Особенности биологической активности тамоксифена: проблемы, связанные с его токсичностью, поиск их решения

  • Вид работы:
    Реферат
  • Предмет:
    Биология
  • Язык:
    Русский
    ,
    Формат файла:
    MS Word
    788,54 Кб
  • Опубликовано:
    2015-05-25
Вы можете узнать стоимость помощи в написании студенческой работы.
Помощь в написании работы, которую точно примут!

Особенности биологической активности тамоксифена: проблемы, связанные с его токсичностью, поиск их решения

МИНОБРНАУКИ РОССИИ

Федеральное государственное автономное образовательное учреждение высшего образования

Новосибирский национальный исследовательский государственный университет

Факультет естественных наук






Реферат

Особенности биологической активности тамоксифена: проблемы, связанные с его токсичностью, поиск их решения



Романов Илья Игоревич






Новосибирск - 2014

Оглавление

1.      Гормон-зависимая и гормон-независимая формы рака молочной железы

2.      Применение тамоксифена в лечении гормонзависимых форм рака молочной железы

3.      Проблема направленного действия тамоксифена в тканях рака молочной железы

1. Гормон-зависимая и гормон-независимая формы рака молочной железы


Проблему непрерывного роста и пролиферации опухолевых клеток непременно нужно искать в регуляции транскрипции этих клеток. Большой интерес представляют деацетилазы гистонов, так как они активируют соответствующие гистоновые и негистоновые субстраты, участвующие в регуляции транскрипции, клеточного цикла и апоптоза. Поддержание равновесия между ацетилированием и деацетилированием необходимо для нормального роста клетки. Отклонение в активности гистоновых деацетилаз может привести к эпигенетическим нарушениям и активной пролиферации клеток во многих видах рака. В частности, сверхэкспрессия деацетилаз классов 1, 6 и 8 связана с развитием рака молочной железы. Отсюда вытекает основной способ борьбы с этой проблемой, заключающийся в ингибировании гистоновых ацетилаз специальными ингибиторами [17]. Однако наиболее важную роль в развитии рака молочной железы играют половые гормоны. В исследованиях разных лабораторий показано повышение у женщин в постменопаузный период содержания в плазме половых гормонов и снижение уровня гормон-связывающего глобулина (Sex Hormone Binding Globulin). Эти изменения связывают с возрастающим риском возникновения рака молочной железы и в большей степени объясняются значимостью жировой ткани в биосинтезе половых стероидов. Более или менее признанных данных о состоянии женщин в предменопаузный период пока нет, частично из-за сложности измерений уровня гормонов в плазме, сильно изменяющегося во время менструальных циклов [18].

Одним из наиболее характерных гормональных показателей, связанных с риском развития рака молочной железы, является эстроген. Эстроген играет роль фактора роста и размножения клеток эпителия молочных желез [7]. Очевидно, что увеличение числа эстрогеновых рецепторов (ЭР) приводит к большей степени суммарного связывания эстрогена с ними. Таким образом, возрастание экспрессии эстрогеновых рецепторов, которое наблюдается даже в доброкачественных образованиях, может послужить причиной расширения очага опухоли [9]. Здесь стоит отметить, что существуют гормон-зависимая и гормон-независимая формы рака молочной железы. Согласно статистике, четверть ER + / PR + опухолей, две трети ER + / PR- и примерно половина из ER- / PR + опухолей не реагируют на тамоксифен вообще, либо развивают резистентность на ранней стадии. Как в здоровых, так и в опухолевых клетках присутствует фермент O6-метилгуанин ДНК метилтрансфераза, участвующий в репарации поврежденных метилированием участков ДНК.

Было замечено, что у пациентов, обладающих сопротивляемостью тамоксифену (эстрогеновому антагонисту), повышен уровень экспрессии этого фермента. Группа ученых с помощью специального ингибитора снизила активность фермента, вернув, таким образом, эстроген-зависимый характер опухоли. Отсюда, очевидно, может следовать зависимость механизма противоопухолевого действия тамоксифена от поврежденности гуанинов ДНК. Такая функция тамоксифена может играть как положительную роль в химиотерапии, так и отрицательную, о чем будет сказано подробнее в следующих главах. Кроме того, было отмечено кооперирование антагонистических эффектов ингибитора метилтрансферазы и тамоксифена [19].

