Проверка возможностей нейтронного спектрального анализа для контроля содержания и изотопного состава урана разного обогащения

  • Вид работы:
    Дипломная (ВКР)
  • Предмет:
    Физика
  • Язык:
    Русский
    ,
    Формат файла:
    MS Word
    907,34 Кб
  • Опубликовано:
    2015-07-16
Вы можете узнать стоимость помощи в написании студенческой работы.
Помощь в написании работы, которую точно примут!

Проверка возможностей нейтронного спектрального анализа для контроля содержания и изотопного состава урана разного обогащения

Введение


В ряду актуальных задач науки и техники важную роль играет разработка аналитических методик определения содержания элементов. Требуется обеспечить возможность ответить на вопрос, какие вещества присутствуют в анализируемом объекте, и в каком количестве. Необходимо, чтобы методика была по возможности универсальной (применимой ко всем элементам) и обеспечивала бы приемлемую точность. Кроме того, существенным оказывается диапазон измеримого содержания и оперативность методики, а также сохраняется ли анализируемый объект после проведения анализа.

В данной дипломной работе рассматриваются возможности достаточно новой методики - нейтронного спектрального анализа - для определения содержания урана и его изотопного состава.

Нейтронный спектральный анализ (НСА) основан на пропускании нейтронов через исследуемый образец. Наличие ярко выраженных резонансов в полном нейтронном сечении большинства изотопов (за исключением водорода) делает метод практически универсальным. Получаемая информация здесь относится даже не к элементам, а к изотопам, что резко повышает эффективность методики в случаях, когда соотношение изотопов может отличаться от природного.

Неразрушающий характер методики существенен как применительно к ценным пробам (драгоценности, уникальные изделия, внеземные образцы), так и в случае исследования объектов с высокой радиоактивностью (отработавшее ядерное топливо). Преимущество данной методики состоит в том, что она измеряет именно количество вещества, а не его радиоактивность. Из-за удаления детектора на метры от исследуемого объекта НСА нечувствителен не только к относительно небольшой активности ядерного материала критических сборок, но и к высокой активности отработавшего ядерного топлива транспортных и энергетических реакторов.

К ограничениям методики следует отнести необходимость затрат на создание времяпролётного спектрометра медленных нейтронов с достаточно мощным импульсным источником нейтронов на основе реактора или ускорителя и не слишком приемлемую оперативность (спектры надо набирать 1-3 часа).

Цель дипломной работы - проверка возможностей НСА для контроля содержания и изотопного состава урана разного обогащения. Были предоставлены спектры резонансного пропускания нейтронов, измеренные ранее для группы образцов урана разного обогащения на времяпролётном спектрометре при ускорителе электронов - микротроне МИ-30 критического стенда БФС ФЭИ. Необходимо было проанализировать 17 спектров, измерявшихся в разное время для образцов, различающихся по форме, толщине, химическому соединению и изотопному составу , оценить содержание урана в исследовавшемся образце и его изотопный состав и сопоставить полученые результата с паспортными данными.

Особое внимание в работе уделяется проблеме регенерированного урана и нахождению содержания изотопа U236.

Задачи:

1)      Изучение спектров пропускания резонансных нейтронов проб урана различного обогащения.

2)      Изучение устройства и работы времяпролетного спектрометра на основе ускорителя электронов.

)        Освоение работы математических программ.

)        Анализ содержания изотопов по площадям резонансных провалов в измеренных спектрах

)        Определение содержания U236 в пробах

)        Оценка содержания изотопа в исследовавшихся образцах

)        Подтверждение процентного изотопного состава образцов урана различного обогащения

1. Общая часть


1.1 Перспективы ядерной энергетики


Перспективы использования ядерной энергии в качестве одного из основных направлений развития энерготехнологий будущего весьма привлекательны для России. Для этого в стране есть все необходимые условия: ресурсы, технологический опыт и возможность удовлетворить требования общества к надежности энергоблоков, экологической безопасности и экономической эффективности.

Ядерная энергетика, обеспеченная на многие десятилетия топливными ресурсами для уже освоенных технологий, при малой стоимости транспорта топлива, может стабилизировать энергетику XXI века на экологически безопасной основе.

При этом российская ядерная энергетика имеет значительные резервы для своего роста: ресурсы урана и промышленная инфраструктура; частично построенные блоки АЭС суммарной мощностью около 10 ГВт, достройка которых потребует весьма умеренных капитальных вложений; резервы атомного машиностроения, позволяющие, в частности, вести сооружение за рубежом 5 энергоблоков АЭС.

С учетом этих резервов были разработаны сценарии ядерно-энергетического развития до 2020 г. Согласно этим сценариям, в максимальном варианте установленные мощности АЭС в России могут быть доведены к 2020 г. до уровня более 40 ГВт (э) с энерговыработкой около 350 млрд кВт.ч.

Россия сформировала свою стратегию развития атомной энергетики в первой половине XXI века, основами которой является двойное увеличение объема вырабатываемой энергии и формирование замкнутого ядерного топливного цикла. В результате должны обеспечиваться более полное использование природных и образующихся при работе ядерных реакторов делящихся материалов и минимизация количества радиоактивных отходов. Одной из главных проблем мировой ядерной энергетики является возможность переключения делящихся ядерных материалов для создания ядерных взрывных устройств (ЯВУ). В первую очередь, речь идет о риске переключения плутония, накапливаемого в реакторах, для создания ЯВУ. Эта проблема вызывает оправданную обеспокоенность общественности. Причем степень озабоченности настолько высока, что проблема возможного неконтролируемого распространения делящихся материалов может рассматриваться как одно из главных препятствий на пути дальнейшего развития мировой ядерной энергетики. Естественным путем решения этой проблемы является развитие ядерного топливного цикла с минимальной возможностью неконтролируемого распространения делящихся материалов.

Ежегодная потребность современной атомной энергетики России в природном уране составляет 2800-3300 т, а с учетом экспортных поставок ядерного топлива ~ 6000-7700 т. При имеющихся ресурсах урана (залежи в недрах, складские запасы на горнодобывающих предприятиях, запасы высокообогащённого урана) срок функционирования отечественной атомной энергетики на тепловых реакторах, если оставаться на уровне мощности - 20 ГВт (эл.), составляет ~ 80-90 лет. Замыкание топливного цикла тепловых реакторов с вовлечением энергетического плутония и регенерированного урана продлит этот срок на 10-20 лет в зависимости от способа изготовления регенерированного топлива.

Имеющиеся мировые и российские запасы природного урана не могут обеспечить устойчивого долговременного развития атомной энергетики на тепловых реакторах.

Развитие атомной энергетики в два этапа предполагает длительное сосуществование тепловых реакторов на 235U, пока есть дешёвый уран, и быстрых реакторов, которые вводятся на плутонии из оружейных запасов и из тепловых реакторов и практически не имеют ограничений по топливным ресурсам.

В двухкомпонентной структуре целесообразен постепенный переход тепловых реакторов на выгодный для них Th-U цикл с производством 233U для начальной загрузки и подпитки из Th-бланкетов быстрых реакторов. Двухкомпонентная структура атомной энергетики будущего имеет под собой веские основания, но важный для неё вопрос о пропорциях между быстрыми и тепловыми реакторами требует адекватного решения.

В предстоящие полвека, пока есть дешевый уран для тепловых реакторов, этот вопрос не имеет принципиального значения. Плутоний, получаемый в тепловых реакторах, целесообразно использовать для запуска быстрых реакторов, не требуя от них высоких коэффициентов воспроизводства и коротких времён удвоения плутония.

Проблема вовлечения регенерированного урана в ЯТЦ всегда стояла перед атомной энергетикой России, поскольку с момента ее создания одной из важнейших задач было создание и развитие замкнутого топливного цикла. В настоящее время в России реализована схема замкнутого цикла только для регенерированного урана (РТ, REPU - международная аббревиатура), извлеченного из ОЯТ реакторов ВВЭР 440. При этом ежегодно в мире из энергетических реакторов выгружается ~10,5 тыс. т. тяжелого металла (т.м.) облученных ТВС, который направляется на хранение. На начало 2002 г. всего выгружено порядка 230÷240 тыс. тонн ОЯТ, из них переработано менее 80 тыс. тонн.

ОЯТ является ценным энергетическим сырьем, поскольку содержащиеся в нем уран и плутоний могут быть извлечены и повторно использованы для изготовления ядерного топлива. Так как в отработавшем топливе исходный уран израсходован всего лишь на 3% от первоначальной массы. Радиохимические технологии позволяют выделить его (регенерировать) для повторного использования. Более 95% урана после переработки может быть возвращено в ядерный топливный цикл.

Вместе с тем, уран, полученный в результате переработки ОЯТ энергетических реакторов, по изотопному составу отличается от природного урана. При этом он обладает более высокой радиоактивностью, которая вызвана присутствием радионуклидов, образовавшихся в процессе делении

Практика добавления регенерированного урана (получившая распространение в нашей стране уже более двадцати лет), привела к заметному повышению его активности. В отличии от остального мира, российский уран часто стал пятиизотопным, и часть его радиоактивности вызвана наличием в нем регенерированной составляющей. При формировании исходного ЯМ к свежему (рудному) урану добавлялось некоторое количество «несгоревшего» урана (который содержит новые изотопы U232 и U236, образовавшиеся в нем за счет облучения) выделенного химическим путем из отработавших ТВЭЛов энергетических установок. Химическая очистка не могла- да и не ставила целью- устранить эти новые изотопы (нужно было «дожечь» уран 235), поэтому его удельная активность выше, чем у исходного. Очень важно при анализе спектров урана обратить особое внимание на следы U236.

Повышение концентрации вредного изотопа уран-236 приводит к повышению паразитного захвата нейтронов в ядерном реакторе и, в свою очередь, требует повышения концентрации делящегося изотопа уран-235, что ухудшает экономические показатели ядерного реактора (атомной электростанции).
 При многократном вовлечении выгоревшего ядерного топлива в эксплуатацию в ядерном реакторе (при многократной регенерации) концентрация вредных изотопов уран-232, уран-234 и уран-236 в выгоревшем ядерном топливе постоянно возрастает по сравнению с начальной концентрацией. В конце концов (практически уже на 3-м цикле), повторное использование выгоревшего ядерного топлива в ядерном реакторе становится невозможным из-за высокой концентрации вредных изотопов, в основном из-за изотопа уран-236. Поэтому очень важно знать содержание U236 в ядерном топливе.

