Внедрение мероприятий по увеличению экономической эффективности работы вокзала

  • Вид работы:
    Дипломная (ВКР)
  • Предмет:
    Транспорт, грузоперевозки
  • Язык:
    Русский
    ,
    Формат файла:
    MS Word
    1,51 Мб
  • Опубликовано:
    2015-06-16
Вы можете узнать стоимость помощи в написании студенческой работы.
Помощь в написании работы, которую точно примут!

Внедрение мероприятий по увеличению экономической эффективности работы вокзала

Введение

Государственная политика в области железнодорожного транспорта направлена на создание условий для удовлетворения потребностей населения, экономики и государства в перевозках, исходя из принципов свободного доступа всех субъектов транспортного рынка к получению услуг железнодорожного транспорта; защиты экономических интересов Республики Казахстан; применения единого стандарта правовых и экономических гарантий для всех участников перевозок.

Целью государственной политики в области железнодорожного транспорта является развитие магистральной железнодорожной сети железнодорожного транспорта, развитие перевозок, обеспечение безопасности железнодорожного транспорта и процессов его жизненного цикла для жизни и здоровья человека и окружающей среды, осуществление тарифной, налоговой и таможенной политики на железнодорожном транспорте в соответствии с законодательством Республики Казахстан, создание условий свободного предпринимательства на железнодорожном транспорте и недопущение незаконного вмешательства государственных органов в хозяйственную деятельность, развитие конкуренции, в том числе в области международных перевозок, сохранение единого имущественного комплекса магистральной железнодорожной сети, охрана окружающей среды, поддержание мобилизационной готовности железнодорожного транспорта, содействие в развитии импортозамещающих производств для нужд железнодорожного транспорта.

Перевозки пассажиров, багажа, грузов, грузобагажа и почтовых отправлений железнодорожным транспортом осуществляются в порядке и на условиях, установленных законодательством Республики Казахстан.

В 2004 году произведена реструктуризация обеспечивающей и сервисной деятельности, которая была направлена на её отделение от основной для обеспечения прозрачности расходов и целевого субсидирования пассажирских перевозок из республиканского и местных бюджетов. В рамках реализации Программы реструктуризации, проведена работа по созданию шести акционерных обществ: «Алматинский вагоноремонтный завод», «Вокзал - сервис», «Пригородные перевозки», «Багажные перевозки», «Пассажирская лизинговая вагонная компания», «Вагонсервис»; товарищество с ограниченной ответственностью «Жолсерiк-Алматы» (в 2005 году переименованный в товарищество с ограниченной ответственностью «Компания «Жолаушылартранс»).

Организация и обеспечение пассажирских железнодорожных перевозок, перевозок багажа, грузобагажа и почтовых отправлений в международном, межобластном, межрайонном и внутреннем сообщениях.

Основной целью реструктуризации железных дорог явилось удовлетворение увеличивающихся потребностей населения в перевозках железнодорожным транспортом, повышение качества предоставляемых услуг, сокращение убыточности деятельности Компании.

Текущими задачами, созданного в процессе реструктуризации акционерного общества «Пассажирские перевозки» являются:

повышение доходности и оптимизация расходов пассажирских, багажных перевозок;

повышение качества услуг и расширение рынка перевозок;

совершенствование кадровой политики;

модернизация и развитие инфраструктуры пассажирских перевозок;

совершенствование системы государственного регулирования рынка услуг пассажирского хозяйства;

обновление и модернизация подвижного состава;

совершенствование нормативно-правовой базы в области железнодорожного пассажирского транспорта.

В связи с вышесказанным тему дипломной работы считаю актуальной.

Целью дипломной работы является расчет оптимального числа касс на железнодорожном вокзале, и внедрение мероприятий по увеличению экономической эффективности работы вокзала.

В соответствии с целью дипломной работы необходимо решить следующие задачи:

проанализировать состояние пассажирских перевозок в Казахстане на сегодняшний день;

дать описание пассажирской станции А;

рассмотреть технологический процесс работы вокзала;

произвести расчет оптимального числа билетных касс на вокзале;

рассчитать экономическую эффективность замены билетных касс на билетопечатающие автоматы;

рассмотреть требования охраны труда для работников вокзала.

Объект работы - пассажирская станция А

1. Пассажирские перевозки в Казахстане

В настоящее время в республике перевозка пассажиров осуществляется по 83 маршрутам, в том числе: по 12 международным и 50 межобластным маршрутам, субсидируемым из республиканского бюджета, и по 21 маршруту пригородного сообщения, которые дотируются из местных бюджетов[1].

Структура пассажирского хозяйства в 2009 году представлена на рисунке 1.1.

Рисунок 1.1 Структура пассажирского хозяйства в 2009 году

В текущем году организацию перевозок обеспечивают 7 пассажирских перевозчиков, из которых: 2 компании (с долей на рынке - более 90 %) - АО «Пассажирские перевозки» и АО «Пригородные перевозки», которые входят в структуру Национальной компании «Қазақстан темір жолы», и 5 частных перевозчиков, которые осуществляют перевозки в межобластных сообщениях.

Для организации обслуживания и перевозки пассажиров задействовано порядка 2 тыс. единиц подвижного состава, функционирует более 300 железнодорожных билетных касс, трудится свыше 16 тыс. работников.

Следует отметить, что по итогам 2008 года объем пассажирооборота в целом по отрасли составил свыше 14,7 млрд. пасс-км, что выше уровня прошлого года на 3%. При этом важно отметить, что даже при отсутствии потребного обновления и дефиците подвижного состава на протяжении последних 10 лет, рост объемов перевозок составил более 40 %.

Как известно, за последние годы в сфере пассажирских перевозок железнодорожного транспорта республики проведен ряд реформ, направленных на адаптацию пассажирских перевозок к современным рыночным условиям, ориентированных на повышение эффективности и конкурентоспособности отрасли, и, прежде всего, на обеспечение населения услугами качественного и доступного транспорта.

Сегодня, несмотря на имеющиеся системные проблемы и некоторые недостатки проведенных реформ, железнодорожные пассажирские перевозки продолжают сохранять преобладающую долю (более 50%) в общем объеме транспортных услуг и нести социальную нагрузку по обслуживанию населения, что еще раз подтверждает их стратегическую значимость для государства.

Однако нужно признать, что принятие многочисленных программных документов по реформированию пассажирских перевозок не привело к достижению главной цели - к обеспечению потребности населения в качественных транспортных услугах железнодорожной отрасли.

На сегодняшний день качественная организация и развитие АО «Пассажирские перевозки» как Национального перевозчика и отрасли в целом сдерживается системными проблемами[2]:

неоптимальной структуры предприятий пассажирского хозяйства,

критического износа и дефицита пассажирского вагонного парка,

недостаточного государственного субсидирования,

неудовлетворительного состояния вокзального хозяйства,

несовершенства подходов по развитию конкурентного рынка перевозок,

неопределенности статуса Национального пассажирского перевозчика.

И как следствие, данные проблемы сказываются на недостаточном уровне качества обслуживания пассажиров, неудовлетворенном спросе на перевозки, отрицательном имидже Национального перевозчика и отрасли в целом.

Как показала практика, стремление создать конкурентный рынок в сфере пассажирских перевозок за счет раздробления единого пассажирского хозяйства на нескольких самостоятельных предприятий не только не улучшило качество оказываемых услуг пассажиров и технологию организацию перевозочного процесса, но и значительно раздуло численность административно-управленческого персонала, что увеличило себестоимость пассажирских перевозок[3].

Структура пассажирского хозяйства в 2008 году представлена на рисунке 1.2.

Как известно, в рамках реформирования пассажирских перевозок в 2004-2006 годы в структуре АО «Пассажирские перевозки» были образованы самостоятельные юридические лица - ТОО «Компания «Жолаушылартранс» - по перевозке пассажиров и АО «Багажные перевозки» - по перевозке багажа и грузобагажа. При этом главными целями создания данных дочерних организаций были определены:

введение конкурентной среды в пассажирских перевозках за счет формирования самостоятельного перевозчика с его дальнейшим выведением в частный сектор;

повышение эффективности и качества багажных перевозок за счет их выделения в самостоятельный вид деятельности.

Рисунок 1.2 Структура пассажирского хозяйства в 2008 году

Однако опыт функционирования и финансовое положение указанных предприятий показали полную несостоятельность поставленных целей.

Так, за период своей работы с 2004 по 2008 годы у ТОО «Компания «Жолаушылартранс» и АО «Багажные перевозки» сложились убытки в сумме 8,9 и 3,8 млрд. тенге соответственно. По состоянию на 1 января текущего года размер собственного капитала данных компаний является отрицательным, и составил соответственно минус 8,4 и 3,6 млрд. тенге, что не позволило им выполнять свои финансовые обязательства и полностью отвечало признакам банкротства.

Необходимо отметить, что вследствие убыточности ТОО «Компания «Жолаушылартранс», задача по его реализации в частную собственность так и осталась невыполненной.

Более того, дублирование Товариществом функций АО «Пассажирские перевозки» не только создало дополнительные издержки по содержанию административного персонала, но и нарушило единую вертикаль управления в кадровой, производственно-технической и экономической политике, и прежде всего, не улучшило качество оказываемых услуг для пассажиров. [4]

Вместе с тем, как показала практика работы АО «Багажные перевозки», перевозка багажа функционально и технологически не может являться самостоятельной услугой и должна осуществляться в комплексе с услугой по перевозке пассажиров. При этом выделение багажных перевозок в самостоятельную деятельность резко увеличило издержки АО «Багажные перевозки», что не позволило достичь положительных результатов.

Таким образом, накопившиеся годами проблемы организации пассажирских и багажных перевозок потребовали проведения безотлагательных структурных преобразований группы компаний АО «Пассажирские перевозки».

С учетом изложенного, в целях улучшения качества обслуживания пассажиров, оптимизации структуры группы компаний АО «Пассажирские перевозки», а также повышения ее финансовой устойчивости, при поддержке Акционерного общества «Фонд национального благосостояния « и Акционерного общества «Национальная компания «Қазақстан темір жолы» (далее - АО «НК «ҚТЖ») согласно решению Совета директоров АО «НК «ҚТЖ» от 24 декабря 2008 года (протокол №13) проведена реорганизация АО «Пассажирские перевозки» путем присоединения к нему зависимых дочерних организаций - ТОО «Компания «Жолаушылартранс» и АО «Багажные перевозки».

Наряду с вышеизложенным, нельзя не отметить, необходимость дальнейшей оптимизации структуры группы компаний АО «Пассажирские перевозки».

На сегодняшний день структура группы компаний АО «Пассажирские перевозки» является неоптимальной и требует проведения структурных изменений.

Как известно, в рамках реализации Программы реструктуризации железнодорожного транспорта Республики Казахстан на 2004-2006 годы, утвержденной постановлением Правительства от 06 февраля 2004 года №145 (далее - Программа реструктуризации), на базе всех пассажирских вагонов, кроме задействованных в международных перевозках и приобретенных за счет привлеченных кредитных средств, в 2004 году было создано Акционерное общество «Пассажирская лизинговая вагонная компания» (далее - АО «ПЛВК») со 100 % участием АО «Пассажирские перевозки».

Основной целью создания АО «ПЛВК» предполагалось развитие конкурентной среды в пассажирских перевозках за счет обеспечения равного доступа перевозчиков к парку подвижного состава. При этом основными задачами перед АО «ПЛВК» ставились выполнение функций по обновлению парка вагонов, предоставлению их перевозчикам в аренду и лизинг.

Для обеспечения равного доступа и решения вопросов обновления подвижного состава предусматривалась передача 100 % пакета акций АО «ПЛВК» в государственную собственность с передачей прав владения и пользования пакетом акций Министерству транспорта и коммуникаций Республики Казахстан (далее - МТК).

Однако как показала практика, в условиях отсутствия источников финансирования обновления подвижного состава, а также незавершенности мероприятий по передаче АО «ПЛВК» в ведение МТК, задачи, поставленные перед предприятием, остались так и не реализованными.

В настоящее время согласно Плану комплексных мер развития железнодорожной отрасли Республики Казахстан на 2008-2010 годы, утвержденному постановлением Правительства Республики Казахстан от 04 апреля 2008 года №321 (далее - План), предусматривается передача пакета акций АО «ПЛВК» в собственность Акционерного общества «Казахстанский холдинг по управлению государственными активами «Самрук».

Необходимо отметить, что создание АО «ПЛВК» не решило проблему обновления подвижного состава. В условиях недостаточности государственного субсидирования убытков пассажирских перевозок, а также отсутствия целевого финансирования приобретения пассажирских вагонов из государственного бюджета, АО «ПЛВК» оказалось не в состоянии самостоятельно решать вопрос обновления подвижного состава.

Кроме того, предоставление перевозчикам доступа к недостаточному парку пассажирских вагонов АО «ПЛВК» не стимулирует частных перевозчиков к вложению инвестиций в приобретение пассажирских вагонов, что из года в год лишь усугубляет проблему износа и дефицита подвижного состава, при этом не обеспечивает собственные потребности АО «Пассажирские перевозки» как материнской компании.

Вместе с тем, функционирование АО «ПЛВК» усложняет технологию взаимодействия АО «Пассажирские перевозки», которое арендует более 80 % подвижного состава АО «ПЛВК», с предприятиями, осуществляющими техническое обслуживание и ремонт подвижного состава, что негативно сказывается на качестве его содержания и эксплуатации.

Более того, главным аргументом неэффективной деятельности АО «ПЛВК» являются дополнительные издержки (более 300 млн. тенге в год), образующиеся за счет содержания административно-управленческого и производственного персонала АО «ПЛВК», дублирующего функции АО «Пассажирские перевозки». Численность указанного персонала составляет порядка 200 единиц или 45 % от общего штата работников АО «ПЛВК», из которых 82 единицы относятся к административно-управленческому персоналу.

Тем самым, дополнительные издержки на организацию деятельности АО «ПЛВК» увеличивают себестоимость пассажирских перевозок, что в конечном итоге отражается на ухудшении финансового результата группы компаний АО «Пассажирские перевозки» [6].

Таким образом, в настоящее время деятельность АО «ПЛВК» как самостоятельного предприятия с функциональной и финансово-экономической стороны является нецелесообразной.

На основании вышеизложенного, с учетом проводимых мероприятий по оптимизации структуры группы компаний АО «НК «ҚТЖ», а также в целях сокращения убыточности АО «Пассажирские перевозки», Обществом при поддержке АО «НК «ҚТЖ» внесено предложение о реорганизации АО «Пассажирские перевозки» путем присоединения к нему АО «ПЛВК», с последующим внесением соответствующих изменений и дополнений в План.