В то же время было обнаружено участие метилтрансферазы гистона Н3К36 в регуляции сигнального пути эстрогеновых рецепторов α в тамоксифен-резистивных клетках (ЭРα)-положительного рака молочной железы MCF-7. Фермент вовлекается в регуляцию под действием BET-белка BRD3/4 и способствует генной экспрессии эстрогенового рецептора α. Низкомолекулярный ингибитор JQ1 упомянутого BET-белка тормозит сигнальный путь ЭРα и замедляет рост и размножение опухолевых тамоксифен-резистивных клеток. На мышах, которым была вживлена ткань рака молочной железы, была продемонстрирована in vivo противоопухолевая активность JQ1 и выраженный и продолжительный эффект от комбинированной терапии ингибитором JQ1 и разрушающим эстрогеновые рецепторы α фульвестрантом. [20]

Существует множество лечебных и профилактических средств от эстроген-зависимых форм рака груди, но все механизмы сводятся к подавлению экспрессии эстрогеновых рецепторов в пораженных клетках.

Естественная регуляция ЭР-α в клетках аденокарциномы молочной железы происходит за счет прогестерона опосредованно через прогестероновые рецепторы (ПР-б). Увеличение числа ПР-б подавляет экспрессию ЭР, кроме того прогестерон по структуре сам схож с эстрогенами и, возможно, связываясь с ЭР-α, ингибирует их экспрессию. Установлено, что в клетках рака молочных желез идет накопление некоторых видов микроРНК и уровень их содержания зависит от экспрессии генов ЭР и ПР. МикроРНК - это короткие олигонуклеотидные некодирующие цепочки РНК (около 20 нуклеотидов), которые участвуют в посттранскрипционной регуляции, взаимодействуя по принципу комплементарности с мРНК, разрушая ее. Эти виды микроРНК синтезируются в результате транскрипции опухолевых генов-супрессоров, реагируя на мутации ДНК, которые фенотипически реализуются в виде опухоли [21]. Предыдущие исследования показали, что микроРНК-34b имеет важные функции в клеточной пролиферации и апоптозе, а также служит прямой транскрипционной целью белка р53 [21].

Исследователи в своей работе [21] показали способность микроРНК-34b ингибировать клеточный рост за счет направленного действия на циклин-D1 и JAG1, которые являются важнейшими генами в различных типах рака молочных желез. Более того, сверхэкспрессия микроРНК-34b ведет к ингибированию клеточного роста в клетках рака молочных желез с разным уровнем экспрессии и состоянием эстрогеновых рецепторов и повышенной концентрацией опухолевого белка-супрессора p53, хотя конкретных цифр не называется [21].

Регуляция клеточного цикла, конечно, осуществляется не только посредством микроРНК. БТШ90 шапероны образуют комплексы с рецепторами половых стероидных гормонов, в частности с прогестероновыми. Полифенольное соединение, найденное в зеленом чае, называемое галлат эпигаллокатехина (ЭГКГ, рис. 1), продемонстрировало химико-профилактические и противоопухолевые свойства [22].

Рис. 1. Галлат эпигаллокатехина

Авторы установили, что ЭГКГ способен подавлять сверхэкспрессию ЭР-α через специфичное взаимодействие с БТШ90 и БТШ70 шаперонами, переводя свободные ПР-б из цитоплазмы в ядро. В ядре ПР-б связываются с ДНК, не представляя возможности транскрипционным факторам ЭР-α связаться со своим сайтом. Кроме этого, ЭГКГ ингибирует функции шаперонов [22].

2. Применение тамоксифена в лечении гормонзависимых форм рака молочной железы


Уже в течение более 20 лет практикуется лечение тамоксифеном больных эстроген-зависимой формой рака молочных желез. Тамоксифен (рис. 2) является селективным модулятором ЭР-α. Он конкурирует с 17α-эстрадиолом за связывание с эстрогеновыми рецепторами, конформационно предотвращая возможность связывания кофакторов транскрипции, таким образом, инициируя начало запрограммированной гибели клеток [3].

