Проект реконструкции электрической части подстанции ПС-69
Содержание
Введение
. Общий раздел
.1 Описание объекта
.2 Назначение подстанции
. Технологический раздел
.1 Выбор и обоснование проектируемых
вариантов
.2 Выбор силового оборудования
.3 Выбор схемы собственных нужд
.4 Расчет токов короткого замыкания
.5 Выбор электрических аппаратов и
токоведущих частей
.6 Выбор типа конструкции
распределительных устройств
.7 Выбор рода оперативного тока
.8 Расчет заземляющего устройства
.9 Расчет элементов релейной защиты
. Организационный раздел
.1 Расчет показателей производственной
мощности ПС 69 - 110/35/10 действующего варианта подстанции
.2 Организация ремонта действующего
оборудования на подстанции
.3 Охрана труда и безопасность
жизнедеятельности обслуживающего персонала
.Экономический раздел
.1 Расчет капитальных вложений
.2 Расчет эксплуатационных издержек
.3 Выбор и расчет показателей
экономической эффективности внедрения новой техники на подстанции
.4 Технико-экономические показатели
проекта подстанции ПС-69 «Станкозавод»
Заключение
Список используемой литературы и
источников
Введение
Электроэнергетическое оборудование является
одним из наиболее дорогостоящих и ответственных видов оборудования,
применяемого на этапе производства, распределения и потребления электроэнергии.
От надежности и эффективности его работы зависит стабильность функционирования
энергосистемы в целом.
Старение основных фондов представляет одну из
серьезнейших проблем для энергетической системы России. Ухудшение технического
состояния электрических сетей - один из основных факторов нарастания числа
случаев нарушения их работы (количество отказов с 1996 по 2003 год увеличилось
в 2 раза). Наиболее сложной в этом отношении является ситуация в ОЭС
Северо-Запада, Центра, Северного Кавказа и Урала.
До начала 90-х годов прошлого века у нас, в
СССР, и в других странах с государственной электроэнергетикой на первом месте
среди основных критериев функционирования и развития отрасли была ее
надежность. Это требование было заложено во все законодательные и нормативные
акты нашего государства, касавшиеся электроэнергетики. При переходе к рыночным
отношениям на первое место выдвинулось получение энергокомпаниями максимальной
прибыли. Надежность электроснабжения отодвинулась на второй план, и нередко
рост прибыли осуществлялся за счет ущерба надежности. Согласно данным
статистики (2013 год), более 20% (по протяженности) воздушных линий
электропередачи (ВЛ) напряжением 220-500 кВ эксплуатируется свыше 40 лет, 67% -
старше 25 лет. Около 50% подстанционного оборудования эксплуатируется сверх
норматива (более 25 лет), из них 17% достигли аварийного срока эксплуатации
(более 35 лет).
Либерализация электроэнергетики, переход к
конкурентным отношениям, открытие оптовых рынков электроэнергии с одной стороны
и начавшиеся в стране крупные системные аварии (к примеру майская авария 2005
г., когда оказались обесточенными город Москва, а также Тульская, Московская,
Калужская и Рязанская области из-за пожара и взрыва на подстанции
"Чагино", где ущерб по оценкам экспертов составил более 2 млрд руб.)
с другой стороны, вновь повысили значимость фактора надежности. Всем стало
ясно, что в современных рыночных условиях надежность электроснабжения станет
для потребителей товаром, реализуемым через рыночные услуги и имеющим свою
цену. Надежное энергоснабжение экономики и населения страны поставлено сейчас
на первое место в числе стратегических целей развития отечественной
электроэнергетики, которые отражены в энергетической стратегии России на период
до 2030 г., утвержденной Правительством Российской Федерации от 13 ноября 2009
года:
оптимизация конфигурации и повышение пропускной
способности системообразующих и распределительных электрических сетей,
позволяющих осуществлять эффективное функционирование Единой энергетической
системы России и систем распределенной генерации электроэнергии с высокими
показателями надежности их работы;
снижение износа электрических сетей до среднего
уровня развитых стран мира, в том числе за счет качественного обновления парка
оборудования электрических подстанций;
снижение потерь в электрических сетях и повышение
эффективности транспортировки электроэнергии, в том числе за счет широкого
внедрения проводников из новых композиционных материалов, позволяющих увеличить
токоведущую способность и увеличить продолжительность срока их службы, а также
создания систем автоматизированного учета и регулирования в электрических
сетях.
обеспечение условий для привлечения частного
капитала в распределительный электросетевой комплекс в объеме, достаточном для
модернизации и реконструкции электрических сетей и обеспечения надежности
электроснабжения потребителей на долгосрочный период, развития электросетевой
инфраструктуры, в том числе с целью обеспечения межсистемных перетоков энергии
и содействия экономическому росту соответствующих территорий.
электрический ток замыкание заземляющий
1. Общий раздел
.1 Описание объекта
Подстанция №69 « Станкозавод» находится в г.
Петрозаводске Республики Карелия. Подстанция максимально приближена к центрам
нагрузок соответствующих групп потребителей электроэнергии. Для доставки
трансформаторов и оборудования на подстанции предусмотрена подъездная
однополосная автомобильная дорога.
Территория ПС ограждена внешним сетчатым забором
высотой 2 метра. В соответствиями с требованиями пожарной безопасности
подстанция обеспечена порошковыми (ОП - 5) и углекислотными (ОУ - 5)
огнетушителями и пожарными ящиками с песком, установленными у силовых
трансформаторов Т1 и Т2.
Подстанция включает в себя три класса напряжения
110 кВ, 35 кВ и 10 кВ. Все распределительные устройства выполнены в открытом
исполнении. Все оборудование открытого распределительного устройства (ОРУ)
устанавливается на специальных опорных металлических и железобетонных
конструкциях с обеспечением достаточных для безопасности обслуживания габаритов
до земли.
Аппаратура релейной зашиты и автоматики (РЗиА)
размещена в здании, следовательно, защищена от атмосферных осадков, ветра,
резких именений температуры, а так же других загрязнений.
В ОРУ - 110 установлены два понижающих
трехобмоточных параллельно работающих силовых трансформатора типа TДТН-25000/110
(трансформатор трехфазный, с естественной циркуляцией масла и дутьем, с
регулировкой напряжения под нагрузкой). Трехобмоточные трансформаторы получают
питание от линии 110 кВ через линейный разъединитель, разъединитель
трансформаторный 110 кВ, отделитель трансформатора Т1 и выключатель
трансформатора Т2. Трансформаторы работают отдельно, то есть каждый на свою
секцию 35 кВ и 10 кВ. Трансформаторы собственных нужд (два трансформатора ТСН -
1 и ТСН - 2 типа ТМ-160) присоединены к шинным мостам соответствующей секции 10
кВ. Через высоковольтные предохранители и через автоматические выключатели и
рубильники со стороны 0,4 подключены каждый к своей секции. Питание
осуществляется от одного трансформатора ТСН. В нормальном режиме питание
поступает с ТСН-1. ТСН-2 находится в автоматическом резерве.
.2 Назначение подстанции
ПС №69 принадлежит второму участку Группы
подстанций Южно - Карельских электрических сетей (ЮКЭС) ОАО
"Карелэнерго". Подстанция является понижающей, поскольку она
предназначена для понижения высокого первичного напряжения питающей сети в
более низкое вторичное напряжение.
Потребителями 10 кВ данной подстанции являются:
ОАО «Стройтехника»
