Разработка специализированной программы для компьютерного моделирования поверхности
Содержание
Введение
Глава
1. Основные факты из теории кривых и поверхностей
1.
Гладкие кривые
.
Гладкие поверхности
.1.
Определения. Параметрические уравнения
.2.
Первая квадратичная форма
.3.
Вторая квадратичная форма
.4.
Формулы Гаусса - Петерсона - Кодацци
.5.
Геодезические линии
.6.
Поверхностная полоса
Глава
2. Моделирование поверхностей, заданных первой и второй квадратичными формами
.
Основные вычислительные формулы
.
Описание метода моделирования геодезических линий при восстановлении
поверхности
Заключение
Библиографический
список
Приложение
Введение
При исследовании геометрических объектов важным
фактором является возможность их наглядного представления. В настоящее время
благодаря доступности высокопроизводительной компьютерной техники и наличию
эффективных специализированных программ мы имеем возможность широко
использовать компьютерное моделирование геометрических объектов.
Сейчас, в науке, имеется тенденция к очередной
геометризации, модельности и, следовательно, к воспитанию навыков образного
мышления.
Данная работа посвящена исследованию методов
моделирования гладких поверхностей по заданным первой и второй квадратичным
формам. Компьютерное моделирование поверхности реализуется с помощью
современного мощного математического пакета Scilab.
Данный пакет предоставляет обширные возможности по решению дифференциальных
уравнений и по графическому представлению информации. Его важной особенностью
является кросс-платформенность, то есть работа с разными операционными
системами, а так же то, что он относиться к свободно распространяемому
программному обеспечению.
Проблемой исследования является компьютерное
моделирование поверхностей по заданным аналитическим условиям.
В качестве объекта исследования выбрана общая
гладкая поверхность, что обусловлено, несколькими причинами. Во-первых,
отсутствием удобных и оптимальных средств для моделирования поверхностей.
Во-вторых, разнообразными приложениями теории поверхности, которые рассмотрены
в первой главе данной работы. В-третьих, возможностью наглядного воспроизведения
результатов численного моделирования.
Предмет: восстановление гладких поверхностей по
заданным первой и второй квадратичным формам.
Цель исследования: разработка специализированной
программы для компьютерного моделирования поверхности.
В соответствии с выделенными проблемой,
объектом, предметом и целью исследования были поставлены следующие задачи
исследования.
· Проанализировать специальную
литературу по данной теме;
· Выделить и описать теоретическую
базу необходимую для реализации поставленной цели;
· Проанализировать состояние
современного опыта по теме исследования;
· Разработать специальную программу
для моделирования поверхности в математическом пакете Scilab.
Для реализации поставленных целей и задач
исследования применялись следующие методы исследования:
· Изучение и анализ учебной и научной
литературы по проблеме исследования;
· Анализ уже существующих разработок
по проблеме исследования;
· Изучение методов программирования;
· Анализ различных подходов к решению
задач и выбор по его результатам оптимального метода моделирования;
· Реализация математического
моделирования в виде программы на встроенном языке пакета Scilab.
Работа состоит из двух глав, введения,
заключения, приложения и обзора литературы. Первая глава состоит из двух параграфов
и посвящена теоретическим вопросам, касающимся рассматриваемого объекта. В ней
приводиться материал, относящийся к параметризации кривых, который в дальнейшем
будет использоваться при построении геодезических линий на поверхности. В
первом параграфе первой главы даны определения ключевым понятиям темы и указаны
их свойства. Во-втором параграфе введены основные определения теории гладких
поверхностей, выведены первая и вторая квадратичные формы. Основные определения
параграфа взяты из учебника академика А.В. Погорелова «Дифференциальная
геометрия» для университетов.
Вторая глава является основой работы и посвящена
рассмотрению вопросов моделирования поверхности с заданными аналитическими
условиями, а так же их визуализации с помощью математического пакета Scilab.
Глава 1. Основные факты из теории
кривых и поверхностей
. Гладкие кривые
поверхность кривой уравнение
моделирование
1.1 Определения. Натуральный
параметр
Термин «кривая» имеет различные толкования в
математике. Его значение варьируется от учебника к учебнику и зачастую даже в
пределах одной книги. Ниже дадим два определения этому понятию.
Определение 1.1.1. Подмножество

пространства 
называется простой дугой, если
существует непрерывное биективное отображение из 
в отрезок [0,1] числовой оси R, обратное к
которому так же непрерывно.
Определение 1.1.2. (Краткая
форма 1.1.) Простой дугой в пространстве 
называется любое подмножество,
гомеоморфное отрезку [0,1] вещественной оси.
Пусть γ: [a, b] → 
регулярная кривая на двумерной
плоскости. Предположим, что на ней выбран натуральный параметр l. Считая
плоскость ориентированной, выберем в каждой точке кривой базис векторов v, n такой, что