Рис. 2. Тамоксифен, 1-[4-(2-диметиламиноэтокси)фенил]-1,2-дифенилбут-1(Z)-ен

В некоторых работах указывается о выявлении у тамоксифена только цитостатических свойств, поскольку связываясь с ЭР-α, он лишь временно блокирует клеточное деление. В этом случае его сочли удобным для использования в качестве специфичного реагента, направленно доставляющего цитотоксичные препараты в комплексе с ним. А именно, был создан аддукт ТАМ с ферроценом (рис.3), инициирующим образование перекиси водорода в клетках карциномы груди и не влияющим на способность ТАМ взаимодействовать с ЭР [4].

Рис. 3. Комплекс ферроцена с тамоксифеном

Другие исследователи показали способность производных тамоксифена к ингибированию экспрессии эстрогена в клетках рака молочной железы и к остановке роста очага опухоли. Авторы создавали разные производные тамоксифена (рис. 5), содержащие постоянный заряд, и определили, что алкиламиноэтокси-группа в этих производных является важным регионом, как для активности молекулы, так и для способности связывания с ЭР-α. При низких концентрациях (2-6 мкмоль/л) производные тамоксифена обладали лучшей связывающей способностью к ЭР-α по сравнению с обычным тамоксифеном [23]. В работе указываются несколько противоречивые данные, заключающиеся в увеличении степени связывания производных тамоксифена с постоянным зарядом с эстрогеновыми рецепторами по убыванию длины алкильного заместителя и одновременно в усилении ингибиторных (имеется ввиду подавление роста и пролиферации опухолевых клеток) свойств модифицированного препарата по возрастанию длины алкильного заместителя [23]. Поскольку опубликованная работа не закончена, нужно с осторожностью относиться к приведенным данным. Прежде всего, нужно отметить, что доказана способность тамоксифена, модифицированного по третичной аминогруппе, связываться и проявлять свойства модулятора эстрогеновых рецепторов. Так группа ученых анализировала комплекс 4'-гидрокситамоксифена и эстрогенового рецептора-α [17].

Врачи совместно с учеными, исследовавшими производные метаболиты тамоксифена, установили, что в постменопаузный период у некоторых женщин происходит увеличение потребления изофлавон-содержащих продуктов [24]. По большей части это происходило из-за того, что часть женщин проходила испытания гормон-заместительной терапией. У больных раком молочных желез проблема необходимости альтернативного лечения является более актуальной, поскольку рак молочной железы в эстроген-зависимой форме делает невозможной гормональную терапию, создавая риск искусственного стимулирования разрастания опухоли и ее метастазов. Авторы [24] пришли к выводу, что комбинация изофлавонов и тамоксифена могла бы быть приемлемым препаратом в виду предполагаемой синергичности их цитотоксических и антипролиферативных свойств по отношению к опухоли молочной железы. В результате исследования влияния изофлавонов и тамоксифена на мышиные печеночные микросомы в вышеуказанной работе было показано, что скорость образования α-гидрокситамоксифена, который является одним из метаболитов тамоксифена, более того, обладающего бόльшим сродством к эстрогеновым рецепторам, чем непосредственно тамоксифен, обратно пропорциональна концентрации изофлавона, хотя остальные метаболиты образуются независимо от количества последнего. Более того, инкубируя исследуемые микросомы, наряду с тамоксифеном и изофлавонами, с ингибиторами цитохрома Р4502В, авторы показали общий путь метаболизма двух препаратов и возможность контролирования онкогенеза с такой комбинацией лечащих препаратов [24].

Как уже было указано, с возникновением рака молочной железы связано возрастание экспрессии отдельных классов гистоновых деацетилаз. Специфичные ингибиторы гистоновых деацетилаз (далее «ингибиторы») могут быть включены в состав коньюгатов в качестве адресующих групп, приводя к модулированию активности эстрогеновых рецепторов [17]. Например, группа ученых сконструировала коньюгаты тамоксифена и 17α-этинилэстрадиола с ингибитором гистоновых деацетилаз, чтобы проанализировать изменение и агонистических, и антагонистических действий препаратов на эстрогеновые рецепторы. В результате был отмечен кооперативный эффект аддукта ТАМ-ингибитор в плане подавления роста и пролиферации опухолевых клеток [17].

