Влияние ролевых ночных городских экстремальных игр, на примере игры Encounter, на личностные особенности игроков
Дипломная работа
Тема:
Влияние ролевых ночных городских
экстремальных игр на личностные особенности игроков (на примере игры Encounter)
Содержание
Введение
Глава I. Влияние ролевых ночных городских экстремальных игр, на
примере игры Encounter, на личностные характеристики игроков
1.1 Психология игры
1.2 Психология игрока играющего в ночные городские экстремальные
игры, на примере игры Encounter
1.3 Влияния ролевых ночных городских экстремальных игр, на примере
игры Encounter, на личностные характеристики игроков
Выводы по первой главе
Глава II. Эмпирическое исследование влияния ролевых ночных
городских экстремальных игр, на примере игры Encounter, на личностные
характеристики игроков
2.1 Алгоритм эмпирического исследования, характеристика выборки и
методов исследования
2.2 Обзор полученных результатов исследования влияния ролевых
ночных городских экстремальных игр, на примере игры Encounter, на личностные
характеристики игроков
Вывод по второй главе
Заключение
Список использованной литературы
Приложения
Введение
Актуальность. Играя в ролевые ночные городские
экстремальные игры, игрок попадает в нестандартные ситуации, часто экстремальные,
требующие напряжения физических и моральных качеств, подобные испытания
позволяют раскрыть волевые качества человека, которые не проявляются в обычной
жизни, на работе и учебе.
В данной работе мы хотим выявить различия личностных
особенностей у игроков, играющих в ролевые ночные городские экстремальные игры
и не играющие в ролевые ночные городские экстремальные игры.
Цель: Выявить влияние ролевых ночных городских
экстремальных игр, на примере игры Encounter, на личностные особенности игроков.
Задачи исследования:
Провести теоретический анализ литературы по вопросу Влияния
ролевых ночных городских экстремальных игр, на примере игры Encounter, на личностные
особенности игроков.
Выделить основные особенности ролевых ночных городских
экстремальных игр.
Подобрать методы и методики исследования личности игроков.
Провести эмпирическое исследование влияния ролевых ночных городских
экстремальных игр, на примере игры Encounter, на личностные особенности игроков.
Проанализировать эмпирически полученные данные и сделать
выводы проведенного исследования.
Объект исследования: Факторы влияния ролевых
ночных городских экстремальных игр, на примере игры Encounter, на личностные
особенности игроков.
Предмет исследования: Личностные особенности
людей играющих в ночные городские экстремальные игры.
Гипотеза исследования ночные городские
экстремальные игры влияют на личностные особенности игроков
Методологическая основа:
Феноменология игры в теории Д.Б. Эльконина, Э. Эриксона, Н.П. Аникеева, О.С. Газман, С.Л. Рубинштейн
Методы исследования:
Изучение теоретической литературы и анализ положений.
Эмпирическое исследование (16-ти факторный опросник
Кеттела).
Обработка полученных материалов и статистический анализ
результатов (t-критерий
Стьюдента).
Структура работы:
Введение, где раскрывается актуальность выработанной темы и
названы ее методологические компоненты.
. Глава I, где проведен анализ теоретической литературы и выделены
основные особенности ночных городских экстремальных игр.
Выводы по Главе I.
Глава II, где проведено исследование влияния ролевых
ночных городских экстремальных игр, на примере игры Encounter, на личностные
особенности игроков.
Выводы по Главе II.
Заключение.
Список используемой литературы.
База исследования:
Для проведения исследования была взята выборка из 42 человек,
среди них 24 юношей и 18 девушек. Возраст испытуемых от 18 до 25 лет.
экстремальная игра личностная характеристика
Глава
I. Влияние ролевых ночных городских экстремальных игр, на примере игры
Encounter, на личностные характеристики игроков
1.1
Психология игры
Игра - одно из замечательнейших явлений жизни, деятельность,
как будто бесполезная и вместе с тем необходимая. Невольно чаруя и привлекая к
себе как жизненное явление, игра оказалась весьма серьезной и трудной проблемой
для научной мысли. [1]
Различные исследователи и мыслители нагромождают одну теорию
игры на другую - К. Гросс, Ф. Шиллер, Г. Спенсер, К. Бюлер,
. Фрейд и другие. Каждая из них как будто отражает одно из
проявлений многогранного, переливчатого явления игры, и ни одна, по-видимому,
не охватывает подлинной ее сущности. [3,4]
Прежде всего игра, поскольку речь идет об играх человека и
ребенка, - это осмысленная деятельность, т.е. совокупность осмысленных
действий, объединенных единством мотива. [5]
Распространенное представление о том, что игра является лишь
функционированием, порождается тем самим по себе бесспорным фактом, что игровое
действие совершается не ради практического эффекта, который оно оказывает на
обыгрываемый предмет. Все же человеческая игра это никак не просто
функционирование созревших в организме систем и не движение, которое
совершается только потому, что внутри организма накопился излишек
нерастраченной энергии. Игра это деятельность; это значит, что игра
является выражением определенного отношения личности к окружающей
действительности.
Игра индивида всегда теснейшим образом связана с той
деятельностью, на которой основывается существование данного вида. У животных
она связана с основными формами инстинктивной жизнедеятельности, посредством
которых поддерживается их существование; у человека "игра - дитя
труда”.
Связанная с трудом игра, однако, никак не ограничена производственно-техническим
содержанием трудовой деятельности и не сводима к подражанию
производственно-техническим операциям. Существенным в труде как источнике игры
является его общественная сущность, специфический характер трудовой
деятельности, как деятельности, которая, вместо того чтобы, как
жизнедеятельность животных, просто приспособляться к природе, изменяет ее. Игра
связана с практикой, с воздействием на мир. Игра человека - порождение
деятельности, посредством которой человек преобразует действительность и
изменяет мир. Суть человеческой игры - в способности, отображая, преображать
действительность. Впервые проявляясь в игре, эта самая всеобщая
человеческая способность в игре впервые и формируется. В игре впервые
формируется и проявляется потребность ребенка воздействовать на мир в этом
основное, центральное и самое общее значение игры. [6,7,8,]
Теорию, согласно которой игра связана с трудом, развил у нас
Г.В. Плеханов. Игра, по Плеханову, является порождением труда, возникая как бы
из подражания трудовым процессам. Но сам труд Плеханов понимает ограниченно, не
во всей его социальной сущности, не как общественную практику, а как
производственно-техническую деятельность. В результате правильное исходное
положение о связи игры с трудом приводит к неадекватному представлению об игре
как подражании производственно-техническим операциям. В действительности игра
не ограничивается сферой
производственно-технических процессов и, главное, суть ее не
в удовольствии от подражания технически - производственной деятельности, а
в потребности воздействия на мир, которая формируется у
ребенка в игре на основе общественной практики взрослых. [11,12]
Будучи связана с трудом, игра, однако, и отлична от него. Для
того чтобы понять игру из соотношения ее с трудом, нужно взять ее и в единстве,
с трудом, и в отличие от него. И общность игры с трудом, и их различие
выступают, прежде всего, в их мотивации.
Основное различие между игровой деятельностью и трудовой
заключается не в каких-либо частных проявлениях, а в общем отношении к своей
деятельности. Трудясь, человек делает не только то, в чем испытывает
непосредственную потребность или непосредственный интерес; сплошь и рядом он
делает то, что нужно или должно сделать, к чему принуждает его практическая
необходимость или побуждают лежащие на нем обязанности, независимо от наличия
непосредственного интереса или непосредственной потребности. Играющие в своей
игровой деятельности непосредственно не зависят от того, что диктует
практическая необходимость или общественная обязанность. Врач, занятый своей
трудовой деятельностью, лечит больного, потому что этого требуют его
профессиональные или служебные обязанности; ребенок, играя во врача,
"лечит" окружающих только потому, что это его привлекает. В игре
выражается более непосредственное отношение к жизни, она исходит из
непосредственных побуждений - непосредственных интересов и потребностей.
Эти непосредственные побуждения, конечно, по-своему
опосредованы. Они исходят не из глубин будто бы замкнутого в себе
развивающегося индивида; они рождаются из его контакта с миром и опосредованы
всеми человеческими взаимоотношениями, в которые с самого начала включен
ребенок. В процессе его духовного развития ему все шире раскрывается мир. Он
видит многообразные действия окружающих его людей, и много прежде, чем окажется
в состоянии овладеть лежащими в их основе знаниями и умениями, всей сложной
техникой, обеспечивающих практическую эффективность действий, он уже по-своему
переживает эти действия, и деятельность, в них проявляющаяся, полна для него непреодолимой
привлекательности.
Все мы, когда то были детьми, наверняка самые светлые
воспоминания и впечатления связаны у нас с играми. Золотое время детских игр
кратко и его надо ценить.
Словом "игра" обозначаются самые различные, порой
малосхожие между собою явления. В четырехтомном словаре русского языка
отмечается 7 основных значений этого слова. Это деятельность, занятие детей и
занятие, обусловленное совокупностью определенных правил, приемов, служащее для
заполнения досуга, для развлечения, являющееся видом спорта (спортивные игры,
военная игра). Это и свойственное некоторым винам и шипучим напиткам движение
пузырьков газа ("играет вино"), и быстрая смена пятен света, красок и
т.п., блеск, переливы, выразительная изменчивость. Это исполнение музыкальных
произведений (игра на скрипке) и исполнение сценической роли (актерская игра).