и, в частности, так как параметр l натурален,
то 
) вектор n ортогонален

, имеет единичную длину и базис 
положительно ориентирован. Этими
условиями реперы 
определяются однозначно и они
называются реперами Френе.
Теорема 1.1.1. При изменении
натурального параметра l вдоль плоской кривой γ репер Френе
деформируется согласно уравнениям

(*)
Доказательство. Так как (v, v) ≡ (n, n) ≡ 1,
то

(1)

=0, (2)
Следовательно, 

и 

Так как 
ортонормированный базис в 
, то существуют такие функции α(l) и β(l), что

(3)
Но 
и поэтому

(4)
Положим k = α = −β. Теорема
1.1.1 доказана.
Мы пришли к двум важным понятиям:
· уравнения (*) называются уравнениями
Френе для плоской кривой;
· коэффициент k,
входящий в (*), называется кривизной (плоской) кривой.
Более того, радиусом кривизны кривой
называется величина R =
. Кривизна кривой определяет кривую
с точностью до движений 
.
Теорема 1.1.2. 1) Пусть k : [0,L] → R гладкая
функция. Тогда существует гладкая кривая γ : [0,L] → 
, кривизна которой равна k(l).
) Пусть 
: [0,L] → 
и 
: [0,L] →
натурально параметризованные
регулярные кривые и их кривизны совпадают: 
(l) = 
(l)для всех 
Тогда существует такое движение ϕ:
→
, сохраняющее ориентацию, что 
(l) = ϕ(
(l)) для всех 
В случае пространственных кривых
нормаль к кривой может быть определена бесконечным числом способов. Поэтому мы
будем рассматривать лишь бирегулярные кривые:
) натурально параметризованная
регулярная кривая γ: [a, b] → 
называется бирегулярной, если 
γ/
всюду;
) нормалью бирегулярной кривой
называется вектор

(5)

(6)
Чтобы получить репер Френе кривой в
R3 дополним 
третьим вектором - бинормалью 
до ортонормированного базиса в 
. Заметим, что при этом определении
кривизна всегда положительна в отличие от случая плоских кривых.
Теорема 1.1.3. Если 
бирегулярная кривая в 
то при изменении натурального
параметра l репер Френе деформируется согласно уравнениям Френе для
пространственной кривой
Доказательство: Оно аналогично
доказательству теоремы 1. Так как (
ортонормированный базис при каждом
l, то, в частности, длины этих векторов сохраняются, а, следовательно,
производная каждого из этих векторов ортогональна ему и поэтому
Осталось
заметить, что
По определению n мы имеем 
= k и 
= 0. Полагая 
= 
, мы приходим к уравнениям (3).
Теорема 1.1.3. доказана.
Теорема 1.1.4. 1) Пусть k :
[0,L] → R и κ
: [0,L] → R гладкие
функции, причем функция k положительна. Тогда существует гладкая кривая γ: [0,L] →
, кривизна которой равна 
и кручение которой равно 
.
) Пусть γ1: [0,L] →

и γ2: [0,L] → 
натурально параметризованные
бирегулярные кривые и их кривизны и кручения совпадают: 
для всех l ∈ [0,L].
Тогда существует такое движение ϕ : 
→ 
, сохраняющее ориентацию, что γ2(l) = ϕ(γ1(l)) для всех 
1.2 Кривизна кривой
Пусть C - гладкая кривая и пусть
задана ее естественная параметризация 
. Рассмотрим произвольную точку 
на кривой C и вектор 
второй производной функции 
в этой точке.
Определение 1.2.1. Этот вектор
называется вектором кривизны кривой C в точке P и
обозначается 
:

=
(11)
его длина 
называется кривизной кривой C в точке P. Поскольку 
, то вектор 
ортогонален вектору 
и, следовательно, лежит нормальной
плоскости.
Определение 1.2.2. Если 0 ≠
k, то 
и прямая, проходящая через точку P в
направлении вектора 
, называется главной нормалью кривой
C в точке P. В этом
случае единичный вектор 
называется единичным вектором
главной нормали и обозначается через 
.