Выше рассматривались случаи, в которых тамоксифен выступал в качестве ингибитора экспрессии эстрогеновых рецепторов, пролиферации опухолевых клеток. Однако ТАМ известен тем, что в зависимости от условий в клетке он может проявлять не только свойства эстрогенового антагониста, но и агониста ЭР. Главная проблема, вызываемая его двойственными свойствами, состоит в том, что в эндометрии TAM служит в качестве агониста активации транскрипции генов и, тем самым, способствует повышенному риску заболеваемости раком эндометрия у женщин [22].

Риск развития рака эндометрия, обусловленный TAM-терапией, как и риск развития рака молочной железы, обусловленный гормональной заместительной терапией, связан с хроническим введением эстрогенов или эстрогеноподобных соединений [25].

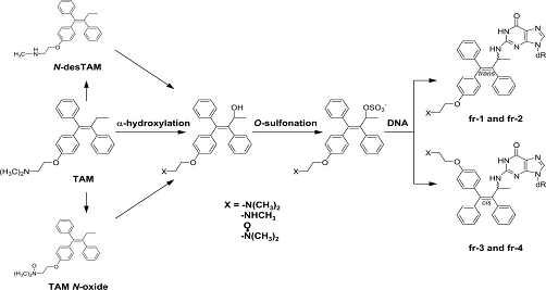
Cуществуют разные механизмы, по которым ТАМ вызывает рак эндометрия. Метаболиты тамоксифена, усваивающиеся в клетках эндометрия, могут напрямую взаимодействовать с ДНК, создавая точечные мутации генома [26]. Показано, что ТАМ метаболизируется в виде трех производных (рис 4): N-дезметилтамоксифен (соединение 3, N-desTAM), 4-гидрокситамоксифен (4) и N-окись тамоксифена (соединение 5, N-окись тамоксифена).

Рис. 4. Метаболиты тамоксифена и аддукты ТАМ-ДНК (fr-1, fr-2, fr-3, fr-4) [25]

Сначала метаболиты гидроксилируются по этильному остатку, не входящему в ароматическую систему. Это осуществляется за счёт катализа цитохромами CYP3A2 и CYP3A4 (у крыс и людей, соответственно). Затем идет реакция образования сульфокислоты (6) и, наконец, продукт реагирует с дезоксигуанозиловыми остатками ДНК, образуя по два транс- и цис-изомера (7 и 8). Получающиеся аддукты обладают большой мутагенной активностью, заменяя Уотсон-Криковские пары Г-А на Г-Т. Кроме того, эти комплексы интенсивнее образуются в клетках с дефицитом белков репарирующей системы, и сами по себе труднее разрушаются этими белками в отличие от других крупных ДНК комплексов (например, дезоксигуанозин-N2-бенз[α]пирен). Для исследований in vivo этих превращений использовали радиоактивную метку 32Р и хемолюминесцентный анализ [25 - 26].

Как уже отмечалось выше, тамоксифен может выступать в качестве как эстрогенового антагониста, так и агониста [22]. Эстрогеновая стимуляция одним только эстрогеном дает 20% вероятность возникновения эндометриоза, а лечение тамоксифеном как эстрогеновым агонистом в эндометрии может повлечь за собой возникновение широкого спектра пролиферативных поражений эндометрия. Это связано с тем, что ТАМ в данном случае инициирует экспрессию ЭР и синтез эстрогена в клетках эндометрия. Параллельно происходит подавление прогестероновых рецепторов. Таким образом, начинается неограниченный рост и пролиферация пораженных клеток [25].

