Тріади Хайдера стали одним з перших застосувань теорії лінійних графів до мережевих досліджень. Пізніше Картрайт, Норман і Харарі використовували логіку орієнтованих графів для дослідження балансу в групах, що складаються більш ніж з трьох індивідів. "Знак" почуттів вони передавали типом ліній: пунктирною (-) і суцільною (+). Можна прорахувати такий баланс різних циклів графа (рис. 2.3), наприклад, в комплексах ABCD , ABCDEFGH, HDFG, DEF і т.д. [1, с. 24]. "Граф (або його підструктура) є збалансованим тоді і тільки тоді, коли його частини з'єднуються однаковими (тільки позитивними або тільки негативними ) зв'язками" [18, с.113].

Бейвлас, а потім Левітт в ході групових експериментів відзначили, що різні моделі комунікації по-різному впливають на виконання завдань учасниками груп. Мережева структура відображала поділ груп на підгрупи, в яких повідомлення могли передаватися тільки в певних напрямках і через певні позиції. Ці структури отримали назви: "колесо", "ланцюг", "ігрек", "штурвал" (рис. 4). У дослідженні Бейвласа [3, с. 16-30] вперше згадується централь. Коли комунікації здійснювалися через центральну позицію, відбувається більш якісне та швидке виконання завдань. Централь визначає найважливіше місце в позиціонуванні мережевих відносин. "Де центральність і отже, незалежність розподілена рівномірно, там немає лідерів, виникає багато помилок, висока активність, повільна організація і висока задоволеність" [27, с. 38-50].

Рис. 3. Орієнтований граф з вісьмома вершинами

Рис. 4. Типи комунікацій в експериментальних групах (Круг, Ланцюг, Ігрек, Штурвал)

Цей напрямок визначило дослідження одного з найважливіших аспектів мережевої теорії - позиціонування. Йдеться про розташування елементів у просторі. Віддаленість одного вузла від іншого, способи досягнення один одного і необхідний для подолання відстаней час, ті маршрути, якими відбувається розподіл інформації в мережі - все це просторові чинники, якими визначаються мережеві властивості соціальних структур. Характеристики мережі задаються відстанями між вузлами. Наприклад , у дослідженні Пуліна і Бойлі про поширення СНІДу мережева природа інфекційних епідемій дозволила змоделювати маршрути розширення ареалу інфекційних заражень і масштаби небезпеки у разі великих епідеміологічних катастроф [34, с. 187]. Мережевим ефектам у поширенні масових хвилювань та істерій присвятили роботи Р. Коллінс , Дж. Крейн, Г. Ротелло та ін. [9, 36].

Позиціонування не вичерпується просторовою відстанню. Всяка позиція індивіда в мережі визначається її відносинами до інших позицій. Ключовим буде питома кількість зв'язків, доступних з однієї позиції і недоступних з іншої. Здатність вибирати і бути обраним з боку множини інших акторів визначає позицію стратегічного брокера. Термін "ступінь" застосовують для характеристики кількості вузлів, з якими даний вузол пов'язаний. Кількість вузлів, що звертаються до вузла, називається in - degree , кількість тих , до яких звертається вузол - out-degree. Цей показник визначає цінність вузла і, відповідно, популярність актора в соціальному колі.

Мікросоціологічні дослідження мереж виходять з розмаху соціальних груп, які задаються інтерперсональними відносинами. Мілграм назвав це дослідженням "малих світів". У термінології часто застосовується термін "сусідство", щоб позначити персоналізований зміст цих відносин. Коло, з яким актор має безпосередній контакт, отримав назву "зони першого порядку" [29, с. 1]. Цю зону ілюструє образ села, де "кожен знає кожного". "Зона другого порядку" позначає коло, яке може бути досяжним за допомогою знайомства з членами зони першого порядку. У соціумі, яке охоплене мережами, можна досягти будь-якого вузла за допомогою ланцюжка зв'язків. На початку 1960-х років Пул і Коченов показали, що перетинання персональних мереж дозволяє в принципі охопити все населення США, тобто будь-якому громадянину цієї країни в принципі можна в два-три кроки знайти контакт з будь-яким іншим її громадянином. Ст. Мілграм в експериментах зі студентами виявив, що реально соціальні контакти вимагають подолання 5-6 зон, визначивши цю межу "шістьма ступенями досяжності" [28]. Експеримент полягав у тому, що досліджуваний повинен був знайти в чужому місті невідоме йому обличчя  знаючи тільки його ім'я. Пошук здійснювався за принципом ланцюжка: через вихід на персону, знайому з шуканою людиною. Величина відстані в чому визначалася бар'єрами у відносинах між класами, тендерами, статями. Виявилося, що сила впливу інформації при переході від однієї зони до іншої загасає по експоненті.

