Обеспечение несущей способности земляного полотна из лёссовидных грунтов при высокоскоростном движении поездов
ФЕДЕРАЛЬНИЕ
АГЕНСТВО ЖЕЛЕЗНОДОРОЖНОГО ТРАНСПОРТА
Федеральное
государственное бюджетное образовательное учреждение высшего профессионального
образования
«Петербургский
государственный университет путей сообщения»
Факультет:
«Строительный»
Кафедра:
«Управление и технология строительства»
ЭРГАШЕВ
УЛУГБЕК ЭРКИНЖОН УГЛИ
Обеспечение
несущей способности земляного полотна из лёссовидных грунтов при
высокоскоростном движении поездов
Магистерская
диссертация
по
направлению 270800 Строительство
Научный
руководитель: А.Ф. Колос, к.т.н., доцент
Рецензент:
А. М. Абдукаримов, к. т н.
Допущено
к защите:
Заведующий
кафедрой: А.Ф. Колос, к.т.н., доцент
Санкт-Петербург
СОДЕРЖАНИЕ
ВВЕДЕНИЕ
. СОСТОЯНИЯ ВОПРОСА ИССЛЕДОВАНИЯ
.1 Понятие о лёссовых и лёссовидных
грунтах и их основные физико-механические свойства
.1.1 Физико-механические свойства
лёссовых грунтов
.1.2 Физико-механические свойства
лёссовидных грунтов
.2 Опыт строительства и эксплуатации
земляного полотна в районах распространения лёссовых и лёссовидных грунтов
.3 Вибродинамическое воздействие на
грунты земляного полотна железных дорог
.3.1 Характеристика колебательного
процесса грунтов
.3.2 Изменение прочностных свойств
грунтов под влиянием вибродинамических нагрузок
.4 Выводы по главе I
.5 Цель работы и задачи исследования
. ПРОГНОЗИРОВАНИЕ ПАРАМЕТРОВ
ВИБРОДИНАМИЧЕСКОГО ВОЗДЕЙСТВИЯ НА ГРУНТЫ ЗЕМЛЯНОГО ПОЛОТНА ПРИ ВЫСОКОСКОРОСТНОМ
ДВИЖЕНИИ ПОЕЗДОВ
.1 Определение напряжений
.2 Определение амплитуд колебаний
.2.1 Теоретические основы расчета
амплитуд колебаний грунтов основной площадки железнодорожного земляного полотна
.2.2 Исходные данные и результаты
расчета
.3 Выводы по главе II
. ОПРЕДЕЛЕНИЕ ПРОЧНОСТНЫХ
ХАРАКТЕРИСТИК ЛЁССОВИДНЫХ ГРУНТОВ ПРИ ДЕЙСТВИИ ПОВЫШЕННЫХ ВИБРОДИНАМИЧЕСКИХ
НАГРУЗОК
.1 Физические свойства исследуемого
грунта
.2 Лабораторная установка для
исследования грунтов при вибродинамических нагрузках
.2.1 Моделирование работы грунта
.2.2 Конструкция прибора
.3 Методика подготовки и испытания
грунтов
.4 Влияние вибродинамического
воздействия на прочностные характеристики лёссовидной супеси
.5 Выводы по главе III
. ТЕОРИЯ РАСЧЕТА НЕСУЩЕЙ СПОСОБНОСТИ
ЗЕМЛЯНОГО ПОЛОТНА ВЫСОКОСКОРОСТНОЙ ЖЕЛЕЗНОЙ ДОРОГИ, ОТСЫПАННОГО ИЗ ЛЁССОВИДНЫХ
ГРУНТОВ С УЧЕТОМ ВИБРОДИНАМИЧЕСКОЙ НАГРУЗКИ
.1 Общие сведения
.2 Теоретические основы определение
прочности основной площадки земляного полотна, отсыпанного из лёссовидных
грунтов при высокоскоростном движении поездов
.2.1 Вывод системы уравнений
.2.2 Алгоритм определения несущей
способности земляного полотна
.3 Исследование несущей способности
земляного полотна, из лёссовидных грунтов при высокоскоростном движении поездов
.3.1 Пример расчета несущей
способности основной площадки земляного полотна, отсыпанного из лёссовидной
супеси
.4 Исследование влияния различных
факторов на несущую способность основной площадки насыпей, сложенного
лёссовидными супесями
.4.1 Влияние состояние (показателя
консистенции) лёссовидной супеси на несущую способность основной площадки
.4.2 Влияние параметры конструкции
насыпи на несущую способность основной площадки
.5 Обоснование конструктивных
решений при обращении поездов со скоростями 200 - 250 км/ч
.5.1 Устройство защитного слоя на
основной площадке земляного полотно
.5.2 Устройство армированного
защитного слоя
.6 Выводы по главе IV
ОСНОВНЫЕ ВЫВОДЫ ПО РАБОТЕ
СПИСОК ЛИТЕРАТУРЫ
ПРИЛОЖЕНИЯ
ВВЕДЕНИЕ
В настоящее время в тенденциях и направлениях
дальнейшего развития железнодорожного транспорта в Республике Узбекистан
предусматривается расширение сети скоростного и введение высокоскоростного
движения поездов. Увеличение скорости ведет к уменьшению времени «в пути», что
значительно притягивает пассажиров. Скоростные и высокоскоростные магистрали
необходимы для экономического роста не только железнодорожной отрасли, но и
всей страны в целом.
Введение высокоскоростного движения поездов на
сети железных дорог Узбекистана тесно связано с обеспечением необходимого
уровня надежности железнодорожного пути, в том числе земляного полотна, как его
несущей конструкции.
Земляное полотно высокоскоростных железных дорог,
как и все другие сооружения и обустройства, должно обеспечивать непрерывную
работу большой динамической системы - железнодорожного пути. Для этого
необходимо строга соблюдение ряда требований, основными из которых является:
прочность, устойчивость, стабильность, минимальная деформируемость,
долговечность, ремонтопригодность, минимизация затрат на сооружение и
содержание.
Реализация этих требований при проектировании
земляного полотна обеспечивается за счет достижения заданных параметров по
первой и второй группам предельных состояний - по прочности и деформируемости.
При этом неизбежным становится учет влияния вибродинамического воздействия от
проходящих поездов на изменение свойств грунтов, из которых слагается земляное
полотно, особенно если оно возведено из лёссовидных грунтов. Кроме того, должна
учитываться влияние на земляное полотно природно-климатических факторов.
В настоящее время прочность земляного полотна
определяют по результатам анализа его напряженно-деформированного состояния.
При этом обычно считают, что прочность обеспечена, если на основной площадке
теле полотна отсутствуют зоны пластических деформаций грунтов. Такой подход к
расчету прочности земляного полотна высокоскоростных железных дорог иногда
представляется как оценка несущей способности полотна или его основания.
Очевидно, что это дает некоторое, довольно грубое приближение к истинному
определению несущей способности земляного полотна высокоскоростных железных
дорог. Тем не менее, подобные методологические приемы широко применяется как в
России, так и в других странах мира, что объясняется сложностью решения задачи
теории предельного равновесия о несущей способности земляного полотна
особенности в динамической постановке. Теоретически доказано и практически
подтверждено, что земляное полотно высокоскоростных магистралей при кажущейся
конструктивной простоте, является сложным инженерным сооружением, работающим в
тяжелых климатических, геологических и гидрогеологических условиях, а также
испытывающим динамическое и вибродинамическое воздействия от проходящих
поездов.
Цель работы: Разработка методики расчета несущей
способности насыпей, отсыпанных из лёссовидных грунтов, с учетом характера
распространение амплитуд колебаний в теле полотна и снижения прочностных
свойств лёссовидных грунтов под влиянием вибродинамической нагрузки,
возникающей при движении поездов со скоростями 200 - 250 км/ч в условиях
Республики Узбекистан.
Для достижения поставленной цели необходимо
решить следующие задачи:
. Спрогнозировать параметры вибродинамического
воздействия на грунты земляного полотна при высокоскоростном движении поездов.
. Определить прочностные характеристики
лёссовидных грунтов при действии повышенной вибродинамической нагрузки,
возникающей при движении поездов со скоростями 200 - 250 км/ч.
. Скорректировать методику расчета несущей
способности земляного полотна, отсыпанных из лёссовидных грунтов, с учетом
вибродинамического воздействия, возникающего при движении поездов со скоростями
200 - 250 км/ч.
. Разработать рекомендации по конструкциям
земляного полотна из лёссовидных грунтов при движении поездов со скоростями 200
- 250 км/ч.
Методика исследований. Для решения поставленных
задач выполнялись лабораторные и теоретические исследования. При разработке
основных принципов предлагаемой методики использовались результаты в основном
российских ученых в области механики грунтов земляного полотна железных и
автомобильных дорог, опыт их эксплуатации.
Значительная часть результатов получена на
основе многовариантных расчетов, на ЭВМ по оценке влияния свойств лёссовидных
супесей на несущую способность основной площадки земляного полотна,
воспринимающего вибродинамическую нагрузку.
Научная новизна.
. Определен уровень вибродинамического
воздействия на основной площадке земляного полотна, отсыпанного из лёссовидной
супеси, при высокоскоростном движении поездов.
. Выявлен характер изменения прочностных свойств
лёссовидных супесей под влиянием вибродинамической нагрузки, возникающей при
скорости 200 - 250 км/ч.
. Разработаны и обоснованы конструктивные решения
земляного полотна из лёссовидной супеси при обращении поездов со скоростями 200
- 250 км/ч.
Практическая ценность работы Практическую
ценность представляют результаты исследований по обоснованию конструкции насыпи
из лёссовидных грунтов. Представленные варианты конструкции земляного полотна
можно рекомендовать к применению.
Структура и объем диссертации. Диссертация
состоит из введения, четырех глав, общих выводов, списка литературы и
приложений. Общий объем составляет 112 страниц машинописного текста, в том
числе 98 страниц основного текста, 40 рисунков, 4 таблиц, 5 приложения. Список
литературы включает 67 наименований работ из них 3 на иностранном языке.
1. СОСТОЯНИЯ ВОПРОСА ИССЛЕДОВАНИЯ
1.1 Понятие о лёссовых
и лёссовидных грунтах и их основные физико-механические свойства
Лёссовыми грунтами называют неслоистую породу
четвертичного возраста, близкую по механическую составу к пылеватым суглинкам и
супесям. В ее составе преобладающей является фракция пыли, частицы крупнее 0,25
мм обычно отсутствуют. Характерными особенностями лёссовых пород является
высокая пористость, наличие крупных, видимых простым глазом пор и значительное
содержание карбонатов кальция, магния и других солей [17].
Большое распространение имеют грунты, похожие на
лёссовые породы, но отличающиеся от него теми или иными признаками. Так, одни,
аналогичные по внешнему виду породы могут содержать крупнозернистый песок или
гальку, другие - лишь весьма незначительное количество карбонатов или могут
иметь пониженную пористость. Подобные породы обычно называются лёссовидными.
Нельзя не отметить, что отсутствие определенных критериев отделения лёссовых от
лёссовидных грунтов часто приводит к тому, что одинаковые по составу и
свойствам породы получают различные названия и, наоборот, различные породы
могут быть названы одинаково [17].
Лёссовые грунты - это желтого, серовато-желтого
цвета, характеризующийся высокой пористостью 45 - 60%, с видимыми невооруженным
глазом вертикальными, слабо изгибающимися и прерывистыми канальцами диаметром
от долей до 5 мм. Вещественный состав и структурно-текстурные особенности лёсса
отличаются хорошо выраженной однородностью и имеет типичные для лёсса
литолого-минералогические показатели. Он на 10 - 20 % состоит из растворимой
части и на 80 - 90% из нерастворимого остатка. Гранулометрическое распределение
обломочной составляющей породы 30 - 55% алевритовых частиц, песчаных до 5% и
глинистых до 35%. Легкая фракция представлена кварцем 52,2%, полевыми шпатами
17,2%, обломками различных пород 23,6%, долями или единицами процентов биотита,
иногда до 10 - 12%. В тяжелой фракции, составляющей около 3%, выделяются
роговая обманка, эпидот, цоизит, анатаз, лейкоксен, циркон, магнетит и др.
Глинистая фракция представлена преимущественно терригенной диоктаэдрической
гидрослюдой в верхней части разреза, а в нижней - появляется смешаннослойная
гидрослюда-монтмориллонит [2, 4, 14, 35].
Лёссовидные грунты окрашены в желтовато-серый и
желтовато-светло-коричневый цвет, иногда с белыми крапом и выцветами солей на
поверхности - гипса и тенардита. Основная масса пород на 15,3 - 24,6% состоит
из растворимого вещества, представленного в основном карбонатами и в меньшей
степени сульфатами. Количество нерастворимого вещества колеблется от 75,4 до
84,7 %. По гранулометрическому составу кластический материал состоит из
алевритовой 38,3 - 50,3% и глинистой фракции 34,4 - 37,1%. Легкая фракция:
кварца 54,1 - 75,0%, полевых шпатов 5,9 - 27,8%, слюды 0,6 - 7,0%. Акцессорные
минералы: ильменита-магнетита 21 - 32%, эпидота-цоизита 35 - 40%, роговой обманки
11 - 18% и в незначительных количествах присутствуют анатаз, лейкоксен, циркон,
турмалин, апатит. Глинистая составляющая лёссовидных пород пролювия более
полиминеральная - на возвышенных участках преобладает терригенная гидрослюда,
вблизи выходов палеозойских отложений с развитыми на них корами выветривания
появляется каолинит, а в пониженных участках рельефа увеличивается роль
аутогенного монтмориллонита со смешанно-слойными переходными модификациями от
гидрослюды к монтмориллониту [2, 14, 17, 18].
Сравнение состава лессовых и лессовидных пород
показывает, что переотложение обломочного материала, в том числе эолового,
приводит к потере существенной части неустойчивых минералов - особенно темно-
цветных, таких как роговая обманка, биотит. По изменению количества кварца в
породах разных генетических типов от меньшего к большему складывается такой
последовательный ряд: эоловые - делювиальные - пролювиальные - аллювиальные -
озерные [17].
Для лёссовых и лёссовидных грунтов считается
характерным наличие крупных, хорошо различимых простым глазом пор, так
называемых макропор, частично представляющих цилиндрические трубочки,
возникновения которых связано с влиянием растительности. Однако, в
действительности макропористость нельзя считать особенностью всех лёссовидных
пород. Следует отметить, что крупные поры отсутствуют у многих разновидностей
лёссовидных грунтов. Подобные поры иногда не встречаются и в лёссовых грунтах.
Весьма существенно то, что эти породы обладают высокой пористостью и при
отсутствии макропор [17].
1.1.1
Физико-механические свойства лёссовых грунтов
Внешними признаками лессовых грунтов являются:
видимая на глаз пористость (макропористость), обусловленная наличием тонких,
более или менее вертикальных канальцев, способность держать откосы выемок
вертикальными при их значительной высоте, быстрая размокаемость в воде и
просадочность [15].
Особенности механических свойств лёссовых пород
зависят от их литологического и минералогического состава, агрегированности
глинистых частиц, степени и характера засоления, емкости поглощения, состава
обменных катионов, а также от химического состава и концентрации увлажняющей
жидкости.
По химическому составу главными составными
частями лессовых грунтов являются: силикаты - от 27 до 90%, глинозем - от 4 до
20% и углекислый кальций - от 6 до 67%. Водные вытяжки лессовых грунтов
содержат в различных соотношениях следующие водорастворимые соли: карбонаты и
хлориды натрия, карбонаты кальция и магния, сульфаты кальция [14].
Просадочные свойства лессовых грунтов при замачивании
тесно связаны с их химико-минералогическим составом и строением, определяющими
структурные особенности пород, сформировавшиеся в процессе их образования
просадки при увлажнении толщи лессовых грунтов объясняют растворением
цементирующей воды [15].
Плотность лёссовых грунтов в природном состоянии
изменяется от 1,28 до 2,11 г/см3 и зависит от влажности. Лёссовые грунты с
плотностью скелета менее 1,55 г/см3 и залегающие выше подземных вод обычно
являются просадочными [15].
Для лёссовых грунтов характерно наличие
макропор, которые достигают несколько миллиметров в диаметре. Они составляет 6
- 8% от общего объема пор. Суммарная пористость лессовых грунтов варьируется в
пределах 0,30 - 0,66 [15].
Влажность на границе раскатывания лёссовых
грунтов является границей, при достижении которой наблюдается резкое снижение
сопротивления сдвигу грунтов и понижение модуля деформации. Как правило,
значение границы раскатывания находится в пределах 0,12 - 0,18. Величина
влажности на границе текучести для лессовых грунтов изменяется в основном от
0,22 до 0,34 [15].
При исследовании прочностных свойств лёссовых
грунтов определяют прочностные характеристики угол внутреннего трения и
удельное сцепление для трех состояний грунта: для грунта природной влажности,
если влажность грунта больше или равна влажности на границе раскатывания; для
грунта в процессе проявления просадки при замачивании и для грунта
водонасыщенного. Выбор состояния лёссового грунта при исследовании его
прочностных свойств определяется конкретными условиями решения инженерных
задач.
Для лёссовых грунтов при изменении влажности от
0,07 до 0,11 величина угла внутреннего трения находится в пределах 27 - 31°, а
удельное сцепление - 25 - 40 кПа. Сопротивление сдвигу лёссового макропористого
грунта при его полном водонасыщении снижается в несколько раз (угол внутреннего
трения - в 1,5 - 2 раза, сцепление - до 10 раз и более). Следует отметить, что
после завершения процесса просадки значения прочностных характеристик
постепенно возрастают [15].
1.1.2 Физико-механические
свойства лёссовидных грунтов
Высокое содержание пылеватых частиц, при почти
полном отсутствии фракции крупнее 0,25 мм, являются характерными особенностью
лёссовидных грунтов вообще и просадочних их разностей, в частности. Последним
присуще изменчивое количество глинистых частиц, обычно колеблющееся в пределах
от 2 до 15% и большое количество (до 70%) частиц, размером 0,25 - 0,01 мм [17,
18].
В лёссовидных грунтах характерно значительное
нарушение их связности при увлажнении, поэтому следует ожидать, что это их
особенность может быть обусловлена физико-механическими свойствами. Агрегаты
частиц в этих грунтах должны отличатся малой водоустойчивостью, распадаться на
составные элементы в результате даже кратковременной обработки водой. В связи с
этим увеличение продолжительности воздействия воды, например, при кипячении, не
может вызвать резкого увеличения количество глинистых частиц или уменьшения
пылеватых и песчаных. Коэффициент водоустойчивости агрегатов лёссовидных
грунтов колеблется в пределах от 0,14 до 0,66 [18].
При рассмотрении вопроса о возникновении
недоуплотненного состояния лёссовидных грунтов нельзя игнорировать возможного
влияние состава пород. Это обстоятельство является тем более очевидным, что
решающие в приобретении породами склонности к просадкам играет их
минералогический состав. Так, например, высказывали мнение о том, что
лёссовидный грунт, содержащий монтмориллонит (независимо от условий
образования, величины пористости и т. п.), является непросадочным, а не
содержащий его - просадочным [17, 18].
Основную роль в возможности возникновение
недоуплотненного состояние играют условия уплотнения, иными словами, среда
(наличие воды или ее отсутствие), которая окружает частицы пород.
Результаты многих исследований показывают, что
просадки лёссовидных грунтов, вопреки установившимся на этот счет взглядам,
происходит при влажности, не только не отвечающей сколько-нибудь близкому к
полному заполнению пор, но обычно значительно меньшей величины нижнего предела
пластичности и близкой к максимальной молекулярной влагоемкости. Известно, что
подобная влажность является «оптимальной» для достижения предельного уплотнения
грунтов [18].
По химическому составу основным компонентом
лёссовидных грунтов является кремнекислота, содержащие которой превышает 60%,
остальные компоненты содержит: кварц - от 62 до 65%, глинозем - от 14 до 24%,
гематит - от 3 до 24% и углекислый газ - от 2 до 4% [18].
Плотность лессовидных грунтов в природном
состоянии изменяется от 1,78 до 2,20 г/см3 и зависит от влажности. Объемный вес
скелета лёссовидных грунтов колеблется в пределах от 1,55 до 1,68 [35].
Для лёссовидных грунтов, особенно просадочных их
разностей, характерна значительная рыхлость сложения, присущая не отдельным
зонам, а всей верхней части толщи эти грунтов, до значительной - 12 - 14 и
более метров - глубины. Пористость лёссовидных грунтов в зависимости глубины
колеблется в пределах от 42 до 50% [17].
Сопротивление лёссовидных пород сдвигу зависит
от ряда факторов, из которых главными являются плотность и влажность. Многочисленные
определения расчетных величин углов трения показали, что их значения колеблются
в зависимости от прилагаемого нормального давления и влажности в пределах от 5
до 31°. Сцепление изменяется от 0 до 0,42 кг/см2 [35].
1.2 Опыт строительства
и эксплуатации земляного полотна в районах распространения лёссовых и
лёссовидных грунтов
грунт колебание железнодорожный
полотно
Лёссовые и лёссовидные грунты широко применяются
в качестве материала для возведения различных земляных сооружений, например,
насыпей железных и автомобильных дорог, плотин, дамб и т. п. Как материал эти
породы используется после более или менее полного разрушения природной
структуры, т. е. после потери ими в какой-то мере сцепления упрочнения. При
оценке лёссовых и лёссовидных грунтов как материала на первый план выдвигаются,
данные о механическом и минералогическом составе пород, естественной их
влажности, наличии в них водорастворимых солей, пластичности, о механических
свойствах пород в состоянии нарушения структуры и т. п. Можно отметить, что
содержание водорастворимых солей в количестве 5 - 7% от веса породы не может
мешать ее использованию в качестве материала для отсыпки земляных сооружений
[17].
При строительстве земляных сооружений из
лёссовых и лёссовидных пород, приходится решать следующие вопросы: выявления
геологических условий залегания лессовой толщи в целях проектирования
размещения карьеров, а также подсчета запасов этих пород; выбор метода укладки;
выявление оптимальных условий уплотнения лёссовых и лёссовидных пород;
установления свойств уплотненных лёссовых и
лёссовидных пород.
Решение первого вопроса сводится к применению
методов и приемов разведки лёссовых и лёссовидных пород как естественных
строительных материалов.
Выбор метода укладки зависит от комплекса условий:
типов механизмов, источников водоснабжения, особенностей грунтов, типов
сооружений и т. п. [35].
Лёсс, подвергшийся просадочным деформациям,
называют обычно деградированным. Деградированный лёсс и лёссовидные грунты, как
правило, менее просадочны и более плотны, чем типичные, недеградированные
лёссы. Однако деградированные лессы, а также те из лессовидных грунтов, в
которых, как и в деградированном лёссе, в той или иной степени разрушены
структурные макропоры, склонны к сплывам и требуют пологих откосов (обычно
1:1,5) и особое внимание обращают на тщательность покрытия откосов дёрном или
другими видами одежд, предохраняющими откосы от инфильтрации в них воды и от
непосредственного размыва обнаженной поверхности.
Основной площадке выемок, сложенных из лёссовидных
грунтов и особенно из лёссов, следует обеспечить надлежащую плотность грунтов.
При необходимости её надо тщательно специально уплотнить укаткой или другими
способами, чтобы обеспечить достаточную её несущую способность [62].
На рис. 1.1 показано устройства выемки в сухих
лессах в условиях засушливого климата Средней Азии. Полки за кюветом обычно
устраивают для того чтобы мелкие осыпи, шелушение и незначительные сколы грунта
с поверхности откосов, а также потеки не попадали в кювет, а своевременно удалялись
с полок. Ширина закюветной полки - 1 м при глубине выемки H < 6 м и 2 м при
H = 6 ч 12 м. Расстояние а = Н + 10, со стороны будущего пути оно увеличивается
на 4,1 м [63].
В районах с сухим климатом при недостаточной
устойчивости близких к вертикальным откосам глубоких выемок устраивают по
высоте полки через каждые 5 - 7 м шириной 1,5 м с поперечном уклоном в сторону
пути 0,03. Полкам придается продольный уклон от середины выемки в обе стороны
(рис. 1.2) [3].
В лёссовидных грунтах и в лёссах в условиях
влажного климата (обычно со среднегодовым количеством осадков более 500 мм),
откосам придается уклон 1:1,5 (рис. 1.3), а при необходимости и положе (большое
значение в правильном выборе крутизны откосов в данной местности имеет изучение
состояния и крутизны естественных склонов, имеющихся откосов и т. п.), при
поперечном уклоне местности более 1/3 крутизна откосов устанавливается по
результатам инженерно-геологических обследований с учетом физико-механических
характеристик грунтов. В обоснованных случаях могут быть допущены более крутые
откосы. Закюветные полки не устраиваются при высоте откосов до 2 м [63].
Во избежание деформаций основной площадки
земляного полотна необходимо уплотнять с профилировкой верхний слой лёсса,
чтобы сделать его практически водонепроницаемым. Толщина уплотненного слоя
должна быть не менее 0,15 - 0,25 м, а коэффициент уплотнение - не менее 0,98.
Кюветы и другие канавы по тем же соображениям устраивают вдавливанием грунта, а
не его вырезкой и надежно защищают от инфильтрации воды из канав в грунт.
Устройства банкетов и забанкетных канав в лёссах не допускают [63].
Для предупреждения просадок в толще лёсса,
вызванных инфильтрацией воды, дно и откосы водоотводов должны быть покрыты
слоем гидроизоляции (битум, асфальтовая мастика, гидрофобный цементогрунт и
др.) с учетом допускаемых скоростей течения.
Для зашиты от размыва устраивают монолитные
бетонные или сборные железобетонные покрытия с заделкой швов между сборными
плитами битумом или асфальтовой мастикой [3].
В случае слоистости лёсса и лёссовидных грунтов,
при которой возможны сползания масс грунта по поверхностям контактов слоев,
особенно при насыщении грунта у поверхностей контактов водой, попадающей или
путём инфильтрации поверхностных вод или вследствие притока грунтовых вод,
должны быть приняты меры против возможных деформаций. С этой целью для
предотвращения от фильтрации воды в грунт принимает надлежащие меры в виде
уплотнения поверхностного слоя грунта с нарушением его структуры.
Защита от фильтрации производится на полосе
земли достаточной ширины, однако в целях перехвата воды, попавшей в грунт
посредством инфильтрации с поверхности, лежащей за пределами защищенной полосы,
в случае необходимости должен быть устроен перехватывающий эту воду дренаж.
Расстояние этого дренажа от полевой бровки
выемки (рис. 1.4) должно быть таким, чтобы масса грунта, лежащая осушенной
после устройства дренажа на поверхности контакта, служила достаточным
естественным упором, препятствующим смещению грунта, расположенного выше
дренажа.
Полоса земли, защищенного от инфильтрации
поверхностной воды в грунт, должна перекрывать место расположения дренажа (рис.
1.4).
В пересеченной местности во избежание
оврагообразования следует производить покрытие полосы отвода надёжной одеждой,
защищающей от размывного действия поверхностной воды даже в тех случаях, когда
предохранения от инфильтрации воды не требуется.
В этих же случаях бывает целесообразно вместо
устройства канав, перерезывающих травянистый покров и почву и открывающих
рыхлых лёсс, делать водоотводные валики, соответственно укрепленные (рис. 1.5).
Насыпи из рыхлённых лёссов и лёссовидных грунтов
должны подвергаться тщательному послойному уплотнению при их отсыпке, так же
как и их основания, если они имеют такой же грунт.
Следует при определении допустимой крутизны
откосов учитывать высокую гигроскопичность пылеватых карбонатных грунтов
(рыхленные лёссы и лёссовидные грунты), вследствие которой обычно поверхностные
слои грунта имеют повышенную влажность.
При возведении насыпи из лёссов и лёссовидных грунтов
на заболоченных участках и вообще при большой влажности грунтов основания при
неблагоприятном режиме грунтовых вод во избежание капиллярного поднятия воды из
основания в тело насыпи производят или необходимое осушение основания или в
основании насыпи укладывает слой хорошо дренирующего грунта, в котором
заканчивается капиллярное поднятия воды. Толщину этого слоя следует назначать
не менее 1,0 м и, во всяком случае, не менее 0,5 м (во избежание перемешивания
при устройстве насыпи дренирующего грунта с грунтом остальной части насыпи).
Этот слой носит название капилляропрерывателя. Однако при этом должны быть
приняты меры против попадания в тело насыпи сверху и с боков недопустимого
количество воды, которое может скопиться в насыпи в виде капиллярно-сеточной
воды, удерживаемой менисками над капилляропрерывателем. Вместо
капилляроперрывателей в основании насыпей может быть устроена надёжная
гидроизоляция (рис. 1.6).
Устройство подтопляемых насыпей из лёссов и
лёссовидных грунтов следует избегать. При невозможности этого насыпи
проектируют с бермами или же отсыпают в пределах подтопления (с учётом
капиллярного поднятия и влияния волн) из хорошо дренирующего грунта.
Поверхности откосов должны быть тщательно
предохранены от размывов и инфильтрации в грунт поверхностной воды [62].
В районах искусственного орошения вследствие
образования стабильного водоносного горизонта происходит замачивание толщи
просадочных лёссов с резким снижением их прочностных свойств. Это вызывает
нарушение устойчивости не только вертикальных откосов существующих выемок, но и
основной площадки земляного полотна.
На таких участках рекомендуется уположение
откосов с приданием им ступенчатого очертания, обоснованное расчетами их
устойчивости, исходя из прочностных характеристик водонасыщенного лёссового
грунта. Стабильность основной площадки земляного полотна достигается в
результате понижения уровня грунтовых вод под кюветными дренажами. В случае
заплывания кюветов необходимо их замена железобетонными лотками типовой
конструкции [3].
Анализ многочисленных аварий различных
сооружений, расположенных на просадочных лёссовых и лёссовидных грунтах
показывает, что большинство деформаций сооружений происходит в результате
неправильной эксплуатации. В связи с этим после окончания строительства на лёссовых
и лёссовидных грунтах необходимо в период всей работы сооружений, а также в
период эксплуатации, систематически наблюдать за деформациями сооружений, а
также за состоянием конструкции верхнего строения пути и за состоянием
водопропускных сооружений. Для организации нормальной технической эксплуатации
земляного полотна, расположенных на просадочных грунтах, необходимо
организовать специальную службу по технической эксплуатации. Для обеспечения
нормальной эксплуатации сооружений, построенный на лёссовых и лёссовидных
грунтах, у работников эксплуатационных служб должны находиться следующие
документы [2]:
) план территории, на котором показаны
все водопропускные сооружений;
) инженерно-геологическая карта района
размещения сооружения с указанием характеристик просадочности отдельных слоев
грунта, залегающих в пределах эксплуатируемого земляного полотна;
) систему расположения геодезических
знаков, в том числе неподвижных реперов, которые используются для
систематических наблюдений за осадками эксплуатируемых сооружений;
) паспорт данного сооружения, необходимый
для эксплуатации.
Особенности текущего содержания земляного
полотна из лёссов и лёссовидных грунтов: регулярные осмотры всех элементов
земляного полотна (при значительной высоте крутых и отвесных откосов осмотр с
помощью приставных, типа пожарных, лестниц); своевременная очистка и
профилирование нагорных канав, закюветных полок, кюветов, обочин; заделка
появляющихся за бровками и в откосах продольных и поперечных вертикальных
трещин мятым лёссовым грунтом и покрытия заделки влагонепроницаемой пленкой,
прикалываемой к грунту деревянными шпильками; сохранение дернового покрова в
заоткосной части; зачистка участков поверхности откосов, где наблюдается
отслоение шелушения грунта [3].
За участками земляного полотна железнодорожного
пути, находящегося в районе распространенных лёссовых и лёссовидных грунтов,
инженерно-геологические базы и путеобследовательские станции по земляному
полотну должны осуществлять постоянное наблюдение. Однако эти наблюдения не заменяет
систематического, текущего надзора и периодических осмотров.
Указанные организации на основании утвержденных
положений (уставов) должны: производить систематизированный осмотр всех
укрепительных, защитных, дренажных, водоотводных сооружений с необходимыми
инструментальными съемками; проверять состояние земляного полотна и его
основания при помощи бурения, шурфования и других способов с использованием
современных средств диагностирования, как инженерно-геодезический, оценки
качества основания пути с помощью нагрузочного комплекса ЛИГО; проверять
качество содержания земляного полотна, правильность ведения технической
документации [24].
1.3 Вибродинамическое
воздействие на грунты земляного полотна железных дорог
Земляное полотно железных дорог, является основанием
верхнего строения пути, обеспечивает его стабильность, прочность, долговечность
и безопасность движения поездов.
Исследования показывают, что вибродинамическое
воздействие поездов является одной из причин снижения несущей способности
грунтов земляного полотна и образования остаточных деформаций.
Исследование поведения грунтов земляного полотна
под воздействием динамических нагрузок осуществлялась по двум направлениям. К
первому направлению относятся работы посвященные изучению амплитудно - частотных
характеристик и характера распространения колебаний в грунтах земляного полотна
и основания, ко второму - исследования изменения прочностных свойств грунтов
под влиянием вибродинамических нагрузок.
1.3.1 Характеристика
колебательного процесса грунтов
Вопросам изучения распространения колебаний в
грунтах земляного полотна и его основании посвящены работы И.В. Прокудина, Г.Н.
Жинкина, Г.М. Стояновича, А.И. Кистанова и др. [21, 25, 40, 41, 50].
Ярко выраженное вибрационное и динамическое
воздействие проходящих поездов на все элементы железнодорожного пути вызывает в
грунтах земляного полотна сложный колебательный процесс. Он имеет ярко
выраженный стохастический характер, его параметры зависят от большого числа
факторов, важнейшими из которых являются [41]:
· вид и состояние грунтов;
· скорость движения поездов и осевые
нагрузки;
· конструкция и состояние верхнего
строение пути;
· вид подвижного состава, состояние
его ходовых частей и их конструктивные решения.
Исследования поведения грунта при прохождении подвижного
состава были направлены на изучение основных характеристик колебательного
процесса и распространения колебаний в теле земляного полотна и за его
пределами. Известно [19, 64], что колебания гармонического типа определяется
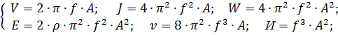
следующими основными характеристиками: амплитудой (А), частотой (f), скоростью
(V), ускорением (J), мощностью (W), энергией (Е), резкостью (v) и
интенсивностью (И). При этом амплитуда и частота является исходными
характеристиками, а все остальное - производные от них и определяются по
выражениями:

(1.1)
где ρ - плотность
среды, кН/м3.
Значительный объем исследований колебательного
процесса грунтов земляного полотна выполнил И.В. Прокудин [40, 41]. При проходе
подвижного состава он в общем характере колебаний выделяет три гармоники:
1. Низкочастотная. Характеризуется частотами от
1,5 до 3,0 Гц и амплитудами 20 - 80 мкм [41, 51].
. Среднечастотная составляющая с частотой
колебаний для пассажирских поездов от 4 до 20 Гц, а для грузовых от 7 до 16 Гц.
Амплитуда среднечастотной составляющей зависит от скорости движения поездов, от
осевой нагрузки, от конструктивных особенностей ходовых частей подвижного
состава, вида и состояния пути, и составляет порядка 35 - 215 мкм [41, 51].
. Высокочастотная. Это составляющая проявляется
с частотой от 40 до 200 Гц, при этом обладая незначительными амплитудами 3 - 7
мкм. Имеет свойства интенсивно затухать в теле земляного полотна и за его
пределами [41, 51].
Исследования амплитуд колебаний грунтов на
основной площадке земляного полотна в зависимости от скорости движении поездов
на обычных глинистых грунтах проводилось И.В. Прокудином [41], а на лёссовидных
грунтах А.М. Абдукаримовом [1].
Результаты исследования амплитуд колебаний грунтов
на основной площадке земляного полотна в зависимости от скорости движении
поездов представлены на рис. 1.7. Кривая 1 рис. 1.7 отображает изменения
результирующей максимальной вероятной амплитуды колебаний на обычных глинистых
грунтах при увеличении скорости движения пассажирских поездов. В интервале
изменения скорости от 50 до 180 км/ч увеличение амплитуд происходит по
прямолинейной зависимости с интенсивностью 8 мкм на 10 км/ч. Максимальные
смещения регистрируется при скорости движения поездов 180 - 190 км/ч, а с её
дальнейшим увеличением наблюдается стабилизация амплитуд колебаний. Последнее
автор объясняет, несколько большим влиянием горизонтальных составляющих и
незначительным снижением амплитуд вертикальных колебаний при скоростях свыше
200 км/ч [41]. Зависимость 2 рис. 1.1 отображает изменения результирующей
максимальной вероятной амплитуды колебаний обычных глинистых грунтов основной
площадки при увеличении скорости движения грузовых поездов с нагрузкой на ось
подвижного состава 190 - 210 кН. Как видно из рисунка амплитуда увеличивается
по прямолинейной зависимости с ростом скорости движения поездов в диапазоне от
40 до 115 км/ч и характеризируется высокой интенсивностью, достигающей 19 мкм
на 10 км/ч [41], т. е. практически в 2,1 раза выше по сравнению со значением
интенсивности для пассажирских поездов.
Зависимость 3 рис. 1.7 отображает изменения
результирующей максимальной вероятной амплитуды колебаний лёссовидных грунтов
основной площадки при увеличении скорости движения грузовых поездов. Анализ
зависимости 3 показывает, что амплитуда колебаний на основной площадке во всем
диапазоне изменения скоростей от 20 до 60 км/ч, имеет прямолинейный характер с
интенсивностью 20,0 мкм с ростом скорости на 10 км/ч [1]. Из графика видно, что
амплитуды колебаний на основной площадке, полученные для лёссовидных грунтов
выше по сравнению со значением амплитуд колебаний на основной площадке для
обычных глинистых грунтов.
На рис. 1.8 представлено загасание амплитуд
колебаний по глубине земляного полотна из обычных глинистых грунтов [41] и из
лёссовидных грунтов [1].
Анализ рис. 1.8 показывает, что для обычных
глинистых грунтов загасание амплитуд колебаний происходит практически с
одинаковой интенсивностью по всей глубине, а на лёссовидных грунтах затухание
амплитуд смещений происходит по некой криволинейной зависимости и по
интенсивности затухания делиться на две зоны. От уровня основной площадки до
глубины 0,5 м амплитуды колебаний затухают более интенсивно, чем на глубине от
0,5 до 1,5 м.
Расчет параметров колебательного процесса
грунтов железнодорожного земляного полотна характеризуется большой сложностью и
трудоемкостью, поэтому основная характеристика колебаний грунтов - амплитуда
смещений - определяется экспериментальным путем.
Исследование распространения колебаний в теле
полотна и за его пределами выявило, что загасание их происходит одновременно в
вертикальной и горизонтальной плоскостях по экспоненциальной зависимости.
Поэтому амплитуды результирующих колебаний в любой точке земляного полотна,
отсыпанного из лёссовидных грунтов, определяются следующими выражениями,
которые полученны А.М. Абдукаримовом [1]:

(1.2)
где 
(1.3)

(1.4)

(1.5)

(1.6)

(1.7)
где, 
- результирующая амплитуда в точке
с координатами z и y, мкм;
А0 - максимальная вероятная
результирующая амплитуда колебаний глинистого грунта основной площадки полотна,
мк;, y - координаты рассматриваемой точки по вертикали и горизонтали
расположении центра координат по оси пути на основной площадке, м;

, 
- коэффициенты, характеризующие
затухание по глубине земляного полотна амплитуд колебаний, 1/м;

, 
- коэффициенты, характеризующие
затухание в горизонтальный плоскости в пределах зоны проявление пульсации
напряжений 1/м;
δ3 - коэффициент загасания
колебаний в откосе, 1/м;
α1 - угол заложения откоса насыпи
или выемки;пл - ширина основной площадки земляного полотна, м.
1.3.2
Изменение прочностных свойств грунтов под влиянием вибродинамических нагрузок
Динамические воздействия как слабые, возникающие
вследствие движения неуравновешенных частей машин (вибрации, колебания и пр.),
так и сильные - кратковременные однократные и многократные (удары, импульсы
большой силы и т. п.), существенно сказываются на свойствах грунтов.
Вибрации вызывают уменьшение трения между
частицами грунтов и общее уменьшение их сопротивления сдвигу, импульсные
воздействия средней величины вызывают осадки и просадки, а импульсы
значительной величины - разрушение структуры грунтов и потерю их прочности
[55].
Наиболее полно вопросы снижения-восстановления
прочности глинистых грунтов земляного полотна исследовались в работах А.И.
Лагойского [33], А.И. Кистанова [25], Л.П. Зарубиной [23] и И.В. Прокудина [40,
41] и др.
Для оценки влияния вибродинамического
воздействия на прочностные характеристики глинистых грунтов А.И. Лагойским [33]
введены показатели относительного снижения удельного сцепления и угла
внутреннего трения, соответственно определяемые в долях или процентах по
формулам:
где, 
, 
- сцепление и угол внутреннего
трения, определенные при действии статической нагрузки;

, 
- то же при действии максимальной
вибродинамической нагрузки.
Изменение прочностных характеристик
при действии вибродинамических нагрузок для обычных глинистых грунтов более
подробно исследовано И.В. Прокудином [41], а для лёссовидных грунтов А.М.
Абдукаримовом [1]. Исследования выполнены в лабораторных условиях, в качестве
максимальной вибродинамической нагрузки в камере стабилометра была принята
величина 280 мкм, соответствующая при движении грузового поезда со скоростям 60
км/ч Изменение показателя относительного снижения сцепления и показателя
относительного снижения угла внутреннего трения в зависимости от консистенции
лёссовидного грунта представлено на рис. 1.9 и на рис.1.10.
Анализ рис. 1.9 и рис. 1.10
свидетельствует о незначительном снижении прочностных характеристик обычных
глинистых грунтов при влажности близкой к пределу раскатывания (JL=0).
Аналогичной вывод можно сделать и для лёссовидных грунтов. С увеличением
влажности прочностные характеристики под влиянием вибродинамического
воздействии снижаются. Важным показателем для характеристики грунтов являются
диапазон изменения влажности, которой называемый
Так для обычных глинистых грунтов
при действии вибродинамической нагрузки этот диапазон изменяется от 0,27 до
0,36 [41], а для лёссовидных грунтов это диапазон изменяется от 0,34 до 0,50
[1]. Полученные результаты указывают о меньшей чувствительности лёссовидных
грунтов земляного полотна к вибродинамическим воздействиям по сравнению с
обычными глинистыми грунтами. При критических влажностях (0,27≤JL≤0,36)
прочностные характеристики обычных глинистых грунтов снижаются: сцепление - на
43%, угол внутреннего трения на 34% [3]. Прочностные характеристики лёссовидных
грунтов при критических влажностях (0,34≤JL≤0,50) снижаются:
сцепление на 28%, угол внутреннего трения на 17% [1].
Учитывая пропорциональную
зависимость амплитуд колебаний от пульсации напряжений, закономерность
изменения прочностных характеристик от величины амплитуд колебаний грунтов
описывается следующими формулами, которые предложенны И.В. Прокудином [41] и с
учётом исследований Абдукаримовом А.М. [1], апробированы на лёссовидных
грунтах:

(1.9)

(1.10)
где, 
, 
- сцепление, угол внутреннего
трения, определяемые при вибродинамическом воздействии по величине действующих
амплитуд колебания;

, 
- сцепление, угол внутреннего
трения, определяемые при действии статической нагрузки;

и 
- минимальные показатели
соотношения характеристик сцепления и внутреннего трения;

и 
- максимальные величины показателей
относительного снижения прочностных характеристик, определяющих
чувствительность грунта к вибродинамическим нагрузкам;
К - коэффициент виброразрушения;
А - результирующая амплитуда
колебаний, при которой определяются характеристики;