(12)
Таким образом, имеет место равенство

(13)
Это так называется «первая формула Френе».
Кривизна позволяет определить, насколько данная
кривая отличается от прямой. Так, кривизна прямой во всех точках равна нулю.
Верно и обратное: если кривизна кривой равна нулю во всех точках, то кривая является
отрезком прямой.
Пример 1.2.1. Кривизна
окружности в каждой точке одинакова и 
.
Пример 1.2.2. В общем
случае кривизна в каждой точке кривой различна.
Определение 1.2.3. Величина,
обратная кривизне, называется радиусом кривизны кривой в данной точке.
Пусть 
- произвольная параметризация
кривой C. Пусть она связана с естественной параметризацией 
при помощи замены параметра:
причем 
. Вектор 
может не быть коллинеарным вектору
кривизны 
, но его проекция [f
(
) ] ⊥ на
нормальную плоскость коллинеарна вектору 
. Действительно, 
. Следовательно,
Так как первое слагаемое лежит в
нормальной плоскости, а второе на касательной прямой, то первое слагаемое и
равняется нормальной составляющей вектора 
.
Механический смысл этой формулы
заключается в том, что нормальное ускорение материальной точки, движущейся по
кривой C, зависит
только от скорости: оно прямо пропорционально квадрату скорости, а коэффициент
пропорциональности служит вектор кривизны. В нашем определении кривизна k является
функцией точки P, но часто удобно считать, что она
зависит от естественного параметра s или от того
же параметра t, что и
функция 
. Найдем выражение кривизны через
первую и вторую производные функции 
.
Ясно, что
. (17)
Обозначим через α угол между
векторами 
и 
. Тогда
(18)
Окончательно получаем
(19)
или, короче,
(20)
Замечание: Кривизна плоской кривой,
заданной уравнением в явном виде 
, вычисляется по формуле 
. Отметим, что в тех точках, где
первая производная обращается в нуль, кривизна просто равна модулю второй
производной: 
.
.3 Кручение кривой
Пусть С - гладкая кривая, а 
- ее естественная параметризация.
Предположим, что в каждой точки кривая C имеет ненулевую кривизну. В частности,
в любой ее точке 
=
определены соприкасающаяся
плоскость и вектор бинормали
Рассмотрим вектор 
первой производной от функции 
. Он ортогонален вектору 
, поскольку
Поясним третье равенство. Первое
слагаемое в левой его части равно нулю, поскольку векторы 
коллинеарны (первая формула Френе).
Далее, вектор 
ортогонален вектору 
ввиду постоянства модуля
вектор-функции 
. Следовательно, вектор
коллинеарен вектору 
. Поэтому выполняется равенство вида

(22)
Число 
называется кручением кривой С в
точке P.Описанное равенство носит название «третьей формулы Френе». Абсолютным
кручением 
в точке P называется абсолютная
величина вектора 
.

(23)
Геометрический смысл кручения
состоит в том, что оно показывает на сколько пространственная кривая отличается
от плоской кривой. Кручение кривой в каждой ее точке различно, то есть 
.
Кручение характеризует отличие
пространственной кривой от плоской, поскольку, очевидно, кручение плоской
кривой в каждой точке равно нулю. Нетрудно увидеть, что если кручение кривой в
каждой точке равно нулю, то эта кривая лежит в некоторой плоскости. Абсолютное
кручение можно определить геометрически.
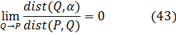
Теорема 1.3.1. Пусть C - данная
кривая и P - некоторая
точка на ней, а Q-близкая к P точка
кривой C и θ - угол
между соприкасающимися плоскостями кривой C в точках P и Q. Тогда при
стремлении точки Q к точке P отношение
угла θ к
расстоянию между Q и P стремится к
определенному пределу, который и равен абсолютному кручению кривой C в точке P:

(24)
Кручение допускает и несложное
кинематическое истолкование. Представим себе, что некоторая плоскость
перемещается в пространстве, причем ее фиксированная точка с единичной
скоростью движется по кривой, фиксированная прямая в каждый момент времени
касается кривой в этой точке, а сама плоскость все время является
соприкасающейся плоскостью кривой. Тогда такое перемещение будет результатом
поступательного движения и двух вращений - вращения этой плоскости вокруг
бинормали и ее вращения вокруг касательной. Угловая скорость первого вращения
равна кривизне кривой, а второго - абсолютному кручению кривой в точке
соприкосновения. Знак кручения связан с направлением вращения: в случае, когда
вращение происходит против часовой стрелки, если смотреть из конца касательного
вектора, то это плюс, а если по часовой стрелке - то минус.
Полученные нами ранее выражения для
производных по естественному параметру вектор - функций 
и 
представляют собой две из трех
формул Френе (называемых также формулами Френе - Серре). Эти формулы дают
разложение по базису Френе {
}, производных от входящих в него
векторов:

(25)
Первая и третья формулы нам уже
известны. Вторая формулы из них следует:

. (26)
Замечание: Иногда, имея в виду
уравнение кривой 
к числу формул Френе относят и
формулу 
.
Вычисление кручения
Пусть кривая C заданная естественной
параметризацией 
и имеет в каждой точки ненулевую
кривизну.
Для вычисления кручения кривой C
воспользуемся формулами Френе:
(27)
Рассмотрим теперь смешанное
произведение (
). Так как смешанное произведение не
изменится, если прибавить к одному сомножителю или вычесть из него линейную
комбинацию двух других, то
(28)
Получилось, что (
)=
. Окончательно получаем формулу
вычисления кручения в естественной параметризации
(29)
В этой формуле k и 
являются функциями параметра 
. Мы нашли короткую формулу для
вычисления кручения кривой, но ею можно пользоваться, только если кривая
снабжена естественной параметризацией, а это бывает на практике крайне редко.
Выведем формулу для кручения при произвольной параметризации.
Пусть f(t) -
произвольная, а 
- естественная параметризация
кривой C, связанные заменой параметра 
. Тогда непосредственным вычислением
убеждаемся в том, что
(30)
Отсюда следует, что