Переход через G1-S межфазовый промежуток и S-фазу клеточного цикла опосредуется циклин-зависимой киназой 2 (cdk2), которая взаимодействует с несколькими из циклинов. Два из них: циклин Е и циклин А, активно экспрессируются во многих видах рака. Экспрессия и прогностическое значение этих циклинов в солидных опухолях является предметом исследования, но точно установлено, что экспрессия циклинов А и E вовлечена в канцерогенез эндометрия. Как оказалось [27], сверхэкспрессия регуляторов клеточного цикла (циклины А и Е) в клетках эндометрия появляется после 11 месяцев от времени воздействия тамоксифена. Таким образом, было предложено использовать цилины А и Е в качестве биомаркеров рака эндометрия [27].

В целом, можно суммировать данные о свойствах и функциях тамоксифена в опухолевых клетках. В наглядной форме информация представлена на схеме (рисунок 5) ниже.

Рис. 5 Схема действия тамоксифена в опухолевых клетках эстроген-зависимой формы рака

 

. Проблема направленного действия тамоксифена в тканях рака молочной железы

эстрогеновый рак грудь тамоксифен

Поиск эффективных средств лечения при химиотерапии непременно связан с исследованием химических свойств и модификацией изучаемых препаратов. С помощью химических модификаций можно целенаправленно модулировать необходимые свойства вещества, присоединять разные функциональные группы, создавать новые комплексы и коньюгаты на основе уже имеющихся терапевтических соединений [28]. Очевидно, что устранение канцерогенных свойств тамоксифена заключается в такой модификации ТАМ, при которой препарат вообще не способен к трансфекции, что ограничит его мутагенное влияние на ДНК и обеспечит только рецептор-опосредованное действие [29].

Молекула тамоксифена (рис. 2) обладает несколькими местами, по которым возможно вести химическую модификацию. Наиболее распространенными являются работы, в которых производится модификация третичной аминогруппы препарата. Все способы модификации данной аминогруппы можно разделить на реакции присоединения, реакции нуклеофильного замещения и реакции отщепления одной из метильных групп. Хотя присоединение алкилирующих реагентов к азоту аминогруппы может, без сомнения, сопровождаться отщеплением метильного заместителя, если не стабилизировать в растворе образовавшееся четвертичное аммониевое основание [28].

Как уже было сказано, ТАМ в организме преобразуется в разные метаболические формы под действием пероксидаз, аминотрансфераз и окисления цитохромами [25]. В своих метаболических формах ТАМ усваивается в гладких мышцах эндометрия. Наиболее часто встречаемая форма ТАМ в организме - 4-гидрокситамоксифен - обладает худшей проницаемостью в через клеточную мембрану, имеет меньшее сродство к ЭР [30]. Группа исследователей [23] получила несколько алкилированных по алкиламиноэтокси-группе производных ТАМ. Было показано, что эффективность ингибирования экпрессии эстрогена напрямую зависит от длины алкильного заместителя, введенного по аминогруппе: чем заместитель длиннее, тем эффективность ингибирования лучше (рис. 6).

Рис. 6. Алкилированные производные тамоксифена: этилбромид ТАМ (9), пропилбромид ТАМ (10), трет-бутилбромид ТАМ (11), н-бутилбромид ТАМ (12)

Также было отмечено, что в отличие от липофильного ТАМ, обладающего высокой степенью трансфекции, у модифицированного по аминогруппе тамоксифена образуется заряд, вследствие чего он, возможно, теряет свою липофильность и способность к трансфекции [30].

Во многих видах рака, в том числе и в агрессивных формах рака молочной железы, наблюдается сверхэкспрессия фолиевых рецепторов, соответственно, имеющих большое сродство к коньюгатам, содержащим остаток фолиевой кислоты [31], вследствие чего, группа ученых сконструировала коньюгат наногеля, фолиевой кислоты и ТАМ [32]. Наногель представляет собой разновидность полимерных наночастиц коллоидных размеров (100-1000 нм в диаметре). Он конструируется из разных мономеров, что позволяет наногелю сохранять устойчивость в любых условиях (pH и температура). Присоединение к такому наногелю фолиевой кислоты осуществили через диаминолинкер (рис.7) [32].