Это преднамеренный ряд действий, преследующих определенную цель, интриги,
тайные замыслы. Мы говорим об игре воображения, игре природы, игре слов, игре
случая, игре судьбы. Кроме игр людей, существуют игры животных. Польский
писатель-фантаст и оригинальный мыслитель Станислав Лем, как бы возрождая
античное космическое понимание игры, писал о Великой Игре между Цивилизацией и
Природой. "Теория игр" - так называется раздел математики,
исследующий формальные модели принятия оптимальных решений в конфликтных
ситуациях.
Игра относится к числу основных видов деятельности человека,
наряду с трудом и ученьем. Она появилась в его жизни с незапамятных времён и до
сих пор до конца не разгадана. Игра присутствует в жизни человека постоянно, на
всех этапах его жизни.
Трудно переоценить роль игры в детстве. Игра - ведущий вид
деятельности ребёнка. С.Л. Рубинштейн (1976) отмечал, что игра хранит и
развивает детское в детях, что она их школа жизни и практика развития. [14]
А.С. Макаренко (1958) считал, что "воспитание будущего деятеля происходит,
прежде всего, в игре". По мнению Д.Б. Эльконина (1978), "в игре не
только развиваются или заново формируются отдельные интеллектуальные операции,
но и коренным образом изменяется позиция ребёнка в отношении к окружающему миру
и формируется механизм возможной смены позиции и координации своей точки зрения
с другими возможными точками зрения". [22]
Для взрослого человека игра также имеет большое значение. Игра
всегда захватывала людей, притягивала. "Весь мир - театр, а люди в нём -
актёры" - говорил В. Шекспир.
Сегодняшний мир насыщен игрой ещё больше, чем ранее. Игры,
конкурсы, розыгрыши, лотереи заполнили программы телевидения. Азартные игры:
игровые автоматы, карты, рулетка дают громадные доходы владельцам игорных
заведений. Спортивные игры футбол, хоккей - самые популярное зрелище, а для
участников высокооплачиваемая работа. Кино, театр - любимое всеми зрелище,
отдых и развлечение.Й. Хёйзинга (1938), в связи с этим, утверждает, что
"человеческая культура возникает и развёртывается в игре, как игра".
В широком понимании слова игра охватывает человеческую деятельность во всех её
проявлениях. [11]
Городские игры реального времени - это городские игры,
которые идут параллельно с реальной жизнью, что и является их основной
особенностью. Иногда городские игры реального времени называют просто
городскими играми. Как следует из названия, местом действия является весь
окружающий мир
"Активные городские игры" - по большому счету все
они своего рода разновидности "пионерских" игр "Найди клад"
и "Зарница". Только более продвинутые, с красивой легендой,
англоязычной орфографией (для удобства читателей мы решили пользоваться русской
транскрипцией), и конечно, с навороченными заданиями, для выполнения которых
требуется команда единомышленников, компьютер с выходом в Интернет и
автомобиль. Это - чаще всего. Хотя есть и одиночные игры, и игры он-лайн, где
получить свою дозу адреналина можно не покидая офиса или собственной квартиры,
но как говорится, какой, же русский не любит быстрой езды, ночных приключений в
компании друзей и драйва от близости наступающих на пятки соперников. [24]
Одна из самых популярных городских игр являются Encounter. Суть игр, как уже
говорилось, несложна: в режиме он-лайн в означенное время команды получают
задания-шифры, для разгадки которых нужно верно определить точку на карте
города, приехать туда и отыскать написанный на заборе, стене гаража и т.д. код.
Код отправляется организаторам, и участники получают следующее задание.
Побеждает тот, кто быстрее, сообразительнее, эрудированнее, тот, кто лучше
знает город. Это то, что игры объединяет. Нюансы связаны с ограничением по
количеству автомобилей у команды, числу игроков, времени. [26]
С одной стороны, Международная сеть активных городских игр Encounter - это полноценная,
реальная модель мира в миниатюре: здесь есть своя история, законодательство,
наука, культура и искусство. Свои легенды и герои.
С другой стороны, Encounter - это социальная сеть. Сообщество
неординарных, жизнерадостных и активных людей, где каждый человек стремится
проявить себя наилучшим образом, стремится к развитию навыка мышления через
загадки и задачи, которыми так богаты активные городские игры.
Еще с одной стороны Encounter - это уникальный программный комплекс, не
имеющий аналогов в мире, так как Администрация сети и разработчики ПО являются
одновременно изобретателями и авторами большинства тех идей, технологий,
концепций, которые реализованы в сети.
Encounter - это не только игры, хотя безусловно, всё
остальное вытекает из игр. Это Музыка и Видео-клипы, это художественные Книги,
Стихи. Это Международные конкурсы Мисс EN, И даже Свадьбы.
Encounter - это жизнь. Именно так говорят опытные
участники: если ты в теме, игра становится частью тебя. На устроенный на сайте
Вконтакте опрос: "Можете ли вы утверждать, что участие в EN играх изменило к лучшему
вашу жизнь? ” тысячи людей утверждают ДА! Представьте себе: игры становятся
одной из лучших сторон в жизни людей! [28]
Объединяет людей играющих одно - неутолимое желание жить. На
первый взгляд кажется, что каждый живой организм на нашей планете в достаточной
степени наделён этим желанием. Но почувствуйте разницу между "я хочу
выжить!" и "я хочу жить на полную катушку!!!".
Большинство людей, как и все другие живые организмы на
планете, стремятся выжить. Но есть люди, которым просто "выживать"
мало… Они хотят жить ярко, дерзко, красиво, энергично, вызывающие… Они всегда
рады найти приключения на свою пятую точку. [30]
1.2
Психология игрока играющего в ночные городские экстремальные игры, на примере
игры Encounter
Извечному парадоксу свободы, реально достижимой лишь на
мнимой линии горизонта, дает впечатляющее разрешение феномен игры. Человек
является человеком лишь постольку, поскольку он обладает способностью по своей
воле выступать и пребывать субъектом игры. И действительно "созданный по
образу и подобию Божию", на ключевой вопрос о своем имени он,
бессознательно включаясь в сызмала навязанную ему игру, бесхитростно
называет имя, ему присвоенное, никогда не отвечая на заданный вопрос всерьез,
а именно: "азъ семь сущiй". Под личиною своего имени каждый из нас
разыгрывает свою жизнь, в универсальной сущности игры аналогичную куда
как серьезным маскарадным танцам первобытных племен.
В сфере человеческого существования желание показать себя
первым проявляется в стольких формах, сколько возможностей предоставляет данное
общество. Способы, которыми люди состязаются друг с другом, столь же различны,
как и вещи, за которые они борются, и действия, в которых они принимают
участие. Решает все жребий, либо сила и ловкость, либо кровавая схватка.
Соревнуются в мужестве или выносливости, искусности или знании, в бахвальстве и
хитрости. Дается задание помериться силами или умением, сделать что-нибудь особенно
трудное, какую-нибудь сложную вещь, выковать меч, найти необычную рифму.
Участвующим задают вопросы, на которые нужно ответить.
Состязание может принимать такие формы, как божий суд, пари,
судебное разбирательство, дача обета или загадывание загадок. Во всех этих
видах оно, в сущности, остается игрой, и в этом качестве игры лежит исходная
точка для понимания функции состязания в культуре.
В начале всякого состязания стоит игра, то есть
договоренность о том, чтобы в границах места и времени, по определенным
правилам, в определенной форме совершить нечто такое, что приносит разрешение
некоего напряжения и находится при этом вне обычного течения жизни. Что должно
быть совершено и что станет выигрышем вопрос, который в игровой задаче
вырисовывается как вторичный.
Понятие Fair Play (Честная игра) пришло в нашу жизнь из
большого спорта и прочно укоренилось в игровых видах наших взаимодействий как
своеобразный кодекс чести игрока. Исторически понятие Fair Play зародилось еще
в эпоху средневекового рыцарства. Рыцари в то время были закрытой кастой
выходцев из образованных дворянских семей, и таким людям было проще в своём
узком кругу соблюдать принципы благородства. В 19 веке эти негласные принципы
существовали и в первых спортивных играх, таких как футбол. Соблюдать и
контролировать их, было не сложно т.к. во все игровые виды спорта в те годы
играли в основном аристократы. Когда в конце 19-го века футбол стал массовым и
доступным простым рабочим, принципы Fair play были перенесены на бумагу. [28] С
некоторыми изменениями они дожили и до наших дней. Основные принципs Fair Play:
Уважение к сопернику.
Уважение к правилам и решениям судей - принимать все решения
судей и оспаривать их корректно в отдельном порядке.
Допинг и любое искусственное стимулирование не должны влиять
на результаты.
Равные шансы - все спортсмены на старте соревнований могут
одинаково рассчитывать на победу.
