Разработка проекта по созданию веб-сайта и оценка его эффективности
ФГБОУ ВПО «УГАТУ»
Уфимский авиационный техникум
КУРСОВОЙ ПРОЕКТ
по ПМ 04 «Обеспечение проектной
деятельности»,
МДК 04.02«Обеспечение эффективности
проектов»
Тема: Разработка проекта по созданию
веб-сайта и оценка его эффективности
.012 802.000 ПЗ
Студент (ка)
Афанасьева Мария Алексеевна .
Специальность
230701 Прикладная информатика (по отраслям) .
Курс 4 группа
48 .
Руководитель
Чеботарева Татьяна Петровна .
ФГБОУ ВПО
«УГАТУ»
Уфимский
авиационный техникум
ЗАДАНИЕ
На курсовой
проект по ПМ 04 «Обеспечение проектной деятельности»,
МДК 04.02
«Обеспечение эффективности проектов»
Студенту Афанасьевой Марии Алексеевне .
Курса 4 группы 48 .
Специальности 230701 «Прикладная информатика (по отраслям)»
Вариант 3 .
Тема: Разработка проекта по созданию веб-сайта и оценка его эффективности
Исходные данные для практической части:
|
№ работы
|
Наименование работы
|
Продолжительность работы, дни
|
Предшеств. работа
|
|
1
|
Первичная формулировка исходных требований
|
3
|
-
|
|
2
|
Предварительное определение структуры сайта, его базы
данных, технологических ресурсов
|
4
|
1
|
|
3
|
Определение критериев качества и стандартизации работ по
созданию сайта
|
4
|
1
|
|
4
|
Проектирование архитектуры системы, структуры данных
|
11
|
2,3
|
|
5
|
Проектирование типовых интерфейсов, функциональных
элементов
|
7
|
2,3
|
|
6
|
Оформление и утверждение спецификаций
|
3
|
4,5
|
|
7
|
Разработка программных модулей архитектурных решений (баз
данных)
|
17
|
6
|
|
8
|
Разработка пользовательских приложений
|
16
|
7
|
|
9
|
Разработка дизайна
|
9
|
7
|
|
10
|
Проведение тестирования
|
5
|
8,9
|
|
11
|
Приемочное тестирование
|
6
|
10
|
|
12
|
Сдача-приемка сайта
|
3
|
11
|
Содержание разделов курсового проекта
Международные ассоциации и стандарты управления проектами
Инициация, планирование и оценка эффективности проекта по созданию
веб-сайта РИВЦ «Уфа»
Дата выдачи задания «13» октября 2014 г.
Дата окончания работы «20» ноября 2014 г.
Руководитель курсового проекта:
Чеботарева Т.П._______________
Студент: Афанасьева
М.А. _______________
Содержание
Введение
. Международные ассоциации и стандарты управления проектами
.1 Стандарты управления проектами
.2 Стандарт ISO 10006
.3 Стандарты зрелости управления проектами
. Инициация, планирование и оценка эффективности проекта по
созданию веб-сайта РИВЦ «Уфа»
.1 Разработка устава проекта
.2 Основные этапы процесса планирования проекта
.2.1 Разработка расписания проекта
.2.2 Построение матрицы ответственности
.2.3 Формирование сметы проекта
.2.4 Риски проекта
.3 Определение экономической целесообразности создания сайта
Заключение
Список использованной литературы
Приложения
Введение
Реализация проектов неотъемлемая составляющая бизнес-процессов,
присутствующая в любой организации. Проекты могут различаться по типам,
масштабу, сложности. По статистике, участие в проектах занимает от 30 до 70%
рабочего времени менеджеров среднего и высшего звена (в зависимости от
должности и вида бизнеса). В высоко-конкурентных отраслях эффективная
реализация проектов развития становится ключевым фактором успеха бизнеса.
Управление проектами, программами и портфелями проектов имеет свою
специфику и требует наличия у менеджеров и участников проектных команд
специальных навыков и знаний.
За пятьдесят с лишним лет, в течение которых применяется технология
управления проектами, был разработан целый ряд методик и инструментов,
призванных помочь руководителям проектов.
Кроме того, разработаны стандарты управления проектами и требования к
квалификации и навыкам менеджера проекта и других участников проектных команд.
Развивается отраслевая специализация в области управления проектами.
Профессиональную сертификацию в области УП прошли более ста тысяч
менеджеров во всем мире и данная цифра стремительно увеличивается.
В то же время успех проектов зависит не только от опыта менеджера проекта
и команды проекта, но и в значительной степени от поддержки проекта внутри
компании, реализующей проект, от поддержки высшего руководства, от целого ряда
других внешних факторов. Построение корпоративного стандарта управления
проектами, внедрение в компании специализированных систем и технологий способно
значительно повысить эффективность реализации проектов.
Сейчас практически у каждого человека имеется персональный компьютер и
многие пользователи сталкиваются с проблемами отказа или неисправности
оборудования, а также неправильной работы системы и приложений. На данный
момент организация РИВЦ «Уфа», являясь представителем услуг в области наладки
компьютерного оборудования, не распространена среди потенциальных клиентов.
Цели курсового проекта - изучить стандарты по управлению проектами и
стандарты зрелости управления проектами, разработать проект по созданию сайта
РИВЦ «Уфа».
Для достижения поставленных целей необходимо решить следующие задачи:
провести анализ необходимой литературы, определить этапы разработки сайта,
разработать устав проекта, расписание проекта, календарного плана проекта,
построить матрицу ответственности, определить уровни вероятности возникновения
рисков и их последствий, определить его экономическую эффективность.
Объект исследования - организация управления проектами компании.
Предмет исследования - стандарты по управлению проектами, использующиеся
в РИВЦ «Уфа».
Методологическую основу исследования стандартизации составляют: системный
и сравнительный анализ, анализ причинно-следственных связей, наблюдение,
сравнение и группировка, а также использование индуктивного и дедуктивного
методов научного познания.