- начальная амплитуда колебаний,
при которой снижение характеристики не превышает 3 - 5 %.
.4 Выводы
по главе I
. Лёссовые и лёссовидные грунты отличаются друг
от друга теми или иными признаками. Нельзя не отметить, что отсутствие
определенных критериев отделения лёссовых от лёссовидных грунтов часто приводит
к тому, что одинаковые по составу и свойствам породы получают различные
названия и, наоборот, различные породы могут быть названы одинаково.
. При строительстве земляных сооружений из
лёссовых и лёссовидных пород, приходится решать следующие вопросы: 1) выявления
геологических условий залегания лёссовой толщи в целях проектирования
размещения карьеров, а также подсчета запасов этих пород; 2) выбор метода
укладки; 3) выявление оптимальных условий уплотнения лёссовых и лёссовидных
пород; 4) установления свойств уплотненных лёссовых и лёссовидных пород.
. При движении поездов со скоростями более 200
км/ч поведение лёссовидных грунтов как материала земляного полотна не известно.
При увеличении скорости движения поездов более 200 км/ч отсутствуют требования
по параметрам конструкции земляного полотна, отсыпанных из лёссовидных грунтов.
. Вибрационное и динамическое воздействие
проходящих поездов на все элементы железнодорожного пути вызывает в грунтах
земляного полотна колебательный процесс. При увеличении скорости движения
поездов значения амплитуд колебаний увеличиваются. При высокоскоростном движении
поездов на основной площадке земляного полотна из лёссовидных грунтов значение
амплитуд колебаний не известно.
. Загасание амплитуд колебаний по глубине
земляного полотна из лёссовидных грунтов происходит более интенсивно, по
сравнению с затуханием амплитуд колебаний в земляном полотне из обычных
глинистых грунтов.
. При воздействии вибродинамической нагрузки от
проходящих поездов, двигающихся со скоростями до 100 км/ч, прочностные
характеристики лёссовидных грунтов снижаются. Удельное сцепление лёссовидных
грунтов при критических влажностях снижается - на 28%, а угол внутреннего
трения - на 17%.
. Изменение прочностных характеристик
лёссовидных грунтов при вибродинамическом воздействии, возникающей при движении
поездов со скоростями 200 - 250 км/ч ранее не исследовалось, данные об
изменении прочностных характеристик при таких условиях эксплуатации в
литературе не выявлено.
1.5 Цель работы и
задачи исследования
Цель работы: Разработка методики расчета несущей
способности насыпей, отсыпанных из лёссовидных грунтов, с учетом характера
распространение амплитуд колебаний в теле полотна и снижения прочностных
свойств лёссовидных грунтов под влиянием вибродинамической нагрузки,
возникающей при движении поездов со скоростями 200 - 250 км/ч в условиях
Республики Узбекистан.
Для достижения поставленной цели необходимо
решить следующие задачи:
. Спрогнозировать параметры вибродинамического
воздействия на грунты земляного полотна при высокоскоростном движении поездов.
. Определить прочностные характеристики
лёссовидных грунтов при действии повышенной вибродинамической нагрузки,
возникающей при движении поездов со скоростями 200 - 250 км/ч.
. Скорректировать методику расчета несущей
способности земляного полотна, отсыпанных из лёссовидных грунтов, с учетом
вибродинамического воздействия, возникающего при движении поездов со скоростями
200 - 250 км/ч.
. Разработать рекомендации по конструкциям
земляного полотна из лёссовидных грунтов при движении поездов со скоростями 200
- 250 км/ч.
2. ПРОГНОЗИРОВАНИЕ ПАРАМЕТРОВ ВИБРОДИНАМИЧЕСКОГО
ВОЗДЕСТВИЯ НА ГРУНТЫ ЗЕМЛЯНОГО ПОЛОТНА ПРИ ВЫСОКОСКОРОСТНОМ ДВИЖЕНИИ ПОЕЗДОВ
2.1 Определение
напряжений
Одной из актуальных проблем путевого хозяйства
является повышение скоростей движения поездов, в том числе организация движения
высокоскоростных пассажирских поездов. Эта проблема решается на основе
строительства новых высокоскоростных магистралей и реконструкции существующей
линии, для которой осуществляется ремонт и усиление балластной призмы, основной
площадки земляного полотна и откосов насыпей. Целью реконструкции является
обеспечение устойчивой и безопасной работы пути, и прежде всего ограничение
темпа накопления остаточных деформаций в балласте и грунтах земляного полотна.
Основная причина накопления остаточных деформаций связана с динамическими
нагрузками от подвижного состава при повышении скоростей движения. Поэтому
важной является оценка работы земляного полотна при высокоскоростном движении
поездов.
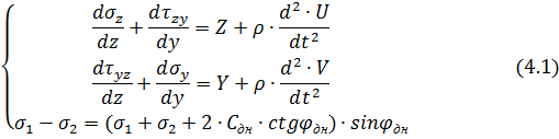
Определение напряженного состояния
железнодорожного земляного полотна при движении подвижного состава
исследовались в работах Г.Г. Коншина, Г.М. Шахунянца, И.В. Прокудина и др. [30,
31, 32, 41, 63].
Величина максимальных динамических напряжений на
основной площадке может определяться [32]:
· непосредственным измерением
напряжений мессдозами, установленными на основной площадке эксплуатируемого
пути. Такой способ позволяет получить наиболее точные данные для конкретных
условий;
· расчетом при известных параметрах
обращающегося подвижного состава по Методике оценки воздействия подвижного состава
на путь по условиям обеспечения надежности № ЦПТ-52/14 2000 г.[38];
· как предельно допустимая вагонная нагрузка [
]доп по критерию прочности основной
площадки из глинистых грунтов.
Экспериментальное определение напряжений в
грунте осуществляется приборами, которые называются мессдозами. Помещение мессдозы
внутри грунтового массива вызывает нарушение монолитности сооружения и вносит
некоторое искажение в силовое поле, создаваемое действующей нагрузкой.
Многочисленные опыты с мессдозами показывают,
что при измерении давлений погрешность находится в определенной зависимости от
соотношения физико-механических свойств мессдозы и окружающего ее грунта, в
первую очередь от деформативных свойств. Исследованиями установлено, что
наиболее точные результаты можно получить при использовании мессдоз повышенной жесткости.
Примером таких мессдоз являются тензоризисторные
полумостовые преобразователи давлений типа ПДП-70/11, обычно называемые
мессдозами с гидравлическим преобразователем конструкции ЦНИИСКа [31]. В их
конструкции модуль деформации не менее чем на порядок превышает модуль
деформации грунта, отношение высоты мессдозы к его диаметру составляет не более
0,15. Амплитудно-частотная характеристика электромеханического преобразователя
мессдозы обеспечивает регистрацию всего спектра частот изучаемых сжимающих напряжений,
в том числе надежно регистрируются динамические процессы, происходящие в
грунтах от ударных воздействий.
Принцип действия мессдозы конструкции ЦНИИСКа
основан на регистрации изменения омического сопротивления тензоризисторов при
деформации от приложенного к измерительной мембране давления. Мессдоза
представляет собой круглый диск, состоящий из корпуса с измерительной
мембраной, приемного элемента (рис. 2.1). Полость между корпусом и приемным
элементом заполнено жидкостью, выполняющей роль гидравлического мультипликатора
для передачи воспринимаемого приемным элементом давления на измерительную
мембрану. Деформация мембраны через наклеенные тензорезисторы передается на
регистрирующую аппаратуру. Для получения численных значений напряжений измерительная
схема «мессдоза - прибор» градуируется на специальном эталоном нагрузочном
стенде.
Для определения напряжений в земляном полотне
эксплуатируемого пути мессдозы устанавливаются в зависимости от поставленных
задач: только на основной площадке или одновременно на различных горизонтальных
уровнях в теле земляного полотна. Как правило, мессдозы устанавливаются в
следующих характерных вертикальных сечениях: под рельсовыми нитями, по оси
колеи и под концами шпал (или блочных железобетонных конструкций), кроме того,
в отдельных случаях мессдозы помещают в шпальных ящиках и за пределами
рельсошпальной решетки для определения границ силового воздействия поездной
нагрузки [31].
Нагрузка на основную площадку земляного полотна
от подвижного состава передается через шпалы и балластной слой и поэтому
зависит от способа ее передачи.
Если балласт наиболее уплотнен под концевыми
частями шпал, то наибольшее давление будет в подрельсовом сечении. В
специальном эксперименте [30, 32] на пути с рельсами Р50 и деревянными шпалами,
под которыми слой щебеночного балласта толщиной 20 см был уплотнен указанным
способом, получены на глубине 40 см от нижней постели шпал напряжения в
сечениях по торцам шпал в среднем 67% и по оси колеи 37% от напряжений в
подрельсовом сечении.
Если же балласт наиболее уплотнен не в
подрельсовых зонах, а под средней (по длине) частью шпалы, то наибольшие
давления на основную площадку могут оказаться по оси колеи [63].
Таким образом, в различные периоды работы пути
давление на основную площадку может быть разнообразном, иметь максимум в
подрельсовых сечениях, по оси колеи в других местах. Кроме того, надо иметь в
виду, что подвижной состав оказывает динамическое воздействие на путь.
В поперечном сечении основной
площадки максимальные напряжения, несмотря на различный характер опирания на
балласт деревянной и железобетонной шпалы, возникают на основной площадке под
рельсовыми нитями 
. Предложено оценивать характер
распределения динамических напряжений на основной площадке в поперечном сечении
земляного полотна в виде коэффициентов неравномерности 
, которые определяется по следующим
формулам [31]:
по концам шпал 
(2.1)
по оси колеи 
где, 
- напряжения соответственно под
концами шпалы и по оси колеи.
Расчеты по формулам (2.1) показали,
что отсутствует четкая зависимость коэффициентов неравномерности 
и 
от типа подвижного состава,
состояния пути, а также от величины осевых нагрузок вагонов, скорости движения.
Для всех вариантов испытаний и при содержании пути в соответствии с
существующими нормативами, были определены средние значения коэффициентов
неравномерности, которые составили 
= 0,61 и 
= 0,33 - для пути с железобетонными
шпалами [32].
Следовательно, напряжения на
основной площадке земляного полотна составляют 1/3 часть по оси колеи и 2/3
части под концами шпалы от соответствующих напряжений в подрельсовых сечениях.
Обобщенная эпюра экспериментальных напряжений на основной площадке,
соответствующая реальным условиям работы эксплуатируемого пути приведена на
рис. 2.2.
Экспериментальные работы,
проведенные на путях Московской и Белорусской дорог МИИТом, показали, что чем
выше скорости движения подвижного состава, т. е. чем быстрее перемещается
нагрузка через данное сечение пути, тем на меньшую глубину проникает ее
влияние. В эксперименте оказалось, что на глубине 1м от основной площадки при
скорости 50 км/ч напряжения в подрельсовом сечении составляли в среднем около
43% от напряжений на основной площадке, при скорости 100 км/ч - 38%, а при
скорости 150 км/ч - лишь 32%. С увеличением глубины вследствие больших сил
внутреннего сопротивления напряжения в грунте также сильно гаснут, составляя
для тех же условий на глубине 1 м при скорости 100 км/ч 38%, на глубине 2 м -
около 14% и на глубине 5 м - меньше 1% от напряжения на основной площадке [63].
Особенности напряженного состояния грунтов
земляного полотна при движении высокоскоростного пассажирского подвижного
состава исследовались Д.С. Николайтисом [44]. Эксперимент осуществлялся на
линии Санкт-Петербург - Москва, при движении высокоскоростного пассажирского
поезда Сапсан с осевыми нагрузками 18 т. Участок имеет следующие
характеристики: бесстыковой путь с рельсами Р65 на железобетонных шпалах с
эпюрой 1840 шт/км, скрепления КБ, балласт щебеночный, мощность балласта под
шпалой 0,6 м [44].
На рис. 2.3 представлено распределение
вертикальных напряжений по глубине полотна при проходе высокоскоростного
пассажирского поезда Сапсан со скоростями 195 км/ч.
Напряженное состояние железнодорожного земляного
полотна при проходе высокоскоростного пассажирского подвижного состава со
скоростями более 200 км/ч исследованы за рубежом.
Эксперименты осуществлялись на линии Гамбург -
Берлин и на линии Ганновер - Вюрцбург, при движении высокоскоростного
пассажирского поезда TSI и ICE с осевыми нагрузками 18 т. Конструкция верхнего
строение пути - бесстыковой путь на железобетонных шпалах на балластном
основании [65, 66].
На рис. 2.4 и на рис. 2.5 представлено
распределение вертикальных напряжений по глубине полотна при проходе
высокоскоростного пассажирского поезда TSI со скоростями 230 км/ч и поезда ICE
со скоростями 280 км/ч.
Анализ выше представленных графиков указывает,
что с увеличением скорости движения поездов значительно возрастают напряжения
по подошве шпал, но одновременно повышается интенсивность затухания напряжений
в балластной призмы.
На рис 2.6 представлена зависимость напряжений
на основной площадке земляного полотна от скорости движения поездов. Уровнем
основной площадки принята глубина 0,5 м от подошвы шпалы.
Как видно из графика (рис. 2.6), увеличение
напряжений от скорости движения поездов имеет криволинейной зависимость. С
увеличением скорости более 200 км/ч наблюдаются снижение интенсивности роста
напряжений.
На рис. 2.7 представлено распределение
вертикальных напряжений на основной площадке земляного полотна, при скорости
250 км/ч.
2.2 Определение
амплитуд колебаний
Величина вибродинамического воздействия на
основной площадке земляного полотна, отсыпанных из лёссовидных грунтов,
возникающие при движении поездов со скоростями 200 - 250 км/ч ранее не
исследовались. В соответствии с основной задачей исследования необходимо
определить значения максимальных результирующих амплитуд колебаний на основной
площадке железнодорожного земляного полотна, отсыпанных из лёссовидных грунтов,
при движении поездов со скоростями 200 - 250 км/ч.
При движении поездов, в результате силового
взаимодействия пути и подвижного состава, в грунтах земляного полотна возникают
пульсации напряжений, и как следствие ее, колебания частиц грунта. Как силы,
возникающие в местах контакта колеса и рельса, так и колебания грунтов
земляного полотна железнодорожного пути имеют стохастический характер,
вследствие чего характеристики колебательного процесса грунта должны выявляться
на основе теории вероятностей и математической статистики.
В работах Прокудина И.В. [41] доказано наличие
линейной зависимость между пульсацией напряжений и амплитудами колебаний.
Исходя из этого значения максимальных результирующих амплитуд колебаний на
основной площадке железнодорожного земляного полотна, отсыпанных из лёссовидных
грунтов, при движении поездов со скоростями 200 - 250 км/ч можно определить
(спрогнозировать) расчетным путём.
2.2.1 Теоретические
основы расчета амплитуд колебаний грунтов основной площадки железнодорожного
земляного полотна
Результаты исследований [41]
зависимости амплитуд колебаний от пульсации напряжений, свидетельствует о том,
что грунты земляного полотна, находящегося в течение длительного времени в
постоянной эксплуатации, характеризуются упругой работой в смысле развития и
восстановления перемещений, возникающих как ответная реакция грунта на
пульсацию напряжений. При этом возможно развитие во времени незначительных
остаточных деформаций под действием подвижной нагрузки и собственного веса
сооружений пути, что не меняет прямолинейной связи 
. В условиях нормального содержания
железнодорожного пути, как показывают исследования Попова С.Н. [39] и
Марготьева А.Н. [37], аналогичный вывод справедлив и в отношении колебаний
балластного слоя. Следовательно, вертикальные смешения балласта под шпалой при
действии пульсации напряжений можно рассчитывать на основе решения задачи
теории упругости с осевой симметрией. Для этой цели следует воспользоваться
зависимостью, определяющей перемещения поверхности упругого полупространства от
действия распределенной нагрузки, приложенной к какой - либо части поверхности.
Рассматривая шпалу, как балку на упругом основании и принимая за известный
закон распределения реактивных давлений, равных давлению шпалы на балласт,
можно воспользоваться зависимостью Вигхарда К. [67], полученной исходя из
известной формулы Буссинеска.
где, 
- вертикальное смещение
поверхности;

- коэффициент Пуассона и модуль
деформации среды, МПа;

- координаты точки, в которой
определяется смещение;

- координаты точки элементарной
площадки загруженной реактивном давлением;

- закономерность распределения
давления;

- полудлина и полуширина шпалы.
В выражении (2.1) 
(2.2)

- нагрузка на шпалу от рельсов.
Это позволяет существенно упростить
(2.2), заменив интегрирование по ширине шпалы умножением на 2b.
Для расчета амплитуд вертикальных
смещений с учетом только упругой работы грунта и балласта под пульсирующими
напряжениями в 2.1 вместо модуля деформации используется модуль упругости.
Кроме того, для определения наибольших амплитуд применяется равномерное
распределение напряжений по ширине шпал в соответствии с действующими правилами
производства расчетов верхнего строения пути на прочность [60].
Учитывая высокую погонную жесткость
шпалы в поперечном направлении и неизменность поперечного сечения под
нагрузкой, амплитуды смещений определяются под продольной осью расчетной шпалы,
что позволяет координаты 
и x приравнять нулю. При изложенных
допущениях и ограничениях выражение 2.1 является основой для расчета амплитуд
колебаний и принимает следующий вид:
Распределение напряжений под
подошвой железобетонных шпал в значительной степени зависит от способа их
подбивки. Однако, как при сплошном опирании шпал на балласт, так и при наличии
зазора в середине шпалы наибольшие напряжения в соответствии с данными [41] и
результатами ЦНИИ МПС [7, 36, 61] регистрируются в подрельсовом сечении.
Естественно, что при различным опирании шпал по их длине регистрируются
различные по величине напряжения, но интегрирование их величины по площади
всегда равно усилию воспринимаемому шпалой от рельсов. Экспериментальные
исследования, приведенные Прокудиным И.В. [41] позволили автору получить
данные, хорошо аппроксимирующиеся выражением вида
где, 
- напряжения в балласте по длине
шпалы;

- напряжения по оси пути и в
подрельсовом сечении;

- координата по оси “
” изменяющаяся от 0 до 1,35 м из-за
симметрии эпюры напряжению по подошве шпал.
Кроме того, в этих экспериментах
[41] установлено, что 

, а характер затухания напряжений и
их пульсаций одинаков с несколько большей интенсивностью для 
. Последнее обусловливает повышенное
загасание пульсации напряжений, вследствие чего на глубине 2,7 - 3,0 м их
величина не превышает 3 - 5% от зарегистрированных по подошве шпал.
Расчетное распределение напряжений в
соответствии с 2.4 представлено на рис. 2.8. Все составляющие правой части
формулы 2.4 с учетом [11] выражены через средние напряжения по подошве шпал (
).
Тогда: 
Учитывая 2.5 из 2.3 получается
Характер эпюры напряжений на рис. 2.9
свидетельствует о регистрации наибольшего упругого смещения балласта и грунта
подрельсовом сечении, вследствие в 2.6 принимается y = 0,8 м.
Выполняя интегрирование по 
получается
Полученные интегралы в замкнутом
виде не решаются и для их вычисления по [13] используются ряды


После вычислений при a=1,35
получается, что 
, а

;
Подставляя определенную величину в
2. 6, получается выражение
Формула 2.7 справедлива для расчета
колебаний поверхности полупространства, сложенного однородным грунтом. При
наличии под шпалами многослойного основания изменяется распределение напряжений
и их пульсаций по глубине. Отличие реального распространения напряжений от
получаемого в результате расчета методами теории упругости зависит от характера
расположения пластов. В случае, когда слой повышенной жесткости подстилается
более слабым грунтом, что имеет место в железнодорожном пути, в нижележащем
слое регистрируются напряжения несколько меньше расчетных по теории упругости.
При отношены ширины шпалы к высоте балластного слоя уменьшение напряжений и их
пульсации составляет 2 - 3% [45]. Этим различием без существенного изменения
точности расчета можно пренебречь, а распределение пульсации напряжений в
балластном слое и земляном полотне принимается в соответствии с решениями
теории упругости. Наличие прямолинейной связи между напряжениями и упругими
смещениями равно как между пульсацией напряжений и колебаниями, позволяет по
данным ЦНИИ МПС [30] аппроксимировать в подрельсовом сечении затухание смещений
зависимостью

при 
> 0,45 м (2.8)
где, 
- толщина балласта под шпалой, м;
α - коэффициент затухания
колебаний по глубине балласта.
α= 1,65+0,005∙(V -
50) при 60 ≤ V ≤ 180
- скорость поезда, км/ч.
Подставляя 2.7 в 2.8 получается
формула для расчета вертикальных амплитуд колебаний основной площадки земляного
полотна, воспринимающего воздействие в виде одиночного силового импульса
где, Е - модуль упругости грунта в
пределах зоны распространения пульсации напряжений.
Расчет вертикальных амплитуд
колебаний по формуле 2.9 определяет смещение среды при действии одиночного
силового импульса на рассматриваемую шпалу. Вызванные такими импульсами
колебания распространяются в балластной призме по всем направлениям. Так как
при проходе поезда такие колебания зарождаются одновременно под многими
шпалами, то в процессе распространения колебаний наблюдается их наложение друг
на друга. При совпадении колебаний по фазе происходит сложение амплитуд, их
величина достигает наибольшего значения, что создает наиболее неблагоприятные
условия работы грунтов земляного полотна. Следовательно, необходимо
рассчитывать максимальные амплитуды колебаний грунтов основной площадки. Для
этого используется уравнение затухания колебаний в горизонтальном направлении,
принимая условно среду их распространения в виде песка и смеси щебня с песком.
Коэффициент загасания колебаний в горизонтальном направлении (α1) для такой
среды приведен Ершовым В.А. и с учетом осреднения равен 0,489 [20]. Используя
уравнение для определения колебаний на некотором расстоянии от источника,
получается
Для определения суммарной амплитуды
колебаний грунтов основной площадки проинтегрируем 2.10 по “x”, принимая
расстояние распространения колебаний близким к бесконечности, т. к. α1 имеет
размерность 1/м, а длина измеряется сотнями метров.


(2.11)
Подставляя 2.9 в 2.11 получается
окончательная формула для расчета амплитуд вертикальных колебаний грунтов
основной площадки железнодорожного земляного полотна.
Расчеты по формуле 2.12 должны
производиться с учетом изменения свойств грунтов под действием
вибродинамической нагрузки.
Величины амплитуд горизонтальных
колебаний в направлении перпендикулярном оси пути определяются следующим
выражением, полученным И.В. Прокудиным [41]:

(2.13)
где, 
- амплитуда горизонтальных
колебаний поперек оси пути, мкм;

- амплитуда вертикальных колебаний,
определенный расчетным путем, мкм;- скорость для которой определяется
амплитуда, км/ч.
Экспериментальные данные полученные
И.В. Прокудиным [41] позволил автору сделать следующий вывод, с возрастанием
скорости движения пассажирских поездов изменяется соотношения между амплитудами
различных составляющих. Определенный практический интерес представляет оценка
влияния амплитуд горизонтальной составляющей вдоль пути на величину
максимальной результирующей амплитуды. Расчеты показывает, что при различных
скоростях ее влияние определяется величиной 2,3-2,7%. Следовательно, при
определении результирующей амплитуды колебаний грунтов, возникающей от прохода
пассажирских поездов по пути с шириной колеи 1520 мм, для практических расчетов
можно не учитывать горизонтальную составляющую амплитуду колебаний вдоль пути
[41].
Тогда, максимальное результирующие
амплитуд колебаний на основной площадке земляного полотна определяются:

, (2.14)
где, 
- амплитуда вертикальных колебаний,
мкм;