(31)
при этом 
. Пользуясь этим и тем, что k=
, из формулы для кручения в
естественной параметризации получаем окончательно

(32)
Это формула для вычисления кручения в
произвольной параметризации.
1.4 Трехгранник Френе
Три полупрямые, исходящие из точки
кривой и имеющие направления векторов 
являются ребрами трехгранного угла.
Этот трехгранный угол называется естественным трехгранником.
При исследовании свойств кривой в
окрестности произвольной точки P кривой за начало координат, а оси
естественного трехгранника - за оси координат. Ниже мы получим уравнение кривой
при таком выборе системы координат.
Выразим производные векторов 
по дуге кривой через сами векторы 
. Имеем
Для получения 
вспомним, что вектор 
параллелен υ а 
. Отсюда
Наконец
Систему формул
называют формулами Френе.
1.5 Натуральные уравнения кривой
С каждой гладкой кривой, кривизна
которой во всех точках отлична от нуля, мы связали три функции: 
, которые могут быть найдены по
произвольной параметризации f(t) этой
кривой. Возникает вопрос, определяют ли эти функции полностью кривую и нет ли
между ними каких-либо соотношений.
Мы можем наложить на них только
тривиальные ограничения. Функции эти непрерывны, кроме того, k(t)>0, s`(t)>0 при
любом t. Легко
видеть, что от трех функций можно перейти к двум, взяв за параметр длину дуги s. Тогда k(s)x(s) будут
функциями связанными непосредственно с кривой и направлением на ней. Нам
остается узнать определяют ли они кривую однозначно и нет ли между ними каких
либо соотношений.
Теорема: Пусть C1 и C2 - две
гладкие кривые, имеющие одинаковую длину, и g1(s), g2(s) - их
естественные параметризации. Если в соответствующих точках эти кривые имеют
одинаковые кривизну и кручение:
То существует наложение, переводящее
кривую C1 в кривую C2. Другими
словами, кривизна и кручение определяют кривую с точностью до положения в
пространстве.
Можно показать, что между кривизной
и кручением нет нетривиальных отношений. Более точно, для любых непрерывных
функций h(s) и n(s),
определенных на отрезке [0,S], первая из которых положительна,
существует гладкая кривая C, кривизна и кручение которых
определяется этими функциями:
Эти соотношения называются
натуральными уравнениями кривой C. Их достоинство заключается в том,
что они никак не зависят от выбора координат.
Как мы уже знаем, кривая C ими
определена однозначно с точностью до положения в пространстве.
. Гладкие поверхности
.1 Определения. Параметрические
уравнения
Определение 2.1.1.
Элементарной областью на плоскости переменных 
называется область, гомеоморфная
кругу.
Определение 2.1.2.
Элементарной поверхностью в пространстве переменных 
называется множество точек
пространства, гомеоморфное элементарной области на плоскости. Функциональное
задание гомеоморфизма 
(рис. 1)
называется параметрическим
представлением поверхности. Образы прямых вида 
и 
называются координатными линиями на
поверхности и задаются уравнениями

или
и каждой точке ставится в
соответствие пара чисел 
, называемая криволинейными
координатами.
Рис. 1. Элементарная поверхность и
координатные линии
Определение 2.1.3. Общей
поверхностью называется подмножество евклидова пространства, локально
гомеоморфное евклидовой плоскости. Необходимое и достаточное условие локальной
гомеоморфности отображения, задаваемого в области G плоскости
переменных u,v регулярными
функциями
- это равенство
Очевидно, что общая поверхность
допускает покрытие элементарными поверхностями.
Определение 2.1.4. Сеть
координатных линий поверхности, или координатная сеть, называется правильной в
точке, если в этой точке выполнено условие 
.
Нетрудно заметить, что частные
производные 
и 
в данной точке представляют собой
касательные векторы к координатным линиям 
и 
соответственно. Поэтому условие
правильности координатной сети в точке требует, чтобы касательные векторы к
координатным линиям в этой точке были неколлинеарны. В дальнейшем будут рассматриваться
только такие точки на поверхности.
Определение 2.1.5. Будем
называть поверхность 
- регулярной, если она обладает
параметризацией 
, имеющей непрерывные частные
производные порядка k, причем в каждой точке выполнено
условие 
.
Поверхность задана неявным
уравнением 
, если координаты каждой ее точки P(x,y,z)
удовлетворяют этому уравнению.
Рис. 2. К определению касательной
плоскости
Пусть P и Q - две
различные точки на поверхности 
. Касательной плоскостью поверхности
в точке P (рис. 2)
называется плоскость 
, проходящая через точку P и
удовлетворяющая соотношению
Уравнение касательной плоскости
поверхности
в точке P с
криволинейными координатами (
) (и декартовыми координатами 
) может быть вычислено по одной из
следующих формул:
при параметрическом задании,
при неявном задании. Первое из
уравнений означает, что векторы 
,
образуют базис касательных векторов
в точке 
).
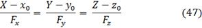
Нормаль поверхности в точке P - это
прямая, ортогональная касательной плоскости, проведенной в этой точке
поверхности. Уравнения нормали поверхности в точке P с
криволинейными координатами (и декартовыми координатами (
)) могут быть вычислены по формулам

