|
№
п/п
|
Параметр
|
Обозначение
|
Значение
|
|
1
|
Прототип
|
|
Пежо
307
|
|
2
|
Мощность,
кВт
|
N
|
54,0
|
|
3
|
Число
оборотов, об/мин
|
n
|
4500
|
|
4
|
Диаметр
поршня, мм
|
D
|
84
|
|
5
|
Ход
поршня, мм
|
S
|
84
|
|
6
|
Степень
сжатия
|
е
|
22,5
|
|
7
|
Число
цилиндров
|
I
|
4
|
|
8
|
Рабочий
объем, см3
|
V
|
1860
|
|
9
|
Коэффициент
кинематического подобия
|
л
|
0,27
|
1. Кинематический расчет кривошипно-шатунного
механизма
Задача кинематического расчета - нахождение
перемещений, скоростей и ускорений в зависимости от угла поворота коленчатого
вала. На основе кинематического расчета проводится динамический расчет и
уравновешивание двигателя
Рис.1. Кривошипно-шатунный механизм
(
- длина шатуна, 
- длина кривошипа, 
- ход поршня, 
- угол поворота кривошипа, 
- угол поворота шатуна, 
- скорость кривошипа)
1.1 Кинематика кривошипа

- угловое перемещение кривошипа:
(1.1.1)

- угловая скорость вращения кривошипа:
(1.1.2)

- ускорение кривошипа:
(1.1.3)
При рассмотрении кинематики ДВС
принимают допущение, что угловая скорость кривошипа является постоянной
величиной, т.е. 
.2 Кинематика поршня
.2.1 Определение перемещений поршня
Величина перемещения поршня
определяется по формуле:
(1.2.1)
(1.2.2)
По формулам (1.2.1) и (1.2.2)
вычисляем значения перемещений поршня при изменении угла 
от 00 до 3600
с шагом в 100, и результаты вычислений заносим в таблицу 1.
.2.2 Определение скоростей поршня
Скорость поршня определяем,
продифференцировав перемещение поршня (1.2.1):
(1.2.3)
По формуле (1.2.3) определяем
скорости поршня при изменении угла 
от 00 до 3600
с шагом в 100 и результаты вычислений заносим в таблицу 1.
При расчетах на прочность вместо
истинной скорости применяют максимальную и среднюю скорости поршня.
Из анализа выражения (1.2.3) на
экстремум можно показать, что максимальная скорость поршня получается при 
, тогда:
Максимальную скорость поршня
определяем по формуле:
(1.2.4)
Среднюю скорость поршня определяем
по формуле:
(2.2.5)
.2.3 Определение ускорений поршня
Ускорения поршня определим,
продифференцировав полученную формулу скорости (1.2.3):
(1.2.6)
По формуле (1.2.6) определяем
ускорения поршня при изменении угла 
от 00 до 3600
с шагом в 100 и результаты вычислений заносим в таблицу 1.
Максимальное ускорение поршня
определим по формуле:
(1.2.7)
Минимальное ускорение поршня
определим по формуле:
(1.2.8)
.3 Кинематика шатуна
.3.1 Определение угла наклона шатуна
В качестве основного перемещения
шатуна рассматривают угол отклонения от оси цилиндра (угол 
).
Угол наклона шатуна определяется по
формуле:
(1.3.1)
По формуле (1.3.1) определяем угол
наклона шатуна при изменении угла 
от 00 до 3600
с шагом в 100 и результаты вычислений заносим в таблицу 1.
Максимальный/минимальный угол
наклона шатуна определяем по формуле:
(1.3.2)
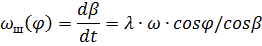
.3.2 Определение скорости шатуна
Скорость шатуна определяем,
продифференцировав угол наклона шатуна (1.3.1):
(1.3.3)
По формуле (1.3.3) определяем
скорости шатуна при изменении угла 
от 00 до 3600
с шагом в 100 и результаты вычислений заносим в таблицу 1.
Экстремум скорости возникает при 
, и равен:
(1.3.4)
.3.3 Определение ускорения шатуна
Ускорение шатуна определяем,
