Контактная жесткость плоского стыка
Контрольная
работа
Контактная
жесткость плоского стыка
Содержание
Введение
.
Определение фрактальной размерности поверхности методом покрытия
.
Контактирование волнистой поверхности с гладкой
.
Деформация шероховатого слоя
.
Контактное взаимодействие шероховатой поверхности с гладкой
Список
литературы
Введение
Представление о поверхности как о
мультифрактальном объекте позволяет учесть одно из фундаментальных свойств
некоторых инженерных поверхностей: многократно увеличенные и растущие в
количественном отношении неровности поверхности наблюдаются вплоть до
нанометрического масштаба. При этом картины поверхности при разном увеличении
похожи друг на друга. Фрактальный подход учитывает вариации тех параметров
шероховатой поверхности, которые в известных моделях контактного взаимодействия
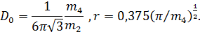
принимались как постоянные величины. Так, в модели Гринвуда - Вильямсона
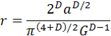
(J.A.Greenwood, J.B.P. Williamson) приняты постоянными: D0 - плотность
неровностей (число неровностей, отнесенных к единице площади) иr - радиус
закругления вершины неровностей. Эти статистические параметры определяются по
формулам
Здесь m2, m4 - спектральные моменты,
определенные для изотропной поверхности следующими выражениями:
.
Спектральный момент m0 определяется по формуле
,
где σsw
- среднее квадратическое отклонение высот волн поверхности.
Для анизотропных поверхностей предприняты
попытки расширить область применения модели Гринвуда - Вильямсона [4]. При
решении задач контактного взаимодействия анизотропная поверхность заменялась
изотропной, для которой приведенные спектральные моменты были равны
Максимальное и минимальное значения спектральных
моментов профиля поверхности определялись по двум ортогональным направлениям.
Когда рассматривается взаимодействие двух шероховатых поверхностей, то обычно
без надлежащего обоснования производят замену на контакт эквивалентной
шероховатой поверхности с гладкой. Параметры эквивалентной поверхности
определяются по формулам
.
Индексы 1, 2 относятся к сопряженным
поверхностям.
. Определение фрактальной размерности
поверхности
методом покрытия
Для определения фрактальной размерности
поверхности нами был разработан так называемый метод покрытия «рваной сеткой».
Его смысл заключается в следующем.
. Возьмём квадратную ячейку площадью ε
и покроем ею участок поверхности, ориентируя её строго по координатным осям.
Положение первой ячейки определяется довольно сложным алгоритмом с
использованием данных о топографии поверхности и расчетом центра тяжести
ячейки.
2. Положение следующих ячеек зависит
от положения края предыдущей ячейки и данных о топографии поверхности под ними.
Таким образом, покрывается участок поверхности длиной L вдоль оси Ox лентой,
состоящей из ячеек со стороной
.
. Независимо от первой ленты по
изложенному алгоритму строится рядом другая лента, и так продолжается до
покрытия всей поверхности.
. Рассчитываем площадь поверхности
,
где S - истинная площадь
поверхности;S0 - проекция поверхности на плоскость (номинальная плоскость); ε - площадь
элементарной ячейки, покрывающей поверхность;DS - фрактальная размерность
поверхности (2 <DS< 3).
. Уменьшаем площадь ячейки до
размера стороны в
и повторяем
пункт 1 - 4. Тогда
.
Откуда
.
Если существует предел
, равный
наклону (или угловому коэффициенту) К, то фрактальная размерность поверхности
определяется выражением
Ds = 2 - 2·K, 2 <Ds< 3.
Здесь угловой коэффициентК тоже
имеет отрицательное значение. Его определение связано с нахождением точек в
координатах lnS/S0 - ln
ε
при изменении площади ячеек, покрывающих поверхность. С помощью метода
наименьших квадратов определяют угловой коэффициент К. Для оценки фрактальной
размерности поверхности было разработано соответствующее программное
обеспечение. Процедура метода покрытия поверхности (промежуточная стадия
покрытия поверхности) понятна из рис. 1. На ней представлена поверхность (карта
поверхности Se - map), покрытая по методу «рваной сетки». На рис. 2
представлено определение углового коэффициента с выводом площадей ячеек и поверхности.