1.2 Принципы государственного учета и контроля ядерных материалов


На предприятиях ядерно-топливного цикла (ЯТЦ) создана система Аналитического контроля (АК) самых разнообразных материалов и продуктов, начиная от исходных сырьевых и кончая готовыми изделиями и радиоактивными отходами. Основные цели аналитического контроля:

успешное проведение и соблюдение регламента технологических процессов

контроль качества и сертификация готовой продукции

учет и контроль (ЯМ)

обеспечение ядерной и радиационной безопасности

На различных стадиях ЯТЦ (выделение урана из руд, обогащение урана, производство ядерного топлива,получение оружейных материалов, переработка отработавшего топлива, переработка отходов) применяется большой арсенал методов и средств разрушающего и неразрушающего контроля, которые обеспечивают выполнение поставленных задач.

Целью создания систем учета и контроля, в широком смысле, является нераспространение ядерных материалов путем их строгого учета.

Основные принципы государственного учета и контроля ядерных материалов:

1.      Ядерные материалы должны подлежать государственному учету и контролю, начиная с минимального количества, установленного Правилами.

2.      Ядерные материалы должны классифицироваться по категориям в целях обеспечения дифференцированного подхода к определению процедур и методов учета и контроля.

.        Эксплуатирующие организации должны устанавливать зону баланса материала (ЗБМ) в пределах ядерной установки или пункта хранения ядерных материалов.

.        В каждой ЗБМ должны быть определены ключевые точки измерения (КТИ) ядерных материалов.

.        К ядерным материалам применяются средства контроля доступа (СКД), подтверждающие достоверность предыдущих измерений количественных характеристик и атрибутивных признаков ядерных материалов.

.        Учет ядерных материалов должен основываться на результатах измерений количественных характеристик ядерных материалов.

.        Массы ядерных материалов в продуктах, находящихся в ядерном
реакторе, в целях учета принимаются неизменными с момента загрузки в
реактор до момента выгрузки облученных продуктов из реактора.

.        Для определения фактически наличного количества ядерных материалов в ЗБМ должны проводиться физические инвентаризации. В процессе физических инвентаризаций ядерных материалов выполняются проверки данных учета, атрибутивных признаков, измерения количественных характеристик ядерных материалов. По завершении физической инвентаризации должен подводиться баланс ядерных материалов, определяться ИР и их погрешности в ЗБМ для каждого ядерного материала.

.        Выводы о недостаче (излишке) ядерных материалов, об отсутствии аномалий в учете и контроле ядерных материалов должны делаться на основании результатов определения фактически наличного количества ядерных материалов, а также путем сравнения полученной величины инвентаризационной разницы (ИР) с ее допустимой величиной для каждой ЗБМ.

.        Устанавливается единая система отчетности для всех уровней государственного учета и контроля ядерных материалов.

.        Исправление учетных данных допускается только путем
внесения новой записи в учетные документы с сохранением ошибочно сделанной записи.

.        Исправление отчетных данных допускается только путем
представления новых отчетных документов.

2. Материалы и методы


2.1    Неразрушающий контроль ядерных материалов

Организации и производства, относящиеся к атомной промышленности, имеют широкую номенклатуру ядерных материалов (ЯМ). Ядерные материалы требуют тщательного учета и контроля. Измерение количества ЯМ, производимое в ФЭИ в рамках работы по учету и контролю ЯМ, производятся обычно в 2 этапа. Сначала проверяемую учетную единицу взвешивают, оценивают количество U, а затем определяют его изотопный состав, чтобы проверить и сопоставить с имеющимися данными количества изотопа U235 в данной учетной единице.

Определение изотопного состава урана можно провести двумя способами: разрушив образец и без его разрушения. Разрушающий способ более точен, но он очень часто является неприемлемым, т.к. при этом уничтожается сам образец. Неразрушающими называют методы, при использовании которых анализируемый материал сохраняется в неизменном виде. Отдельные неразрушающие методы требуют изменения физической формы анализируемого материала, например, разрезания, измельчения, прессования, что обусловлено аппаратурными ограничениями и необходимостью стандартизации условий измерения.

Для неразрушающего контроля используется главным образом ядерно-физические методы, основанные на регистрации собственного гамма, рентгеновского и нейтронного излучения (пассивные методы) и индуцированного излучения (активные методы). Из спектрометрических методов наиболее широко используются: рентгенофлюоресцентный, у-спектрометрический, а-спектрометрический, нейтронометрический и активационные методы.

Неразрушающие методы контроля и учета приобретают в настоящее время все большее значение. Так, например, по оценкам МАГАТЭ , только в год из ядерных энергетических реакторов во всем мире извлекается 10,5 тыс. т ОЯТ. В нем содержится около 75 т плутония. По прогнозам, ежегодные показатели производства плутония останутся приблизительно такими же до 2010 года. К этому времени совокупное количество плутония в ОЯТ возрастет примерно до 1700 т. Накопление большого количества плутония является большой проблемой для государства в виду возможности несанкционированного использования его в целях создания если не ядерного боезаряда, то как минимум "грязной" бомбы. Переработка его в МОХ топливо тоже сопряжено с рядом проблем. МОХ топливо можно эффективно использовать в энергетике, но в тоже время необходимо более серьёзно организовывать учет и контроль использования.

декабря 2000 года депутаты Государственной Думы Российской Федерации подавляющим большинством голосов одобрили поправку к статье 50 закона об охране окружающей среды, что сделало возможным ввоз в страну из-за рубежа отработавшего ядерного топлива. Вследствие этого есть возможность того, что на территории нашей страны будет ввозится ОЯТ не только на переработку. Следовательно, неразрушающий контроль изотопного состава и идентификации образцов может перейти на новую ступень, более востребованную.

 

.2 Нейтронный спектральный анализ


Нейтронный спектрометрический анализ (НСА) - это анализ детальных спектров пропускания медленных нейтронов через исследуемый образец с привлечением энергетических зависимостей полного нейтронного сечения. Положение и выраженность резонансов в полном сечении настолько индивидуальны, что однозначно характеризуют изотоп. Поэтому спектр нейтронов, пропущенных через исследуемый объект, несет в себе информацию о его изотопном составе. Эта информация кроется в изменении формы спектра: наличие выраженных резонансов в энергетической зависимости полного нейтронного сечения практически всех изотопов приводит к появлению провалов в спектрах нейтронов. Их положение позволяет распознать изотоп, а выраженность (форма и площадь) - определить его количество. Узость резонансов и широкий диапазон измерения спектра позволяют выявлять и измерять содержание одновременно до нескольких десятков изотопов

НСА относится к активным методикам, поскольку требует организации внешнего воздействия на исследуемый объект. В случае контроля изотопного состава ЯМ сопоставление НСА с распространенными методиками гамма спектрометрии выявляет следующее. Основным преимуществом гамма методик является отсутствие необходимости внешнего воздействия - анализируется собственное излучение исследуемого объекта. Однако уже при небольшой активации ЯМ возникают значительные трудности анализа гамма спектров, поскольку естественная активность ЯМ относительно невелика по сравнению с появившимися осколками деления, линии которых становятся доминирующими. Это обстоятельство ставит под вопрос применимость методик, разработанных для свежих ЯМ, к анализу урана уже при сравнительно небольшом нейтронном воздействии на него.

НСА свободен как от влияния осколочной активности, так и от ограничений по изотопной чувствительности. В отличии от нейтронного активационного анализа, имеющего дело лишь с активируемыми изотопами, НСА универсален, поскольку резонансы в полном сечении имеются практически у всех изотопов. Кроме того, из за удаления детектора на значительное расстояние от исследуемого объекта, требуемого в методики времени пролета, НСА не чувствителен не только к относительно небольшой активности топлива критических сборок, но и к высокой активности отработавшего ЯМ энергетических реакторов. Для ЯМ критических сборок, где количество ядер-продуктов деления пренебрежимо мало, спектры пропускания нейтронов не отличаются от спектров свежих УЕ, поскольку интенсивности линий поглощения в нейтронных спектрах пропорциональны количеству соответствующих ядер. В тех же случаях, когда в осколки деления переходит ощутимая часть ЯМ (топливо энергетических реакторов), содержание осколков, имеющих сильные резонансы в полном сечении, также может быть найдено. Другим достоинством НСА является меньшее ослабление нейтронов и, соответственно, возможность контролировать более массивные УЕ (толщина около 2,5см двуокиси), чем в гамма-методиках, где слой половинного ослабления основной линии урана-238 с энергией 186кэВ для металлического урана составляет 0,4мм. Наконец, НСА позволяет измерять содержание долгоживущих изотопов, не испускающих гамма-излучения.

В данной работе нейтронный спектральный анализ (НСА) использован для проверки возможности контроля содержания и изотопного состава образцов урана ФЭИ разного обогащения. Периодически возникает необходимость проверить изотопный состав и содержание используемых ЯМ. Применение этой достаточно новой методики было вызвано необходимостью оперативности производимой проверки и стремлением избежать затрат дорогостоящего материала, к чему неизбежно вело применение разрушающих методик (например, масс-спектрометрии).

 

.3 Описание установки и её характеристики


Эксперимент проводился на времяпролетном спектрометре медленных нейтронов при микротроне МИ-30 комплекса БФС. Источником электронов является циклический ускоритель электронов микротрон МИ-30.

Его рабочие параметры:

энергия электронов 4МэВ-30МэВ

длительность вспышки 0,1-3мксек

частота следования вспышек 50Гц-3кГц

ток в импульсе 40 миллиампер

Пучок ускоренных электронов попадает на свинцовую мишень (2) и тормозится в ней. На мишени, в результате торможения, электрона в поле ядра свинца образуются гамма-кванты высоких энергий. Гамма - кванты возбуждают ядра свинца, которые при переходе в основное состояние испускают нейтроны. Для получения медленных нейтронов их необходимо замедлить. Для этого к свинцовой мишени был установлен замедлитель из полиэтиленового блока (3). Источником нейтронов является полиэтиленовый блок. Труба пролетной базы (6) ориентирована на полиэтиленовый блок. В конце трубы расположен детекторный блок (7) из гелиевых счетчиков включенных в пропорциональном режиме. При регистрации нейтронов происходит реакция Не3(n,p)Н3 с выделением энергии. Образующийся протон и гелион ионизируют газ чувствительного объема счетчика, что приводит к появлению скачка потенциала собирающего электрода, улавливаемого электронной аппаратурой измерительного комплекса (8). Энергия зарегистрированного нейтрона определяется по времени, прошедшему между стартом - вспышкой тока на мишени - и отсчетом в детекторе. Это время определяется номером и шириной канала временного анализатора с учетом времени задержки его запуска, вводимой для того, чтобы избежать перегрузки при регистрации вспышки быстрых нейтронов в начале аппаратурного спектра.

Обычно анализируются отсчеты, приходящиеся на времена пролета от 50 мксек до 2500 мксек, что для пролетной базы, равной 16 метров, соответствует энергиям 450эВ и 0,3эВ.