В методологическую основу исследования разработки проекта по созданию
сайта вошли методы критического пути, анализа и оценки программ, сетевого
планирования, метод оценки эффективности проекта.
Теоретическую основу исследования составляют учебная литература и
методические пособия по управлению проектами.
.
Международные ассоциации и стандарты управления проектами
1.1 Стандарты
управления проектами
Методология управления проектами отражается в стандартах управления
проектами. В настоящее время существуют следующие виды стандартов:
- международные - стандарты, получившие международное значение
в процессе своего развития или предназначенные для международного
использования;
- национальные - созданные для применения внутри одной страны
или получившие общенациональный статус в процессе своего развития;
- общественные - подготовленные и принятые сообществом
специалистов;
- частные - комплексы знаний, пропагандируемые для свободного
использования частными лицами, компаниями или учреждениями;
- корпоративные - разработанные для применения внутри одной
компании или внутри группы родственных компаний.
Международные стандарты представляют собой полные системы, включающие,
помимо описания требований к управлению проектами, обучение, тестирование,
аудит, консалтинг и другие элементы. Всеохватывающих международных стандартов
управления проектами пока не существует, но наиболее известны следующие
стандарты.
1. Project Management Body of Knowledge (PMBOK)
Стандарт Американского института управления проектами (Project Management
Institute - PMI). Этот стандарт обновляется приблизительно один раз в четыре
года. Одна из наиболее распространенных редакций датируется 2000 г., а самая
актуальная, четвертая, версия стандарта - The Guide to the PMBOK, 4th Edition -
вышла в конце 2008 г. Стандарт был первоначально принят Американским
национальным институтом стандартов (ANSI) в качестве национального стандарта в
США, а в настоящее время обрел мировое признание.
В основе стандарта лежит процессный подход к управлению проектами. Общее
множество возможных процессов представим в виде трехмерного пространства. По
осям координат отложены те измерения, которые упоминаются в рамочных
стандартах. Могут быть предложены и другие, например уровни управления,
календарные периоды. Каждая точка этого пространства представляет собой
элементарный процесс управления. Например, «планирование рисков на стадии
внедрения системы».
Выбранные элементарные процессы образуют процедуры управления проектами,
которые могут быть построены по «осевому» принципу.
Стандарт содержит обобщенные принципы и подходы, используемые в области
проектного менеджмента, формализованные и структурированные таким образом,
чтобы их можно было использовать в большинстве проектов в большинстве случаев.
Детально описываются девять областей знаний, связанных с управлением проектами:
управление интеграцией проекта (Project Integration Management);
управление содержанием проекта (Project Scope Management);
управление сроками проекта (Project time Management);
управление стоимостью проекта (Project Cost Management);
управление качеством проекта (Project Quality Management);
управление человеческими ресурсами проекта (Project Human Resource
Management);
управление взаимодействием в проекте (Project Communications Management);
управление рисками проекта (Project Risk Management);
управление контрактами проекта (Project Procurement Management).
Каждая область знания включает в себя отдельные процессы, выполняемые
менеджером при реализации проекта на том или ином этапе.
Процессно-ориентированный подход в управлении проектами, используемый в
стандарте, предполагает четкое, формальное описание входных документов и
данных, необходимых менеджеру для реализации процесса, методов и средств,
которые он может использовать при его реализации, и перечня выходных документов
процесса.
2. IPMA Competence Baseline (ICB)
Является международным нормативным документом, определяющим систему
международных требований к компетентности менеджеров проектов. Этот стандарт
разработан международной ассоциацией IPMA (International Project Managers Association), зарегистрированной в Швейцарии как
некоммерческая профессиональная организация, основной функцией которой является
содействие развитию и широкому применению культуры, технологий, методов и
средств проектного управления в разных странах мира.
На его основе производится разработка национальных систем требований к
компетентности специалистов в странах, являющихся членами IPMA. Национальные
системы требований должны соответствовать ICB IPMA и официально утверждаться
(ратифицироваться) соответствующими уполномоченными органами IPMA. Для 32 стран
- членов IPMA он является основой для разработки национальных сводов знаний; в
настоящее время утвержденные национальные своды знаний, соответствующие ICB,
имеют 16 стран., в отличие от PMBOK, придерживается компетентностного,
деятельностного подхода, т.е. определяет области квалификации и компетентности
в управлении проектами, а также принципы оценки кандидата на получение
сертификата. ICB содержит 42 элемента (28 основных и 14 дополнительных),
определяющих области требований к знаниям, мастерству и профессиональному опыту
в менеджменте проектов.
Программа предполагает четыре уровня сертификации:
· директор проектов (CPD);
· управляющий проектом (CPM);
· профессионал по управлению проектами
(RPMP);
· специалист по управлению проектами
(PMF).
ICB издан на английском, немецком и французском языках. Основой для него
послужило несколько национальных разработок: Body of Knowledge of APM (Великобритания); Beurteilungsstruktur, VZPM (Швейцария); PM-Kanon, PM-ZERT/GPM
(Германия); Criteres d’analyse, AFITEP (Франция).
Каждая входящая в IPMA национальная ассоциация ответственна за разработку
и утверждение собственных Национальных требований по компетентности (National
Competence Baseline - NCB) со ссылкой на ICB и в соответствии с ним, а также с
учетом национальных особенностей и культуры. Национальные требования
оцениваются специальным Комитетом IPMA на соответствие ICB и основным критериям
сертификации согласно стандарту EN 450131.
Международные организации, которые заняты разработками стандартов в
проектном менеджменте, стремятся к совершенствованию компетенции, знаний,
умений, навыков менеджеров проектов во всем мире. Поэтому они уточняют,
определяют, документируют практики управления проектами и создают единые
стандарты.
1.2 Стандарт
ISO 10006
международный стандарт проект эффективность
Стандарт ISO 10006 является основополагающим документом из серии
стандартов рассматриваемого профиля, подготовленным техническим комитетом
ISO/TC 176 «Управление качеством и обеспечение качества» Всемирной федерации
национальных органов стандартизации (члены ISO).