Рис. 1. Покрытие поверхности
ячейками
Рис. 2. Определение фрактальной
размерности
Применяя предложенные алгоритмы,
можно найти фрактальную размерность инженерной поверхности, которая будет
характеризовать топографические особенности её структуры (шероховатость),
учитывая анизотропию поверхности. С помощью фрактальной размерности можно
смоделировать шероховатую поверхность и использовать ее при решении инженерных
задач. Отметим, что, представляя волнистость гладкой линией, размерность
фрактальной поверхности можно определить шероховатостью на площадке, измеряемой
квадратом базовой длины.
Плотность высот неровностей
Плотность неровностей как отношение
числа неровностей к рассматриваемой площади для фрактальной поверхности
является величиной переменной. Число неровностей с ростом выделенной площади
растет медленнее, чем площадь. Соотношение между числом неровностей N и
характерным размером площади L имеет вид
Представим волнистую поверхность в
виде набора сферических сегментов, плотность распределения высот которых
запишем в виде, предложенном Найаком (Nayak, P.R.)
где
,
,
, 

.
Рассмотрим некоторые задачи контактного
взаимодействия.
. Контактирование волнистой поверхности с
гладкой
Представим волнистую поверхность в качестве
нефрактального объекта и рассмотрим контактное взаимодействие с гладкой
поверхностью (рис. 3). Будем считать, что радиусы закругления верхней части
волн одинаковы и равныrw. Распределение высот выступов (и соответственно их
деформаций) подчиняется бета-распределению. Выступы волн представим в виде
сферических сегментов.
Рис. 3. Контакт волнистой поверхности с гладкой
Запишем основные соотношения для отдельного
пятна контакта волнистой поверхности:
площадь
нагрузка
Здесь
rw-
радиус закругления верхней части волны; μ, Е
- коэффициенты Пуассона и модули упругости сопряженных тел.
Введем переменную z=x/Wp.
Тогда
Случайная
величина z подчиняется бета-распределению. Полагаем, что по такому же закону
распределена и величина (z-d/Wp)=t. Плотность распределения случайной величины
t представим в виде
Для множественного контакта найдем:
контурную площадь
нагрузку на номинальную площадь
число вступивших в контакт волн
,
где Wp - максимальная высота волны от средней
линии; N - общее число волн, равное отношению номинальной площади Аа к
произведению шагов волны в продольном и поперечном направлениях
Найдем относительную площадь контакта
(1)
Соотношение между номинальным давлением и
переменной t имеет вид
Полученные зависимости позволяют оценить среднюю
площадь пятна касания
(3)
Рассмотрим процедуру определения параметров
контактного взаимодействия волнистых поверхностей.
Параметры бета-распределения находятся по
формулам
где
−
выборочное среднее и дисперсия переменной величиныz.
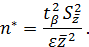
Необходимый объем выборки равен
При нахождении параметров бета-распределения
можно принятьtβ=1,643 при β
= 0,9, ε -относительная погрешность определения
параметров распределения (ε=0,01).
Определяется вид зависимости номинального
давления от переменной t. По заданному известному значению номинального
давления находят t=(Wp-d)/Wp, где Wp-d = αwпредставляет
собой сближение при сжатии волнистых поверхностей.
По найденному значению t определяют по формуле
(1) относительную опорную поверхность и среднюю площадь отдельных пятен касания
по формуле (3).
Зависимость номинального давления от переменной
t представлена на рис. 4. Сближение определяется выражением αw
= tWp.
Рис. 4. Зависимость номинального давления от
переменной t
Таким образом, можно определить сближение
волнистых поверхностей в зависимости от давления.
Контурное давление, соответствующее найденному
значению t, равно:
Связь между контурной площадью и переменной t
представлена на рис. 5.
Рис. 5. Зависимость контурной площади от
переменной t
Как видно из рис. 3, сближение за счет деформации
волн практически отсутствует при номинальном давлении менее 1 МПа.
Тем не менее, сближение при малом давлении
определяется в основном шероховатостью.
. Деформация шероховатого слоя
Для оценки сближения за счет деформации
шероховатого слоя рассмотрим контакт жесткого гладкого шара (волны с высотой Wp
и радиусом rw) с шероховатой поверхностью (рис. 6).
На основе фрактальных представлений шероховатый
слой представлен в виде покрытия с переменным модулем упругости, зависящим от
деформации этого слоя. На рис. 1.3 шероховатый слой как фрактальный объект
характеризуется масштабом измерения в диапазоне между первым и вторым
кроссоверами.
Рис. 6. Контакт шара с шероховатой поверхностью
Фрактальные объекты, имея сложную структуру,
обладают физико-механическими свойствами, отличающимися от свойств материала,
из которого образован сам фрактальный объект. Следует также отметить, что
эффективный модуль отражает характеристику самого фрактального объекта, а не
материала, из которого он состоит.