Спектр набирается при частых (до 1 кГц) запусках многоканального анализатора в течении нескольких часов. Фотонейтронный пучок прерывист по способу получения: электроны выводятся из микротрона импульсами.

Диапазон энергии 0.3<E<500 эВ в котором спектрометр наиболее эффективен, приходится на область резонансных нейтронов. Это позволяет наблюдать резонансы практически всех ядер, кроме легких. Блок схема экспериментальной установки приведена на рис.1

Рис. 1

Экспериментальная установка

Описание экспериментальной установки.

Измерения спектров нейтронов проводились по методу времени пролета. Этот метод работает, если есть импульсный источник нейтронов.

Принципиальные основы метода. Основные соотношения.

Энергию нейтрона можно легко найти, если известна его скорость, причем в области энергий до нескольких десятков мегаэлектронвольт вполне удовлетворительную точность расчета обеспечивает нерелятивистское соотношение E=mv2/2. В свою очередь, скорость нейтрона можно определить, измерив время пролета им некоторого фиксированного расстояния. Основанный на таком подходе метод измерения энергии нейтронов получил название метода времени пролета. В настоящее время этот метод широко применяется для измерения энергий не только нейтронов, но и некоторых других частиц.

Чтобы измерить время пролета нейтроном заданного отрезка, называемого обычно пролетной базой, необходимо точно зафиксировать моменты прохождения им начала и конца пути. Последний легко можно определить по появлению импульса в детекторе, расположенном на конце пролетной базы. Момент начала движения можно определить или по появлению импульса в установленном рядом с источником нейтронов детекторе от сопутствующей рождению нейтрона заряженной частицы, или по импульсу от протона отдачи в водородном счетчике, или по времени «вспышки» в импульсном источнике нейтронов. Каждый из этих методов имеет свои достоинства и недостатки. Так, метод с использованием водородного счетчика очень прост, однако изменение характеристик движения нейтрона при рассеянии и низкая эффективность водородного рассеивателя делают этот метод не очень удобным. Если нейтроны возникают при D(d, n)He3 - реакции, протекающей на мишени ускорителя, то момент вылета нейтрона можно фиксировать регистрацией ядра отдачи He3. В некоторых случаях одновременно с нейтроном возникают γ-кванты, которые также легко зарегистрировать расположенным рядом с мишенью счетчиком. Совершенно очевидно, что интенсивность выхода нейтронов во всех таких случаях не должна быть очень высокой, так как нейтрон должен успеть долететь до детектора и зарегистрироваться в нем до того, как первый детектор зафиксирует возникновение следующего нейтрона. Принципиально иной метод основан на применении импульсного источника нейтронов. В таком источнике нейтроны появляются только в течении коротких интервалов времени, разделенных гораздо более длительными периодами «молчания»T. Частоту следования нейтронных вспышек выбирают с таким расчетом, чтобы самые медленные нейтроны успевали долететь раньше, чем в него попадут быстрые нейтроны от следующей вспышки. В противном случае медленные нейтроны от предыдущих вспышек, называемые обычно рециклическими, приведут к появлению нежелательного фона, затрудняющего анализ получаемых результатов.

Одновременно с появлением нейтронной вспышки запускается временной анализатор, на который затем начинают поступать импульсы от детектора нейтронов. В зависимости от времени запаздывания импульсы детектора будут регистрироваться теми или иными каналами анализатора. Поэтому, определив в конце опыта количество импульсов, которое зарегистрировано каждым каналом, можно построить кривую распределения нейтронов по времени пролета, которую затем нетрудно пересчитать в распределение по энергиям, найдя тем самым энергетический спектр нейтронов источника. Связь между энергией E, скоростью v и временем t пролета нейтроном базы l выражается элементарными соотношениями:

E=mv2/2, v=l/t, E=ml2/2t2

Если выражать энергию в эВ, скорость - в м/сек, длину пролетной базы - в м и время пролета - в мксек, то эти и обратные им соотношения примут следующий вид, весьма удобный при проведении различных расчетов:

E=5.226*10-9*v2=5,226*l2/t2=106*l/t=1,383*104*E1/2=106*l/v=72.31/E1/2

Необходимо помнить, что большим значениям энергии нейтронов соответствуют меньшие значения времени пролета.

Для получения нейтронов использовалась фотоядерная реакция 82PbA( γ,n) 82PbA-1. Порог этой реакции около 15МэВ. Для получения таких жестких γ-квантов используется торможение электронов ускоренных до 27МэВ.

Появление нейтронов при облучении мишени пучком быстрых электронов возможно в результате двухэтапного процесса: образования тормозного γ-излучения и последующей генирации нейтронов в ( γ,n)-реакции. Как и в каждом неодноступенчатом процессе, число возникших нейтронов на несколько порядков меньше числа ускоренных электронов, попавшие в мишень. Современные ускорители электронов позволяют создать достаточно мощные источники нейтронов, которые широко применяются в установках для селекции нейтронов по времени пролета.

Характеристики первого этапа процесса - возникновения тормозного излучения. Быстрый электрон, проходя через вещество,в результате взаимодействия с ядрами изменяет направление движения, т.е. испытывает ускорение. При ускорении заряженной частицы неизбежно испускается электромагнитное излучение. Доля энергии, которая теряется электроном на излучение, называется тормозным, зависит от энергии электрона и вещества. Это означает, что при больших энергиях потери энергии электроном происходят за счет электромагнитного излучения (тормозного излучения) в электрическом поле ядер тормозящего вещества. Электрон движущийся с ускорением, излучает энергию, пропорциональную квадрату ускорения. В кулоновском поле ядер ускорение пропорционально заряду ядра и обратно пропорционально массе частицы. При прохождении электронов в веществе большое значение имеют упругие столкновения электронов с атомами. Это обусловлен, тем, что имея малую массу, они могут рассеиваться в электрическом поле атома на большие углы, пролетая на больших расстояниях от ядра. Спектр этого электромагнитного (тормозного) излучения возникающего при торможении быстрых электронов в веществе непрерывен и простирается от самых малых энергий (световые кванты) до максимальной энергии электрона. При поглощении γ-квантов ядрами последние оказываются в возбужденных состояниях. Если энергия возбуждения выше энергии связи протона или нейтрона в ядре, то возможна реакция с испусканием нейтрона (фотоядерные реакции).

Для ускорения электронов используется микротрон МИ - 30. Это циклический ускоритель, где разгоняемые электроны двигаются по круговым орбитам (движение электронов по круговым орбитам осуществляется под действием специально подобранного электромагнитного поля, создаваемое клисторным генератором) с постепенно увеличивающимся радиусом. В микротроне прирост энергии электрона за оборот равен 1 МэВ, т.е на каждой орбите их энергия увеличивается на 1 МэВ. На самой большой орбите (№27), электроны сбрасываются и летят по прямой трубе (электронвод) в соседнее помещение (мишенная камера). В мишенной камере на пути прерывистого пучка электронов стоит свинцовая мишень (свинцовый параллелепипед со сторонами 5*10*20 см, соответственно толщина, высота и длина). При торможении 27 МэВ электронов в свинце образуется непрерывный спектр γ-излучения с E от 0 до 27 МэВ. Жесткая часть тормозного спектра γ-квантов от 15 до 27МэВ (γ-кванты, у которых E выше пороговой 15 МэВ и до максимально 27 МэВ) и порождает нейтроны в фотоядерной реакции. Образуются нейтроны жесткого спектра со средней энергией около 2 МэВ. Число полезных γ-квантов с E>15 МэВ невелико, а остальные бесполезно разогревают мишень, которую приходиться охлаждать, применяется воздушное охлаждение (поступление воздуха из компрессора). Поскольку наша задача состоит в измерении спектров в резонансной области, то получаемые в свинцовой мишени жесткие нейтроны надо замедлить. Для этой цели рядом со свинцовой мишенью поставлен слой полиэтилена (CNH2N) толщиной 2,5см. Из этого слоя нейтроны выходят замедлившимися до нужных нам энергий (резонансных энергий) 0-300 эВ. Эти нейтроны летят во все стороны, часть из них летит в направлении нашего времяпролетного канала (труба в стене мишенной камеры длиной около 16,3м). В конце времяпролетной базы стоит детектор нейтронов. Детектор состоит из трех параллельно включенных счетчиков с гелиевым наполнением. Регистрация основывается на ядерной реакции He3(n,p)T.

Обычно гелий -3 используется в ионизационных камерах и счетчиках. Возможно также его применение в газовых сцинтилляционых счетчиках высокого давления. Химические свойства He3 как благородного газа позволяют легко очищать его от любых посторонних примесей, что обеспечивает высокое качество ионизационных детекторов, работающих на электронном собирании. Первоначально He3 был применен для целей нейтронной спектрометрии в цилиндрических пропорциональных счетчиках.

Эта реакция приводит к появлению импульса напряжения на счетчике, который усиливается, формируется, а потом засылается на временной анализатор. Временной анализатор является главным прибором спектрометра. Он определяет длительность времени от рождения нейтронов в замедлителе до его регистрации (счетчиком) детектором. Это и есть время пролета. Быстрые нейтроны прилетают первыми и регистрируются в первых каналах анализатора, а медленные в последних. Диапазон временной, в котором набирается спектр от 60-1100мкс. Так измерятся спектр открытого пучка (гладкие спектры), с формой спектра N(E)~1/E. При измерении пропускания исследуемый образец распологают на пути нейтронов в детектор и тогда детектор регистрирует только те нейтроны, которые прошли тонкий образец без взаимодействия. Поэтому гладкие спектры открытого пучка переходят в линейчатые спектры. Спектр за исследуемым образцами набирается при частых запусках многоканального анализатора в течении нескольких часов. В отличии от варианта с механическим прерывателем непрерывного пучка реакторных нейтронов, фотонейтронный пучок прерывист по способу получения: электроны выводятся из микротрона импульсами. При этом скважность (отношение длительности вспышки к промежутку времени между вспышками) составляет от десятых до сотых долей процента. Именно на эти три-четыре порядка отличается пиковая мощность во вспышке от среднего выхода нейтронов с мишени в единицу времени. В этом состоит более эффективное использование нейтронов по сравнению с непрерывным реакторным пучком. Между вспышками их нет; поэтому фон мал.

На следующем этапе из полученных спектров нужно получить резонансное пропускание для дальнейшего определения содержания образца. Измеренное пропускание T(E) в районе провала обрабатывается двумя способами, методом формы и методом площади, в зависимости от качества эксперимента: T(E)=*e-nσt(E)dE , где f(E,E')-функция разрешения.