продифференцировав скорость шатуна (1.3.4):
(1.3.5)
По формуле (1.3.5) определяем
ускорения шатуна при изменении угла 
от 00 до 3600
с шагом в 100 и результаты вычислений заносим в таблицу 1.
Экстремум скорости возникает при 
и равен:
(1.3.6)
Таблица 1
|
Параметр
|
Перемещение
поршня, X , [м]Скорость
поршня, V , [м/с]Ускорение
поршня, J , [м/с2]Угол
наклона шатуна,  , [град]Скорость
шатуна,  [рад/сек]Ускорение
шатуна [рад/сек2]
|
|
|
|
|
|
|
Угол
|
|
|
|
|
|
|
|
00
|
0
|
0
|
11845
|
0
|
127,23
|
0
|
|
100
|
0,008
|
4,3507
|
11551
|
2,687
|
125,44
|
-9661,2
|
|
200
|
0,0032
|
8,4868
|
10693
|
5,299
|
120,07
|
-19077,7
|
|
300
|
0,007
|
12,21
|
9336
|
7,759
|
111,21
|
-27999,9
|
|
400
|
0,0122
|
15,3534
|
7582
|
9,994
|
98,969
|
-36170,9
|
|
500
|
0,0183
|
17,7929
|
5557,9
|
11,94
|
83,592
|
-43330,6
|
|
600
|
0,0253
|
19,4544
|
3404
|
13,52
|
65,431
|
-49225,7
|
|
700
|
0,0326
|
20,3159
|
1260
|
14,7
|
44,989
|
-53626,6
|
|
800
|
0,0402
|
20,4052
|
-746
|
15,42
|
22,919
|
-56348,2
|
|
900
|
0,0477
|
19,792
|
-2518
|
15,66
|
0
|
-57269,4
|
|
1000
|
0,0548
|
18,5775
|
-3986
|
15,42
|
-22,919
|
-56348,2
|
|
1100
|
0,0614
|
16,8809
|
-5119
|
14,7
|
-44,989
|
-53626,6
|
|
1200
|
0,0673
|
14,8264
|
-5923
|
13,52
|
-65,431
|
-49225,7
|
|
1300
|
0,0723
|
12,5302
|
-6432
|
11,94
|
-83,592
|
-43330,6
|
|
1400
|
0,0765
|
10,0907
|
-6707
|
9,994
|
-98,969
|
-36170,9
|
|
1500
|
0,0798
|
7,5821
|
-6818
|
7,759
|
-111,21
|
-27999,9
|
|
1600
|
0,0821
|
5,0518
|
-6835
|
5,299
|
-120,07
|
-19077,7
|
|
1700
|
0,0835
|
2,523
|
-6819
|
2,687
|
-125,44
|
-9661,2
|
|
1800
|
0,084
|
0
|
-6809
|
0
|
-127,23
|
0
|
|
1900
|
0,0835
|
-2,523
|
-6819
|
-2,687
|
-125,44
|
9661,2
|
|
2000
|
0,0821
|
-5,0518
|
-6835
|
-5,299
|
-120,07
|
19077,7
|
|
2100
|
0,0798
|
-7,5821
|
-6818
|
-7,759
|
-111,21
|
27999,9
|
|
2200
|
0,0765
|
-10,0907
|
-6707
|
-9,994
|
-98,969
|
36170,9
|
|
2300
|
0,0723
|
-12,5302
|
-6432
|
-11,94
|
-83,592
|
43330,6
|
|
2400
|
0,0673
|
-14,8264
|
-5923
|
-13,52
|
-65,431
|
49225,7
|
|
2500
|
0,0614
|
-16,8809
|
-5119
|
-14,7
|
-44,989
|
53626,6
|
|
2600
|
0,0548
|
-18,5775
|
-3986
|
-15,42
|
-22,919
|
56348,2
|
|
2700
|
0,0477
|
-19,792
|
-2518
|
-15,66
|
0
|
57269,4
|
|
2800
|
0,0402
|
-20,4052
|
-746
|
-15,42
|
22,919
|
56348,2
|
|
2900
|
0,0326
|
-20,1359
|
1260
|
-14,7
|
44,989
|
53626,6
|
|
3000
|
0,0253
|
-19,4544
|
3404
|
-13,52
|
65,431
|
49225,7
|
|
3100
|
0,0183
|
-17,7929
|
5557
|
-11,94
|
83,592
|
43330,6
|
|
3200
|
0,0122
|
-15,3534
|
7582
|
-9,994
|
98,969
|
|
3300
|
0,007
|
-12,21
|
9336
|
-7,759
|
111,21
|
27999,9
|
|
3400
|
0,0032
|
-8,4868
|
10693
|
-5,299
|
120,07
|
19077,7
|
|
3500
|
0,0008
|
-4,3507
|
11551
|
-2,687
|
125,44
|
9661,2
|
|
3600
|
0
|
0
|
11845
|
0
|
127,23
|
0
|
2. Динамический расчет кривошипно-шатунного механизма
В двигателе внутреннего сгорания на его элементы
действуют следующие виды нагрузок:
. Давление от продуктов сгорания;
. Инерционные нагрузки;
. Нагрузки полезного сопротивления;
. Нагрузки от сил трения. При наличии
динамических процессов, силы трения с учетом их малости не учитываются.
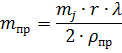
.1 Приведение масс деталей
.1.1 Приведение масс деталей поршневой группы