при неявном задании. Все частные
производные в этих формулах вычислены в точке P.
Теперь мы можем дать геометрическую
интерпретацию условию регулярности неявного задания кривой в пространстве.
Поверхности 
и 
, имеющие общую точку M, назовем
пересекающимися трансверсально в точке M, если их
касательные плоскости, проведенные в этой точке, пересекаются.
Рис. 3. Угол между кривыми на
поверхности
Тогда направление может быть указано
"однородными координатами" 
. Очевидно взаимно однозначное
соответствие (и даже гомеоморфизм) множества направлений в точке поверхности и
проективной прямой.
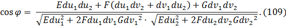
Углом между кривыми на поверхности
(рис. 3), пересекающимися в точке P, называется
угол, образованный касательными направлениями к кривым в этой точке. Рассмотрим
два направления 
и 
. Угол 
между направлениями можно вычислять
как угол между их представителями. Его косинус равен
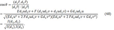
Направления 
и 
на поверхности ортогональны тогда и
только тогда, когда 
. Пусть в окрестности точки (
) на поверхности 
задано семейство кривых,
представленных неявными уравнениями вида 
, где C -
постоянные, 
- дифференцируемая функция. Пусть в
точке (
) выполнено условие 
. Линии семейства имеют в каждой
точке рассматриваемой окрестности направление (
). Тогда направление 
линии, ортогональной линиям
семейства 
=C,
удовлетворяет соотношению ортогональности

=0 (49)
или, равносильно,
Полученное уравнение является
дифференциальным уравнением семейства кривых, ортогональных семейству,
заданному уравнениями 

.
Площадь части поверхности,
задаваемой параметрическим уравнением 
, определенным на компактной области
D плоскости
переменных 
, с кусочно-гладкой границей 
, вычисляют по формуле:
S = 
Гомеоморфизм 
поверхностей называется изометрией,
если поверхности 
и 
можно параметризовать так, что
первая квадратичная форма поверхности 
в любой точке P равна
первой квадратичной форме поверхности
в точке f(P).
Очевидно, соответственные кривые
изометричных поверхностях имеют равные длины. Обратное также верно. Кроме
этого, на изометричных поверхностях углы между соответственными кривыми равны,
и площади соответственных областей также равны.
Также имеется важный класс
гомеоморфизмов поверхностей, включающий в себя изометрии. Гомеоморфизм 
поверхностей называется конформным
отображением, если для любых пересекающихся кривых 
и 
на поверхности 
образуемый ими угол равен углу
между кривыми f(
) и f(
) на поверхности 
. Очевидно, всякая изометрия
является конформным отображением.
2.2 Первая квадратичная форма
Определение 2.2.1. Первая
квадратичная форма - метрическая форма, поверхности квадратичная форма от
дифференциалов координат на поверхности, которая определяет внутреннюю
геометрию поверхности в окрестности данной точки.
Пусть поверхность задана уравнением

(52)

- внутренние координаты на
поверхности;
дифференциал радиус-вектора 
вдоль выбранного направления 
смещения из точки М в бесконечно
близкую точку М' (см. рис. 4).
Рис. 4.
Определение 2.2.2. Квадрат
главной линейной части приращения длины дуги 
выражается квадратом дифференциала 
:
и называется первой основной
квадратичной формой поверхности. Коэффициенты первой квадратичной формы
поверхности обычно обозначают через
или в тензорных символах
Определение 2.2.3. Тензор 
называется основным, или
метрическим, тензором поверхности. Первая квадратичная форма является
положительно определенной формой в обыкновенных точках поверхности:
Первая квадратичная форма
характеризует метрические свойства поверхности: знание первой квадратичной
формы позволяет вычислять длины дуг на поверхности:
где t - параметр на кривой; углы
между кривыми на поверхности:
(59)
где u -
направления векторов, касательных к кривым (см. рис. 5);
Рис. 5.
площади областей на поверхности:
Вид коэффициентов первой
квадратичной формы существенно зависит от выбора координат на поверхности.
Первая квадратичная форма имеет так называемый ортогональный вид:
(61)
в ортогональных координатах;
канонический вид:
(62)
в полугеодезических координатах;
изотермический (изометрический) вид в изотермических координатах:
(63)
Иногда поверхности характеризуются
специальными видами первой квадратичной формы. Например, Лиувилля поверхности
характеризуются следующим видом первой квадратичной формы:
(64)
2.3 Вторая квадратичная форма
Определение 2.3.1.
Вторая квадратичная форма поверхности - квадратичная форма от дифференциалов
координат на поверхности, которая характеризует локальную структуру поверхности
в окрестности обыкновенной точки. Пусть поверхность задана уравнением
где u и v - внутренние координаты на
поверхности;