Неопределенность в энергии, соответствующая данному времени пролета или временному каналу электронной регистрирующей схемы, обусловлена большим числом неопределенностей в измерении времени. Главным из них являются ширина временного канала электронной схемы, длина пути нейтрона в детекторе, время запаздывания импульса в детекторе, длительность нейтронного импульса и время замедления быстрых нейтронов. Сочетание всех перечисленных неопределенностей в измерении времени определяет функцию разрешения, а отношение полной ширины на половине высоты функции разрешения к длине пролетного расстояния дает разрешение Δt в мксек/м.

Это говорит о том, что в тех случаях, когда функция разрешения узкая, то качество эксперимента по пропусканию определяется степенью монохромотизации регистрируемых нейтронов ( степень выделения нейтронов данной энергии). В тех случаях, когда эта возможность высокая, то есть два нейтрона с близкими энергиями воспринимаются, как разные, говорят о высокой разрешающей способности установки (функция разрешения узкая), а в тех случаях, когда это не удается достичь (функция разрешения широкая), говорят о невысоком разрешении. Мерилом качества разрешения является отношение ширины функции разрешения (Δ) к ширине резонансов (Г).

Г-соответствующая ширина, определяющая вероятность испускания частицы из составного ядра. Полная ширина, Г есть сумма всех возможных парциальных ширин. Ширины представляют собой величины при энергии резонанса Е0 и, следовательно, являются постоянными.

Высокое разрешение Δ/Г порядка <1, плохое разрешение, когда>15. Высокое разрешение нужно для того, чтобы разделить резонансы один от другого. В большинстве случаев нам это удается, так как резонансы урана отставлены достаточно далеко друг от друга. В тех случаях, когда эксперимент проведен с достаточно высоким разрешением, измеренный провал мало искажается прибором, то есть инструментальное влияние невелико и можно анализировать форму измеренного провала. Это называется анализ формы пропускания. В данном эксперименте использован другой метод, который применяется тогда, когда разрешение невысокое. Когда Δ намного больше Г, то форма измеренного провала определяется аппаратурной функцией разрешения в большей степени, чем самим резонансом. Однако если провалы хорошо разделены - отстоят далеко по энергии друг от друга, то площадь его при измерении с низким разрешением такая же, как при измерениях с высоким разрешением, то есть площадь не зависит от разрешения. Это обстоятельство позволяет нам приравнивать площадь с измеренным низким разрешением с расчетом этой же величины - площади, выполненной по файлу полного сечения в предположении отсутствия влияния разрешения (бесконечно высокое разрешение). То есть метод площадей, есть способ анализа нейтронного спектра. И, как было сказано выше, он позволяет связать измеренную площадь с характеристиками образца использованного в измерении пропускания нейтронов. Разберем подробнее метод площадей.

Суть «метода площадей» заключается в подборе значения содержания, таким образом, чтобы значение экспериментальной и расчетной площади резонансного пропускания нейтронов совпали. Площадь экспериментального пропускания определяется по формуле:

Sэксп=Σ((1-Ti)+(1-Ti+1))*(Ei+1-Ei)/2

где Ti- экспериментальное пропускание,

(Ei+1-Ei) - энергетическая цена канала (шаг энергии в файле ядерных данных)

Σ - знак суммирования по каналам i

Площадь расчетного пропускания определяется формулой:

Sрас=Σ(Ti+Ti+1)* (Ei+1-Ei)/2=exp(-σt*n0),

где σt-полное сечение всех процессов, выводящих нейтрон из первичного пучка,

n0-число ядер в 1 см2

К основному недостатку «метода площадей» относится невозможность определения площади в перекрывающихся линиях. Пример: в пробах предложенных на анализ наблюдается перекрывание линий некоторых изотопов. В таких случаях «метод площадей» невозможно применить и такие линии нужно просто исключить. Либо нужно использовать метод «расщепления», он рассмотрен ниже.

Из рассмотренного выше можно сделать вывод, что определение содержания изотопов в образцы осуществляется путем подбора такого его значения, при котором расчетное теоретического пропускания (Tрас) в области провала имеет то же значение площади, что и экспериментальное. При этом используется предположение о независимости площади провала от разрешения, что выполняется для достаточно изолированных линий.

2.4 Программное обеспечение


При обработке результатов измерений использовалась ЭВМ типа IBM РС. Реализованные в ней программные средства включают в себя:

. Программа FIL.

Данная программа позволяет визуально обрабатывать аппаратурный спектр нейтронов для приблизительной оценки нахождения провалов и линейных участков спектра.

FIL. Масштаб: min x = 1x = 4096

min y = 0y = 65535

После нажатия клавиши [F3] появляется на мониторе экран, в котором:

Читать из файла:

первый канал чтения 1

последний канал чтения

первый канал памяти 1

После того как назвали имя файла, из которого надо читать, на графике n(имп.)=f(N кан.) появляется (рисуется) спектр (имя которого написали). В дальнейшем с ним работают, изменяя масштаб, что позволяет получать более точные результаты./X-выход, [F1]-помощь, [Enter]-ввод, [Esc]-отмена.

. Программа OTNO

Позволяет произвести деление одного спектра на другой, то есть проведя верхнюю составляющую аппаратурного спектра рассчитать эксперементальное пропускание для нейтронов каждой энергии присутствующей в спектре

OTNO. Запрашивает:name 1name 2

3. Программа LOR

Данная программа позволяет определить энергию нейтронов в провалах, также определяется задержка, номер канала, пролетная база.. Что необходимо посчитать:

Энергию (1), номер канала (2), пролетную базу (3), задержку (4).

(1)

*tау 1:

**Задержка:

Пролетная база:

Номер канала:

Энергия = …

*tay-ширина канала;

**При работе на импульсном источнике излучения в момент вспышки, детектор выдает такое большое количество импульсов, что счетная аппаратура может перегружаться. Для того, что бы этого избежать временной анализатор, то есть устройство измеряющее момент появления сигнала в детекторе, через некоторое время после вспышки-это время называется задержкой (Z). Оно должно быть учтено при расчете времени пролета (Nкан.*tay+Z)

. Программа areaex.

Позволяет рассчитать площадь резонансного пропускания нейтронов через образец.

Аreaex. Запрашивает:save???

ответ:

. Программа PLOCHR.

Позволяет определить содержание изотопа путем сравнения экспериментальной площади из программы с расчетной площадью полученной из файлов ядерных данных.. Запрашивает:

*имя исходного файла?

имя файла для результатов?

начальная энергия?

конечная энергия?

начальная толщина?

конечная толщина?

шаг изменения толщины?

экспериментальная площадь?

количество точек в эксперименте?

* название файла, в зависимости полного нейтронного сечения данного изотопа от энергии.

.Программа NABSUM

Позволяет определить погрешность полученной площади и окончательного содержания.. Запрашивает:

*имя исходного файла?

Начало провала?

Конец провала?

И в самом конце выдает окончательный результат. После нетрудных вычислений получаем искомую погрешность.

3. Опробование НСА в задаче контроля содержания и изотопного состава урана


3.1 Физическая постановка задачи


Необходимо проверить возможность контроля изотопного состава образцов урана ФЭИ разного обогащения. Путем нейтронного спектрального анализа определить содержание изотопов в 17 образцах урана с разным изотопным обогащением. Особое внимание в работе уделяется проблеме регенерированного урана и нахождению содержания изотопа U236.

Для определения количественного содержания изотопов использован метод площадей. Для этого вначале работы мне были предоставлены данные по энергетическому ходу полного сечения 4 изотопов урана (U234, U235, U236, U238). Графики этих зависимостей показаны на рисунках (П1-П4). Кроме того, имелась таблица TAU, в которой собраны сведения о положении и силе линий (резонансов) каждого из этих четырех изотопов при энергиях ниже 50 эВ (табл. П1). Из нее видно, что четные изотопы имеют редкие сильные резонансы, а нечетные U235 - гораздо более плотный набор менее выраженных пиков.

Кроме того, были предоставлены измеренные ранее спектры экспериментального резонансного пропускания урана. Они были получены при «просвечивании» узким пучком нейтронов блочков БФС и стержней реальной критической сборки (ТВЭЛ) имеющих различную форму и обогащения. Образцы имели различную толщину (табл 1 паспортные данные)

Таблица 1. Характеристика урановых образцов 10-3 (атом/барн)

В данной работе рассматриваются пробы 5%, 20%, 36%, 90%обогащения и так же природная смесь изотопов урана. Спектры данных образцов имеют следующие названия:

% обогащение- pinur5

% обогащение- pinur20, pin26, pin38, pin2126

% обогащение- r555otn, r557otn r606otn, s926otn

% обогащение- S925otn, S927otn, r431otn, r439otn S925otn r580otn, r580otn.

Нейтронно спектральный метод неразрушающего контроля основан на измерении спектра пропускания нейтронов через исследуемый образец в резонансной области энергий.

Пропускание T(E)=(exp(-сσrez(E)))dE

нейтронный спектральный анализа уран

где f(E)-функция разрешения, с-толщина образца, σrez(E)-полное сечение. Значение площади не зависит от функции разрешения. Это сильная сторона метода обработки, потому что функция разрешения всегда известна плохо. Поэтому в дальнейших расчетах функция разрешения игнорировалась и пропускание считалось без нее. Для анализа спектров с относительно небольшим числом неперекрывающихся линий оказался эффективен метод площадей. Его преимущества кроется в нечувствительности к энергетическому разрешению и в большой точности - используются все точки, описывающие провал в пропускании, одновременно. Кроме того, вместо обычного пропускания, использующего полное сечение (формула выше) в работе используется резонансное пропускание. Взаимодействие нейтронов между резонансами исключается. По оцененным в ЦЯД зависимостям полного сечения изотопов при варьировании толщины слоя изотопа подбирается такое значение содержания изотопа, которое дает значение площади провала, совпадающее с экспериментальным.

Так же при анализе спектров был использован метод расщепления. Суть данного метода в достоверном описании провала после расщепления наложившихся линий. Переход от метода площадей к методу расщепления линий и обратно применялся в этой работе во многих спектрах для определения единственной линии урана-236 в толстых образцах. В тонких перекрывания не было.

3.2 Порядок обработки спектров


В качестве рабочих линий используются ярковыраженные провалы в аппаратурных спектрах.

Так как все спектры обрабатывались по аналогичной схеме, приводится подробный расчет для одного из спектров - одного провала в этом спектре. Например, приведем пример обработки провала с энергией нейтронов 2,028 эВ в спектре S926e тонкого образца 36% обогащения.

При "просвечивании" исследуемых образцов в спектре прошедших нейтронов образуются провалы (Рис.2). По оси абсцисс откладывается номер канала, по оси ординат - количество отчетов. Положение этих провалов характеризует изотоп, а форма и площадь - его содержание.