"Завод железобетонных конструкций"
ИП «Иванов А.О».
« Карельская битумная компания»
Кроме того, ПС № 69 находится в транзите 110 кВ
линии Л - 185 и Л - 184 между подстанцией №2 «Древлянка» и подстанцией № 5
«Деревянка».
2. Технологический раздел
.1 Выбор и обоснование проектируемых вариантов
Подстанция построена и внедрена в эксплуатацию в
1989 году. Установленное на ней оборудование отрабатывает уже второй срок
эксплуатации. Оно морально и физически устарело. Основным недостатком открытого
распределительного устройства 110 кВ является короткозамыкатель, установленный
в цепи линии Л - 185 и Л - 184.
Главным недостатком открытого распределительного
устройства 35 кВ являются установленные в ней маслянные выключатели ВТ1 - 35,
ВТ2 - 35, ВС-35, ВЛ - 60П, ВЛ - 65П, ВЛ - 66 П, ВЛ-67 П типа С - 35М.
Недостатками выключателей является взрыво- и
пожароопасность, невозможность осуществления быстродействующего АПВ,
необходимость периодического контроля за уровнем и состояние масла в баке и
вводах, большой объем масла, что обуславливает большую затрату времени на его
замену, необходимость больших запасов масла. Отсутствие запасных частей к
выключателям данного типа, связанное с прекращением их производства сильно
затрудняет поддержание их в нормальном рабочем состоянии. Комплектное
устройство наружной установки значительно усложняет работу оперативного и ремонтного
персонала в неблагоприятных погодных условиях.
Опираясь на концепцию технической политики РАО
"ЕЭС России" на период до 2020 года, разработанной во исполнение п. 6
приказа ОАО РАО "ЕЭС России" от 12.11.04 г. №660, требующего
повышения качества технической политики при реализации инвестиционных проектов,
проведении модернизации и технического перевооружения объектов энергетики
предлагается:
. заменить масляный выключатель ВЛ - 35П
на выкуумный;
. замена МКП ( ВС - 110) на элегазовый
выключатель - 110 кВ. марки SIEMENS
3 AP;
. Вместо ОД установить SIEMENS
3AP всех семи.
. Замена КРУН 10 кВ. производство
Болгария на отечественные.
. Замена РВТ на ОПН ( 110, 35,10 ).
.2 Выбор силового оборудования
Силовые трансформаторы предназначены для
преобразования электроэнергии переменного тока с одного класса напряжения на
другой. В данном случае первичное высокое напряжение 110 кВ понижается на
среднее напряжение 35 кВ и низкое напряжение 10 кВ.
Установленные на подстанции силовые
трансформаторы ТДТН - 25000/110 - полностью удовлетворяют потребностям
относящихся к подстанции потребителей, поэтому их замена в данный период
времени нецелесообразна.
Исходя из того, что производить замену
трансформаторов не следует, проверка силовых трансформаторов по номинальной мощности
не требуется.
.3 Выбор схемы собственных нужд
Состав потребителей собственных нужд подстанции
зависит от типа подстанции, мощности силовых трансформаторов, типа
электрооборудования. Потребителями собственных нужд подстанции являются:
) электродвигатели обдува
трансформаторов;
) обогрев приводов выключателей;
) освещение подстанции;
) зарядные и под зарядные агрегаты (при
оперативном постоянном токе).
Наиболее ответственными потребители собственных
нужд подстанции являются:
) оперативные сети;
) система связи и телемеханики;
) система охлаждения трансформаторов;
) аварийное освещение;
) система пожаротушения;
) электроприемники компрессорной.
Мощность приемников собственных нужд невелика,
поэтому они присоединяются к сети 380/220 В, которая получает питание от
понижающих трансформаторов. Трансформатор собственных нужд присоединяется к
шинам 10 кВ.
Потребляемая мощность собственных нужд невелика
и составляет для двух трансформаторных подстанций не более 1-2% от
установленной мощности
Мощность трансформаторов собственных нужд
определяется по формуле
Так как замену силовых трансформаторов мы не
производили, то оставляем имеющиеся 2 трансформатора собственных нужд ТМ - 160
- У0.
Таблица 1 - Параметры двух трансформаторов ТМ -
160.
|
Тип
трансформатора
|
Номинальное
напряжение, кВ
|
Потери,
кВт
|
Напряжение
короткого замыкания, %
|
|
ВН
|
НН
|
Короткого
замыкания
|
Холостого
хода
|
|
|
ТМ
- 160
|
10
|
0,4
|
2,0
|
0,305
|
4,55
|
2.4 Расчет токов короткого замыкания
Расчет токов короткого замыкания необходим:
. для составления, оценки и выбора
главных схем соединения электрических станций, сетей и подстанций;
. выбора и проверки электрических
аппаратов и проводников;
. проектирования и настройки устройств
релейной защиты и автоматики;
. определения влияния токов нулевой
последовательности линий электропередачи на линии связи;
. проектирования заземляющих устройств;
. анализа аварий в электроустановках и
электрических системах;
. анализа устойчивости работы
энергосистем.
При расчетах токов короткого замыкания
допускается упрощения:
) принимается, что фазы ЭДС всех
генераторов не изменяются в течении всего процесса короткого замыкания
(отсутствуют качания);
) не учитывается насыщение магнитных
систем, что позволяет считать постоянными и независимыми от тока индуктивные
сопротивления всех элементов короткозамкнутой цепи;
) пренебрегают намагничивающими токами
силовых трансформаторов;
) не учитываются емкости элементов
короткозамкнутой цепи, включая воздушные и кабельные линии (емкость обычно
учитывается у воздушных линий 500 кВ и у кабельных линий 110 кВ и выше);
) при вычислении величины токов короткого
замыкания пренебрегают активным сопротивлением цепи, если реактивное
сопротивление больше активного в три раза.
Расчеты с данными упрощениями приводят к преувеличению
токов короткого замыкания на 10-15%, что принято считать допустимым.
Порядок расчета токов короткого замыкания:
) составляется расчетная схема. Под этой
схемой понимается однолинейная схема с указанием всех элементов
электроустановки и их параметров, которые влияют на величину токов короткого
замыкания и поэтому должны быть учтены при выполнении расчетов. В целях
упрощения расчетов для каждой электрической ступени в расчетной схеме вместо ее
действительного напряжения указывается среднее напряжение в киловольтах;
) по расчетной схеме составляется
электрическая схема замещения;
) путем постепенного преобразования схема
замещения приводится к наиболее простому виду так, чтобы источник питания или
группа источников, характеризующиеся определенными значениями ЭДС были связаны
с точкой короткого замыкания одним результирующим сопротивлением;
) зная результирующее ЭДС и
результирующее сопротивление по закону Ома определяется величина начального
значения периодической составляющей тока короткого замыкания, периодическая
составляющая тока короткого замыкания, ударный ток, периодическая составляющая
в отдельных ветвях схемы.
№2 «Древлянка». Ток короткого
замыкания на шинах 110 кВ этой подстанции равен 
;
С 2 - система 2. За эту систему
принята подстанция №5 «Деревянка».. Ток короткого замыкания на шинах 110 кВ
этой подстанции равен 
;
W 1 - линия
1. Эта линия соединяет систему С 1 с ПС №69. Протяженность линии составляет
7,939 км.
W 2 - линия
2. Эта линия соединяет систему С 2 с ПС №69. Ее протяженность 21,213 км.
Т 1, Т 2 - трансформаторы типа
ТДТН-25000/110-У0. Данные этого трансформатора указаны в пункте 3.2.
Для базовой мощности (
) принято значение 1000 МВА, а
базовой напряжение (
) равно средним номинальным
напряжениям подстанции и составляет 118 кВ, 37 кВ и 10 кВ. Ударный коэффициент
(
) принят 1,65
Составление эквивалентной схемы
замещения.
Рисунок 1 - Эквивалентная смеха замещения
В соответствии со схемой:

- сопротивление системы С 1;

- сопротивление системы С 2;

- сопротивление линии W 1;

- сопротивление линии W 2;

- сопротивление обмотки высокого
напряжения (ВН) трансформатора Т1;

- сопротивление обмотки высокого
напряжения (ВН) трансформатора Т2;

- сопротивление обмотки среднего
напряжения (СН) трансформатора Т1;

- сопротивление обмотки среднего
напряжения (СН) трансформатора Т2;

- сопротивление обмотки низкого
напряжения (НН) трансформатора Т1;

- сопротивление обмотки низкого
напряжения (НН) трансформатора Т2.
Сопротивление энергосистемы
определяется по формуле:
где 
- мощность короткого замыкания
энергосистемы, МВА;

- базовая мощность, МВА.
Мощность короткого замыкания
энергосистемы рассчитывается по формуле
где 
- ток трехфазного короткого
замыкания на шинах источника питания, кА;

- среднее напряжение на шинах ПС,
где рассматривается короткое замыкание.
По формуле (3.3)
Сопротивление линий электропередачи
рассчитывается по формуле
где 
- удельное сопротивление линии,
Ом/км (принято 0,4 Ом/км);

- протяженность линий
электропередач, км.
Сопротивление силовых
трансформаторов определяется по формуле
где 
- номинальная мощность
трансформатора, МВА;

- относительное сопротивление
трансформатора, %, которое для трехобмоточного трансформатора определяется для
каждой обмотки в отдельности. Для обмотки среднего напряжения (СН) расчет
ведется по формуле (6), для обмотки низкого напряжения (НН) - по формуле (7), а
для обмотки высокого напряжения (ВН) это сопротивление рассчитывается по
формуле:
По формуле (3.7)
По формуле (3.8)
По формуле (3.9)
Мы получили следующие значения:
Для расчета тока короткого замыкания
в точке К 1, необходимо "свернуть" схему замещения (рисунок 3), для
определения результирующего сопротивления. Рисунок 4 - Схема замещения
относительно точки К 1 (а), ее преобразование (б) и итоговая схема замещения
(в) для расчета междуфазного короткого замыкания.
Рисунок 2
Далее рассчитывает токи короткого
замыкания в точке К 1.
Таблица 2
|
Точка
КЗ
|
К
1
|
|
Т
1
|
Т
2
|
|
|
1000
|
1000
|
|
|
118
|
118
|
|
Источники
|
С1,
С2
|
С1,
С2
|
|
|
2646,7
|
|
|
|
|
|
|
|
|
|
|
|
1,0
|
1,0
|
|
|
|
|
|
|
|
|
|
|
|
|
|
|
|
|
|
|
1,0
|
1,0
|
|
|
|
|
|
|
1,65
|
1,65
|
|
|
0,03
|
0,03
|
|
|
|
|
|
|
|
|
|
|
|
|
Для расчета тока короткого замыкания в точке К
2, необходимо "свернуть" схему замещения (рисунок 3), для определения
результирующего сопротивления.
Рисунок 5 - схема замещения относительно точки К
2, ее преобразование (а) и итоговая схема замещения (б) для расчета
междуфазного короткого замыкания.
Рисунок 3
Для расчета тока короткого замыкания в точке К
3, необходимо "свернуть" схему замещения (рисунок 3), для определения
результирующего сопротивления.
Рисунок 4 - схема замещения относительно точки К
3, ее преобразование (а) и итоговая схема замещения (б) для расчета
междуфазного короткого замыкания.
.5 Выбор электрических аппаратов и токоведущих
частей
Выбор шин 110 кВ. Ошиновка в распределительных
устройствах выполняется сборными жесткими шинами и сталеалюминевыми проводами
(гибкая ошиновка). Выбор сечения шин производится по длительно допустимому току
при условии
где 
- максимальный рабочий ток
трансформатора;
а 
- длительно допустимый ток.
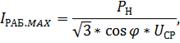
Максимальный рабочий ток на шинах
110 кВ определяется по формуле
где 
- активная нагрузка, кВА;
а 
- среднее напряжение на шинах
подстанции, кВ, (принято 118 кВ);

- коэффициент мощности, (принят
0,8).
Активная нагрузка рассчитывается по
формуле
где 
- номильная мощность одного
трансформатора, КВА;