Рис. 7. Схема синтеза коньюгата фолиевой кислоты с наногелем [32]

В результате авторы получили препарат, который направленно доставлялся в клетки рака груди. Они достигли накопления препарата в тканях карциномы молочной железы, избежав концентрирования его в крови и других нецелевых тканях. [32] Однако в нескольких работах было показано наличие фолиевых рецепторов как в пораженных тканях многих видов опухолей, например, молочных желез, яичников, эндометрия, легких, так и в здоровых тканях. В частности, следует заметить, что фолиевая кислота и рецепторы к ней содержатся в больших количествах в плоде в период его развития и в матке. [33] Таким образом, использование коньюгатов ТАМ с фолиевой кислотой для направленного взаимодействия с клетками рака молочной железы оказалось нецелесообразным в связи с широким спектром «маршрутов» доставки такого коньюгата.

Другой группой ученых изучалась реакция образования N-глюкуроната тамоксифена, также приводящая к образованию устойчивой соли четвертичного аммониевого основания. [34] В данном исследовании показано, что тамоксифен становится биологически активным в глюкозилированной форме в микросомах печени человека. [34]

В ранних работах было отмечено, что большая часть тамоксифена, как и любого ксенобиотика, метаболизируется в печени. В печени же метаболиты тамоксифена могут играть роль сильных канцерогенов [25-26]. Группа исследователей из университетов США смотрели свойства метаболитов in vitro и in vivo для изучения влияния изофлавонов на метаболизм тамоксифена [24]. Например, для определения и идентификации N-оксида тамоксифена в микросомах печени они получали его путем окисления аминогруппы 3-хлорпероксибензойной кислотой (рис. 8).

Рис. 8. Схема получения N-оксида тамоксифена по методике Chen J. [24]

Группа ученых из университета в Торонто синтезировала α-гидрокситамоксифен in vitro с целью дальнейшего подробного исследования кинетики и механизма реакции образования аддукта ТАМ-ДНК [35]. Проводя опыты на мышиных клетках печени, они выяснили, что после образования из тамоксифена α-гидрокситамоксифен (4) подвергается действию сульфотрансфераз, и образовавшийся продукт α-сульфотамоксифен (6) может давать относительно устойчивый и долго живущий карбокатион (рис. 4 и 9). Примечательно, что при этом происходит вращение молекулы, наступает равновесие Z- и E-форм катиона.

Рис. 9. Метаболические превращения α-гидрокситамоксифена

Дальнейшее исследование позволило авторам [35] заключить, что карбокатион тамоксифена способен к циклизации с образованием ароматического кольца с алкокси-группой в качестве заместителя. Внутримолекулярная циклизация образующегося карбокатиона тамоксифена конкурирует с взаимодействием с водой в водных растворах. Реакции образования карбокатиона и циклизации относятся к реакциям второго порядка и зависят от концентрации ионов Н+ в растворе. Циклизация происходит параллельно при взаимодействии с водой при кислых и нейтральных значениях pH [35]. Таким образом, полученные результаты помогают глубже понять механизм канцерогенеза, запускаемый непосредственно тамоксифеном, и найти способы преодоления нежелательных эффектов при химиотерапии.

Список использованной литературы


1.   Tamoxifen Adjuvant Treatment Duration in Early Breast Cancer: Initial Results of a Randomized Study Comparing Short-Term Treatment With Long-Term Treatment Thierry Delozier, Marc Spielmann, Josette Mace´-Lesec’h, etc. // Journal of Clinical Oncology, Vol 18, No 20 (October 15), 2000: pp 3507-3512

2.      GPR30, the Non-Classical Membrane G Protein Related Estrogen Receptor, Is Overexpressed in Human Seminoma and Promotes Seminom a Cell Proliferation Nicolas Chevalier, Aurelie Vega, Adil Bouskine, etc. // PLoS ONE 7(4): e34672

.        Tamoxifen-Poly(ethylene glycol)-Thiol Gold Nanoparticle Conjugates: Enhanced Potency and Selective Delivery for Breast Cancer Treatment Erik C. Dreaden, Sandra C. Mwakwari, Quaovi H. Sodji, etc. // Bioconjug Chem. 2009 December; 20(12): 2247-2253