Вместе с тем, в целях дальнейшей оптимизации предприятий пассажирского хозяйства, входящих в структуру АО «НК «ҚТЖ», а также упорядочения технологических процессов по организации пассажирских перевозок, нами прорабатывается вопрос по реорганизации дочерней зависимой организации АО «Пассажирские перевозки» - Акционерного общества «Вагонсервис» путем распределения его функций и активов, связанных с ремонтом, техническим обслуживанием и подготовкой пассажирских поездов в рейс, между АО «НК «ҚТЖ» и АО «Пассажирские перевозки».

В частности, функции и имущество АО «Вагонсервис», связанные с техническим обслуживанием и подготовкой пассажирских поездов в рейс, предполагается передать в ведение АО «Пассажирские перевозки», что позволит ему самостоятельно осуществлять полный производственный цикл по организации перевозочного процесса.

Реализация данного мероприятия позволит полностью высвободить административно-управленческий персонал Акционерного общества «Вагонсервис» без увеличения административного персонала в АО «Пассажирские перевозки», что заметно уменьшит себестоимость пассажирских перевозок и сократит убыточность АО «Пассажирские перевозки».

Важно отметить, что качество и эффективность организации перевозки пассажиров складывается из множества факторов, поэтому для выполнения своей основной задачи - оказанию населению качественных и безопасных услуг Обществом проводится работа в нескольких направлениях.

Так, в целях наведения порядка в системе организации пассажирских перевозок одним из главных направлений в деятельности Общества является улучшение работы билетных касс и поездных бригад.

Как известно, на протяжении последних 10 лет продажа билетов в зданиях вокзалов осуществлялась частными агентствами, которые преследовали одну цель - получение максимальной прибыли в возможно короткие сроки от продажи билетов[7].

Практика деятельности частных агентств показала комплекс негативных проблем, которые, в первую очередь, отражались на имидже компании и связанны, прежде всего:

с низкой эффективностью работы билетных касс по причине отсутствия контроля со стороны частных агентств, что привело к нарушению технологии и режима их работы, недостаточному качеству обслуживания населения;

с отсутствием заинтересованности частных агентств во вложении инвестиций в обновление, модернизацию основных фондов;

с низким уровнем кадровой политики и отсутствием социальных льгот со стороны частных агентств, что способствовало злоупотреблению билетными кассирами своими должностными обязанностями.

С мая месяца прошлого года нами осуществлен возврат 237 билетных касс, расположенных на территории вокзалов. При этом 50 % касс на вокзалах в крупных городах и областных центрах (64 кассы) оставались за частными агентствами. Все оставшиеся кассы на вокзалах были приняты Обществом с 1 августа 2008 года. В настоящее время оформление проездных документов осуществляется 301 билетной кассой АО "Пассажирские перевозки", расположенными на 194 вокзалах.

После принятия билетных касс на вокзалах Обществом разработан и проведен ряд мероприятий.

В целях оздоровления ситуации Обществом разработаны и утверждены «План мероприятий по совершенствованию работы билетных касс на вокзалах», «Положения о работе билетных касс АО «Пассажирские перевозки», введен квалификационный рейтинг для оценки работы билетных кассиров, а также утверждено «Положение о материальном стимулировании билетных кассиров АО «Пассажирские перевозки».

Обществом в целях улучшения деятельности билетных касс принимаются меры по ужесточению контроля за работой билетных касс, соблюдением режима их работы, переводу билетных касс на цифровые каналы связи, обеспечению необходимой техникой и оборудованием.

На сегодняшний день, во всех билетных кассах, расположенных в зданиях внеклассных вокзалов, установлены и успешно функционируют мониторы обратной связи, с помощью которых клиент может получить достоверную информацию, выдаваемую автоматизированной системой «Экспресс-3», о наличии мест для проезда во всех направлениях.

Кроме того, нами полностью завершена работа по обновлению в билетных кассах на внеклассных вокзалах (Астана, Алматы-1, 2, Караганды) терминального оборудования, переводу касс на цифровые каналы связи (ТиСиПи Ай Пи). До 1 октября текущего года планируется завершить подключение к цифровой связи билетно-кассовых терминалов в зданиях железнодорожных вокзалов Западного региона, по Северному региону - в начале 2010 года, по Южному региону - до конца 2010 года.

В свою очередь, с целью определения и повышения уровня профессиональных знаний работников в феврале текущего года была проведена аттестация билетных кассиров. По итогам аттестации из 821 работника билетных касс подлежат повторной аттестации 280 человек, которые не набрали требуемого количества баллов. В настоящее время Обществом рассматривается вопрос о несоответствии занимаемым должностям и расторжении трудовых договоров с 79 работниками, показавшими крайне неудовлетворительные результаты.

Необходимо отметить, что для придания прозрачности данным процедурам, аттестация билетных кассиров проведена в форме тестирования с приглашением представителей общественных организаций и ветеранов-железнодорожников[8].

Вместе с тем, одним из важных звеньев в организации перевозки пассажиров является деятельность поездных бригад.

Так, анализ существующего положения дел в работе поездных бригад выявил, в первую очередь, проблему несовершенства нормативной правовой базы, регламентирующей деятельность поездных бригад.

Так, на протяжении последних лет работники поездных бригад руководствовались должностными инструкциями, не подвергавшимися изменениям и дополнениям с 2001, а то и с 1996 года.

Более того, при организации деятельности поездных бригад отсутствовали документы, которые определяли порядок приема на работу проводников и начальников поездов, критерии оценки работы и меры их ответственности, порядок формирования и расформирования поездных бригад.

Так, на основе действующих должностных инструкций начальника поезда и проводника пассажирского вагона, утвержденных приказом Министра транспорта и коммуникаций Республики Казахстан, Обществом были разработаны и утверждены Положение о статусе начальника пассажирского поезда, Положение о статусе проводника пассажирского вагона (далее - Положения) и Регламент работы поездных бригад Общества (далее - Регламент).

Данные локальные акты определяют новые квалификационные требования к работникам поездных бригад, порядок их приема на работу, критерии оценки работы и меры их ответственности, новую систему оплаты труда начальников поездов и проводников.

Следует отметить, что основными критериями, предъявляемыми к начальникам поездов, являются наличие высшего образования, стаж работы на железнодорожном транспорте не менее 3-х лет, отсутствие взысканий за грубые нарушения.

При этом главной целью принятых документов является приведение качественного состава поездных бригад новым требованиям, обеспечение прозрачности в кадровой политике, а также неукоснительное соблюдение работниками своих должностных обязанностей.

Вместе с тем, понимая уровень возлагаемой ответственности на работников поездных бригад в соответствии с новыми подходами, а также для упорядочения порядка присвоения проводникам разрядов, Обществом с 1 января 2009 года осуществлен переход на новую систему присвоения категорий для начальников поездов и квалификационных разрядов для проводников пассажирских вагонов, которые были определены исходя из статуса обслуживаемого пассажирского поезда и объема выполняемой работы в пути следования.

Кроме того, учитывая имеющиеся перекосы в системе оплаты труда начальников поездов, связанные с несоответствием уровня их заработной платы с предъявляемыми к ним требованиями и степенью ответственностью, Обществом с 1 декабря 2008 года произведено повышение заработной платы начальникам поездов в 2 раза.

Таким образом, Обществом была создана определенная база, закрепленная соответствующими локальными актами, для совершенствования деятельности поездных бригад и пересмотра их качественного состава.

Особо нужно остановится на обеспечении безопасности движения пассажирских поездов.

В рамках проводимой АО «НК «ҚТЖ» работы по исключению и предупреждению случаев, которые могут повлечь угрозу безопасности движения на железнодорожном транспорте, для повышения уровня подготовленности работников поездных бригад в нестандартных случаях в филиалах Общества при участии работников региональных представительств Департамента безопасности движения Дирекции магистральной сети АО «НК «ҚТЖ», в марте текущего года проведены учения по «Действиям поездных бригад в нестандартных ситуациях, связанных с безопасностью движения и соблюдением противопожарной безопасности».

Как показывают участившиеся за последнее время случаи браков в пассажирских перевозках, в последнее время складывается неблагоприятная ситуация, связанная с профессиональной некомпетентностью работников поездных бригад и инженерно-технического персонала, задействованного в перевозочном процессе.

Так, произошедший 13 января текущего года случай саморасцепа вагонов пассажирского поезда №54 сообщением Астана-Урумчи по причине нарушения технического осмотра со стороны работников филиала АО «Вагонсервис», который был скрыт работниками поездной бригады, показывает не только на недостаточную квалификацию инженерно-технических работников, но и на неподготовленность поездных бригад выполнять свои прямые обязанности в нестандартных ситуациях.

По данному факту за допущенные нарушения Обществом расторгнуты трудовые отношения с начальником поезда, весь состав поездной бригады расформирован.

В целях повышения профессионального уровня подготовки работников поездных бригад с 26 марта 2009 года в филиалах Общества начата проверка работников поездных бригад на знание Правил технической эксплуатации железных дорог, безопасности и охране труда.

Кроме того, учитывая возможные непредвиденные ситуации, Обществом уделяется особое внимание обеспечению пассажирских вагонов радиостанциями для связи начальника поезда с машинистом локомотива, а также устройствами внутрипоездного радиовещания[9].

С целью установки на необорудованные вагоны, а также замены устаревших технических устройств в 2009 году планируется приобретение 14 комплектов устройств внутрипоездного радиовещания и установка 39 радиостанций для связи начальника поезда с машинистом локомотива.

Учитывая обращения населения, Обществом с вводом нового графика движения поездов, который вступает в действие с 31 мая, назначены летние пассажирские поезда №469/470 сообщением Алматы-Симферополь, №483/484 сообщением Астана-Адлер. Кроме того, совместно с железнодорожными администрациями Узбекских и Российских железных дорог организовано курсирование прицепного вагона Атырау-Санкт-Петербург в составе поезда №383/384 сообщением Ташкент-Санкт-Петербург.

В целях обеспечения вывоза пассажиров с малодеятельных станций и разъездов по Южному и Восточному региону Обществом в составы пассажирских поездов №351/352 сообщением Алматы-Защита, №377/378 сообщением Алматы-Мангышлак, №379/380 сообщением Алматы-Уральск включены общие вагоны. Ввиду отсутствия билетных касс на малодеятельных станциях и разъездах, курсирование общих вагонов в указанных направлениях позволяет обилечивать пассажиров в вагонах, тем самым пресекать попытки безбилетного проезда пассажиров.

Вместе с тем, Общество совместно АО «Пригородные перевозки» в целях стимулирования пассажиров приобретать билеты на пригородные поезда, через билетные кассы, прорабатывает вопрос по введению комиссионного сбора при обилечивании пассажиров в поездах.

Также, для обеспечения общественного порядка, предупреждения и пресечения преступлений, а также обеспечения личной и имущественной безопасности пассажиров, работников поездных бригад Обществом проводится работа совместно с органами внутренних дел на транспорте.

Так, в настоящее время разрабатывается инструкция «По организации сопровождения пассажирских поездов подразделениями патрульной полиции органов внутренних дел», которая в ближайшее время будет согласована и утверждена совместным приказом с региональными департаментами внутренних дел на транспорте.

С другой стороны, отсутствие вагонов-ресторанов в поездах дальнего следования постоянно вызывает нарекания со стороны пассажиров и органов санитарно-эпидемиологического надзора на транспорте.

В целях улучшения финансово-экономических показателей и производственно-хозяйственной деятельности Обществом начата работа по децентрализации на уровень филиалов функций по формированию доходов и расходов, решению текущих производственно-технических вопросов.

При этом за центральным аппаратом будут сохранены функции по обеспечению нормативной и методологической базы, определению единой производственно-технической и экономической политики, координации и контролю работы филиалов. Кроме того, центральный аппарат будет проводить взаиморасчеты за перевозку пассажиров в поездах чужих железнодорожных администраций.

В рамках решения задач по разграничению функций, полномочий и степени ответственности между центральным аппаратом и филиалами Общества, а также повышения качества планирования и организации финансово-хозяйственной деятельности филиалов Общества нами утвержден план мероприятий по проведению децентрализации путем передачи некоторых функций и полномочий на уровень филиалов Общества.

Согласно утвержденному плану предусматривается:

разработка и утверждение методологической базы по вопросам разграничения функций и полномочий, а также порядка взаимодействия между центральным аппаратом и филиалами Общества, порядка формирования и исполнения бюджетной системы, правил финансирования филиалов и т.д.;

самостоятельное формирование филиалами до конца 2-го квартала текущего года корректировки бюджета на 2-ое полугодие 2009 года с учетом переданных полномочий;

проведение заслушивания итогов деятельности филиалов с учетом передачи им функций и полномочий.

Таким образом, ожидается, что децентрализация функций позволит достичь:

повышения оперативности филиалов в решении производственных и финансово-экономических вопросов;

уменьшения затрат и повышения доходности филиалов за счет сокращения непроизводительных расходов, оптимизации закупок, поиска новых источников получения доходов;

усиления финансовой ответственности, а также обеспечения заинтересованности филиалов в достижении положительных результатов финансово-хозяйственной деятельности.

Сегодня ни для кого не секрет, что спрос на пассажирские перевозки намного превышает предложение.

Недостаточные темпы обновления основных фондов железнодорожного транспорта на фоне критически высокого уровня их износа приводят к неудовлетворению спроса населения в перевозке железнодорожным транспортом.

Абсолютное большинство пассажирских вагонов составляют плацкартные (46%) и купейные (33%) вагоны. Износ вагонов - более 70%.

Общий инвентарный парк составляет 2 090 ед., в том числе, рабочий парк - 1 767 ед., нерабочий - 323 ед. Количество вагонов, подлежащих исключению из инвентарного парка в 2009 году, составляет 203 ед. или 9,7 % от общего инвентарного парка.

В структуре пассажирского вагонного парка доля пассажирских вагонов, предназначенных для перевозки пассажиров, составляет 87,7% или 1833 единицы. Из них со сроком службы от 20 до 27 лет количество вагонов составляет 730 ед. (40 %), свыше 28 лет с продлением сроков службы - 306 ед. (17 %), в ожидании исключения (списания) - 108 ед. (6 %) При средненормативном сроке службы пассажирских вагонов 28 лет средний возраст вагонов составляет 20 лет, что составляет более 70 % износа.

Последнее крупное приобретение пассажирских вагонов датируется 1993-1995 годами, когда было закуплено 317 вагонов на кредитные средства, срок погашения которых истек в 2003 году. В период с 1985 по 1995 годы в среднем ежегодно приобреталось по 86 пассажирских вагонов, тогда как в последние годы (1996-2007 годы) было приобретено в среднем по 13 единиц.

