Кинематическое исследование шарнирной части механизма и синтез эвольвентного зацепления
РОСЖЕЛДОР
Федеральное
государственное бюджетное образовательное учреждение высшего профессионального
образования
“Ростовский
государственный университет путей сообщения”
(ФГБОУ ВПО
РГУПС)
Кафедра
«Основы проектирования машин»
Курсовая
работа
по дисциплине
«Теория механизмов и машин»
ТММ
012.03.03 ПЗ
Кинематическое
исследование шарнирной части механизма и синтез эвольвентного зацепления
Студентка группы ТАБ- II-012
Белкова Я.А.
Руководитель проекта
к.т.н., доцент: Кучеренко А.П.
Ростов-на-Дону
2015
Задание
Выполнить структурный и кинематический анализ
плоского шарнирного механизма. Провести синтез цилиндрической прямозубой
зубчатой передачи с эвольвентным профилем зубьев.
Определить реакции во всех кинематических парах
механизма и рассчитать равнодействующую силу давления механизма на стойку и
место её приложения.
Кинематическая схема представлена на рисунке 1.
Исходные данные:
ОА=30 мм,
АВ=50А=150 мм,
ОС=6,5ОА=195 мм,
ВС=4,8ОА=145 мм,
ВД=ОА=30 мм,

длина кривошипа = 60 мм =0,6 м,

угловая скорость первого звена
(шестерни) = 40
,

= число зубьев первого колеса = 20,
m= модуль
зубчатых колёс = 10,

= передаточное число зубчатой
передачи = 3,15,

= коэффициент высоты головки зуба =
1,

= коэффициент радиального зазора =
0,25,

= делительный угол = 20°,

= сила полезного сопротивления =
2000 Н,

= масса первого звена = 5 кг.
Введение
Теория механизмов и машин (ТММ)
- наука об анализе и синтезе механизмов, механике машин. Подчеркнем, методы ТММ
пригодны для исследования и проектирования любых механизмов и не зависят от
технического назначения машины, прибора или аппарата. Например, механизм
двигателя внутреннего сгорания, механизм кривошипного пресса и лесопильной рамы
(несмотря на разное назначение и полную непохожесть внешнего вида) имеют в
основе один и тот же кривошипно-ползунный механизм. Это дает возможность
применять общие методы их исследования и проектирования. Один и тот же механизм
для превращения оборотного движения, выполненный в виде зубчатых колес, может
применяться в автомобилях, станках и часах, потому можно при исследовании
механизмов с разным функциональным назначением применять общие методы, которые
базируются на основных принципах современной механики.
1. Структурный анализ
Целью структурного анализа является определение
степени подвижности заданной кинематической цепи для установления необходимого
и достаточного числа ведущих звеньев при котором все остальные звенья совершают
определённые движения, а также определение класса механизма для правильного выбора
метода его дальнейшего исследования.
.1 Определение степени подвижности
Рисунок 1. Кинематическая схема
Данная схема состоит из: звена 1 - меньшее
зубчатое колесо, звено 2 - большое зубчатое колесо с кривошипом OA,
звено 3 - шатун, звено 4 -ползун, звено 0 - стойка
Анализ кинематических пар представлен в таблице
1.
Таблица 1. Характеристика кинематических пар
|
Обозначение
кинематической пары
|
О1
|
О
|
А
|
В1
|
С
|
N
|
|
Звенья,
образующие кинематическую пару
|
0;1
|
0;2
|
2;3
|
3;4
|
4;0
|
1;2
|
|
Вид
кинематической пары
|
Вр.
|
Вр.
|
Вр.
|
Вр.
|
Вр.
|
Вр-пост.
|
|
Элемент
кинематической пары
|
Поверх.
|
Поверх.
|
Поверх.
|
Поверх.
|
Линия
|
|
Класс
кинематической пары
|
5
|
5
|
5
|
5
|
5
|
4
|
Определим степень подвижности кинематической
цепи по формуле Чебышева:
=3n-2p5-1p4
Где n
- число подвижных звеньев = 4
P5- число пар пятого
класса = 5
P4- число
кинематических пар четвертого класса = 1.
Подставив значения в формулу получим:
W=3*4-2*5-1*1=1
Полученное значение показывает, что в заданной
цепи необходимо и достаточно иметь одно ведущее звено, чтобы закон движения
остальных был бы однозначно определён, а кинематическая цепь при этом получает
название - механизм.
В качестве ведущего звена принимаем зубчатую
шестерню.
1.2 Определение класса
механизма
Для выбора дальнейшего исследования механизма
необходимо определить его класс. Для чего выполним замену пары четвертого
класса на кинематические пары пятого класса, для чего введём в схему механизма
заменяющее звено.
Схему заменяющего механизма представлена на
рисунке 2.
Рисунок 2. Схема заменяющего механизма
Проверка произведённой замены:

=3
-2
=3*5-2*7=1
Степень подвижности механизма не
изменилась, замена выполнена верно.
Для определения класса механизма
разобьём его на структурные группы. Эскизы структурных групп представлены на
рисунке 3.
Рисунок 3. Эскизы структурных групп
Так как в состав механизма кроме
начального входит структурные группы второго класса, то весь механизм относится
к механизмам второго класса, что будет учтено при выборе его дальнейшего
исследования.
Механизм первого класса - группа
второго класса (2;5) - группа второго класса (3;4)
прямозубый цилиндрический эвольвентный зацепление
2. Кинематический анализ механизма
Целью кинетического анализа является определение
перемещений, скоростей и ускорений звеньев механизма и отдельных его точек без
учёта действующих сил.
.1 Совмещенный план положений
Выполним построение совмещённого плана для шести
фиксированного положения звеньев. Принимаем масштаб построения:

где 
=0,06 м - действительная длина
кривошипа,
OA= 30 мм -
отрезок, изображающий кривошип на чертеже.
Подставив значение в формулу получим:

.
Размеры остальных будут:
AB=5OA=5×30=150 мм,
BC=4,8OA=4,8×30=145 мм,
ОС=6,5
,
ВД=ОА=30 мм.
Используя построенный совмещенный
план положений механизма строим диаграммы точки В. Принимаем масштаб угла
поворота по оси абсцисс (х):
Масштаб времени поворота кривошипа
по этой же оси определим с учетом угловой скорости кривошипа, которую определим
по формуле:
Масштаб времени:
Масштаб графика пути по оси ординат
принимаем равным:
Определяем масштабы по оси ординат
для графиков скорости и ускорения:
где H1=Н2=25 мм -
отрезок произвольной длины до полюса дифференцирования.
Используя построенные графики
определяем действительное значение пути, скорости и ускорения точки В. Расчёт
выполним в форме таблицы.
Таблица 2. Кинематические
характеристики точки В
|
Положение
механизма
|
0
|
1
|
2
|
3
|
4
|
5
|
|
|
0
|
11
|
45
|
44
|
15
|
|
|
0
|
0,022
|
0,09
|
0,12
|
0,088
|
0,03
|
|
|
0
|
17
|
32
|
3
|
22
|
20
|
|
 /с00,4250,80,0750,550,5
|
|
|
|
|
|
|
|
|
24
|
18
|
4
|
30
|
12
|
14
|
|
 /с27,55,61,259,43,74,4
|
|
|
|
|
|
|
2.2 План скоростей
Для заданного положения звеньев механизма строим
план скоростей.
Выделим первое положение звеньев
механизма на совмещенном плане механизма. Положение точек S2,S3,S4 центров
масс звеньев найдём на плане скоростей также по изображающему свойству. OA делим
пополам и находим центр масс 
, AB делим
пополам и находим центр масс S3, BC делим
пополам и находим центр масс S4. Скорость точки А определяем по
формуле:

13×0,06=0,78 м/c.
Представим вектор данной скорости на
чертеже отрезком 
= 78 мм, тогда масштаб плана
скоростей будет:
Направлен данный вектор
перпендикулярно звену ОА в направлении ω2.
Положение точки В на плане скоростей
найдём, решая графически систему векторных уравнений:
где VA- скорость
точки А, известная по величине и направлению,
VBA- вектор скорости
точки В относительно А, не известный по величине, но известный по направлению,
направлен перпендикулярно АВ,
VСТ - вектор
скорости стойки = 0 м/мм,
VBст -
скорость точки относительно стойки, неизвестная по величине, но известная по
направлению, направлена параллельно стойке.
Положение точки С на плане скоростей
найдём по изображающему свойству плана из соотношения:

=
.
Используя построенный план скоростей
определим скорости всех точек механизма:
Определим величину угловых
скоростей:

,
где 
- действительная длина звена АВ,
Направление угловой скорости обозначим на плане
механизма.
.3 План ускорений
Построение плана ускорений производим в том же
порядке, что и плана скоростей. Ускорение точки А относительно О будет обладать
только нормальной составляющей, т. к. ω2
- постоянная, величину которой определим по формуле:

.
Принимаем длину вектора ускорения
точки А на чертеже 
тогда масштаб ускорений будет:
Направлен данный вектор параллельно
звену ОА из точки А в точку О. Положение точки «b» на плане
ускорений найдем, решая графически систему векторных уравнений:

где 
- известный по величине и
направлению вектор точки а, 
- вектор нормальной составляющей
ускорения точки В относительно А, величину которого определяем по формуле:
Направлен данный вектор параллельно
звену АВ из точки В в точку А.

- неизвестный по величине, но
известный по направлению вектор тангенсальной составляющей ускорения точки В
относительно А, направлен перпендикулярно АВ.

где 
= 0 - ускорение точки,
принадлежащей стойке,

- вектор нормальной составляющей
ускорения точки С относительно точки В, величину которой определяем по формуле:
Положение точки «d» на плане
ускорений найдем по изобразительному свойству из соотношения:
Положение точек центров масс звеньев
на чертеже находим также по изобразительному свойству. Используя построенный
план ускорений, определяем все точки механизма:
Величину угловых ускорений определим
по формуле:
Направление угловых ускорений
звеньев покажем на схеме механизма. Сравним результаты скоростей и ускорений
точки В, полученные разными методами. Расхождение результатов составляет:
. Синтез зубчатой передачи
В данном разделе производится
геометрический расчет параметров прямозубого, цилиндрического эвольвентного
зацепления, зубчатые колеса которого изготовлены без смешения инструмента, т.е.
х1 = 0, х2 = 0.
.1 Расчет геометрических параметров
Число зубьев ведомого колеса: z2=z1×u1,2=20×3,15=63.
Диаметр зубчатых колес:
Делительные:

Начальные:

Основные

Диаметр вершин зубчатых колес:
Диаметр впадин зубчатых колес:
Шаг между зубьями по начальной или
делительной окружности:
Шаг между зубьями по основной
окружности:
Толщина зуба и ширина впадин по
делительной или начальной окружности:
Высота головки зуба:
Высота ножки зуба:
Полная высота зуба:
Межосевое расстояние:
.2 Расчет показателя качества
зацепления
Одним из важнейших показателей
качества проектируемолй зубчатой передачи является коэффициент перекрытия,
который показывает, сколько пар сопряженных зубьев в зацеплении в единицу
времени, которая соответствует времени нахождения в зацеплении одной пары
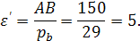
зубьев. Коэффициент прекрытия определяем по формуле:
где 
- радиусы окружностей вершин
зубчатых колес;

- радиусы основных окружностей
зубчатых колес.
Непрерывность и плавность работы
зубчатой передачи будет обеспечена, если коэффициент перекрытия (ɛ) будет ≥1,2.
.3 Построение картины зацепления
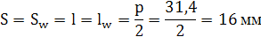
Выбираем масштаб картины зацепления
таким образом, чтобы высота зуба h была бы ≥ 25-30 мм.
Принимаем масштаб построения М1:1, 
Построение эвольвентного профиля
зубьев производим по рекомендациям, предложенным в литературе.
4. Силовой расчет механизма
Целью данного расчета является
определение реакций в кинематических парах механизма, расчет уравновешивающей
силы и равнодействующей силы давления на стойку, место её основания и
приложения.
.1 Силы, действующие на звенья
механизма
Определим массу всех звеньев
механизма:
Силы тяжести:

Приложены силы тяжести в точках
центра масс соответственно звеньям и направлены к центру Земли. Силы инерции
звеньев:
Приложены силы инерции в точках
центров масс соответствуещих звеньев в направлении, противоположном вектору
ускорения этих точек.
Сила полезного сопротивления FD=2000
H возникает в результате произведенной операции, приложенна в точку D в
направлении, противоположном вектору скорости этой точки.
Определим моменты инерции звена 3 и
4:
Моменты пары сил инерции звеньев 3 и
4:
Направлены пары сил инерции в
направлениях, противоположных угловым ускорениям звеньев 3 и 4.
Выполняем построение структурных групп
из звеньев 3 и 4 на чертеже в масштабе µ1.
.2. Определение реакций в
кинематических парах
Запишем уравнение равновесия группы
в форме сил:
Так как в составе уравнения
неизвестных составляющих больше, чем 2, то запишем дополнительные уравнения
равенства для звеньев 3 и 4 в форме моментов:
Для звена 3:


,
Для звена 4:

Строим план сил группы в масштабе
µF=20 Н/мм.
Тогда отрезки, изображающие силы на
чертеже, определяем с учетом масштаба:
Строим план сил.
Используя постороенный план сил,
определяем:
.3 Расчет уравнений сил
Строим схему нагружения звеньев 1 и
2 в масштабе µL=0,002м/мм. Рассматриваем равновесие звена 2 в форме

: 
→
Рассматриваем равновесие звена 2 в
форме

: 
Строим план сил в масштабе µF=20
Н/мм. Тогда отрезки, изображающие силы на чертеже, определяем с учетом
масштаба:
Рассматриваем равновесие звена 1:

→
Строим план сил в масштабе µF=20
Н/мм. Тогда отрезки, изображающие силы на чертеже, определяем с учетом
масштаба:
4.4 Определение равнодействующей силы
давления механизма на стойку
Строим схему нагружения стойки
механизма в масштабе µL. Из построенных ранее планов сил перенесем на схему
механизмов силы, действующие на стойку. Строим план сил, действующих на стойку,
по векторному уравнению в масштабе µF:

.
Отрезки на чертеже с учетом масштаба
будут:

Выполним графическую проверку силы
Fm по формуле:

.
Определим расположение определяемой
силы Fm двумя способами:
) 
, 
;
) 
Определим место действия силы Fm из уравнения
моментов:
Заключение
В ходе выполнения курсовой работы был проведен
структурный анализ заданной кинематической цепи, в результате чего был выбран
метод для кинетического и силового расчета механизма.
Кинематическое исследование, проведено двумя
методами: графическим и графоаналитическим (расхождения результатов составили ∆V
= 2%; ∆а = 1,3%), что позволило нам установить закон движения механизма.
Спроектирована цилиндрическая эвольвентная
зубчатая передача с числами зубьев на колесах z1=20 и z2 =63, модулем m = 10 и
коэффициентами смещения x1=x2=0. Погрешность коэффициента перекрытия составила Δε=1,7%.
Проведен силовой анализ механизма для заданного
положения, в результате которого были определены силы, действующие на звенья,
реакции в кинематических парах, а также была определена равнодействующая сила
давления механизма на стойку Fm
=1860 H.
Список используемых источников
· Артоболевский
И. И. Теория механизмов и машин. - М.; Наука, 1988. - 640 с.
· Буракова
М. А., Кучеренко А. П. Учебно-методическое пособие, Эвольвентное зубчатое
зацепление, - Ростов н/Д.; ФГБОУ ВПО РГУПС, 2014. - 24 с.
· Николаева
Г. С., Буракова М. А., Проскорякова Ю. А. Учебно-методическое пособие,
Структурный анализ механизма, - Ростов н/Д.; ФГБОУ ВПО РГУПС, 2012. - 16 с.
· Николаева
Г. С., Буракова М. А., Проскорякова Ю. А. Учебно-методическое пособие,
Кинематический анализ механизма, - Ростов н/Д.; ФГБОУ ВПО РГУПС, 2013. - 28 с.