Изучение особенностей стабилографических показателей у девочек 11-14 лет, занимающихся симметричными видами спорта
ВВЕДЕНИЕ
Онтогенез - процесс нелинейный, характеризующийся чередованием этапов
постепенных количественных изменений и резких качественных преобразований, что
требует тщательного анализа организации всех функций организма на разных
стадиях возрастного развития. Совокупность систем организма человека,
объединенных задачей сохранения позы, называется постуральной системой. Эта
система объединяет в себе ряд важнейших подсистем, таких как: нервная система,
опорно-двигательный аппарат, различные сенсорные системы (суставно-мышечную
чувствительность, вестибулярный аппарат, зрение, слух, барорецепторы стопы и
т.д.), сердечно-сосудистую и другие системы организма (Гурфинкель с соавт.,
1981). Период полового созревания характеризуется интенсивным
совершенствованием координационных механизмов (Васильков, 2008). Одним из
основных условий оптимального развития этих процессов является адекватный
уровень двигательной активности (Любомирский с соавт., 1991).
Поддержание равновесия и координации движений - одно из важнейших условий
жизнедеятельности человека. Для спорта этот тезис актуален вдвойне. На наш
взгляд, в современной спортивной науке научно-методические вопросы анализа
постуральной устойчивости в онтогенезе у юных спортсменов изучены недостаточно
полно. Актуальность таких исследований заключается в том, что использование
методики стабилографического контроля для оценки кинетической устойчивости тела
юных спортсменов является современным диагностическим средством не только
нормальных состояний, но различных нарушений, что позволяет использовать ее для
качественной тренировки вестибулярного анализатора, координационных
способностей, психо-физиологической устойчивости и пр. (Болобан, Мистулова,
2003; Слива, 2003). Необходимо отметить, что существует классификация видов спорта
по характеру их воздействия на связочно-мышечный и костно-суставный аппараты,
степени участия тех или иных групп мышц в работе и особенностям спортивной
рабочей позы на симметричные, асимметричные и смешанные виды спорта (Егоров,
1983). При этом ответ на вопрос о влиянии разных видов спорта на развитие
функции равновесия в подростковом возрасте в литературе освящен недостаточно.
Кроме того, в подростковом возрасте у девочек происходит изменение пропорций
тела, что также, определенным образом, влияет на поддержание равновесия тела.
В связи с вышесказанным, целью нашего исследования явилось изучение
особенностей стабилографических показателей у девочек 11-14 лет, занимающихся
симметричными видами спорта (черлидинг, легкая атлетика).
В задачи исследования входило:
. оценить качество функции равновесия, среднюю линейную и угловую
скорости у девочек контрольной группы, и девочек, занимающихся симметричными
видами спорта;
. выявить особенности положения тела при сохранении равновесия у девочек,
занимающихся симметричными видами спорта;
. оценить показатели смещения центра давления по фронтали и саггитали у
девочек-спортсменов;
. выявить особенности показателей средней скорости перемещения центра
давления, среднего радиуса отклонения центра давления и площади эллипса у
девочек, занимающихся симметричными видами спорта.
ГЛАВА 1. ЛИТЕРАТУРНЫЙ ОБЗОР
.1 Принципы организации и функционирования постуральной
системы человека
Способность сохранять равновесие в вертикальном положении - одно из
важнейших условий при взаимодействии человека и внешней среды. Совокупность
систем организма человека, объединенных задачей сохранения позы, называется
постуральной системой (ПС). Эта система объединяет в себе ряд важнейших
подсистем, таких как: нервная система, опорно-двигательный аппарат, различные
сенсорные системы (суставно-мышечная чувствительность, вестибулярный аппарат,
зрение, слух, барорецепторы стопы и т.д.), сердечно-сосудистая и другие системы
организма. Основу теории постуральной системы человека составляют открытые в
начале XX века представителями физиологической школы в Утрехте (Голландия)
познотонические и установочные рефлексы (Магнус, 1962). Далее успешно
развивалась биомеханика, учение о передвижении человеческого тела в
пространстве, изучение ходьбы и хромоты. И, наконец, около 30 лет назад
появилась постурология (от лат. Postura - постура, определенная поза),
благодаря исследованиям французского ученого П.М. Гаже (Gagey, Assclair, 1977;
Gagey, 1988; Gagey, Toupet, 1997).
Постуральный контроль - способность сохранять равновесие в вертикальном
положении. Существуют два вида двигательных функций: поддержание положения
(позы) и собственно движение. В естественных условиях отделить их друг от друга
невозможно (Мохов, 2009). В то же время, при анализе двигательной активности
полезно различать позные функции, способствующие поддержанию тела в
определенном положении, и, в частности, сохранению вертикального положения в
гравитационном поле Земли и целенаправленные движения. Наше тело подчиняется
закону минимального поглощения энергии, т.е. скелетная система, уравновешивая
себя, сводит к минимуму траты энергии, что повышает ее функциональность и
работоспособность. Иными словами, в человеческом организме заложена программа
способная любыми путями сохранить свое равновесие, затрачивая на это
минимальное количество энергии (Caporossi, 1991). Тело человека в вертикальном
положении в норме совершает колебания в пределах четырех градусов и
поддерживается только тоническими и тонико-фазическими мышцами. Это мышцы
медленные, но могут длительное время быть в напряжении, затрачивая мало
энергии. Для других функций (передвижение в пространстве, захват предметов и
т.д.) существует фазико-тоническая и фазико-фазическая мускулатура
(многосуставные мышцы). Эти мышцы могут короткое время выдержать сильную
нагрузку, но быстро утомляются.
На принципиальные трудности управления двигательным аппаратом как
системой с большим числом механических степеней свободы обратил внимание
выдающийся советский физиолог Н.А. Бернштейн. Он высказывал мысль, что
координация движений - это преодоление избыточных степеней подвижности тела
посредством формирования соответствующих обратных связей. Остается лишь тот
набор степеней свободы, который минимально необходим для выполнения
произвольного движения. Отличительной особенностью биологических систем
является то, что преодоление избыточных степеней подвижности или сжатие
фазового пространства происходит вследствие целенаправленной самоорганизации
как результат деятельности центральной нервной системы. При этом происходит
колоссальное сжатие информационных потоков на вышележащие уровни иерархической
постуральной системы и разгружается произвольное внимание человека (Бернштейн,
1947, 1990).
Равновесие человеческого тела регулируется тремя основными силовыми
векторами (рис. 1).
Переднезадний силовой вектор поднимается сверху от переднего края
большого затылочного отверстия, идет вниз через тела ThX-ThXII и заканчивается
на уровне копчика. Два задне-передних вектора идут от заднего края большого
затылочного отверстия до противоположных вертлужных впадин, проходя по
наружному краю тел ThIII-LII. Соединение концов этих векторов образует два
треугольника, которые называют силовыми треугольниками. Передняя точка верхнего
треугольника является точкой прикрепления передней продольной связки, задние
точки этого треугольника соответствуют подзатылочным мышцам и мыщелкам СI.
Рис. 1 Силовые векторы позвоночника
Исходя из анализа этих силовых векторов понятно, что нарушения в верхнем
силовом треугольнике приведет к изменению положения элементов нижнего
треугольника (силовая адаптация). Суммирующая этих векторов будет определять
линию центра тяжести тела, проходящую через темя, зуб СII, тела ThIV и LIII,
тазовое дно, середину промежности и проецирующееся на опорную поверхность сзади
от линии лодыжек. Задача всех силовых векторов - обеспечение равновесия частей
скелета и равновесия физиологического давления в грудной и брюшной полостях
(Мохов, 2009).