- дифференциал радиус-вектора r
вдоль выбранного направления 
смещения из точки М в точку М' (см.
рис.);
- единичный вектор нормали к
поверхности в точке М (здесь 
, если тройка векторов 
правой ориентации, и ε = -1 в
противоположном случае). Удвоенная главная линейная часть 2δ отклонения
РМ' точки М' поверхности от касательной плоскости в ее точке М равна
она и называется второй основной
квадратичной формой поверхности.
Коэффициенты второй квадратичной
формы обычно обозначают через
или в тензорных символах
(69)
Тензор 
называется вторым основным тензором
поверхности.
2.4 Теорема Гаусса - Питерсона -
Кодацци
Первая и вторая квадратичные формы поверхности
не независимы. Связь между коэффициентами этих форм может быть получена
следующим образом. Имеем очевидные равенства:

Если в этих равенствах выражения в скобках
заменить согласно деривационным формулам и после дифференцирования еще раз
воспользоваться такой заменой, то мы получим три векторных равенства вида:
где 

, …,
- известным образом построенные
выражения из коэффициентов первой и второй квадратичных форм поверхности и их
производных. Из этих трех векторных соотношений следует девять скалярных:
Найдем для примера соотношение 
. 
представляет собой коэффициент при 
в выражении 
после соответствующей замены
производных векторов 
согласно деривационным формулам.
Имеем
Теорема 2.4.1. (Теорема О.
Бонне) Пусть f и g - два k- регулярных
(k
) погружения ориентированного n- мерного
многообразия 
в 
. Если они индуцируют одну и ту же
риманову метрику и одну и ту же вторую квадратичную форму, то 
, где d - движение
в 
.
Теорема 2.4.2. (Теорема О.
Бонне) Пусть в области Q параметров u, v заданы две
квадратичные формы 
, 
из которых первая положительно
определена и коэффициенты которых удовлетворяют соотношениям Гауссовой кривизны
K(u,v) и формул
Петерсона - Кодации. Тогда у каждой точки (
)
найдется такая окрестность Ω
, что существует погружение 
для которого данные формы будут
соответственно первой и второй квадратичными формами.
Теорема 2.4.1. в случае n = 2, а
теорема 2.4.2. допускает обобщение для произвольного n.
2.5 Геодезические линии
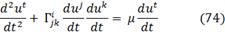
Рассмотрим уравнение геодезических
линий 
, отнесенное к произвольному
параметру t
Полагая d
/dt = 
, приведем систему (74) к
нормальному виду (75)
Определение 2.5.1 Дробным
интегралом степени т(1т) уравнения геодезических линий 
называется первый интеграл системы
вида
где С - произвольная постоянная, a 
,
есть заданные тензоры, называемые
базисами Iт. При т=1,2 получаем, соответственно, дробно-линейный (
) и дробно-квадратичный (
) интегралы геодезических
Относительно тензорных полей 
будем говорить, что он порождены Im
(1.3).
Определение 2.5.2 (Ш.А.
Яфаров [3]). Tk называется ковектором рекуррентности ковариантиого
симметрического тензора 
в 
, если
где вертикальная черта - символ
ковариантиого дифференцирования.
Определение 2.5.3
Ковариантный симметрический тензор 
называется геодезическим, если
равенство
справедливо вдоль всякой
геодезической линии при условии, что оно справедливо хотя бы в одной ее точке.
При m = 2 мы приходим к понятию геодезического конуса.
Этот интересный случай с его
приложениями рассматривался Я. Л. Шапиро в работах [6] и A. П. Норденом в [10].
Определение 2.5.4 Форма 
называется геодезической, если
at,!,…! есть геодезический тензор.
Ниже приводится ряд результатов из
работы Ш.А. Яфарова [3], определяющих необходимые и достаточные условия на
базисы I т.
Теорема 2.5.1 Если
неприводимая форма а является геодезической, то тензор 
имеет ковектор рекуррентности.
Теорема 2.5.2 Если
ковариантный симметрический тензор имеет ковектор рекуррентности, то он
является геодезическим.
Из двух предыдущих утверждений
следует
Теорема 2.5.3
Геодезический ковектор характеризуется тем, что имеет ковектор рекуррентности,
точки Е.
Теорема 2.5.4 Если
уравнение определяет 1т и хотя бы один из базисных тензоров имеет ковектор
рекуррентности, то необходимо чтобы его базисы имели общий ковектор
рекуррентности.
Теорема 2.5.5 Для
того чтобы при условии неприводимости хотя бы одной из форм р и q уравнение
(79), (79) определяло Im,
необходимо, чтобы его базисы имели общий ковектор рекуррентности.
Отметим, что для m=2, т. Е. в
случае 
и при неприводимости форм р и q, эта
теорема была доказана Н. М. Писаревой в работе [7]. Последняя посвящена
исследованию Ап, допускающих 
.
Теорема 2.5.6 Если
тензоры 
,
имеют общий ковектор рекуррентности
tk, то они являются базисами 1т
Из двух последних утверждений
следует
Теорема 2.5.7 Для того
чтобы уравнение (80) определяло 
, необходимо и достаточно, чтобы его
базисы имели общий ковектор рекуррентности.
При аффинной (канонической)
параметризации система
(74) приводится к виду (83)
Определение 2.5.5 Если первый
интеграл уравнения геодезических (83) имеет вид
то он называется [3] однородным
интегралом геодезических линий т-го порядка (0Iт). Тензор 
называется базисом 0Im.
Теорема 2.5.8. Для того
чтобы тензор 
являлся базисом 0Im необходимо
и достаточно, чтобы он имел ковектор рекуррентности, равный нулю, т. Е.
А. Е. Либеру [3] удается свести в V2
уравнения (85) к системе уравнений в полных дифференциалах. Это, безусловно,
глубокий результат. Веблен и T. У. Томас в статье [10] показали, что уравнения
(86)
можно привести к системе уравнений в
полных дифференциалах. В работе Ш. А. Яфарова [3] доказано, что примененный
способ приведения к системе уравнений в полных дифференциалах проходит и для
уравнений (87) и (88)
Действительно,
где 
- знак продолженного ковариантного
дифференцирования bik=- bki -
кососимметрический тензор, (90), (91)