Важливою характеристикою мереж є їх щільність і здатність ділитися на кластери. Дослідження Воттса і Строгатца підтвердили, що великі пов'язані мережі відрізняє не щільність, а висока кластеризація, як це властиве дружбі, взаємній виробничій співпраці, соціальним групам [39, с. 440-442]. "Сила слабких зв'язків " (так назвав свою статтю М. Грановетер) - назва, яка отримала не меншу популярність, ніж метафора "малого світу", введена С. Міліграмом в 1967 р. Концепція слабких зв'язків описує природу відносин між вузлами виходячи з наслідків для всієї мережі. «Знайомство (слабкі зв'язки) - це протилежність глибокої соціальної залученості, наприклад у випадку близької дружби. Подібна сукупність знайомств створює мережу з низькою щільністю, в якій багато хто зі зв'язків відсутні .... Кожен бажає мати коло близьких друзів, більшість з яких тісно пов'язані один з одним, - тісний "клубок" соціальної структури. Але кожен також бажає мати коло знайомих, в якому лише деякі знайомі один з одним. Кожен з цих знайомих, однак, має близьких друзів і включений в тісний пов'язаний клубок соціальної структури, відмінний від того, який має індивід. Ці клубки не були б пов'язані один з одним взагалі, якби не існувало слабких зв'язків» [16, с. 481]. Слабкі зв'язку полегшують рух інформації між віддаленими частинами мережі. Якби в соціальній системі не було слабких зв'язків, соціум залишався би фрагментованим і дезінтегрованим. Нові ідеї поширювалися б повільно, відкриття б заглушалися, соціальні групи жорстко б розділялися: расово, етнічно, географічно. У дослідженні Грановетера виявлялися шляхи переходу інформації про вільну вакансію. Якщо робота була не потрібна актору, ця інформація завдяки слабким зв'язкам швидко переміщалася далі. У той же час, якщо передача інформації могла приносити інформатору збитки або загрожувала його вигоді, лише сильні зв'язки були здатні надати їй рух.

Не слід забувати, що соціологія не є соціографія, що її роль як науки полягає не тільки в описі, але й у поясненні соціальних зв'язків. Мережевий аналіз розвивався як відповідь на нагальні питання вчених у конкретних предметних дослідженнях. Найчастіше це було результатом усвідомленого відкидання домінуючих підходів, таких як структурний аналіз або функціоналізм. Прихильники мережевого аналізу відкидали властивий структурному функціоналізму принцип нормативно-ціннісної зумовленості поведінки особистості. Вони закликали вивчати об'єктивно спостережувані форми поведінки, що спираються на соціальну комунікацію, і вже виходячи з опису морфологічних характеристик соціальних структур, що виражають щільність, інтенсивність, координацію соціальних зв'язків, робити висновки про норми людської поведінки.

Мережевий аналіз здатний включати в область свого вивчення як мережу, легалізовану культурою і соціальною системою, так і мережі, створювані людьми в процесі функціонування "неформальної" системи. При цьому передбачається, що в соціальних відносинах все доступно домовленостям. Завдяки цьому мережевий підхід дозволяє досліджувати неформальні структури. Формальна система доповнюється "неформальною". Оскільки неформальні структури "вбудовані" в формальні [17, с. 105-130], формальна система завжди "береться у розрахунок" і корелює з "неформальною". Американські антропологи Хедланд і Пайк розрізняють емічні норми, як вони бачаться зсередини системи, і етичні, як вони сприймаються ззовні, наприклад, дослідниками [19]. Неформальні ролі можуть не сприйматися і не бути описуваними самими учасниками, а лише виявлятися в результаті спостереження. Вони не такі стабільні, як приписувані ролі. Якщо останні достатньо "зайняти", користуючись існуючою інституційною підтримкою, то перші потрібно постійно "вибудовувати". При цьому зв'язку, як правило, не мають міцного характеру, виявляються мобільними. Взаємодія між формальними осередками і спостережуваними неформальними кластерами - предмет мережевого аналізу. Неформальні групи можуть покращувати оборот інформації в організації, діяти незалежно і можуть блокувати її мети. Цей аналіз - складова частина вивчення сегментації та групування мереж .