Основной упор сделан на принцип эффективности проектирования оптимального
процесса и контроля этого процесса, а не на контроле конечного результата.
В этой серии стандартов процессы сгруппированы в две категории. К первой
категории отнесены процессы, связанные с обеспечением продукта проекта
(проектирование, производство, проверка). Описанию последних посвящен стандарт
ISO 9004-1. Вторая категория охватывает непосредственно процессы управления
проектом и представлена стандартом ISO 10006. Данный стандарт охватывает десять
групп процессов управления проектом.
Первая группа представляет процесс разработки стратегии, который
фокусирует проект на удовлетворение потребностей заказчика и определяет
направление хода работ. Вторая группа охватывает управление взаимосвязями
процессов. Остальные восемь групп - это процессы, связанные с проектным
заданием, сроками, затратами, ресурсами, кадрами, информационными потоками,
риском и материально-техническим снабжением (закупками).
Международный стандарт ISO 10006 ориентирован на проекты самого широкого
спектра - малые и крупные, краткосрочные и долгосрочные, для различных
окружающих условий. Он безотносителен к типу проектируемого продукта (включая
технические средства, программное обеспечение, полуфабрикаты, услуги или их
сочетание). Это означает, что заложенные в нем рамочные требования требуют
последующей адаптации данного руководства к конкретным условиям разработки и
реализации отдельного проекта.
Стандарт заимствует ключевые определения из ИСО 8402, включая такие
термины, как проект, продукт проекта, план проекта, участник проекта, процесс,
оценка хода работ. Для всех процессов управления проектом (планирование,
организация, мониторинг и контроль) применяются процессы и задачи менеджмента
качества.
На основе международных стандартов разрабатываются и национальные
стандарты управления проектами. Ассоциация по управлению проектами России
(SOVNET) разработала в 2001 г. на основе стандарта IPMA «Основы
профессиональных знаний. Национальные требования к компетентности
специалистов». Перевод стандарта ИСО 10006:2003 зарегистрирован, стандарт PMI
распространяется в России частным порядком и часто используется как основа для
корпоративных стандартов.
Стандарт 100006 позволяет установить руководящие принципы по элементам
системы качества, концепциям и практическим процедурам, реализация которых
важна для качества и которые оказывают воздействие на его достижение при
управлении проектами.
1.3 Стандарты
зрелости управления проектами
В 2004 г. PMI был выпущен стандарт оценки уровня зрелости организации по
управлению проектами OPM3 (Organization Project
Management Maturity Model), содержащий методологию определения состояния
управления проектами в организации.
Термин «организационная зрелость по управлению проектами» описывает
способность организации отбирать проекты и управлять ими таким образом, чтобы
это максимально эффективно поддерживало достижение стратегических целей
компании.- это стандарт, представляющий собой всесторонний подход, который
помогает организациям оценивать и развивать свои возможности по эффективной
реализации проектов. Он является своего рода ключом к организационной зрелости
управления проектами и содержит три взаимосвязанных элемента:
· элемент «знание» (knowledge) представляет собой сотни лучших
практик по управлению проектами, характеризующих те или иные уровни
организационной зрелости управления проектами;
· элемент «оценка» (assessment) является инструментом,
помогающим организациям оценить текущую зрелость управления проектами и
определить области улучшения;
· если организация принимает решение развивать практики
управления проектами и переходить на новые более высокие уровни зрелости, то в
дело вступает элемент «улучшение» (improvement), который помогает компаниям
построить схему развития управления проектами таким образом, чтобы обеспечить
максимально эффективное достижение своих стратегических целей.
Основное назначение OPM3 - быть стандартом для корпоративного управления
проектами и организационной зрелости по управлению проектами. Основная
отличительная черта OPM3 - это наличие уникальной базы данных, которая содержит
сотни лучших практик, описание тысяч ключевых факторов успеха, результатов и
другой информации, характеризующей развитие зрелости управления проектами в
организации. OPM3 спроектирован таким образом, чтобы быть легким в понимании и
использовании, масштабируемым, гибким и настраиваемым на потребителя.
Основываясь на базе OPM3 как стандарта управления проектами, организация
может успешно перейти к такому состоянию, когда проекты будут достигать
поставленных целей в рамках бюджета, сроков и, что более важно, преследуя
корпоративные стратегические цели.
Международная стандартизация корпоративных систем управления постепенно
расширяется на проектную деятельность организаций и на уровне отдельных
проектов (мультипроектов), и на уровне управления программами и портфелями
проектов. Прямое регулирование проектной деятельности организаций
осуществляется с помощью стандартов Института управления проектами PMI
(которые, не являясь международными, популярны во многих странах мира, в том
числе в России). Косвенное регулирование проектной деятельности организаций осуществляется
с помощью, в частности международных стандартов качества. При управлении
качеством необходимо эффективное использование вспомогательных стандартов,
таких, как ISO 10006 «Руководящие указания по обеспечению качества в проектах»
для регулирования проектной деятельности организации.
1
. Инициация,
планирование и оценка эффективности проекта по созданию веб-сайта РИВЦ «Уфа»
Модель структурной декомпозиции проекта создания веб-сайта организации
представлена на рисунке 1.
Структурная декомпозиция работ представляет собой иерархическую структуру
последовательного деления ИТ-проекта на отдельные элементы. На верхнем уровне
иерархии данной модели представлены этапы проекта, на нижнем - отдельные виды
работ.
Рисунок 1 - Структурная декомпозиция работ по созданию веб-сайта
Таким образом, разработка проекта состоит из 5 этапов:
анализ и планирование, проектирование, реализация, тестирование и ввод в
эксплуатацию, содержащих определенные работы, необходимые для их выполнения.
2.1 Разработка
устава проекта
В уставе проекта описываются бизнес-причина возникновения проекта, цель
проекта, его продолжительность, ограничения. Устав проекта представлен в
приложении А.