Самоконтроль спортсмена - сдерживая свои эмоции уметь
адекватно воспринимать любой исход поединка. [31,32,33]
Самоконтроль игроков.
Понятие самоконтроля игроков включает в себя, прежде всего
отсутствие лишних негативных эмоций и адекватное восприятие итогов игры.
Контролировать свои эмоции на игре очень сложно, негативные последствия этого
неудачного контроля каждый из нас не раз испытывал на себе. Но как ни крути,
все конфликты в проекте начинаются с субъективных эмоций. Особенно ярко эмоции
проявляются у людей со слабым духом, у людей с обострённым чувством
справедливости. А у необразованных людей всё еще хуже, у них эмоции сразу
переходят в агрессию. Но нельзя поддаваться на провокации и выпускать из себя
пар прямо на игре. Нужно учиться терпению, или, проще говоря, учиться делать
паузу, за которую порыв эмоций существенно угаснет.
Теперь давайте рассмотрим, что на играх может вызвать у нас бурю
негодования. [34]
Успех соперника.
Самое простой случай это когда соперник нашёл код раньше вас
и кричит своей команде "Все в машину!". Многие игроки из других
команд начинают негодовать и нервничать и отпускать комментарии: "Ну,
какого. мы на уровне уже полчаса, а ничего не нашли. А эти только приехали и
уже убегают с локации”. Толку сетовать на соперников, да еще и оскорблять их,
нет вовсе, вы даёте волю эмоциям, а они притупляют ваш разум. Лучше на секунду
проанализировать ситуацию, посмотреть, кто из соперников кричал "В
машину”, откуда сбегаются игроки. Для опытного полевого - взятие кода
соперниками это уже отсечение 70% -80% ненужного места для поиска. Поверьте
моему опыту полевой игры, при всех "разводах” и уловках, игрок, нашедший код,
никогда не побежит в противоположенный конец локации, чтобы крикнуть "Все
в машину!". Да и вспомните, что вы делаете, когда находите код:
Запоминаете его, отходите немного и первым делом достаёте телефон и начинаете
либо диктовать код в штаб либо вбивать его самостоятельно. Поэтому обращайте
внимание кто из соперников, только что снявших код, на ходу пользуется
телефоном. Вычисляйте траекторию его движения к машине и определяйте место с
кодом. И это только несколько примеров, я думаю у вас у самих таких примеров гораздо
больше. И теперь посмотрите, есть ли смысл в ругани и эмоциях, если вместо
этого можно уже бежать к коду. [35]
Хвосты и слежка.
Иногда это очень раздражает. Особенно когда вы точно знаете
куда ехать, а у вас на бампере висят машины с соперниками. Отрываться от хвоста
в такой ситуации ошибочно и это часто приводит к повреждению вашего автомобиля
из-за агрессивного стиля вождения, не говоря уже о колоссальной потери
полезного времени. Сильный, умный и адекватный противник никогда не будет за
вами следить, это, кстати и есть проявление игрового Fair play. А те команды,
которые решаются на это уже становятся в проигрышное положение. Когда вы
привозите их на локацию и сами начинаете "работать” на объекте, команды,
приехавшие на хвосте еще долго находятся в эйфории халявы и вместо жёстких и
быстрых поисков слоняются по локации с фразами "Ну крута мы за ними
приехали. Ну и халява. И прямо на нужный объект." И КПД их действий совсем
не высок и в 90% случаев команда честно вычислившая локацию, первой с неё же уезжает.
А теперь вспомните как мы называем команды, которые постоянно прибегают к
методам слежки: "Халявщики”, разве приятно играть с такой репутацией? [36]
Умышленная порча кода и создание препятствия к
его нахождению.
К сожалению, такие факты до сих пор имеют место на играх.
Особенно часто об этом приходится слышать в городах, где проходят игры
нескольких проектов. Да это плохо, это глупо и деструктивно. Но мы сейчас не
рассматриваем первопричины таких действий (а они в основном лежат в плоскости
междоменных или межпроектных отношений и вполне подвластны владельцам доменов),
а рассматриваем последствия и возможное негодование со стороны игроков.
Итак вы зачесываете локацию, но код так и не находите. А
получаете его в сливной подсказке, либо по звонку организатора. Варианты когда
вы обнаружили частично испорченный код мы также не рассматриваем - т.к. это
решается одним звонком организаторам. Только после этого звонка не забудьте
уточнить правильный код и дописать его вместо затёртого. И так, чтобы понапрасну
не расходовать эмоции на негодование по поводу уничтоженного кода, пока свежа
память восстановите всю цепочку событий зачёсывания уровня. Во сколько вы
получили задание, во сколько его решили, когда приехали на локацию. Если вместе
с вами есть другие команды, поинтересуйтесь, кто они или хотя бы запишите
номера их машин. Впоследствии это всё поможет организаторам сделать грамотный и
корректный пересчёт уровня. И конечно если вы видите, что по статистике этот
уровень все проходят по сливу, позвоните, лишний раз организатору и введите его
в курс дела, что код возможно уничтожен. И кстати далеко не всегда причиной
отсутствия кода являются действия недоброжелателей, на моей памяти есть случаи
когда за несколько часов до игры дорожные рабочие убирали знак с кодом или даже
сносили целые объекты. Конечно, организатор должен проезжать весь игровой
маршрут прямо перед командами, но это не всегда возможно. Поэтому принимайте
все форс-мажорные обстоятельства на игре стойко и сдержано. И старайтесь своими
действия максимально сгладить последствия таких обстоятельств для своей команды
и своих соперников. [37]
Ошибка организаторов. Пересчёты.
Иногда в заданиях можно встретить явную ошибку организаторов.
Например, в задании перепутан адрес объекта поиска, GPS координаты объекта, или
существует дуальность, по описанию выводящая вас сразу в несколько похожих
мест. Прежде всего нужно сразу сообщить о своих подозрениях организатору, ведь
такая ошибка может дорого стоить, если вместо заброшенного сарая, задание
приведёт вас на охраняемый объект или действующую подстанцию. А как говорится,
кто предупреждён - тот вооружён. И зная всю информацию, организатор сам
предпримет все необходимые действия по урегулированию такой ситуации. Но не
ждите похвалы и бонусов, часто косяки в задании первыми замечают лидирующие
команды. Звонят организатору, тот исправляет ошибки в задании и игра
продолжается. Многие команды даже ничего не заметят. Хорошо если после игры
организатор компенсирует лидерам потраченное на его ошибку время. Но если этого
не произойдёт, то помните, что вы должны, максимально сдержано переносить эти
обстоятельства и не опускаться до уровня споров, взаимных оскорблений и дешёвых
упрёков. Знайте, что даже если ваши благие намерения по сохранению динамики
игры никто не оценил, то возможно именно ваш экипаж спас жизнь или здоровье
одному из игроков. Да и в вашу карму всё равно пойдёт жирный плюс, который
обязательно себя покажет на одной из следующих игр. [38]
Низкие оценки.
В последнее время ко мне часто обращаются авторы игр, которые
спрашивают, как можно защитить себя от неадекватных оценок за игру со стороны
некоторых игроков и можно ли вообще применять к ним меры, которые озвучены в
правилах фотоигр т.е. удалять таких игроков из активного состава участников.
Да, проблема неадекватных оценок существует, и она порождает много негатива и
со стороны игроков, и со стороны авторов. Я сам недавно поучаствовал в подобном
конфликте и позже признал свою вину. Поэтому чтобы не выражать своё мнение,
которое уже будет подпорчено моим участием в аналогичном конфликте я попробовал
смоделировать схожую бытовую ситуацию, и рассказал её знакомым людям, многие
даже не поняли, что речь идёт об игре.
Итак, ситуация: "Мать и три сына. Сыновья требуют у
матери, в воскресенье приготовить им кастрюльку борща. Мать приготовила, и
сыновья довольные садятся за стол и начинают с удовольствием уплетать этот
борщ. Но тут одному в тарелке попадается горошина чёрного перца, которую тот
случайно раскусывает, а потом через какое-то время еще одна. Он гневно кидает ложку
в тарелку и со словами "Абы что, а не борщ” уходит из-за стола. Другие
сыновья таких проблем не испытывают, и после трапезы от души благодарят мать”.
Ситуация похожа на нашу, как две капли воды. И как же люди комментировали мою
историю про борщ. Все матери как одна сказали, что борщ они, конечно, готовить
не перестанут, ведь большинству сыновей он понравился, а третьему бедолаге они
просто посоветуют внимательно смотреть в тарелку. А если третий сын заявит, что
борщ он теперь будет кушать исключительно в ресторане, то матери знают, что
лучше домашней кухни ничего нет и всё равно рано или поздно всё вернётся на
свои места. Я не буду подводить итогов этому абзацу, я просто хочу вас в
очередной раз призвать уважать труд организатором и научится искать в себе все
причины своих неудач на игре. [39]
Критика.