Таким образом, шероховатый слой можно
представить в виде покрытия, имеющего толщину, сравнимую с высотными
параметрами шероховатости, и переменный (эффективный) модуль упругости,
зависящий от модуля упругости материала, относительной деформации самого слоя ε
и особенностей структуры шероховатости, характеризуемый фрактальной
размерностью DS.
Эффективный модуль упругости определяется
выражением
гдеЕ - модуль упругости материала; 2 <DS<
3 - фрактальная размерность поверхности.
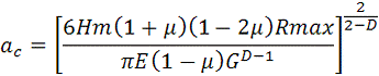
Приведем формулу, устанавливающую связь между
нагрузкой на шар (в данном случае наибольшую по высоте волну), радиусом
площадки контакта, фрактальной размерностью и высотой сглаживания шероховатости
(4)
Здесь Rp - высота сглаживания; μ
- коэффициент
Пуассона; a - радиус площадки контакта .
С другой стороны, нагрузка на волну определяется
соотношением
(5)
Решая совместно уравнения (4) и (5), найдем
радиус площадки контакта и сближение αш=a2/rw
за счет деформации шероховатого слоя.
Общее сближение будет равно
Необходимо иметь в виду, что данная теория
применима лишь к покрытиям более податливым, чем их подложка. Полученные ранее
результаты свидетельствуют о росте контурной площади контакта при наличии
шероховатости по сравнению с площадью, определяемой решением Герца.
Сближение за счет деформации шероховатого слоя
равно
В табл. 1 приведены числовые примеры оценки
сближения при сжатии стальных поверхностей с учетом волнистости и шероховатости.
Параметры волнистости: rw- радиус закругления верхней части волны; Wp -высота
сглаживания волнистой поверхности; Swпр=Swпоп - шаг волны в продольном и
поперечном направлениях; v; w - параметры бета-распределения. Параметры
шероховатости Rp - высота сглаживания шероховатости; DS- фрактальная
размерность шероховатого слоя.
Таблица 1
Оценка сближения стальных поверхностей
(номинальное давление 10 МПа)
|
Параметры качества поверхности
|
Сближение
|
|
rw, мм
|
Wp, мкм
|
Swпоп, мм
|
Swпр, мм
|
v
|
w
|
Rp, мкм
|
DS
|
αw
|
αш
|
αΣ
|
|
3,0
|
6,5
|
0,5
|
0,5
|
2,5
|
1,2
|
6,0
|
2,4
|
2,6
|
1,6
|
4,2
|
11,0
|
0,9
|
0,9
|
2,7
|
1,3
|
12,0
|
2,3
|
4,5
|
3,3
|
7,8
|
Суммарное сближение αΣ
волнистой поверхности с учетом шероховатости с гладкой определялось деформацией
волн
и
шероховатого слоя αш.
. Контактное взаимодействие шероховатой
поверхности с гладкой
Будем полагать, что контурное давление одинаково
на отдельных пятнах касания. Такое утверждение в условиях упругого контакта
подтверждается моделью Гринвуда-Вильямсона. В этом случае относительная
фактическая площадь контакта определяется выражением
где Аr0- фактическая площадь, отнесенная к
максимальной контурной площадке.
Относительная площадь контакта будет равна
.
Представляя шероховатый слой в виде фрактального
объекта, найдем параметры, определяющие контактное взаимодействие неровностей с
контртелом.
Радиус закругления верхней части неровностей
Радиус закругления вершин неровностей зависит от
фрактальной размерности и от уровня, от которого измеряется высота выступа (от
среднего уровня и выше). Запишем радиус закругления вершины неровности для
круглого сечения выступа в виде
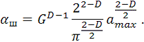
Здесь a - площадь рассматриваемого сечения
выступа; D - фрактальная размерность профиля (D = DS-1); G - фрактальный
параметр, определяемый по формуле
Контакт двух шероховатых поверхностей является
дискретным. Отдельные пятна касания, распределенные по степенному закону,
находятся в упругом или пластическом состояниях.
Процесс контактного взаимодействия фрактальных
поверхностей происходит по следующей схеме. На начальном этапе при росте
сжимающей нагрузки неровности деформируются пластически, формируя большие
площадки касания с упругим состоянием.