 

3. Мережеві підходи в рамках досліджень груп


Вихідним терміном в цих дослідженнях стало поняття "первинної групи", введене Ч. Кулі: " Під первинною групою я розумію асоціацію і кооперацію, що характеризується інтимними стосунками обличчя до обличчя... Результат інтимної асоціації, психологічно, полягає у певному злитті індивідуальностей в загальне ціле, так що самість кожного, щонайменше, по відношенню до багатьох цілям, - це загальна життя і мета групи" [10]. Хоча члени первинної групи ідентифікують себе з нею, її виділення зазвичай здійснюється шляхом зовнішнього аналізу. Сегментація, дослідження щільності і згуртованості, побудова блоків, виявлення подібностей - лише деякі з завдань мережевого аналізу груп. Д. Кноке виділяє найбільш поширені типи підгруп: кліка, соціальне коло, спільна позиція [24 с. 31]. Перед нами кліка, коли актори об'єднані за допомогою інтенсивних взаємних зв'язків (А, В, D або G, Н, I на рис. 2.1, які взаємопов'язані найкоротшими шляхами, рівними одному кроку), такі типи підгруп рідко зустрічаються в реальних соціальних системах. Ми маємо соціальне коло, коли зв'язку сукупно притаманні кільком акторам (підгрупа BDG на рис. 2.1, або 1 2 3 4 на рис. 2.5, де виникає максимальна кількість можливих зв'язків). Нарешті, загальна позиція утворюється структурно еквівалентними акторами, при цьому актори вважаються такими, якщо в даній системі вони мають однакові взаємовідносини з іншими акторами ( на рис. 2.1 це А, I; також структурно еквівалентні актори С і Е, так як у них є єдина взаємний зв'язок ).

 

Рис. 5. Приклад зображення групи з ядром і периферією

Виділяються також різні типи структурованості груп. Найбільш простою є ієрархічна, побудована за принципом транзитивності: якщо А більш високого рангу, ніж В, а В вище, ніж С, то А вище С. Ця побудова спирається на принцип центральності і виконується, коли позиції або групи не накладаються одна на одну (не можна бути одночасно членом двох кластерів) [14, с. 152]. Інший тип, описаний Уайтом, - побудови " блоків" згідно структурної еквівалентності одних груп/позицій - іншим [40, с. 305]. У мережі об'єднуються позиційно подібні один одному вузли. Тут визначення виходить з відношення не до внутрішніх, а до зовнішніх зв'язків .

Богатті і Еверет виділили на цій підставі базову модель "ядра - периферії". Приклад її наведено на рис. 5 [3, с. 375]. З матричного відображення цієї мережі (табл. 2) видно, що блоки матриці симетричні. Якщо матрицю розділити по межі, наявності зв'язків, то вузли 1-4 можна назвати" блоком А", вузли 5-10 - "блоком Б". Можна скласти матрицю її блоків (табл. 2.3). У ній вузли В мають відношення до вузлів А, і ніхто з В не відноситься один до одного. Модель ядра-еліти говорить про те, що, хоча ядро і периферія мають взаємні відносини, в основному вони диктуються ядром. Периферія поступається тому, що не має відношення до самої себе. На цій основі були проведені цікаві дослідження національних та місцевих еліт [25], розподілу торгових мереж в економічному просторі, проблем лідерства [12], руху курсів обміну валют, міграції, поширення ідей і знань.

Таблиця 2

Матричне відображення групи, даної на рисунку 5


Матриця ядра/периферії може мати вигляд конуса: активне ядро має достатню інформацію і вплив, щоб не враховувати думку периферії (табл. 2.3). Ставлення може бути одностороннім (Ядро Макса Гручо), коли активний блок повідомляє про себе периферії, але периферія не має власного ставлення до себе. Існує також ситуація, коли кожен блок має відношення до себе і не має один до одного. Цей випадок поляризації уособлює конфлікт статусів. Кулмен встановив, що поляризація є найважливішою передумовою соціальної зміни, в той час як інші блок-моделі несуть в собі стабільність мережі і не мотивують до зміни [8, с. 95-97].