Организаторам игр следует научиться отделять конструктивную
критику от потока негативной информации, которой частенько изобилует речь
недовольных игроков. И ни в коем случае не поддаваться на выпады и провокации
со стороны таких игроков. А конструктивная критика это хорошо, ведь идеальной
игры не бывает и нужно быть благодарным тем игрокам, которые тратя своё время и
в доступной для себя форме излагают вам некоторые организационные просчёты. Но
конечно, если они люди благородные, а их намеренья чисты и альтруистические он
напишут вас всё это в личном сообщении. [40]
1.3
Влияния ролевых ночных городских экстремальных игр, на примере игры Encounter,
на личностные характеристики игроков
Часто участников называют "экстремалами",
приравнивая их к любителям экстремальных видов спорта - это не совсем точное
сравнение потому, что в играх большое значение имеет интеллектуальная
составляющая: мало быть сильным, смелым нужно ещё быть умным и креативным. И в
тоже время игроков можно назвать экстремалами: они подходят к грани, впадают в
крайности. Чтобы узнать грани возможного, нужно переступить через них. Экстрим
- это и есть крайность, граница, предел. За пределом, за красной чертой - Encounter - встреча с неизвестным.
[28]
EN-игры это альтернатива.
С одной стороны, это альтернатива привычным и скучным
выходным: клубам, дискотекам, барам, шашлыкам на природе. всё это рано или
поздно наскучивает и надоедает. Тогда люди открывает для себя EN - среду, где каждый
может проявить себя, где каждый может найти себя, где каждый - герой.
Если копнуть глубже, то EN - альтернатива
привычному мировоззрению, которое заключается в том, что в жизни всё происходит
само собой и просто нужно сидеть и ждать своего счастья. Участие в играх помогает
прийти к простому, но очень важному заключению: ты один ответственен за то, что
происходит в твоей жизни. Только ТЫ архитектор своей жизни и никто другой.
[31,33]
Адреналин - это в какой-то степени наркотик, в том смысле,
что если раньше острые ощущения вызывали просто поездки по ночному городу и
нехитрые задания, то потом испытания стали требоваться все сложнее,
заковыристее, чтоб и мозги и мускулы работали на полную катушку. Были в истории
ночных игр и задания на кладбищах, стройках, бассейне, в бору, на заброшенных
объектах, в самых экстремальных уголках областного центра. Уже опробованы игры
по городам региона, где покруче задания и посложнее, и всякий раз участники
просили: "Еще!" И допросились. В последнее время в разных регионах России
стали происходить несчастные случаи с участниками игр. Так, в начале мая в
Старом Осколе один из игроков погиб, пытаясь найти код на железнодорожном мосту
- его убило электрическим током. Хотя, как утверждают организаторы, специально
для "экстремалов" на опорах моста было написано, что на самом мосту
кодов нет и влезать туда не нужно. [52]
В мае же, практически одновременно с трагедией в Старом
Осколе, произошёл несчастный случай и с кемеровским игроком: во время одной
ночной игры, которая проходила в городе Белово, участник под ником Скиф упал с
крыши недействующей ныне фабрики и повредил позвоночник. К счастью, все
обошлось более благоприятно, чем в Старом Осколе: в настоящее время парень
выписан из больницы, но для полной реабилитации и возвращения к обычной жизни
требуется время. К чести организаторов и игроков товарища в беде не оставили:
был открыт счет, на который поступали деньги для лечения Скифа. Так что по
выходе из больницы он оставил послание на сайте игры, где говорилось: "Я
хочу сказать всем огромное спасибо за вашу помощь и вашу поддержку!!! Я не
перестал верить в своё видение, что же такое EN - Все люди братья, а все
бойцы ENCOUNTER однополчане. Значит, каждый из Нас часть единого целого - иного
измерения, с лёгким зелёным оттенком, под названием ENCOUNTER. Я написал эту мысль ещё
при своей регистрации и, надеюсь, я не сотру её никогда!!!" [54]
Тем не менее, реакция сообщества игроков на ситуацию была
различной. Например, были такие высказывания, как "закройте тему".
Мол, добиваетесь, чтобы игры попали в опалу? Но большинство все-таки
отреагировали так: "Это может случиться с каждым, и не надо себя
отгораживать от всего этого, т.к. мы используем для игры опасные объекты и
места. Так что, каким бы ты ни был бдительным и ответственным, как бы ты ни
соблюдал все меры, такие случаи будут, вопрос - как часто и насколько тяжёлые.
Так что надо сообща принять как можно больше мер для их предотвращения. И не
надо говорить: считаю, каждый должен думать своей головой, если для вас место в
рейтинге/очки/звезды на погонах важнее здоровья и жизни, то. Счастья Вам. Это
может случиться даже на ровном месте и с кем угодно - всё дело случая. А вот
если мы сообща сможем свести к минимуму или максимально помочь в реабилитации,
то это будет жирный плюс проекту" [55,56]
В процессе игры участник отрабатывает новые навыки,
моделирует ситуации и учится реагировать на перемену обстоятельств. Ролевые
игры развивают деловые качества, фантазию, артистизм, находчивость,
коммуникабельность, адаптационные способности. В ходе информационных игр важна
каждая кроха информации, т.е. подобные игры развивают системное мышление и
умение крайне быстро и объективно обрабатывать информацию в условиях её
постоянного изменения. [45-48]
Ролевые ночные городские экстремальные игры помогают
молодым людям, особенно застенчивым, тем, которые обычно не решаются открывать
рот в кампании, приобрести уверенность в себе. Во время игры им приходится
связно и по возможности красочно выражать свои мысли. Кроме того, ролевые игры
очень развивают фантазию и вообще способствуют повышению уровня общего
образования: например, если мы играем в игру, действие которое происходит в
викторианской Англии, то волей-неволей, приходится много узнавать и об этой
эпохе.
Существуют различные мнения относительно пользы и вреда ролевых
ночных городских экстремальных игр. Так, в Соединённых Штатах, где это
увлечение расцветает даже ещё более махровым цветом, нежели в Европе, порою
раздаются голоса, предлагающие запретить ролевые игры. По мнению некоторые
критиков, они отнимают у, и без того, психически неустойчивой молодёжи
последнюю связь с реальностью, и даже являются прелюдией к сатанистским и прочим непотребным
ритуальным практикам. Однако, по сравнению с "затягиванием"
компьютерных игр, эта угроза ничего не значит. [49,51]
Выводы
по первой главе
Игра сама по себе лежит вне сферы нравственных норм. Сама по
себе она не может быть ни дурной, ни хорошей. Если, однако, человеку предстоит
решить, предписано ли ему действие, к которому влечет его воля, как нечто
серьезное или же разрешено как игра, тогда его нравственное чувство, его
совесть незамедлительно предоставит ему должный критерий. Как только в решении
действовать заговорят чувства истины и справедливости, жалости и прощения,
вопрос лишается смысла. Капли сострадания довольно, чтобы возвысить наши
поступки над различиями мыслящего ума.
Каждая игра - это маленькая жизнь. В каждой игре есть свои
цели, задачи, пути их решения. как в жизни. Игра - это модель жизни. Если
человек стремиться к победе (добиться своих целей), то лучше тренироваться на
играх, чем на своих жизнях: можно сыграть во множество разных игр, а жизнь
одна.обеспечивает не только приятное проведение свободного времени. Его функция
заключается и в том, что он способствует конфронтации со значимым содержанием и
переживаниями. В процессе игр люди примеряют различные роли. В Encounter
привлекает способность концентрировать свое внимание на какой-либо конкретной
задаче на каждом этапе игры. Решая её, люди склонны забывать о насущных
выгодах. О том, как они выглядят, как воспринимаются окружающими. Стремление к
игре мотивируется не столько желанием выигрывать, сколько личностной
установкой. Главное - не выигрыш, а участие.
Глава
II. Эмпирическое исследование влияния ролевых ночных городских экстремальных
игр, на примере игры Encounter, на личностные характеристики игроков
2.1
Алгоритм эмпирического исследования, характеристика выборки и методов
исследования
Участниками исследования являлись студенты ВУЗов Уфы не
играющих в Encounter и люди, играющие в Encounter, в возрасте 18-25 лет.
В исследовании приняли участие 42 человек. (24 юношей и 18
девушек).
Деление на группы производилось по принципу
"играющие-неиграющие".
Испытуемым было предложено пройти "многофакторный
опросник Кеттела".
Исследование проводилось в несколько этапов:
Этап 1. Формирование выборок.
Для проведения исследования была взята выборка из 42 человек,
среди них 24 юношей и 18 девушек. Возраст испытуемых от 18 до 25 лет.
Определялись личностные качества, такие как: адекватность
самооценки, эмоциональная устойчивость - неустойчивость, сдержанность -
экспрессивность, смелость - робость, уверенность в себе - тревожность, высокий
самоконтроль - низкий самоконтроль (в соответствии с факторами опросника
Кеттела 16 PF).
Инструменты диагностического этапа:
16 факторный опросник Кеттела. Данная методика,
разработанная Р. Кеттелом (адаптация А.Г. Шмелева, В.И. Похилько, А.С.
Соловейчика) использовалась для диагностики личностных черт всех испытуемых.
При помощи 16 PF измеряется степень выраженности личностных черт.
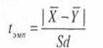
t критерий Стьюдента. Критерий t
Стьюдента направлен на оценку различий величин средних X и Y двух
выборок `X и `У, которые распределены по нормальному закону (для
статистической обработки).