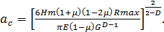
Критерий перехода от пластического состояния к
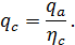
упругому определяется площадью рассматриваемого пятна касания по формуле
(6)
Здесь Hm - твердость по Мейеру; Rmax-
максимальная высота; μ -
коэффициент Пуассона; Е - модуль упругости.
При этом полагаем, что все пятна касания,
имеющие площадь, большую ac, находятся в упругом состоянии.
Распределение площадок контакта
Фундаментальное положение в теории контактного
взаимодействия о дискретности контакта предполагает наличие определенного
распределения площадей пятен касания (рис. 7).
Рис. 7 Шероховатая поверхность (слева) и пятна
касания при контакте с гладкой поверхностью (справа): а - реальная поверхность;
б -- модель в виде набора сферических сегментов (по K.Varody, Венгрия)
Считается, что подобное распределение
подчиняется степенному закону.
Наличие многовершинности выступов и более мелких
неровностей на выступе ограничивает использование распределения высот выступов
для более точной оценки параметров контактного взаимодействия шероховатых
поверхностей.
Переход от функции распределения высот выступов
к распределению площадей пятен касания производится по следующей формуле:
,
где
- функция, обратная
;
- модуль
производной; а - площадь пятна; h - высота.
Рассматривая верхнюю часть выступа в
виде сферического сегмента (рис. 8), запишем выражение для площади среза в
виде:
(7)
Рис.8. Модель выступа
Здесь r - радиус закругления; a - сближение; z- высота
выступа; Rp - высота сглаживания.
Из уравнения (6) найдем высоту
выступа
Определим связь между высотой
выступа и радиусом закругления
Относительная высота будет равна
где D, G - соответственно
фрактальная размерность (1<D<2) и фрактальный параметр шероховатости.
При a =Rp высота выступа определяется площадью
основания выступа.
В этом случае можно записать

Здесь a*=a/ amax - площадь основания
выступа.
Обратная функция имеет вид
где
Производная обратной функции равна
Так как распределение площадок
нагруженного контакта рассматривается относительно amaxи фрактальная
размерность не зависит от уровня сближения, то можно при определенном сближении
найти такое значение с1, при котором с1=1. Тогда
Плотность распределения пятен
касания подчиняется выражению
(8)
Здесь
Интегральная функция распределения
(8) имеет вид
где m=[(u-1)(2-D)-D]/2,
n=(w-1)(2-D)/2, x -
переменная интегрирования.
Разложив сомножитель в
подынтегральном выражении (1-x)п
в ряд по формуле бинома Ньютона и ограничиваясь четырьмя членами разложения,
получим:
Здесь с3 -коэффициент, определяемый
из условия нормировки F(a*=1) = 1.
Интегральную функцию для конкретных
расчетов представим в виде
Для определения показателя степени p
используем следующую процедуру. Задавшись значением
, найдем
точки в логарифмической шкале координат
С помощью метода наименьших
квадратов вычислим коэффициенты b0 иb1 аппроксимирующей функции y=b0+b1x, где
y=lgF(a*), x=lg(a*).
В результате получим выражение
lgF(a*)= b0+b1lg(a*). Потенцируя полученное выражение, запишем:
Учитывая, что при a*=1 имеем
F(a*)=1,предыдущее выражение представим в виде
.
Откуда
Приемлемым для оценки показателя p
является значение a*=0,25.
В качестве примера рассмотрим
поверхности, имеющие разные параметры шероховатости.
Для шлифованной поверхности примемRa=
0,680 мкм; u= 1,27;w=
2,97, для притертой поверхности -Ra= 0,329 мкм; u= 1,69;w= 2,06.
В табл. 2 приведены значения с3 и р
в зависимости от фрактальной размерности. На основании данных таблицы запишем
для шлифованной и притертой поверхностей уравнения регрессии в виде
Таблица 2
Значения с3 и р
|
Фрактальная размерность D
|
1,2
|
1,4
|
1,5
|
1,6
|
1,7
|
|
Вид обработки
|
Шлифование
|
c3
|
0,617
|
0,449
|
0,370
|
0,287
|
0,210
|
|
|
p
|
0,39
|
0,28
|
0,22
|
0,18
|
0,13
|
|
Притирка
|
c3
|
0,883
|
0,633
|
0,514
|
0,399
|
0,289
|
|
|
p
|
0,49
|
0,38
|
0,31
|
0,25
|
0,18
|
На рис. 9, 10 показаны конфигурации пятен
контакта шероховатых поверхностей.