Постуральную устойчивость (в том числе и определенную жесткость тела
человека в условиях гравитации) обеспечивают постуральные рефлексы.
Постуральные рефлексы (от английского postur - поза, положение), термин,
предложенный Шеррингтоном для обозначения рефлексов, обеспечивающих сохранение
определенного положения всего организма или же той или иной его части.
Раздражения, которые вызывают постуральные рефлексы идут или от
проприоцепторов или же от лабиринта. Раздражение, возникающее в мышце
вследствие ее сокращения, продуцирует постуральное сокращение в этой же мышце и
ведет к фиксации достигнутой позы, т.о. достигается ауторегулирование мышечного
тонуса («аутогенетический рефлекторный тонус»). Так, тонус разгибательных мышц
поддерживается их собственными афферентнымы нервами. Если при децеребрационной
ригидности, которая состоит в резком усилении разгибательного тонуса,
перерезать афферентные проводники разгибателей, то ригидность исчезает.
Постуральные рефлексы бывают двух видов:
- позно-тонические рефлексы, которые ограничивают число степеней свободы
суставов - позвоночник оказывается закрепощенным тоническими паравертебральными
мышцами; определенными мышцами ограничивается подвижность в тазобедренных,
коленных и голеностопных суставах и атлантоокципитальном сочленении. Данные
рефлексы обеспечивают также перераспределение тонуса туловища и конечностей в
зависимости от пространственного положения головы и воздействия опоры;
- установочные рефлексы - при отклонении тела человека от вертикали
срабатывают рецепторы вестибулярного аппарата и проприоцепторы суставов и мышц.
Благодаря фундаментальным исследованиям Р. Магнуса и его школы известно, что
функция равновесия осуществляется посредством установочных рефлексов, которые
удерживают центр тяжести тела в пределах проекции площади его опоры и
осуществляют компенсаторное приспособление позы и восстановление утерянного
равновесия тела (Магнус, 1962; Гурфинкель, 1965). Установочные рефлексы, как и
все другие, имеют двигательные, вегетативные и сенсорные компоненты (Курашвили,
Бабияк, 1975). Установочные рефлексы протекают непрерывно, т.к. они
противодействуют постоянно действующей на тело силе земного притяжения.
Сенсорная информация от вестибулярного аппарата поступает по нисходящим
вестибулоспинальным путям к мышцам туловища и конечностей для восстановления
утраченного равновесия. Кроме того, сенсорная информация от вестибулярного
аппарата, а также от проприоцептивной системы поступает по восходящим
вестибулоцеребеллярным и спиноцеребеллярным путям в мозжечок, являющийся
центром равновесия. Безусловно-рефлекторные ответы мозжечка позволяют
многократно воздействовать на мышцы туловища и конечностей, корректируя
первичные вестибулосоматические реакции (Бабский с соавт., 1955).
Рефлекторный аппарат постуральной системы представлен проприорецепторами
и барорецепторами. Проприорецепторы - это сухожильные, суставные и мышечные
тельца. Плотнее всего мышечные веретена лежат в мышцах кисти, стопы и шеи. Они
играют важную роль в регуляции тонких движений, а также в некоторых мышцах
голени (например, m. soleus), имеющих значение для поддержания позы.
Проприорецепторы могут быть функционально подразделены на быстрые фазические,
медленные фазические и тонические волокна (Гурфинкель с соавт., 1965).
Барорецепторы можно разделить на быстро и медленно адаптирующиеся. Тельца
Пачини специализированы для сигнализации быстрых изменений прикосновения -
давления. Этот орган приспособлен для сигнализации о быстрых вибрационных
стимулах, его максимальная чувствительность лежит в пределах 200-300 Гц.
Пороговое ощущение возникает при смещении поверхности рецептора меньше чем на 1
мкм. Умеренно адаптирующиеся рецепторы на стопе представлены тельцами Мейснера.
Они чувствительны к прикосновению и вибрации в пределах 30-40 Гц. Диски Меркеля
располагаются на границе сосочков дермы. Эти рецепторы сигнализируют
статическую интенсивность прикосновения и давления (Gagey, Toupet, 1997; Gagey,
Weber, 1999). Ряд авторов рассматривали стопу как самый важный постуральный
«датчик» (Гурфинкель с соавт., 1965). Таким образом, о быстром смещении центра
тяжести сообщают тельца Пачини и тельца Мейснера. О стататическом распределении
нагрузки информация поступает от медленно адаптирующихся барорецепторов -
дисков Меркеля.
Система постурального контроля складывается из двух подсистем. Первой
подсистемой является мышечно-скелетная подсистема, которая характеризуется
различной степенью выраженности степени свободы движений в суставах, свойствами
тонических и фазических мышц, жесткостью, устойчивостью позвоночного столба, а
также его эластичностью и гибкостью. Второй подсистемой является нервная
подсистема, в которой выделяют центральный анализатор, двигательную часть
(прежде всего, нервно-мышечные синергии), сенсорный вход (соматосенсорная,
вестибулярная и зрительная и др. афферентация, исходящая от постуральных
датчиков, в том числе и от височно-нижнечелюстной суставы, который также
является постуральным датчиком).
Входы в постуральную систему - глаз, внутреннее ухо, стопа. Они имеют
прямую связь с внешним миром, могут прямо улавливать движения тела по отношению
к окружающей среде. Их называют «экзо-входы» в постуральную систему. Глаз
вращается в орбите, тогда как вестибулярный аппарат блокирован в петрозном
массиве височной кости. Позиционная информация, доставляемая через зрение, не
может быть сравнима с позиционной информацией, доставляемой внутренним ухом,
если положение глаза в орбите является чуждым для постуральной системы (Мохов,
2009).
Афферентная информация рецепторов стопы является важным элементом
постуральной системы. В положении стоя происходит постоянный контроль
вертикального положения. Этот поиск равновесия прямостоящего человека
выражается в колебаниях малой амплитуд. Данная механическая модель подобна
перевернутому маятнику. Точка фиксации этого маятника располагается на уровне
лодыжек. Тогда как в цефалической области будет наблюдаться максимальная
амплитуда колебаний. Исходя из данной модели область стоп ниже точки фиксации
колебаний постурологического «маятника» будет относительно неподвижна.
Амплитуда данного «маятника» достигает 40 (Мохов, Усачев, 2004; Новосельцев,
2009).
Окуломоторность является необходимым входом в постуральную систему, хотя
она не имеет никакой прямой связи с внешним миром; это эндо-вход в постуральную
систему. То же применимо и к позвоночнику, в частности, к самым подвижным его
двум частям: шее и пояснице, а также к суставам нижних конечностей. Показано,
что нарушения в деятельности хотя бы одного из датчиков приводят к нарушению
постурального тонуса с развитием функциональной патологии (Fukuda, 1983).
В настоящее время установлена важнейшая роль зрения для осуществления
скоординированной функции поддержания равновесия (Гурфинкель, Бабакова, 1995).
Проведены исследования функции равновесия с закрытыми глазами и с наложением
светонепроницаемой повязки на глаза. Оказалось, что в условиях, когда
сохранялось восприятие света через закрытые веки, испытуемые удерживали
равновесие значительно лучше, чем с повязкой на глазах. Таким образом,
полученные данные свидетельствуют о важной роли афферентного потока от
зрительной сенсорной системы для поддержания равновесия (Гурфинкель с соавт.,
1965; Курашвили, Бабияк, 1975; Базаров, 1988). При сужении полей зрения
показатели равновесия ухудшаются. Перемещение окружающих предметов, светящейся
лампочки, оптокинетическая стимуляция с помощью вращающегося диска или барабана
вызывают смещение центра тяжести испытуемого в сторону движения окружающих
зрительных объектов (Крылов с соавт., 1987).