Таблиця 3

Матриця блоків таблиці 2.2


A

B

A

1

1

B

1

0


Дж. Хоманс в дослідженні "Norton Street Gang" встановив, що у вуличних бандах лідери найбільшою мірою втілюють у собі ті норми, які культивуються в цих субкультурах, що ядро володіє атрибутами і цінностями, найбільш цінними в мережі [21]. Відбувається двонаправлений рух: вузли, які володіють найбільш цінними якостями, переміщаються в ядро і, навпаки, гідність цінних якостей множиться, перебуваючи в позиції ядра. Ядро впливає на значимість інших позицій і здатне зміщувати інші, в тому числі цінні, вузли на периферію.

Поляризація центру і периферії - стійкий тренд в будь-якій мережі. Але є й сила, що перешкоджає однозначному поділу і поляризації. Д. Уайт і Ф. Хара-ри, застосувавши методологію кластеризації, доповнили відоме емпіричне соціологічне дослідження Уейна Закарі за структурою відносин у клубі карате [40]. Члени клубу розбилися на дві групи, одна з яких центрована навколо лідера А (тренера), інша - навколо лідера В (керівника). Проте завжди існувало кілька членів, що не примикали однозначно ні до тієї, ні до іншої групи і в кожній конкретній ситуації визначали свою позицію по-різному. Це типова ситуація формування багатоцентричної структури мережі і пошуку балансу відносин. Блоки є ідеалізацією. На практиці частіше зустрічається комплексність. Будь-який блок вузлів в реальному житті включений в багатонаправлені інформаційні потоки і володіє зв'язками з різними мережами. Часто не вдається окреслити навіть кордонів мережі, настільки вони є розмитими і текучими [13, с. 642].

4. Деякі тенденції розвитку сучасних мережевих досліджень


Серед досліджень останніх років особливою популярністю користується концепція Р. Берта. Берт вивчає канали комунікації, які утворюються на нижньому організаційному рівні. Велике значення в його концепції, як і в роботах інших мережевих дослідників, має поняття "соціального капіталу", яке в 1983 р. застосував П. Бурдьє для позначення уміння індивідів створювати зв'язки в соціальних мережах, які можуть виступати ресурсом отримання певних вигод. Згідно Дж. Ко-Улменом, соціальний капітал означає "вміння розвивати співпрацю в групах і в організаціях з метою реалізації спільних інтересів" [8, с. 118]. У книзі "Соціальний капітал і структурні дірки" Р. Берт вводить поняття "структурних дірок", що позначає існування комунікаційно не пов'язаних між собою просторів. "Соціальні брокери", ключові фігури його робіт, здатні "наводити мости" поверх структурних дір і створювати необхідні комунікаційні зв'язки [5, с. 201].

При експлікації механізмів мережевого спілкування Берт привів схему (рис. 6), яка представляє собою соціограму мережі, що об'єднує три організації. Жирні лінії пов'язують пари людей з тісними, "сильними" відносинами. Пунктирні лінії висловлюють "слабкі" зв'язки. Берт виходить з того, що вигідні зв'язки створюють переваги для того, хто дізнається інформацію раніше. Люди не можуть знати синхронно про можливості у всіх групах. Навіть якщо інформація високої якості і досягає кожного, той факт, що її розподіл вимагає часу, означає, що деякі індивіди ("інформаційні брокери"), інформовані раніше чи краще, мають переваги. Механізм зв'язування, або "наведення мостів" (brokerage), створює перевагу, пов'язану з підвищенням цінності кооперації. Аргумент Берта стосується проблеми монополії і олігополії авторитету в організаціях і роз'яснює моделі створення конкурентних переваг у мережевої організації.

Слабкі зв'язки між групами на рис. 2.6 - це лакуни комунікаційної структури організації або ринку. Дірки в соціальній структурі створюють конкурентні переваги для тих індивідів, чия мережа зв'язків здатна перекривати їх. Наявність структурних дірок між двома групами не означає, що члени цих груп не знають один про одного. Люди фокусуються на своїх діях і не можуть простежувати дії людей в інших групах. Дірки - це буфери комунікації, подібно ізоляторам в електричному ланцюзі. Люди на іншій стороні структурної дірки залучені в циркулювання власних потоків інформації. Однак структурні дірки все ж таки залишають людям можливість з'єднати потоки інформації та здійснювати спільні проекти.