Согласно уставу проекта его целью является повышение узнаваемости и
капитала РИВЦ «Уфа», привлечение клиентов. Инициатором проекта является
начальник РИВЦ «Уфа» Карпенко Андрей Иванович, исполнители - команда Марии
Афанасьевой.
2.2 Основные
этапы процесса планирования проекта
Процесс планирования проекта включает процедуры разработки расписания
проекта, разработки календарного плана проекта, построения матрицы
ответственности, определения уровней вероятности возникновения рисков и их
последствий, разработки мероприятий по снижению рисков.
2.2.1 Разработка
расписания проекта
Диаграмма предшествования показывает очередность и длительность каждой
работы проекта, строится по методу критического пути (приложение Б).
Результаты расчетов даты раннего старта и раннего финиша, позднего старта
и позднего финиша, определение резервов времени представлены в приложении В.
Для определения календарных сроков длительности и завершения проекта
разрабатывается календарный план. Дата начала работ проекта 1 декабря 2014
года. График календарного плана проекта представлен на рисунке 2. Календарный
план проекта представлен в приложении Г.
|
Мероприятия Сроки
|
1 мес.
|
2 мес.
|
3 мес.
|
4 мес.
|
|
Длительность
|
Номер работы
|
|
|
|
|
|
|
|
|
|
|
|
|
|
|
|
|
|
1
|
2
|
3
|
4
|
5
|
3
|
4
|
5
|
1
|
2
|
3
|
4
|
1
|
2
|
3
|
|
3
|
1
|
|
|
|
|
|
|
|
|
|
|
|
|
|
|
|
|
4
|
2
|
|
|
|
|
|
|
|
|
|
|
|
|
|
|
|
|
4
|
3
|
|
|
|
|
|
|
|
|
|
|
|
|
|
|
|
|
11
|
4
|
|
|
|
|
|
|
|
|
|
|
|
|
|
|
|
|
7
|
5
|
|
|
|
|
|
|
|
|
|
|
|
|
|
|
|
|
3
|
6
|
|
|
|
|
|
|
|
|
|
|
|
|
|
|
|
|
17
|
7
|
|
|
|
|
|
|
|
|
|
|
|
|
|
|
|
|
16
|
8
|
|
|
|
|
|
|
|
|
|
|
|
|
|
|
|
|
9
|
9
|
|
|
|
|
|
|
|
|
|
|
|
|
|
|
|
|
5
|
10
|
|
|
|
|
|
|
|
|
|
|
|
|
|
|
|
|
6
|
11
|
|
|
|
|
|
|
|
|
|
|
|
|
|
|
|
|
3
|
12
|
|
|
|
|
|
|
|
|
|
|
|
|
|
|
|
Рисунок 2 - График календарного плана проекта
Таким образом длительность проекта составит 106 календарных дней, проект
закончится 17 марта 2015 года.
2.2.2 Построение
матрицы ответственности
Для отражения иерархии подотчетности и указания обязанностей каждого
члена проектной группы разрабатывается матрица ответственности. Матрица
ответственности представлена в таблице 1.
Таблица 1 - Матрица ответственности
|
Проектные работы
|
Исполнители проекта
|
|
Заказчик
|
Руководитель группы проекта
|
Аналитик
|
Проектировщик
|
Программист
|
Дизайнер
|
Тестировщик
|
|
Первичная формулировка исходных требований
|
I
|
A,R
|
C
|
R
|
|
R
|
|
|
Предварительное определение структуры сайта, его базы
данных, технологических ресурсов
|
I
|
A,R
|
C
|
R
|
|
R
|
|
|
Определение критериев качества и стандартизации работ по
созданию сайта
|
|
I
|
A,C
|
R
|
|
R
|
|
|
Проектирование архитектуры системы, структуры данных
|
|
I
|
I
|
A,R
|
R
|
|
|
|
Проектирование типовых интерфейсов, функциональных
элементов
|
|
I
|
A
|
C,R
|
|
R
|
|
|
Оформление и утверждение спецификаций
|
I
|
A,R
|
C
|
R
|
|
|
|
|
Разработка программных модулей архитектурных решений (баз
данных)
|
|
I
|
|
I
|
A,R
|
|
|
|
Разработка пользовательских приложений
|
|
I
|
|
I
|
A,R
|
|
|
|
Разработка дизайна
|
|
I
|
C
|
C
|
|
A,R
|
|
|
Проведение тестирования
|
|
|
|
I
|
C
|
|
A,R
|
|
Приемочное тестирование
|
|
A
|
I
|
I
|
C
|
|
R
|
|
Сдача-приемка сайта
|
A
|
R
|
I
|
C
|
C
|
C
|
C
|
Условные обозначения матрицы ответственности:- утверждающий;-
ответственный, исполнитель;
C -
консультант;- наблюдатель.
Матрица ответственности проекта позволяет определить обязанности каждого
члена команды проекта, отражает распределение обязанностей между ними и
иерархию подотчетности, что позволяет быстро найти ответственного и исполнителя
каждой проектной работы.
2.2.3
Формирование сметы проекта
В разработке сайта участвуют 15 человек. Список сотрудников и их месячные
оклады представлены в таблице 2. Смета оплаты труда представлена в приложении
Д.