- амплитуда горизонтальных
колебаний в направлении поперек оси пути, мкм.
2.2.2 Исходные данные и
результаты расчета
Для расчета максимальных результирующих амплитуд
колебаний на основной площадке земляного полотна, отсыпанного из лёссовидных
грунтов, при высокоскоростном движении, принимались следующие исходные данные:
. Значения напряжений под шпалой, в соответствии
определенной в п. 2.1.
. Модуль упругости лёссовидной супеси с учетом
вибродинамической воздействии - Е = 20 МПа [28].
. Коэффициент Пуассона для лёссовидной супеси -
μ = 0,30 [57].
. Толщина балластного слоя под шпалой - hб = 0,5
м.
. Параметры шпала типа Ш1: полудлина шпала - а =
1,35 м и полуширина шпала - b = 0,15 м.
Результаты расчета представлено в таблице 2.1. Зависимость
изменение амплитуд колебаний от скорости движения поездов представлено на рис.
2.9.
ТАБЛИЦА 2.1. Результаты расчета максимальная
результирующая амплитуда колебаний на основной площадке земляного полотно
отсыпанного из лёссовидной супеси
|
Скорость
движения поездов V, км/ч
|
Напряжения
в сечении по оси рельса под шпалой σр, кг/см2
|
Напряжения
в сечении по оси пути под шпалой σо, кг/см2
|
Средние
напряжения по подошве шпал σδср, кг/см2
|
Коэффициент
затухание колебаний по глубине балласта α
|
Амплитуда
вертикаль- ной колебаний Аz, мкм
|
Амплитуда
горизонталь- ной колебаний Аy, мкм
|
Максимальная
резуль- тирующая амплитуда колебаний Ар, мкм
|
|
|
|
|
|
|
|
|
|
|
|
|
|
|
|
|
|
|
|
|
|
|
|
|
|
|
|
|
|
|
|
|
|
|
|
|
|
|
|
|
|
|
|
|
|
|
|
|
|
|
|
|
|
|
|
|
|
165
|
1,08
|
0,356
|
1,036
|
2,23
|
215
|
119
|
246
|
|
195
|
1,25
|
0,413
|
1,200
|
2,38
|
238
|
129
|
271
|
|
230
|
1,35
|
0,446
|
2,55
|
244
|
131
|
276
|
|
280
|
1,5
|
0,495
|
1,439
|
2,95
|
240
|
134
|
276
|
2.3 Выводы по главе II
Анализ напряженного состояния железнодорожного
земляного полотна при движении поездов со скоростями 200 - 250 км/ч позволяют
сделать следующие выводы:
1. С увеличением скорости движения поездов
значительно возрастают напряжения по подошве шпал, но одновременно повышается
интенсивность затухания напряжений в балластной призме.
. С увеличением скорости более 200 км/ч
наблюдаются снижение интенсивности роста напряжений на основной площадке
земляного полотна.
. В работах Прокудина И.В. [41] доказано наличие
линейной зависимости между пульсацией напряжений и амплитудами колебаний.
Исходя из этого определено максимальная результирующая амплитуда колебаний на
основной площадке железнодорожного земляного полотна, отсыпанных из лёссовидных
грунтов, при скорости поезда от 165 до 280 км/ч. Этот величина при скорости 250
км/ч составляет 276 мкм. Рассчитанная величина даёт возможность определить
несущую способности железнодорожного земляного полотна отсыпанного из
лёссовидных грунтов, при движении поездов со скоростями 200 - 250 км/ч.
3. ОПРЕДЕЛЕНИЕ ПРОЧНОСТНЫХ ХАРАКТЕРИСТИК
ЛЁССОВИДНЫХ ГРУНТОВ ПРИ ДЕЙСТВИИ ПОВЫШЕННЫХ ВИБРОДИНАМИЧЕСКИХ НАГРУЗКОК.
3.1 Физические свойства
исследуемого грунта
Для проведения исследования прочностных
характеристик лёссовидных грунтов были отобраны образцы грунтов на скоростном
железнодорожном участке Боявут-Янгиер в Республике Узбекистан. Земляное полотно
представлено насыпью высотой 2,2 метра, отсыпанной из лёссовидных грунтов.
Образцы грунтов отбирались монолитами ненарушенного сложения в соответствии с
[11]. Отбор осуществлялся с помощью специального изготовленного грунтоноса для
ручного бурового комплекта. Отобранные монолиты сразу же погружались в
металлическую гильзу. Для обеспечения естественной влажности и природной
структуры, гильзы плотно закрывались металлической крышкой, после чего
производилось парафинирование швов. В таком виде образцы грунта
транспортировались в лабораторию.
В процессе лабораторных исследований были
определены следующие показатели физических свойств лессовидной супеси:
плотность грунта, ρ; плотность
частиц грунта, ρs;
естественная влажность грунта, We; плотность сухого грунта, ρd;
влажность на границе раскатывания Wp; влажность на границе текучести WL. Все
лабораторные опыты выполнялись в соответствии с действующими ГОСТами [13].
Результаты исследований приведены в таблице 3.1. Фактический коэффициент
уплотнения определен по методу стандартного уплотнения в соответствии с [10].
Из таблицы видно, что грунт является лёссовидной супесью, в полутвердом
состоянии, и обладает высокой плотностью сложения.
Изучение прочностных свойств глинистых грунтов
при действии вибродинамической нагрузки показывает, что существенные влияние на
характеристики прочности оказывает естественная влажность, поэтому учитывая
необходимость выявления зависимости прочностных свойств при вибродинамических
нагрузках от влажности грунта, большинство серий испытаний по определению удельного
сцепления и угла внутреннего трения выполнено на образцах нарушенной структуры.
ТАБЛИЦА 3.1. Основные физические свойства
лёссовидной супеси
|
№
|
Показатель
|
Супесь
|
|
1
|
Плотность
грунта, ρ,
г/см3
|
2,15-2,20
|
|
2
|
Плотность
частиц грунта, ρs, г/см3
|
2,7
|
|
3
|
Естественная
влажность грунта, We, %
|
13,3*
|
|
4
|
Плотность
сухого грунта ρd, г/см3
|
1,86-1,87
|
|
5
|
Влажность
на границе текучести WL,%
|
19*
|
|
6
|
Влажность
на границе раскатывания Wp, %
|
13*
|
|
7
|
Число
пластичности, IP
|
6*
|
|
8
|
Фактический
коэффициент уплотнения
|
0,99
- 1,02
|
* - усредненное значение по результатам серий
экспериментов.
Образцы нарушенной структуры с задаваемой
величиной влажности изготавливались в соответствии с ГОСТ 12248-96 [12]. При
этом при изготовлении образцов обеспечивалась плотность сухого грунта (скелета)
равная фактической плотности в земляном полотне. Таким образом, образцы грунта
имели коэффициент уплотнения близкий к фактическому в теле насыпи.
3.2 Лабораторная
установка для исследования грунтов при вибродинамических нагрузках
.2.1 Моделирование
работы грунта
Для определения прочностных характеристик грунта
в лабораторных условиях при статической и вибродинамической нагрузках, в
настоящее время имеется много приборов, в которых с различной степенью
приближения моделируется натурные условия работы грунта. Грунты земляного
полотна характеризуются восприятием вибродинамической нагрузки, достаточно
точно моделируемой в стабилометрах [41].
Движущийся поезд является источником
вибродинамического воздействия, вызывающий пульсацию напряжений в грунтах
земляного полотна и его основания. В точности смоделировать такой процесс в
настоящее время сложно, да, по - видимому, и нецелесообразно. Для целей
инженерной практики вполне достаточно создать такую аналогию в состоянии
грунта, которая будет учитывать основные условия работы грунтов земляного
полотна. В исследованиях автора основное внимание уделялось моделированию
напряженного состояния образцов грунта с обеспечением действия статических и
пульсирующих напряжений в натуральную величину. Естественно, что статическая
составляющая напряжений учитывала действие собственного веса грунта земляного
полотна и веса верхнего строения пути, а пульсации напряжений - воздействие в
целом от тележки подвижного состава и от прохода каждой оси. При таком подходе
в изменении напряжений регистрировалась несущая и наложенная частота силового
воздействия и соответствующие им смещения частиц грунта. В этом случае не
учитывается высокочастотная составляющая колебаний, но ее влияние практически
не скажется на результатах экспериментов, так как, она обладает низкой энергией
(всего 4 - 5% от общей энергии) [41]. Таким образом, без больших погрешностей в
моделировании работы грунта можно воспроизводить в вибростабилометре две
составляющие: низкочастотную и среднечастотную.
Для исследования прочностных характеристик
лёссовидных грунтов в условиях моделирования напряженного состояния грунтов
земляного полотна, воспринимающего вибродинамическую нагрузку, прибор должен
удовлетворять следующим требованиям:
) испытания грунтов должно выполнятся
методом трехосного сжатия.
) обеспечение возможности независимого
регулирования двух главных напряжений.
) одновременно с вибрационным
воздействием должна быть создана постоянная нагрузка на грунт.
) обеспечение возможности осевой
деформации образца на величину не менее 25% от его первоначальной высоты.
) максимальное снижение влияния макро- и
микронеровностей торцов образца на результаты экспериментов.
) максимально снизить влияние сил трения
грунта о жесткие поверхности частей прибора.
) точность замеров деформаций образцов не
менее ±0,01 мм.
) обеспечение тарирования прибора без применения
сложных обустройств.
3.2.2 Конструкция
прибора
В основу работы установки положен принцип
моделирования вибродинамического воздействия с периодическим изменением
гидростатического давления в рабочей камере стабилометра.
Принципиальная схема лабораторной установки
приведена на рис 3.1. и состоит из трех взаимосвязанных блоков: стабилометра,
гидродинамического генератора пульсации напряжений, аппаратуры и приборов для
измерения и регистрации всестороннего давления, пульсации напряжений,
деформаций и колебаний грунта.
Сборка и подготовка установки к работе
осуществляется в следующей последовательности. Съемная камера 1 с помощью
соединительных тяг 3 и прижимной крышки 4 устанавливается на неподвижную чашу
2, создавая герметическую рабочею камеру стабилометра, внутри которой образец
грунта 5 вместе со съемным поршнем 6 установлен на нагрузочный поршень 7.
Последнему через рычаг 8 передается усилие от грузов, укладываемых в процессе
испытаний на подвеску 9. Образец грунта с поршнем 6 предварительно помещается с
помощью специального приспособления в резиновую оболочку 10 и уплотняется
кольцами 11. Камера стабилометра заполняется водой через входной кран 12,
воздух вытесняется из камеры по специально выполненной в упорном штоке 13
канавке 15, которая перекрывается заглушкой 16. Одновременно вода поступает в
волюметр 14 и ее уровень устанавливается с помощью крана 12 в верхнем крайнем
положении.
Всестороннее давление создается сжатым воздухом,
находящимся в ресивере 17 и поступающим через кран 18 по трубопроводу 19 в
волюметр 14, где давление воздуха воздействуя на жидкость передается в рабочую
камеру.
Перемещение минеральных частиц образца грунта
вызывается периодическим изменением гидростатического давления посредством
генератора пульсации напряжений, который представляет собой приставку,
работающую следующим образом. При созданном в камере гидростатическом давлении
включается электродвигатель 29, соединенный через муфту 28 с редуктором 27, от
которого посредством гибкого вала 26 приводится во вращение планетарная шайба
25, установленная под углом 2-3° к горизонту. Возвратная пружина 24
обеспечивает постоянный контакт между штоком поршня 22, оснащенным шариком, и
рабочей поверхностью планшайбы 25. Поэтому за один оборот вращения поршень 22
совершает один большой рабочий ход вверх-вниз. Так как рабочая поверхность
планетарной шайбы имеет волнообразную обработку, то кроме рабочего хода поршень
осуществляет локальные перемещения вверх-вниз при проходе штока через каждую
волну. Величина локального хода значительно меньше рабочего и определяется
высотой волнообразной обработки поверхности планшайбы. Таким образом, на
мембрану, прижатую к поршню гидростатическим давлением, передается сложное
воздействие, создающее изменение бокового давления по закону полигармонической
функции и обусловливающее перемещение частиц грунта в виде сложных
пространственных колебаний. Планшайба 25 легко снимается и устанавливается в
приборе, что позволяет, используя запасные шайбы, создавать колебания с
различным соотношением наложенных и несущей частот.
Величина пульсации гидростатического давления
определяется следующим выражением:

(3.1)
Полная величина всестороннего
давления:

(3.2)
где, P0 - статическое всестороннее
давление, МПа;

- дополнительные давления от
несущей и наложенной гармоник пульсации, МПа;
ω - угловая частота, 1/сек;-
время, сек;- отношение угловых частот гармоник, изменявшееся в экспериментах от
0 до 6.
Осциллограмма пульсации напряжений в
рабочей камере лабораторной установки для исследования влияния
вибродинамического воздействия на лёссовидные грунты.
Регулирование основной частоты
пульсации напряжений производилось с помощью редуктора 27, который позволял
ступенчато с коэффициентом редуцирования 1,5 получать на выходном валу скорость
вращения от 240 до 7000 об/мин., что соответствовало частоте воздействий от 4
до 117 Гц.
3.3
Методика подготовки и испытания грунтов
Исследование влияния вибродинамического
воздействия на прочностные свойства лёссовидных супесей осуществлялось на
образцах ненарушенный структуры с обеспечением плотности, отвечающий реальным
условиям работы грунта в теле насыпи.
Рабочие размеры образцов составляли
60 мм по высоте и 40 мм в диаметре. Перед испытанием все образцы взвешивались,
их размеры определялись с точностью до 0,1 мм и в последующем служили
основанием для определения пористости, плотность сухого грунта, площади
поперечного сечения и других параметров.
Определение прочностных
характеристик грунтов при воздействии вибродинамических нагрузок возможно при
нескольких режимах испытаний, широко распространенных в механике грунтов [41].
Учитывая характер работы лёссовидных грунтов земляного полотна, воспринимающего
постоянную нагрузку от собственного веса балласта, рельсошпальной решетки, а
так же непродолжительной период действия временной нагрузки при затрудненном
или невозможном дренировании воды, в качестве основной методики принято,
консолидировано - недренированное испытание при максимально возможной скорости
разрушения грунта. Такой метод испытания сводится к выдерживанию грунта под
всесторонним давлением до полного затухания деформаций, что легко
устанавливается по показанию волюметра. После этого на грунт передавалась
вибродинамическая нагрузка, которая воздействовала в течение некоторого
времени, а затем производилось условно - мгновенное разрушения грунта [41].
Метод условно - мгновенно разрушения при рычажной передаче нагрузки на образец
обычно заключается в том, что в процессе эксперимента грунт разрушается под
действием нагрузки, укладываемой на подвеску прибора в максимально возможном
темпе. Процесс разрушения грунта осциллографировался датчиком вертикальной
деформации. Конструкция датчика позволяет на ленте осциллографа регистрировать
график нарастания деформаций во времени практически с любой скоростью в
зависимости от действующей нагрузки. Так как нагрузка создается постепенно
уменьшающимся ступени и на осциллограмме фиксируется своеобразный перелом
графика соответствующей моменту приложения нагрузки. Таким образом по данным
осциллограмм с использованием тарировочных графиков можно получить в любой
период времени разрушения грунта следующие данные: действующую нагрузку на
любой ступени разрушения; соответствующую ей величину истиной деформации; время
действия нагрузки, а, следовательно, и время развития деформации.
На основании этих величин, используя
рекомендации, приведенные в [41], рассчитывается относительная деформация
грунта λ,
действующие
вертикальные напряжения и величина избыточных вертикальных напряжений
(девиатор). По полученным значениям традиционным способом строилось графическая
зависимость развития относительной деформации λ от
действующих избыточных напряжений, q=σ1-σ3, по которой
определялось предельное состояние образцов лессовидной супеси. Предельное
состояние грунта по графику λ=f(σ)
определяется значительно точнее и объективнее, чем общепринятым способом.
Кривые изменения относительной деформации λ от величины избыточных
напряжений q для лёссовидной супеси, отобранных на участке Боявут - Янгиер при
статическом и вибродинамическом нагружении приведены на рис. 3.4.
Для определения прочностных характеристик
лёссовидной супеси в камере стабилометра создавалось гидростатическое давление
равное 0,4; 0,6 и 0,8 кгс/см2. В главе 2 определено уровень вибродинамической
нагрузки, возникающей в условиях высокоскоростного движения поездов (при
скорости 200 - 250 км/ч). Для лёссовидных супесей при скорости 250 км/ч на
уровне основной площадки земляного полотна, значение максимальной
результирующей амплитуд колебаний составляет 276 мкм в зависимости от состояния
верхнего строения пути, земляного полотна и его основания. В связи с этим,
максимальная вибродинамическая нагрузка в камере на уровне 300 мкм.
Полученные при этих значениях бокового давления
разрушающие избыточные напряжения при действии как статической, так и
вибродинамической нагрузки позволили построить круги Мора, огибающие к которым
определяют значения сцепления и угла внутреннего трения (рис. 3.5).
Исследование прочностных свойств лёссовидных
супесей при действии видродинамической нагрузки осуществлялось при разных
величинах влажности. Результаты таких экспериментов приведены в таблице 3.2,
рис. 3.6 и рис. 3.7.
ТАБЛИЦА 3.2. Прочностные характеристики
лёссовидной супеси при действии статической и вибродинамической нагрузок
|
Показатель
консистенции JL
|
Коэффициент
уплотнения
|
Плотность
грунта, т/м3
|
Статика
|
Динамика
|
|
|
|
Удельное
сцепление С, кг/см2
|
Угол
внутреннего трения φ, град.
|
Удельное
сцепление С, кг/см2
|
Угол
внутреннего трения φ, град.
|
|
0
|
1,00
|
2,14
|
0,24
|
32
|
0,22
|
30
|
|
0,1
|
1,02
|
2,18
|
0,22
|
28
|
0,18
|
25
|
|
0,2
|
1,02
|
2,19
|
0,20
|
24
|
0,14
|
20
|
|
0,3
|
1,02
|
2,20
|
0,17
|
21
|
0,11
|
17
|
|
0,4
|
1,01
|
2,19
|
0,14
|
19
|
0,09
|
15
|
|
0,5
|
1,00
|
2,18
|
0,10
|
17
|
0,08
|
14
|
Анализ рис. 3.6 и рис. 3.7 показывает, что
лёссовидная супесь, находящаяся в твердом состоянии обладает высокими
значениями удельного сцепления и угла внутреннего трения даже при
вибродинамических нагрузках. В статике при влажности 13%, при показателе
консистенции JL = 0, сцепление равно 0,24 кг/см2 и угол внутреннего трения 32
град, а при вибродинамической нагрузке соответственно: сцепления - 0,22 кг/см2
и угол внутреннего трения - 30 град.
С увеличением влажности грунта происходит
снижения удельного сцепления и угла внутреннего трения как при действии
статической, так и при действии вибродинамической нагрузки. Так, в статике,
повышение влажности до 15%, до показателя консистенции JL = 0,3, сцепление
составило 0,17 кг/см2, т. е. снизилось на 32%. В этом же состоянии угол
внутреннего трения определяется величиной в 21є, т. е. уменьшился на 28%. При
действии вибродинамической нагрузки удельное сцепление составило 0,11 кг/см2,
т. е. снизилось на 50%, а угол внутреннего трения равен 17є, т. е. уменьшился
на 43%. Аналогичная картина наблюдается при значениях влажности 16%.
Следовательно, действие вибродинамической нагрузки, возникающей при действии
высокоскоростного подвижного состава приводит к более интенсивному снижению
прочностных характеристик лёссовидной супеси, залегающих в теле земляного
полотна.
3.4 Влияние
вибродинамического воздействия на прочностные характеристики лёссовидной супеси
Для оценки влияния вибродинамического
воздействия на прочностные характеристики лессовидной супеси использовались
показатели относительного снижения удельного сцепления и угла внутреннего
трения, определяемые по формуле 3.3:
где, 
и 
- удельное сцепление и угол
внутреннего трения грунта при статических испытаниях;