- масса поршневой группы;

- конструктивная масса поршневой
группы.
Предполагаем, что 
сосредоточена на оси поршневого
пальца.
Конструктивная масса деталей
поршневой группы определяется по формуле:
(2.1.1)
где 
- площадь рабочей поверхности
поршня;
(2.1.2)
В современных ДВС, работающих при n>4500
об/мин, 
=106-114 кг/м3. Для
нашего двигателя принимаем 106 кг/м3. Тогда из (3.1.1) получаем:
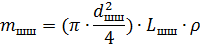
.1.2 Приведение масс шатуна
Разделим шатун на две части:
. Первая часть имеет массу 
, отнесенную к поршневой группе и
сосредоточенную на оси поршневого пальца. Данная часть участвует в
поступательном движении.
. Вторая часть имеет массу 
отнесенную к кривошипу и
сосредоточенную на оси шатунной шейки. Данная часть участвует во вращательном
движении.
Рис.2. Шатун (
,
- соответственно длина и масса
части шатуна, отнесенные к поршневой группе; 
,
- соответственно длина и масса
части шатуна, отнесенные к кривошипу; С - центр масс шатуна)
Масса шатуна определяется по
формуле:
(2.1.3)
Конструктивная масса шатуна
определяется по формуле:
(2.1.4)
В современных ДВС, работающих при n>4500
об/мин, 
=155-180 кг/м3. Для
нашего двигателя принимаем 155 кг/м3. Тогда из (….) получаем:
Зная длину шатуна, можно определить
длину его частей, отнесенных к поршневой группе и к кривошипу:
Длина шатуна:
(2.1.5)
Длина части шатуна, отнесенной к
кривошипу:
(2.1.6)
Длина части шатуна, отнесенной к
поршневой группе:
(2.1.7)
Зная длины, находим массы частей
шатуна:
(2.1.8)
(2.1.9)
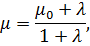
.1.3 Приведение масс кривошипа
Рис.3. Кривошип (
- диаметр коренной шейки; 
- диаметр шатунной шейки; 
- длина коренной шейки; 
- длина шатунной шейки; 
- толщина щеки; 
- высота щеки; 
- ширина щеки; 
- длина колена)
На основе статистических данных для
современных двигателей принимаем:
(2.1.10)
(2.1.11)
(2.1.12)
(2.1.13)
(2.1.14)
(2.1.15)
(2.1.16)
Масса щеки определяется по формуле:
(2.1.17)
где 
=7800 кг/м3 - плотность
материала кривошипа (сталь);
Масса шатунной шайки определяется по
формуле:
(2.1.18)
Масса кривошипа определяется по
формуле:
(2.1.19)
где 
- расстояние от оси приведения до
центра тяжести щеки:
(2.1.20)
Тогда масса кривошипа равна:
.1.4 Эквивалентная схема
кривошипно-шатунного механизма
Рис. 4. Эквивалентная схема
кривошипно-шатунного механизма (
- масса поступательно-движущихся
частей; 
- масса вращающихся частей; 
- длина шатуна; 
- радиус кривошипа)
Масса поступательно движущихся
частей находится по формуле:
(2.1.21)
Масса вращающихся частей находится
по формуле:
(2.1.22)
.2 Силы и моменты, действующие в
кривошипно-шатунном механизме
Рис.5. Силы и моменты в
кривошипно-шатунном механизме (
- силы инерции
поступательно-движущихся частей; 
- сила инерции вращательно
движущихся частей; 
- сила реакции шатуна; 
- сила, действующая на шатун; 
- сила, создающая крутящий момент; 
- сила, сжимающая кривошип; 
- давление в КС, создаваемое
продуктами сгорания; 
- крутящий момент; 
- опрокидывающий момент; 
- угол поворота кривошипа; 
- угол поворота шатуна)
2.2.1 Силы инерции
Сила инерции
поступательно-движущихся частей:
(2.2.1)
Где 
- масса поступательно движущихся
частей (см. п. 2.1.3)

- ускорение поршня (см. п. 2.2.3)
По формуле (2.2.1) определяем 
при изменении угла 
от 00 до 7200
с шагом в 100 и результаты вычислений заносим в таблицу 3
[Приложение 1].
Сила инерции вращающихся масс Kr приложена к
центру шатунной шейки, постоянна по величине (т.к. 
- см. п.2.1) и направлена по
радиусу кривошипа (см. рис. 5).
(2.2.2)
2.2.2 Определение избыточного
давления продуктов сгорания
Избыточное давление продуктов
сгорания определяется по формуле:
(2.2.3)
где: 
- атмосферное давление;

- давление продуктов сгорания на
поршень:
Значения давлений 
берем из теплового расчета
(индикаторной диаграммы).
Определяем значения 
при изменении 
от 00 до 7200
с шагом в 100 и результаты вычислений заносим в таблицу 3
[Приложение 1].
Построение индикаторной диаграммы:
Индикаторная диаграмма показывает
зависимость между давлением продуктов сгорания и объемом, в котором они
находятся.
Рассчитаем давления и температуры в
«характерных» точках индикаторной диаграммы:
. Процесс впуска
Давление на впуске (точка А на
индикаторной диаграмме) определяется по формуле:
(2.2.4)
где: 
=0.1 МПа - атмосферное давление;

- величина потерь давления,
обусловленная гидравлическим сопротивлением:
(2.2.5)
где: 
- коэффициент затухания;

- коэффициент местного
сопротивления;

(примем для нашего двигателя 
;

- скорость воздуха на впуске:

(примем для нашего двигателя V=100 м/с);

- плотность воздуха.
Получаем:
Тогда
Температура на впуске (в точке А
индикаторной диаграммы) определяется по формуле:
(2.2.6)
где: 
- степень сжатия;

(примем для нашего двигателя 
);

- температура окружающей среды;

- давление остаточных газов;

- температура остаточных газов.
Подставив значения в выражение
(2.2.6) получим:
. Процесс сжатия
Давление в конце такта сжатия (точка
С на индикаторной диаграмме) определяется по формуле:
(2.2.7)
где: 
(примем для нашего двигателя 
)
Тогда:
Температура смеси в конце такта
сжатия (точка С на индикаторной диаграмме) определяется по формуле:
(2.2.8)
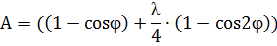
. Процесс сгорания
Температура в камере сгорания после
сгорания топлива будет определяться по формуле:
(2.2.9)
где 
- теплоемкость при постоянном
объеме в точке Z индикаторной диаграммы:
(2.2.10)

- теплоемкость при постоянном
объеме в точке Z индикаторной диаграммы:
(2.2.11)

- поправка на не идеальность
процесса;

- теплотворная способность 1 кг
бензина;

- коэффициент избытка окислителя;

- коэффициент изменения рабочей
смеси:
(2.2.12)
где 

- химический коэффициент
молекулярного изменения;
где 
- количество молей свежего заряда:
(2.2.13)
(2.2.14)

- содержание углерода в 1 кг
бензина;

- содержание водорода в 1 кг
бензина;

-количество воздуха, необходимое для
сгорания 1 кг бензина;

- коэффициент остаточных газов;