Таблица 2 - Исходные данные ресурсов
|
Ресурсы
|
Количество
|
Месячные оклады, тыс.руб./мес.
|
|
Менеджер проекта (руководитель группы)
|
1
|
130
|
|
Аналитик
|
3
|
28
|
|
Проектировщик
|
1
|
55
|
|
Программист
|
4
|
49
|
|
Дизайнер
|
3
|
36
|
|
Тестировщик
|
3
|
21
|
При работе над проектом сотрудникам необходимо пользоваться услугами
связи, чтобы общаться друг с другом. Всем сотрудникам подключен тариф,
стоимостью 30 коп. в минуту. Приблизительно за время работы общая длительность
телефонных разговоров составит 153 часа. Тариф на электроэнергию (освещение) с
учетом НДС составляет 2,32 руб/кВт*час. График работы с 08:00 до 17:00, всего
работа над проектом займет 612 рабочих часов. Для создания сайта, организацией
РИВЦ «Уфа» было выделено 4 компьютера. Максимальная потребляемая мощность
компьютера 0,4 кВт/час, с учетом освещения 5,2 кВт/час. На компьютерах подключен
интернет от компании Ufanet,
стоимостью 510 руб/мес. Для создания сайта необходим профессиональный HTML-редактор. На 4 компьютера была
установлена программа HTML Pad 2014 Pro (стоимость стандартной лицензии 1255
руб.). Сотрудники работают в помещении, площадью 6 квадратных метров. Тариф на
отопление 36,32 руб/кв.м. К административным расходам относятся: канцелярские
расходы - 5 тыс. рублей, приобретение дисков - 200 рублей.
Смета проекта представлена в таблице 3.
Таблица 3 - Смета проекта
|
№
|
Статья расходов
|
Стоимость за ед., руб
|
Ед. измерения
|
Кол-во
|
Всего, руб
|
Сумма, руб
|
|
Раздел 1. Оплата труда
|
|
1.1
|
Оплата труда штатных сотрудников
|
|
|
|
|
|
|
1.1.1
|
Менеджер проекта (руководитель группы)
|
4300
|
Человеко-дни
|
17
|
73100
|
|
|
1.1.2
|
Аналитик
|
900
|
Человеко-дни
|
17
|
15300
|
|
|
1.1.3
|
Проектировщик
|
1800
|
Человеко-дни
|
32
|
|
|
1.1.4
|
Программист
|
1600
|
Человеко-дни
|
126
|
201600
|
|
|
1.1.5
|
Дизайнер
|
1200
|
Человеко-дни
|
36
|
43200
|
|
|
1.1.6
|
Тестировщик
|
700
|
Человеко-дни
|
21
|
14700
|
|
|
1.2
|
Налоги на фонд оплаты труда
|
|
|
|
56770
|
|
|
Итоги по оплате труда
|
|
|
|
405500
|
462270
|
|
Раздел 2. Основные прямые расходы
|
|
2.1
|
Коммунальные расходы
|
|
|
|
|
|
|
2.1.1
|
Электричество
|
12
|
руб./кВт*час
|
612
|
7344
|
|
|
2.1.2
|
Отопление
|
36,32
|
руб./кв.метр
|
6
|
218
|
|
|
2.2
|
Связь
|
0,5
|
руб./мин.
|
9180
|
4590
|
|
|
2.3
|
Интернет
|
510
|
руб./мес.
|
4
|
2040
|
|
|
2.4
|
Лицензия на ПО
|
1255
|
руб. за 1 комп
|
4
|
5020
|
|
|
Итоги по основным прямым расходам
|
|
|
|
|
19212
|
|
Раздел 3. Прочие расходы
|
|
3.1
|
Административные расходы
|
|
|
|
5200
|
|
|
3.2
|
Риски
|
|
|
|
30000
|
|
|
3.3
|
Непредвиденные расходы
|
|
|
|
13318
|
|
|
Итого по проекту
|
530000
|
Таким образом календарный срок проекта по созданию сайта составит 4
месяца. Для его реализации необходимо 530 тыс.рублей, из них 462270 рублей на
оплату труда сотрудников.
2.2.4 Риски
проекта
Описание ожидаемых рисков проекта и характера их влияния на различные
процессы проекта необходимо для разработки методов предотвращения этих рисков.
Для этого дается подробный анализ ожидаемых потерь в результате негативного
влияния рисков, разрабатываются меры по снижению рисков.
Словесному описанию вероятности наступления рискового события
соответствуют следующие интервалы вероятностей:
«крайне маловероятно» - от 1 до 14%;
«низкая вероятность» - от 15 до 35%;
«средняя» - от 36 до 65%;
«высокая» - от 66 до 99%.
Для оценки вероятности наступления рисков, их последствий используется
классификация рисков и шкала оценки влияния рисков, представленная в таблице 4.
Таблица 4 - Шкала оценки влияния рисков
|
Цель проекта
|
Показаны значения по относительной и числовой шкалам
|
|
Низкое
|
Умеренное
|
Высокое
|
Очень высокое
|
|
0,10
|
0,20
|
0,40
|
0,80
|
|
Стоимость
|
Увеличение <5%
|
Увеличение 5-10%
|
Увеличение 10-20%
|
Увеличение > 20%
|
|
Сроки
|
Увеличение <5%
|
Увеличение 5-10%
|
Увеличение 10-20%
|
Увеличение > 20%
|
|
Содержание (объем)
|
Незначи- тельные изменения
|
Значительные изменения
|
Неприемлемое для клиента изменение
|
Достижение конеч- ных результатов невозможно
|
|
Качество
|
Незначи- тельные изменения
|
Изменение требует согласия клиента
|
Неприемлемое для клиента изменение
|
Достижение конеч- ных результатов невозможно
|
Анализ проектных рисков представлен в приложении Е.
В результате анализа было выделено 5 проектных рисков. Процессные риски
имеют самое высокое влияние на реализацию проекта. Также высокое влияние
оказывают риск слабой поддержки проекта со стороны руководства организации и
риск нарушения обозначенных условий контракта, но вероятность их наступления
мала. Крайне маловероятно и закрытие проекта от потери интереса владельца к
нему или недостатка финансовых средств.
Таким образом организационные риски способны увеличить стоимость и сроки
проекта на 5-20%, процессные и внешние - свыше 20%. Значительное изменение
содержания оказывает неприятие конечными пользователями результатов проекта,
неприемлемые для клиента изменения содержания - слабая поддержка проекта и
нарушение условий контракта, невозможность достижения конечных результатов
возможно из-за изменения целей, задач и подхода к реализации проекта на поздних
стадиях, а также закрытия проекта.