В качестве примера приведены карты поверхности
(рис. 11), полученные с помощью аппаратно-программного комплекса,
предназначенного для оценки геометрических параметров на базе трехкоординатной
измерительной установки.
поверхность контакт
неровность
Рис. 9. Контактное взаимодействие шероховатых
поверхностей
с взаимно перпендикулярными следами обработки
(а), пятна касания (б), зазор по линии (в), указанной на карте пятен касания
(б)
Рис. 10. Контактное взаимодействие шероховатых
поверхностей
с совпадающими следами обработки (а), пятна
касания (б)
Рис. 11. Шероховатые поверхности:a −
точение (
,
);
б − полирование (
,
); в −
шлифование (
,
); г −
электроэрозионная обработка (
,
)
На рис. 12, 13 представлены модели
контактного взаимодействия инженерных поверхностей с совпадающими и взаимно
перпендикулярными следами обработки.
Распределение площадок пятен
контакта получено для двух сопряженных поверхностей. При этом следы обработки
поверхностей либо были взаимно перпендикулярны (рис. 12), либо совпадали (рис.
13).
Компьютерное моделирование сближения
поверхностей позволило найти размеры 24-х площадок при взаимно перпендикулярном
направлении следов обработки и 72-х площадок при совпадении следов обработки.
После деления значений каждой из площадок контакта на максимальное значение
были получены данные, подвергнутые статистическому анализу.
Рис. 12. Моделирование контакта
поверхностей с взаимно перпендикулярными следами обработки
Рис. 13. Моделирование контакта
поверхностей с совпадающими
следами
обработки
Результаты анализа показали, что распределение
площадок контакта подчиняется степенному закону (рис. 14). Показатель степени
имел среднее арифметическое значение р=0,2156 (для взаимно перпендикулярного
расположения следов обработки). Таким образом, функция распределения может быть
записана в виде

.
Рис. 14. Зависимости плотности
вероятности (слева) и функции распределения от относительной площади пятен
контакта
Здесь а* - относительная площадь,
равная отношению площади пятна к максимальной площади касания 
.
Проверка согласия экспериментальной
и теоретической функций распределения проводилась по критерию Колмогорова.
Максимум модуля разности между этими распределениями оказался равным D=0,379.
По формуле
.
Статистический анализ для контакта
поверхностей с совпадающими следами обработки показал, что и в данном случае
подходящим законом распределения является степенной закон. При этом
теоретическая функция распределения определяется формулой (5.8). Показатель
степени в данном случае был равен р= 0,1639.
Распределение площадок контакта
отражает особенности контактного взаимодействия шероховатых поверхностей.
Полагаем, что в общем случае закон
распределения определяется площадью максимального пятна касания и не зависит от
взаимного расположения следов обработки.
Запишем для единичного пятна связь
между нагрузкой и площадью соответственно при упругом и пластическом состояниях
в виде
где 
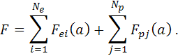
Из условия равновесия найдем
Здесь Ne, Np - число пятен касания,
находящихся в упругом и пластическом состояниях:
где N- общее число пятен, равное для
рассматриваемой контурной площади 
Sпр, Sпоп - шаг неровностей в
продольном и поперечном направлениях.
Для множественного контакта можно
записать


. (10)
Контурное давление равно

.
Из уравнения (10) можно найти
максимальную площадь деформированных неровностейamax и уточненное значение
сближение αш, которое
определяется деформацией наибольшего выступа и связано с максимальной площадкой
контакта формулой
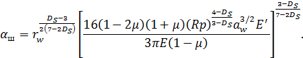
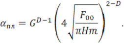
Для определения параметров контактного
взаимодействия при повторномнагружении необходимо знать, насколько уменьшилась
высота выступа вследствие пластического деформирования. Площадь сечения выступа
на уровне αш определяется
выражением
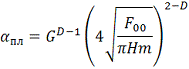
На рис. 15 представлен выступ и уровни
деформации: αш - шероховатого
слоя и αпл
- пластическая деформация слоя.
Рис. 15. Деформация выступа
Учитывая контурное давление, определим нагрузку,
воспринимаемую площадью сечения выступа:
Пластическая часть площади выступа
Тогда пластическая деформация выступа будет
равна
При повторном нагружении следует учесть новое
значение высоты выступа, равное
С учетом нового значения высоты выступа можно
использовать полученные ранее выражения (табл. 5.4) для оценки параметров
контактирования и при повторном нагружении.