- потери тепла из-за недогорания:
(2.2.15)
Получаем:
Вышеперечисленные значения
подставляем в выражение (3.2.9) и, решая квадратное уравнение находим 
:
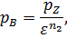
Давление в камере сгорания после
сгорания топлива (точка Z индикаторной диаграммы)
определяется по формуле:
(2.2.16)
Определим действительное давление в
камере сгорания:
(2.2.17)
. Процесс расширения
Давление в цилиндре после процесса
расширения (точка B на индикаторной диаграмме)
определяется по формуле:
(2.2.18)
где 
- показатель политропы расширения.
Тогда:
Температура в цилиндре после
процесса расширения (точка B на индикаторной диаграмме)
определяется по формуле:
(2.2.19)
При построении индикаторной
диаграммы учитываем следующие факторы:
. Угол опережения зажигания - 300
до ВМТ;
. При построении политроп сжатия и
растяжения, аналитически находим промежуточные точки:

-текущие значения давления при
сжатии;

-текущие значения давления при
расширении;
где: 
- текущий объем цилиндра:
(2.2.20)
Где Х - координата нахождения поршня
по оси Х;

- площадь поршня (см. п. 3.1.1)

- полный объем цилиндра и камеры
сгорания:
(2.2.21)
Где 
- объем камеры сгорания:
(2.2.22)
Где 
- рабочий объем одного цилиндра:

, (2.2.23)
Где 
- объем двигателя (см. п. 1);

- количество цилиндров (см. п. 1).
Тогда:
Таблица 2
|
Угол,
|
p,
МПа
|
|
p,
МПа
|
|
p,
МПа
|
|
p,
МПа
|
|
00
|
0.1
|
1900
|
0.0825
|
3700
|
6.2331
|
5500
|
0
|
|
100
|
0
|
2000
|
0.0843
|
3800
|
3.6722
|
5600
|
0
|
|
200
|
0
|
2100
|
0.0875
|
3900
|
2.0997
|
5700
|
0
|
|
300
|
0
|
2200
|
0.0924
|
4000
|
1.2793
|
5800
|
0
|
|
400
|
0
|
2300
|
0.0993
|
4100
|
0.8416
|
5900
|
0
|
|
500
|
0
|
2400
|
0.109
|
4200
|
0.5933
|
6000
|
0
|
|
600
|
0
|
2500
|
0.1224
|
4300
|
0.4433
|
6100
|
0
|
|
700
|
0
|
2600
|
0.1413
|
4400
|
0.3478
|
6200
|
0
|
|
800
|
0
|
2700
|
0.1683
|
4500
|
0.2842
|
6300
|
0
|
|
900
|
0
|
2800
|
0.2078
|
4600
|
0.2405
|
6400
|
0
|
|
1000
|
0
|
2900
|
0.2679
|
4700
|
0.2097
|
6500
|
0
|
|
1100
|
0
|
3000
|
0.3635
|
4800
|
0.1876
|
6600
|
0
|
|
1200
|
0
|
3100
|
0.5241
|
4900
|
0.1717
|
6700
|
0
|
|
1300
|
3200
|
0.8123
|
5000
|
0.1602
|
6800
|
0
|
|
1400
|
0
|
3300
|
1.3643
|
5100
|
0.1522
|
6900
|
0
|
|
1500
|
0
|
3400
|
2.4489
|
5200
|
0.1469
|
7000
|
0
|
|
1600
|
0
|
3500
|
4.2602
|
5300
|
0.1438
|
7100
|
0
|
|
1700
|
0
|
3600
|
5.4952
|
5400
|
0.1429
|
7200
|
0.1
|
|
1800
|
0.0819
|
|
|
|
|
|
|
По полученным выше результатам строим
индикаторную диаграмму.
2.2.3 Определение суммарной силы, действующей в
КШМ
Суммарная сила, действующая в КШМ, определяется
по формуле:
(2.2.24)
где 
- сила давления продуктов горения
на поршень (см. п. 2.2.2);

- сила инерции поступательно
движущихся частей (см. п. 2.2.1);
Определяем 
по формуле (2.2.24) при изменении 
от 00 до 7200
с шагом в 100 и результаты вычислений заносим в таблицу 3
[Приложение 1].
.2.4 Усилие, создаваемое на поршне
Усилие, создаваемое на поршне
определяется по формуле:
(2.2.25)
Опрокидывающий момент определяется
по формуле:
(2.2.26)
где: 
- длина кривошипа (42 мм).
Определяем 
по формуле (2.2.25) при изменении
угла 
от 00 до 7200
с шагом в 100 и результаты вычислений заносим в таблицу 3
[Приложение 1].
.2.5 Определение силы, сжимающей
шатун
Сила, сжимающая шатун, определяется
по формуле:
(2.2.27)
Определяем 
по формуле (2.2.27) при изменении
угла 
от 00 до 7200
с шагом в 100 и результаты вычислений заносим в таблицу 3
[Приложение 1].
.2.6 Определение силы, создающей крутящий момент
Сила, создающая крутящий момент, действующий на
кривошип, определяется по формуле:
(2.2.28)
Определяем 
по формуле (2.2.28) при изменении
угла 
от 00 до 7200
с шагом в 100 и результаты вычислений заносим в таблицу 3
[Приложение 1].
.2.7 Определение силы, сжимающей
кривошип
Сила, создающая опрокидывающий
момент, определяется по формуле:
(2.2.29)
Определяем 
по формуле (2.2.29) при изменении
угла 
от 00 до 7200
с шагом в 100 и результаты вычислений заносим в таблицу 3
[Приложение 1].
2.2.8 Определение крутящего момента
Крутящий момент определяется по
формуле:
(2.2.30)
По формуле (2.2.30) определим
крутящий момент, создаваемый одним цилиндром, результаты вносим в таблицу 4
[Приложение 2] и построим график 
. Отнесем полученный график к
каждому из цилиндров в соответствии с порядком их работы. Просуммировав четыре
полученных графика, получим график суммарного крутящего момента 
.
3. Уравновешивание двигателя
С учетом того, что большинство сил и
моментов меняются по величине и направлению в зависимости от угла поворота кривошипа,
в двигателе появляются переменные по величине и направлению перемещения.
Внешне уравновешенным называется
такой двигатель, при установившемся режиме работы которого, реакции на опорах
двигателя постоянны по величине и направлению, т.е. колебания двигателя
относительно корпуса отсутствуют.
Комплекс мероприятий, направленных
на устранение неуравновешенности двигателя, называется уравновешиванием
двигателя.
Уравновесить двигатель можно
следующими двигателями:
. Соответствующее расположение
цилиндров на коленчатом валу;
. Установка противовесов;
Из динамического расчета видно, что
в двигателе действуют силы:

- силы инерции поступательно
движущихся масс;

- центробежные силы инерции;
А также моменты от этих сил:

- момент от центробежных сил
инерции;

- моменты от сил инерции
поступательно движущихся масс.
Опрокидывающий момент уравновесить
невозможно, т.к. двигатель имеет один коленчатый вал. Следовательно, считаем
двигатель уравновешенным, если выполняются следующие условия:
Рис.6. Силы, действующие на 4-ех
цилиндровый ДВС (
- силы инерции поступательно
движущихся масс; 
- центробежные силы инерции)
Таблица 3 Рассмотрим 4-ех
цилиндровый двигатель (см. рис. 6), как совокупность 4-х одноцилиндровых
двигателей:
Просуммировав силы и моменты, действующие в
каждом цилиндре получаем:
Из вышеприведенных уравнений равновесия видно,
что не уравновешены только силы инерции 2-ого порядка. Для уравновешивания
используем противовесы, массу которых находим из условия:
где 
- уравновешивающая сила
противовесов:
где 
- расстояние от оси коленчатого
вала до центра противовеса (примем 
).
Подставим 
в уравнение условия
уравновешенности, и выразив массу противовеса, получим:
Приложение 1
Таблица 4
|
J(ц)
|
Pj(ц)
|
PГ(ц)
|
P∑(ц)
|
N(ц)
|
S(ц)
|
T(ц)
|
K(ц)
|
|
00
|
11845
|
-9724,75
|
0
|
-9724,75
|
0
|
-9724,75
|
0
|
-9724,75
|
|
100
|
11551
|
-9483,73
|
0
|
-9483,73
|
-445,135
|
-9494,18
|
-2085,21
|
-9262,36
|
|
200
|
10693
|
-8779,26
|
0
|
-8779,26
|
-814,204
|
-8816,94
|
-3767,79
|
-7971,34
|
|
300
|
9336.3
|
-7665,14
|
0
|
-7665,14
|
-1044,35
|
-7735,95
|
-4737
|
-6116,02
|
|
400
|
7582
|
-6224,83
|
0
|
-6224,83
|
-1096,98
|
-6320,75
|
-4841,58
|
-4063,37
|
|
500
|
5557.9
|
-4562,99
|
0
|
-4562,99
|
-964,632
|
-4663,84
|
-4115,51
|
-2194,09
|
|
600
|
3404.3
|
-2794,91
|
0
|
-2794,91
|
-672,158
|
-2874,6
|
-2756,54
|
-815,348
|
|
700
|
1260.9
|
-1035,17
|
0
|
-1035,17
|
-271,526
|
-1070,19
|
-1065,61
|
-98,8994
|
|
800
|
-746.8
|
613,1097
|
0
|
613,1097
|
169,1126
|
636,0052
|
633,1613
|
-60,078
|
|
900
|
-2518
|
2067,466
|
0
|
2067,466
|
579,7476
|
2147,213
|
2067,466
|
-579,748
|
|
1000
|
-3986
|
3272,456
|
0
|
3272,456
|
902,6337
|
3394,66
|
3066
|
-1457,18
|
|
1100
|
-5119
|
4202,716
|
0
|
4202,716
|
1102,372
|
4344,888
|
3572,228
|
-2473,3
|
|
1200
|
-5923
|
4862,375
|
0
|
4862,375
|
1169,371
|
5001,012
|
3626,255
|
-3443,89
|
|
1300
|
-6432
|
5281,019
|
0
|
5281,019
|
1116,425
|
5397,737
|
3327,871
|
-4249,8
|
|
1400
|
-6707
|
5506,807
|
0
|
5506,807
|
970,448
|
5591,663
|
2796,301
|
-4842,25
|
|
1500
|
-6818
|
5597,669
|
0
|
5597,669
|
762,667
|
5649,385
|
2138,345
|
-5229,06
|
|
1600
|
-6835
|
5611,721
|
0
|
5611,721
|
520,4407
|
5635,803
|
1430,267
|
-5451,29
|
|
1700
|
-6819
|
5598,169
|
0
|
5598,169
|
262,7592
|
5604,332
|
713,3446
|
-5558,75
|
|
1800
|
-6809
|
5589,817
|
-100,2053
|
5489,611
|
4,79E-12
|
5489,611
|
1,29E-11
|
-5489,61
|
|
1900
|
-6819
|
5598,169
|
-96,92806
|
5501,241
|
-258,21
|
5507,297
|
-700,994
|
-5462,5
|
|
2000
|
-6835
|
5611,721
|
-86,83578
|
5524,886
|
-512,387
|
5548,595
|
-1408,14
|
-5366,94
|
|
2100
|
-6818
|
5597,669
|
-69,11102
|
5528,558
|
-753,251
|
5579,636
|
-2111,94
|
-5164,5
|
|
2200
|
-6707
|
5506,807
|
-42,26196