- количество трансформаторов.
Принимается провод марки АС - 150/19
(сталеалюминевый провод номинальным сечением 150 мм2, из которого
сечение стали составляет 19 мм2).
Таблица 3 - Характеристики провод АС
-150/19
|
Марка
провода
|
Наружный
диаметр, мм
|
Токовая
нагрузка, А
|
Масса,
кг/км
|
|
АС
-150/19
|
16,8
|
450
|
471
|
Принимается жесткая алюминиевая шина размерами
40x 5 мм
Таблица 4 - Характеристики алюминиевой шины 40 x
5 мм
|
Размер
шины, мм
|
Сечение
шины, мм2
|
Масса,
кг/м
|
Допустимый
ток, А
|
|
40
x 5
|
200
|
0,54
|
540
|
Проверка шин на термическую стойкость
производится по допустимому минимальному сечению исходя из условия
где 
- минимально допустимое сечение, мм2;

- выбранное сечение, мм2.
Минимально допустимое сечение
рассчитывается по формуле
где 
- поправочный коэффициент, (для
алюминиевых шин 
);

- тепловой импульс, кА2с.
Тепловой импульс рассчитывается по
формуле
где 
- ток трехфазного короткого
замыкания, кА;
а 
- время действия защиты, с,
(принято 1 с);

- постоянная времени затухания, с,
(
с).
Проверка жестких шин на механическую
прочность производится исходя из условия
где 
- расчетное механическое напряжение
в материале шин, МПа;

- допустимое механическое
напряжение в материале шин. Для алюминиевых шин оно составляет 70 МПа.
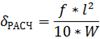
Расчетное механическое напряжение в
материале шин определяется по формуле
где 
- наибольшее удельное усилие при
трехфазном коротком замыкании, Н/м;

- пролет, расстояние между
соседними опорными изоляторами (принято 2 м);

- момент сопротивления шины
относительно оси, перпендикулярно действию усилия, см3.
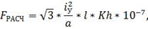
Наибольшее удельное усилие при
трехфазном коротком замыкании определяется по формуле
где 
- коэффициент формы;

- расстояние между осями шин, м;

- ударный ток трехфазного короткого
замыкания, А.
Коэффициент формы равняется 1 при
условии
где 
- расстояние между осями шин, мм;

- размеры поперечного сечения шины,
мм.
Принимаем коэффициент формы, равный
1.
По формуле (3.33)
Момент сопротивления шины
относительно оси, перпендикулярно действию усилия, определяется по формуле
По формуле (3.32)
Полученное значение подставляется в
условие (3.31)
Условие выполняется, шины выбраны
верно.
Максимальный рабочий ток на шинах 35
кВ исходя из зимнего максимума нагрузок составляет 190 А. Линия Л-65П в
нормальном режиме не загружена. Максимальная нагрузка, которую может запросить
потребитель линии составляет 8 МВА. Ток нагрузки рассчитывается по формуле
(3.21)
Рабочий максимальный ток на шинах 35
кВ определяется по формуле
где 
- ток на шинах в зимний максимум,
А;

- максимальный ток потребителей
Л-65П, А.

Таблица 5 - Характеристики
алюминиевой шины 30 x 4 мм
|
Размер
шины, мм
|
Сечение
шины, мм2
|
Масса,
кг/м
|
Допустимый
ток, А
|
|
30
x 4
|
120
|
1,066
|
365
|
Проверка шин на термическую стойкость
производится по допустимому минимальному сечению исходя из условия
где 
- минимально допустимое сечение, мм2;

- выбранное сечение, мм2.
Минимально допустимое сечение
рассчитывается по формуле
где 
- поправочный коэффициент, (для
алюминиевых шин 
);

- тепловой импульс, кА2с.
Тепловой импульс рассчитывается по
формуле
где 
- ток трехфазного короткого
замыкания, кА;
а 
- время действия защиты, с,
(принято 1 с);

- постоянная времени затухания, с,
(
с).
Проверка жестких шин на механическую
прочность производится исходя из условия
где 
- расчетное механическое напряжение
в материале шин, МПа;

- допустимое механическое
напряжение в материале шин. Для алюминиевых шин оно составляет 70 МПа.
Расчетное механическое напряжение в
материале шин определяется по формуле
где 
- наибольшее удельное усилие при
трехфазном коротком замыкании, Н/м;

- пролет, расстояние между
соседними опорными изоляторами (принято 2 м);

- момент сопротивления шины
относительно оси, перпендикулярно действию усилия, см3.
Наибольшее удельное усилие при
трехфазном коротком замыкании определяется по формуле
где 
- коэффициент формы;

- расстояние между осями шин, м;

- ударный ток трехфазного короткого
замыкания, А.
Коэффициент формы равняется 1 при
условии
где 
- расстояние между осями шин, мм;

- размеры поперечного сечения шины,
мм.
Принимаем коэффициент формы, равный
1.
По формуле (3.33)
Момент сопротивления шины
относительно оси, перпендикулярно действию усилия, определяется по формуле
По формуле (3.32)
Полученное значение подставляется в
условие (3.31)
Условие выполняется, шины выбраны
верно.
Выбор шин 10 кВ производится по
условию (3.20). Максимальный рабочий ток на шинах 6 кВ исходя из зимнего
максимума нагрузок составляет 380 А. Принимается жесткая алюминиевая шина
размерами 50 x 6 мм.
Таблица 6 - Характеристики
алюминиевой шины 50 x 6 мм
|
Размер
шины, мм
|
Сечение
шины, мм2
|
Масса,
кг/м
|
Допустимый
ток, А
|
|
50
x 6
|
300
|
0,81
|
680
|
Проверка шины на термическую стойкость
производится по условию (3.23). По формуле (3.25)
Проверка жестких шин на механическую прочность
производится исходя из условия
где 
- расчетное механическое напряжение
в материале шин, МПа;

- допустимое механическое
напряжение в материале шин. Для алюминиевых шин оно составляет 70 МПа.
Расчетное механическое напряжение в
материале шин определяется по формуле
где 
- наибольшее удельное усилие при
трехфазном коротком замыкании, Н/м;

- пролет, расстояние между
соседними опорными изоляторами (принято 2 м);

- момент сопротивления шины
относительно оси, перпендикулярно действию усилия, см3.
Наибольшее удельное усилие при
трехфазном коротком замыкании определяется по формуле
где 
- коэффициент формы;

- расстояние между осями шин, м;

- ударный ток трехфазного короткого
замыкания, А.
Коэффициент формы равняется 1 при
условии
где 
- расстояние между осями шин, мм;