Роберт і Джеймс володіють однаковою кількістю зв'язків (рис. 2.6): шістьма сильними і однієї слабкою. Але Роберт має щось більше. Джеймс пов'язаний з членами організації Біс друзями друзів в організації Б. Він добре поінформований про події в цій організації. Роберт також пов'язаний через друзів своїх друзів з кожним членом організації Б, але на додаток до цього, у нього сильні зв'язки через контакт 7-канал для інформації з організації А, а його зв'язок через контакт 6-канал інформації з організації С. Його стосунки з 7 - це мережевий міст, в якому його відносини служать єдиною прямою зв'язком організації Б з організацією А. Якщо зникне ставлення 6, то буде також втрачено зв'язок між організаціями Б і С.

Роберт - брокер в мережі. Мережева замкнутість - індикатор, який вимірює простір, по відношенню до якого особистісні контакти надлишкові. Джеймс має в порівнянні з Робертом подвійний індекс замкнутості, Роберт же - найменш замкнутий серед усіх людей на рисунку. Берт вводить ще один індикатор - "мережеву проміжність". Цей показник характеризує простір, який охоплює індивід, прокладаючи непрямі зв'язки між усіма членами мережі. Показник проміжність Роберта - 47.0 показує, що майже половина непрямих зв'язків проходить через нього. Його показник - найвищий серед всіх на рис. 2.2, вище середнього 6,5 і вище найнижчого показника Джеймса 5,2.

Контакти Роберта, що зв'язують його з іншими організаціями, дають йому незаперечну перевагу в доступі до інформації порівняно з іншими членами мережі. Маючи непрямий доступ до більшого числа людей, він досягає більш високого обсягу інформації. Роберт займає найбільш вигідну позицію на пересічних каналах організаційної інформації, і він здатний раніше інших дізнаватися про дії в трьох групах. Він - перший кандидат для включення в відкриті ситуації нових можливостей. Інформаційні переваги роблять Роберта особливо цінним співробітником, коли потрібно поєднати розімкнуті контакти. Їх з'єднання приносить йому блага, незалежно від того, чиїм інтересам служить встановлення контактів.

 

Рис. 6. Схема щільності відношень ззовні  і всередині груп.

Група А (5 членів і 8 зв’язків: 5 сильних і 3 слабких)

Група В (17 членів і 41 зв’язок: 27 сильних і 14 слабких)

Група С (5 членів і 8 зв’язків: 5 сильних і 3 слабких)

Берт ставив перед собою завдання: дослідити індивідуальні переваги інформаційного брокера - співробітника, який здатний "наводити мости" і встановлювати зовнішні контакти. Унікальна позиція брокера обумовлює новий характер повідомлення організації із зовнішнім світом: він стає вузлом зчленування організацій - мережевих осередків, вузловим пунктом формування мереж. Мережа стає цілим через комунікацію подібних брокерів - носіїв мережевих контактів.

З чисто наукової ніші мережевий аналіз перебрався в категорію практичних посібників, головним чином, у сфері маркетингу та бізнес-літератури [6]. Той персонаж , якого Берт назвав "брокером", в літературі стали називати "коннектором". "The Tipping Point " - одна з таких книг американця М. Гладуела [15], яка концептуально висловила сутність сплеску нового інтересу до мережевої теми. Переломний момент (The tipping point) - це момент переходу ідеї, тренда або соціальної поведінки через якийсь поріг, коли вони починають поширюватися як пожежа. Автор узагальнив дослідження мережевого аналізу з тієї точки зору, з якої вони набувають практичне значення в епоху сучасної технічної комунікації. Синтез традиційної міжперсональної комунікації, до якої звертався мережевий аналіз, і комунікаційних технологій робить соціальні мережі буденним явищем, точніше, стихією, в яку занурений сучасний світ. Значення мережевого аналізу для розвитку інформаційної культури можна порівняти з появою друкарства для поширення у суспільстві знань та книжкової культури. Сила і влада "слабких зв'язків" стають воістину безмежними. "Мені стало очевидно, - пише М. Гладуел, - що ми вступаємо в епоху усного слова, і це спонукає нас, парадоксальним чином, при всій ускладненості, загадковості та безлімітному доступі до інформації у новій економіці все більш і більш покладатися на найпримітивніші види соціальних контактів. Покладаючись в житті на конекторів, фанатів і продавців ми знаходимо спосіб, за яким намагаємося впоратися з комплексністю сучасного світу " [15, с. 265].