|
5464,546
|
-963
|
5548,75
|
-2774,84
|
-4805,09
|
|
2300
|
-6432
|
5281,019
|
-3,891419
|
5277,127
|
-1115,6
|
5393,759
|
-3325,42
|
-4246,67
|
|
2400
|
-5923
|
4862,375
|
49,714209
|
4912,089
|
-1181,33
|
5052,143
|
-3663,33
|
-3479,1
|
|
2500
|
-5119
|
4202,716
|
124,30549
|
4327,022
|
-1134,98
|
4473,398
|
-3677,89
|
-2546,46
|
|
2600
|
-3986
|
3272,456
|
3501,408
|
-965,785
|
3632,162
|
-3280,51
|
-1559,13
|
|
2700
|
-2518
|
2067,466
|
378,39565
|
2445,862
|
-685,855
|
2540,205
|
-2445,86
|
-685,855
|
|
2800
|
-746.8
|
613,1097
|
597,55548
|
1210,665
|
-333,935
|
1255,875
|
-1250,26
|
-118,632
|
|
2900
|
1260.9
|
-1035,17
|
930,58212
|
-104,592
|
27,43441
|
-108,13
|
107,6673
|
-9,99259
|
|
3000
|
3404.3
|
-2794,91
|
1460,0848
|
-1334,82
|
321,0167
|
-1372,88
|
1316,499
|
-389,403
|
|
3100
|
5557.9
|
-4562,99
|
2350,2546
|
-2212,74
|
467,7806
|
-2261,65
|
1995,741
|
-1063,98
|
|
3200
|
7582
|
-6224,83
|
3947,4224
|
-2277,41
|
401,3408
|
-2312,5
|
1771,335
|
-1486,62
|
|
3300
|
9336.3
|
-7665,14
|
7006,3763
|
-658,759
|
89,75408
|
-664,845
|
407,1087
|
-525,625
|
|
3400
|
10693
|
-8779,26
|
13016,866
|
4237,602
|
-393,002
|
4255,787
|
-1818,65
|
3847,628
|
|
3500
|
11551
|
-9483,73
|
23055,057
|
13571,32
|
-636,992
|
13586,26
|
-2983,95
|
13254,53
|
|
3600
|
11845
|
-9724,75
|
29898,963
|
20174,21
|
-3,5E-11
|
20174,21
|
-1,7E-10
|
20174,21
|
|
3700
|
11551
|
-9483,73
|
33988,367
|
24504,63
|
1150,165
|
24531,61
|
5387,876
|
23932,63
|
|
3800
|
10693
|
-8779,26
|
19796,232
|
11016,97
|
1021,733
|
11064,25
|
4728,14
|
10003,11
|
|
3900
|
9336.3
|
-7665,14
|
11081,859
|
3416,723
|
465,5192
|
3448,291
|
2111,513
|
2726,21
|
|
4000
|
7582
|
-6224,83
|
6535,5026
|
310,6715
|
54,7487
|
315,4587
|
241,6357
|
202,7964
|
|
4100
|
5557.9
|
-4562,99
|
4110,042
|
-452,953
|
-95,7557
|
-462,964
|
-408,533
|
-217,799
|
|
4200
|
3404.3
|
-2794,91
|
2733,5666
|
-61,3418
|
-14,7523
|
-63,0907
|
-60,4997
|
-17,895
|
|
4300
|
1260.9
|
-1035,17
|
1902,3703
|
867,1964
|
227,4655
|
896,5323
|
892,6958
|
82,85099
|
|
4400
|
-746.8
|
613,1097
|
1373,0069
|
1986,117
|
547,8257
|
2060,284
|
2051,072
|
-194,617
|
|
4500
|
-2518
|
2067,466
|
1020,9965
|
3088,463
|
866,0498
|
3207,592
|
3088,463
|
-866,05
|
|
4600
|
-3986
|
3272,456
|
778,88414
|
4051,34
|
1117,471
|
4202,63
|
3795,745
|
-1804
|
|
4700
|
-5119
|
4202,716
|
608,13865
|
4810,855
|
1261,887
|
4973,599
|
4089,134
|
-2831,19
|
|
4800
|
-5923
|
4862,375
|
485,72437
|
5348,099
|
1286,185
|
5500,585
|
3988,498
|
-3787,92
|
|
4900
|
-6432
|
5281,019
|
397,3384
|
5678,357
|
1200,423
|
5803,857
|
3578,257
|
-4569,56
|
|
5000
|
-6707
|
5506,807
|
333,83882
|
5840,646
|
1029,279
|
5930,646
|
2965,821
|
-5135,8
|
|
5100
|
-6818
|
5597,669
|
289,28106
|
5886,95
|
802,0808
|
5941,339
|
2248,852
|
-5499,29
|
|
5200
|
-6835
|
5611,721
|
259,80591
|
5871,527
|
544,5355
|
5896,724
|
1496,485
|
-5703,67
|
|
5300
|
-6819
|
5598,169
|
243,00099
|
5841,17
|
274,1648
|
5847,601
|
744,3089
|
-5800,04
|
|
5400
|
-6809
|
5589,817
|
237,54041
|
5827,357
|
1,46E-11
|
5827,357
|
4,35E-11
|
-5827,36
|
|
5500
|
-6819
|
5598,169
|
0