Передо мной была поставлена задача: по форме спектра и площади провала определить содержание изотопа.

На следующем этапе из спектра (S926e) нужно получить резонансное пропускание для дальнейшего определения содержания изотопа.

Получение резонансного пропускания:

а) Необходимо сделать поправку на фон, то есть провести нижнюю (фоновую) огибающую спектра и вычесть её из спектра за образцом;

Нижняя (фоновая) огибающая спектра проводится через два или более участка: один из них - хвост спектра, другой - наиболее сильный из провалов. В некоторых случаях достаточно одного участка - дна самого "глубокого" провала. Для того, чтобы провести нижнюю (фоновую) огибающую обращаемся к программе POLINOM, в которой надо указать границы выбранных участков или участка. Результатом работы программы является файл с проведённой фоновой прямой. Далее необходимо фон из спектра за образцом вычесть из исходного спектра. Для этого используется программа VICH, которая вычитает спектр из другого спектра, т.е. из спектра за образцом вычитается фоновая прямая

Рисунок 2. Спектр нейтронов прошедших через образец (S926e)

б) провести верхнюю огибающую (потолок) по правому и левому верхним плечам провала.

Рисунок 3. Разметка границ участков для проведения потолка

Рисунок 4. Проведённый потолок

Рисунок 5.Совместный график

При проведения верхней огибающей (потолка) берутся два горизонтальных участка спектра (плечи) слева и справа от провала (рис. 3). Вновь обратимся к POLINOM, где укажем границы этих участков. В итоге получим верхнюю огибающую (рис. 4). Наглядно, как проходит «потолок» через спектр можно увидеть на рис. 5.

в) рассчитать экспериментальное пропускание путём деления спектра на верхнюю огибающую;

Используя программу OTNO, делим файл, содержащий спектр (рис.3), на файл, содержащий потолок (рис.4). В результате чего получаем файл резонансного пропускания нейтронов через образец U-235 (название файла S926eotn). Далее исследуемый спектр можно посмотреть в программе FIL. По оси абсцисс откладывается номер канала , по оси ординат пропускание (рис.6).

Рисунок 6. Изображение исследуемого спектра в программе FIL

Положение провалов однозначно характеризует изотоп, а выраженность (форма или площадь)-его количество. Поэтому следующим этапом в работе была энергетическая калибровка спектра, то есть в каком канале, какая энергия нейтронов и расшифровка спектров, определение изотопной принадлежности линии. Для этого по программе Lor (с помощью визуального просмотра, программа fil) во всех спектрах были найдены энергии нейтронов с наиболее выраженными провалами, то есть в каком канале, какая энергия нейтронов. После чего проводилась расшифровка спектров. Была определенна изотопная принадлежность линии. Это производилось с помощью таблицы характеристик линий изотопов урана, где указана энергия линии, сечение в максимуме (барн), ширина линии (мэВ) изотопа, в зависимости от изотопов урана, то есть какая энергия принадлежит какому изотопу U (Табл. П1). После чего зная уже точные энергии нейтронов в максимуме каналов провала, можно сказать какому изотопу принадлежит он.

На следующем этапе работы предстоит выбрать из всех имеющихся линий-изолированные друг от друга (для дальнейшей их обработки методом площадей). Одна из таких изолированных линий представлена на рис. 6

Для последующих вычислений нужно найти начало и конец провала. Из данного графика видно, что начало провала, находится примерно в 325 канале, а конец провала в 405 канале. Далее производим энергетическую калибровку спектра, то есть, определяем в каком канале, находится какая энергия. После по программе LOR, зная уже номер канала провала, узнаем принадлежащую данному каналу энергию.: 1

Задержка-14,02

Пролетная база-16,388

Номер канала-366

Энергия 2,030

По таблице П1 смотрим, к какой энергии ближе всего подходит найденная. Вывод: в канале 366 лежит энергия 2,028 эВ. По этой же таблице узнаем изотопную принадлежность линии с энергией нейтронов в ней 2,028 эВ. В данном случае линия принадлежит изотопу U-235.

На следующем этапе выясняем, достаточно ли линия изолирована от других. Данная линия, с энергией 2,028 эв, изолирована от линий других энергий.

Для определения площади резонансного пропускания применялась программа areaex.

Происходит следующий ввод данных.

1)   имя файла пропускания спектра S926eotn

2)   номер каналов подлежащих обработке

nn-32505

S=4.456 абсолютная площадь резонансного пропускания

Далее эту площадь надо перевести в электрон-вольт. Для этого нужно определить цену канала, то есть нужно взять две соседние точки в этом провале и определить разницу их энергий. После чего данную разницу нужно умножить на полученную ранее площадь по areaex.

∆e=Ei-Ei+1, или

∆e=(Enн-Enк)/Nточек

где, Nточек-число точек между начальным и конечным каналом.

Энергетическая цена канала, для энергии 2,028эв, равна 0,08 эВ/канал

Производим умножение энергетической цены канала на абсолютное значение площади резонансного пропускания:

Sэксп.,эВ=Sэксп.,кан.*∆e=4,456*0,08=0,356эВ

Для дальнейшего нахождения содержания изотопов применяется программа PLOSHR.(эта программа позволяет определить содержание изотопа путем сравнения экспериментальной площади из программы с расчетной площадью полученной из файлов ядерных данных)

Осуществляется ввод данных:

имя исходного файла? U235

имя файла для результатов? U5pl*

начальная энергия? 1,89**

конечная энергия? 2,26

начальная толщина? 0,000126***

шаг изменения толщины? 0,0000126****

экспериментальная площадь? 0,356

количество точек в эксперименте? 80*****

* В процессе работы некоторые названия файлов были переименованы, для удобного обращения с ними.

**Начальная и конечная энергия находились по программе LOR, для начала провала в канале 425(E=1,89ев) и для конца провала в канале 458(E=2,26эв).

***Начальная толщина находится для каждой линии по формуле

t0=0,1*(-lnTmin/σmax)=0,1*(-ln0,18/1250)=0,000126

где σmax-сечение в максимуме(барн)

****Шаг изменения толщины=t0/10

*****405-325=80 разница между конечным и начальным каналом, которые были найдены ранее из графика.

Толщина t0=0,00725(атом/барн) и Sрасч,эВ=0,342эв находится в файле U5pl, Если войти в файл U5pl, то увидим зависимость площади от толщины.

Следующий этап это определение погрешностей полученных нами значений.

При помощи программы NABSUM посчитаем площадь провала (Рис.7)

путём вычитания из площади под верхней огибающей провала (Рис.8)

площади под провалом (Рис.9).

Рис. 7                               Рис. 8                               Рис. 9

Найдем содержание, которое соответствует «недосчитанной» площади S2; обозначим его t2. Найдем величину недосчета площади S2 до площади S1, пПосчитанной в Areaex. Затем найдём содержание, соответствующее S1- - t3.

Рис. 10 Определение действительного содержания

Из Рис. 10 видно, что погрешность содержания -∆t равна t1-t3,а итоговый результат: t±∆t

Окончательный результат будет: t=0,00732± 0,00028(атом/барн) и находиться в файле U5pl.

Обработка остальных провалов в спектрах происходит по аналогичной методике.

Определение содержания каждого изотопа в образце. Неравноточные измерения.

При проведении расчетов, в которых использовались данные из различных спектров, причем измерения могли быть проведены в различных условиях, с разными погрешностями, разными авторами использовались взвешенные усредненные оценки. В общем случае при подобных неравноточных измерениях дисперсии распределений в различных сериях отличаются друг от друга и для нахождения требуемых значений вводились весовые коэффиценты или веса измерений, обратно пропорциональные дисперсиям входящих в сумирование компанент.

На практике часто встречаются результаты неравноточных измерений некоторой величины х, когда имеется набор средних значений хср*i (при i=1,2,3,...,пи), полученных с различной точностью. Средние значения хср*i были найдены в каждой i-й серии по результатам ni измерений величин хij (j=1,2,3,..:, ni):

хср.i=1/nΣxij

Рассматриваемые серии измерений могли быть проведены в различных условиях, при разных погрешностях, при использовании отличающихся методик. В общем случае при неравноточных измерениях дисперсии распределений в различных сериях отличаются друг от друга.

Для нахождения оценки величины х0 необходимо знать так называемые весовые коэффициенты или веса рi значений Хср.i для каждой серии измерений. Коэффициенты рi показывают степень доверия к результату xi каждой серии измерений. Чем меньше разброс измеренных в серии значений хij, тем меньше σi, следовательно точнее хср.i и больше вес этого значения. Веса неравноточных измерений обратно пропорциональны их дисперсиям σ2xi Чем больше σ2xi, тем менее точно произведена оценка величины х0, меньше величина рi, и надёжность результата. Если веса рi значений хср.i известны, то все необходимые величины могут быть рассчитаны по формулам :

хср.= σ

xср.=1/pΣ рi хср.i .

3.3 Расчет содержания изотопа в исследовавшихся образцах.


Для анализа и возможностей НСА в работу были включены спектры пропускания, полученные при «просветке» нейтронами блочков БФС в направлении вдоль оси. Имелось 7 блочков различной толщины: 4 тонких (S925otn, S927otn, r431otn, r439otn) и 3 более толстых образца (S924otn, r580otn, r580otn) 90% обогащения.

На примере рассмотрим один спектр S927otn тонкого образца. На рисунке 12 показано резонансное пропускание спектра s927otn до энергии 7,08эВ, а на рисунке 13 выше 7,08эВ. Из первой половины спектра (рис. 12) мы можем наблюдать 9 провалов, из которых шесть принадлежат линии U235 и по одной U238( Е=6,67эВ), U236 (Е=5,45эВ), U234 (Е=5,16эВ). Из этого графика видно, что триплет имеет изолированные провалы. Совсем по другому ведет себя линия U238 (Е=6,67эВ), по краям которой имеются провалы, принадлежащие U235 при энергиях 6,39эВ и 7,08эВ из-за наложения линий друг на друга. Поэтому чтобы достоверно посчитать содержание изотопов на этом участке, приходилось переходить от метода площадей к методу «расщепления» (рассмотрено в разделе 3.4). На рисунке 13 показано резонансное пропускание спектра s927otn при энергиях выше 7,08эВ. Из рисунка 13 видно большое количество провалов U235 и всего два относящихся к U238 при энергии 21эВ и 36,71эВ. Так же многие линии являются мультиплетами (все линии относятся к U235), поэтому для простоты вычислений обработка велась как для нижних по энергии синглетов (участок 15,40-16,68эВ и 33,52-35,18эВ). Выше 41,87эВ мы не можем подняться из за сильного перекрывания линий.