Два компонента постурального контроля (постуральная устойчивость и
постуральная ориентация) очень тесно взаимосвязаны. Любое изменение
постуральной ориентации мгновенно влечет за собой смещение центра тяжести.
Вместе с тем, и коррекция положения центра тяжести достигается за счет
перемещения структур тела относительно друг друга, то есть за счет изменения
позы. Следовательно, отклонение тела человека от вертикали является
информационно необходимым для восстановления утраченного равновесия (при этом
функционирует преимущественно тоническая мускулатура), поэтому равновесие
здорового человека можно охарактеризовать как устойчивое неравновесие (Мохов,
Усачев, 2004). Природа создала такой механизм поддержания устойчивого
неравновесия с одной целью - эргономики, так как в таком случае тело стремиться
к плавному переключению групп мышц, задействованных в установочных реакциях. Поэтому
человек не устает.
В основе поддержания вертикальной устойчивости лежат следующие
нижеперечисленные законы.
. Шейный рефлекс
Ещё в 1926 г. R. Magnus описано существование тонических изменений (у
зверей и детей анэнцефалов), производимых при ротации шеи: тонус разгибателей
конечностей увеличивается с той стороны, куда повернута голова. A. Tomas (1948)
обнаружил модификацию ответов вестибулярного характера на ротацию головы у
здорового человека, и дальнейшие исследования ряда авторов показали постоянное
участие этого рефлекса в тонических модуляциях нормального человека (Gagey,
1988, Guillaume, 1988; Caporossi, 1991; Гаже, 1993).
. Закон каналов
Если отклонить визуальное пространство пациента, помещая между ним и
окружающей средой оптическую призму малой мощности, то в некоторых направлениях
основания призмы меняется постуральный тонус этого человека. При проведении
теста топтания на месте отмечено, что человека ведет то вправо, то влево в
зависимости от положения основания призмы, т.е. В зависимости от направления
отклонения визуального пространства. Обнаруживается, что эти различные
направления отклонения визуального пространства, способные изменить тонус,
расположены каждое в плоскости полукружных каналов. Итак, имеется
систематическая корреляция между тоническим изменением, произведенным призмой,
направлением основания призмы и плоскостями полукружных каналов. Эта корреляция
была названа законом каналов (Gagey, 1988). Это означает, что можно встретить
пациентов с нарушением равновесия и непропорциональным напряжением мышечной
системы, например, вследствие неправильно подобранных очков.
. Закон перекрестных цепей при ходьбе
Автоматическое балансирование верхних конечностей при ходьбе подчиняется
правилу: одна верхняя конечность идет вперед и ротирует внутрь на стороне, где
нижняя конечность опирается сзади и достигает своего максимума наружной
ротации. Внутренняя ротация одной верхней конечности увеличивает тонус
внутренних ротаторов гомолатерального бедра и симметрично уменьшает тонус
внутренних ротаторов контралатерального бедра; наружная ротация одной верхней
конечности производит обратный эффект (рис. 2). Этот закон позволяет понять,
что у некоторых людей восстановление работы, например, плечевого сустава, будет
возможно только после коррекции нарушения подвижности противоположного бедра
(Guillaume P., 1988, Caporossi, 1991).

Рис. 2. Перекрестные цепи при ходьбе
. Закон плантарных барорецепторов
Систематизация тонических ответов на стимуляцию барорецепторов стопы в процессе
опоры на нее: при увеличении давления на уровне одной плантарной зоны
(благодаря стельке с минимальным утолщением в этом месте) увеличивается тонус
мышц, действие которых имеет тенденцию разгрузить эту зону. Таким образом,
нарушение позиции и подвижности костей стопы может привести к заболеваниям
позвоночника (Мохов, 2009)
. Нижняя челюсть и тонус
Хотя височно-челюстной сустав не входит в число сенсорных постуральных
датчиков, его дисфункция или нарушения прикуса при известной степени
выраженности также могут влиять на постуральное равновесие и вызывать его
изменения. Установлено также, что дисфункции мышц жевательного комплекса
сопровождаются постуральными нарушениями вследствие наличия большого количества
проприорецепторов в мышцах жевательного комплекса, в т.ч. тесной фасциальной
связью подъязычной кости с верхними шейными позвонками (Gagey, 1988; Соловых с
соавт., 2008).
Установлено, что на постуральный баланс оказывают влияние пол, возраст,
функциональное состояние зубочелюстной, сердечно-сосудистой и дыхательной
системы (Арутюнов с соавт., 2009). Кроме того, характер движений и качество
функции равновесия индивидуальны для каждого человека и взаимосвязаны с
психофизиологическим состоянием. Показано, что функциональные показатели
выполнения двигательных стабилографических тестов с биологической обратной
связью в определенной степени взаимосвязаны с конституциональными особенностями
телосложения (Муртазина, 2009).
В настоящее время для оценки функции равновесия человека применяются
компьютерные стабилографы, которые анализируют перемещение центра давления стоп
пациента на платформу прибора (Гаже, 1993; Слива, 1995; Скворцов, 2000) и одним
из перспективным методом анализа вестибулярной устойчивости является векторный
анализ стабилограммы (Усачев, 2001).
1.2 Стабилометрия. Векторный анализ стабилограммы
Стабилометрия как метод регистрации спонтанных движений центра тяжести
тела ортостатически расположенного пациента позволяет обьективизировать
постоянное смещение вертикальной проекции центра тяжести на горизонтальную
плоскость опоры. На нарушение функции равновесия (ФР) у человека при многих
заболеваниях врачи обращали внимание давно. Но только в 1951 году Ромберг
впервые ввел в клинику исследование ФР тела человека при стоянии. В настоящее
время известно, что утомление, интоксикация, заболевания центральной нервной
системы часто проявляют себя в форме расстройств функции равновесия. В 1952
году для изучения ФР человека в ортоградной позе В.С. Гурфинкелем совместно с
Е.Б. Бабским, Э.Л. Ромелем и Я.С. Якобсоном была разработана методика,
названная стабилографией. Эта методика обеспечила возможность точного
количественного, пространственного и временного анализа устойчивости стояния.
Данная методика позволила проводить исследования в нормальных физиологических
условиях, при которых испытуемый не ощущал неудобств от обследования, к нему не
прикреплялись никакие дополнительные датчики, он стоял на жесткой платформе, не
требующей балансировки для сохранения равновесия. Но сложность визуализации и
обработки получаемых сигналов при исследовании устойчивости человека
предопределила чисто академический интерес к стабилографии на протяжении еще
почти 40 лет. Развитие вычислительной техники позволила существенно облегчить
указанные задачи. Компьютеризация стабилографии дала ей второе рождение. За
рубежом этот процесс начался в 80-х годах - примерно на 10 лет раньше, чем в
России, где первые компьютерные стабилографы появились в начале 90-х годов.
Компьютерная стабилография относится к новым и весьма перспективным технологиям
для медико-биологических исследований и успешно используется в диагностике
нарушений опорно-двигательного аппарата человека и его постуральной системы, в
дифференциальной оценке атаксий, для подбора дополнительных средств опоры
(Усачев, 2001;Усачев, Мохов, 2004).