- размеры поперечного сечения шины,
мм.
Принимаем коэффициент формы, равный
1.
По формуле (3.33)
Момент сопротивления шины
относительно оси, перпендикулярно действию усилия, определяется по формуле
По формуле (3.32)
Полученное значение подставляется в
условие (3.31)
Условие выполняется, шины выбраны
верно.
Выбор изоляторов 110 кВ. В открытых
распределительных устройствах ошиновка крепится на опорных и подвесных
изоляторах. Для крепления шин в распределительном устройстве 110 кВ ПУЭ
рекомендует использовать изолятор ПМ - 4,5 в количестве 8 штук. Это условие
принимается.
Таблица 7 - Характеристики изолятора
ПМ - 4,5
|
Тип
изолятора
|
Количество
в гирлянде, шт
|
Длина
гирлянды, м
|
Вес
гирлянды, кг
|
|
ПМ
- 4,5
|
8
|
1,2
|
31
|
где П - подвесной
М - малогабаритный
,5 - радиус тарелки изолятора
Опорный изолятор выбирается по условиям
где 
- напряжение установки, кВ, (на
шинах);

- номинальное напряжение изолятора,
кВ;

- расчетная сила, действующая на
изолятор, Н;

- допустимая нагрузка на головку
изолятора, Н;
Сила, действующая на изолятор
определяется по формуле
где 
- поправочный коэффициент при
расположении шины на ребро, так как расчет производится для шин, расположенных
плашмя, он не учитывается;

- расстояние между изоляторами, м;

- расстояние между шинами разных
фаз, м;
Принимается изолятор ИОСК - 6/110 - II,
где И - изолятор;
О - опорный;
С - стержневой;
К - с защитной оболочкой из
кремнийорганической резины.
Таблица 8 - Характеристики изолятора
ИОСК - 6/110 - II
|
Номинальное
напряжение, кВ
|
Механическое
разрушающее усилие, кН
|
Высота,
мм
|
Длина
изоляционной части, мм
|
|
110
|
6
|
1050
|
912
|
Допустимая нагрузка на головку изолятора
определяется по формуле
где 
- разрушающая нагрузка на изолятор.
Полученные значения подставляются в
условия (3.37), (3.38)
Условия выполняются, изолятор выбран
верно.
Выбор изоляторов 35 кВ. ПУЭ
рекомендует использовать подвесной изолятор ПС - 4,5 в количестве 4 штук.
Принимается подвесной изолятор ПМ - 4,5.
Таблица 9 - Характеристики изолятора
ПМ - 4,5
|
Тип
изолятора
|
Количество
в гирлянде, шт
|
Длина
гирлянды, м
|
Вес
гирлянды, кг
|
|
ПМ
- 4,5
|
4
|
0,7
|
16
|
где П - подвесной
С - стеклянный
,5 - радиус тарелки изолятора
Опорный изолятор выбирается по условиям (3.37),
(3.38)
По формуле (3.39)
Принимается изолятор ИОСК - 8/35-I
Таблица 10 - Характеристики изолятора ИОСК -
8/35-I
|
Номинальное
напряжение, кВ
|
Механическое
разрушающее усилие, кН
|
Высота,
мм
|
Длина
изоляционной части, мм
|
|
35
|
8
|
475
|
359
|
По формуле (3.40)
Полученные значения подставляются в условия
(3.37), (3.38)
Условия выполняются, изолятор выбран верно.
Проходной изолятор выбирается по условиям
(3.37), (3.38), а также учитывая условие
Расчетная нагрузка определяется по формуле
Принимается изолятор ИП - 35/630-7,5 УХЛ1.
Таблица 11 - Характеристики изолятора ИП -
35/630-7,5 УХЛ1
|
Номинальное
напряжение, кВ
|
Номинальный
ток, А
|
Разрушающая
нагрузка, кН
|
|
35
|
630
|
7,5
|
Полученные значения подставляются в условия
(3.37), (3.38), (3.39)
Условия выполняются, изолятор выбран верно.
Выбор изоляторов 10 кВ.
Опорный изолятор выбирается по условиям (3.37),
(3.38)
По формуле (3.39)
Принимается изолятор ИОСП - 8/10-I
где И - изолятор;
О - опорный;
С - стержневой;
П - полимерный.
Таблица 12 - Характеристики изолятора ИОСП -
8/10-I
|
Номинальное
напряжение, кВ
|
Механическое
разрушающее усилие, кН
|
Высота,
мм
|
Длина
изоляционной части, мм
|
|
10
|
8
|
190
|
91
|
По формуле (3.40)
Полученные значения подставляются в условия
(3.37), (3.38)
Проходной изолятор выбирается по условиям
(3.37), (3.38), (3.41)
По формуле (3.42)
Принимается изолятор ИП - 10/630-7,5 У1
Таблица 13 - Характеристики изолятора ИП -
10/630-7,5 У1
|
Номинальное
напряжение, кВ
|
Номинальный
ток, А
|
Разрушающая
нагрузка, кН
|
|
10
|
630
|
7,5
|
Полученные значения подставляются в условия
(3.37), (3.38), (3.39)
Условия выполняются, изолятор выбран верно.
Выбор выключателей и разъединителей. Выключатель
является основным аппаратом в электрических установках, он служит для
отключения и включения цепи в любых режимах: длительная нагрузка, перегрузка,
короткое замыкание, холостой ход, несинхронная работа.
К
выключателям высокого напряжения предъявляют следующие требования:) надежное
отключение любых токов;) быстродействие;) пригодность для быстродействующего
автоматического повторного включения;) возможность пофазного управления
для выключателей 110 кВ и выше;) легкость ревизии и осмотра контактов;) взрыво
и пожаробезопасность;) удобство транспортировки и эксплуатации.
Выключатели
выбираются исходя из следующих условий;
где 
- установившееся напряжение;

- номинальное напряжение
выключателя;

- рабочий максимальный ток;

- номинальный ток выключателя;

- начальное значение периодической
составляющей тока короткого замыкания;

- номинальный ток отключения
выключателя;

- действующее значение предельного
сквозного тока короткого замыкания;

- амплитудное значение предельного
сквозного тока короткого замыкания;

- тепловой импульс;

- предельный ток термической
устойчивости;