Рассмотрим более подробно как ведут себя провалы в тонких и толстых образцах. На рисунке 11 показан участок совместного графика толстого и тонкого образца. Более жирная штриховая линия относится к спектру s924otn (толстый образец), более тонкая -к спектру s927otn.

Рисунок 11. Пропускание спектра S927otn и S924otn

Из рисунка 11 можно заметить, что у толстого образца более сильные линии, обладающие более выраженными провалами по отношению к тонкому образцу. Особенно это заметно при энергии Е=5,45эВ (U236) и E=6,67эВ(U238). Но возникает проблема наложения линий, которые для применимости метода площадей пришлось «расщеплять». Поэтому в толстых образцах приходилось применять метод «расщепления» при нахождении содержания триплета (рассмотрено в разделе 3.4). А для определения содержания по линии U238 нужно было «срезать» налогающиеся на нее пики, принадлежащие U235. Можно отметить, что перекрывание линий при возрастании энергии для тонких образцов менее существенно, чем для толстых. Это связано с уширением линий для толстых образцов, для которых при нашей обработке невозможно подняться выше 21эВ. Это приводит к более худшим результатам по линии U238, так как нет возможности определить содержание при энергии 36,71эВ (U238). Ниже приводятся результаты обработки по каждому спектру в отдельности.

Таблица 2. Результаты обработки спектра S927otn



Рисунок 12. Пропускание спектра S927otn

Рисунок 13. Пропускание спектра S927otn

Таблица 3. Результаты обработки спектра S925otn


Таблица 4. Результаты обработки спектра r431otn


Таблица 5. Результаты обработки спектра r439otn


Таблица 6. Результаты обработки спектра r582otn

Таблица 7. Результаты обработки спектра r580otn


Таблица 8. Результаты обработки спектра S924otn


Из таблиц видно, что наиболее крупные размеры имел образец S924otn. Как и предполагалось большинство обработанных провалов в спектрах имеют тонкие образцы, что дает возможность определить содержания U238 при E=36,71, а в спектре S925otn при E=66,03эВ. В результате усреднения всех данных мы получим абсолютное содержание отдельного изотопа в образцах дисков и затем процентный изотопный состав.

Таблица 9 Итоговое содержание изотопов (в 10ˉ4 атом/барн) в тонких блочках БФС при обогащении 90%

Изотоп

Проба s925otn (обогащение 90%)

Проба s927otn (обогащение 90%)

Проба r431otn (обогащение 90%)

Проба r439otn (обогащение 90%)


t±∆t(атом/барн) *10ˉ4

t±∆t(атом/барн) *10ˉ4

t±∆t(атом/барн) *10ˉ4

t±∆t(атом/барн) *10ˉ4

U234

0,156±0,008

0,214±0,013

0,23±0,02

0,19±0,02

U235

17,94±0,63

17,33±0,58

16,35±1,17

15,82±0,53

U236

0,053±0,004

0,075±0,009

0,048±0,005

0,065±0,004

U238

2,13±0,08

2,11±0,09

1,95±0,08

1,94±0,09


Таблица 10 Итоговое содержание изотопов (в 10ˉ4 атом/барн) в толстых блочках БФС с обогащением 90%

Изотоп

Проба s924otn (обогащение 90%)

Проба r582otn (обогащение 90%)

Проба r580otn (обогащение 90%)


t±∆t(атом/барн) *10ˉ3

t±∆t(атом/барн) *10ˉ4

t±∆t(атом/барн) *10ˉ4

U234

0,189±0,009

0,45±0,04

0,52±0,04

U235

18,48±0,62

47,33±3,55

53,23±3,34

U236

0,237±0,013

0,32±0,03

0,36±0,03

U238

1,98±0,07

7,54±0,55

7,63±0,62


Таблица 11 Изотопный состав тонких блочков БФС с обогащением 90%

Изотоп

Проба s925otn (обогащение 90%)

Проба s927otn (обогащение 90%)

Проба r431otn (обогащение 90%)

Проба r439otn (обогащение 90%)


δ±∆δ%

δ±∆δ%

δ±∆δ%

δ±∆δ%

U234

0,77±0,03

0,86±0,04

1,23±0,08

1,07±0,06

U235

89,16±2,84

87,85±2,16

87,84±3,74

89,02±2,12

U236

0,26±0,01

0,21±0,02

0,25±0,01

0,19±0,02

U238

9,79±0,56

10,66±0,39

9,96±0,36


Таблица 12 Изотопный состав толстых блочков БФС с обогащением 90%

Изотоп

Проба s924otn (обогащение 90%)

Проба r582otn (обогащение 90%)

Проба r580otn (обогащение 90%)


δ±∆δ%

δ±∆δ%

δ±∆δ%

U234

0,97±0,03

0,82±0,05

0,84±0,05

U235

88,17±3,68

85,05±5,32

86,22±4,82

U236

1,22±0,04

0,57±0,03

0,58±0,03

U238

9,63±0,47

13,55±0,72

12,36±0,56


В обработку также были включены тонкие образцы (r555otn, r557otn) и более толстые ( r606otn, s926otn) - 36% обогащения.

Разберем подробно один из предложенных выше спектров, полученных при просвечивание узким пучком нейтронов плоского образца. На рисунке 14 показано резонансное пропускание спектра s926otn до энергии 6,67эВ, а на втором рисунке 15 выше 6,67эВ. Из первой половины спектра мы можем наблюдать 7 провалов. Помимо большого количества изолированных линий U235 хорошо видны линии U234 (Е=5,16эВ) и U236 (E=5,45эВ). И так же весомый провал U238 (E=6,67эВ), по краям которого видны небольшие «сережки» принадлежащие U235 (E=6,39эВ и E=7,08эВ) из за перекрывания линий. Если посмотреть на поведение сечения U235 и U238, то можно увидеть как ведут себя резонансы в данных энергиях. Видно, что на краях резонанса U238 справа и слева имеются небольшие пики, принадлежащие U235. Это приводит к тому, что при резонансном пропускании наблюдается «искажение» провала по обе стороны крыльев. Поэтому содержание, полученное при предположении, что это линия лишь U238 будет иметь ложное значение и существенную погрешность.

Таблица 13. Результаты обработки спектра s926otn


Таблица 14. Результаты обработки спектра r606otn

Для того, чтобы этого избежать, нужно срезать данные «изломы» и уже после искать содержание U238.

В данном спектре триплет имеет ярко выраженные провалы, но «потолок» его немного не дотягивает до единицы, что может внести существенное влияние при определении содержания U236. Как и при 90% обогащении приходилось переходить от метода площадей к методу «расщепления» (раздел 3.4). На рисунке 15 показано резонансное пропускание спектра s926otn выше 6,67эВ. Из него мы можем наблюдать девять провалов U235 и всего один U238( E=21эВ). Все провалы достаточно изолированы, что дает возможность надежно измерить площадь провала. И хорошо определить содержание по каждому провалу в отдельности. Как и при 90% обогащении, при анализе спектров 36% обогащения было выявлено значительное число мультиплетов (все линии относятся к U235). Так же при сравнении спектров различного обогащения было замечено ряд особенностей. Если обратить внимание на поведение линии U238(E=6,67эВ) в спектре s926otn и на нее же в s927otn (раздел 3.3 рис. 12), то можно заметить, что при 36% обогащении провал U238 более выражен и имеет менее чувствительные пики U235. Это связано с меньшим количеством U235 в 36% образцах. Ниже приводятся результаты обработки по каждому спектру в отдельности.


Рисунок 14. Пропускание спектра S926otn

Рисунок 15. Пропускание спектра S926otn

Таблица 15. Результаты обработки спектра r555otn


Таблица 16. Результаты обработки спектра r557otn


В результате усреднения всех данных мы получим абсолютное содержание отдельного изотопа (табл. 17) во всем образце дисков и затем процентный изотопный состав (табл. 18). Полученные данные имеют хорошую точность и подтверждают 36% обогащение.

Таблица 17 Итоговое содержание изотопов (в 10ˉ3 атом/барн) в данных образцах дисков

Изотоп

Проба r555otn (обогащение 36%)

Проба r557otn (обогащение 36%)

Проба r606otn (обогащение 36%)

Проба s926otn (обогащение 36%)


t±∆t(атом/барн) *10ˉ3

t±∆t(атом/барн) *10ˉ3

t±∆t(атом/барн) *10ˉ3

t±∆t(атом/барн) *10ˉ3

U234

0,043±0,003

0,039±0,003

0,075±0,003

0,075±0,004

U235

3,48±0,16

3,52±0,12

7,73±0,35

7,26±0,26

U236

0,036±0,004

0,034±0,002

0,092±0,005

0,095±0,005

U238

6,27±0,36

6,21±0,11

14,22±0,95

12,95±0,23


Таблица 18 Процентный изотопный состав пробы дисков

Изотоп

Проба r555otn (обогащение 36%)

Проба r557otn (обогащение 36%)

Проба r606otn (обогащение 36%)

Проба s926otn (обогащение 36%)


δ±∆δ%

δ±∆δ%

δ±∆δ%

δ±∆δ%

U234

0,44±0,03

0,41±0,03

0,34±0,02

0,37±0,02

U235

35,41±1,77

35,91±1,37

34,96±2,36

35,62±1,26

U236

0,36±0,02

0,34±0,02

0,41±0,03

0,46±0,02

U238

63,79±3,32

63,36±2,25

64,29±4,58

63,54±2,15


В обработке имелись спектры пропускания, полученные при «просветке» сбоку (перпендикулярно оси) стержней реальной критической сборки. Применён узкий щелевой коллиматор нейтронного пучка - ширина щели вчетверо меньше, чем диаметр прижатого к ней стержня. Имелось четыре таких спектра - четыре для стержней с ураном 20% обогащения (pinur20, pin26, pin38, pin2126otn) и один спектр для стержня с обогащением 5% (pinur5). Различие обогащения определяет разное соотношение интенсивностей линий.