Обновление последних лет связано с покупкой в 2001-2004 годах 56 вагонов производства испанской фирмы «Patentes Talgo», 2007 году - 152 пассажирских вагонов постройки КНР, из которых на сегодняшний день курсирует только 95 пассажирских вагонов в западном направлении (№34/33 Актобе-Алматы, №41/42 Алматы-Атырау). При этом вместимость пассажирских вагонов испанской фирмы «Patentes Talgo» вдвое меньше чем в вагонах старой постройки.

Несмотря на указанное приобретение новых вагонов, текущее положение парка пассажирских вагонов остается критическим.

Проведенный анализ населенности пассажирских поездов по направлениям, показывает, что наиболее высокая и устойчивая населенность пассажирских поездов наблюдается в северном регионе в направлениях Костанай - Астана - Павлодар, Астана - Кызылорда, где населенность пассажирских поездов в летние и праздничные дни составляет свыше 85-90%, в юго-западном регионе в направлениях Алматы-Мангышлак, Алматы-Атырау-Астрахань также наблюдается высокая населенность существующих пассажирских поездов.

Для удовлетворения в полном объеме потребности населения в пассажирских перевозках в данных направлениях предлагаются следующие мероприятия (см. табл. 1.1):

Таблица 1.1

Мероприятия необходимые, для удовлетворения потребности населения


Кроме того, учитывая неполную составность пассажирских поездов по всем направлениям курсирования существует потребность в увеличении схем 163 составов на 289 ед. пассажирских вагонов или в среднем на 1,7 вагона.

Таким образом, на сегодняшний день общая дополнительная потребность в пассажирских вагонах с учетом увеличения периодичности курсироваиия, продления маршрута следования и пополнения схем пассажирских поездов, составляет 411 единиц, в том числе, для обеспечения перевозок в международном сообщении - 135 единиц, в межобластном сообщении - 255 единиц, в местном и пригородном сообщении - 21 единица.

Уровень износа парка электропоездов в настоящее время превышает 90%. Из 155 вагонов инвентарного парка электропоездов - 90 вагонов находится в рабочем парке, 65 вагонов (42 %) составляют нерабочий парк и подлежат исключению по срокам службы. В течение следующих 5 лет подлежит списанию еще 70 вагонов электропоездов[10].

Для обеспечения потребного количества моторвагонного подвижного состава в период с 2009 по 2013 годы необходимо приобретение 98 ед. вагонов электропоездов с учетом запланированного приобретения в 2009 году 28 вагонов.

Таким образом, имея значительный дефицит парка вагонов, сегодня более трети поездов недостаточно сформированы, составы отправляются усеченные, что не позволяет удовлетворить спрос ежесуточно свыше 10 тыс. человек из 40 тыс. перевозимых пассажиров, что составляет порядка 25 % .

В дальнейшем ожидается ухудшение ситуации, поскольку в течение следующих пяти лет подлежат выбытию по истечению сроков службы свыше 600 вагонов, предназначенных для перевозки пассажиров, или ежегодно более 120 единиц.

Следствием дефицита пассажирского подвижного состава является:

формирование неполносоставных поездов;

сокращение маршрутов;

увеличение интенсивности использования подвижного состава в ущерб плановому обслуживанию и ремонту;

отсутствие технологического резерва пассажирских вагонов.

Таким образом, до 2013 года требуется приобретение 934 ед. пассажирских вагонов и 98 вагонов-электропоездов (см. таблицу 1.2).

В целях решения проблем обновления пассажирского вагонного парка Обществом вынесено на рассмотрение АО «ФНБ «Самрук-Қазына» и Министерства транспорта и коммуникаций Республики Казахстан вопрос об изыскании источников финансирования, при необходимости инициирования данного вопроса на рассмотрение Правительства Республики Казахстан.

Таким образом, все принимаемые Обществом меры будут способствовать оказанию пассажирам качественных и безопасных услуг, а также достижению прозрачности, открытости и эффективности деятельности Общества.

2. Характеристика пассажирской станции А

Станция А является пассажирской станцией сквозного типа и по объему работы отнесена к 1 классу (рис. 2.1). Путевое развитие состоит из 7 приемоотправочных путей для пассажирских поездов дальнего и местного следования: 1, 3, 4, 6, 7, 8, 9.

Для пропуска грузовых поездов, а также для выполнения маневровой работы имеются три ходовых пути: 2, 5, 10.

Пути для отстоя пригородных поездов расположены со стороны вокзала - это 15 и 16 пути.

Имеются также тупики для смены локомотивов у транзитных пассажирских поездов и стоянки маневровых локомотивов: 11, 12, 13, 14.

На станции предусмотрены также почтово-багажные устройства, расположенные со стороны пассажирского здания,

Для посадки и высадки пассажиров перронные пути оборудованы высокими пассажирскими платформами - это основная пассажирская платформа и три промежуточных платформы, длиной 600 м каждая. Пассажирское здание и промежуточные платформы соединены для удобства пассажиров 2 тоннелями.

С четной стороны к станции примыкает технический парк, в котором расположены вагономоечная машина, ремонтно-экипировочное депо, парк резервных составов, вагонное депо и пункт газовой обработки вагонов.

На рисунке 2.2 показана диаграмма пассажиропотока в дальнем и местном сообщении за последние 5 лет.

Рисунок 2.1. Схема пассажирской станции А

.1 Структура управления пассажирской станцией

В положении о железнодорожной станции определены структура руководства, права и обязанности ответственных административных лиц на станции.

Руководителем и организатором всей работы пассажирской станции является ее начальник. Он назначается в соответствии с установленной номенклатурой должностей. В состав руководства пассажирской станции наряду с начальником входят первый заместитель по оперативной работе, инженер станции, заместитель начальника станции по кадровым вопросам (рисунок 2.2).

Рисунок 2.2 Диаграмма пассажиропотока по станции А

Рисунок 2.3 Структура управления пассажирской станцией

Первый заместитель начальника станции по оперативной работе обеспечивает выполнение технологического процесса всего технологического цеха, пассажирской и технической станции. Заместитель начальника станции по коммерческой работе руководит грузовой и коммерческой работой, а также работой багажного цеха (отделения).

Инженер (главный инженер) станции ведает вопросами техники безопасности и безопасности движения, внедрения новой техники и передовой технологии, развитием хозяйства станции [12].

Заместитель начальника станции по оперативной работе отвечает за выполнение сменных производственных заданий и должностных обязанностей сменными руководителями, содержание стрелочного и сигнального хозяйства, ведет контроль за оформлением технической документации, занимается расстановкой людей по сменам на станции.

Маневровый диспетчер пассажирской станции обеспечивает выполнение всей оперативной работы на собственно пассажирской и технической станции (парке) по своевременному формированию, подаче и выставке составов из парка в парк в соответствии со сменно-суточными заданиями, руководит маневровой работой с пассажирскими и грузовыми вагонами.

Дежурные по паркам технической станции выполняют маневровую работу по указаниям маневрового диспетчера. Они несут ответственность за обеспечение безопасности маневровых передвижений, своевременное и правильное формирование поездов, за соблюдение правил техники личной безопасности при производстве маневровой работы. Ответственность за прием, отправление поездов и приготовление маневровых маршрутов несет дежурный по станции, в помощь которому выделены дежурные по паркам, обеспечивающие прием, отправление поездов и взаимодействие между пассажирскими и техническими парками. Дежурный по станции, кроме общего руководства приготовлением поездных и частично маневровых маршрутов, лично контролирует работу дежурных по паркам.

.2 Устройства пассажирской станций А

Пассажирская станция выполняет большой объем работы по обслуживанию пассажиров и приему-отправлению пассажирских поездов. Кроме того, выполняются следующие технические операции:

технический осмотр составов пассажирских поездов;

смена локомотивов у транзитных поездов (на тех станциях, где это предусмотрено графиком движения);

экипировка локомотивов и вагонов поездов, проходящих станцию транзитом;

на некоторых станциях отцепка и прицепка вагонов к проходящим поездам, а также переформирование составов;

уборка на пути технического парка или технической станции составов поездов, оканчивающих свое следование на данной станции, а также подача составов на перронные пути под посадку пассажиров;

         отстой составов пассажирских дальних и пригородных поездов в ожидании подачи под посадку.

Для выполнения перечисленных выше операций на пассажирской станции имеются следующие устройства:

пассажирское здание (вокзал) со всеми необходимыми помещениями для полного и высококачественного обслуживания пассажиров, а также технические здания или помещения в здании вокзала для работников станции;

пассажирские платформы для удобной и безопасной посадки-высадки пассажиров; платформы для перемещения почты, багажа и грузобагажа; переходы между зданием вокзала и пассажирскими платформами и между отдельными платформами;

путевое развитие для приема и отправления поездов, для стоянки отцепляемых вагонов (служебных, багажных, почтовых и др.), для производства маневров и для отстоя составов там, где это требуется по условиям движения поездов;

устройства для снабжения локомотивов и вагонов водой [13].

.3 Специализация парков и путей пассажирской станции А

Основными условиями, которым должна удовлетворять специализация парков и путей пассажирской станции являются: обеспечение поточности для поездных маневровых передвижений; минимальная затрата времени на маневры; равномерное распределение работы между маневровыми районами; исключение или сокращение до минимума враждебных маршрутов; обеспечение безопасности движения.

Для правильного распределения работы необходимо произвести специализацию парков (путей) собственно пассажирской станции; распределение путей в каждом парке по видам работ (прием и отправление поездов), примыкающим линиям, направлениям движения (четное, нечетное), категориям поездов (дальние, местные, пригородные); закрепление за отдельными путями определенных номеров дальних, местных, пригородных поездов.

На рассматриваемой пассажирской станции закрепление путей произведено по направлениям. Пути 1,3 и 4 предназначены для приема, обработки и отправления нечетных пассажирских поездов дальнего и местного следования. Пути 7, 8 и 9 предназначены для обработки четных пассажирских поездов. 6 путь предназначен для приема и отправления нечетных и четных пригородных составов. Также выделены ходовые пути для пропуска поездных и маневровых локомотивов, отстоя служебных вагонов и вагонов, подготовленных для прицепки к транзитным поездам, для багажных и почтовых

На пассажирской станции порядок выполнения операций по обработке составов и технологические нормы на их производство во многом определяют использование пропускной способности станции, потребность в подвижном составе, число работников, обслуживающих поезда и т.д.

Общим условием при обработке всех прибывающих поездов является выполнение вспомогательных и подготовительных операций до прибытия поезда на станцию. Для этого должна быть организована предварительная информация станции о наличии в поездах свободных мест, количество отгружаемого багажа и почты, необходимость ремонта вагонов или производства других операций с прибывающими поездами [14].

.4 Структура управления вокзалом на пассажирской станции А

Вокзал может иметь различные структурные подразделения. Основные из них: билетно-кассовый цех, справочно-информационная служба, багажное отделение, камеры хранения ручной клади, комната отдыха транзитных пассажиров, комната матери и ребенка (КМ и Р). Помимо этого в состав вокзалов (кроме малых) дополнительно могут включаться группы учета и отчетности (ГУО), ремонтные подразделения и другие службы. На арендных началах на вокзалах размещаются кассы аэрофлота, предприятия бытового обслуживания и общественного питания (почта, телефон, парикмахерские, буфеты, кафе и др.) [15].

Организационная структура управления вокзалом приведена на рисунке 2.4.

В настоящее время регламентируют работу вокзалов следующие документы:

− Правила технической эксплуатации железных дорог Республики Казахстан (ПТЭ);

− типовой технологический процесс работы вокзалов;

− межгосударственные и государственные стандарты строительных норм и правил, санитарных норм и правил, норм пожарной безопасности;

Рисунок 2.4 Организационная структура управления вокзалом

− технический регламент оснащенности железнодорожных вокзалов (подготовлен ЗАО «Трансконсалт» и утвержден Департаментом пассажирских сообщений);

− отраслевые нормы технологического проектирования железнодорожных вокзалов для пассажиров дальнего следования.

В соответствии с этими документами управление работой вокзала базируется на технологическом процессе, который объединяет все отдельные операции, выполняющиеся на вокзале.

Порядок работы каждого руководителя и исполнителя, взаимодействие их с другими работниками вокзала предусматривается в инструкционно-технологических картах (или должностных инструкциях) работников каждой профессии.

.5 Технологический процесс работы вокзала

Технологический процесс работы вокзала должен предусматривать прогрессивную систему оформления проездных документов пассажира и перевозки багажа и обеспечивать культурное обслуживание пассажиров.

При составлении технологического процесса вокзала обязательными являются следующие положения:

− четкая специализация работы каждого подразделения вокзала;

− рациональная последовательность и минимальные затраты времени на выполнение операций, высокая производительность труда работников;

− правильная планировка помещений (билетных касс, справочного бюро, камер хранения и багажных отделений), обеспечивающая прохождение пассажиров без встречных и пересекающихся потоков; автоматизация и механизация производственных процессов;

− введение рациональных графиков работы билетных касс, справочных бюро и багажных отделений;

− ускорение обслуживания пассажиров и максимальное удовлетворение их запросов;

− изучение и внедрение передовых методов работы вокзалов;

− максимальное совмещение профессий отдельных категорий работников.

Технологический процесс работы вокзала имеет следующие основные разделы:

− производственная и техническая характеристика вокзала, содержащая данные об объеме работы и его техническом оснащении;

− организация продажи билетов, справочно-информационная работа на вокзалах, организация пассажиропотоков на вокзале и на платформах;

− организация работы камер хранения и багажного отделения;

− уборка помещений вокзала, привокзальной территории и платформ;

− оперативное планирование работы вокзала;

− культурно-бытовое обслуживание пассажиров.

Технологический процесс работы вокзала определяется объемом и характером работы, а также техническими средствами освоения этого объема.

.6 Производственная и техническая характеристика вокзала

Производственная характеристика вокзала содержит следующие данные:

− число отправленных пассажиров за каждый месяц, по сообщениям с выделением транзитных пассажиров, в пригородном сообщении - по дням недели и часам суток;

− размеры пассажирского движения по видам сообщения на летний и зимний периоды;

− объемы переработки багажа и грузобагажа по прибытию, отправлению и транзиту;

− количество ручной клади, принимаемой в камеры хранения за сутки.

Техническая характеристика вокзала включает:

− схематический план привокзальной площади и вокзала с указанием расположения путей, платформ и основных помещений, их характеристики (площадь, объем, оборудование);

− сведения о применяемых на вокзале средствах автоматизации и механизации;

− данные об устройствах связи (внутренней и внешней).

Организация пассажиропотоков.