Данное исследование является констатирующим (исследование
которое показывает определенный факт - закономерность.)
Этап 2. Проведение исследования.
Исследование проводилось следующим образом:
испытуемые проходили многофакторный опросник Кеттела 16 PF, с помощью программы 16PF. exe установленной на ПК.
Результаты были сохранены и в дальнейшем обработаны.
Примерный обзор полученных результатов представлен на графике
1:
График 1 изображены показатели одного из
испытуемых проходивших тест.
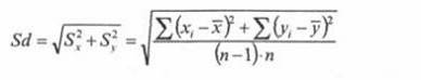
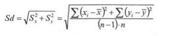
Этап 3. Обработка полученных результатов.
Для статистической обработки полученных результатов был
использован t
критерий Стьюдента.
Критерий t Стьюдента направлен на оценку различий
величин средних X и Y двух выборок `X и `У, которые
распределены по нормальному закону. Одним из главных достоинств критерия является
широта его применения. Он может быть использован для сопоставления средних у
связных и несвязных выборок, причем выборки могут быть не равны по величине.
В общем случае формула для расчета по t-критерию
Стьюдента такова:
где
План обработки:
Внесение результатов исследования в таблицу.
Подсчет средних арифметических по факторам.
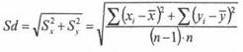
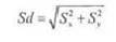
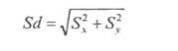
Нахождение средних арифметических отклонений по формуле:
Вычисление т критерия для каждого фактора по формуле:
Определение степеней свободы по по формуле:
Определение критических значений по таблице (приложение I)
Построение осей значимости для каждого фактора.
Сравнение полученных t критериев с
критическими.
Выводы.
Этап 4. Анализ результатов и выводы.
По полученным данным различия между экспериментальной и
контрольной группами значимы более чем на 1 % уровне, только для фактора Q3. Для факторов B, O, Q2 на 5 % уровне
значимости первоначальное предположение подтвердилось, действительно, ролевые
компьютерные игры оказывают влияние на личностные качества.
Неиграющие юноши более склонны к принятию и контролю своего
поведения, т.к. принимают установленные законы и обычаи (обратные связи
принятия себя и внутреннего контроля с негативизмом). У них выше эмоциональный
комфорт.
Увлеченные компьютерными играми юноши благодаря своей
самостоятельности, эмоциональной устойчивости могут брать на себя
ответственность (как в реальной жизни, так и в виртуальной реальности).
Чем больше игра люди проявляют активность, тем более они
склонны к контролю своих эмоций (что вызывает напряженность) и менее спонтанны
в поведении.
Чем больше играющие люди юношеского возраста проявляют
гибкость в поведении, принимая новых людей, тем они спонтаннее, проще, но тем
выше у них тенденция к некоторой жестокости, прямоте, поиску своей выгоды
(практичности).
В связи с тем, что компьютерные технологии развиваются в
геометрической прогрессии, так же совершенствуются и игры. А следовательно,
меняются и психологические аспекты формирования зависимости. Поэтому
перспективы развития исследования данной области весьма велики.
В ход исследования были использованы следующие методы:
Опросник Кеттела 16 PF
Данная методика, разработанная Р. Кеттелом (адаптация А.Г.
Шмелева, В.И. Похилько, А.С. Соловейчика) [см. приложение I] использовалась для
диагностики личностных черт всех испытуемых.
При помощи 16 PF измеряется степень выраженности личностных черт.
В методику входят следующие шкалы:
Фактор MD - адекватность самооценки: измеряется в
промежутке от 0 до 7 баллов; Чем выше оценка по этому фактору, тем в большей
степени человеку свойственно завышать свои возможности и переоценивать себя.
Фактор С: сила "Я" (эмоциональная устойчивость) -
слабость "Я" (эмоциональная неустойчивость); измеряется в промежутке
от 0 до 6 баллов; низкие баллы говорят о низком пороге в отношении фрустрации,
изменчивости и пластичности, избегании требований действительности; высокие -
об эмоциональной зрелости, устойчивости, невозмутимости, большой способности к
соблюдению общественных норм.
Фактор F: сдержанность - экспрессивность; измеряется в промежутке от
0 до 6 баллов; при низких оценках человек характеризуется благоразумием,
осторожностью, рассудительностью, молчаливостью. Ему свойственны склонность всё
усложнять, некоторая озабоченность, пессимистичность в восприятии
действительности. Беспокоится о будущем, ожидает неудач. Окружающим он кажется
скупым, вялым и чрезмерно чопорным. При высоких оценках человек жизнерадостен,
импульсивен, беспечен, весел, разговорчив, подвижен. Энергичен. Социальные контакты для
него эмоционально значимы. Он экспансивен, искренен в отношениях между людьми.
Эмоциональность, динамичность общения приводят к тому, что он часто становится
лидером и энтузиастом групповой деятельности, верит в удачу. В целом оценка по
этому фактору отражает эмоциональную окрашенность и динамичность общения.
Фактор Н: робость - смелость; измеряется в промежутке от 0 до
6 баллов; При низких оценках человек застенчив, не уверен в своих силах,
сдержан, робок, предпочитает находиться в тени. Большому обществу он
предпочитает одного-двух людей. Отличается повышенной чувствительностью к
угрозе.
При высоких оценках человеку свойственна социальная смелость,
активность, готовность иметь дело с незнакомыми обстоятельствами и людьми. Он
склонен к риску, держится свободно, расторможено. В целом фактор определяет
реактивность на угрозу в социальных ситуациях и определяет степень активности в
социальных контактах.
Фактор О: уверенность в себе - тревожность; измеряется в
промежутке от 0 до 6 баллов; при низких оценках человек безмятежен,
хладнокровен, спокоен, уверен в себе. При высоких оценках человеку свойственна
тревожность, депрессивность, ранимость, впечатлительность.
Фактор Q3: низкий самоконтроль - высокий самоконтроль:
измеряется в промежутке от 0 до 6 баллов; при низких оценках наблюдается
недисциплинированность, внутренняя конфликтность представлений о себе, человек
не обеспокоен выполнением социальных требований.
При высоких оценках - развитый самоконтроль, точность
выполнения социальных требований. Человек следует своему представлению о себе,
хорошо контролирует свои эмоции и поведение, доводит всякое дело до конца. Ему
свойственна целенаправленность и интегрированность личности. В отличие от
социальной нормативности поведения (фактор G), этот фактор измеряет уровень
внутреннего контроля поведения.
Результаты по каждому показателю подсчитываются в
соответствии с ключом, далее строится профиль личности.
Для обработки данных использовался метод статистической
обработки - t - критерий Стьюдента.
Критерий t Стьюдента направлен на оценку различий
величин средних X и Y двух выборок `X и `У, которые
распределены по нормальному закону. Одним из главных достоинств критерия
является широта его применения. Он может быть использован для сопоставления
средних у связных и несвязных выборок, причем выборки могут быть не равны по
величине.
В общем случае формула для расчета по t-критерию
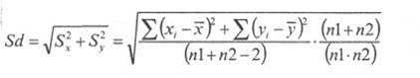
Стьюдента такова:
(1) где
(2)
При равночисленных выборках, т.е. n1 = n2 = n, выражение
будет вычисляться следующим образом:
(3)
В случае неравночисленных выборок n1¹n2, выражение будет вычисляться следующим
образом:
(4)
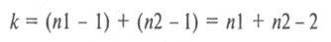
В обоих случаях подсчет числа степеней свободы осуществляется по
формуле:
(5)
где n1 и n2 соответственно
величины первой и второй выборки.
Понятно, что при численном равенстве выборок
k = 2 n - 2. (6)
2.2
Обзор полученных результатов исследования влияния ролевых ночных городских
экстремальных игр, на примере игры Encounter, на личностные характеристики
игроков
Для исследования влияния ролевых ночных городских
экстремальных игр, на примере игры Encounter, на личностные характеристики игроков был
проведен t-критерий
Стьюдента. Данный критерий направлен на оценку различий величин средних X и
Y двух выборок `X и `У, которые распределены по нормальному
закону. Одним из главных достоинств критерия является широта его применения.
Критерий Стьюдента вычислим по формуле:
(1) где
(2)
Для равнозначных выборок формула выглядит так:
(3)
По данной формуле просчитывается среднее квадратичное
отклонение для каждого фактора. Получены следующие результаты:
Таблица 1 результаты Sd для 6-ти факторов
|
Sd
|
0,457242
|
0,353473
|
0,454756
|
0,330258
|
0,378264
|
0,361717
|
Для определения значимости сравниваются полученные результаты
с критическими значениями для данной степени свободы.