и 
- минимальные удельное сцепление и
угол внутреннего трения, определенные при максимальной вибродинамической
нагрузки, соответственно возникающей при скорости 200 - 250 км/ч.
В отдельных случаях использовался
показатель соотношения характеристик:
Взаимосвязь показателей определится
формулами:
В таблице 3.3 представлено
результаты исследований указанных показателей от влажности.
ТАБЛИЦА 3.3. Влияние
вибродинамического воздействия на прочностные характеристики лёссовидной супеси
|
Показатель
консистенции, JL
|
Коэффициент
уплотнения
|
Плотность
грунта, т/м3
|
Статика
|
Динамика
|
Относительное
снижение удельного сцепления, Кс
|
Относительное
снижение угла внутреннего трения, Кφ
|
|
|
|
|
|
|
|
|
|
|
Удельное
сцепление С, кг/см2
|
Угол
внутреннего трения φ, град.
|
Удельное
сцепление С, кг/см2
|
Угол
внутреннего трения φ, град.
|
|
|
|
|
|
|
|
|
|
|
|
|
|
|
|
|
|
|
|
|
|
|
|
|
|
|
|
|
|
|
|
|
|
|
|
|
|
|
|
|
|
|
|
|
|
|
|
|
|
|
|
|
|
|
|
|
|
|
|
|
|
|
|
|
|
|
0
|
1,00
|
2,14
|
0,24
|
32
|
0,22
|
30
|
0,08
|
0,06
|
|
0,1
|
1,02
|
2,18
|
0,22
|
28
|
0,18
|
25
|
0,18
|
0,11
|
|
0,2
|
1,02
|
2,19
|
0,20
|
24
|
0,14
|
20
|
0,30
|
0,17
|
|
0,3
|
1,02
|
2,20
|
0,17
|
21
|
0,11
|
17
|
0,35
|
0,20
|
|
0,4
|
1,01
|
2,19
|
0,14
|
19
|
0,09
|
15
|
0,33
|
0,19
|
|
0,5
|
1,00
|
2,18
|
0,10
|
17
|
0,08
|
14
|
0,20
|
0,18
|
На рис. 3.8 и на рис. 3.9 представлено изменение
показателя относительного снижения сцепления и показателя относительного
снижения угла внутреннего трения от консистенции лёссовидного грунта, при
действии вибродинамической нагрузки, которая возникающей при скорости 100 км/ч
[1] и при скорости 250 км/ч.
Анализ рис. 3.8 и рис. 3.9 свидетельствует о
незначительном снижении прочности лёссовидный супеси при влажности близкой к
пределу раскатывания (JL = 0). Коэффициент относительного снижения сцепления
составляют всего 0,08, а коэффициент относительного снижения угла внутреннего
трения 0,06 при действии максимальной вибродинамической нагрузки. С увеличением
влажности прочностные характеристики под влиянием вибродинмической воздействии
снижаются. Максимальная чувствительность лёссовидной супеси при действии
вибродинамической нагрузки достигается в диапазоне от 0,28 до 0,47. При
действии вибродинамической нагрузки, возникающей при скорости до 100 км/ч
сцепление снижается на 28%, а угол внутреннего трения снижается на 17% и при
скорости 250 км/ч сцепление снижается на 35%, а угол внутреннего трения
снижается на 20%.
3.5 Выводы по главе III
Выполненные экспериментальные исследования
прочностных характеристик лёссовидной супеси под влиянием вибродинамической
нагрузки, которой возникающей при высокоскоростном движении поездов, позволяют
сделать следующие выводы:
. Снижение прочностных характеристик лёссовидной
супеси железнодорожного земляного полотна происходит под влиянием динамического
воздействия, нарушающего силы контактного взаимодействия между элементарными
частицами.
. С увеличением влажности лёссовидных супесей
при действии вибродинамической нагрузки, которой возникающей при скорости 200 -
250 км/ч, происходит более интенсивное снижение прочностных характеристик, чем
в статике. При увеличении влажности с 13% до 15% удельное сцепление в статике
снижаются на 32%, а в динамике на 50%. Соответственно угол внутреннего трения в
статике снижается на 32%, в динамике на 43%.
. Максимальное снижение сцепления и угла
внутреннего трения лёссовидной супеси, залегающей в теле насыпи, под
воздействием вибродинамических нагрузок, возникающей при скорости 200 - 250
км/ч, регистрируется при значении показателя консистенции от 0,28 до 0,37 и
составляет 35% для сцепления и 20% для угла внутреннего трения.
4. ТЕОРИЯ РАСЧЕТА НЕСУЩЕЙ СПОСОБНОСТИ ЗЕМЛЯНОГО
ПОЛОТНА ВЫСОКОСКОРОСТНОЙ ЖЕЛЕЗНОЙ ДОРОГИ, ОТСЫПАННОГО ИЗ ЛЁССОВИДНЫХ ГРУНТОВ С
УЧЕТОМ ВИБРОДИНАМИЧЕСКОЙ НАГРУЗКИ
4.1 Общие сведения
Существенная часть железных дорог Узбекистана
сооружается из местных лёссовидных грунтов. Необходимость расчета несущей
способности земляного полотна, отсыпанного из лёссовидной супеси с учетом
вибродинамической нагрузки для узбекских железных дорог крайне необходима,
поскольку недавно была реконструирована железнодорожная магистраль Ташкент -
Самарканд под скорости 200 - 250 км/ч. Основная часть пути (насыпи) сооружена
из лёссовидной супеси. Таким образом, для обоснованности конструкции насыпей,
под скорости 200 - 250 км/ч, сооруженных из лёссовидных грунтов, необходимо
обеспечить несущую способность основной площадки земляного полотна.
Несущая способность основной площадки земляного
полотна определяется величинами предельных напряжений на её поверхности,
зависящих от прочностных свойств грунтов, и от величины вибродинамического
воздействия.
Под предельным напряженным состоянием основной
площадки земляного полотна понимается такое состояние, при котором малейшее
увеличение внешнего воздействия от статической либо динамической нагрузки, или
малейшее снижение прочности грунта приводит к образованию в земляном полотне
поверхностей скольжения. По этим поверхностям происходит разрушение земляного
полотна. Вследствие этого появляются деформации земляного сооружения.
Предельное напряженное состояние есть не что иное, как предел равновесия между
прочностью грунтового массива и действующими на массив нагрузками, включая
собственный вес грунта.
Исходя из изложенного, представляется возможным
дать определение несущей способности. Под несущей способности основной площадки
земляного полотна понимается, величина предельных напряжений на её поверхности,
при действии которых грунт находится в предельном напряженном состоянии, а их
превышение приводит к разрушению земляного полотна.
Расчет несущей способности может базироваться на
законах теории упругости или пластичности, либо с использованием теории
предельного равновесия. Основным недостатком метода определения прочности
основной площадки земляного полотна по теории упругости является невозможность
строго аналитически вычислить несущую способность. Критерием прочности в данном
случае является отсутствие зон пластических деформаций основной площадки. Такое
ограничение следует признать достаточно жестким, так как значительно занижается
величина несущей способности земляного полотна. Поэтому, определение несущей
способности должно базироваться на решении задачи теории предельного
равновесия, основные положения которой приведены в работах В.В. Соколовского,
В.Г. Березанцева, В.А.Флорина, С.С. Голушкевича и т.д. [48, 5, 53, 8, 9]. В
этом случае удается уйти от недостатков, присущих ранее созданным методам, а
именно: координаты точек кривых скольжения определяются аналитически на основе
предельного напряженного состояния грунтового массива; удается строго
определить величину несущей способности земляного полотна, а также размер зоны
смещение грунта.
Применительно к земляному полотну железных дорог
с учетом действия вибродинамических нагрузок и снижения под их влиянием
прочностных характеристик грунтов теория предельного равновесия была применена
впервые в ЛИИЖТе (ПГУПСе) профессором Прокудиным И.В. [41].
4.2. Теоретические
основы определение прочности основной площадки земляного полотна, отсыпанного
из лёссовидных грунтов при высокоскоростном движении поездов
Методика расчета несущей способности земляного
полотна основывается на решении плоской задачи теории предельного равновесия
[1,16,18,19], в которой учитывается вибродинамическое воздействие от проходящих
поездов и инерционные силы. Такое решение было получено профессором Прокудиным
И.В. [41].
Основная система уравнений плоской задачи
состоит из уравнений движения грунтовой среды и условия предельного равновесия
Кулона и имеет следующий вид:
где, 
- составляющие нормальных
напряжений, соответственно в вертикальной и горизонтальной плоскостях, т/м2;

- составляющие касательных
напряжений, т/м2;, V - перемещения при колебаниях в направлении осей Z и Y;

- максимальное и минимальное
главное напряжения;

- сцепление и угол внутреннего
трения грунта, воспринимающего вибродинамическую нагрузку;и Y - объемные силы,
при направлении оси z вертикально вниз Z =γ, а Y = 0;
γ - объемный вес грунта, т/м3;
Для получения решения, система
преобразуется с помощью введения двух новых неизвестных: угла наклона δ большие
главного напряжения 
к оси у и величины напряжения σ выражаемого
через главные напряжения следующей формулой:
После подстановки этого выражения в третье
уравнение системы (4.1) получим:
Известно, что можно представить компоненты
напряжений вдоль соответствующих координатных осей через величины главных
напряжений по формулам:
После подстановки выражений (4.2) и (4.3) в
формулы (4.4)-(4.6) получим следующие выражения для компонент напряжений через
величину среднего приведенного напряжения [47, 53, 55, 59].
В работах [27, 29, 41] по исследованию влияния
вибрации на прочностные характеристики грунтов показано, что они в зависимости
от величины вибродинамического воздействия изменяются по следующим
зависимостям:
где, 
- прочностные характеристики грунтов,
определенные при действии динамической нагрузки;

- то же, при действии статической
нагрузки;

- минимальные показатели
соотношения характеристик сцепления и внутреннего трения:
Ан - начальная амплитуда колебаний,
при которой снижение характеристик не превышает 3-5 %, мкм;

- наименьшие величины,
соответственно, сцепления и угла внутреннего трения, определяемые
экспериментально при наибольшем вибродинамическом воздействии;

- максимальные величины показателей
относительного снижения прочностных характеристик,
К - коэффициент виброразрушения, для
лёссовидной супесей 0,024 [1].
Из этих формул видно, что 
и 
определяются в любой точке
земляного полотна в зависимости от результирующей амплитуды колебаний 
, которая определяется формулой [1]:

(4.12)
Подставив соотношения (4.2) в первые
два уравнения системы (4.1) с учетом зависимостей (4.3), (4.4) и (4.7) получим
систему уравнений в частных производных для решения плоской задачи теории
предельного равновесия:
где:

Уравнения (4.13) содержат в правых
частях члены 
и 
, которые учитывают силы инерции в
колебательном процессе грунта. В работах [6, 41] показано, что значение этих
членов можно представить следующими зависимостями:
где, Н - функция, учитывающая изменение
амплитуды колебаний в земляном полотне по сравнению с амплитудами на основной
площадке. В нашем случае:
Система уравнений (4.13) является системой
первого порядка гиперболического типа, тогда следуя идеям Соколовского В.В. [5,
6, 41, 47, 53, 54, 55, 58, 59] можно показать, что уравнения характеристик и
соотношения вдоль характеристик этой системы имеют вид:
где верхние знаки относятся к линиям скольжения
второго семейства, нижние - к первому семейству и
Определение несущей способности земляного
полотна, заключается в построении сетки линий скольжения (характеристик) и
вычисления значений напряжений и угла d в узлах этой
сетки.
4.2.1 Вывод системы
уравнений
Методика, разработанная профессором Прокудиным
И.В. [41, 52] прекрасно зарекомендовала себя, показывая хорошую сходимость
расчетных данных с фактическими.
При разработке методики определения несущей
способности земляного полотна с целью упрощения расчетов были приняты некоторые
допущения. В частности при расчете в зоне особой точки «0», а также при
определении граничных условий с учетом пригрузки. Сегодня возможности
вычислительной техники значительно возросли и позволяют усовершенствовать
методику, сделав расчет еще более точным.
Для того чтобы получить представление о методике
расчета несущей способности, рассмотрим рисунки 4.1 и 4.3:
На рисунке 4.1 в общем виде представлена схема
действующих сил со следующими обозначениями:- площадка загружения, на которую
действуют вертикальные напряжения Р0;
Размер зоны основной площадки, воспринимающей
нагрузку от подвижного от состава определяется согласно [6, 52] по формуле:

(4.22)
где, 
- длина шпалы, м;

- толщина балласта под шпалой, м;
а - условная ширина обочины
земляного полотна в соответствии с рисунком 4.2.
Точка «0» называется особой потому,
что в ней происходит скачкообразное изменение угла δ от α до π/2 и величины
напряжений σ
от
qпр до Р0 предельного. Согласно рисункам 4.1 и 4.3 точка «0» является центром
расчетной схемы.
В общем случае, как и при действии
статических нагрузок для построения сетки линий скольжения, следует
рассматривать три области (ОА0А1, О А1А2, ОА2А3), представленные на рисунке
4.3.
Далее особое внимание будет уделено
расчету во второй зоне. Нахождение значений δ и σ в точке «0»
во второй зоне должно производиться с учетом данных, приведенных на рисунке
4.4. Характеристики первого семейства слева от точки «0» будут наклонены к
образующей откоса под углом (α+μ).
Справа от точки «0» угол наклона
характеристики к горизонтали составит π/2-μ в силу того,
что δ=π/2.
Эти
результаты определяются из уравнения характеристик первого семейства,
определяющих их угол наклона к оси «y».
В зоне особой точки «0» с учетом
данных рисунка 4.4 наблюдается скачок угла δ от α до π/2, который равномерно
распределяется по характеристикам первого семейства. Угол δ определяется
по формуле:
где, n - количество частей, на
которое разбивается скачок угла;- порядковый номер рассматриваемой части.
В особой точке «0», при y = 0 и δ = α,
напряжения
определяется используя следующую формулу:
В соответствии с рисунком 4.4
необходимо также отметить, что раньше не была учтена пригрузка от балластной
призмы в зоне особой точки «0», что оказывало влияние на результаты расчета
несущей способности земляного полотна. Схема для расчета с учетом пригрузки от
балластной призмы представлена на рис. 4.5.
Пригрузка условной поверхности
откоса и обочины (включая особую точку «0») определится в соответствии с
рисунком 4.5. При этом смещение центра координат на величину 0,5·b0 по
отношению к прежним осям, связано с необходимостью осуществления расчета в
координатных осях, проходящих через точку «0», лежащую на границе зоны загрузки
основной площадки.
С целью упрощения учета пригрузки на
обочине и в особой точке «0» от балластного слоя трапецеидальную эпюру
напряжений заменим треугольной, распределенной по всей ширине расчетной обочины
(а). Эта замена является равноценной, так как площади эпюр равны.
где, a - угол наклона условной поверхности откоса к
горизонту, рад.;
a1
- угол наклона откоса насыпи к горизонту, рад.;
a2
- угол в треугольной эпюре напряжений, характеризующий распределение пригрузки
на обочине (а), рад.;
g
- объемный вес грунта;
gб
- объемный вес балласта;н - высота насыпи;б - толщина балласта.
Из рисунка 4.5 и формулы 4.25
следует, что пригрузка в особой точке «0» равно произведению толщины балласта
на его объемный вес (hб·γб).
4.2.2
Алгоритм определения несущей способности земляного полотна
Расчет производится в трех зонах
(рис. 4.6): первая зона включает в себя характеристики первого семейства с 0 по
10; вторая охватывает характеристики первого семейства с 11 по 20; третья зона
с 21 по 30. Кроме того, каждая зона пересекается 10 характеристиками второго
семейства.
Определение несущей способности
земляного полотна начинается с точек, расположенных на условной поверхности
откоса. Эти точки намечаются произвольно на равных расстояниях друг от друга.
На основании ранее выполненных расчетов расстояние между соседними точками (Н)
принимают равно 0,06·b0. Фиксированное положение точек 0.10, 1.0, 10.0
позволяет точно определить для каждой из них координаты z и y, по которым
определяются Azy, Cдн, jдн по формулам
(4.12), (4.8), (4.9). Значения коэффициентов в вышеназванных формулах
определяются исходя из характеристик грунта земляного полотна.
Среднее приведенное напряжение s в точках, расположенных на
поверхности условного откоса определяется из выражения:
Значение угла d, определяющего угол между
первым главным напряжением s1
и осью OY рассчитывается по формуле:
(4.27)
Зная значения величин y, z, s, d для двух соседних точек
характеристик первого и второго семейств (i-1, j) и (i, j-1) (рис. 4.7),
определяются координаты в точке (i, j) в результате решения системы двух
линейных уравнений с двумя неизвестными, заменяя значения частных производных в
уравнениях (4.18) их конечно-разностными соотношениями:
где:
С учетом полученных значений zi,j и
yi,j определяют величины di,j и si,j путем решения уравнений
(4.19), которые в конечно-разностной форме имеют вид:

(4.32)
где:

(4.33)

(4.34)
(4.35)
(4.36)


(4.37)


(4.38)
Значения функций B и D в формулах
(4.35) и (4.36) определяются по формулам (4.20) и (4.21) с внесением соответствующих
индексов i и j.
Так как уравнения характеристик
являются криволинейными, а приближенное вычисление в точках значений функции
напряженного состояния и формы линий скольжения выполнено исходя из
прямолинейности уравнений характеристик на участках между соседними точками, то
вычисление значений d и s имеют погрешность.
Корректировка величины d для
повышения точности вычислений производится по следующим формулам:

(4.39)

(4.40)
Полученные значения подставляются в
формулы с (4.28) по (4.38) и расчет повторяется. Итерационный процесс
повторяется до тех пор, пока разность по модулю между 
и 
не станет меньше 0,005 радиана.
Определение значений d и s во второй зоне начинается с
их вычислений в особой точке «0». В этой точке угол d изменяется от a до 
. Это изменение распределим
равномерно по характеристикам первого семейства. Тогда значение угла d определится в точке «0»
следующим образом:
где: 
Величина напряжений в этих точках по
исследованием Колоса А.Ф. [27] и Козлова И.С. [26] определяется более точно
следующей формулой:

(4.42)
В формуле 4.42 в соответствии с
рисунком 4.5 и формулой (4.26) 
а 
.
В третьей зоне касательное
напряжение
. Тогда приравнивая нулю левую часть
третьего уравнения (4,7) получим, что в этой зоне угол 
. Величины d и s в этой зоне начинаются с их
определения в точке 21.1, находящейся на поверхности площадки загружения. В
этой точке координата z=0. Далее по формулам (4,28) - (4,38) определяются
значения в точках 21.2, 21.3……21.10. Затем определяются d и s в следующей точке на
поверхности площадки загружения 22.2. Далее расчет аналогичен описанному выше.
Корректировка угла в точках с y <
0 и z = 0, например, для точки 21.1, производится по формуле 
. Для последующих приближений 
. Как и прежде величина разности не
должна превышать 0,005 радиана.
В результате расчета должно
произойти совпадение величин b0 и y30.10. Допустимое различие в этих величинах
не должно превышать 0.01∙b0. Если это соотношение не выдерживается, тогда
корректируется расстояние H между точками на условной поверхности откоса по
формуле:
и расчет производится вновь.
Величины предельных напряжений в
точках на поверхности основной площадки, определяющие несущую способность
земляного полотна, определяются по первым двум формулам (4.7).

(4.44)

(4.45)
Напряжения, возникающие в теле земляного полотна
не должны превышать предельно допустимые, определяемые по формулам (4.44) и
(4.45) с определенным коэффициентом запаса.
По данным Лапидуса Л.С., Прокудина И.В. [6, 34,
42, 43, 52] условие прочности железнодорожного земляного полотна выражается
следующими соотношениями:
где,
- коэффициент учитывающей запаса
прочности, для высокоскоростного движения по данным СТН Ц-01-95 [49] 
= 1,25;
sz,
sy -
наибольшие вертикальные и горизонтальные напряжения, кПа.

(4.47)
где, 
- вертикальные напряжения на
основной площадке от подвижной нагрузки, кПа;

- вертикальные напряжения на
основной площадке от балластного слоя, кПа;

(4.48)
где, 
- объемный вес балласта, кН/м3;

- мощность балластной призмы, м;

- вертикальные напряжения на
основной площадке от рельсошпальной решетки, кПа.

(4.49)
где, 
- горизонтальные напряжения на
основной площадке земляного полотна от подвижной нагрузки, кПа;

- коэффициент бокового давления в
балласте, 
=0,4.
4.3
Исследование несущей способности земляного полотна, из лёссовидных грунтов при
высокоскоростном движении поездов
Земляное полотно является важнейшей
несущей конструкцией железнодорожного пути. На состояние земляного полотна
влияет множество внешних и внутренних факторов. Определяющими являются
прочностные и деформативные характеристики грунтов [6, 25, 41]. Однако
конструктивные особенности и состояние верхнего строения пути также оказывают
значительное воздействие на несущую способность земляного полотна.
В соответствии с действующей
нормативной документацией в практических расчетах используются определенные
величины удельного сцепления и угла внутреннего трения грунта. Практика
проектирования и эксплуатации показала, что такой подход к определению и
использованию в расчетах прочностных характеристик близок к оптимальному, так
как наиболее рационально учитывает довольно большую неоднородность грунтовых
массивов по влажности и плотности, которые обуславливают большие расхождения в
величинах удельного сцепления и внутреннего трения грунтов земляного полотна.
Согласно исследованиям Прокудина
И.В. [41, 47], на несущую способность земляного полотна оказывают влияние
следующие факторы:
· величины сцепления и угла
внутреннего трения;
· чувствительность грунта к вибродинамическим
нагрузкам, определяемая коэффициентами 
· величина вибродинамического воздействия,
измеряемая результирующей амплитудой колебаний грунта 
;
· способность грунта к рассеиванию и поглощению
энергии
колебательного процесса, определяемая коэффициентами 
· условия на границе полуплоскости, особенно в
отношении угла δ,
являющегося
функцией практически управляющей процессом определения несущей способности
грунта.
4.3.1 Пример расчета
несущей способности основной площадки земляного полотна, отсыпанного из
лёссовидной супеси
Несущая способность земляного полотна
определяется величиной предельной нагрузки, вызывающей смещение грунта по одной
из поверхностей скольжения. Расчет проводился на ЭВМ по программе,
разработанной специалистами кафедры «Управление и технология строительства».
Исходные данные:
Рассчитывалась насыпь, участок двухпутный,
земляное полотно сложено лёссовидными супесями с показателем консистенции JL =
0,3 , на прочном основании.
Высота насыпи, Нн =3,0 м;
Толщина балластного слоя hб= 0,5 м;
Заложение откоса насыпи 1:1,5;
Ширина основной площадки, В = 13,0 м;
Расстояния между пути М = 4,5 м;
Длина шпалы lш = 2,7 м;
Тогда ширина площадки загружения составит:

м;
Расчетная ширина обочины равна:

м;
Лёссовидная супесь при показателе
консистенции JL = 0,3 обладает следующими характеристиками:
Сцепление С = 1,7 т/м2;
Угол внутреннего трения j = 21 градус;
Объемный вес g = 2,15 т/м3.
Коэффициент относительного снижения
удельного сцепления КС=0,35;
Коэффициент относительного снижения
угла внутреннего трения
Кj
= 0,20;
Коэффициент виброразрушения грунта
К=0,024;
Коэффициенты затухания колебаний по
глубине 
1/м,