На вокзале различают следующие основные потоки пассажиров:

пассажиры отправления, для которых вокзал - начальный пункт движения по железной дороге; они при следовании от привокзальной площади до платформ для посадки в вагоны широко пользуются помещениями вокзала (для наведения справок, покупки билетов, кратковременного ожидания поездов и т.п.). Для пассажиров, купивших билеты предварительно, предусматривают кратчайшие пути (минуя помещения вокзала) от привокзальной площади непосредственно на платформы;

пассажиры прибытия стремятся пройти кратчайшим путем с платформы на привокзальную площадь. Часть пассажиров пользуется камерами хранения, справочными бюро, санитарно-бытовыми помещениями и др.;

пассажиры транзитные находятся на вокзале наиболее длительное время и пользуются почти всеми пассажирскими помещениями, являясь сначала пассажирами прибытия, а после оформления проездных документов - пассажирами отправления;

пассажиры проходящих поездов дальнего следования пользуются вокзальными помещениями сравнительно редко и кратковременно.

На вокзале соблюдают следующие основные требования организации движения потоков пассажиров и багажа:

− возможно полное разделение потоков пассажиров по категориям (дальние, пригородные) и направлениям движения (отправление, прибытие) на привокзальной площади, в пассажирских зданиях, на вокзальных переходах и пассажирских платформах, а также разделение движения потоков пассажиров и багажа;

− пути следования потоков должны быть безопасными, удобными и возможно короткими без пересечений и встречных движений в одном уровне;

− сведение к минимуму излишних подъемов и спусков, а также пересечений пристанционных путей железнодорожного транспорта с потоками пассажиров и багажа в одном уровне;

− расположение устройств и помещений вокзала с учетом рациональной технологической последовательности совершаемых пассажирских операций, исключающее возвратные движения и чрезмерное сосредоточение пассажиров в отдельных местах вокзала.

Предусматривают четкое зонирование и отделение шумных операционных помещений (справочных бюро, касс, вестибюлей и т.п.) от более тихих и спокойных помещений (залы ожидания. комнаты матери и ребенка и т.п.). [17]

Организация пассажиропотоков, обеспечивающая поточность основных операций по отправлению и прибытию пассажиров, показана на рисунке 2.5.

а - посадка пассажира и приобретение билетов;

б - прибытие пассажира в поезде

Рисунок 2.5 Организация маршрутов потоков пассажиров на вокзалах

.7 Основные расчетные параметры вокзалов

Нормирование вокзала ведут в зависимости от расчетного годового потока пассажиров отправления Пврасч.год и расчетной вместимости вокзала Nврасч.год , которые определяют отдельно для дальних (включая местных) и пригородных пассажиров.

Пврасч.год определяют для малых, средних и больших вокзалов дальнего следования, а также пригородных на 10-й год эксплуатации вокзала после окончания его строительства (реконструкции), для крупных - не менее 15 лет.врасч.год определяют числом пассажиров отправления, прибытия, провожающих и встречающих, которые могут одновременно разместиться в помещениях пассажирского здания (павильона) вокзала (при соблюдении нормативных условий обслуживания и площадей помещений на одного расчетного пассажира).

Для вокзала, обслуживающего дальних (местных) пассажиров, расчетный поток определяют за расчетные сутки:

, пасс/сут                            (2.1)

для вокзала, обслуживающего пригородных пассажиров - за расчетный час:

, пасс/час                            (2.2)

где С - среднесуточный за расчетный год поток пассажиров отправления с вокзала;

к1 - коэффициент сезонной неравномерности, учитывающий изменение среднесуточных потоков пассажиров за три наиболее нагруженных месяца года по сравнению с С (для вокзалов дальнего следования 1,1-1,3; для пригородных - 1,0-1,2; относительное большее значение коэффициентов принимают для вокзалов, расположенных на курортах, в местах массового отдыха, исторических и т. п., уточняют по местным условиям);

к2 - коэффициент, учитывающий пассажиров прибытия, а также встречающих и провожающих (для вокзалов дальнего следования 1,1-1,25);

к3 - коэффициент суточной неравномерности, учитывающий изменение суточных потоков пассажиров по двум наиболее загруженным дням недели (например,  или ) по сравнению со среднесуточным потоком С (для вокзалов дальнего следования 1,0-1,15); для пригородных 1,1-1,25);

к4 - коэффициент часовой неравномерности, учитывающий колебания пригородного пассажиропотока отправления в течение суток (1,4-1,7);ч - количество часов в сутки, в течение которых надлежит работать вокзалу (уточняют по местным условиям).

Расчетная вместимость вокзала для дальних пассажиров

 , пасс                                        (2.3)

где Н - нормы расчетной вместимости вокзала в процентах от С (табл. 3.1); принимают (в пределах каждой ее градации) более высокой для относительно малых значений С, при неравномерном распределении потоков пассажиров в течение суток, отправлении поездов преимущественно в ночное время, отсутствии предварительной продажи билетов [18].

3. Расчет оптимального числа билетных касс

Число билетных касс должно обеспечивать полное и своевременное обслуживание пассажиров, приобретающих проездные документы. В настоящее время используют два метода расчета потребного количества билетных касс на вокзале:

ориентировочный, рекомендованный в «Типовом технологическом процессе работы вокзала»;

детальный, основанный на применении теории массового обслуживания и учитывающий качественные показатели обслуживания пассажиров (длина очереди, время ожидания и др.).

По первому методу число билетных касс на вокзале определяется исходя из общего числа пассажиров, отправляемых с вокзала в день максимальных перевозок Ротпр, по данным первичной отчетности о проданных билетах и материалах натурных наблюдений:

,                                      (3.1)

где Рсут - суточный пассажиропоток с учетом направлений специализации билетных касс (число проданных билетов);

Кн - коэффициент неравномерности перевозок;

Ксп - число направлений специализации касс;

СН - суточная норма продажи билетов одним кассиром (СН = КсмН, где Ксм - число смен; Н - сменная норма продажи билетов одним кассиром).

Второй метод расчета числа билетных касс, рассматриваемый ниже, позволяет получить более точные результаты.

Билетно-кассовые системы вокзала относятся к многоканальным системам, имеющим несколько однородных групп каналов обслуживания (специализированных по направлениям работы касс). Отдельные группы специализированных по направлениям работы касс при допущении равновероятного обращения к ним пассажиров можно рассматривать как одноканальные системы[27].

Доля пассажиров, приобретающих билеты в суточных кассах на вокзале в день отправления поезда, αсут не превышает 0,45 - 0,70 их общего числа.

Среднее число билетов β, приходящееся на одного пассажира, обратившегося в кассу с запросом, составляет 1,3. Если учесть, что при обретении билета пассажиром в суточной кассе дата поездки фиксирована, то общее число запросов в окончательном варианте колеблется от трех до шести. При этом доля пассажиров, которым не удалось приобрести билет, в среднем примерно составит γ = 0,15.

Прибывающий на вокзал поток пассажиров считается пуассоновским с интенсивностью λ. Интенсивность обращения пассажиров в кассы суточной продажи билетов λ, соответствующая максимальному уровню загрузки вокзала, представляет собой отношение числа обращений Пmax в кассы в период «пик» к времени работы tсут касс в течение рабочего дня:

.                               (3.2)

Коэффициент суточной неравномерности

                                       (3.3)

Принимая распределение времени обслуживания пассажира по показательному закону, минимально необходимое число билетных касс на вокзале Smin определяем из условия, что для обеспечения нормальной работы кассы коэффициент загрузки кассира φ не должен превышать значение 1:

 или Smin › λtобсл,                                     (3.4)

где Smin - минимальное целое положительное число, удовлетворяющее решению данного неравенства;

μ - средняя интенсивность обслуживания пассажиров кассирами билетных касс.

Средняя интенсивность обслуживания пассажиров кассами определится из следующего выражения:

,                                                    (3.5)

где S - число билетных касс на вокзале;обсл - среднее время обслуживания пассажира в системе «Экспресс-3».

Среднее время ожидания в очереди

.                                           (3.6)

Среднее время, затраченное на приобретение билета:

                 (3.7)

Из условия, что , получаем

                                   (3.8)

Потребное число касс на вокзале S определяется как минимально целое положительное решение этого неравенства.

Среднее число пассажиров на вокзале, ожидающих приобретение билетов:=φ /1−φ .                                                         (3.9)

Средняя длина очереди в одну кассу

                                          (3.10)

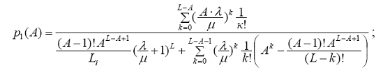
По формулам 3.1-3.10 определим число суточных билетных касс на вокзале и среднюю длину очереди у кассы в период максимальных перевозок с условием, что время обслуживания пассажиров не должно превышать Tmax = 20 мин. Отправление с вокзала в летний период августа составляет ΣPотпрmax = 45333 пассажира. Доля пассажиров, приобретающих билеты в суточных кассах, αсут = 0,5. Значения остальных показателей: β = 1,3; γ = 0,15; Кн = 1,8. Тогда интенсивность обращений в кассы суточной продажи билетов[28]:

 пассажиров/ч = 25,6 пассажира/мин

Неравенство для определения числа касс:

;

 

т.е. S ≥ 25,64. Следовательно, оптимальное число билетных касс будет равно 26.

Коэффициент загрузки одного кассира


Средняя длина очереди в кассу

 пассажира

Среднее время обслуживания пассажира

 мин< 20 мин

.1 Замена билетных касс на билетопечатающие автоматы

В данной дипломной работе предлагается в качестве мероприятия, направленного на развитие пассажирской станции, замена билетных касс на билетопечатающие автоматы (рисунок 3.1).

 

Рисунок 3.1 Современный билетопечатающий автомат

Ответственными за работу билетопечатающих автоматов приказом начальника станции назначаются специальные работники - билетные кассиры, работающие в пригородных кассах, прошедшие обучение и знающие устройство автоматов и настоящую Инструкцию. Ключи от автоматов билетные кассиры передают сменяющему работнику под расписку в книге передачи дежурств.

В билетопечатающих автоматах операционные счетчики опломбированы заводской пломбой. Снимать эту пломбу можно только при ремонте счетчика в мастерских и на заводе. После ремонта счетчик должен быть опломбирован пломбой ремонтной организации.

Денежная выручка в билетопечатающих автоматах поступает в специальные монетосборники, которые пломбируются кассиром-сборщиком. Взамен изымаемых из автоматов монетосборников с выручкой устанавливается свободные монетосборники, также опломбированные кассиром-сборщиком.

Ключи для изъятия монетосборника из автомата хранятся у старшего билетного кассира. Комплект запасных ключей к автоматам хранится в сейфе у начальника станции или вокзала.

Подготовка автоматов к работе и их действие

. Перед включением вновь поступивших билетопечатающих автоматов необходимо снять показания (количество проданных билетов) всех операционных суммирующих счетчиков и счетчиков сдачи. При этом составляется акт в трех экземплярах, который подписывают начальник станции (вокзала) или его заместитель, ревизор по контролю доходов, старший билетный кассир и электромеханик. Первый экземпляр акта передается в группу учета и отчетности станции, второй высылается в финансовую службу дороги, а третий - начальнику финансового отдела отделения дороги. Билетные кассиры, обслуживающие автоматы, должны знать принцип их действия, порядок продажи билетов, уметь составлять отчетность и знать настоящую Инструкцию.

. Кассиры несут материальную ответственность в соответствии с должностной инструкцией. Перед началом работы билетопечатающих автоматов билетный кассир, обслуживающий эти автоматы, обязан проверить наличие в них билетной ленты, заправить краской красящее устройство и установить на дататоре соответствующую дату (число, месяц и год), проверить исправность действия сигнальных ламп, наличие контрольной ленты, подписать ее, указав дату и время, после чего отпечатать пробный билет (со звездочками) и закрыть автомат.

Билет, полученный кассиром путем забрасывания монет, также считается пробным. Пробные билеты кассир гасит (перечеркивает), делая отметку на обороте билета, "Испорчен". Бланки испорченных билетов прикладываются к отчету. Продажа пробных билетов со звездочками или билетов, полученных при проверке работы автоматов путем забрасывания монет, запрещается. Проверка на заброс монет производится при открытой передней дверце автомата без поступления денег в монетосборник. Билетный кассир и механик обязаны периодически проверять работу автоматов. Смену даты на дататоре кассир производит в 00 ч 00 мин ежесуточно.

Сбор денежной выручки и учет проданных билетов

. Монетосборники из автоматов изымает комиссия в составе старшего билетного кассира, кассира-сборщика и билетного кассира, обслуживающего автоматы. Эта операция осуществляется не реже одного раза в сутки, как правило, в дневное время в строго определенные часы, установленные начальником станции, при наименьшем пассажиропотоке. Порядок изъятия монетосборников из автоматов следующий:

Билетный кассир открывает автомат и, получив доступ к контрольной ленте, не снимая ее, отмечает на ней время съема денежной выручки (число и часы) и вместе со старшим билетным кассиром подписывает сделанную отметку. После этого старший билетный кассир изымает из автомата монетосборник и передает его кассиру-сборщику. Взамен от кассира-сборщика он получает порожний опломбированный монетосборник, который и вставляет в автомат.

Допускается другой порядок съема выручки когда деньги из изъятого монетосборника высыпаются в специальный мешок, имеющий тот же номер, что и билетопечатающий автомат, а освободившийся монетосборник, вновь запламбировывают и вставляют наместо.

В процессе съема выручки билетный кассир заполняет под копировальную бумагу в двух экземплярах сборный лист формы ГУ-35. Для автоматов типа АБ-2 заполняются графа 1 и две графы той зоны, до которой работает данный автомат.

Кассир-сборщик проверяет наличие пломбы на монетосборнике и называет шифр пуансона, обозначенный на пломбе, билетному кассиру, который записывает шифр в графу 22 сборного листа, а в графу 23 - шифр пуансона, обозначенный на пломбе вставляемого в автомат порожнего монетосборника. После этого старший билетный кассир запирает автомат ключом.

Для автоматов типа АБ-3 заполняются графы сборного листа 1, 3-16, 22, 23; для автоматов типа АБ-4 - графа 1, две графы той зоны, до которой работает данный автомат, графы 17, 18, 22, 23; для автоматов типа АБ-5 - графы 1, 2, 3-18, 22, 23.

Автоматы, имеющие бункера сдачи, пломбируются шифром того же пуансона, которым запломбирован монетосборник.

Открывание и запирание автоматов всех типов, проставление отметок в контрольной ленте, изъятие и установка монетосборников с соответствующими записями в сборном листе производится так же, как и для автоматов типа АБ-2.

. Во время изъятия денежной выручки из автоматов принимаются меры к обеспечению полной ее сохранности. Ответственность за сохранность выручки возлагается на кассира-сборщика.

Из монетосборников выручку извлекают комиссионно в специально отведенном помещении. Кассир-сборщик в присутствии старшего билетного кассира и билетного кассира снимает пломбу с монетосборника с выручкой, сверяя при этом номер монетосборника с номером билетопечатающего автомата. После этого подсчитываются монеты. Количество монет, фактически оказавшихся в наличии, записывается в соответствующую графу сборного листа (по типам автоматов). Итоговые суммы выручки автоматов типов АБ-2 и АБ-3 подсчитываются по графе 21, а автоматов типа АБ-4 и АБ-5 - по графе 20. Количество и сумма неплатежных монет записываются в графах 24 и 25 (для всех автоматов).