.        Hydrogen peroxide overproduced in breast cancer cells can serve as an anticancer prodrug generating apoptosis-stimulating hydroxyl radicals under the effect of tamoxifen-ferrocene conjugate Wjatschesslaw A. Wlassoff, Craig D. Albright, Michael S. Sivashinski, etc.// JPP 2007, 59: 1549-1553

.        M.L. Asp, J.J. Martindale, J.M. Metzger Direct, Differential Effects of Tamoxifen, 4-Hydroxytamoxifen, and Raloxifene on Cardiac Myocyte Contractility and Calcium Handling // PLOS ONE October 2013, Volume 8, Issue 10, e78768

.        Endometrial surveillance of women on tamoxifen Lhommé C, Pautier P, Zagamé L, etc. // Gynecol Obstet Fertil. 2003 Jul-Aug;31(7-8):647-56

.        Discovery of estrogen receptor α target genes and response elements in breast tumor cells Chin-Yo Lin, Anders Ström, Vinsensius Berlian Vega, etc. // Genome Biology 2004, Volume 5, Issue 9, Article R66

.        In Vivo Assay Of Folate Receptors In Nonfunctional Pituitary Adenomas With 99mtc-Folate Receptors In Nonfunctional Pituitary Adenomas With 99mtc-Folate SPECT/CT James R. Galt, Raghuveer K. Halkar, Chheng-Orn Evans, etc. // The Journal Of Nuclear Medicine Vol. 51 No. 11 November 201

.        Endometriosis: novel etiopathogenetic concepts and clinical perspectives Mario Vignali, M.D., Mirco Infantino, M.D., Roberta Matrone, M.D., etc. // University of Milan, Milan, Italy

.        R. Moro, J. Gulyaeva-Tcherkassova, and P. Stieber Increased Alpha-Fetoprotein Receptor In The Serum Of Patients With Early-Stage Breast Cancer // Curr Oncol, Vol. 19, pp. e1-8

.        C.P. Leamon, J.A. Reddy Folate-Targeted Chemotherapy // Advanced Drug Delivery Reviews 56 (2004) 1127- 1141

.        Mariette Gerber Omega-3 fatty acids and cancers: a systematic update review of epidemiological studies // British Journal of Nutrition (2012), 107, S228-S239

.        R. Moro, J. Gulyaeva-Tcherkassova and P. Stieber Increased alpha-fetoprotein receptor in the serum of patients with early-stage breast cancer // Curr Oncol, Vol. 19, pp. e1-8

.        Prodrug Strategies In Anticancer Chemotherapy F. Kratz, I.A. Muller, C. Ryppa, A. Warnecke // ChemMedChem 2008, 3, 20-53

.        Polymeric nanoparticles for drug delivery Chan JM, Valencia PM, Zhang L, etc. // Methods Mol Biol 624:163-175

.        Effective Non-Viral Delivery of siRNA to Acute Myeloid Leukemia Cells with Lipid- Substituted Polyethylenimines Landry B, Aliabadi HM, Samuel A, etc. // PLoS ONE 7(8): e44197 doi:10.1371/journal.pone.0044197

.        Histone Deacetylase Inhibitors Equipped With Estrogen Receptor Modulation Activity B.E. Gryder, M. K. Rood, K.A. Johnson, etc. // J. Med. Chem. 2013, 56, 5782−5796

.        Circulating Hormones And Breast Cancer Risk In Premenopausal Women: A Randomized Trial Of Low-Dose Tamoxifen And Fenretinide H. Johansson, B. Bonanni, S. Gandini, Al. Guerrieri-Gonzaga // Breast Cancer Res Treat (2013) 142:569-578

.        MGMT Inhibition Restores ERα Functional Sensitivity To Antiestrogen Therapy G.C. Bobustuc, J.S. Smith, S. Maddipatla, etc. // mol med 18: 913-929, 2012 bobustucetal. 913

.        An epigenomic approach to therapy for tamoxifen-resistant breast cancer Qin Feng, Zheng Zhang, Martin J Shea, etc. // Cell Research advance online publication 30 May 2014; doi:10.1038/cr.2014.71

.        miRNA-34b as a tumor suppressor in estrogen-dependent growth of breast cancer cells Yee-Ming Lee, Jen-Yi Lee, Chao-Chi Ho, etc. // Breast Cancer Research 2011, 13:R116