- длительность протекания тока
термической устойчивости.
Разъединители играют важную роль в
схемах электроустановок, от надежности их работы зависит надежность работы всей
электроустановки, поэтому к ним предъявляют следующие требования:
a) создание
видимого разрыва в воздухе, электрическая прочность которого соответствует
максимальному импульсному напряжению;) электродинамическая и термическая
стойкость при протекании токов короткого замыкания;) исключение
самопроизвольных отключений;) четкое включение и отключение при наихудших
условиях работы.
Разъединители
выбираются исходя из следующих условий:
Выбор
выключателей и разъединителей представлен в таблицах 15, 16, 17.
Выбираем
выключатель и разъединитель 110 кВ.
Исходя
из ранее рассчитанных данных выбираем вакуумный выключатель ВБЭ - 110 - 20У3 и
разъединитель РГ - 110/1000УХЛ1.
Таблица
14 - Выбор выключателя и разъединителя 110 кВ.
|
Условие
выбора
|
Расчетные
данные
|
Каталожные
данные
|
|
|
Выключатель
|
разъединитель
|
|
|
|
|
|
|
|
|
|
|
|
|
|
|
-
|
|
|
|
|
-
|
|
|
|
|
|
|
|
|
|
-
|
Действующее значение предельного
сквозного тока короткого замыкания вычисляется по формуле (
принято 30%).
Все условия выполнены, выключатель и
разъединитель выбраны верно.
Выбираем выключатель и разъединитель
35 кВ.
Исходя из ранее рассчитанных данных
выбираем вакуумный выключатель ВБН - 35 - II - 20УХЛ1 и
разъединитель РГ - 35/1000УХЛ1.
Таблица 15 - Выбор выключателя и
разъединителя 35 кВ
|
Условие
выбора
|
Расчетные
данные
|
Каталожные
данные
|
|
|
Выключатель
|
разъединитель
|
|
|
|
|
|
|
|
|
|
|
|
|
|
|
-
|
|
|
|
|
-
|
|
|
|
|
|
|
|
|
|
-
|
Действующее значение предельного
сквозного тока короткого замыкания вычисляется по формуле (
принято 30%).
Все условия выполнены, выключатель и
разъединитель выбраны верно.
Выбираем выключатель и разъединитель
10 кВ.
Исходя из ранее рассчитанных данных
выбираем вакуумный выключатель ВР10 -10 - 40 и разъединитель РВ.
Таблица 16 - Выбор выключателя и
разъединителя 10 кВ.
|
Условие
выбора
|
Расчетные
данные
|
Каталожные
данные
|
|
|
Выключатель
|
разъединитель
|
|
|
|
|
|
|
|