Достоинствами компьютерной стабилографии являются:
· комфортность обследования, которое проводится на специальной
стабилоплатформе в одежде и обуви в положении стоя или сидя, то есть в
комфортных условиях, не требующих специальной подготовки пациента или крепления
на нем датчиков;
· малое время обследования, которое складывается из времени
съема информации (обычно в пределах 20-60 секунд) и времени просмотра
полученных данных и анализа результатов обработки, которое при массовых
обследованиях не превышает 1-2 минуты;
· информативность обследования, которая позволяет оценивать как
общее состояние человека, так и состояние целого ряда физиологических систем,
участвующих в процессе поддержания вертикальной позы;
· высокую чувствительность к воздействию на человека, что
позволяет объективизировать его реакцию на физические и психические
воздействия, на прием лекарственных средств и даже ароматерапевтический эффект;
· многофункциональность, которая позволяет использовать
стабилографию как диагностическое средство широкого спектра заболеваний и
предзаболеваний, как средство контроля и объективизации воздействий на
человека, а также как средство реабилитации нарушений двигательной функции
человека, тренировки его координации (Слива, 1995).
Использование «свободной» стойки при обследованиях с помощью
стабилоанализатора потребовала существенного расширения диапазона регистрации
стабилоанализатором координат центра давления (ЦД). Благодаря конструктивным
решениям, защищенным патентом РФ, испытуемый может стать на стабилоплатформу с
начальным смещением до 150 мм в любую сторону от ее центра. Возможность
«центровки», т.е. совмещения системы координат стабилоплатформы с
математическим ожиданием центра давления испытуемого, позволяет упростить
проведение методик, не требующих точной установки испытуемого на
стабилоплатформу.
При проведении стабилографических обследований следует учитывать
специфическую особенность человека в ортоградной позе. Заметная экскурсия
грудной клетки, связанная с дыханием, при отсутствии мозжечковых нарушений
практически не проявляется в стабилограммах, поскольку реализуется процесс
компенсации за счет противофазного движения торса человека. Если мозжечковые
нарушения есть, то дыхательная волна проявляется в сопоставимом со стабилограммой
размахе. На этом, в частности, основана методика диагностики мозжечковых
нарушений (Слива с соавт., 1995).
Механическая работа сердца хорошо видна в сигналах, отражающих динамику
веса испытуемого при высоком разрешении и компенсации постоянной составляющей.
Возможность синхронного съема стабилограмм и сигналов со встроенных
дополнительных физиологических каналов (пульс, тензометрические сигналы -
становой и кистевой силы, периметрическое дыхание и миограмма) является
достоинством стабилографии.
Опорный контур обследуемых людей, определяемый размером стоп, их
положением и углом разворота, варьирует в широких пределах, но существенной
связи между ним и стабилографическими показателями не установлено. Это
позволяет проще относиться к выбору стойки человека на стабилоплатформе.
«Свободная» стойка обследуемого на платформе не противоречит наблюдениям,
проведенным под руководством В.С. Гурфинкеля, в ее допустимости и
целесообразности, поскольку любая, жестко навязанная схема установки стоп может
восприниматься даже как внешнее воздействие и отрицательно влиять на абсолютное
значение стабилографических показателей (Гурфинкель с соавт., 1986). В то же
время «свободная» стойка позволяет в полной мере использовать основные
достоинства компьютерной стабилографии - комфортность, малое время
исследования, многофункциональность и т.п.. Okyzano предложил квантовать
стабилографический сигнал с частотой 10-20 Гц (Okyzano, 1983), после чего
статокинезиграмма представляет собой последовательное чередование векторов,
имеющих разную длину и направление (рис. 3). Длина каждого вектора отражает
скорость движения в данный момент времени в направлении, соответствующем
направлению вектора (Gagey, Toupet, 1997; Мохов, 2003; Мохов, Усачев, 2004).
Рис. 3. Статокинезиграмма, разделенная на векторы
Для проведения векторного анализа стабилографический сигнал квантуется с
частотой 50 Гц. Векторы, последовательно формирующие статокинезиграмму,
характеризуют различные параметры динамических характеристик перемещения тела в
пространстве. Так как движение неравномерно, то можно оценить, как меняются
скорость и ускорение в процессе перемещения тела человека. Последовательное
построение векторов статокинезиграммы из нулевой точки координат дает
возможность проанализировать их фазовое смешение (вращение).
С целью лучшего понимания сущности коэффициента изменения функции
линейной скорости, предложен показатель качества функции равновесия (КФР). КФР
является стабильным стабилометрическим показателем. КФР характеризует
индивидуальное свойство постуральной системы каждого человека, заложенное
генетически. У одних людей он высокий, у других - низкий. Это не отражается на
качестве жизни, но свидетельствует о профпригодности разных людей к профессиям,
связанным с повышенными требованиями к постуральной системе (высотники,
летчики, космонавты). КФР практически не меняется с возрастом у взрослого
человека. Конечно, он подвержен некоторой флюктуации, связанной с изменением
функционального состояния организма, но диапазон этих изменений невелик
(Усачев, Мохов, 2004).
Если суммировать по модулю площади, составляемые следующими друг за
другом векторами и нормировать полученное значение во времени, то получается
нормированная площадь векторограммы (НПВ). Фазовый анализ векторов расширяет
представление о плавности движения, предоставляет возможность сравнительной
оценки направления углового движения вправо и влево.
1.3 Физиологические изменения опорно-двигательного аппарата в
подростковый период онтогенеза. Влияние физической нагрузки на рост и развитие
подростков
Сохранение здоровья подрастающего поколения в настоящее время относится к
числу наиболее актуальных проблем. Эволюционное развитие человека
предопределило нормальное функционирование всех его органов и систем в условиях
активной двигательной деятельности. Организм человека развивается и формируется
в процессе постоянной двигательной деятельности, требующей значительного
мышечного напряжения. Известно, что физическая нагрузка является важнейшим
фактором жизнедеятельности, без которого не могут полноценно развиваться и
совершенствоваться все физиологические системы организма (Беляев, 1995;
Вальсевич с соавт., 1995; Граевская, 1996; Сонькин с соавт., 1996; Петленко,
1998; Вальсевич, 2000). Кроме того, физические нагрузки являются естественным
стимулом не только для нормальной жизнедеятельности, но и биологического
развития, особенно в ранние периоды онтогенеза и в пубертатный период (Сухарев,
1991; Алифанова, 2002; Тамбовцева, 2002). Особенности двигательных действий и
закономерности формирования двигательных умений и навыков во многом
предопределяют дидактические особенности физического воспитания.
Известно, что физическое развитие детей и подростков - непрерывный
процесс и на каждом возрастном этапе оно характеризуется определенным
комплексом связанных между собой и с внешней средой морфофункциональных свойств
организма. С наступлением периода полового созревания в растущем организме
происходят значительные перемены в длине, массе, составе и пропорциях тела, в
функционировании различных органов и систем. В костной ткани продолжается
процесс окостенения, который в основном завершается в юношеском возрасте. К 13
годам завершается окостенение пястных и запястных отделов рук, затем фаланг
пальцев ног (у девушек к 13-17 годам, у юношей к 15-21 году) (окостенение
фаланг пальцев рук оканчивается к 19-21 году).
Незавершенный процесс окостенения позвоночника может привести у
подростков к различным его повреждениям при больших нагрузках. Окончательно
процесс окостенения завершается к 25-летнему возрасту. Особенно заметным
является «пубертатный скачок роста» - резкое увеличение длины
тела, в основном за счет быстрого роста трубчатых костей. У девочек он
наступает в среднем около 13 лет, когда ежегодный прирост у них достигает 8 см,
а у мальчиков - в 14 лет, составляя до 10 см в год. При этом у подростка
непривычно вытягиваются конечности, но отстает рост грудной клетки. Временно
нарушаются привычные пропорции тела и координация движений. Проявляются
избыточность или дефицит массы тела (Обреимова, Петрухин, 2000).