Для предупреждения рисков необходимо четко следовать поставленным задачам
проекта, поддерживать интерес высшего руководства к создаваемому проекту,
согласовывать план и изменения на каждом этапе разработки.
2.3 Определение
экономической целесообразности создания сайта
Для оценки эффективности проекта используется метод дисконтирования.
Определяются показатели: чистый дисконтированный доход (ЧДД), индекс доходности
(ИД), внутренняя норма доходности (ВНД), дисконтированный срок окупаемости.
Результаты расчетов сводятся в таблицу, представленную в приложении Ж.
Расчетный период (горизонт расчета) проекта составляет 3 года, шаг
расчета квартал. Годовая норма дисконта в течение всего расчетного периода не
изменяется. Ставка дисконтирования и налога на прибыль 20%.
Себестоимость (С) рассчитывается по формуле:
С = В / (1+ P), (1)
где В - выручка от реализации проекта,
Р - уровень рентабельности. Уровень рентабельности составляет 21% или
0,21.
Прирост прибыли (П) определяется по формуле:
П = В - С, (2)
Налог на прибыль(Н) рассчитывается по формуле:
Н = П/100*20, (3)
Читая прибыль определяется по формуле:
Пч = П-Н, (4)
Коэффициент дисконтирования (Кд) рассчитывается по формуле:
Кд = 1/(1+0,05)i , (5)
где i - шаг расчета.
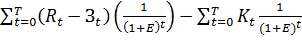
Чистый дисконтированный доход (ЧДД или NPV) определяется по формуле:
ЧДД =
, (6)
где Rt - результат, достигаемый на t-ом шаге расчета;
Зt - затраты (без учета затрат на инвестиции), осуществляемые
на t-ом шаге расчета;
Rt - З t = Эt - эффект, достигаемый на
t-ом шаге расчета; Эt = Rt - Зt = Пt +
Аt;
T -
продолжительность расчета (продолжительность расчетного периода);
Е - норма (ставка) дисконтирования составляет 0,05;
Кt - инвестиции проекта (капитальные вложения) на t-ом шаге
расчета.
Индекс рентабельности (ИД или IP) определяется по формуле:
ИД =
, (7)
ИД =5228,1/557,9=9,4
Внутренняя норма доходности (ВНД или IRR) рассчитывается по формуле:
ВНД =
, (8)
Евн - норма (ставка) дисконтирования составляет 0,39 или 39%.
Дисконтированный срок окупаемости (Ток или DRR) - это период
времени, за который возместятся инвестиционные затраты из чистых
дисконтированных доходов проекта.
Ток =
=2,72 квартала
Для наглядности строится график зависимости чистого дисконтированного
дохода накопительным итогом от времени (рисунок 4).
Рисунок
4 - График зависимости чистого дисконтированного дохода накопительным итогом от
времени
Таким
образом дисконтированный срок окупаемости проекта составит 2,72 квартала.
Чистый дисконтированный доход от реализации проекта будет равен 5228,1 тыс.
рублей. Индекс рентабельности характеризует относительную прибыльность проекта
и равен 9,4, что больше единицы, следовательно, проект эффективен.
Заключение
Рассмотренные мировые стандарты в области проектных компетенций являются
базой при разработке моделей компетенций специалистов, участвующих в проектной
деятельности, для организаций любого типа.
Стандарты содержат в себе рекомендации по составу компетенций, уровню
владения, глубине детализации, для ключевых проектных ролей, и обобщают опыт,
накопленный при реализации сотен проектов в самых различных областях. И хотя
многое в стандартах понятно и прозрачно, есть детальные разъяснения по тем или
иным вопросам, связанным с уровнями компетентности и компетенциями специалистов
в области управления проектами, они не позволяют учесть, а впоследствии,
отразить в модели компетенций, специфику проектной деятельности конкретной
организации, для которой разрабатывается модель.
Кроме того, стандарты не разъясняют вопросы, связанные с формализацией
процесса оценки, не устанавливают требований к использованию инструментов
оценки специалистов, периодику данной оценки и к решениям, принимаемым по
итогам оценки. Для разрешения вышеупомянутых вопросов, рекомендуется привлекать
сторонних консультантов, имеющих опыт в области управления проектами и
построении систем оценки уровня компетентности специалистов.
В ходе курсового проекта был разработан проект по созданию веб-сайта РИВЦ
«Уфа». Для его успешного осуществления была составлена структура из 12 работ.
Тщательно проработан устав проекта, учитывающий пожелания заказчика, содержащий
цель и описание продукта проекта. По составленному календарному плану проект
начнется 1 декабря 2014 года и закончится 17 марта 2015 года. Общая
длительность проекта составит 106 календарных дней.
Для разработки сайта потребуется команда из 15 человек, на оплату труда
которых будет выделено 462270 рублей.
Смета всего проекта - 530 тыс. рублей. Смета проекта, помимо оплаты труда
сотрудников, основных прямых и административных расходов, включает в себя
затраты в случае возникновения рисков. При планировании были определены
организационные, процессные и внешние риски.
Для оценки эффективности проекта использовался метод дисконтирования, по
которому были определены: чистый дисконтированный доход - 5228,1 тыс. рублей,
индекс доходности - 9,4, внутренняя норма доходности - 39% и дисконтированный
срок окупаемости - 2,72 квартала. Внутренняя норма доходности это процентная
ставка, при которой ЧДД равен нулю, она выше цены привлеченного капитала,
поэтому проект экономически целесообразен. В ходе оценки эффективности
выявилось, что проект экономически эффективен так как его индекс доходности
превышает единицу.
Сайт позволит организации РИВЦ «Уфа» повысить свою прибыль за счет
возможности обработки большего числа запросов на обслуживание чем при прямом и
телефонном обращении. Это достигается удобной онлайн-системой подачи заявок и
увеличивает число обслуженных клиентов за единицу времени. Имея удобный
интерфейс и систему поиска нужных услуг, сайт будет привлекать множество людей.