Примечание. Количество монет в бункерах автоматов, выдающих сдачу, определяется начальником станции (вокзала). При первой зарядке бункеров составляется акт произвольной формы с указанием количества монет и суммы. При каждой инкассации денег из автоматов бункера пополняются до суммы, указанной в акте.

. При изготовлении на дорогах бланков сборных листов, книг продажи билетов билетопечатающими автоматами, сводных ведомостей учета продажи билетов пригородного сообщения и месячной выручки по билетопечатающим автоматам количество колонок в них для заполнения показаний операционных счетчиков должно предусматриваться в соответствии с количеством всех операционных зонных счетчиков в автоматах, применяемых на дороге.

Сборный лист подписывают кассир-сборщик, старший билетный кассир и билетный кассир. Подписанный сборный лист вручается билетному кассиру для заполнения книги продажи билетов формы ЛУ-36. На основании сбортого листа билетный кассир в книге заполняет для автоматов типов АБ-2 и АБ-3 графы 1, 3-16, 19, 26, 30; графы 17, 18, 20, 27, 28, 29 заполняют работники группы учета и отчетности станции. Для автоматов типов АБ-4, АБ-5 кассир заполняет графы 1, 2, 3-16, 19, 21-26, 30; графы 18, 20, 27-29 заполняют работники группы учета и отчетности станции.

. В случае недостачи денег работник группы учета и отчетности совместно с ревизором по доходам повторно проверяет правильность записей в сборном листе и в книге продажи билетов по показаниям контрольной ленты. При подтверждении правильности записей комиссионно проверяется работа автомата с участием ревизора по контролю доходов, электромеханика, старшего билетного кассира и билетного кассира. Для этого производится заброс монет в автомат в количестве 1/3 выручки данного автомата за данный съем. По результатам проверки составляется акт в трех экземплярах с указанием причин недостачи.

Перед проверкой составляется акт произвольной формы в трех экземплярах на выключение автомата с указанием в нем учетных данных. Контрольная лента должна быть снята, подписана старшим билетным кассиром и билетным кассиром с указанием даты и времени снятия.

Первые экземпляры этих актов сдаются в группу учета и отчетности, которая высылает их в финансовую службу дороги вместе с месячным отчетом о продаже билетов; вторые экземпляры хранятся у старшего билетного кассира, а третьи - у старшего электромеханика (электромеханика).

. При обнаружении излишних денег старший билетный кассир после повторной проверки отчетных данных в книге продажи билетов выписывает квитанцию разных сборов с указанием в ней даты, суммы излишних денег и номера автомата. Квитанция сдается в группу учета и отчетности станции, а номер квитанции для подтверждения того, что деньги сданы вместе с выручкой кассиру-сборщику по сборному листу, записывается в книгу продажи билетов.

В случае заявления пассажира о неправильной работе автомата последний вскрывается комиссией, выручка изымается, пересчитывается и лишние деньги возвращаются пассажиру на основании его письменного заявления. Все случаи обнаружения недостачи или излишка денег в автомате старший билетный кассир регистрирует в журнале технического осмотра с указанием даты и номера автомата. Автомат, в котором обнаружены недостача или излишек денег, должен быть немедленно проверен, а выявленные неисправности устранены[18].

. Сводная ведомость продажи билетов пригородного сообщения и учета месячной выручки формы ЛУ-40 составляется по истечении месяца работниками группы учета и отчетности станции на основании данных книг продажи билетов автоматами. Ведомость подписывается начальником станции (вокзала), начальником группы учета и отчетности и представляется в финансовую службу в установленные сроки.

.2 Расчет числа билетопечатающих автоматов для продажи пригородных билетов

Потребное число автоматов для продажи проездных билетов:

где Pmax - максимальный общий пригородный пассажиропоток, обслуживаемый за день максимальных перевозок, чел.;

βa - часть пассажиров, приобретающих билеты через автоматы (βa = 0,2 - 0,7);

αp - коэффициент, учитывающий долю разовых билетов (αp = 0,2 − 0,5);

Пф - производительность автомата ( Пф = 200 - 250 чел./ч).

Коэффициент βa зависит от специфики конкретного вокзала. Коэффициент αр, кроме того, зависит от сезона (зимой αр меньше), дня недели (в воскресенье αр больше) и даже времени суток (в час «пик» αр меньше, чем среднесуточный).

Общий пригородный пассажиропоток по станции и остановочному пункту может быть определен по данным отчетности либо на основе натурного обследования отправлений пассажиров.

Приведенный порядок расчета не учитывает вероятностный характер приобретения билетов пассажирами через автоматы. Для более точных расчетов воспользуемся теорией массового обслуживания [26].

Приобретение пассажирами билетов через автоматы на вокзале можно рассматривать как одноканальную систему массового обслуживания с пуассоновским входящим потоком с интенсивностью λ . Время обслуживания пассажира автоматом tобс постоянно. Максимальная интенсивность пригородного пассажиропотока, обслуживаемого через автоматы:

,                                                (3.12)

где  - число пассажиров, отправленных за «пиковый» период в сутки максимальных перевозок;

Δtпик - длительность «пикового» периода.

Средняя интенсивность обслуживания пассажира автоматом

μ = ПфА.                                                  (3.13)

Коэффициент загрузки автомата

.                                                  (3.14)

Среднее время обслуживания пассажира автоматом

обс =1/ Пф.                                               (3.15)

Для используемых в настоящее время автоматов средняя интенсивность обслуживания в среднем составляет 15 с.

Минимально необходимое число автоматов на вокзале определяется из условия, что коэффициент загрузки автомата φ не должен превышать единицы. Из этого условия минимально необходимое число автоматов

Аmin › λtобс.                                            (3.16)

Среднее время ожидания пассажира в очереди к автомату:

.                                       (3.17)

Среднее время, затраченное на приобретение билета:

.                    (3.18)

Из условия, что среднее время, затраченное на приобретение билета не должно превышать допустимого времени Тдоп, т. е. Т ≤ Тдоп, получаем

.                              (3.19)

Потребное число автоматов на вокзале определяется как минимальное целое число, удовлетворяющее условию

.                    (3.20)

Если учесть, что автоматы время от времени ломаются или их ставят на профилактический ремонт, то на вокзале требуется установка L автоматов (L≥A).

Интенсивность потока отказов автоматов

,                                       (3.21)

где Тотк - средняя наработка на отказ, т.е. среднее время работы автомата между двумя поломками.

Интенсивность потока отключения автоматов для профилактического ремонта

,                                    (3.22)

где Тпроф - среднее время работы автомата от одного профилактического ремонта до другого.

Интенсивность потока восстановления автоматов

,                                                   (3.23)

где Твос - среднее время профилактического или обычного ремонта.

Суммарная интенсивность перехода автоматов в неработоспособное состояние

λ = λотк +λпроф.                                     (3.24)

Время безотказной работы и время восстановления распределено по экспоненциальному закону.

В качестве критерия при выборе общего числа автоматов берется вероятность p∗ = p(A) - вероятность того, что при установившемся режиме работы системы в любой момент времени работоспособными окажутся не менее А автоматов. При этом возможны два режима включения автоматов:

«холодный резерв» - в любой момент времени включено не более А автоматов;

«горячий резерв» - в любой момент времени включены все работоспособные автоматы.

Первый вариант предпочтительней с точки зрения минимизации общего числа автоматов в том случае, когда частота поломок автоматов зависит только от времени их нахождения в включенном состоянии и не зависит от частоты обращения к ним.

Вероятности нахождения в работоспособном состоянии не менее А автоматов: вокзал пассажирский билетопечатающий безотказный

для «холодного резерва»

(3.25)

для «горячего резерва»

                                (3.26)

Вследствие того, что определение вида явной зависимости L от p(A) не представляется возможным, рассчитывать L следует методом последовательных приближений. Вначале рассчитывают p(A) - вероятность безотказной работы А автоматов при отсутствии резервных автоматов. Если эта вероятность меньше нормативно установленной вероятности p∗, то рассчитывается p(A) - вероятность безотказной работы А автоматов при общем их числе

= A + 1 и т.д.

Процесс продолжается до тех пор, пока вероятность р(А) при L = А + к не превысит p∗. В этом случае общее число автоматов, необходимых для обслуживания пассажиров, равно L, из них к - резервных.

Формулы для определения р(А) при L = А, А + 1, А + 2 представлены в таблице 4.1.

Таблица 3.1

Формулы для расчета вероятности безотказной работы


Среднее число пассажиров, ожидающих приобретения билета:

.                                 (3.27)

Средняя длина очереди к автомату

.                                  (3.28)

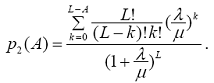
Определим потребное количество автоматов по продаже железнодорожных билетов и среднюю длину очереди к автоматам с тем условием, чтобы пассажир затрачивал на приобретение билета не более Т = 1 мин. В час максимальных перевозок с вокзала отправляется 2000 чел. Часть пассажиров, приобретающих билеты через автоматы на данном вокзале, βa = 0,7. Коэффициент, учитывающий долю разовых билетов, αð = 0,6. Производительность автомата Пф = 200 чел/ч.

Максимальная интенсивность пригородного пассажиропотока, обслуживаемого через автоматы, определится

 чел/мин.

Время обслуживания tобс = 0,3 мин.

Потребное число автоматов на вокзале


Оптимальное число автоматов для продажи билетов А = 5.

Коэффициент загрузки автомата


Средняя длина очереди в автомат

чел.

Среднее время, затрачиваемое на приобретение билета:

мин

.3 Экономическая эффективность замены билетных касс на билетопечатащие автоматы

По результатам расчетов, проведенных выше имеющийся пассажиропоток должны обслуживать 26 билетных касс.

При внедрении 5 билетопечатающих автоматов на станции останется необходимость в 7 билетных кассах.

Капитальные затраты на внедрение автоматов при стоимости одного автомата (с проведением работ по их установке и подключению к системе Экспресс 3) - 1,5 млн. тенге, составят:

Кз = 1,5 · 5 = 7,5 млн.тг

Эксплуатационные расходы на обслуживание билетопечатающих автоматов и при использовании билетопечатающих машин в билетных кассах примем одинаковыми, и учитывать в дальнейших расчетах не будем.

Экономию от внедрения автоматов получим за счет сокращения численности билетных кассиров.

билетных касс будут обслуживать 52 билетных кассира и 2 старших кассира при двухсменной работе.

При внедрении автоматов нам нужны будут только 16 кассиров для билетных касс и два кассира для обслуживания билетопечатающих автоматов.

Средняя зарплата билетного кассира 35 000 тенге.

Тогда в базовом варианте расходы на зарплату составят:

· 35000 · 12 = 22680000 тенге в год

При использовании автоматов расходы на зарплату составят:

· 35000 · 12 = 7560000 тенге в год

Расчет годовой экономической эффективности производим по формуле:

ПЭ = Сб - Сн · Ен       , тенге                           (3.29)

где Сб - эксплуатационные расходы базового варианта;

Сн - эксплуатационные расходы внедряемого варианта

Ен - нормативный коэффициент эффективности (принимается 0,15)

ПЭ = 22680000 - 0,15 · 7560000 = 21546000 тенге

Чистый экономический эффект:

Эг = ПЭ - Кз , тенге                        (3.30)

где Кз - капитальные затраты.

Эг = 21546000 - 7500000 = 14046000 тенге

Срок окупаемости проекта:

, лет                                     (3.31)

 года

Результаты расчетов сводятся в таблицу 3.2

Таблица 3.2

Технико-экономические расчеты

№ п/п

Показатель

Билетные кассы (26)

Билетные кассы (7) и билетопечатающие автоматы (5)

1

Капитальные вложения, тенге

-

7500000

2

Годовые расходы на заработную плату, тенге

22680000

7560000

3

Годовой экономический эффект, тенге


21546000

4

Срок окупаемости проекта, лет


0,4


Таким образом, использование автоматов по продаже билетов является экономически целесообразным, т.к. окупается за 0,4 года при годовом экономическом эффекте 21,546 млн. тенге.

Высвободившихся кассиров и полученную прибыль предлагаю направить на создание сервис центра обслуживания пассажиров на данном вокзале.

4. Охрана труда

.1 Общие требования охраны труда для дежурного помощника начальника железнодорожного вокзала

Настоящая Инструкция разработана на основе Отраслевых правил по охране труда в пассажирском хозяйстве железнодорожного транспорта, утвержденных МТиК 20 ноября 2002 г., N ПОТ Р О-13153-ЦЛ-923-02, и других нормативных документов по вопросам охраны труда и устанавливает основные требования по охране труда для дежурного помощника начальника железнодорожного вокзала (далее - дежурный помощник), осуществляющего руководство работой подразделений железнодорожного вокзала (далее - вокзала), находящихся в его ведении.

На основе настоящей Инструкции на вокзалах может разрабатываться Инструкция по охране труда для дежурного помощника начальника железнодорожного вокзала с учетом местных условий.

К работе дежурного помощника допускаются лица, достигшие возраста восемнадцати лет, прошедшие при поступлении на работу предварительный медицинский осмотр, вводный и первичный инструктаж на рабочем месте по охране труда, обучение, стажировку, не менее 2-х смен, первичную проверку знаний требований охраны труда и противопожарный инструктаж.

Дежурный помощник в зависимости от специфики возложенных на него обязанностей должен иметь соответствующую группу по электробезопасности.

В процессе работы дежурный помощник должен проходить:

повторные, не реже одного раза в три месяца, внеплановые и целевые инструктажи по охране труда;

очередную и внеочередную проверку знаний требований охраны труда;

периодические медицинские осмотры в установленном порядке.

Вновь принимаемый на работу дежурный помощник должен пройти обучение по оказанию первой помощи пострадавшим не позднее одного месяца после приема на работу, а также периодическое обучение не реже одного раза в год [19].

Дежурный помощник должен знать:

действие на человека опасных и вредных производственных факторов, возникающих во время работы;

правила организации работы камер хранения ручной клади, доставки багажа, комнат отдыха пассажиров и других подразделений вокзала;

правила безопасной посадки и высадки пассажиров, своевременной погрузки и выгрузки багажа и грузобагажа;

расписание прибытия и отправления поездов и время их стоянки;

порядок расположения вагонов и места их остановки у платформы;

знаки безопасности, расположенные на территории и в помещениях вокзала;

требования производственной санитарии, электробезопасности и пожарной безопасности;

план эвакуации людей при пожаре;

места расположения первичных средств пожаротушения, органов управления противопожарным оборудованием (автоматической пожарной сигнализации, автоматических установок пожаротушения, дымоудаления, оповещения о пожаре);

места хранения аптечки с необходимыми медикаментами и перевязочными материалами.