5. Теорія соціальних мереж міграційних потоків


Теорія соціальних мереж міграційних потоків трактує мережі як набори зв'язків, що з'єднують мігрантів, давніх мігрантів та немігрантів в країні походження і приймаючих країнах через родинні зв'язки, дружні відносини і т. д. Мережі складають своєрідну форму соціального капіталу, за допомогою якого люди знижують витрати і ризики при міграції, а очікування прибутку від міграції збільшуються. Мережі утворюють для мігрантів важливий ресурс - з їх допомогою мігранти знаходять роботу на новому місці, отримують житло і т. д. Як тільки число мігрантів сягає критичного порога, розширення мереж зменшує витрати і ризики руху, ймовірність міграції підвищується, починається додатковий рух, який, в свою чергу, розширює нові мережі і так далі, тобто коли механізм міграції вже запущений, соціальні мережі самі стають однією з причин міграції, тому що обіцяють знизити ризик і витрати, пов'язані з міграційним переміщенням, і підвищити від нього віддачу.

Таким чином, дана теорія розуміє під міжнародною міграцією індивідуальний або сімейний процес прийняття рішення, але одночасно доводить, що, колись розпочавшись, міжнародна міграція має тенденцію розширюватися якийсь час, соціальні структури, ринки праці в розвинених країнах стають все більш сегментованими на первинний сектор, який представляє «хороші» робочі місця, привабливі для національних кадрів, і вторинний сектор, який представляє погано оплачувані, «погані» робочі місця, яких національні кадри уникають [4, c. 238-270]. Для заповнення останніх роботодавці звертаються до іммігрантів, часто ініціюючи їх потоки через пряме вербування. Якби не було попиту на їхні послуги, іммігранти, особливо ті, що без документів, не приїхали б, оскільки їм не на що було б жити.

Мігранти, які в'їжджають в розвинену країну вперше, зазвичай не мають наміру влаштуватися там постійно. Намір влаштуватися відображає приховані мотивації мігрантів. Мотивація, яку уявляє собі більшість людей, коли вони розмірковують про імміграцію, - це їх бажання заробити якомога більше грошей, що дійсно має на увазі зміну постійного місця проживання. У реальності, однак, більшість переїздів пов'язано з бажанням подолати недосконалість ринків капіталу, кредитів і страхування. Люди стають мігрантами для того, щоб вирішити економічні проблеми у себе вдома. Вони прагнуть попрацювати за кордоном тимчасово, для того щоб заробити і перевести на батьківщину ці гроші, з тим щоб диверсифікувати ризики, накопичити готівкові кошти і фінансувати місцеве виробництво і споживання.

Визнання різноманітності імміграційних мотивацій породжує інше основоположний висновок: міжнародна міграція часто меншою мірою схильна до впливу умов на ринках праці, ніж умов на інших ринках. Нинішня імміграційна політика виходить з спрощеного уявлення про те, що іммігранти приїжджають для отримання максимальних заробітків, і політика відповідно намагається впливати на умови ринків праці. Якщо ж мігранти приїжджають для «самострахування», створення умов для майбутніх капіталовкладень або аналога кредитування, в такому випадку, навіть якщо їх зарплата виявиться нижчою за очікувану, для них не втрачається і навіть не зменшується стимул для міжнародної міграції. Більший вплив на прийняття рішення про міграцію може надати вплив на інші ринки, наприклад, через програми, призначені для поліпшення економічного стану та фінансового стану країн виїзду.

З плином часу міжнародна міграція має тенденцію створювати свою власну інфраструктуру підтримки. В результаті міграційні потоки набувають сильну внутрішню інерцію, що дозволяє їм чинити опір маніпуляціям державної політики. Політики то однієї, то іншої країни переконуються, до своєї досади , що імміграцію набагато легше почати , ніж припинити. Найбільш важливим механізмом, що підтримує міжнародну міграцію, є створення та розповсюдження міграційних мереж, які виникають скрізь, де б не з'явився член якоїсь соціальної структури, який емігрував в країну з високим рівнем зарплати. Емігной інтеграції до подання про повну інтеграцію суспільства. Т. Парсонс ввів поняття нормативної і цілісної соціальної інтеграції в свою 4 - функціональну парадигму розгляду соціальних систем, показавши, що функція соціальної інтеграції забезпечується діяльністю спеціалізованих підсистем . За думки Т. Парсонса, проблеми соціальної інтеграції зростають у міру диференціації й ускладнення систем дії. Відповідно, для забезпечення стабільності та подальшого розвитку системи необхідно розвиток механізмів соціальної інтеграції.