При качественном и быстром сервисе, понятном и простом использовании он завоюет
признательность клиентов и станет их предпочтительным выбором при поиске услуг
по ремонту компьютерного оборудования.
Список
использованной литературы
1. Управление
проектами: Учебник для бакалавров / А.И. Балашов, Е.М. Рогова, М.В. Тихонова,
Е.А. Ткаченко; под ред. Е.М. Роговой. - М.: Издательство Юрай, 2013. - 21 с.
. Управление
проектами: фундаментальный курс: учебник / А.В. Алешин, В.М. Аньшин, К.А.
Багратиони; под ред. В.М. Антшина, О.Н. Ильиной; Нац. Исслед. Ун-т «Высшая
школа экономики». - М.: Изд. дом Высшей школы экономики, 2013. - 620, [4] с.
. Канаевский,
Е. Внедрение системы управления проектами на практике // Финансовый директор. -
2007. - №3.
. Хелдман,
К. Профессиональное управление проектом. - М.: Бином, 2005.
. Заренков
В.А. Управление проектами : учеб. пособие. - 2-е изд. / В.А. Заренков. - М.:
АСВ, 2006.
. Методические
рекомендации оп оценке эффективности инвестиционных проектов и их отбору для
финансирования: офиц. изд. - М.: Экономика, 2000.
7. Стандарт ISO
10006. Руководство качеством по управлению проектами. URL:
<#"869245.files/image007.gif">
Приложение В
Результаты расчетов расписания проекта
Таблица В.1 - Раннее и позднее расписание проекта
|
№ работы
|
Описание работы
|
Предш. работа
|
Длит., дни
|
Ранний старт, ES
|
Ранний финиш, EF
|
Поздн. старт, LS
|
Поздн. финиш, LF
|
Резерв врем. Float
|
|
1
|
Первичная формулировка исходных требований
|
-
|
3
|
1
|
3
|
1
|
3
|
0
|
|
2
|
Предварительное определение структуры сайта, его базы
данных, технологических ресурсов
|
1
|
4
|
4
|
7
|
4
|
7
|
0
|
|
3
|
Определение критериев качества и стандартизации работ по
созданию сайта
|
1
|
4
|
4
|
7
|
4
|
7
|
0
|
|
4
|
Проектирование архитектуры системы, структуры данных
|
2,3
|
11
|
8
|
18
|
8
|
18
|
0
|
|
5
|
Проектирование типовых интерфейсов, функциональных
элементов
|
2,3
|
7
|
8
|
14
|
12
|
18
|
4
|
|
6
|
Оформление и утверждение спецификаций
|
4,5
|
3
|
19
|
21
|
19
|
21
|
0
|
|
7
|
Разработка программных модулей архитектурных решений (баз
данных)
|
6
|
17
|
22
|
38
|
22
|
38
|
0
|
|
8
|
Разработка пользовательских приложений
|
7
|
16
|
39
|
54
|
39
|
54
|
0
|
|
9
|
Разработка дизайна
|
7
|
9
|
39
|
47
|
46
|
54
|
7
|
|
10
|
Проведение тестирования
|
8,9
|
5
|
55
|
59
|
55
|
59
|
0
|
|
11
|
Приемочное тестирование
|
10
|
6
|
60
|
65
|
60
|
65
|
0
|
|
12
|
Сдача-приемка сайта
|
11
|
3
|
66
|
68
|
66
|
68
|
0
|
Приложение Г
Календарный план проекта
|
Дата завершения работы
|
03.12
|
09.12
|
09.12
|
24.12
|
18.12
|
29.12
|
30.01
|
24.03
|
12.03
|
03.04
|
12.04
|
17.04
|
|
Дата начала работы
|
01.12
|
04.12
|
04.12
|
10.12
|
10.12
|
25.12
|
30.12
|
02.03
|
02.03
|
25.03
|
04.04
|
13.04
|
|
Исполнитель
|
Руководитель группы, аналитик, дизайнер, проектировщик
|
Проектировщик, дизайнер, руководитель группы
|
Руководитель группы, аналитик, дизайнер, проектировщик
|
Программист, проектировщик
|
Проектировщик, аналитик, дизайнер
|
Руководитель группы, проектировщик
|
Программист
|
Программист
|
Дизайнер
|
Тестировщик
|
Тестировщик
|
Руководитель группы
|
|
Оценка трудоемкости, человеко-дни
|
3
|
4
|
4
|
11
|
7
|
3
|
17
|
16
|
9
|
5
|
6
|
3
|
|
№ предшеств. работы
|
-
|
1
|
1
|
2,3
|
2,3
|
4,5
|
6
|
7
|
7
|
8,9
|
10
|
11
|
Первичная формулировка исходных требований
|
Предварительное определение структуры сайта, его базы
данных, технологических ресурсов
|
Определение критериев качества и стандартизации работ по
созданию сайта
|
Проектирование архитектуры системы, структуры данных
|
Проектирование типовых интерфейсов, функциональных
элементов
|
Оформление и утверждение спецификаций
|
Разработка программных модулей архитектурных решений (баз
данных)
|
Разработка пользовательских приложений
|
Разработка дизайна
|
Проведение тестирования
|
Приемочное тестирование
|
Сдача-приемка сайта
|
|
Номер работы
|
1
|
2
|
3
|
4
|
5
|
6
|
7
|
8
|
9
|
10
|
11
|
12
|
Приложение Д
Смета оплаты проекта
Таблица Д.1 - Смета оплаты труда
|
Работа
|
Время работы, дни
|
Ресурсы
|
Кол-во
|
Стоимость за день, тыс. руб.
|
Стоимость всего, тыс. руб.