В возрасте 8-18 лет значительно изменяется длина и толщина мышечных
волокон. Происходит созревание быстрых утомляемых гликолитических мышечных
волокон и с окончанием переходного периода устанавливается индивидуальный тип
соотношения медленных и быстрых волокон в скелетных мышцах. Подростки в этот
период неловки и угловаты. Движения их недостаточно координированы. Во всех их
действиях наблюдается обилие лишних движений, соответственно значительно
повышаются энерготраты на мышечную и познотоническую работу.
Постепенное и поэтапное упрочение костей, связочного аппарата и мышечной
массы у подростка делает необходимым постоянно следить за формированием его
правильной осанки и развитием мышечного корсета, избегать длительного
использования асимметричных поз и односторонних упражнений, чрезмерных
отягощений. Неправильное соотношение тонуса симметричных мышц приводит к
асимметрии плеч и лопаток, сутулости и прочим функциональным нарушениям осанки.
В среднем школьном возрасте нарушения осанки встречаются в 20-30% случаев,
искривления позвоночника - в 1-10% случаев. У девочек и девушек осанка является
более прямой, чем осанка мальчиков и юношей (Анастасова с соавт., 2000).
Подростковый возраст обладает большими потенциальными возможностями для
совершенствования и гармоничного развития и физическая активность играет важную
роль в данном процессе (Шедрина, 2003). Под влиянием систематических занятий
различными видами спорта значительно улучшается физическое развитие,
активируется работа всех органов и систем, повышается работа организма,
направленная на мобилизацию функциональных возможностей (Алифанова, 2002). Чем
больше движений совершает ребенок в повседневной жизни, в процессе учебной
деятельности, во время занятий физической культурой, тем больше образуется
временных связей между двигательными и другими анализаторами и связей внутри
самого двигательного анализатора. Во время движения происходит раздражение
проприорецепторов скелетных мышц, интерорецепторов внутренних органов и
рефлекторно через ЦНС стимулируются жизненные процессы в клетках, тканях,
органах, составляющих различные функциональные системы организма. Повышается
обмен веществ и как следствие - кислородный запрос. Усиливаются катаболизм и
анаболизм в субклеточных структурах, что приводит к обновлению клеток и росту
их биоэнергетического потенциала. Мощная афферентация, поступающая в процессе
двигательной деятельности от проприорецепторов мышц, суставов, связок,
рецепторов внутренних органов, направляется в кору больших полушарий. На этой
основе кора формирует функциональную систему, объединяющую отдельные структуры
головного мозга, все моторные уровни ЦНС и избирательно мобилизирующую
отдельные мышечные группы. Одновременно нейрогенное звено управления
воздействует на центры, регулирующие кровообращение, дыхание, другие
вегетативные функции, гормональное звено. Научно обоснованная двигательная
деятельность в виде занятий физической культурой способствует правильному
формированию осанки, адекватному развитию мышечного «корсета» в период
интенсивного роста, особенно в пубертатный период, характеризующийся ростовым
скачком (Покровский, Коротько, 2003).
В процессе моторного развития нервные окончания и мышцы созревают в
направлении сверху вниз и от центра к периферии. В результате этого подросток
может контролировать деятельность нижних частей тела, приобретать двигательные
навыки. При малоподвижном образе жизни или недостаточных нагрузках двигательных
функций моторное развитие замедляется. Однако костно-мышечная система подростка
очень чувствительна, поэтому каждое новое умение представляет собой
конструкцию, которая возникает по мере того, как он реорганизует имеющиеся
навыки в более сложные системы действий. Поначалу эти движения могут быть
малоэффективными и нескоординированными. По прошествии определенного времени
такие конструкции реорганизуются, регулируются самосознанием подростка, и
движения становятся плавными, скоординированными (так происходит, например,
когда человек учится кататься на коньках) (Казанская, 2008).
В развитии костно-мышечной системы мальчиков и девочек имеются различия.
У мальчиков-подростков доля мышечной ткани больше, а жировой меньше, чем у
девочек. Поэтому они лучше выполняют задания, связанные с физической
выносливостью и силой. Однако известно, что иногда девочки-подростки продолжают
расти в период между 12-17 годами, прибавляют в весе, тем не менее, мальчики
остаются сильнее. Иногда наблюдается и другой факт: девочки, продолжая
физические тренировки и занятия спортом, не только достигают силы и
выносливости мальчиков, но и опережают их в этом. Правда, они начинают
приобретать некоторые физические признаки, характерные для мужчин (Зимкин,
1956).
У подростков, систематически занимающихся спортом, в отличие от их
сверстников, которые ограничиваются занятиями на уроках физической культуры,
развитие физических качеств происходит более гармонично и на значительно более
высоком уровне. Показатели развития двигательной функции у детей 12-14 лет,
занимающихся спортом, могут изменяться в диапазоне от 5% до 25% в зависимости
от использования различных средств физического воспитания (Брянкин с соавт.,
1977; Гужаловский, 1979; Платонов, Булатова, 1992).
Следует также отметить, что у подростков, регулярно занимающихся спортом,
прирост показателей развития физических качеств в течение трех лет в два раза
превышает средние величины прироста, характерные для учащихся, не занимающихся
систематически спортом (Бондаревский, 1983; Алабин с соавт., 1993; Губа, 1998).
Систематические, правильно дозированные физические нагрузки оказывают
также непосредственное влияние на развитие основных свойств нервной системы
подростков. У детей-спортсменов уже через 6 месяцев занятий повышается
лабильность нервной системы. Повышение лабильности зависит от конкретной формы
активности, наиболее интенсивно она развивается при занятии футболом,
сравнительно меньше при занятии гимнастикой и еще меньше при занятии плаванием
(Салатинян, 1977).
Следует также отметить, что занятия физической культурой усиливают у
девочек и мальчиков чувство физической состоятельности, формируют положительный
образ тела, приводят к появлению целеустремленности, выдержки и напористости
(Матвеев, 1999).
Под влиянием продолжительного ограничения мышечной активности
(гиподинамии) наблюдается нарушение энергетических и пластических процессов в
костях и сердечной мышце, изменяется состав костей, нарушается белковый,
фосфорный и особенно кальциевый обмен. Аварийная фаза адаптации к гиподинамии
характеризуется первичной мобилизацией реакций, которые компенсируют недостаток
двигательных функций. К реакциям организма на гиподинамию привлекается, прежде
всего, нервная система с ее рефлекторными механизмами. Взаимодействуя с
гуморальными механизмами, нервная система организует защитные реакции адаптации
на действие гиподинамии. К ним относится возбуждение симпато-адреналовой
системы, которое связано у большинства с эмоциональным напряжением. Такая
последовательность реакций организма предопределяет частичную кратковременную
компенсацию нарушений кровообращения в виде возрастания сердечной деятельности,
повышения сосудистого тонуса и кровяного давления, усиления дыхания (вентиляции
легких). Выделение адреналина и возбуждение симпатического отдела вегетативной
нервной системы способствуют повышению уровня катаболизма в тканях. Но эти
реакции кратковременны и быстро угасают, если гиподинамия продолжается.