Степень свободы определяется по формуле:
k= (n1-1) + (n2-1)
где n1 и n2 соответственно величины первой о второй выборки
В данном случае, при равенстве выборок, эта формула выглядит
так:
k=2*n-2
Для данного исследования степень свободы будет равна:
k=2*15-2=28
В ходе статистической обработки были получены следующие
значения
Таблица 2 значения t критерия Стьюдента:
|
факторы
|
среднее
значение
|
t-критерий
|
|
играющие
|
неиграющие
|
|
|
MD
|
3,809524
|
4,857143
|
2,29117
|
|
C
|
4,904762
|
3,333333
|
4,445679
|
|
F
|
3,857143
|
4,285714
|
0,942421
|
|
H
|
5,333333
|
3,571429
|
5,334936
|
|
O
|
3,238095
|
4,714286
|
3,902537
|
|
Q3
|
11,53333
|
14,73333
|
-3,39411255
|
По таблице 1 приложения I для данного числа степени
свободы находим:
tкр (P<0,05) =2,05
tкр (P<0,01) =2,76
tкр (P<0,001) =3,67
Строиться ось значимости для каждого фактора (см. приложение IV).
По полученным данным различия между экспериментальной и
контрольной группами значимы более чем на 0,1 % уровне, для факторов С, H, O. Для факторов MD, F, Q3 на 5 % уровне
значимости
По таблицам видно, что группа играющих людей отличается от
группы не играющих по показателям эмоциональной устойчивости, смелости и
уверенности в себе.
Играющие люди больше других уверены в себе и контролируют
себя, адекватность самооценки в пределе своей нормы, что показывает, что
играющие люди знают степень своих сил и осознают свои способности и
возможности.
Вывод
по второй главе
По полученным данным можно выявить, что ночные городские игры
влияют на личностные особенности игроков. Воздействие происходит на
эмоциональную устойчивость, смелость и уверенность в себе.
Целенаправленная игра в Encounter показало что
грающие люди больше других уверены в себе и контролируют себя, адекватность
самооценки в пределе своей нормы, что показывает, что играющие люди знают
степень своих сил и осознают свои способности и возможности.
Психологические качества игроков в Encounter в
наибольшей мере совершенствуются под воздействием экстремальных ситуаций,
неожиданных ситуаций игры, где главные условия - это ощущение и представление
игровых моментов, пространства, в реальной жизни для принятия альтернативного
решения.
Участники ночных экстремальных игр - обычные люди, по тем или
иным причинам ищущие чего-то нового в жизни, возможности выразить себя и просто
интересно провести время в компании единомышленников. В отличие от участников
других субкультур, представители ночных экстремальных городских игр крайне
неоднородны по своему составу и целям участия в играх. Для кого-то представляет
интерес развитие своих лидерских способностей, кто-то ищет острых ощущений,
кому то просто нравится общение с интересными людьми. Причем цели участников
зачастую меняются со временем. В любом случае, полученные навыки работы в
команде, управления и распределения обязанностей, действий в быстроменяющихся,
часто экстремальных, условиях помогают и в "обычной" жизни. Игроку
проще общаться с незнакомыми людьми, он избавляется от своих комплексов и
страхов, также развиваются качества менеджера и руководителя. Присутствует и
творческое развитие - написание игр сложный и кропотливый процесс, участие в
котором может принять каждый.
Гипотеза: ночные городские экстремальные игры влияют на
личностные особенности игроков подтвердилось, действительно, ролевые ночные
городские экстремальные игры оказывают влияние на личностные качества.
Заключение
Игра - это жизненно важный и необходимый элемент в развитии
как индивидуума, такие общества в целом. По сложности характера игр можно
судить о быте, правах и навыках данного общества.
Игра хранить и передает по наследству огромную гамму
духовных, эмоциональных ценностей человеческих проявлений. Традиционные формы
досугов - игровой деятельности народы, сложившейся в культурах прошлого,
практически выродились и иссякли, что повлекло за собой обострение, обнищание
социально - психологических процессов общения, отчужденность людей и т.п.
Тезаурус игр огромен и рассчитан преимущественно на
конкретный возраст играющих, время года, уровень воспитанности и культуры и
т.д. и т.п. Что следует выделить в феномен игры особо?
Первая культура, которую создал человек, - это игровая
культура, основанная на традициях труда, социальной деятельности. Ее создавали
и потребляли дети и взрослые совместно в семьях и общественных объединениях.
Воспитание детей - самый запутанный и сложный вид творчества человека. Он
требует создания системы просвещенной, гуманизированной культуры родительства,
наставничества, цивилизованной школы, в которой необходимо найти место преобразующей
игре, хранящей духовный потенциал общечеловеческих ценностей.
Может быть, утверждение гиперболично и дерзко, дерзко игра -
явление космического замысла, она феномен ноосферы и способна гарантировать
гармоническое совместное развитие человека и биосферы, о чем писал В.
Вернадский. В равной степени играют силы природы, искрятся игрой музыка
Россини, полотна Рериха, поэзия Пушкина, драматургия Шекспира. Междоусобицы и
разборы - это ролевые игры людей. Политические игры стали нормой. Современное
общество проявляет особое игровое сознание: игровые раунды разыгрываются как на
политической арене, так и в повседневной жизни. Выброс психической энергии в
игре огромен и беспределен.
Что касается различных теорий происхождения игры, ее
назначения в жизни ребенка, то нам думается, что прав профессор Л.Б. Ительсон,
свидетельствующий:". Здесь пока есть почти столько же теорий, сколько
существует теоретиков". Вслед за Ительсоном можно сказать: прав Г.С.
Спенсер, считающий, что игра есть способ изживания у ребенка излишков энергии;
прав К. Бюлер, считающий, что к игре побуждает удовольствие; прав К. Гросс,
утверждающий, что игра - это форма подготовки к будущей деятельности; прав Д.
Дьюи, доказывающий, что игра есть реализация ребенком видов поведения,
приобретенных на основе инстинктов подражания и научения; прав З. Фрейд,
полагавший, что игра - это способ символического удовлетворения ребенком его
реально неудовлетворенных желаний.
Существует высокая правда Л. Выготского, который считал, что
игра вырастает из противоречия между социальными потребностями и практическими
возможностями ребенка, и видел в ней ведущее средство развития детского
сознания и его функций. Правы все исследователи, доказывающие, что проблема
игры - один из важнейших и сложнейших психологических и педагогических
вопросов, от правильного решения которого зависит весь процесс воспитания и
образования детей.
Игра одновременно - развивающая деятельность, принцип, метод
и форма жизнедеятельности, зона социализации, защищенности, самореабилитации,
сотрудничества, содружества, сотворчества со взрослыми, посредник между миром
ребенка и миром взрослого. И вместе с тем "многочисленные игры ребят -
работа", считал Януш Корчак, в которой не может быть "надо" и
"не надо".
Игры ценны автономно, но прежде всего в системе их
использования. Системность игровой практики - это периодичность и длительность
использования целенаправленных программ (групп, комплексов,
"цепочек") игр, ориентированных на решение конкретных воспитательных
задач, на конкретные жизненные ситуации.
Искусство игры - важная часть жизненной стратегии людей,
ощущающих уникальность и неповторимость жизни.
Список
использованной литературы
1.
Аникеева Н.П., "Воспитание игрой", Москва, 2007 г.
.
Аникеева Н.П., "Педагогика и психология игры", Москва, 2010 г.
.
Богомолова Н.Н., "Ситуационно - ролевая игра, как активный метод социально
- психологической подготовки // Теоретические и методологические проблемы
социальной психологии", Москва - МГУ, 2007 г. (стр.180 - 205).
.
Вуарен Н., "Что такое игра? // Культура", 2012 г., №4.
.
Газман О.С., "Социальные аспекты развития // Советская педагогика",
2008 г., №5.
.
Давыдов В.В., Зинченко В.П., "Принцип развития в психологии // Вопросы
философии", 2010 г., №12, (стр.47 - 60).
.
Добрынская Е.И., "Свободная время и развитие личности", Ленинград,
1983 г.
.
Запорожец А.В., Маркова Т.А., "Игра и её роль в развитии ребенка
дошкольного возраста", Москва, 2008 г.
.
Ладенко И.С., "Игровое моделирование методологие и практики",
Новосибирск, изд-во Наука, 1987 г.
.
Луначарский А.В., "Вместо введения // Игра", 2012, №1.
.
"Педагогика и психология игры", Межвузовский сборник научной
трактовки, Новосибирск: НГПИ - 2014 г.
.
Праздников Г.А., "Игра и эстетическая деятельность личности /
Эстетическая
культура советского человека", Ленинград, 2007 г.
.
Рубинштейн С.Л., "Основа общей психологии", Т.2., Москва, изд-во
"Педагогика", 2009 г.
.
Столович Л.Н., "Искусство и игра // Эстетика", Москва изд-во
"Знание", 1987 г.
.
Терский В.Н., "Игра. Творчество. Жизнь", Москва, 1966 г.
.
Усова А.П., "Игра", Москва, 2012 г.
.
Устименко В.Ф., "Место и роль игрового феномена в культуре // Филосовские
науки", 1980 г., №2, стр.69 - 77.
.
Хайнд Р., "Поведение животных", Москва, 1975, стр.282, 283, 385.
.
Хейзинга Й., "В тени зактрешнего дня", Homo Iudens, Москва, 1992 г.
.
Шмаков С.А., "Игры учащихся - феномен культуры", Москва изд-во
"Новая школа", 1994 г.
.