1/м;
Коэффициенты затухания колебаний в
поперечном оси пути направлении: 
1/м, 
1/м.
Амплитуда колебаний в соответствии
п. 2.2.2, при скорости 250 км/ч A0 = 276 мкм;
Погрешность расчетов e = 0,005 рад.
В итоге расчетов получаем следующие
величины напряжений на поверхности основной площадке земляного полотна (рис.
4.8).
На рис. 4.8 представлено результаты
расчета несущей способности основной площадки земляного полотна, отсыпанного из
лёссовидной супесью, при действии статической и вибродинамической нагрузки.
Как известно, максимальное
действующее напряжение от подвижного состава регистрируется на основной
площадке в подрельсовом сечении. Следовательно минимальная разница между
действующей и предельной нагрузкой будет иметь место в сечении по оси рельса,
которое в данном случае будет удалено от особой точки «0» на расстоянии 0,9 м.
Анализируя результаты расчета в подрельсовой зоне при действии
вибродинамических нагрузок, получим величину предельных напряжений в
вертикальной плоскости равную 8,5 т/м2, а в горизонтальной плоскости - 2,9
т/м2. Соответственно, при действии статической нагрузки они составили 12,8 т/м2
и 3,7 т/м2, т. е. учет действия вибродинамической нагрузки привел к снижению
прочности основной площадки земляного полотна в подрельсовом сечении в
вертикальной плоскости в 1,5 раза, а в горизонтальной плоскости в 1,3 раза.
Данное обстоятельство еще раз подчеркивает необходимость учета действия
вибродинамической нагрузки в расчетах прочности насыпей, сооружаемых из
лёссовидных супесей.
На основе расчета построены
огибающие линии скольжения (рис. 4.9). На рис. 4.9 штриховой линией показана
наибольшая линия скольжения, полученная при расчете с использованием
прочностных характеристик определенных при действии статической нагрузки. Как
видно из рисунка зона смешение грунта под влиянием вибродинамического
воздействия уменьшалась с 7,1 м до 4,4 м, т. е. практически в 1,6 раза, а
глубина зоны скольжения грунта уменьшилась с 3,1 м до 1,7 м, т. е. в 1,8 раза.
Совершенно очевидно, что уменьшение зоны скольжения грунта под действием
вибродинамической нагрузки, обуславливает снижение несущей способности
земляного полотна. При динамике идёт выдавливание грунта на откос, при этом
вовлечена меньшая масса грунта, а в статике идёт разрушение всего откоса.
4.4
Исследование влияния различных факторов на несущую способность основной
площадки насыпей, сложенных лёссовидными супесями
На величину несущей способности
основной площадки могут оказывать влияние различные факторы, такие как:
Состояния глин грунта
характеризующееся показателем консистенции, JL;
Заложения откоса насыпи;
Ширина основной площадки насыпи.
Ниже приводятся основные результаты
таких исследований.
4.4.1
Влияние состояния (показателя консистенции) лёссовидной супеси на несущую
способность основной площадки
Исследование влияния показателя
консистенции лёссовидной супеси на несущую способность основной площадки
земляного полотна производилось для насыпи, воспринимающей вибродинамическое
воздействие, возникающее при скорости 250 км/ч. Результаты расчета представлено
на рис. 4.10.
Анализ рис. 4.10 указывает, что
лёссовидные супеси в твёрдом состоянии (JL ≤ 0) обладают высокой несущей
способностью превосходящую требуемую прочность в 2,8 раза. С увеличением
показателя консистенции несущая способность снижается. Лёссовидные супеси при
показателе консистенции до 0,21 обеспечивают требуемую прочность основной
площадки для эксплуатации земляного полотна, при движении поездов со скоростями
до 250 км/ч. При показателе консистенции от 0,21 до 0,29 земляной полотно
работает в условиях отсутствия требуемого запаса прочности. При показателе
консистенции лёссовидной супеси JL > 0,29 прочность земляного полотна не
обеспечивается, так как несущая способность основной площадки меньше чем
действующее напряжение. Таким образом, земляное полотна отсыпанное из
лёссовидной супеси с показателем консистенции более JL ³ 0,21
требует усиления, для эксплуатации земляного полотна при движении поездов со
скоростями до 250 км/ч.
.4.2
Влияние параметров конструкции насыпи на несущую способность основной площадки
Исследование влияние геометрических
параметров конструкции насыпи на несущую способность основной площадки
производилась при изменении заложение откоса насыпи и ширины основной площадки.
Расчет производился при показателе консистенции лёссовидной супеси JL = 0,3.
Земляное полотно воспринимает вибродинамическую нагрузку, при скорости 250 км/ч
. Результаты расчета представлены на рис. 4.11.
Анализ рис.4.11 показывает, что при
изменении заложения откоса от 1:1,5 до 1:2.5, а также при изменении ширины
основной площадки от 13 до 15 м, идёт увеличение несущей способности основной
площадки. Однако, это увеличение не достаточно для достижения требуемой
прочности земляного полотна. Исходя из графика на рис. 4.11 можно сделать
следующей вывод: насыпи из лёссовидных грунтов с показателем консистенции
JL=0,3 не обладают требуемый прочностью при высокоскоростном движении поездов,
даже в том случае если заложения откоса будет более 1:1.5, а ширина основной
площадки более 13 м.
4.5
Обоснование конструктивных решений при обращении поездов со скоростями 200 -
250 км/ч
.5.1
Устройство защитного слоя на основной площадке земляного полотно
Основные проектные решения по
обеспечению прочности основной площадки насыпи из лёссовидных грунтов железных
дорог при высокоскоростном движении поездов должны предусматривать либо
снижение нагрузки на основную площадку, либо повышение её несущей способности.
На сегодняшний день для усиления земляного полотна при высокоскоростном
движении в практике проектирования существует различные методы. Один из
традиционных методов усиления земляного полотна - сооружение защитного слоя из
дренирующего грунта. Для того, чтобы обеспечить требуемую прочность на основной
площадке из лёссовидной супеси с показателем консистенции более 0.21, рекомендуется
устройство защитного слоя из дренирующего грунта. Толщину защитного слоя
определим из расчета. Для устройства защитного слоя используем грунт со
следующими характеристиками:
Тип грунта защитного слоя -
щебеночно-песчано-гравийной смесь (ЩПГС);
Удельное сцепление грунта - С = 1,7
т/м2;
Угол внутреннего трения - φ = 40є;
Объемный вес грунта - γ = 1,75 т/м2;
Коэффициент относительного снижения
сцепления - Кс = 0,17;
Коэффициент относительного снижения
угла внутреннего трения - Кφ = 0,12.
Расчет производим при показателе
консистенции лёссовидной супеси JL = 0,3 , а значение амплитуд колебаний - 276
мкм, которые возникающие при скорости 250 км/ч. Результаты расчета представлены
на рис. 4.11.
Анализ рис. 4.11 показывает, что с
увеличением толщины защитного слоя, возрастает несущая способность основной
площадки. Однако, требуемая прочность основной площадки достигается при толщине
защитного слоя 0,85 м. По данным СТН Ц-01-95 [49] минимальная толщина защитного
слоя для супесей 0,5 м, но при толщине защитного слоя 0,5 м не обеспечивается
требуемая прочность. Исходя из этого, при проектировании конструкции земляного
полотна из лёссовидной супеси с показателем консистенции 0,21 < JL ≤
0,3, при высокоскоростном движении, толщина защитного слоя должна составлять не
менее 0,85 м. Поперечный профиль насыпи из лёссовидной супеси с показателем
консистенции 0,21 < JL ≤ 0,3, с устройством защитного слоя представлен
в приложение 4. Поперечный профиль насыпы можно рекомендовать к применению.
.5.2
Устройство армированного защитного слоя
В последние годы одним из наиболее
перспективных и широко используемых в транспортном строительстве способов
усиления земляного полотна стало применение различных видов геосинтетических
материалов (геотекстили, геосетки, георешетки, геоячейки, геокомпозиты,
геоматы, геомембраны различных видов и другие материалы).
Включение геосинтетического
армирующего слоя в состав защитного слоя может значительно улучшить общую
прочность и срок службы конструкции.
Использование геосинтетического
материала в защитном слое земляного полотна позволяет:
- уменьшить необходимую толщину
защитного слоя;
- увеличить расчетный срок
эксплуатации (т. е. количество проходов поездов);
- снизить при определенных условиях
качество защитного слоя (следовательно, и его стоимость).
Для уменьшения толщины защитного слоя, усилим
защитный слой одним слоем георешетки. По нормативным данным [49] минимальная
толщина защитного слоя для лёссовидной супеси составляет 0,5 м, исходя из этого
толщину защитного слоя примем 0,5 м. При толщине защитного слоя 0,5 м дефицит
несущей способности составляет 1,6 т/м2. Дефицит несущей способности является
основным показателем для подбора георешетки, исходя из «Рекомендаций по
применению полимерных материалов (пеноплатов, геотекстилей, георешеток, полимерных
дренажных труб) для усиления земляного полотна при ремонтах пути» [46].
Очевидно, что расчетная прочность георешетки на разрыв, Rp, при постоянно
действующей нагрузке должна быть не менее дефицита несущей способности, т. е.
Rp ³
1,6 т/м, а краткосрочное сопротивление георешетки разрыву Rо (характеристика
марки георешетки приводится в паспорте фирмы изготовителя) будет связано с Rp
следующей формулой [29]:
где, γо
- коэффициент, учитывающий неоднородность материала георешетки и погрешность,
возникающую при ее эксплуатации, γо
= 1,05;
γ1 - коэффициент,
учитывающий повреждаемость материала георешетки при укладке и в процессе
эксплуатации в слое щебня. По опытным данным ПГУПСа и МИИТа и других
исследовательских организаций γ1 = 1,03;
γрн - коэффициент,
учитывающий снижение прочности георешетки под воздейтвием агрессивной грунтовой
среды, зависящей от кислотности почвы. Георешетка с прочностью на разрыв не
менее 10 т/м настолько устойчивые к агрессивным воздействиям, что в течение
длительного срока эксплуатации их расчетная прочность не снижается, тогда γрн
= 1,0;
Кτ - коэффициент,
учитывающий снижение краткосрочной прочности на разрыв при действии нагрузки в
течение расчетного срока службы сооружения, аналог коэффициент ползучести
материала. Для георешеток с прочностью на разрыв не менее 10 т/м, Кτ
= 0,6 с
учетом действия временной периодически повторяющейся нагрузки от подвижного
состава.
Тогда: 
т/м.
Таким образом, по величине Rо
подбирается такой тип геосинтетического материала, у которого прочность на
разрыв не менее 10 т/м.
Следовательно, 
т/м.
С учетом армирования защитного слоя
георешеткой несущая способность на основной площадке земляного полотна в
сечении по оси рельса составляет 14,8 т/м2 и обеспечивается требуемая прочность
земляного полотна. Поперечный профиль насыпи из лёссовидной супеси с
показателем консистенции 0,21 < JL ≤ 0,3, с устройством армированного
защитного слоя представлен в приложение 5. Поперечный профиль насыпы можно
рекомендовать к применению.
4.6 Выводы
по главе IV
Теоретические исследования несущей
способности земляного полотна из лёссовидной супеси, воспринимающего
вибродинамическое воздействие от проходящих поездов, возникающего при скорости
200 - 250 км/ч, дают основание для следующей выводов.
. При действии вибродинамической
нагрузки происходит снижение несущей способности основной площадки земляного
полотна, отсыпанного из лёссовидной супеси. Так при скорости поезда 250 км/ч
несущая способность снизилась на 1,5 раза в вертикальной плоскости и на 1,3
раза горизонтальной плоскости по сравнению со статической нагрузкой. Данное
обстоятельство указывает на необходимость учета действия вибродинамической
нагрузки в расчетах прочности насыпей, сооружаемых из лёссовидных супесей.
. Лёссовидные супеси в твёрдом
состоянии (JL ≤ 0) обладают высокой несущей способностью обеспечивающие
надёжную работу земляного полотна. С увеличением показателя консистенции
несущая способность снижается. Лёссовидные супеси при показателе консистенции
до 0,21 обеспечивают требуемую прочность основной площадки для эксплуатации
земляного полотна, при движении поездов со скоростями до 250 км/ч. При
показателе консистенции от 0,21 до 0,29 земляной полотно работает в условиях
отсутствия требуемого запаса прочности.
. На основе расчета прочности
земляного полотна, представлены варианты конструкции земляного полотна,
обеспечивающие требуемую прочность земляного полотна из лёссовидной супеси с
показателем консистенции 0,21 < JL ≤ 0,3, при высокоскоростном
движении поездов. Представленные поперечные профили насыпи можно рекомендовать
к применению.
ОСНОВНЫЕ ВЫВОДЫ ПО РАБОТЕ
На основе анализа работ других
авторов, результаты лабораторных и теоретических исследований, позволяет
сделать следующие выводы:
. С увеличением скорости движения
поездов значительно возрастают напряжения по подошве шпал, но одновременно
повышается интенсивность затухания напряжений в балластной призмы.
. В рамках теоретических
исследований определена величина максимальных результирующих амплитуд колебаний
на основной площадке земляного полотна, отсыпанных из лёссовидных супесей, при
высокоскоростном движении поездов и это величина составляют 276 мкм при
скорости 250 км/ч.
. При действии вибродинамической
нагрузки, возникающей при высокоскоростном движении поездов, снижается
прочностные характеристики лёссовидной супеси. Максимальное снижение сцепления
и угла внутреннего трения достигается при показателе консистенции от 0,28 до
0,37 и составляет 35% для сцепления и 20% для угла внутреннего трения.
. На базе лабораторных и
теоретических исследований решена задача по определению несущую способностью
основной площадки земляного полотна, отсыпанного из лёссовидного супеси с
учетом действия вибродинамических нагрузок и снижения прочностных свойств
грунтов под её влиянием.
. На основе решения теории
предельного равновесия можно определить дефицит несущей способности, величина
которого является основным показателем для обоснованного выбора конструкции
усиления основной площадки земляного полотна с целью повышения его прочности.
. На основе расчета прочности
земляного полотна, представлены варианты конструкции земляного полотна, обеспечивающие
требуемую прочность земляного полотна из лёссовидной супеси с показателем
консистенции 0,21 < JL ≤ 0,3, при высокоскоростном движении поездов.
Представленные поперечные профили можно рекомендовать к применению.
СПИСОК ЛИТЕРАТУРЫ
1. Абдукаримов
А.М. Несущая способность земляного полотна, отсыпанного лёссовыми грунтами,
воспринимающими вибродинамическую нагрузку. //канд. дисс., -ПГУПС. -СПБ., 2011.
. Абелев
М.Ю. Основы проектирования и строительства на просадочных макропористых
грунтах. М.: Стройиздат, 1979. - 271 с.
. Аверочкина
М.В., Бабицкая С.С., Большаков С.М. и др. Справочник по земляному полотну
эксплуатируемых железных дорог. Под ред. А.Ф. Подпалого, М.А. Чернышева, В.П.
Титова. - М.: Транспорт, 1978. - 766 с.
. Ананьев.
В.П. Техническая мелиорация лёссовых грунтов. Ростов.: Изд-во Ростовского
университета, 1976. - 120 с.
. Березанцев
В.Г. Осесимметричная задача теории предельного равновесия. -М, 1953. - 67 с.
. Виноградов
В.В. Экспериментальное исследование распространения колебаний в грунтах
насыпей. - Труды МИИТа, вып. 452, 1976. С. 80-107.
7. Голованчиков
А.М. Вертикальные нормальные напряжения в балластной призме железнодорожного
пути. Труды ЦНИИ МПС, вып. 387, Транспорт, 1970, С. 81 - 112.
8. Голушкевич
С.С. Плоская задача теории предельного равновесия сыпучей среды. -М.:
Гостехиздат, 1948. -148.с.
. Голушкевич
С.С. Статика предельных состояний грунтовых масс. -М.: ГИТТЛ, 1957. -288 с.
. ГОСТ
22733 - 2002 Грунты. Методы лабораторного определения максимальной плотности.//
-М. 2002.
. ГОСТ
12071-2000 - Грунты. Отбор, упаковка, транспортирование и хранение образцов.//
- М. 2000.
. ГОСТ
12248-96 - Грунты. Методы лабораторного определения характеристик прочности и
деформируемости.// - М. 1996.
. ГОСТ
5180-84 методы лабораторного определения физических характеристик.// - М. 1984.
. Грунтоведение.
/Под ред. Е.М. Сергеева. - М.: МГУ, 1983. - 389 с.
. Далматов
Б.И., Бронин В.Н., Карлов В.Д. и др. Механика грунтов. Ч. 1. Основы геотехники
в строительстве. / Под ред. Б.И. Далматова. - М.: Изд-во АСБ; СПб.: СПбГА-СУ,
2000. - 204 с.
. Двайт
Г.Б. Таблицы интегралов и другие математические формулы. Наука , 1978. - 224 с.
. Денисов
Н.Я. Строительные свойства лёсса и лёссовидных суглинков. М., 1951. 135 с.
. Денисов
Н.Я. О природе просадочных явлений в лёссовидных суглинках. М., 1946. 176 с.
. Ермолаев
Н.Н. и Сенин Н.В. Влияние вибродинамических воздействий на физико-механические
характеристики грунтов и методика учета их в проектировании оснований и
сооружений.// Сб. докладов научно-технической конференции. Изд. ЛВИКА им.
Можайского, -Л., -1967.
20. Ершов
В.А. Динамическая устойчивость плотин, сооружаемых из засоленных песков, в
процессе их рассоления. Труды ЛИСИ, вып. 37, 1962, С. 62 - 75.
21. Жинкин
Г.Н., Зарубина Л.П., Кейзик Л.М. Исследование колебаний грунтов
железнодорожного земляного полотна, вызываемых движущимися поездами.// Волны в
грунтах и вопросы виброметрии: Сб. научный тр. / ТашИИТ - Ташкент, 1975. - С.
137-142.
. Жинкин
Г.Н. Результаты лабораторных исследований прочностных характеристик глинистых
грунтов при динамических нагрузках / Г.Н. Жинкин, И.В. Прокудин // Сб. научн.
тр./ ЛИИЖТ-Л., 1975.-вып. 387.-С.З-51.
. Зарубина
А.П. Исследование влияния динамических нагрузок на прочностные свойстве
глинистых грунтов железнодорожного земляного полотна. // канд. дисс. - ЛИИЖТ. -
1969.
. Инструкция
по содержанию земляного полотна железнодорожного пути. / МПС России. - М.:
Транспорт, 1998. - 189 с.
. Кистанов
А.И. Исследования вибродинамического воздействия поездов на глинистые грунты
земляного полотна.// канд. дисс. - ЛИИЖТ. - 1969. -170 с.
. Козлов
И.С. Влияние конструкции промежуточных рельсовых скреплений на несущую
способность земляного полотна скоростных железнодорожных линий. // канд. дисс.,
- ПГУПС. - СПб., 2009. - 166 с.
. Колос
А.Ф. Противодинамическая стабилизация железнодорожного земляного полотна путем
цементации грунтов основной площадки: дисс. ... канд. техн. наук / А.Ф. Колос;
ПГУПС. - СПб., 2000. - 163 с.
. Колос
А.Ф., Мирсалихов З.Э. Исследование деформативных свойств лессовидных супесей при
воздействии вибродинамической нагрузки от скоростного подвижного состава //
Инженерный вестник Дона, 2012. - №3.
. Колос
И.В. Несущая способность основания земляного полотна, сложенного йольдиевыми
глинами. Диссертация на соискание ученой степени кандидата технических наук. -
СПб., 2004. -170 с.
30. Коншин
Г.Г. Напряжения и упругие деформации в земляном полотне под воздействием
поездов. Труды ЦНИИ МПС, вып. 460. М., «Транспорт», 1972. - 125 с.
31. Коншин
Г.Г. Работа земляного полотна под поездами: учеб. Пособие. - М.: ФГБОУ
«Учебно-методический центр по образованию на железнодорожном транспорте», 2012.
- 208 с.
32. Коншин
Г.Г. Экспериментальное исследование распределения динамических напряжений в
теле земляного полотна. - Тр. МИИТ, 1965., вып. 210, С. 42-59.
33. Лагойский
А.И. Исследование тиксотропных изменений глинистых грунтов в железнодорожном
земляном полотне. // канд. дисс. - ЛИИЖТ. - 1962.
. Лапидус
Л.С. Несущая способность основной площадки железнодорожного земляного полотна.
- М.: Транспорт, 1978. - 125 с.
. Ларионов
А.К. Лёссовые породы СССР и их строительные свойства. М., Госгеолтехиздат,
1959.
36. Лысюк
В.С. Методика расчета давления шпалы на балласт. Труды ЦНИИ МПС, вып. 466, М.,
“Транспорт”, 1972, С. 68 - 82.
37. Марготьев
А.Н. О расчетных значениях динамического коэффициента при определении
устойчивости земляного полотна. Труды ЦНИИ МПС, вып. 326. Транспорт, 1967, С.
34 - 40.
. Методике
по оценки воздействия подвижного состава на путь по условиям обеспечения
надежности № ЦПТ-52/14 2000 г.
. Попов
С.Н. Балластной слой железнодорожного пути. Транспорт, 1965. - 183 с.
. Прокудин
И.В. Исследования изменения прочностных характеристик пластично-мерзлых
глинистых грунтов железнодорожного земляного полотна при действии
вибродинамической нагрузки. // канд. дисс., -ЛИИЖТ, 1970.
. Прокудин
И.В. Прочность и деформативность железнодорожного зелмяного полотна из
глинистых грунтов, воспинирмающих вибродинамическую нагрузку. // док. дисс. -
ЛИИЖТ. - 1982. - 455 с.
. Прокудин
И.В. Колебания глинистых грунтов земляного полотна при высокоскоростном
движении поездов. // Вопросы земляного полотна и геотехники на железнодорожном
транспорте: Сб. научн. тр. / ДИИТ-Днепропетровск, 1979.- вып. 203/28. - С.
43-51.
. Прокудин
И.В. Колебание материалов балластного слоя и земляного полотна под стрелочными
переводами / И.В. Прокудин, И.С. Козлов // Труды V науч.-техн. конф. с
международным участием «Современные проблемы проектирования, строительства и
эксплуатации железнодорожного пути». Москва, МИИТ. - 19-20 ноября 2008. - С.90-93.
44. Прокудин
И.В., Николайтис Д.С. Исследование напряженного состояния балластной призмы при
высокоскоростном движении поездов на перегоне Колпино - Поповка Октябрьской
железной дороги. // Отчет о НИР. Окончательный. СПб., ПГУПС, 2010 г.
45. Резников
В.П. Напряженно - деформированное состояние грунтового основания,
рассматриваемого как двухслойная среда, под ленточными фундаментами.
Афтореферат диссертации. МИСИ, 1978. - 22 с.
. Рекомендаций
по применению полимерных материалов (пенопластов, геотекстилей, георешеток,
полимерных дренажных труб) для усиления земляного полотна при ремонтах пути //
МПС Росси. - М.: ИКЦ «Академ. книга» 2002. - 110 с.
. Собботка
З. Осесимметричные и трехмерные задачи предельного равновесия неоднородных сред
// Механика, сб. пер., №5, 69, 1961.
. Соколовский
В.В. Статика сыпучей среды // М., - 1960. - 243 с.
. СТН
Ц-01-95. Строительно-технические нормы министерства путей сообщения Российской
Федерации. Железные дороги колеи 1520 мм. Система нормативных документов МПС
РФ. - М.: Транспорт, 1995. - 87 с.
. Стоянович
Г.М. Исследование несущей способности глинистых грунтов железнодорожных выемок
при вибродинамическом воздействии поездов.// канд. дисс. - Л.,1985 - 218 с.
. Стоянович
Г.М. Прочность и деформативность железнодорожного земляного полотна при
повышенной вибродинамической нагрузке в упругопластической стадии работы
грунтов. // док. дисс. - Хабаровск., 2002. - 360 с.
. Указания
по расчету несущей способности земляного полотна, сложенного глинистыми
грунтами, воспринимающими повышенную вибродинамическую нагрузку.: Отчет о НИР /
ЛИИЖТ; руководитель Прокудин И.В. -Л., 1982. - 61 с.
. Флорин
В.А. Основы механики грунтов // т. 1, Госстройиздат, 1959. - 357 с.
. Флорин
В.А. Основы механики грунтов // т. 2, Госстройиздат, 1959. - 543 с.
. Цытович
Н.А. Механика грунтов (краткий курс). 2-е изд., доп. Учебн. Для вузов. М.,
«Высш. школа», 1973. - 280 с.
. Цытович
Н.А. Механика грунтов. Высшая школа, 1976. - 280 с.
. Цытович
Н.А. Механика грунтов (краткий курс). Учебник для строит. ВУЗов. - 4-е изд.,
перераб. и доп. - М.: Высш. шк., 1983. - 288 с.
. Черников
А.К. Решение жесткопластических задач геомеханики методом характеристик . -СПб,
ПГУПС, 1997. -191 с.
. Черников
А.К. Теоретические основы геомеханики. : Учеб. пособие.-СПб: ПГУПС, 1994. - 187
с.
60. Чернышев
М.А. Практические методы расчета пути. Транспорт, 1967. - 235 с.
61. Шахунянц
Г.М. К вопросу об определении эпюры давления на балласт. Труды МИИТа, вып. 45,
Трансжелдориздат, 1936, С. 119 - 131.
. Шахунянц
Г.М. Земляное полотно железных дорог. М.: Трансжелдориздат, 1953. - 827 с.
. Шахунянц
Г.М. Железнодорожный путь. Учебник для вузов ж.-д. трансп. - 3-е изд., перераб.
и доп. - М.: Транспорт, 1987. - 479 с.
. Шейхет
И.М. Изменение прочности лёссовых грунтов при ударном уплотнении. //Материалы к
научно-технической конференции по динамическим воздействиям на грунты и одежды
автомобильных дорог. // - Изд. Литературы по строительству. -Л., -1964.
65. U.
Weisemann, K. Lieberenz. Unterbau und Erdbauwerke - Geotechnische Probleme und
Losungen bei der Ertuchtigung von Ausbaustrecken // Eisenbahntechnische
Rundschau , 2006. - №4. -P. 241-246.
66. Y.
Hu. Deformation Behavior of Clays Under Railway Traffic Loading.
URL:
http: www.uni-kassel.de/fb14/geotechnik/dl/publikationen/2001/2001j.pdf
<#"869678.files/image187.gif">