|
|
Первичная формулировка исходных требований
|
3
|
Руководитель группы
|
1
|
4,3
|
27,3
|
|
|
Аналитик
|
2
|
0,9
|
|
|
|
Дизайнер
|
1
|
1,2
|
|
|
|
Проектировщик
|
1
|
1,8
|
|
|
Предварительное определение структуры сайта, его базы
данных, технологических ресурсов
|
4
|
Проектировщик
|
1
|
1,8
|
29,2
|
|
|
Дизайнер
|
1
|
1,2
|
|
|
|
Руководитель группы
|
1
|
4,3
|
|
|
Определение критериев качества и стандартизации работ по
созданию сайта
|
4
|
Аналитик
|
1
|
0,9
|
32,8
|
|
|
Проектировщик
|
1
|
1,8
|
|
|
|
Дизайнер
|
1
|
1,2
|
|
|
|
Руководитель группы
|
1
|
4,3
|
|
|
Проектирование архитектуры системы, структуры данных
|
11
|
Программист
|
1
|
1,6
|
37,4
|
|
|
Проектировщик
|
1
|
1,8
|
|
|
Проектирование типовых интерфейсов, функциональных
элементов
|
7
|
Аналитик
|
1
|
0,9
|
27,3
|
|
|
Дизайнер
|
1
|
1,2
|
|
|
|
Проектировщик
|
1
|
1,8
|
|
|
Оформление и утверждение спецификаций
|
3
|
Проектировщик
|
1
|
1,8
|
18,3
|
|
|
Руководитель группы
|
1
|
4,3
|
|
|
Разработка программных модулей архитектурных решений (баз
данных)
|
17
|
Программист
|
3
|
1,6
|
81,6
|
|
Разработка пользовательских приложений
|
16
|
Программист
|
4
|
1,6
|
102,4
|
|
Разработка дизайна
|
9
|
Дизайнер
|
2
|
1,2
|
21,6
|
|
Проведение тестирования
|
5
|
Тестировщик
|
3
|
0,7
|
10,5
|
|
Приемочное тестирование
|
6
|
Тестировщик
|
1
|
0,7
|
4,2
|
|
Сдача-приемка сайта
|
3
|
Руководитель группы
|
1
|
4,3
|
12,9
|
|
Итого
|
405,5
|
Приложение Е
Риски проекта
Таблица Е.1 - Форма анализа проектных рисков
|
№ п/п
|
Тип риска
|
Описание риска
|
Причины риска
|
Влияние на проект
|
Вероятность наступления рискового события
|
Возможные методы предупреж-дения риска
|
|
1
|
Организационные
|
Слабая поддержка проекта со стороны высшего руководства
организации
|
Руководители неохотно выделяют ресурсы.
|
Высокое
|
Маловероятно
|
Поддержание заинтересованности высшего руководства
|
|
2
|
|
Неприятие конечными пользователями результатов проекта
|
Не устраивает система подачи заявок или структура сайта
|
Умеренное
|
Низкая
|
Согласование планов проекта на каждом этапе
|
|
3
|
Процессные
|
Изменение целей, задач и подхода к реализации проекта на
поздних стадиях проекта
|
Приказ руководства, изменение концепции сайта
|
Очень высокое
|
Низкая
|
Прописанные в уставе проекта четкие цели и задачи
|
|
4
|
Внешние
|
Вероятность нарушения обозначенных условий контракта
|
Сайт не сдан в срок, превышен бюджет проекта, сокращение
команды проекта, несоответствие конечного проекта требованиям, не реализована
цель проекта
|
Высокое
|
Маловероятно
|
Четкое следование поставленным задачам проекта и соблюдение
условий
|
|
5
|
|
Закрытие проекта
|
Потеря интереса владельца сайта к нему, его неумение
преодолевать трудности, недостаток финансовых средств
|
Очень высокое
|
Крайне маловероятно
|
Поддержание заинтересованности заказчика к реализации
проекта
|
Приложение Ж
Чистый дисконтированный доход накопительным итогом
|
Шаг расчета, квартал
|
12
|
530
|
2800
|
2314
|
486
|
97,2
|
388,8
|
0,55
|
706,9
|
4698,1
|
|
11
|
|
2800
|
2314
|
486
|
97,2
|
388,8
|
0,59
|
659
|
3991,2
|
|
10
|
|
2400
|
1983
|
417
|
83,4
|
333,6
|
0,61
|
546,9
|
3332,2
|
|
9
|
|
2400
|
1983
|
417
|
83,4
|
333,6
|
0,63
|
529,5
|
2785,3
|
|
8
|
|
2400
|
1983
|
417
|
83,4
|
333,6
|
0,68
|
490,6
|
2255,8
|
|
7
|
|
2400
|
1983
|
417
|
83,4
|
333,6
|
0,71
|
469,8
|
1765,2
|
|
6
|
|
2300
|
1901
|
399
|
79,8
|
319,2
|
0,74
|
431,3
|
1295,4
|
|
5
|
|
2200
|
1818
|
382
|
76,4
|
305,6
|
0,78
|
391,8
|
864,1
|
|
4
|
|
2200
|
1818
|
382
|
76,4
|
305,6
|
0,82
|
372,7
|
427,3
|
|
3
|
|
2200
|
1818
|
382
|
76,4
|
305,6
|
0,86
|
355,3
|
99,6
|
|
2
|
|
1800
|
1488
|
312
|
62,4
|
249,6
|
0,91
|
274,3
|
-255,7
|
|
1
|
|
-
|
-
|
-
|
-
|
-
|
0,95
|
-530
|
-530
|
|
Показатели
|
Сметная стоимость проекта, тыс.руб.
|
Прирост выручки от реализации проекта, тыс.руб.
|
Себестоимость, тыс.руб.
|
Прирост прибыли от реализации проекта, тыс.руб.
|
Налог на прибыль, тыс.руб.
|
Чистая прибыль, тыс.руб.
|
Коэффициент дисконтирования
|
Чистый дисконтированный доход, тыс.руб.
|
Чистый дисконтированный доход накопительным итогом,
тыс.руб.
|