Эльконин Д.Б., "Психологические игры", Москва, 2008 г.
.
Эпштейн Н.П., "Игра в жизни и искусстве // Советская драматургия",
Москва, 1982 г. №2.
24. <#"868951.files/image014.gif">
Приложение
III
Результаты испытуемых
|
Адекватность
самооценки
|
играют
|
не играют
|
Отклонение от
среднего
|
Квадраты
отклонения
|
|
|
|
Играющие
|
Не играющие
|
Играющие
|
Не играющие
|
|
4
|
7
|
0, 190476
|
2,142857
|
0,036281
|
4,591837
|
|
6
|
3
|
2, 190476
|
-1,85714
|
4,798186
|
3,44898
|
|
5
|
5
|
1, 190476
|
0,142857
|
1,417234
|
0,020408
|
|
4
|
6
|
0, 190476
|
1,142857
|
0,036281
|
1,306122
|
|
4
|
6
|
0, 190476
|
1,142857
|
0,036281
|
1,306122
|
|
2
|
3
|
-1,80952
|
-1,85714
|
3,274376
|
3,44898
|
|
4
|
4
|
0, 190476
|
-0,85714
|
0,036281
|
0,734694
|
|
2
|
6
|
-1,80952
|
1,142857
|
3,274376
|
1,306122
|
|
5
|
5
|
1, 190476
|
0,142857
|
0,020408
|
|
3
|
6
|
-0,80952
|
1,142857
|
0,655329
|
1,306122
|
|
3
|
6
|
-0,80952
|
1,142857
|
0,655329
|
1,306122
|
|
3
|
4
|
-0,80952
|
-0,85714
|
0,655329
|
0,734694
|
|
4
|
2
|
0, 190476
|
-2,85714
|
0,036281
|
8,163265
|
|
6
|
7
|
2, 190476
|
2,142857
|
4,798186
|
4,591837
|
|
1
|
2
|
-2,80952
|
-2,85714
|
7,893424
|
8,163265
|
|
3
|
5
|
-0,80952
|
0,142857
|
0,655329
|
0,020408
|
|
2
|
6
|
-1,80952
|
1,142857
|
3,274376
|
1,306122
|
|
4
|
5
|
0, 190476
|
0,142857
|
0,036281
|
0,020408
|
|
7
|
6
|
3, 190476
|
1,142857
|
10,17914
|
1,306122
|
|
4
|
4
|
0, 190476
|
-0,85714
|
0,036281
|
0,734694
|
|
4
|
4
|
0, 190476
|
-0,85714
|
0,036281
|
0,734694
|
|
|
|
|
|
|
|
|
|
|
|
|
|
|
|
|
|
|
|
|
|
|
|
|
|
|
|
|
|
|
|
|
|
|
|
|
Сумма
|
80
|
102
|
|
|
43,2381
|
44,57143
|
|
Среднее
|
3,809524
|
4,857143
|
|
|
|
|
|
|
|
|
|
|
|
|
|
|
|
|
|
|
|
Разница по
абсолютной величине между средними
|
1,047619
|
|
|
|
|
|
|
|
|
|
|
|
|
|
Sd
|
0,457242
|
|
|
|
|
|
|
t=
|
2,29117
|
|
|
|
|
|
|
Эмоциональная
устойчивость
|
играют
|
не играют
|
Отклонение от
среднего
|
Квадраты
отклонения
|
|
|
|
Играющие
|
Не играющие
|
Играющие
|
Не играющие
|
|
6
|
4
|
1,0952381
|
0,66666667
|
1, 19954649
|
0,444444444
|
|
6
|
4
|
1,0952381
|
0,66666667
|
1, 19954649
|
0,444444444
|
|
6
|
3
|
1,0952381
|
-0,33333333
|
1, 19954649
|
0,111111111
|
|
4
|
2
|
-0,9047619
|
-1,33333333
|
0,8185941
|
1,777777778
|
|
3
|
4
|
-1,9047619
|
0,66666667
|
3,62811791
|
0,444444444
|
|
6
|
5
|
1,0952381
|
1,66666667
|
1, 19954649
|
2,777777778
|
|
4
|
2
|
-0,9047619
|
-1,33333333
|
0,8185941
|
1,777777778
|
|
5
|
1
|
0,0952381
|
-2,33333333
|
0,00907029
|
5,444444444
|
|
4
|
3
|
-0,9047619
|
-0,33333333
|
0,8185941
|
0,111111111
|
|
6
|
4
|
1,0952381
|
0,66666667
|
1, 19954649
|
0,444444444
|
|
5
|
3
|
0,0952381
|
-0,33333333
|
0,00907029
|
0,111111111
|
|
5
|
4
|
0,0952381
|
0,66666667
|
0,00907029
|
0,444444444
|
|
5
|
2
|
0,0952381
|
-1,33333333
|
0,00907029
|
1,777777778
|
|
6
|
4
|
1,0952381
|
0,66666667
|
1, 19954649
|
0,444444444
|
|
3
|
5
|
-1,9047619
|
1,66666667
|
3,62811791
|
2,777777778
|
|
3
|
3
|
-1,9047619
|
-0,33333333
|
3,62811791
|
0,111111111
|
|
6
|
2
|
1,0952381
|
-1,33333333
|
1, 19954649
|
1,777777778
|
|
6
|
3
|
1,0952381
|
-0,33333333
|
1, 19954649
|
0,111111111
|
|
5
|
4
|
0,0952381
|
0,66666667
|
0,00907029
|
0,444444444
|
|
6
|
5
|
1,0952381
|
1,66666667
|
1, 19954649
|
2,777777778
|
|
3
|
3
|
-1,9047619
|
-0,33333333
|
3,62811791
|
0,111111111
|
|
|
|
|
|
|
|
|
|
|
|
|
|
|
|
|
|
|
|
|
|
|
|
|
|
|
|
|
|
|
|
|
|
|
|
|
Сумма
|
103
|
70
|
|
|
27,8095238
|
24,66666667
|
|
Среднее
|
4,904762
|
3,333333
|
|
|
|
|
|
|
|
|
|
|
|
|
|
|
|
|
|
|
|
Разница по
абсолютной величине между средними
|
1,571429
|
|
|
|
|
|
|
|
|
|
|
|
|
|
Sd
|
0,353473
|
|
|
|
|
|
|
t=
|
4,445679
|
|
|
|
|
|
|
Сдержаность
экспресивность
|
играют
|
не играют
|
Отклонение от
среднего
|
Квадраты
отклонения
|
|
|
|
Играющие
|
Не играющие
|
Играющие
|
Не играющие
|
|
1
|
5
|
-2,85714286
|
0,714285714
|
8,163265306
|
0,510204082
|
|
3
|
6
|
-0,85714286
|
1,714285714
|
0,734693878
|
2,93877551
|
|
4
|
5
|
0,14285714
|
0,714285714
|
0,020408163
|
0,510204082
|
|
6
|
6
|
2,14285714
|
1,714285714
|
4,591836735
|
2,93877551
|
|
2
|
3
|
-1,85714286
|
-1,285714286
|
3,448979592
|
1,653061224
|
|
5
|
4
|
1,14285714
|
-0,285714286
|
1,306122449
|
0,081632653
|
|
6
|
3
|
2,14285714
|
-1,285714286
|
4,591836735
|
1,653061224
|
|
3
|
5
|
-0,85714286
|
0,714285714
|
0,734693878
|
0,510204082
|
|
4
|
4
|
0,14285714
|
-0,285714286
|
0,020408163
|
0,081632653
|
|
2
|
2
|
-1,85714286
|
-2,285714286
|
3,448979592
|
5,224489796
|
|
5
|
3
|
1,14285714
|
-1,285714286
|
1,306122449
|
1,653061224
|
|
4
|
5
|
0,14285714
|
0,714285714
|
0,020408163
|
0,510204082
|
|
6
|
3
|
2,14285714
|
-1,285714286
|
4,591836735
|
1,653061224
|
|
4
|
6
|
0,14285714
|
1,714285714
|
0,020408163
|
2,93877551
|
|
3
|
6
|
-0,85714286
|
1,714285714
|
0,734693878
|
2,93877551
|
|
4
|
2
|
0,14285714
|
-2,285714286
|
0,020408163
|
5,224489796
|
|
5
|
4
|
1,14285714
|
-0,285714286
|
1,306122449
|
0,081632653
|
|
2
|
5
|
-1,85714286
|
3,448979592
|
0,510204082
|
|
6
|
3
|
2,14285714
|
-1,285714286
|
4,591836735
|
1,653061224
|
|
1
|
5
|
-2,85714286
|
0,714285714
|
8,163265306
|
0,510204082
|
|
5
|
5
|
1,14285714
|
0,714285714
|
1,306122449
|
0,510204082
|
|
|
|
|
|
|
|
|
|
|
|
|
|