У сучасних суспільствах інтеграційні проблеми вирішуються за допомогою таких механізмів, як універсалістська правова практика, добровільні асоціації, розширення прав і привілеїв членів спільноти та ін. Теоретики нефункціоналістичних напрямів (Р. Бенедікс, Е. Гоулднер) часто критикують функціоналістів за перебільшення можливої ступеня інтеграції соціальної системи, стверджуючи, що емпіричний рівень інтеграції недосяжний і практично шкідливий, т. к. позбавляє соціальну систему рухливості і гнучкості.

 

Висновки


В даному розділі описано методи мережевого аналізу, які використовуються у соціології. В силу безальтернативності марксистського трактування соціальної реальності, вивченню соціальних мереж на пострадянському просторі до недавнього часу не приділялося належної уваги. Сьогодні з’являються лише поодинокі дослідження соціальних мереж у контексті трансформації інституту блату, взаємної соціальної підтримки домогосподарств, дослідження феномену подарунків у якості інвестиції в соціальну мережу чи розвідки щодо методів дослідження соціальних мереж.

В результаті виявлено, що у мережевих дослідженнях виділяється кілька ключових характеристик зв'язків, що створюють формат мережі. По-перше, це дискретність: вузли повинні відділятися один від одного, щоб мати можливість бути пов'язаними. По-друге, це подібність: вузли повинні бути подібні в ключових характеристиках, підходити один до одного, щоб утворювати зв'язок. По-третє, це близькість: вузли повинні бути локалізовані один по відношенню до одного, тобто співвідноситися просторово, географічно, співставлятися у часі. Ідеальні об'єкти можуть бути мережевими, якщо їх буття локалізовано в просторово-часових координатах. По-четверте, особливістю мережевих зв'язків є взаємність. Між групами елементів мережі відбувається обмін, при цьому суттєвим є асиметричний характер взаємодій.

Теорія соціальних мереж міграційних потоків трактує мережі як набори зв'язків, що з'єднують мігрантів, давніх мігрантів та немігрантів в країні походження і приймаючих країнах через родинні зв'язки, дружні відносини і т. д. Мережі складають своєрідну форму соціального капіталу, за допомогою якого люди знижують витрати і ризики при міграції, а очікування прибутку від міграції збільшуються. Мережі утворюють для мігрантів важливий ресурс - з їх допомогою мігранти знаходять роботу на новому місці, отримують житло.

Список використаної літератури


1.       Градосельская Г.В. Сетевые измерения в социологии. Учебное пособие. М.: Новый учебник. - 2004. - 450 с.

2.      Назарчук А.В. Теория коммуникации в современной философии. М.: Прогресс-Традиция. - 2009. - 156 с.

.        Borgatti S., Everett M. 1999. Models of Core/Periphery Structure // Social Networks, Nr 21 (4): 375-395.

4.       Boyd M. Family and personal networks in international migration: Recent developments and new agenda // International Migration Review. 23 (3). P. 238-270.

5.       Burt R. 2001. The Social Capital of structural holes // Guillen M.F., Collins R., England P., Meyer M. (eds.). New Directions in Economic Sociology. N.Y.: Russel Sage Foundation: 201-246.

6.      Chung-wai Shih C. 2009. The Facebook era: tapping online social networks to build better products, reach new audiences, and sell more stuff. Type: Book. Publisher: Boston: Prentice Hall PTR.

.        Coleman J.S. 1957. Community Conflict. Glencoe, IL: Free Press.

.        Coleman J.S. 1988. Social Capital in the Creation of Human Capital // The American Journal of Sociology. 1988. Vol. 94. Suppl.: 95-120.

.        Collins R. 2004. Rituals of solidarity and security, and processes of mass hysteria, in the wake of terrorist attack... // Sociological Theory, 21: 69-73.

.        Cooley Ch. 1909. Social Organization. N.Y.: Charles Scribner's Sons.

.        Crane J. 1991. The epidemic theory of ghetto and neighborhood effects on dropping out and teenage childbearing // American Journal of Sociology Vol. 96, No. 5:1226-1259.

.        Faulkner R. 1980. Centrality in a Freelance Social Structure Social Networks in Big Hollywood // Big Hollywood, Little Hollywood, Transaction Books.