|
5598,169
|
-262,759
|
5604,332
|
-713,345
|
-5558,75
|
|
5600
|
-6835
|
5611,721
|
0
|
5611,721
|
-520,441
|
5635,803
|
-1430,27
|
-5451,29
|
|
5700
|
-6818
|
5597,669
|
0
|
5597,669
|
-762,667
|
5649,385
|
-2138,35
|
-5229,06
|
|
5800
|
-6707
|
5506,807
|
0
|
5506,807
|
-970,448
|
5591,663
|
-2796,3
|
-4842,25
|
|
5900
|
-6432
|
5281,019
|
0
|
5281,019
|
-1116,42
|
5397,737
|
-3327,87
|
-4249,8
|
|
6000
|
-5923
|
4862,375
|
0
|
4862,375
|
-1169,37
|
5001,012
|
-3626,25
|
-3443,89
|
|
6100
|
-5119
|
4202,716
|
0
|
4202,716
|
-1102,37
|
4344,888
|
-3572,23
|
-2473,3
|
|
6200
|
-3986
|
3272,456
|
0
|
3272,456
|
-902,634
|
3394,66
|
-3066
|
-1457,18
|
|
6300
|
-2518
|
2067,466
|
0
|
2067,466
|
-579,748
|
2147,213
|
-2067,47
|
-579,748
|
|
6400
|
-746.8
|
613,1097
|
0
|
613,1097
|
-169,113
|
636,0052
|
-633,161
|
-60,078
|
|
6500
|
1260.9
|
-1035,17
|
-1035,17
|
271,526
|
-1070,19
|
1065,613
|
-98,8994
|
|
6600
|
3404.3
|
-2794,91
|
0
|
-2794,91
|
672,158
|
-2874,6
|
2756,541
|
-815,348
|
|
6700
|
5557.9
|
-4562,99
|
0
|
-4562,99
|
964,6321
|
-4663,84
|
4115,511
|
-2194,09
|
|
6800
|
7582
|
-6224,83
|
0
|
-6224,83
|
1096,983
|
-6320,75
|
4841,582
|
-4063,37
|
|
6900
|
9336.3
|
-7665,14
|
0
|
-7665,14
|
1044,354
|
-7735,95
|
4737,004
|
-6116,02
|
|
7000
|
10693
|
-8779,26
|
0
|
-8779,26
|
814,204
|
-8816,94
|
3767,787
|
-7971,34
|
|
7100
|
11551
|
-9483,73
|
0
|
-9483,73
|
445,1345
|
-9494,18
|
2085,205
|
-9262,36
|
|
7200
|
18845
|
-9724,75
|
0
|
-9724,75
|
3,39E-11
|
-9724,75
|
1,6E-10
|
-9724,75
|
Приложение 2
Таблица 5
|
Mкр1
|
Mкр2
|
Mкр3
|
Mкр4
|
Mкр∑
|
|
Mкр1
|
Mкр2
|
Mкр3
|
Mкр4
|
Mкр∑
|
|
00
|
0
|
0
|
0
|
0
|
0
|
4200
|
-2,54
|
-152,3
|
-172,85
|
-139,67
|
-467,36
|
|
100
|
-87,58
|
-29,44
|
226,29
|
-29,96
|
79,31
|
4300
|
37,49
|
-150,03
|
-115,77
|
-153,86
|
-382,17
|
|
200
|
-158,25
|
-59,14
|
198,58
|
-60,07
|
-78,88
|
4400
|
86,15
|
-128,77
|
-44,76
|
-154,47
|
-241,85
|
|
300
|
-198,95
|
-88,70
|
88,68
|
-89,81
|
-288,78
|
4500
|
129,72
|
-86,83
|
26,59
|
-137,78
|
-68,31
|
|
400
|
-203,35
|
-116,54
|
10,15
|
-117,44
|
-427,19
|
4600
|
159,42
|
-26,59
|
86,83
|
-102,73
|
116,94
|
|
500
|
-172,85
|
-139,67
|
-17,16
|
-139,77
|
-469,45
|
4700
|
171,74
|
44,76
|
128,77
|
-52,51
|
292,76
|
|
600
|
-115,78
|
-153,86
|
-2,54
|
-152,30
|
-424,48
|
4800
|
167,52
|
115,77
|
150,03
|
4,52
|
437,85
|
|
700
|
-44,76
|
-154,47
|
37,49
|
-150,03
|
-311,77
|
4900
|
150,29
|
172,85
|
152,30
|
55,29
|
530,73
|
|
800
|
26,59
|
-137,78
|
86,15
|
-128,77
|
-153,82
|
5000
|
124,56
|
203,35
|
139,77
|
83,82
|
551,50
|
|
900
|
86,83
|
-102,73
|
129,72
|
-86,83
|
26,99
|
5100
|
94,45
|
198,95
|
117,44
|
74,40
|
485,25
|
|
1000
|
128,77
|
-52,51
|
159,42
|
-26,59
|
209,09
|
5200
|
62,85
|
158,25
|
89,81
|
17,09
|
328,01
|
|
1100
|
150,03
|
4,52
|
171,74
|
44,76
|
371,05
|
5300
|
31,26
|
87,58
|
60,07
|
-76,38
|
102,53
|
|
1200
|
152,30
|
55,29
|
167,52
|
115,77
|
490,89
|
5400
|
0
|
0
|
29,96
|
-125,33
|
-95,37
|
|
1300
|
139,77
|
83,82
|
150,29
|
172,85
|
546,73
|
5500
|
-29,96
|
0
|
0
|
0
|
-29,96
|
|
1400
|
117,44
|
74,40
|
124,56
|
203,35
|
519,75
|