Остановимся подробнее на одном из спектров, полученных при просвечивание узким пучком нейтронов ТВЭЛа. На рисунке 16 показано резонансное пропускание спектра pinur20otn. Из графика можно видеть, что все сильные линии, взятые в анализ, достаточно изолированы, что дает возможность надежно измерить площадь провала. И хорошо определить содержание по каждому провалу в отдельности. Данный спектр имеет 5 линий U235 при энергиях равных (E=4,85эВ, E=8,79эВ, E=11,66эВ, E=12,39эВ, E=19,3эВ и E=23,4эВ), две линии U238 (E=6,67эВ, E=21эВ) и по одной U234(E=5,16эВ), U236(E=4,85эВ). В отличие от спектров pin26otn и pin38otn мы не можем подняться вверх по энергии выше E=23,4эВ (метод времени пролета лучше работает при малых энергиях). Происходит сильное перекрывание линий - наложение одного провала на другой. Это приводит к тому, что невозможно найти содержание для линии U238 при энергии Е=36,71эВ и Е=66,03эВ. Особое внимание при обработке результатов пришлось обратить на единственную линию U236. Так как происходит наложение двух практически совпадающих линий друг на друга, то нужно было убедиться, что данный провал принадлежит именно линии с энергией E=5,45эВ (U236), а не U235 при энергии E=5,48эВ. Хотя линия 5-го слабее ( можно убедиться посмотрев сечение при данных энергиях), но зато его содержание намного больше. А в показателе экспоненты в выражении для пропускания стоит произведение содержания на сечение. Для этого в начале пришлось найти содержание в предположении, что это провал принадлежит изотопу U235. Получившийся результат находится в файле pin20pl5 и имеет следующие значения t=((6,29±0,16)*10ˉ3атом/барн)) а значение площади данного провала s=(5,21±0,26) *10ˉ3эВ. Если посмотреть в табл 20, то можно заметить, что данное содержание не согласуется ни с одним из предыдущих, имеющимся по другим провалам - для U235 (слишком большое значение содержания). Теперь, посчитаем вклад содержания U235 в данном провале. Мы должны убедиться, что найденное нами содержание для U236 находящееся в файле pin20pl6 t=((0,00505±0,00022)*10ˉ3(атом/барн)) s=(6,07±0,19) *10ˉ3эВ не сильно зависит от наложения линии U235. Для этого зайдем в ранее найденный файл pin20pl5 табл.6 (участок данных pin20pl5) и найдем площадь соответствующую среднему значению содержания из таблицы 25 t=(1,56±0,07(атом/барн) *10ˉ3). Из таблицы 19 видно, что среднему значению t соответствует площадь s= (1,33±0,07) *10ˉ3). На следующем этапе мы должны определить значение площади провала линии U236 без вклада площади U235.

Таблица 19. Файл pin20pl5


Для этого вычтем из общей площади провала значение площади занимаемое U235. Получившееся значение s= (4,74±0,07) *10ˉ3 эВ и есть искомая величина без учета вклада U235. Далее зайдем в файл pin20pl6 и определим для данной площади искомое содержание t=0,00501±0,00019(атом/барн) *10ˉ3 (t=0,00505±0,00022(атом/барн) *10ˉ3 - найденное ранее содержание). После всех вычислений можно с уверенностью сказать, что этот провал принадлежит именно U236 и вклад вносимый U235 слишком мал, чтобы существенно повлиять на результат. Аналогично были обработаны все спектры 20% обогащения. Кроме этого участок с единственной линией U236 был обработан и в некоторых спектрах 36% и 90% обогащения. Заметного вклада линии U235 на единственную линию U236 замечено не было.

При обработке провала с E=6,67эВ пришлось срезать «хвосты» (наложившиеся пики на основную линию U238), принадлежащие U235 (E=6,38эВ и E=7,07эВ). Ниже приведена таблица 20 по спектру pinur20otn.

Таблица 20. Результаты обработки спектра pinur20otn


Таким же путем были обработаны и остальные образцы. Ниже приводятся результаты обработки по каждому спектру в отдельности. Из таблиц видно, что в спектрах pin26otn, pin38otn мы можем опуститься ниже 36 эВ.

Таблица 21 Результаты обработки спектра pin26otn



Рисунок 16. Пропускание спектра pinur20otn

Таблица 22. Результаты обработки спектра pin38otn


Таблица 23. Результаты обработки спектра pin2126otn


Особый интерес представляет спектр (образец ТВЭЛа) с обогащением 5% (pinur5otn) рисунок 17. В данном спектре видно существенное различие по сравнению с обогащением 20%. Мы можем наблюдать 4 линии U238 при энергиях равных (Е=6,67эВ, Е=21эВ, Е=36,71эВ, Е=66,03эВ). В отличие от 20% образцов данные провалы U238 имеют менее выраженную структуру. Это особенно видно при энергии E=6,67эВ. В нем мы практически не наблюдаем «хвосты» U235 из-за низкого его обогащения ( хорошо видно на рисунке 17). Также из за малого перекрывания линий есть возможность подняться выше 60эВ. Линии U234 и U236 в данном спектре не проявились.

Таблица 24. Результаты обработки спектра pinur5otn


В результате усреднения всех данных мы получим абсолютное содержание отдельного изотопа во всем образце (ТВЭЛа) и затем процентный изотопный состав.

Таблица 25 Итоговое содержание изотопов (в 10ˉ3 атом/барн) в ТВЭЛах с заявленным обогащением 20% и 5%

Изотоп

Проба pinur20otn (обогащение 20%)

Проба pin26 (обогащение 20%)

Проба pin38 (обогащение 20%)

Проба pin2126 (обогащение 20%)

Проба pinur5 (обогащение 5%)


t±∆t(атом/барн) *10ˉ4

t±∆t(атом/барн) *10ˉ4

t±∆t(атом/барн) *10ˉ4

t±∆t(атом/барн) *10ˉ4

t±∆t(атом/барн) *10ˉ4

U234

0,156±0,007

0,135±0,006

0,257±0,013

0,168±0,008


U235

15,6±0,9

16,6±1,2

15,4±0,9

15,6±0,8

4,93±0,22

U236

0,0505±0,0022

0,0505±0,0023

0,164±0,007

0,126±0,005


U238

71,4±2,9

68,4±2,5

60,3±1,3

73,8±2,4

94,9±2,5




Рис 17. Пропускание спектра pinur5otn

Таблица 26 Процентный изотопный состав образца (ТВЭЛа)

Изотоп

Проба pinur20otn (обогащение 20%)

Проба pin26 (обогащение 20%)

Проба pin38 (обогащение 20%)

Проба pin2126 (обогащение 20%)

Проба pinur5 (обогащение 5%)


(δ±∆δ)%

(δ±∆δ)%

(δ±∆δ)%

(δ±∆δ)%

(δ±∆δ)%

U234

0,17±0,01

0,15±0,01

0,33±0,02

0,18±0,01


U235

19,1±1,2

19,5±1,5

20,2±1,3

17,5±1,6

4,92±0,25

U236

0,052±0,004

0,059±0,003

0,22±0,02

0,16±0,01


U238

80,7±4,3

80,3±3,9

79,3±2,3

82,2±3,8

95,1±3,4


Из таблицы 25 видно, что наиболее хорошую точность имеют образцы 20% обогащения (pin26, pin38). Это связано с большим количеством провалов идентифицированных при анализе спектра. Наиболее худшие результаты по изотопу U235 имеет образец pin2126. Спектр 5% обогащения pinur5 так же имеет хорошую точность. Погрешность данных результатов не превышает 6%, что свидетельствует о высокой точности полученных данных достаточной для неразрушающей методики.

При анализе спектров в обработку так же был включен спектр природной смеси изотопов урана (r423otn). Так как природный уран состоит из U238(99,2739%) U235(0,7024%) U234(0,0057%), то из рисунка 18 мы можем наблюдать только три пика, относящиеся к U238. Остальные линии урана не видны из за ничтожно малого содержания данных изотопов в природной смеси. Все провалы имеют хорошую выраженность. Ниже представлена таблица 27 обработки по каждому провалу в отдельности. Полученные результаты согласуются в приделах своих погрешностей, что свидетельствует о высокой точности найденных значений.


Рисунок 18. Пропускание спектра r423otn

Таблица 27. Результаты обработки спектра r423otn


После усреднения всех данных из таблицы мы получим абсолютное содержание U238 в природной смеси t=(4,24±0,16)*10ˉ3 (атом/барн)

 

.4 Определение содержания U236 в исследовавшихся образцах


В данной работе особое внимание уделялось определению содержания U236 в образцах.

Следы U236 встречаются практически во всех спектрах толстого образца при E=5,48эВ(13571барн), которые подлежали обработке (за исключением образцов 5% обогащения. Особенно заметное его присутствие в спектрах s924eotn и s926eotn. Из графика видно, что провал изотопа U236 не дотягивает до единицы, что внесет существенную погрешность, а следовательно и достоверность полученного результата будет далека от истинного значения. Нужно было вытянуть «хвост» провала до 1. Так как метод площадей имеет место, только с изолированными линиями. Когда мы проводим "потолок" - верхнюю огибающую нашего спектра, то для неперекрывающихся линий мы получаем, что пропускание между провалами равно 1. Значит, линии (провалы) действительно изолированы друг от друга. А в спектре S924eotn и S926eotn это - не так. Не дойдя до 1, пропускание уходит вниз, в новый провал. Если обрабатывать такие провалы методом площадей, то найденное содержание по этим провалам будет далеко от истинного значения. Поэтому в данной работе для повышения точности нахождения содержания U236 применялось «расщепление» линий. Расщепление линий разберем на примере двух спектров S926eotn и s927eotn. На спектре S927eotn (рис.19) видно, что каждый из трех провалов хорошо выходит на единицу, что в дальнейшем не составит особого труда для нахождения содержания по этим провалам. Совсем другой вид имеет спектр S926eotn (рис. 20). Из рисунка 20 можно увидеть, что провал с энергией E=5,16эВ и E=5,48эВ немного «не дотягивает» до единицы, что внесет существенное различие в найденное содержание по этим провалам.

Рис.19 График зависимости пропускания от номера канала (S927eotn)

Рис. 20 График зависимости пропускания от номера канала (S926eotn)

Для того, чтобы достоверно определить содержание по этим двум провалам, их нужно в начале «вытянуть» на единицу. Это достигается путем расщепления провалов. Так как все провалы обладают симметрией, то можно предположить, что правое крыло провала с энергией E=4,85эВ будет симметрично и левому крылу этого же провала. То есть мы должны в ручную дотянуть левый край до единицы. Рассмотрим подробный пример расщепления линий в спектре S926eotn. Для того, чтобы поднять «крылья» провала на единицу, нужно воспользоваться предположением, что правое «крыло» симметрично левому (это можно наблюдать в предыдущих спектрах). Мы должны дотянуть вручную левый край провала. Ниже на рисунке 21 можно увидеть как должен вести себя каждый провал в отдельности при «расщеплении». Вот именно эти расщепленные компоненты провала и подлежат потом обработке отдельно как изолированные линии. Особое внимание нужно обратить на провалы с энергией E=5,16эВ и E=5,48эВ, так как у них левый и правый край не дотягивают до «потолка»

Рисунок 21. График зависимости пропускания от номера канала (S926eotn)

Приведем пример расщепление провала с энергией E=4,58эВ. У него правое крыло хорошо выходит на единицу, совсем другой вид имеет левое крыло. Не дойдя до потолка левое крыло уходит вниз в новый провал. То же самое происходит и с рядом расположенными линиями с энергией E=5,16эВ и E=5,48эВ. Наша задача разделить триплет на отдельно изолированные линии. Для того чтобы это сделать, в начале нужно зайти в файл S926eotn (табл 28).