.        Frank K.A., Yasumoto J.Y. 1998. Linking action to social structure within a system: social capital within and between subgroups // American Journal of Sociology. Vol. 104, No 3: 642-686.

.        Freeman L. C. 1992. The Sociological Concept of "Group": An Empirical Test of Two Models // American Journal of Sociology. Vol. 98, No. 1:152-166.

.        Gladwell M. 2002. The Tipping Point. How Little Things Can Make a Big Difference. N.Y.: Little, Broun and Company.

.        Granovetter M. 1985. Economic Action and Social Structure: the Problem of Embeddedness. // American Journal of Sociology. No 91 (1985): 481-510.

.        Granovetter M.S. 1982. The strength of weak ties: A network theory revisited // P. Marsden and N. Lin (Eds.). Social structure and network analysis. Beverly Hills: 105-130.

.        Harary F., Norman R.Z., Cartwright D. 1965. Structural models: an introduction to the theory of directed graphs. N. Y.: John Wiley.

.        Headland Th., Pike K, Marvin H. (Eds.). 1990. Ernies and Etics: The Insider // Outsider Debate. Newbury Park, California: Sage Publications.

.        Heider F. 1946. Attitudes and cognitive organization // Journal of Psychology Vol. 21:107-112.

.        Homans G. 1950. The Human Group. N. Y.: Harcourt, Brace and Company.

.        Kadushin Ch. 2004. Introduction to Social Network Theory. N.Y.: Harvard Business School Press.

.        Kick E., Snyder D. 1979. Structural Position in the World System and Economic Growth, 1955¬1970: A Multiple-Network Analysis of Transnational Interactions. // American Journal of Sociology, No. 84(5): 106-126.

.        Knoke D.,Kuklinskl J. H. 1982. Network analysis. Beverly Hills: Sage.

.        Laumann E.O., Pappi F.U. 1976. Networks of Collective Actions. A Perspective on Community Influence Systems. N. Y.: Academic.

.        Lazarsfeld P.F. 1993. Analyzing the relations between variables // On social research and its language. Chicago: The University of Chicago Press.

.        MilgramS. 1969. Interdisciplinary Thinking and the Small World Problem. Pp. 103-20 //Interdisciplinary Relationships in the Social Sciences, eds. Muzafer Sherif and Caroline W. Sherif. Chicago: Aldine.

.        Mitchell J.C. 1969. The Concept and Use of Social Networks // Social Networks in Urban Situations,' ed. J. C. Mitchell. Manchester, UK: 1-50.

.        Moreno J.L 1953. Who shall survive? Washington, DC: Nervous and Mental Diseases Publishing Co.

.        Moreno J.L. 1951. Sociometry, experimental method and science of society. N.Y.: Beacon House.

.        Nadel S.F. 1957. The study of social structure. L.: Cohen & West.

.        Ogden Th. 1974. The analytic third: Working with intersubjective clinical facts // International Journal of Psychoanalysis, 75(3): 3-19.

.        Poulin R., BoilyM.-C, Masse B.R. 2000. Dynamical systems to define centrality in social networks // Social Networks 22 (3): 187-220.

.        Radcliffe-Brown, A.R. 1952. Structure and Function in Primitive Society: Essays and Addresses... Book by A. R. Radcliffe-Brown; Cohen & West.

.        Rotello G. 1997. Sexual Ecology. AIDS and the Destiny of Gay Men. N.Y. Penguin Putnam.

.        Save/as А. 1948. A mathematical model for group structures // Applied Anthropology. No. 7 (3): 16-30.

.        Wasserman S., Faust K. 1994. Social network analysis: Methods and applications. Cambridge University Press.

.        Watts D., Strogatz S. Collective Dynamics of 'Small-World' Networks // Nature, 1998, Nr. 393. 440-442.

.        White D. Harary F. 2001. The Cohesiveness of Blocks in Social Networks: Node Connectivity and Conditional Density//Sociological Methodology, No. 31. P. 305-359.

.        White H, Boorman S., Breiger R. 1976. Social Structure From Multiple Networks: Blockmodels of Roles and Positions // American Journal of Sociology, No. 81. P. 730-779.

Похожие работы на - Застосування мережевого підходу у вивченні міграційних потоків

 

Не нашли материал для своей работы?
Поможем написать уникальную работу
Без плагиата!
Без нейросетей!