где 
- тензор кривизны, 
- символ Кронекера. Ввиду
линейности и однородности системы (89) относительно неизвестных 
и 
, следует, что при заданном
ковекторе рекуррентности она допускает не более чем n(n+1)/2
линейно независимых решений с постоянными коэффициентами.
Теорема 2.5.9 (Ш.А.
Яфаров [4]). Максимальное число 
- соответствующих одному и тому же
ковектору рекуррентности, равное 
, допускает проективно-евклидовы Ап
и только их. Ковекторы рекуррентности базисов таких интегралов удовлетворяют
условию (92)
Теорема 2.5.10 Необходимое
и достаточное условие того, чтобы 
допускало n(n+1)/2 независимых 
, состоит в том, чтобы оно было проективно-евклидовым
с симметрическим тензором Риччи.
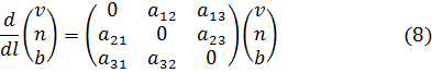
2.6 Поверхностная полоса
Пусть кривая L задана
уравнением r=r(s), где s -
естественный параметр. Вдоль кривой L зададим
вектор-функцию v(s), где v(s) -
единичный вектор, ортогональный касательному вектору t(s)=dr/ds. Будем
говорить, что вдоль кривой L задана поверхностная полоса P={L,v}, с
нормалью v(s). Вектор 
называется вектором геодезической
нормали полосы P. Тройка векторов t,
в каждой точке кривой L образует
репер, поэтому производные этих векторов могут быть разложены по векторам этого
репера:

Дифференцируя равенства
Получаем
Функцию 
назовем геодезической кривизной
полосы P и обозначим

; функцию 
назовем нормальной кривизной полосы
P и обозначим

; наконец, функцию 
назовем геодезическим кручением
полосы P и обозначим

. Используя эти обозначения и
равенства рассмотренные выше, получаем деривационные формулы Френе для
поверхностной полосы P:
Если вектор v колинеарен
главной нормали кривой L, то из первой формулы Френе
вытекает что 
. Полоса, вдоль которой 
, называется геодезической.
Если вектор v колинеарен
бинормали кривой L, то из третьей формулы Френе
вытекает что 
. Полоса, вдоль которой 
, называется ассимптотической.
Величины 
, 
и 
вычисляются по формулам
В дальнейшем используется так же
формула для геодезической кривизны полосы в случае, когда кривая L задана
уравнением 
, а нормаль полосы - уравнением 
, где t -
произвольный параметр:
Несмотря на ту важную роль, которую
играет процесс информатизации и компьютеризации в современной науке он охватил
еще не все сферы исследований. Отсюда встает вопрос о достаточности
теоретической базы и реализации моделирования математических объектов с помощью
компьютерных технологий. Таким образом, проблема, поставленная в данной работе,
имеет два аспекта:
· Теоретический (связанный с
достаточностью и полнотой теоретических знаний по теме исследования);
· Практический (связанный с
реализацией моделирования поверхности в специальном математическом пакете Scilab).
В первой главе работы были рассмотрены основные
факты из теории кривых и поверхностей, а так же сопутствующих им понятий и
приложений. Первый параграф посвящён исключительно теории гладких кривых и их
заданию с помощью натурального параметра. Второй параграф первой главы освящает
материал, связанный с теорией гладких поверхностей и их задания.
Уделив внимание теории геодезических линий, во
втором параграфе, представили ее символьную интерпретацию.
Глава 2.
Моделирование поверхностей, заданных первой и второй квадратичными формами
. Основные вычислительные формулы
В данном параграфе приведены основные
вычислительные формулы необходимые для моделирования поверхности в
пространстве, которые в дальнейшем будут использоваться для компьютерного
восстановлении поверхности.
В качестве исследуемой поверхности будем
рассматривать геометрическую фигуру - тор.
Найдем первую и вторую квадратичные формы данной
поверхности. Для обычной кривизны линии имеет место свойство:
То есть, если 
- геодезическая, то ее «обычная»
кривизна 
.
Если 
- геодезическая линия, то ее
«обычное» пространственное кручение 
где 
- главные нормальные кривизны
поверхности, а 
- угол между главным направлением и
направлением, в котором проходит геодезическая линия, и из формулы видно, что 
только в главных направлениях.
Главные направления:
главные кривизны определяются по
формуле:
Для K и H находим
формулы, а данном случае F = 0 и M=0.
Рассмотрим геодезическую линию с
начальными условиями:
и уравнение этой линии
где имеет место система
Теперь можно найти коэффициенты 
по формулам
Решив данное выражение для всех 
, получим
Будем исследовать процесс
восстановления поверхности не в естественной параметризации, а в произвольной,
то есть 
.
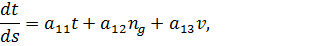
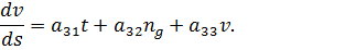
Тогда модифицированная система
уравнений Френе имеет вид
2. Описание метода моделирования
геодезических линий при восстановлении поверхности
Данный параграф посвящён разработке технологии и
созданию алгоритма восстановления поверхности по известным первой и второй
квадратичным формам.
Воспользуемся тем, что на гладкой кривой,
лежащей на поверхности ее кривизну и кручение можно выразить через элементы
первой и второй квадратичных форм. Для удобства, в качестве кривой можно
рассмотреть геодезическую линию.
Так как пространственная кривизна 
равна нормальной кривизне 
, а пространственное кручение 
равно геодезическому кручению 
, таким образом можно предложить
следующий алгоритм восстановления поверхности.
1-й этап: Определение Гауссовой и средней
кривизны;
2-й этап: Вычисление символов Христоффеля