|
|
|
|
|
|
|
|
|
|
|
|
|
|
|
|
|
|
|
|
|
|
|
Сумма
|
81
|
90
|
|
|
52,57142857
|
34,28571429
|
|
Среднее
|
3,857143
|
4,285714
|
|
|
|
|
|
|
|
|
|
|
|
|
|
|
|
|
|
|
|
Разница по
абсолютной величине между средними
|
0,428571
|
|
|
|
|
|
|
|
|
|
|
|
|
|
Sd
|
0,454756
|
|
|
|
|
|
|
t=
|
0,942421
|
|
|
|
|
|
|
Робость
смелость
|
играют
|
не играют
|
Отклонение от
среднего
|
Квадраты
отклонения
|
|
|
|
Играющие
|
Не играющие
|
Играющие
|
Не играющие
|
|
4
|
3
|
-1,33333
|
-0,57143
|
1,777778
|
0,326531
|
|
6
|
4
|
0,666667
|
0,428571
|
0,444444
|
0,183673
|
|
4
|
3
|
-1,33333
|
-0,57143
|
1,777778
|
0,326531
|
|
5
|
2
|
-0,33333
|
-1,57143
|
0,111111
|
2,469388
|
|
4
|
2
|
-1,33333
|
-1,57143
|
1,777778
|
2,469388
|
|
5
|
4
|
-0,33333
|
0,428571
|
0,111111
|
0,183673
|
|
6
|
5
|
0,666667
|
1,428571
|
0,444444
|
2,040816
|
|
6
|
6
|
0,666667
|
2,428571
|
0,444444
|
5,897959
|
|
5
|
6
|
-0,33333
|
2,428571
|
0,111111
|
5,897959
|
|
6
|
4
|
0,666667
|
0,428571
|
0,444444
|
0,183673
|
|
6
|
4
|
0,666667
|
0,428571
|
0,444444
|
0,183673
|
|
6
|
3
|
0,666667
|
-0,57143
|
0,444444
|
0,326531
|
|
6
|
3
|
0,666667
|
-0,57143
|
0,444444
|
0,326531
|
|
6
|
4
|
0,666667
|
0,428571
|
0,444444
|
0,183673
|
|
6
|
5
|
0,666667
|
1,428571
|
0,444444
|
2,040816
|
|
6
|
2
|
0,666667
|
-1,57143
|
0,444444
|
2,469388
|
|
5
|
2
|
-0,33333
|
-1,57143
|
0,111111
|
2,469388
|
|
3
|
3
|
-2,33333
|
-0,57143
|
5,444444
|
0,326531
|
|
6
|
4
|
0,666667
|
0,428571
|
0,444444
|
0,183673
|
|
6
|
3
|
0,666667
|
-0,57143
|
0,444444
|
0,326531
|
|
5
|
3
|
-0,33333
|
-0,57143
|
0,111111
|
0,326531
|
|
|
|
|
|
|
|
|
|
|
|
|
|
|
|
|
|
|
|
|
|
|
|
|
|
|
|
|
|
|
|
|
|
|
|
|
Сумма
|
112
|
75
|
|
|
16,66667
|
29,14286
|
|
Среднее
|
5,333333
|
3,571429
|
|
|
|
|
|
|
|
|
|
|
|
|
|
|
|
|
|
|
|
Разница по
абсолютной величине между средними
|
1,761905
|
|
|
|
|
|
|
|
|
|
|
|
|
|
Sd
|
0,330258
|
|
|
|
|
|
|
t=
|
5,334936
|
|
|
|
|
|
|
увереность в
себе
|
играют
|
не играют
|
Отклонение от
среднего
|
Квадраты
отклонения
|
|
|
|
Играющие
|
Не играющие
|
Играющие
|
Не играющие
|
|
2
|
4
|
-1,2381
|
-0,71429
|
1,53288
|
0,510204
|
|
2
|
6
|
-1,2381
|
1,285714
|
1,53288
|
1,653061
|
|
4
|
3
|
0,761905
|
-1,71429
|
0,580499
|
2,938776
|
|
5
|
4
|
1,761905
|
-0,71429
|
3,104308
|
0,510204
|
|
4
|
5
|
0,761905
|
0,285714
|
0,580499
|
0,081633
|
|
4
|
6
|
0,761905
|
1,285714
|
0,580499
|
1,653061
|
|
2
|
6
|
-1,2381
|
1,285714
|
1,53288
|
1,653061
|
|
5
|
6
|
1,761905
|
1,285714
|
3,104308
|
1,653061
|
|
2
|
4
|
-1,2381
|
-0,71429
|
1,53288
|
0,510204
|
|
4
|
3
|
0,761905
|
-1,71429
|
0,580499
|
2,938776
|
|
4
|
4
|
0,761905
|
-0,71429
|
0,580499
|
0,510204
|
|
3
|
3
|
-0,2381
|
-1,71429
|
0,056689
|
2,938776
|
|
2
|
5
|
-1,2381
|
0,285714
|
1,53288
|
0,081633
|
|
1
|
5
|
-2,2381
|
0,285714
|
5,00907
|
0,081633
|
|
3
|
6
|
-0,2381
|
1,285714
|
0,056689
|
1,653061
|
|
4
|
5
|
0,761905
|
0,285714
|
0,580499
|
0,081633
|
|
4
|
5
|
0,761905
|
0,285714
|
0,580499
|
0,081633
|
|
2
|
5
|
-1,2381
|
0,285714
|
1,53288
|
0,081633
|
|
6
|
6
|
2,761905
|
1,285714
|
7,628118
|
1,653061
|
|
1
|
4
|
-2,2381
|
-0,71429
|
5,00907
|
0,510204
|
|
4
|
4
|
0,761905
|
-0,71429
|
0,580499
|
0,510204
|
|
|
|
|
|
|
|
|
|
|
|
|
|
|
|
|
|
|
|
|
|
|
|
|
|
|
|
|
|
|
|
|
|
|
|
|
Сумма
|
68
|
99
|
|
|
37,80952
|
22,28571
|
|
Среднее
|
3,238095
|
4,714286
|
|
|
|
|
|
|
|
|
|
|
|
|
|
|
|
|
|
|
|
Разница по
абсолютной величине между средними
|
1,47619
|
|
|
|
|
|
|
|
|
|
|
|
|
|
Sd
|
0,378264
|
|
|
|
|
|
|
t=
|
3,902537
|
|
|
|
|
|
|
Самоконтроль
|
играют
|
не играют
|
Отклонение от
среднего
|
Квадраты
отклонения
|
|
|
|
Играющие
|
Не играющие
|
Играющие
|
Не играющие
|
|
5
|
2
|
0,714286
|
-1,33333
|
0,510204
|
1,777778
|
|
3
|
4
|
-1,28571
|
1,653061
|
0,444444
|
|
4
|
3
|
-0,28571
|
-0,33333
|
0,081633
|
0,111111
|
|
2
|
3
|
-2,28571
|
-0,33333
|
5,22449
|
0,111111
|
|
5
|
2
|
0,714286
|
-1,33333
|
0,510204
|
1,777778
|
|
2
|
5
|
-2,28571
|
1,666667
|
5,22449
|
2,777778
|
|
6
|
3
|
1,714286
|
-0,33333
|
2,938776
|
0,111111
|
|
6
|
4
|
1,714286
|
0,666667
|
2,938776
|
0,444444
|
|
6
|
4
|
1,714286
|
0,666667
|
2,938776
|
0,444444
|
|
4
|
3
|
-0,28571
|
-0,33333
|
0,081633
|
0,111111
|
|
5
|
4
|
0,714286
|
0,666667
|
0,510204
|
0,444444
|
|
2
|
4
|
-2,28571
|
0,666667
|
5,22449
|
0,444444
|
|
5
|
3
|
0,714286
|
-0,33333
|
0,510204
|
0,111111
|
|
4
|
2
|
-0,28571
|
-1,33333
|
0,081633
|
1,777778
|
|
5
|
2
|
0,714286
|
-1,33333
|
0,510204
|
1,777778
|
|
4
|
3
|
-0,28571
|
-0,33333
|
0,081633
|
0,111111
|
|
5
|
5
|
0,714286
|
1,666667
|
0,510204
|
2,777778
|
|
4
|
6
|
-0,28571
|
2,666667
|
0,081633
|
7,111111
|
|
4
|
3
|
-0,28571
|
-0,33333
|
0,081633
|
0,111111
|
|
5
|
2
|
0,714286
|
-1,33333
|
0,510204
|
1,777778
|
|
4
|
3
|
-0,28571
|
-0,33333
|
0,081633
|
0,111111
|
|
|
|
|
|
|
|
|
|
|
|
|
|
|
|
|
|
|
|
|
|
|
|
|
|
|
|
|
|
|
|
|
|
|
|
|
Сумма
|
90
|
70
|
|
|
30,28571
|
24,66667
|
|
Среднее
|
4,285714
|
3,333333
|
|
|
|
|
|
|
|
|
|
|
|
|
|
|
|
|
|
|
|
Разница по
абсолютной величине между средними
|
0,952381
|
|
|
|
|
|
|
|
|
|
|
|
|
|
Sd
|
0,361717
|
|
|
|
|
|
|
t=
|
2,632947
|
|
|
|
|
|
Приложение
IV
"Оси значимости" для факторов
Фактор MD
Фактор С
Фактор F
Фактор H
Фактор O
Фактор Q3