При контактном взаимодействии анизотропных
поверхностей (рис. 9, 10) пятна контакта существенно отличаются от формы круга.
В этом случае, используя компьютерное
моделирование, найдем в графической форме зависимости контурной площади
сопряжения от сближения при любой форме пятен касания.
Тогда несущая способность контакта при
определенной нагрузке определяется одной и той же контурной площадью, которая
соответствует разным сближениям и другим параметрам контактного взаимодействия.
Процедура определения сближения для разного сочетания поверхностей понятна из
рис. 16.
В табл. 3 представлены выражения для оценки
параметров контактного взаимодействия инженерных поверхностей.
Рис. 16. Зависимость контурной площади от
относительного сближения α*=α/Rp
Таблица 3
Выражения для оценки параметров контактирования
Фрактальная размерность поверхности
|
Здесь наклон прямой определяется в
логарифмических координатах N - 1/δ
|
|
|
Средняя площадь отдельного пятна
контурной площади
|
|
|
Эффективный модуль упругости
определяется выражением
|
|
|
Нагрузка на волну с максимальной
высотой
|
  
|
|
Деформация волн (сближение
волнистых поверхностей без учета шероховатости)
|
|
|
Радиус закругления верхней части
выступа неровности шероховатого слоя
|
|
|
Фрактальный параметр шероховатости
|
|
|
Площадь контакта, определяющая
критерий перехода от упругого контакта к пластическому
|
|
|
Закон распределения относительных
площадок контакта (a*=a/amax)
|
|
|
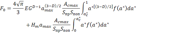
Полная упругопластическая нагрузка
на шероховатый слой в пределах максимальной контурной площадки
|
|
|
Деформация шероховатого слоя
|
|
|
Нагрузка на максимальный выступ
шероховатого слоя
|
|
|
Пластическая деформация выступа
|
|
|
Средний радиус закругления вершин
волн (Я.А. Рудзит)
|
|
Среднее арифметическое отклонение
высот волн
|
|
|
Число максимумов (высот вершинmW)
и число нулей (nW(0), отнесенных к длине трассы
|
|η(xi,
yj)| - модуль ординаты от средней плоскости до профиля волны, M, N- число
ординат, измеренных через равные отрезки на оси абсцисс, на участке трассы
соответственно 
|
Список литературы
Мандельброт,
Б. Фрактальная геометрия природы/Б. Мандельброт. -М.: Институт компьютерных
исследований, 2002. -656 с.
Иванов,
А.С. Нормальная, угловая и касательная контактные жесткости плоского стыка/А.С.
Иванов//Вестник машиностроения. - 200 - №1. - С. 34-3
Greenwood
J.A., Williamson J.B.P. Contact of nominally flat surfaces// Proc. R. Soc.,
Series A. - 1966.-V.295, №1422.-P.300-319.
Маджумдар
М. Фрактальная модель упруго- пластического контакта шероховатых
поверхностей/М. Маджумдар, Б. Бхушан// Современное машиностроение.−1991.−
№6.− С.
11-23., K. Evaluation of the real contact areas, pressure distributions and
contact temperatures during sliding contact between real metal surfaces/ K.
Varadi, Z. Neder, K. Friedrich//Wear. - 1996.-200. - P. 55-62.
Демкин,
Н.Б. Развитие теории фрикционного контакта/ Н.Б. Демкин// Трение и износ. -
1992. - Т.13. - №1. - С. 71-80.
Bush,
A.W. The elastic contact of a rough surface/A.W. Bush, R.D. Gibson, T.R. Thomas
// Wear. - 1975. - V.35. - P. 87-111., R.S. Thermal conductance of a rough
elastic contact/ R.S. Sayles, T.R. Thomas// Appl. Energy.
- 1976. - V. 2. - P. 249-26
Маккул,
Дж. Распределение площади, нагрузки, давления и локального повышения
температуры в микроконтактах по модели Гринвуда-Вильямсона/ Дж. Маккул
//Проблемы трения и смазки. - 1988. -№4.- С.99-105.
Рудзит,
Я.А. Микрогеометрия и контактное взаимодействие поверхностей/ Я.А. Рудзит. -
Рига: Зинатне, 1975. - 214 с.
Федер,
Е. Фракталы/ Пер. с англ.- М.: Мир, 1991. - 254 с.
Найак
(Nayak, P.R.) Применение модели случайного поля для исследования шероховатых
поверхностей/Найак//Проблемы трения и смазки. - 1971. -№3. - С. 85-95.