Дежурный помощник должен:

выполнять только входящую в его обязанности или порученную начальником (заместителем начальника) вокзала работу;

осуществлять руководство работой и взаимодействие всех подразделений вокзала, находящихся в его ведении;

обеспечивать надлежащее санитарное состояние всех помещений вокзала, перрона и платформ, привокзальной территории;

организовывать своевременную очистку платформ и привокзальной территории от бытового мусора, снега и льда;

следить за содержанием в чистоте рабочих мест работников, находящихся в его ведении, отсутствием посторонних предметов в помещениях вокзала и прилегающей к нему территории;

следить за исправным содержанием оборудования, инвентаря, приспособлений и средств индивидуальной защиты, используемых работниками находящихся в его ведении;

выполнять требования запрещающих, предупреждающих, указательных и предписывающих знаков, надписей, а также сигналов, подаваемых машинистами, водителями транспортных средств и другими работниками железнодорожного транспорта;

соблюдать правила внутреннего трудового распорядка и установленные режимы труда и отдыха;

уметь оказывать первую помощь пострадавшим;

знать и соблюдать требования настоящей Инструкции.

Во время работы на дежурного помощника могут воздействовать следующие основные опасные и вредные производственные факторы:

движущийся железнодорожный подвижной состав, транспортные средства, транспортно-уборочные машины;

повышенное значение напряжения электрической цепи, замыкание которой может произойти через тело человека;

повышенная или пониженная температура воздуха рабочей зоны;

повышенная влажность и подвижность воздуха;

недостаточная освещенность рабочей зоны в темное время суток;

эмоциональные перегрузки;

Дежурный помощник должен носить форменную одежду установленного образца.

Личную и форменную одежду следует хранить отдельно друг от друга в шкафчиках, которые необходимо содержать в чистоте и порядке.

Дежурному помощнику необходимо соблюдать санитарные требования к условиям хранения и приема пищи. Принимать пищу следует в специальном помещении, имеющем соответствующее оборудование. Перед едой необходимо вымыть руки водой с мылом. Воду пить только кипяченую или бутилированную.

Применяемое бытовое оборудование необходимо эксплуатировать в соответствии с инструкцией по его эксплуатации.

Дежурный помощник должен знать сигналы пожарной тревоги, типы первичных средств пожаротушения и уметь пользоваться ими.

Находясь в здании вокзала, служебных и бытовых помещениях, необходимо соблюдать следующие меры пожарной безопасности:

курить только в специально отведенных и приспособленных для этого местах;

пользоваться электронагревательными приборами (электрочайниками, электроплитами и т.п.) только в специально оборудованных для этих целей местах;

обо всех неисправностях электроприборов, электрооборудования и освещения помещений вокзала сообщать дежурному электромонтеру;

перед закрытием служебного помещения убедиться, что условия к загоранию в нем исключены: закрыты двери, выключены электроприборы, внутреннее освещение, включена пожарно-охранная сигнализация;

не допускать загромождения путей эвакуации людей, противопожарных проходов, проездов, подъездов к противопожарному оборудованию.

Дежурному помощнику запрещается:

прикасаться к оборванным и оголенным проводам, контактам и другим легко доступным токоведущим частям электрооборудования;

открывать распределительные щиты, шкафы и пульты управления;

ремонтировать и регулировать радиооборудование, системы вентиляции, отопления и другое оборудование;

пользоваться временной или неисправной электропроводкой, электрооборудованием, производить переоборудование электросети[20].

При следовании к месту работы и обратно дежурный помощник должен проходить по территории вокзала по установленным маршрутам, обозначенным указателями "Служебный проход", быть предельно внимательным в местах движения автотранспорта. Переходить железнодорожные пути только в установленных местах по проходам, переходам, тоннелям. Проходить вдоль путей, по обочине пути или посередине междупутья, при этом следить за движущимися поездами, маневровыми составами и локомотивами. Если дежурный помощник оказался между движущимися по соседним путям поездами, локомотивами, то следует немедленно присесть или лечь на землю в междупутье.

В должностные обязанности дежурного помощника не входит работа на железнодорожных путях. При необходимости, по поручению начальника (заместителя начальника) вокзала, а также в аварийных ситуациях дежурный помощник может привлекаться для организации работ в зоне железнодорожных путей.

При нахождении на железнодорожных путях дежурный помощник должен соблюдать следующие требования:

переходить пути только под прямым углом, предварительно убедившись, что в этом месте нет движущегося на опасном расстоянии подвижного состава;

при проходе вдоль пути обходить предельные столбики, желоба, водоотводные лотки и колодцы, устройства СЦБ, связи и другие устройства, расположенные на междупутье;

переходить путь, занятый подвижным составом, пользуясь только тамбурами пассажирских вагонов;

при сходе с вагона на низкую платформу держаться за поручни и располагаться лицом к вагону, предварительно осмотрев место схода, убедившись в исправности поручней, подножек и отсутствии приближающегося подвижного состава на соседнем пути;

обходить группы вагонов или локомотивов, стоящие на пути, на расстоянии не менее 5 м от автосцепки;

проходить между расцепленными вагонами, если расстояние между автосцепками этих вагонов не менее 10 м;

обращать внимание на показания светофоров, звуковые сигналы и предупреждающие знаки;

надеть сигнальный жилет со световозвращающими полосами.

При нахождении на железнодорожных путях дежурному помощнику запрещается:

переходить или перебегать пути перед движущимся подвижным составом или сразу же вслед за прошедшим составом, не убедившись, что по соседнему железнодорожному пути не движется встречный поезд;

подлезать под вагонами;

становиться или садиться на рельсы;

находиться на междупутье между поездами при безостановочном их следовании по смежным путям;

садиться на подножки вагонов или локомотивов и сходить с них во время движения;

переходить пути в пределах стрелочных переводов;

при переходе путей наступать на головки рельсов и концы железобетонных шпал;

находиться в местах, отмеченных знаком "Осторожно! Негабаритное место", а также около этих мест при прохождении подвижного состава;

наступать на электрические провода и кабели;

прикасаться к оборванным проводам контактной сети и находящимся на них посторонним предметам независимо от того, касаются они земли и заземленных конструкций или нет;

приближаться ближе 2 м к токоведущим частям контактной сети и воздушных линий, находящимся под напряжением, а к оборванным проводам, касающимся земли, - ближе 8 м.

Дежурный помощник, обнаруживший обрыв проводов или других элементов контактной сети, а также свисающие с них посторонние предметы, должен немедленно сообщить об этом начальнику (заместителю начальника) вокзала или в ближайший район контактной сети.

До прибытия ремонтной бригады опасное место следует оградить любыми подручными средствами и следить, чтобы никто не приближался к оборванным проводам, касающимся земли, на расстояние менее 8 м.

В случае попадания в зону "шаговых напряжений" необходимо ее покинуть, соблюдая следующие меры безопасности: соединить ступни ног вместе и, не торопясь, мелкими шагами, не превышающими длину стопы, не отрывая ног от земли, выходить из опасной зоны.

Выходя из помещений вокзала на перрон, других помещений и зданий, необходимо предварительно убедиться в отсутствии движущихся транспортно-уборочных машин и другого подвижного состава, быть внимательным при гололеде, в холодное время года и при плохой видимости, а в темное время суток, кроме того, подождать, пока глаза привыкнут к темноте.

В случае получения травмы или заболевания дежурный помощник должен прекратить работу, поставить в известность начальника (заместителя начальника) вокзала и обратиться за помощью в медпункт вокзала или ближайшее медицинское учреждение.

При травмировании кого-либо из работников вокзала дежурный помощник должен оказать первую помощь пострадавшему и при необходимости организовать доставку его в медпункт. Сообщить об этом или о любой ситуации, угрожающей жизни и здоровью людей, начальнику (заместителю начальника) вокзала.

При обнаружении нарушений настоящей Инструкции или неисправностей оборудования, инвентаря, средств пожаротушения дежурный помощник должен сообщить начальнику (заместителю начальника) вокзала.

При обнаружении бесхозной сумки, портфеля, свертка и других подозрительных предметов немедленно сообщить об их обнаружении начальнику (заместителю начальника) вокзала или работникам транспортной милиции.

Дежурному помощнику запрещается находиться на работе в состоянии алкогольного, токсического или наркотического опьянения или с его остаточными явлениями.

Дежурный помощник, не выполняющий требования настоящей Инструкции, несет ответственность в соответствии с законодательством Республики Казахстан.

.2 Требования охраны труда перед началом работы

Перед началом работы дежурный помощник должен надеть форменную одежду и привести ее в порядок. Форменная одежда должна быть подобрана по размеру и росту, исправна, не сковывать движения.

Перед началом работы дежурный помощник должен:

принять установленным порядком смену;

ознакомиться с оперативной обстановкой на вокзале;

проверить исправность средств связи;

осмотреть свое рабочее место и привести его в состояние, обеспечивающее безопасность работы;

убедиться в достаточной освещенности рабочего места;

проверить наличие противопожарных средств и укомплектованность аптечки первой помощи.

Убедиться в том, что подчиненные ему работники одеты в спецодежду и обеспечены необходимыми инвентарем, инструментом, приспособлениями. При необходимости провести работникам целевой или внеплановый инструктажи.

При обнаружении неисправностей и недостатков дежурный помощник должен организовать их устранение, а при невозможности устранения сообщить начальнику (заместителю начальника) вокзала для принятия соответствующих мер.

.3 Требования охраны труда во время работы

В помещениях и на территории вокзала дежурный помощник должен следовать по установленным маршрутам прохода и соблюдать следующие требования безопасности:

закрывать и открывать двери плавно, без стука, держась за ручки дверей;

быть внимательным при проходе через стеклянные и вращающиеся двери;

спускаться по лестницам осторожно, не спеша, держась за перила;

не нести перед собой предметы, из-за которых не видно ступенек при подъеме или спуске с лестницы;

крепко держаться за поручни при проезде на эскалаторе, так как в любой момент он может остановиться;

нажать кнопку вызова диспетчера при остановке лифта между этажами и не предпринимать никаких действий по освобождению из кабины лифта;

обращать внимание на бесхозные сумки, портфели, свертки и другие предметы, в которых могут находиться взрывные устройства, и немедленно сообщить об обнаружении таких предметов работникам транспортной милиции.

Осуществляя контроль за безопасной посадкой и высадкой пассажиров, своевременной погрузкой и выгрузкой багажа и грузобагажа, дежурный помощник должен:

при проходе по пассажирским платформам не подходить к краю платформы ближе 0,5 метра, а при наличии вдоль края платформы ограничительной черты белого цвета не заходить за нее и требовать соблюдение этих правил другими работниками вокзала и пассажирами;

во время прибытия и отправления поезда заблаговременно отойти от края платформы на расстояние не менее 1,5 м, повернуться лицом к движущемуся поезду и наблюдать за его движением;

предусматривать окончание операций по погрузке и выгрузке багажа, посадке и высадке пассажиров не позднее 3 - 5 минут до отправления поезда [25].

При необходимости войти или выйти из вагона дежурный помощник должен соблюдать следующие требования безопасности:

подходить к дверям вагона и входить в вагон следует только после полной остановки поезда;

убедиться в надежном креплении поручней входных дверей и откидных площадок, подножек и ступенек вагона, открытая дверь должна быть закреплена на фиксатор;

спускаться вниз по подножкам вагона из тамбура на низкую платформу следует осторожно, держась обеими руками за поручни, и не отрывать рук до тех пор, пока ноги не коснутся земли. Прыгать с тамбурной площадки или подножки вагона не допускается;

при переходе из вагона в вагон необходимо убедиться в том, что фартуки переходных площадок находятся в опущенном положении и не имеют повреждений, угрожающих безопасному проходу.

При организации работ по уборке помещений, пассажирских платформ и территории вокзала дежурный помощник должен:

находясь на убираемой территории, быть внимательным к сигналам, подаваемым движущимся автомобильным и железнодорожным транспортом, транспортно-уборочными машинами;

при организации уборки внутренних помещений вокзала осуществлять контроль за выполнением работниками инструкций по эксплуатации уборочных машин;

при выполнении строительных, ремонтных и других работ на высоте следить за правильным применением работниками инвентарных средств подмащивания, предохранительных поясов и страховочных канатов;

следить, чтобы уборка пассажирских платформ производилась в перерыве между движением поездов, а убираемая территория вокзала достаточно освещена и освобождена от посторонних предметов;

следить за тем, чтобы сбор и удаление бытового мусора производился в специально предназначенные для этого мусоросборники, установленные на территории вокзала, а также соблюдались нормы переноса тяжестей работниками вручную;

при ухудшении погодных условий (гололеде, тумане, плохой видимости) своевременно извещать об этом работников, занятых на уборке пассажирских платформ и территории вокзала;

обеспечить ограждение мест, где ведутся ремонтные, строительные или другие работы (сбрасывание снега, сбивание сосулек с крыши);

в холодное время года во время гололеда следить за своевременной уборкой снега и посыпкой пассажирских платформ, перрона и привокзальной площади песком, мелким щебнем или специальными противогололедными реагентами, разрешенными для применения;

при работе снегопогрузчика находиться на расстоянии не менее 5 м от его лап;

для предотвращения охлаждения и обморожения в холодное время года обеспечить работникам, занятым уборкой территории на открытом воздухе, предоставление перерывов для обогрева;

при выполнении хозяйственных работ в составе двух и более работников (в отсутствии бригадира) назначить старшего группы, который должен контролировать соблюдение другими работниками требований безопасности.

При организации работ по очистке приемоотправочных путей дежурный помощник должен:

согласовать время начала и окончания работ со старшим дежурным по станции и провести целевой инструктаж с работниками, так как очистка приемоотправочных путей в пределах пассажирских платформ от мусора и снега относится к работам с повышенной опасностью;

перед началом работы лично убедиться в освобождении приемоотправочных путей от подвижного состава и наличии записи в журнале формы ДУ-46 о предстоящих работах по очистке конкретных приемоотправочных путей;

назначить старшего группы по очистке приемоотправочных путей, состав которой должен быть не менее двух человек;

проверить наличие у работников сигнальных жилетов со световозвращающими полосами, а у старшего группы - сигнальных принадлежностей.

После выполнения работы по очистке приемоотправочных путей от бытового мусора и снега и выхода работников с железнодорожных путей на пассажирскую платформу дежурный помощник должен доложить дежурному по станции об окончании работ.

При организации работ по перемещению больных, пострадавших и инвалидов по территории вокзала дежурный помощник должен следить за соблюдением работниками правил переноски и транспортировки пострадавших и своевременно давать необходимые распоряжения, обеспечивающие безопасность выполнения работ[29].

4.4 Требования охраны труда в аварийных ситуациях

Действия дежурного помощника при возникновении аварийных ситуаций.