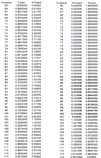
В таблице использованы следующие обозначения:

N-номер канала

T(рас)- расчетное пропускание T(эксп)-экспериментальное пропускание

На основе данных таблицы 28 спектра S926eotn рассчитаем -lnTрас. И построим график зависимости -lnTрас(N) (рис. 22).(рас)- пропускание полученное ранее по программе otno (файл S926seotn)

Рисунок 22. График зависимости -lnTрас от номера канала

Поскольку правое крыло должно быть симметрично левому, то изобразим выше приведенный график при условии одинаковой симметрии крыльев на рисунке 23.

Таблица 28 спектра S926eotn Табл. 29 спектра S926eotn1


На графике зависимость -lnTэксп(N) обозначена гладкой линией, а зависимость -lnTрас(N) обозначена пунктирной линией.

Tэксп-Пропускание построенное в предположении, что правое крыло симметрично левому.

Из рисунка 21 видно, что провал с энергией E=4,85эВ будет выходить на единицу примерно в 88 канале, это основывается на предположении симметрии крыльев. (на рисунке 21 то же самое показано и для линий с энергией E=5,16эВ и E=5,48эВ). На основе данных из графика составляется таблица 29. Так как мы хотим получить отдельно изолированный провал, то предполагаем что пропускание будет равняться единице с 65 по 88 канал. Предполагая симметрию крыльев мы достраиваем участок с 88 по 101 канал.

Рисунок 23. График зависимости -lnTрас и -lnTэксп от номера канала

На следующем этапе нужно перенести значения -lnTэксп с графика в таблицу 29 (участок 88-101) и после этого считаем обычное пропускание Tэксп и данные так же заносим в таблицу. Теперь у нас получился новый спектр назовем его s926eotn1. Из рисунка 24 видно, что у нас получился отдельно изолированный провал, который можно обрабатывать методом площадей. Так же были получены и отдельные провалы для линий с энергиями E=5,16эВ и E=5,48эВ. Именно эти расщепленные компоненты провала и подлежат потом обработке отдельно как изолированные линии.

Переход от метода площадей к методу расщепления линий и обратно применялся в этой работе во многих спектрах для определения единственной линии урана-236 в толстых образцах. В тонких перекрывания не было.

В добавке регенерированного урана вместе с изотопом U236 должен содержаться и другой изотоп, отсутствующий в природной смеси - U232. Поскольку резонансы в его полном сечении для резонансных нейтронов не менее выражены, чем для изотопа U236, естественно попытаться поискать в анализируемых спектрах и этот изотоп. Его практическое значение определяется небольшой величиной периода полураспада (72 года), вследствие чего в сравнении с другими изотопами урана он намного более радиоактивен - быстрее распадается, образуя всю последующую цепочку своих дочерних радиоактивных изотопов. Повышение смодержания изотопа уран-232 приводит к увеличению дозовых нагрузок на персонал как на этапе внесения регенерированной добавки в формируемый ЯМ, так и при дальнейшем обращении с изготовленными УЕ урана с регенерированной добавкой.

Рисунок 24 График зависимости пропускания от номера канала (S926eotn1)

В спектре s927eotn для тонкой УЕ урана с обогащением 36% (Рис. 12) имеется слабое указание на искомую линию изотопа уран-232 при энергии 5.98 эВ (у данного изотопа она наиболее выраженная). Можно видеть, что рядом с линией при Е=5,48эВ (относящейся к изотопу U236) имеется небольшая аномалия, которую естественно связать с изотопом U232, обладающим резонансом при E=5,98 эВ (сечение в максимуме равно 12366 барн(табл. П1)). Попытаемся оценить по ней содержание данного изотопа. Малая выраженность этого провала в спектре сразу указывает на небольшое содержание изотопа. Действительно, при проведении обычной поэтапной обработки участка спектра с 57 по 63 канал получены следующие результаты: верхняя граница площади данного провала s≈2,9*10ˉ4эВ, а искомое содержание t≈0,28*10ˉ8(атом/барн). Это - верхняя оценка содержания (его количество не больше указанного)

Никаких намёков на аномалии (провалы) в нужных местах других анализировавшихся спектров найдено не было. Таким образом, установлено, что содержание урана-232 в регенерированной добавке существенно меньше, чем содержание урана-236 примерно в 10 раз

 

.5 Оценка качества результатов


Заключительным шагом в нашей работе будет сопоставление паспортных данных (табл.1) с расчетными данными. Для этого нужно усреднить полученные результаты в зависимости от способа измерения и толщины образца. В результате усреднения получим таблицу проверки изотопного состава урана.

Таблица 29 Результаты проверки изотопного состава (в10-3 атом/барн)


изотоп

U234

U235

U236

U238

90% мет 5,6мм

заявлено


18,75


2,02


измерено

0,186±0,007

18,42±0,45

0,051±0,004

1,97±0,05

90% двуок 1,73мм

заявлено


1,683


0,215


измерено

0,0255±0,0012

1,676±0,063

0,0058±0,0004

0,206±0,009

36% мет 5,6мм

заявлено


7,523


13,124


измерено

0,075±0,002

7,422±0,273

0,094±0,004

13,025±0,352

36% двуок 5,6мм

заявлено


3,462


5,970


измерено

0,041±0,002

3,514±0,123

0,036±0,003

6,223±0,215


Так же были предоставленны паспортные данные по процентному изотопному составу образцов 90% обогащения

Таблица 30 Результаты проверки изотопного состава (в%)


изотоп

U234

U235

U236

U238

90%

заявлено

0,97

89,39

0,28

9,36


измерено

0,93±0,03

89,24±3,15

0,24±0,02

9,59±0,42


Из таблицы 29 видно, что данных по изотопам U234 и U236 в паспорте не приводилось. По U234 и U236 имелись данные по процентному изотопному составу образцов 90% обогащения. По образцам 5% и 20% обогащения паспортных данных предоставлено не было. В этих пробах был подтвержден процентный изотопный состав (таблица 26).

Из таблицы 29 и 30 видно, что измеренные данные согласуются в пределах погрешности с паспортными.

 

Заключение


Данная дипломная работа выполнена в лаборатории учета и контроля ядерных материалов Физико-энергетического института в группе, которая занимается разработкой новых методик. В ходе выполнения дипломного проекта обработано около 20 спектров пропускания резонансных нейтронов для учетных единиц урана, используемых в критических сборках ФЭИ. Подробно проанализированы результаты, полученные при обработке 17 спектров, измеренных для УЕ двух типов и пяти изотопных композиций. Показано наличие линий в спектрах, позволяющих контролировать неразрушающим образом содержание всех изотопов урана. Точность измерения содержания зависит от выраженности и изолированности линии и лежит в диапазоне 1-10%. Кроме этого, были изучены устройство и работа времяпролетного спектрометра резонансных нейтронов на основе ускорителя электронов - микротрона МИ-30 при критическом стенде БФС, а также освоена работа ряда программ математической обработки измеренных времяпролётных спектров.

Особое внимание уделено проблеме регенерированного урана. Данная методика позволяет определить концентрацию U236 в отработавшем топливе (ТВС) не прибегая к его разрушению.

При достижении поставленной цели дипломной работы, (« Проверка возможности контроля изотопного состава образцов урана разного обогащения с помощью нейтронного спектрального анализа») были получены следующие результаты:

1.      Определено абсолютное содержание отдельных изотопов. Полученные результаты имеют хорошую точность и согласуются с представленными паспортными данными .

2.      Подтверждены заявленные данные о процентном изотопном составе УЕ урана различного обогащения.

.        Показана возможность неразрушающего контроля содержания вредного изотопа уран-236.

В настоящее время нейтронный спектральный анализ, пройдя этапы разработки и предварительных прикидок, становится рабочим инструментом во многих исследованиях и прежде всего - в задачах внешнего цикла, где особенно ценна его изотопная направленность и нечувствительность к высокой радиоактивности послереакторной продукции.

Список литературы


1.     Основные правила учета и контроля ядерных материалов (ОПУК) НП-030-05. М Госатомнадзор России, 2005

2.      Синев Н.М. Экономика ядерной энергетики: Основы технологии экономики ядерного топлива. Экономика АЭС. М., 1987

.        «Некоторые экономические аспекты современного развития атомной энергетики» Вестник МГУ 1997 №1

.        Абрамов А.И., Казанский Ю.А., Матусевич Е.С. - Основы экспериментальных методов ядерной физики. - М. Энергоатомиздат, 1985

.        В. Прайс. Регистрация ядерного излучения. Издательство иностранной литературы. М., 1960

.        «Спектрометрический анализ. Аппаратура и обработка данных на ПЭВМ» г. Обнинск Издательство ГЦИПК - 2000

.        «Промышленная спектрометрия» г. Обнинск 2007

.        Времяпролетный спектрометр медленных нейтронов при микротроне МИ - 30 БФС, отчет 5013 ДСП, Обнинск 1987

.        А. С. Герасимов, Т. С. Гермогенова и А. П. Рудик, Справочник по образованию нуклидов в ядерных реакторах. М., Энергоатомиздат, 1989

.        Разработка методики нейтронного сканирования ТВЭЛ и ТВС из смешанного уран-плутониевого топлива, Филиппов В.В., Сироткин И.А., отчет ФЭИ ИНВ.7920, Обнинск 1991

.        Разработка резонансной нейтронной радиографии как средства неразрушающего контроля изотопного состава ТВЭЛ, отчет 8655 ДСП, Обнинск 1993

.        Энергетическая стратегия России до 2020 г.: Проект. Минтопэнерго России, 2000.

.        Ковалевич О.М, Основы обеспечения безопасности атомных станций М., Издательство МЭИ 1999г

.        Острейковский В.А., Эксплуатация атомных станций М., Энергоатомиздат 1999г

.        Схема распада радионуклидов. Энергия и интенсивность излучения - Публикация 38 МКРЗ: в 2 частях - часть 2: Перевод с англ.: М. Энергоатомиздат, 1987г

.        Иванов В. И. - Курс дозиметрии. - М.: Энергоатомиздат, 1988

Похожие работы на - Проверка возможностей нейтронного спектрального анализа для контроля содержания и изотопного состава урана разного обогащения

 

Не нашли материал для своей работы?
Поможем написать уникальную работу
Без плагиата!
Без нейросетей!