Дальнейшее развитие гиподинамии приводит к снижению метаболизма. Уменьшается
выделение энергии и интенсивность окислительных процессов в тканях. В крови
снижается содержание двуокиси углерода, молочной кислоты и других продуктов
метаболизма, которые обычно стимулируют дыхание и кровообращение (Ямпольская,
2000).
Продолжительная гиподинамия существенно ухудшает функциональное состояние
сердца, что проявляется в повышении частоты сердечных сокращений, изменении
фазовой структуры сердечного цикла, снижении объема крови в процессе каждой
систолы. Постепенно уменьшается количество крови, которое циркулирует по
сердечно-сосудистой системе, происходит перераспределение ее массы.
Относительное увеличение внутригрудного объема крови при снижении
гидростатического давления включает рефлекторные механизмы, которые
способствуют продукции антидиуретического гормона, увеличению диуреза и потере
плазмы. Изменение водного обмена объединяется с потерей электролитов, особенно
натрия и калия. Это, в свою очередь, влияет на функциональную активность
нервных тканей (Дубровский, 1989; Новиков, 2003).
Выявлено, что при гиподинамии происходит непрерывная потеря организмом
кальция. Это связано с тем, что при уменьшении нагрузки на костную систему со
стороны мышечно-связочного аппарата, при длительном ограничении физической
подвижности, развивается относительная порозность (разреженность) костной
ткани. При этом выявлено, что дополнительное введение в организм кальция вместе
с пищей малоэффективно, так как нарушения физических механизмов, регулирующих
минеральный, в частности кальциевый, обмен, весьма серьезны (Дубровский, 1989).
Существенная перестройка регуляторных механизмов выводит организм на
новый уровень функционирования. Гиподинамия характеризуется обедненностью
афферентной стимуляции клеток головного мозга, что приводит к преобладанию в
них тормозных процессов и снижению их работоспособности. Развивается
выразительная астенизация функций центральной нервной системы, снижается
умственная работоспособность, повышается утомляемость, слабеет память,
затрудняется логическое мышление, происходят другие нарушения. В данном случае
ухудшается также подвижность нервных процессов, которая свидетельствует об
общем снижении тонуса центральной нервной системы (Чумаков, 1997).
В связи с вышесказанным, необходимо отметить, что в последние годы в
нашей стране в целях профилактики гиподинамии детей и подростков создаются все
лучшие условия для занятий спортом, активно ведется пропаганда здорового образа
жизни среди населения и, как следствие, постепенно начинает развиваться
тенденция к массовости физической культуры и спорта. При этом известно, что
разные виды спорта по-разному влияют на развитие постуральной системы человека.
В некоторых видах спорта (гимнастика, борьба, черлидинг и др.), степень
развития функции равновесия является одним из важнейших критериев
профессионального отбора и физической подготовленности спортсменов, например, в
таких видах спорта, как гимнастика, борьба, черлидинг, и др. Необходимо
отметить, что существует классификация видов спорта по характеру их воздействия
на связочно-мышечный и костно-суставный аппараты, степени участия тех или иных
групп мышц в работе и особенностям спортивной рабочей позы при выполнении
специфических физических упражнений при занятием симметричными, асимметричными
и смешанными видами спорта (Егоров, 1983). При этом ответ на вопрос о влиянии
разных видов спорта на развитие функции равновесия в подростковом возрасте в
литературе освящен недостаточно. Предполагаемое нами исследование поможет
понять степень влияния симметричных видов спорта на особенности развития и
совершенствования постуральной системы в подростковом периоде онтогенеза.
физиологический стабилографический девочка спорт
ГЛАВА 2. МАТЕРИАЛЫ И МЕТОДЫ ИССЛЕДОВАНИЯ
2.1 Группы обследованных школьников
В обследовании приняли участие 37 девочек 11-14 лет, обучающиеся в МОУ
СОШ № 65 г. Ростова-на-Дону, занимающиеся общей физической подготовкой на уроках
в школе и не посещающие спортивные или танцевальные секции.
Было обследовано 34 девочки 11-14 лет, занимающихся черлидингом на базе
школы г. Ростов-на-Дону (МОУ СОШ №6), а также обследовано 33 девочки,
занимающихся легкой атлетикой на базе легкоатлетического манежа г.
Ростова-на-Дону. В обследование были включены дети, занимающиеся данными видами
спорта не менее 3-4 лет. Испытуемые были разделены на следующие группы (табл.
1).
Таблица 1
Группы обследованных девочек
|
№ группы
|
Количество испытуемых
|
Характеристика группы
|
|
1 К (контроль)
|
n=9
|
Девочки 11 лет, обучающиеся
в среднеобразовательной школе
|
|
1А группа
|
n=8
|
Девочки 11 лет,
занимающиеся легкой атлетикой
|
|
1 Ч группа
|
n=8
|
Девочки 11 лет,
занимающиеся черлидингом
|
|
2 К (контроль)
|
n=10
|
Девочки 12 лет, обучающиеся
в среднеобразовательной школе
|
|
2 А группа
|
n=8
|
Девочки 12 лет,
занимающиеся легкой атлетикой
|
|
2 Ч группа
|
n=9
|
Девочки 12 лет,
занимающиеся черлидингом
|
|
3 К (контроль)
|
n=9
|
Девочки 13 лет, обучающиеся
в среднеобразовательной школе
|
|
3А группа
|
n=8
|
Девочки 13 лет,
занимающиеся легкой атлетикой
|
|
3 Ч группа
|
n=9
|
Девочки 13 лет,
занимающиеся черлидингом
|
|
4 К (контроль)
|
n=9
|
Девочки 14 лет, обучающиеся
в среднеобразовательной школе
|
|
4 А группа
|
n=9
|
Девочки 14 лет,
занимающиеся легкой атлетикой
|
|
4 Ч группа
|
n=8
|
Девочки 14 лет,
занимающиеся черлидингом
|
2.2 Исследование функции равновесия
Исследование функции равновесия было проведено на компьютерном
стабилоанализаторе с биологической обратной связью «Стабилан-01» (производство
«ОКБ-РИТМ», г. Таганрог). Стабилографическое исследование было проведено в
первой половине дня, через 2-3 часа после приема пищи. Перед началом проведения
обследования испытуемым объясняли порядок проведения исследования. Во время
обследования обследованный находился на платформе стабилографа в носках. На
данном стабилоанализаторе не имеет значения стойка испытуемого, поэтому
используется «свободная стойка» (испутуемый стоит в максимально удобной для
него стойке).
В отечественной и мировой практике в методике компьютерной стабилографии
комплексно используется в статических и динамических тестах ряд функциональных
проб с использованием зрительных, проприоцептивных и вестибулярных стимулов.
Для анализа функции равновесия в данном исследовании использовали тест «Мишень»
(Руководство пользователя «Стабилан-01»). Данный тест проводится со зрительной
обратной связью. Задача испытуемого заключается в четком сохранении функции
равновесия с открытыми глазами в течение нескольких секунд. При выполнении
данного теста испытуемому необходимо перемещать туловище, стоя неподвижно на
платформе так, чтобы знак внутри мишени на мониторе компьютера был максимально
близок к ее центру.
Оценивали следующие векторные показатели:
КФР - качество функции равновесия (%). Данный показатель оценивает,
насколько минимальна скорость центра давления испытуемого. КФР рассчитывается в
виде процентного отношения к площади, ограниченной функцией распределения длин
векторов скоростей, и некоторой константы, равной площади прямоугольника,
ограниченного осями координат, горизонтальной асимптотой функции кривой
распределения длин скоростей и вертикальной границей. Величина площади одного
кольца и площадь прямоугольника определены на основе экспериментальных данных
различных групп людей. Чем выше значение КФР, тем лучше человек поддерживает равновесие.