Во время нахождения дежурного помощника на территории и в помещениях вокзала могут возникнуть следующие аварийные ситуации:

загорание помещений вокзала, которое может привести к пожару;

отключение электроэнергии;

обнаружение взрывных устройств, других подозрительных предметов.

При возникновении аварийной ситуации дежурный помощник должен немедленно сообщить о случившемся начальнику (заместителю начальника) вокзала и далее действовать в соответствии с утвержденным планом ликвидации аварий.

Дежурный помощник по сигналу тревоги должен принять участие в организации эвакуации людей в соответствии с планом, оказании пострадавшим первой помощи, предупреждении несчастных случаев или устранении возникшей аварийной ситуации.

При ликвидации пожара необходимо использовать первичные средства пожаротушения.

При пользовании воздушно-пенными, воздушно-эмульсионными, порошковыми, углекислотными огнетушителями струю огнетушащего вещества направлять в сторону от людей. При попадании пены на незащищенные участки тела необходимо стереть ее платком или какой-либо тканью и тщательно смыть чистой водой.

При тушении электроустановок до 1000, находящихся под напряжением, следует применять только углекислотные, порошковые и воздушно-эмульсионные огнетушители, при этом соблюдая указания по мерам безопасности, изложенные в руководстве по их эксплуатации. Подносить огнетушитель ближе 1 м к электроустановке и пламени запрещается.

Запрещается браться незащищенными руками за раструб углекислотного огнетушителя.

Тушить горящие предметы, находящиеся на расстоянии менее 2 м от проводов и конструкций контактной сети и воздушных линий электропередачи, находящихся под напряжением, разрешается только углекислотными и порошковыми огнетушителями.

Тушить горящие предметы водой, воздушно-пенными огнетушителями можно только после указания руководителя работ или другого ответственного лица о том, что напряжение с контактной сети снято и она заземлена.

Тушение горящих предметов, расположенных на расстоянии более 7 м от контактной сети и воздушных линий электропередачи, находящихся под напряжением, допускается любыми огнетушителями без снятия напряжения. При этом необходимо следить, чтобы струя воды или пены не приближалась к контактной сети и другим частям, находящимся под напряжением, на расстояние менее 2 м.

При тушении пламени песком совок или лопату не следует поднимать на уровень глаз во избежание попадания в них песка.

При тушении очага загорания кошмой пламя следует накрывать так, чтобы огонь из-под кошмы не попадал на человека, тушащего пожар.

При загорании на человеке одежды необходимо как можно быстрее погасить огонь, но при этом нельзя сбивать пламя незащищенными руками. Воспламенившуюся одежду необходимо быстро сбросить, сорвать. На человека в горящей одежде можно накинуть плотную ткань, одеяло, брезент, которые после ликвидации пламени необходимо снять.

В ситуациях, связанных с возникновением угрозы террористического акта или нарушением общественного порядка, дежурный помощник должен действовать в соответствии с требованиями нормативных документов АО «НК «КТЖ».

Действия дежурного помощника по оказанию первой помощи пострадавшим при травмах и заболеваниях.

Механические травмы.

При получении механической травмы необходимо провести временную остановку кровотечения. При венозном кровотечении кровь темная, вытекает сплошной струей. Способ остановки - давящая повязка в области ранения, придание пострадавшей части тела возвышенного положения. При артериальном кровотечении - алая кровь, вытекает быстро пульсирующей или фонтанирующей струей. Способ остановки кровотечения - наложение жгута, закрутки или резкое сгибание конечности в суставе с фиксацией ее в таком положении.

Жгут на конечности накладывают выше места ранения, обводя его вокруг поднятой кверху конечности, предварительно обернутой какой-либо мягкой тканью, и связывают узлом на наружной стороне конечности. После первого витка жгута необходимо прижать пальцами сосуд ниже места наложения жгута и убедиться в отсутствии пульса. Следующие витки жгута накладывают с меньшим усилием.

Жгут на шею накладывают без контроля пульса, охватывая им вместе с шеей заведенную за голову руку, и оставляют до прибытия врача. Для герметизации раны накладывают чистую салфетку или многослойную ткань (упаковку бинта).

При наложении жгута (закрутки) под него обязательно следует положить записку с указанием времени его наложения. Жгут можно наложить не более чем на один час.

При переломах, вывихах необходимо наложить на поврежденную часть тела шину (стандартную или изготовленную из подручных средств - доски, рейки) и с помощью бинта зафиксировать ее так, чтобы обеспечить неподвижность двух смежных суставов. При открытых переломах необходимо до наложения шины перевязать рану. Шину располагают так, чтобы она не ложилась поверх раны и не давила на выступающую кость.

При падении с высоты, если есть подозрение, что у пострадавшего сломан позвоночник (резкая боль в позвоночнике при малейшем движении), необходимо дать пострадавшему обезболивающее средство и уложить на ровный твердый щит или широкую доску. Необходимо помнить, что пострадавшего с переломом позвоночника следует перекладывать с земли на щит осторожно, уложив пострадавшего набок, положить рядом с ним щит и перекатить на него пострадавшего. При перемещении пострадавшего следует поддерживать голову, шею, плечи, талию и ноги таким образом, чтобы голова, шея и туловище не смещались. При болях в шейном отделе позвоночника необходимо зафиксировать голову и шею. Пострадавшего с травмой позвоночника запрещается сажать или ставить на ноги.

При растяжении связок необходимо наложить на место растяжения тугую повязку и холодный компресс.

Не допускается самим предпринимать какие-либо попытки вправления травмированной конечности.

Термические ожоги.

При ожогах первой степени (наблюдается только покраснение и небольшой отек кожи) и ожогах второй степени (образуются пузыри, наполненные жидкостью) необходимо наложить на обожженное место стерильную повязку. Не следует смазывать обожженное место жиром и мазями, вскрывать или прокалывать пузыри.

При тяжелых ожогах (некроз тканей) следует на обожженное место наложить стерильную повязку. Запрещается смазывать обожженное место жиром или мазями, отрывать пригоревшие к коже части одежды. Пострадавшему необходимо дать обезболивающее средство, обильное питье.

Травмы глаз.

При ранениях глаза острыми или колющими предметами, а также повреждениях глаза при сильных ушибах пострадавшего следует срочно направить в ближайшее медицинское учреждение. Попавшие в глаза предметы не следует вынимать из глаза, чтобы еще больше не повредить его. На глаз наложить стерильную повязку.

При попадании пыли или порошкообразного вещества в глаза следует промыть их слабой струей проточной воды.

При ожогах химическими веществами необходимо открыть веки и обильно промыть глаза в течение 10 - 15 минут слабой струей проточной воды. При ожогах глаз горячей водой, паром промывание глаз не проводится.

Глаза закрывают стерильной повязкой.

Электротравмы.

При поражении электрическим током необходимо как можно быстрее освободить пострадавшего от действия электрического тока (отключить электроустановку, которой касается пострадавший, с помощью выключателя, рубильника или другого отключающего аппарата, а также путем снятия предохранителей, разъема штепсельного соединения).

При отделении пострадавшего от токоведущих частей, находящихся под напряжением, к которым он прикасается, оказывающий помощь не должен прикасаться к пострадавшему без применения надлежащих мер предосторожности, так как это опасно для жизни. Он должен следить за тем, чтобы самому не оказаться в контакте с токоведущей частью, находящейся под напряжением, или под напряжением шага, находясь в зоне растекания тока замыкания на землю.

При напряжении до 1000 В для отделения пострадавшего от токоведущих частей или провода следует воспользоваться подручными средствами (канатом, палкой, доской или каким-либо другим сухим предметом), не проводящими электрический ток. Можно оттащить пострадавшего от токоведущих частей за одежду (если она сухая и отстает от тела), избегая при этом прикосновения к окружающим металлическим предметам и частям тела пострадавшего, не прикрытым одеждой. Можно оттащить пострадавшего за ноги, при этом оказывающий помощь не должен касаться его обуви или одежды без средств электрозащиты своих рук, так как обувь и одежда могут быть сырыми и являться проводниками электрического тока. Можно изолировать себя от действия электрического тока, встав на сухую доску. При отделении пострадавшего от токоведущих частей следует действовать одной рукой.

Если электрический ток проходит в землю через пострадавшего, который сжимает в руке провод, находящийся под напряжением, то прервать действие электрического тока можно следующим образом:

отделить пострадавшего от земли (подсунуть под него сухую доску или оттянуть ноги от земли веревкой или одеждой);

перерубить провод топором с сухой деревянной рукояткой;

сделать разрыв, применяя инструмент с изолирующими рукоятками (кусачки, пассатижи).

Если пострадавший находится на высоте, то отключение установки и тем самым освобождение пострадавшего от действия тока может вызвать его падение с высоты. В этом случае необходимо принять меры для предотвращения дополнительных травм.

В тех случаях, когда пострадавший от поражения электрическим током не дышит или дышит редко, судорожно, необходимо проводить искусственное дыхание. В случае отсутствия дыхания и пульса надо немедленно применить искусственное дыхание и непрямой массаж сердца. Искусственное дыхание и непрямой массаж сердца делаются до тех пор, пока не восстановится естественное дыхание пострадавшего или до прибытия врача.

После того, как пострадавший придет в сознание, необходимо при наличии у него электрического ожога на место электрического ожога наложить стерильную повязку.

Укусы животных.

В случае укуса собакой или другим животным необходимо промыть место укуса (царапины), а также кожу вокруг раны водой с мылом, смазать йодом, наложить стерильную повязку и направить пострадавшего в ближайшее медицинское учреждение для проведения курса прививок.

Отравления.

При отравлении недоброкачественными пищевыми продуктами необходимо промыть желудок пострадавшего, давая ему выпить большое количество (до 6 - 10 стаканов) теплой воды, подкрашенной марганцовокислым калием, или слабого раствора питьевой соды с вызовом у пострадавшего искусственной рвоты. После этого пострадавшего следует напоить теплым чаем и дать выпить 1 - 2 таблетки активированного угля.

При отравлении газами, аэрозолями, парами вредных веществ пострадавшего необходимо вывести на свежий воздух или устроить в помещении сквозняк, открыв окна и двери.

При остановке дыхания и сердечной деятельности приступить к искусственному дыханию и массажу сердца.

Во всех случаях отравления пострадавшего необходимо направить в медпункт вокзала или ближайшее медицинское учреждение.

.5 Требования охраны труда по окончании работы

По окончании работы дежурный помощник должен:

привести в порядок свое рабочее место;

сдать установленным порядком смену;

снятую форменную одежду убрать в шкаф.

Выходя из бытовых и служебных помещений, убедиться, что выключены все электроприборы и внутреннее освещение.

Обо всех нарушениях производственного процесса, трудового распорядка и требований безопасности, замеченных во время работы, и о принятых мерах к их устранению дежурный помощник должен сообщить начальнику (заместителю начальника) вокзала[32].

Средства защиты работающих от вредного воздействия загрязнений воздушной среды по характеру применения подразделяют согласно ГОСТ 12.4.011-75 на две категории: средства коллективной защиты и средства индивидуальной защиты.

К средствам коллективной защиты относят:

средства нормализации воздушной среды производственных помещений и рабочих мест - вентиляцию с очисткой воздуха, кондиционирование воздуха, локализацию вредных факторов в местах их возникновения, отопление, автоматический контроль и сигнализацию;

средства защиты от инфракрасных излучений - оградительные, герметизирующие и теплоизолирующие устройства, вентиляцию помещений, дистанционное управление и знаки безопасности, автоматический контроль и сигнализацию;

средства защиты от высоких и низких температур окружающей среды - оградительные устройства, термоизоляцию, дистанционное управление, устройства для радиационного обогрева и охлаждения, автоматический контроль и сигнализацию.

Средства индивидуальной защиты в зависимости от назначения подразделяют на следующие классы: изолирующие костюмы, средства защиты органов дыхания, специальная одежда, специальная обувь, средства защиты рук, средства защиты лица.

Все средства защиты проектируются, изготовляются и эксплуатируются с соблюдением требований техники безопасности и промышленной санитарии.

Важным фактором обеспечения здоровых условий труда является правильный выбор системы отопления и вентиляции. Показатели микроклимата должны обеспечивать сохранение теплового баланса человека с окружающей средой и поддержание оптимального или допустимого теплового состояния организма. Создание микроклимата, отвечающего нормативам, сопряжено в ряде случаев с большими техническими трудностями. Оптимальные микроклиматические условия установлены по критериям оптимального теплового и функционального состояния человека. Они обеспечивают общее и локальное ощущение теплового комфорта в течение 8-часовой рабочей смены при минимальном напряжении механизмов терморегуляции, не вызывают отклонений в состоянии здоровья, создают предпосылки для высокого уровня работоспособности и являются предпочтительными на рабочих местах.

Поэтому для восстановления трудоспособности работающих в условиях низких температур или в помещениях с большим поступлением явного тепла устраивают специальные пункты отдыха с нормальным микроклиматом. Их располагают не далее 75 м от места работы, но в то же время на достаточном расстоянии от источников излучения. В пунктах отдыха обеспечивают хорошую вентиляцию и устраивают места для приёма пищи.

Требования к микроклимату изложены в СанПиН 2.2.4.548-96 «Гигиенические требования к микроклимату производственных помещений». [17]

Основные требования к освещению. При определении требований, предъявляемых к освещению, исходят из основных свойств зрения, что предполагает создание условий, исключающих утомление зрения и возникновения причин производственного травматизма, способствующих повышению производительности труда. Осветительная установка должна обеспечивать:

достаточную яркость рабочей поверхности или при определённом коэффициенте отражения её достаточную освещённость;

достаточную равномерность распределения яркости (или освещённости) на рабочей поверхности;

отсутствие глубоких и резких теней на рабочей поверхности, а также на полу, в проходах, междупутьях, междувагонных пространствах;

отсутствия в полу зрения наблюдателя больших яркостей;

постоянство освещённости рабочей поверхности во времени.

Все эти требования учитываются действующими нормами проектирования и правилами эксплуатации освещения в производственных помещениях и на открытых пространствах. Основным нормативным документом, регламентирующими нормы проектирования, является глава СНиП 23-05-95 «Естественное и искусственное освещение» [18].

Способы защиты от вибрации организма человека. Требования по ограничению параметров вибраций до допустимых величин должны содержаться во всех стандартах и технических условиях на виброопасное оборудование и средства транспорта (ГОСТ 12.1.012-78).

Вибробезопасные условия труда обеспечивают:

внедрением вибробезопасных машин;

применением средств виброзащиты, снижающих вибрацию, воздействующую на работающих, на путях её распространения;

- проектировочными решениями технологических процессов и производственных помещений, обеспечивающими гигиенические нормы вибрации на рабочих местах;

организационно-техническими мероприятиями, направленными на поддержание технической документации на них, улучшением эксплуатации машин, введением режимов труда, регулирующих продолжительность воздействия вибрации на работающих.