|
|
|
|
|
|
-
|
|
|
|
|
-
|
|
|
|
|
|
|
|
|
|
-
|
Действующее значение предельного
сквозного тока короткого замыкания вычисляется по формуле (
принято 30%).
Все условия выполнены, выключатель и
разъединитель выбраны верно.
Достоинствами вакуумных выключателей
являются:
- отсутствие
необходимости в замене и пополнении масла;
высокая износостойкость
при отключении как номинальных токов, так и токов КЗ;
простота эксплуатации,
снижение эксплуатационных затрат;
бесшумность, чистота,
удобство обслуживания, обусловленные отсутствием внешних эффектов и выделений
при отключении токов КЗ;
сравнительно малые
габариты и масса выключателей, небольшие динамические воздействия на
конструкции при работе;
легкая замена вакуумной
дугогасительной камеры (ВДК) и ее произвольное положение при конструировании
выключателя;
высокое быстродействие
выключателя;
отсутствие загрязнения
окружающей среды.
Выбор трансформаторов
тока. Трансформаторы тока предназначены для уменьшения вторичного тока до
значений, наиболее удобных для измерительных приборов и реле, а так же для
отделения цепей измерения и защиты от первичных цепей высокого напряжения.
Токовые цепи измерительных приборов и реле имеет малое сопротивление, поэтому
трансформатор тока нормально работает в режиме, близком к режиму короткого
замыкания.
Выбор трансформаторов
тока представлен в таблице 18.
Таблица 17 - Выбор
трансформаторов тока.
|
Тип
|
Номинальное напряжение, кВ
|
Номинальный ток, кА
|
Ток стойкости, кА
|
Время термической стойкости
|
Нагрузка измерительной обмотки, ВА
|
|
|
Первичный
|
вторичный
|
электродинамической
|
термической
|
|
|
|
TG - 145 У
|
110
|
500
|
5
|
80
|
31,5
|
1
|
20
|
|
ТФЗМ35 - У1
|
35
|
400
|
5
|
70
|
31
|
3
|
30
|
|
ТВЛМ - У3
|
10
|
400
|
5
|
20,5
|
52
|
3
|
15
|
где Т - трансформатор тока;
G - c газовой изоляцией;
Ф - фарфоровая "рубашка";
З - конструктивно первичная и
вторичная обмотки напоминают два звена цепи;
М - бумажно-масляная изоляция;
В - для внутренней установки;
Л - литая изоляция.
Выбор трансформаторов
напряжения. Трансформаторы напряжения предназначены для понижения высокого
напряжения до стандартного напряжения 100 или 
Ви для отделения цепей
измерения и релейной защиты от первичных цепей релейной защиты. По конструкции
различают трехфазные и однофазные трансформаторы.
Трехфазные
трансформаторы напряжения применяются при напряжении до 18 кВ, однофазные - на
любые напряжения. По типу изоляции трансформаторы могут быть сухими, масляными
и с литой изоляцией. Выбор трансформаторов напряжения представлен в таблице 18.
Таблица 18 - Выбор
трансформаторов напряжения.
|
Тип
|
Номинальное
напряжение обмотки
|
Номинальная
мощность, ВА, в классе точности.
|
Максимальная
мощность, ВА
|
|
первичной,
кВ
|
основной,
В
|
Дополнительной,
В
|
0,2
|
0,5
|
1
|
3
|
|
|
НКФ
- 110 - 83
|
|
|
100
|
-
|
400
|
600
|
1200
|
2000
|
|
НАМИ
- 35 - У1
|
35
|
100
|
100
|
-
|
360
|
500
|
1200
|
-
|
|
НОЛ
- 11 - 10
|
10
|
100
|
-
|
-
|
-
|
150
|
250
|
630
|
где Н - трансформатор напряжения;
К - каскадное исполнение обмоток;
Ф - фарфоровая "рубашка";
А - антирезонантный;
М - маслянная изоляция;
О - однофазный;
Л - литая изоляция.
Выбор предохранителей. Предохранитель - это
коммутационный электрический аппарат, предназначенный для отключения защищаемой
цепи разрушением специально предусмотренных для этого токоведущих частей под
действием тока, превышающего определенное значение. В большинстве
предохранителей отключение цепи происходит за счет расплавления плавкой
вставки, которая нагревается протекающим через нее током защищаемой цепи. После
отключения цепи необходимо заменить перегоревшую вставку на исправную. Эта
операция производится вручную или автоматически заменой всего предохранителя.
Предохранители характеризуются номинальным током
плавкой вставки, т. е. током, на который рассчитана плавкая вставка для
длительной работы.
Выбор комплектного распределительного устройства
КРУ.
На стороне 10 кВ принимается схема с одиночной
секционированной выключателя системой шин, выполненной ячейками двустороннего
обслуживания со средним расположением выкатного элемента типа «Классика» в
модульном контейнере.
Комплектные распределительные устройства
«Классика» (далее КРУ) серии D--12P предназначены для приема и распределения
электрической энергии трехфазного переменного тока частотой 50 и 60 Гц напряжением
10 кВ.
а) КРУ серии D-12P применяются в качестве
распределительных устройств напряжением 10 кВ трансформаторных подстанций
110/35/10 кВ, 110/10 кВ. 35/10 кВ и 10/0.4 кВ. а также в распределительных
пунктах. КРУ серии D-12P предназначены для работы внутри помещений.
КРУ могут устанавливаться в контейнерах,
оборудованных системой обогрева и вентиляции.
КРУ серии D-12P комплектуется из отдельных
шкафов, в каждом из которых размещается аппаратура одного присоединения к
сборным шинам,
С целью обеспечения безопасности при
возникновении электрической дуги шкафы с выдвижными элементами разделены
металлическими перегородками на четыре отсека:
а) отсек сборных шин
б) отсек выдвижного элемента;
в) отсек присоединений;
г) отсек вспомогательных цепей.
Отсеки выдвижного элемента, присоединений и
вспомогательных пеней с фасадной стороны шкафа имеют двери со специальными
замками.
Таблица 19 - Характеристика КРУ серии D
- 12P.
|
Номинальное
напряжение, кВ
|
Номинальный
ток сборных шин, А
|
Номинальный
ток главных цепей,, А
|
Ток
электродинамической стойкости, кА
|
Ток
термической стойкости, кА
|
Время
протекания тока термической стойкости, с
|
Габаритные
размеры, мм
|
Масса,
кг
|
|
|
|
|
|
|
Ширина
|
Глубина
|
Высота
|
|
|
10
|
630
|
630
|
125
|
31,5
|
1
|
750
|
1300
|
2150
|
540
|
.6 Выбор типа конструкции распределительных
устройств
Распределительное устройство 110 кВ выполнено в
открытом исполнении. Схема электрических соединений представляет мостик с
выключателями в цепях трансформаторов и ремонтной перемычкой со стороны
трансформаторов.
Открытое распределительное устройство (ОРУ)
обеспечивает безопасность и удобство обслуживания при минимальных затратах на
сооружение, максимальное применение крупноблочных узлов заводского
изготовления.
Все аппараты ОРУ располагаются на невысоких
основаниях (металлических или железобетонных). По территории ОРУ
предусматриваются проезды для возможности монтажа и ремонта оборудования.
Гибкие шины крепятся с помощью подвесных изоляторов на порталах.
Под силовыми трансформаторами предусматривается
маслоприемник, укладывается слой гравия толщиной не менее 25 см, и масло
стекает в аварийных ситуациях в маслосборники. Кабели оперативных цепей, цепей
управления, релейной защиты, автоматики и воздухопроводы прокладываются в
лотках из железобетонных конструкций без заглубления в почву.
ОРУ должно быть ограждено.
Особенностью ОРУ 110 кВ является блочно -
модульное исполнение, что позволяет развивать типовые схемы главных цепей без
доработки конструкции без изменения существующих привязок строительной части,
путем замены или добавления необходимых блоков.
Блоки
поставляются ОАО Самарский завод "Электрощит", который производит
комплектные распределительные подстанции типа "КТПБ". Достоинствами
"КТПБ" являются:) модульность конструкции позволяет уменьшить
занимаемую подстанцией площадь по сравнению с вариантом размещения на отдельно
стоящих опорах, следовательно, уменьшается стоимость строительных работ по
подготовке площадки;) блочно - модульная конструкция обладает большей
жесткостью против опрокидывания, чем оборудование на отдельно стоящих опорах;) конструкции
адаптированы к установке любого типа оборудования российского и зарубежного;) конструкцией
предусмотрены проезды для безопасного обслуживания и ремонта ячеек;) позволяет
осуществить расширение ОРУ путем добавления типовых модулей и блоков без
доработки конструкции и без изменения существующих привязок строительной части.
Выбор
типа и конструкции распределительного устройства 35 кВ. Схема электрических
соединений представлена одной рабочей секционированной системой шин.
Конструкция
распределительного устройства выполнена в закрытом исполнении. Закрытое
распределительное устройства (ЗРУ) обеспечивает удобство обслуживания при любых
погодных условиях. Неизолированные токоведущие части во избежание случайных
прикосновений к ним должны быть помещены в камеры или ограждены. Из помещений
ЗРУ предусматриваются выходы наружу или в помещения с несгораемыми стенами и
перекрытиями. ЗРУ должно обеспечивать пожарную безопасность.
Полы
помещений РУ рекомендуется выполнять по всей площади каждого этажа на одной
отметке. Конструкция полов должна исключать возможность образования цементной