.        In vitro mechanism for down regulation of ER-expression by epigallocatechin gallate in ER+/PR+ human breast cancer cells Francesca De Amicis, Alessandra Russo, Paola Avena, etc. // Mol. Nutr. Food Res. 2013, 00, 1-1

.        Genomic action of permanently charged tamoxifen derivatives via estrogen receptor-a Claudia Rivera-Guevara, Victor Purez-Alvarez, Rocнo Garcнa-Becerra, etc. // Bioorganic&Medicinal Chemistry 18 (2010) 5593-5601

.        Potential Beneficial Metabolic Interactions Between Tamoxifen and Isoflavones via Cytochrome P450-Mediated Pathways in Female Rat Liver Microsomes Jun Chen, Steven C. Halls, Joshua F. Alfaro, etc. // Pharmaceutical Research, Vol.21, No. 11, November 2004

.        Nilesh W. Gaikwad, William J. Bodell Peroxidase-mediated dealkylation of tamoxifen, detected by electrosprayionization-mass spectrometry, and activation to form DNA adducts // Free Radical Biology&Medicine 52 (2012) 340-347

.        Inefficient Repair Of Tamoxifen-Dna Adducts In Rats And Mice Sung Yeon Kim, Naomi Suzuki, Y.R. Santosh Laxmi, and Shinya Shibutani // Drug Metabolism And Disposition Dmd 34:311-317, 2006

.        Role Of Cyclins A And E In Endometrial Carcinogenesis In Breast Cancer Patients Under Tamoxifen Treatment A.M. Metwally, L.A. Refaat, H.A. Shaaban, etc. // Journal of the Egyptian National Cancer Institute (2013) 25, 193-198

28.    Марч Дж. Органическая химия. Реакции механизмы и структура. Углубленный курс для университетов и химических вузов // 1987, 1(4), ст. 358-375

29.    Tamoxifen-loaded folate-conjugate poly[(p-nitrophenylacrylate)-co-(N-isopropylacrylamide)] sub-microgel as antitumoral drug delivery system M. Dolores Blanco, Sandra Guerrero, Marta Benito, etc. // Wiley Online Library (wileyonlinelibrary.com). DOI: 10.1002/jbm.a.32929

.        Quaternary ammonium-linked glucuronidation of trans-4-hydroxytamoxifen, an active metabolite of tamoxifen, by human liver microsomes and UDP- glucuronosyl transferase 1A4 Kenichiro Ogura, Yuko Ishikawa, Teppei Kaku, etc. // Biochemical pharmacology 71 (2006) 1358-1369

.        Folic acid modified gelatine coated quantum dots as potential reagents for in vitro cancer diagnostics Valérie A Gérard, Ciaran M Maguire, Despina Bazou, Yurii K Gun’ko // Gérard et al. Journal of Nanobiotechnology 2011, 9:50

.        Tamoxifen-loaded folate-conjugate poly[(p-nitrophenylacrylate)-co-(N-isopropylacrylamide) sub-microgel as antitumoral drug delivery system M. Dolores Blanco, Sandra Guerrero, Marta Benito, etc. // Wiley Online Library (wileyonlinelibrary.com). DOI: 10.1002/jbm.a.32929

.        Emanuela I. Sega, Philip S. Low Tumor detection using folate receptor-targeted imaging agents // Cancer Metastasis Rev (2008) 27:655-664

.        Quaternary ammonium-linked glucuronidation of tamoxifen by human liver microsomes and UDP-glucuronosyltransferase 1A4 T. Kaku, K. Ogura, T. Nishiyama, etc. // Biochemical Pharmacology 67 (2004) 2093-2102

.        Cristina Sanchez, Robert A. McClelland The tamoxifen cation reacts to give indene products // Can. J. Chem. 78: 1186-1193 (2000)

Похожие работы на - Особенности биологической активности тамоксифена: проблемы, связанные с его токсичностью, поиск их решения

 

Не нашли материал для своей работы?
Поможем написать уникальную работу
Без плагиата!
Без нейросетей!