Нормируемый диапазон частот устанавливается:

для локальной вибрации в виде октавных полос со среднегеометрическими частотами 1; 2; 4; 8; 16; 31; 5; 63; 125; 250; 500; 1000 Гц;

для общей вибрации - октавных и 1/3 октавных полос со среднегеометрическими частотами 0,8; 1,0; 1,25; 1,6; 2,0; 2,5; 3,15; 4,0; 5,0; 6,3; 8,0; 10,0; 12,5; 16; 20; 25; 31,5; 40; 50; 63; 80 Гц. Требования к вибробезопасности изложены в ГОСТ 12.1.012-90 «Вибрационная безопасность» и в СН 2.2.4-2.1.8.566-96 «Производственная вибрация, вибрация в помещениях жилых и общественных зданий». [9,10]

Средства индивидуальной защиты от шума. Интенсивный шум неблагоприятно действует на организм человека и может являться причиной профессиональных и производственно обусловленных заболеваний. При работе в условиях шума снижается производительность труда. Шум притупляет внимание, замедляет реакцию человека не те или иные раздражители, мешает восприятию полезных сигналов.

Для защиты от высоких уровней шума применяют противошумные шлемы, которые ограждают от проникновения шума не только через слуховой проход, но и через костную ткань. При дальнейшем повышении шума до пределов, опасных для здоровья человека, применяют противошумные костюмы, изолирующие человека целиком.

Требования к уровням шума на рабочих местах приведены в ГОСТ 12.1.003-83 «Шум. Общие требования безопасности» и в СН 2.2.4/2.1.8.562-96 «Шум на рабочих местах, в помещениях жилых, общественных зданий и на территории жилой застройки» [11,12].

Экологическая безопасность. Экологическая безопасность включает в себя защиту среды обитания растительных и животных организмов от воздействия продуктов жизнедеятельности человека, к которым относятся, в основном, продукты технологических процессов, связанные с научно-техническим прогрессом (разрушение природной среды, нарушение баланса веществ, внедрение не свойственных среде обитания веществ, излучений, энергий).

К экологической безопасности относят: санитарную охрану атмосферного воздуха, санитарную охрану источников водоснабжения, охрану природы, защиту растительного слоя земли (почвы), подземных ресурсов и недр, защиту среды от механических колебаний (шум, вибрация, ударная волна), электромагнитных и ионизирующих излучений.

Источниками загрязнения атмосферного воздуха являются: транспорт, тепловые электростанции, теплоэлектроцентрали, котельные, предприятия черной и цветной металлургии, угольной, нефтедобывающей, нефтехимической, химической промышленности, промышленности строительных материалов. На железнодорожном транспорте источниками загрязнения атмосферного воздуха являются: тепловозы и другие подвижные единицы и ремонтная техника с дизельными и карбюраторными двигателями, котельные установки локомотиворемонтных и вагоноремонтных производств, производство щебня и строительных материалов, шпалопропиточные производства, другие производства, связанные с выбросом в окружающую атмосферу вредных веществ (пыли, газов, аэрозолей).

Установлены предельно допустимые концентрации вредных веществ в атмосферном воздухе: максимальная разовая и среднесуточная.

Мероприятиями по санитарной охране атмосферного воздуха от загрязнения являются: организация безотходной технологии, газификация котельных установок, электрификация транспорта, рекуперация промышленных выбросов, очистка выхлопных газов.

При невозможности полностью исключить загрязнение атмосферного воздуха между промышленной и селитебной (жилой) зоной устанавливают санитарно-защитные зоны в соответствии с санитарной классификацией предприятий.

Основными источниками загрязнения водоемов являются бытовые сточные воды и стоки промышленных предприятий. Требования к качеству воды определяются ГОСТ 2874-82 “Вода питьевая. Гигиенические требования и контроль за качеством”.

Установлены три группы нормативных показателей вредности: бактериологические показатели, показатели токсических веществ в воде, органолептические показатели воды.

Нормативные бактериального состава питьевой воды относятся к общему бактериальному загрязнению и содержанию в воде бактерий группы кишечной палочки. Показатели токсических веществ в воде включают предельно допустимые концентрации, при которых вещества не оказывают прямого или опосредованного влияния (при воздействии на организм в течение всей жизни) и не ухудшают гигиенические условия водопользования.

Органолептические свойства характеризуются интенсивностью допустимого изменения органолептических показателей воды (запах, привкус, цветность, мутность).

Водопользование различают двух категорий: к первой относится использование водного объекта в качестве источника централизованного или нецентрализованного хозяйственно-питьевого водоснабжения, также для водоснабжения предприятий пищевой промышленности; ко второй категории - использование водных объектов для купания, спорта и отдыха населения, а также использование водных объектов, находящихся в черте населенных мест.

Условия спуска сточных вод в водные объекты определяется степенью возможного смещения и разбавления сточных вод с водой водного (бассейна) объекта на пути от места выпуска сточных вод до расчетного (контрольного) створа ближайших пунктов хозяйственного и рыбохозяйственного водопользования и качеством воды водоемов и водотоков выше места проектируемого сброса сточных вод.

Условия спуска сточных вод в водные объекты определяют в свою очередь требования к очистным канализационным сооружениям и сбрасываемым в них стокам.

Практически все проектируемые объекты железнодорожного транспорта расположены вблизи селитебной (жилой) зоны и являются источниками сброса бытовых и промышленных сточных вод.

Наиболее интенсивные загрязнения водных объектов осуществляют локомотиво- и вагоноремонтные предприятия (процесс мойки подвижного состава и его узлов с применением химических средств очистки), пункты налива топлива и нефтепродуктов, пункты погрузки-выгрузки сыпучих грузов (удобрения, химические растворимые соединения) и другие.

Часть загрязнений выбрасывается в городские канализационные системы, чем нарушаются условия спуска сточных вод, другая часть загрязнений смывается поверхностными водами в водные объекты.

Обработка, очистка и контроль состояния воды и водных растворов осуществляется в следующих случаях: при использовании воды для хозяйственно-питьевого водоснабжения; при спуске сточных вод в очистные сооружения; при спуске сточных вод в водные объекты [20].

Очистка воды для хозяйственно-питьевого водоснабжения осуществляется с применением следующих средств:

выбором источника для хозяйственно питьевого водоснабжения (ГОСТ 2761-84 “Источники централизованного хозяйственно-питьевого водоснабжения. Гигиенические, технические требования и правила выбора”);

организацией зон санитарной охраны поверхностных и подземных источников водоснабжения;

строительством водопроводных очистных сооружений и организацией технологического процесса обработки воды;

организацией санитарно-лабораторного контроля качества воды.

Экспертиза проектов, в которых для осуществления или работоспособности объектов проектирования требуется использование воды для хозяйственно-питьевого водоснабжения, должна содержать оценку средств, применяемых для целей водопользования.

Технические средства очистки сточных вод включают с себя устройства, устанавливаемые, как правило, в следующей последовательности:

первичные отстойники;

биологические фильтры;

аэрофильтры;

аэротэнки;

вторичные отстойники.

В качестве самостоятельных очистных сооружений при предварительной биологической обработке (биофильтры, аэрофильтры, аэротэнки) могут применяться биологические (очистные) пруды. На небольших очистных сооружениях (до 1000 м3/сутки) допускается применение хлораторной установки.

При проектировании технологий с образованием загрязненных растворов в первую очередь необходимо рассматривать в зависимости от конкретных местных условий возможность проектирования систем оборотного и повторного водоснабжения цеха или предприятия.

Объектами санитарной охраны почвы являются балластная призма железнодорожного полотна, территория станций, промышленных объектов. При строительстве и эксплуатации железных дорог изменяются свойства и структура почвы, что приводит к нарушению сложившегося равновесия природной среды в полосе отвода. Почва загрязняется промышленными и бытовыми отходами, причем интенсивность загрязнения зависит от интенсивности образования и степени обезвреживания этих отходов. Опасность вредного воздействия того или иного химического вещества определяется не только степенью его токсичности, но и устойчивостью к разрушению в окружающей среде. Ряд химических веществ уничтожают микрофлору почвы, снижая тем самым ее само очищающую способность.

Среди профилактических мероприятий по охране почвы важное место занимает исправность тары (мешков, стеклянных емкостей, барабанов и др.). Ограничению загрязнения почвы вредными веществами способствует обязательное соблюдение предельно допустимых концентраций химических веществ в почве [21].

Заключение

В данной дипломной работе предлагается в качестве мероприятия, направленного на развитие пассажирской станции, замена билетных касс на билетопечатающие автоматы

По результатам расчетов, проведенных в дипломной работе пассажиропоток должны обслуживать 26 билетных касс.

При внедрении 5 билетопечатающих автоматов на станции останется необходимость в 7 билетных кассах.

Капитальные затраты на внедрение автоматов при стоимости одного автомата (с проведением работ по их установке и подключению к системе Экспресс 3) - 1,5 млн. тенге, составят:

Кз = 1,5 · 5 = 7,5 млн.тг

Экономия от внедрения автоматов - за счет сокращения численности билетных кассиров.

билетных касс будут обслуживать 52 билетных кассира и 2 старших кассира при двухсменной работе.

При внедрении автоматов нам нужны будут только 16 кассиров для билетных касс и два кассира для обслуживания билетопечатающих автоматов.

Средняя зарплата билетного кассира 35 000 тенге.

Тогда в базовом варианте расходы на зарплату составят:

· 35000 · 12 = 22680000 тенге в год

При использовании автоматов расходы на зарплату составят:

· 35000 · 12 = 7560000 тенге в год

Чистый экономический эффект:

Эг = 21546000 - 7500000 = 14046000 тенге

Срок окупаемости проекта:

 года

Список литературы

Сайт АО «Пассажирские перевозки»

Пассажирский железнодорожный комплекс. Вокзалы : учеб. пособие для студентов вузов ж.д. транспорта / Е.В. Покацкая, А.С. Левченко. - Самара : СамГАПС, 2007. - 66 с.

Пазойский Ю.О., Рябуха Л.С., Шубко В.Т. «Организация пассажирских перевозок на ж.д. транспорте», М.: Транспорт, 1990г. 240с.

Соловейчик М.З., Сотникова Т.А. «Организация пассажирских перевозок», М.: Транспорт, 2003г. 240с.

«Пассажирские перевозки на ж.д. транспорте» Справочник (Под редакцией Г.Ф.Фомина), М.: Транспорт, 2000г. 223с.

«Железнодорожные станции и узлы» (под редакцией В.М.Акулиничева) М; Транспорт, 1992г., 480с.

Кочнев Р.П. «Пассажирские перевозки на ж.д.транспорте», М.: Транспорт, 2000г. 496с.

Правдин Н.В., Рябуха Л.С., Мукашев В.И. «Технология работы пассажирской станции и вокзала». М; Транспорт, 1990г.

«Проектирование железнодорожных станций и узлов» Правдин Н.В., Негрей В.Я. ,Минск , Высшая школа , 2002г. 200с.

Ф.П.Кочнев, И.Б.Сотников «Управление эксплуатационной работы», М; Транспорт, 2005 г. 320с.

Организация пассажирских перевозок: «Методические указания по выполнению курсового проектирования», Алматы, ТОО «Эверо» , 1998г. 48с.

Технология работы пассажирской станции: Методические указания по выполнению курсового проектирования, Алматы, ТОО «Эверо», 1998г. 34с.

Определение экономической эффективности внедрения новой технологии, Алматы, ТОО «Эверо», 1996г. МУ.

Бекасов В.И., Лысенко Н.Е.,Муратов В.А. «Охрана труда в грузовом хозяйстве железных дорог», М.: Транспорт, 2004г. 182с.

«Охрана труда на ж.д. транспорте» (под редакцией Сыбарова Ю.Г.) , М.: Транспорт, 1981г. 287с.

В.А.Кудрявцев, А.К.Угрюмов, А.П.Романов «Технология эксплуатационной работы на железных дорогах». Учебник для технических школ железнодорожного транспорта. - М.: Транспорт, 1994 г. 250с.

Кочнев Ф.П., Сотников И.Б. «Управление эксплуатационной работой железных дорог». - М.: Транспорт, 1990 г. 450 с.

Заглядимов Д.П., Петров А.П. «Организация движения на железнодорожном транспорте». - М.: Транспорт, 1985 г. 260 с.

Грунтов П.С. «Управление эксплуатационной работой и качеством перевозок на железнодорожном транспорте». - М.: Транспорт, 1994 г. 480с.

Сотников И.Б. «Взаимодействие станций и участков железных дорог». -М.: Транспорт, 2006 г. 240 с.

Сотников И.Б. «Эксплуатация железных дорог (в примерах и задачах)». -М.: Транспорт, 2004 г. 240с.

Каретников А.Д., Воробьев И.А. « График движения поездов».- М.: Транспорт, 1999 г. 300 с.

Тихомиров И.Г. и др. «Организация движения на железнодорожном транспорте». - Минск: Высшая школа, 2002г. 380 с.

Белов И.В., Галабурда В.Г. «Экономика железнодорожного транспорта». -М.: Транспорт, 2009 г. 250 с.

Корешков А.Н. «Выбор оптимальных параметров технологии работы и технического оснащения сортировочных станций». - М.: Транспорт, 1997 г. 240с.

Омаров А.Д., Целиков В.В. и др. «Экологическая безопасность на транспорте». Алматы, 1999 г. 400с.

Омаров А.Д. и др. «Инженерные решения по безопасности труда на транспорте». Справочник: - Алматы, 2002. 460 с.

Жаппаров Ж. Завершающий этап реформ ставит новые задачи и перспективы развития. // Магистраль. - 2005. - № 8. - С. 14 - 21

Организация железнодорожных пассажирских перевозок. А. А. Авдовский, А. С. Бадаев, К. А. Белов и др.; под ред. В. А. Кудрявцева. - М.: Издательский центр «Академия», 2004. - 256с.

Организация движения на железнодорожном транспорте Д. П. Заглядимов, А. П. Петров, Е. С. Сергеев, В. А. Буянов - М.: «Транспорт», 2001. - 234 с.

Общий курс и правила технической эксплатуации железных дорог. Под ред. М. Н. Хацкелевича - М.: «Транспорт», 2004. - 368.

Квицинский А. С., Кулаев Ю. Ф., Ефанов А. Н. Экономическое обоснование мероприятии по улучшению эксплуатационной работы железнодорожного транспорта. - М. Транспорт, 2001. - 254 с.

Похожие работы на - Внедрение мероприятий по увеличению экономической эффективности работы вокзала

 

Не нашли материал для своей работы?
Поможем написать уникальную работу
Без плагиата!
Без нейросетей!