пыли. Устройство порогов в дверях между отдельными помещениями и в коридорах не
допускается. Двери из РУ должны открываться в направлении других помещений или
наружу и иметь самозапирающиеся замки, открываемые без ключа со стороны РУ.
Трансформаторы
напряжения не зависимо от массы масла в них допускается устанавливать в
огражденных камерах РУ. При этом в камере должен быть предусмотрен порог или
пандус, рассчитанный на удержание полного объема масла, содержащегося в
трансформаторе напряжения.
Помещения
РУ, содержащие оборудование, заполненное маслом, элегазом или компаундом,
должны быть оборудованы вытяжной вентиляцией, включаемой извне и не связанной с
другими вентиляционными устройствами.
Конструкция
ЗРУ - 35 кВ, так же как и ОРУ - 110 кВ, составляется из модулей
"КТПБ".
Выбор
типа и конструкции распределительного устройства 10 кВ.
На
стороне 10 кВ принимается схема с одиночной секционированной выключателя
системой шин, выполненной ячейками двустороннего обслуживания со средним
расположением выкатного элемента типа «Классика» в модульном контейнере.
Комплектные
распределительные устройства «Классика» (далее КРУ) серии D-12P предназначены
для приема и распределения электрической энергии трехфазного переменного тока
частотой 50 и 60 Гц напряжением 10 кВ.
а)
КРУ серии D-12P применяются в качестве распределительных устройств напряжением
10 кВ трансформаторных подстанций 110/35/10 кВ, 110/10 кВ. 35/10 кВ и 10/0.4
кВ. а также в распределительных пунктах. КРУ серии D-12P предназначены для
работы внутри помещений.
КРУ
могут устанавливаться в контейнерах, оборудованных системой обогрева и
вентиляции.
КРУ
серии D-12P комплектуется из отдельных шкафов, в каждом из которых размещается
аппаратура одного присоединения к сборным шинам,
С
целью обеспечения безопасности при возникновении электрической дуги шкафы с
выдвижными элементами разделены металлическими перегородками на четыре отсека:
а)
отсек сборных шин
б)
отсек выдвижного элемента;
в)
отсек присоединений;
г)
отсек вспомогательных цепей.
Отсеки
выдвижного элемента, присоединений и вспомогательных пеней с фасадной стороны
шкафа имеют двери со специальными замками.
В
шкафах двухстороннего обслуживания с задней стороны шкафа имеются дополнительные
двери, обеспечивающие доступ в отсек присоединений.
Конструктивно
шкаф ячейки состоит из четырех отсеков:
1) Отсек
сборных шин
2) В
отсеке располагаются плоские, цилиндрические или профилированные шины проходные
изоляторы, а также клапаны сброса избыточного давления с концевыми
выключателями.
3) Отсек
выдвижного элемента
В
отсеке, помимо кассетного выдвижного элемента (КВЭ), располагаются подвижные
металлические шторки, автоматически закрывающиеся при перемещении КВЭ из
рабочего в контрольное положение, съемная металлическая перегородка,
обеспечивающая доступ в верхнюю часть отсека присоединений, клапан сброса
избыточного давления с концевым выключателем, нагревательный элемент и лампа
освещения.
КВЭ
с выключателями, контакторами, секционными разъединителями и трансформаторами
напряжения позволяют легко обслуживать и ремонтировать это оборудование в
процессе эксплуатации.
Вспомогательные
цепи КВЭ выведены на штепсельный разъем.
Правильное
и безопасное перемещение КВЭ из одного положения, в другое обеспечивают
различные блокировки.
В
ремонтном положении КВЭ располагается на инвентарной тележке-подъемнике
входящей в комплект поставки КРУ.
3) Отсек
присоединений
В
отсеке располагаются заземлитель с ручным приводом, трансформаторы ток
трансформатор тока нулевой последовательности, концевые заделки кабелей, клапан
сброса избыточного давления с концевым выключателем, нагревательный элемент и
лампа освещения
4) Отсек
вспомогательных цепей
В
отсеке располагаются блок управления выключателя BB/TEL микропроцессорные
устройства защиты, управления и автоматики на базе терминалов «ЭКРА», приборы
контроля и учета электроэнергии клеймные ряды зажимов и другая аппаратура
вспомогательных цепей.
На
фасад отсека вынесены блоки индикации и управления микропроцессорными устройствами
защиты и автоматики, мнемосхема, кнопки управления и аппаратура местной
сигнализации.
Полная
безопасность эксплуатации КРУ серии D-12P обеспечивается конструктивными
решениями, простотой и наглядностью коммутационных операций а также продуманно
системой оперативных блокировок.
К
конструктивным решениям, обеспечивающим безопасность эксплуатации относятся:
а)
наличие металлических перегородок между отсеками шкафов, позволяющих
локализовать дугу в пределах одного отсека;
б)
применение систем дуговой защиты с аварийными клапанами сброса давления
концевыми выключателями или оптической дуговой защиты;
в)
размещение на фасаде шкафов индикаторов наличия напряжения на токоведущих
частях отсека присоединений с возможностью фразировки кабелей.
Простота
и наглядность коммутационных операций обеспечивается:
а)
возможностью визуального контроля положения коммутационных аппаратов;
б)
наличием на фасадах шкафов мнемосхем, отражающих положения КВЭ контактов
выключателей, разъединителей и заземлителей.
Система
блокировок предотвращает неправильные действия: персонала при производстве
оперативных переключений.
В
КРУ серии D-12P стандартно предусмотрены следующие механические блокировки:
а)
блокировка, препятствующая включению выключателя при нахождении КВЭ
промежуточном положении;
б)
блокировка, препятствующая перемещению КВЭ при включенном выключателе;
в)
блокировка, фиксирующая КВЭ в рабочем и контрольном положениях;
г)
блокировка, препятствующая перемещению КВЭ при включенном заземлителе;
д)
блокировка, препятствующая операциям с заземлителем при нахождении КВЭ рабочем
или промежуточном положениях;
е)
блокировка, препятствующая изменению положения контактов заземлителя при
внешних воздействиях (вибрации);
ж)
блокировка, препятствующая открытию шторок в контрольном и ремонтном положениях
КВЭ.
2.7
Выбор рода оперативного тока
На
подстанциях 110 кВ и выше ПУЭ рекомендует использовать постоянный оперативный
ток. Питание производится от необслуживаемых аккумуляторных батарей (АКБ) со
сроком службы не менее 15 - 18 лет и современными системами диагностики.
Выбор
электронагревательных устройств, светильников, электродвигателей вентиляции и
электропроводок для основных и вспомогательных помещений аккумуляторных
батарей, а так же установка и монтаж указанного электрооборудования должны
производится в соответствии с требованиями ПУЭ гл. 7.3. Для зарядных и под
зарядных двигателей-генераторов предусматривается устройства их отключения при
появлении обратного тока. Выпрямительные установки, применяемые для заряда и
подзарядка аккумуляторных батарей, должны присоединяться со стороны переменного
тока через разделительный трансформатор.
Шины
постоянного тока должны быть оснащены устройством для постоянного контроля
изоляции, позволяющим оценивать значение сопротивления изоляции и действующим
на сигнал при снижении сопротивления изоляции.
.8
Расчет заземляющего устройства
С
целью защиты обслуживающего персонала все металлические части электроустановок,
нормально не находящиеся под напряжением должны быть заземлены. Это заземление
называется защитным.
Защитному
заземлению обязательно подлежат:) корпуса электрических машин,
трансформаторов, аппаратов;) вторичные обмотки измерительных
трансформаторов;) приводы электрических аппаратов;) каркасы
распределительных щитов, пультов, шкафов;) металлические конструкции
распределительных устройств;) металлические корпуса кабельных муфт,
металлические оболочки и броня кабелей;) металлические конструкции,
связанные с установкой электрооборудования.
Для
создания нормальных условий работы аппаратов или электроустановок предназначено
рабочее заземление. К нему относится заземление нейтралей трансформаторов,
заземление дугогасительных катушек, разрядников, молниеотводов, нулевых точек
первичных обмоток трансформаторов напряжения.
Без
рабочего заземления аппарат не может выполнить свои функции или нарушается
режим работы электроустановки.
Для
выполнения заземления используются естественные и искусственные заземлители. В
качестве естественных заземлителей применятся водопроводные трубы, оболочки
кабелей, фундаменты и металлические части зданий, фундаменты опор, надежно
соединенные с землей. В качестве искусственных заземлителей применяются
металлические стержни, уголки, полосы, шпунты, погруженные в почву для
надежного контакта с землей.
Количество
заземлителей определяется расчетом в зависимости от необходимого сопротивления
заземляющего устройства согласно ПУЭ.