5600
|
-60,07
|
-87,58
|
-29,44
|
226,29
|
49,20
|
|
1500
|
89,81
|
17,10
|
94,45
|
198,95
|
400,32
|
5700
|
-89,81
|
-158,25
|
-59,14
|
198,58
|
-108,62
|
|
1600
|
60,07
|
-76,38
|
62,85
|
158,25
|
204,79
|
5800
|
-117,45
|
-198,95
|
-88,70
|
88,68
|
-316,42
|
|
1700
|
29,96
|
-125,33
|
31,26
|
87,58
|
23,47
|
5900
|
-139,77
|
-203,35
|
-116,54
|
10,15
|
-449,51
|
|
1800
|
0
|
0
|
0
|
0
|
0
|
6000
|
-152,30
|
-172,85
|
-139,67
|
-17,16
|
-481,98
|
|
1900
|
-29,44
|
226,29
|
-29,96
|
0
|
166,89
|
6100
|
-150,03
|
-115,77
|
-153,86
|
-2,54
|
-422,21
|
|
2000
|
-59,14
|
198,58
|
-60,07
|
-87,58
|
-8,21
|
6200
|
-128,77
|
-44,76
|
-154,47
|
37,49
|
-290,51
|
|
2100
|
-88,70
|
88,68
|
-89,81
|
-158,25
|
-248,08
|
6300
|
-86,83
|
26,59
|
-137,78
|
86,15
|
-111,88
|
|
2200
|
-116,54
|
10,15
|
-117,44
|
-198,95
|
-422,79
|
-26,59
|
86,83
|
-102,73
|
129,71
|
87,23
|
|
2300
|
-139,67
|
-17,16
|
-139,77
|
-203,35
|
-499,94
|
6500
|
44,76
|
128,77
|
-52,51
|
159,42
|
280,44
|
|
2400
|
-153,86
|
-2,54
|
-152,30
|
-172,85
|
-481,56
|
6600
|
115,77
|
150,03
|
4,52
|
171,74
|
442,07
|
|
2500
|
-154,47
|
37,49
|
-150,03
|
-115,77
|
-382,79
|
6700
|
172,85
|
152,30
|
55,29
|
167,52
|
547,96
|
|
2600
|
-137,78
|
86,15
|
-128,77
|
-44,76
|
-225,16
|
6800
|
203,35
|
139,77
|
83,82
|
150,29
|
577,22
|
|
2700
|
-102,73
|
129,72
|
-86,83
|
26,59
|
-33,25
|
6900
|
198,95
|
117,44
|
74,40
|
124,56
|
515,36
|
|
2800
|
-52,51
|
159,42
|
-26,59
|
86,83
|
167,15
|
7000
|
158,28
|
89,81
|
17,10
|
94,45
|
359,61
|
|
2900
|
4,52
|
171,74
|
44,76
|
128,77
|
349,79
|
7100
|
87,58
|
60,07
|
-76,38
|
62,85
|
134,12
|
|
3000
|
55,29
|
167,52
|
115,77
|
150,03
|
488,62
|
7200
|
0
|
0
|
0
|
0
|
0
|
|
3100
|
83,82
|
150,29
|
172,85
|
152,30
|
559,26
|
|
|
|
|
|
|
|
3200
|
74,40
|
124,56
|
203,35
|
139,77
|
542,08
|
|
|
|
|
|
|
|
3300
|
17,10
|
94,45
|
198,95
|
117,44
|
427,95
|
|
|
|
|
|
|
|
3400
|
-76,38
|
62,85
|
158,25
|
89,81
|
234,53
|
|
|
|
|
|
|
|
3500
|
-125,33
|
31,26
|
87,58
|
60,07
|
53,58
|
|
|
|
|
|
|
|
3600
|
0
|
0
|
0
|
29,96
|
29,96
|
|
|
|
|
|
|
|
3700
|
226,29
|
-29,96
|
0
|
0
|
196,33
|
|
|
|
|
|
|
|
3800
|
198,58
|
-60,07
|
-87,58
|
-29,44
|
21,49
|
|
|
|
|
|
|
|
3900
|
88,68
|
-89,81
|
-158,25
|
-59,14
|
-218,52
|
|
|
|
|
|
|
|
4000
|
10,15
|
-117,44
|
-198,95
|
-88,70
|
-394,95
|
|
|
|
|
|
|
|
4100
|
-17,16
|
-139,77
|
-203,35
|
-116,54
|
-476,82
|
|
|
|
|
|
|
Приложение 3
График перемещений поршня X(ц)
График скоростей перемещений поршня V(ц)
График ускорений поршня J(ц)
График перемещений шатуна в(ц)
поршень шатун двигатель
кинематический
График угловых скоростей шатуна щш,(ц)
График угловых ускорений шатуна еш,(ц)
Индикаторная диаграмма
График зависимости силы давления газов (PГ),
силы инерции (Pj)
и суммарной силы (P∑)
от угла поворота коленвала (ц)
Графики зависимости усилия создаваемого на
поршне (N) и силы, сжимающей
шатун (S) от угла поворота
коленвала (ц)
Графики зависимости силы, создающей крутящий
момент (T) и силы, сжимающей
кривошип (K), от угла поворота
коленвала (ц)
График зависимости суммарного крутящего момента
(M∑)
от угла поворота коленвала (ц)