;
-й этап: Нахождение внутреннего
параметрического уравнения 
для некоторой геодезической линии;
-й этап: Нахождение нормальной
кривизны и геодезического кручения рассматриваемой геодезической линии;
-й этап: Решение модифицированной
системы Френе;
-й этап: Нахождение уравнений
геодезической линии в пространстве.
А так же результатом данного
параграфа является компьютерная поддержка разработанного алгоритма в
математическом пакете Scilab.
Заключение
Итак, в результате выполнения данной работы была
разработана технология и создан алгоритм восстановления геометрической
поверхности по известным первой и второй квадратичным формам, а так же
программа, способная производить численное моделирование геодезических линий по
которым восстанавливается поверхность.
Была рассмотрена и систематизирована
теоретическая информация, касающаяся теории кривых и поверхностей, а так же
подобраны основные вычислительные формулы для восстановления поверхности в
математическом пакете Scilab.
Впоследствии эта информация может быть дополнена и использована для модификации
и усовершенствования разработанной программы с целью ее ориентирования на
восстановления других геометрических фигур в пространстве.
Библиографический список
1. Алексеев,
Е.Р. Scilab. Решение инженерных и математических задач / Е.Р. Алексеев, О.В
Чеснокова., Е.А.Рудченко; Изд-во БИНОМю - М., 2008.
. Бакельман,
И.Я. Введение в дифференциальную геометрию «в целом» / И.Я. Бакельман, А.Л.
Вернер, Б.Е. Кантор. - М., 1973.
. Бляшке,
В. Дифференциальная геометрия и геометрические основы теории относительности
Эйнштейна / В. Бляшке. - М., 1935.
. Дробный
интеграл геодезических линий в пространствах аффинной связности. (Редколлегия
«Сиб. мат. ж.» Сиб. отд. АН СССР). Новосибирск, 1977. 21 с, Библиогр. 12 назв.
(Рукопись деп. в ВИНИТИ 24 февр. 1977 г.,
№ 722-77Деп.)
(РЖМат,
1977, 7А656ДЕП)
. Либер,
А. Е. Первые целые алгебраические интегралы уравнений геодезических / Докл. АН
СССР, 1941, 31, № 9.
. Норден,
А.П. Краткий курс дифференциальной геометрии / А.П. Норден; Изд-во Физматгиз. -
М., 1958.
. Погорелов,
А.В. Дифференциальная геометрия / А.В. Погорелов; Изд-во Наука. - М., 1974.
. Писарева,
Н. М. О дробно-квадратичном интеграле геодезических линий пространства аффинной
связности / Мат. сб., 1955, вып. 1, 169-200 (РЖМат, 1956, 6812.
. Троицкий,
Е.В. Дифференциальная геометрия и топология / Е.В. Троицкий; МГУ. - М., 2003.
. Шапиро,
Я. Л., О некоторых полях геодезических конусов / Докл. АН СССР, 1943, 39, № 1,
6-10
. Об
одном классе римановых пространств. Тр. семинара по векторн. и тензорн. анализу
с их прилож. к геометрии, механ. и физ. Моск. ун-т, 1963, вып. 12,203-212.