НПВ - нормированная площадь векторограммы (мм2/сек.). Это
суммарная площадь векторограммы, отнесенная ко времени записи сигнала.
ЛСС - линейная скорость средняя (мм/сек.) - среднее значение линейной
скорости в процессе обследования.
УСС - угловая скорость средняя (мм/град.) - средняя скорость изменения
направления векторов скорости движения центра давления.
ЛС/УС - характеризует отношение средней линейной скорости к средней
угловой скорости (мм/град.).
Кроме векторных показателей проводили анализ стабилографических
показателей:
- Смещение центра давления (ЦД) по фронтали - оценивает дрейф координат в
процессе проведения исследования по фронтали.
- Смещение центра давления по саггитали - оценивает дрейф
координат в процессе проведения исследования по саггитали.
- Средняя скорость перемещение центра давления - определяет
скорость перемещения центра давления пациента за период обследования.
- Площадь эллипса характеризует рабочую площадь опоры человека.
2.3 Статистическая обработка результатов исследования
Полученные в экспериментах данные подвергали статистической обработке
(Лакин, 1973). Проверку на нормальность распределения величин осуществляли с
помощью коэффициента Колмогорова-Смирнова. Достоверность различий средних
величин независимых выборок оценивали с помощью параметрического критерия Фишера
и непараметрических критериев Вилкоксона и Манна-Уитни в зависимости от типа
распределения показателей. Между анализируемыми показателями также
устанавливали корреляционную взаимосвязь (Юнкеров, Григорьев, 2002).
Для оценки статистической значимости изменений параметров использовали
следующие статистические методы оценки - t-тест, корреляционный анализ. Для оценки корреляционной
зависимости рассчитывали показатель R2, уровень
значимости, принятый при вычислениях - 95% (p<0,05).
Для статистического анализа и графического представления данных
использовали программы Statistica 6.0 (StatSoft Inc., США), Excel 97 и Word 97 (Microsoft Inc., США).
ГЛАВА 3. ОПИСАНИЕ РЕЗУЛЬТАТОВ ИССЛЕДОВАНИЯ
3.1 Векторные показатели стабилограммы в группах девочек
11-14 лет (Усачев)
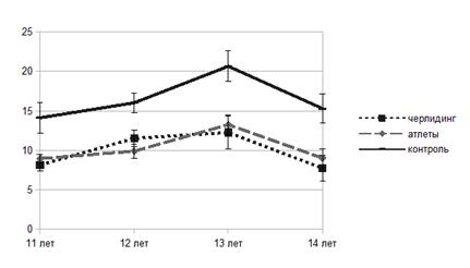
При исследовании качества функции равновесия (КФР) установлено, что
достоверные различия данного показателя между группами выявлены у девочек 13 и
14 лет (рис. 4). Показано, что в группах 3А и 3Ч КФР выше на 21% (p<0,05) и 19% (p<0,05), соответственно,
относительно контроля. В группах 4А и 4Ч данный показатель выше контрольного на
19% (p<0,05) и 15% (p<0,05), соответственно.
Достоверных различий КФР между девочками-спортсменами каждой возрастной группы
не установлено.
Рис. 4. Показатель качества функции равновесия (%) в группах
обследованных девочек: * - отличия достоверны относительно контроля
Кроме того, необходимо отметить, что у девочек контрольной группы в
возрасте 13 лет наблюдали снижение качества функции равновесия на 12% (p<0,05) относительно девочек 12
лет. Данный факт может быть связан с тем, что у девушек контрольной группы с
началом менструального цикла снижается вестибулярная устойчивость.
Провоцирующими факторами в данном случае является расширение таза, увеличение в
объеме ягодичных мышц, ротация бедер кнутри и латеральное смещение коленной
чашечки. В то же время у девочек-спортсменов подобных изменений вестибулярной
устойчивости в данном возрасте не наблюдается.
Нормированная площадь векторограммы (НПВ) - это суммарная площадь
векторограммы, отнесенная ко времени записи сигнала. У девочек, занимающихся
симметричными видами спорта значение НПВ было достоверно ниже контрольных
показателей во всех возрастных группах (табл. 2).
Таблица 2
Нормированная площадь векторограммы (мм2/сек) в группах
девочек (M±m)
|
Группы
|
Контроль
|
Легкая атлетика
|
Черлидинг
|
|
11 лет
|
0,30±0,13
|
0,24±0,04
(-23%*)
|
0,25±0,11
(-17%*)
|
|
12 лет
|
0,60±0,21
|
0,23±0,52
(-62%*)
|
0,28±0,05
(-53%*)
|
|
13 лет
|
0,68±0,21
|
0,25±0,08
(-63%*)
|
0,26±0,05
(-62%*)
|
|
14 лет
|
0,47±0,28
|
0,12±0,04
(-74%*)
|
0,12±0,05
(-74%*)
|
Примечание: в скобках указан процент отличия от контроля, *- отличия
достоверны относительно контроля
Средняя линейная скорость (ЛСС) - величина, характеризующая отношение
длины траектории общего центра тяжести при выполнении пробы к ее длительности
(мм/с). В процессе обследования установлено, что у девочек 11-14 лет,
посещающих спортивные секции по легкой атлетике и черлидингу, средняя линейная
скорость ниже, чем в контрольных группах.
Установлена также обратная корреляционная зависимость между показателями
качества функции равновесия и средней линейной скоростью в группах
обследованных девочек (рис. 6)
Рис. 5. Средняя линейная скорость (мм/с) в группах обследованных девочек:
* - отличия достоверны относительно контроля

А - черлидиг Б
- атлеты
В - контроль
Рис. 6. Корреляционная зависимость качества функции равновесия и средней
линейной скорости в группах обследуемых девочек
Средняя угловая скорость - это отношение угла поворота радиус-вектора
общего центра тяжести к промежутку времени, за который произошел этот поворот
(град/с). Значения УСС у девочек-спортсменов 12-14 лет достоверно ниже, чем в
контрольной группе. При этом в группе 11-летних девочек достоверных различий
показателя УСС не установлено (рис. 7).
Рис. 7. Средняя угловая скорость (град/с) в группах обследованных
девочек: * - отличия достоверны относительно контроля
Известно, что динамика линейной и угловой скоростей имеет стохастический
характер: если линейная скорость имеет только положительные значения, то
угловая скорость принимает и положительные, и отрицательные значения (Усачев с
соавт., 2009). Поэтому существует необходимость анализа динамических изменений
линейных и угловых скоростей не по отдельности, а посредством вычисления их
соотношения. В результате проведения сравнительного анализа соотношений
линейной и угловой скоростей было установлено, что соотношение линейной и
угловой скоростей у девочек-спортсменов было ниже или достоверно не отличалось относительно
контрольных значений (табл. 3).
Таблица 3
Соотношение линейной и угловой скоростей (мм/град) в группах девочек (M±m)
|
Группы
|
Контроль
|
Легкая атлетика
|
Черлидинг
|
|
11 лет
|
0,63±0,15
|
0,59±0,16
(-6%)
|
0,55±0,15
(-12%*)
|
|
12 лет
|
0,59±0,11
|
0,45±0,08
(-23%*)
|
0,65±0,08
(10%)
|
|
13 лет
|
0,63±0,08
|
0,59±0,16
(-8%)
|
0,63±0,12
(0%)
|
|
14 лет
|
0,64±0,15
|
0,36±0,09
(-44%*)
|
Примечание: в скобках указан процент отличия от контроля, * - отличия
достоверны относительно контроля
Таким образом, в группах девочек с высоким уровнем двигательной
активности отмечено, как правило, более низкое значение соотношения ЛС/УС, по
сравнению с контрольными группами.
3.2 Стабилометрические параметры в группах девочек 11-14 лет
Векторные показатели стабилограммы у девочек-спортсменов достоверно не
отличались, поэтому мы объединили данные показатели при сравнении с контролем.
Начальное смещение ЦД во фронтальной (слева-направо) плоскости (в мм) (Qx) у девочек спортсменов имело
незначительные отрицательные значения, либо значения достоверно не отличающиеся
от нуля. В то же время в контрольной группе девочек смещение по фронтали Qx имело выраженные положительные
значения (рис. 8), что свидетельствует о смещении центра равновесия вправо,
возможно в сторону ведущей ноги, поскольку дополнительное обследование
показало, что у большинства девочек контрольной группы ведущей являлась правая
нога. У девочек, занимающихся черлидингом и легкой атлетикой, выявлена
практически симметричная свободная стойка, что является особенностями влияния
симметричных видов спорта на поддержание равновесия тела юных спортсменов.
В группе контроля изменение начального смещения центра давления по
саггитали (вперед-назад) (Qy) в
возрасте 11 и 13 лет носило выраженные положительные значения, что свидетельствует
о смещении центра тяжести вперед. Кроме того, изменение данного показателя в
группе контроля носило гетерохронных характер. У девочек-спортсменов необходимо
отметить отклонение центра тяжести назад в возрасте 14 лет как в группе 4 А,
так и в группе 4 Ч (рис. 9).
Рис 8. Показатели смещения по фронтали (мм) в группах обследованных
девочек: *- отличия достоверны относительно контроля
Рис. 9. Показатели смещения по саггитали (мм) в группах обследованных
девочек: *- отличия достоверны относительно спортсменов
Таким образом, более высокие показатели смещения центра давления по
фронтали и саггитали у девочек контрольной группы свидетельствует об их низкой
вестибулярной устойчивости.
Средний разброс (средний радиус) отклонения центра давления у девочек
контрольной группы был достоверно выше, чем у девочек-спортсменов. В группах
атлетов и черлидеров данный показатель достоверно не отличался, поэтому мы
усреднили данные показатели. В группе 1 К показатель среднего разброса
отклонения центра давления был выше на 38% (p<0,05), в группе 2 К - 38% (p<0,05) и в группах 3К - на 107% (p<0,05) и 4К - на 90% (p<0,05) относительно спортсменов (рис. 10).
Рис. 10. Средний разброс (средний радиус) отклонения центра давления (мм)
в группах обследованных девочек: *- отличия достоверны относительно спортсменов
Средняя скорость перемещения центра давления в контрольной группе девочек
была достоверно выше, чем в группе атлетов и черлидеров. В группах девочек,
занимающихся симметричными видами спорта, данный показатель достоверно не
отличался, поэтому мы усреднили показатели. Было установлено, что средняя
скорость перемещения центра давления достоверно выше в группах 1К, 2К, 3К и 4К
на 65%, 50%, 62% и 83%. соответственно, относительно группы спортсменов данного
возраста (рис. 11).
Большая скорость перемещения центра давления говорит об активных
процессах поддержания позы, связанных с нарушениями функций одной или
нескольких систем организма (например, вестибулярной функции). Небольшая
скорость свидетельствует о своевременной компенсации возникающих отклонений
тела - нормальная работа систем поддержания вертикальной позы.
Рис. 11. Средняя скорость перемещения центра давления (мм/с) в группах
обследованных девочек: *- отличия достоверны относительно спортсменов
Площадь эллипса - основная часть площади, занимаемой стабилограммой без
так называемых петель и случайных выбросов, характеризует рабочую площадь опоры
человека. Показано, что в группах черлидеров и атлетов данный показатель
достоверно не отличался, что дало нам возможность усреднить данный показатель. В
группе контроль площадь элипса была достоверно выше. Показано, что в группе 1К
данный показатель был выше на 95% (p<0,05), в группе 2 К - 103% (p<0,05), в группе 3 К - 646% (p<0,05), а в группе 4К - 423% (p<0,05) относительно спортсменов (рис. 12).
Рис. 12. Площадь эллипса (мм2) в группах обследованных девочек: *-
отличия достоверны относительно спортсменов
Меньшая величина площади эллипса у девочек, занимающихся симметричными
видами спорта, характеризует их более высокий уровень вестибулярной
устойчивости. Следует отметить также, наиболее низкий показатель КФР, а также
высокое значение площади эллипса у девочек 13 лет контрольной группы.
ГЛАВА 4. ОБСУЖДЕНИЕ РЕЗУЛЬТАТОВ ИССЛЕДОВАНИЯ
Пубертатный период онтогенеза является крайне важной рубежной стадией
онтогенеза, когда мощных всплеск половых гормонов оказывает непосредственное
влияние на развитие и функционирование всех систем организма. В данный период
онтогенезе происходит становление вестибулярной устойчивости, причем данный
процесс в значительной степени зависит от уровня двигательной активности
подростков.
Параметры векторного анализа стабилографической информации позволяют
полноценно и всесторонне охарактеризовать динамический процесс поддержания
человеком вертикальной позы. Векторные показатели характеризуют распределение
векторов скорости и ускорения движения ЦД и являются частью обработки
стабилографического сигнала. Этот подход предполагает, что при своевременной
компенсации человеком отклонений его тела от вертикали скорость движения ЦД
должна быть минимальной. Любые нарушения в системе регуляции вертикальной позы
(постуральной системе) приводят к задержкам и ошибкам при коррекции отклонений
тела от вертикали, большим отклонениям ЦД и, как следствие, большим скоростям и
резким изменениям направлений его движения (Усачев, 2004). В нашем исследовании
показано, что средняя линейная скорость движения ЦД была значительно выше в
контрольной группе девочек-подростков. Кроме того, показано, что увеличение
средней линейной скорости приводит к снижению качества функции равновесия.
Следовательно, низкие значения средней линейной скорости у девочек-спортсменов
свидетельствуют об эффективной работе системы регуляции вертикальной позы,
обеспечивающей координацию движений при отклонении тела от вертикали.
Тест «Мишень» используемый в нашей работе, позволяет оценить степень
устойчивости поддержания вертикального положения тела. Постуральный контроль
спокойного стояния (регуляция позы) осуществляется, прежде всего, антигравитационной
мускулатурой (мышцами разгибателями позвоночного столба, тазобедренных и
коленных суставов), а также рефлексами на растяжение мышц передней и задней
поверхности голени. Триггерной афферентной системой в данном случае являются
соматосенсорные проприоцептивные сигналы, а также опорная сенсорная
афферентация от поверхностных и глубоких тактильных рецепторов подошвенной
поверхности стоп, то есть информация о контакте стопы с опорой. В осуществлении
функции равновесия важны: зрительная информация, информация от проприоцепторов
сухожилий глазодвигательных мышц. Но наиболее значимыми являются проприоцепция
и импульсация от рецепторов вестибулярного аппарата (подтверждением этого
является их более раннее появление в филогенезе, кроме того зрительное представление
о гравитационной вертикали формируется в онтогенезе на основе информации от
отолитовых рецепторов). Регуляция постурального равновесия замыкается на уровне
двигательных центров ствола головного мозга (вестибулярных ядер, а также
ретикулярной формации), испытывающих непосредственные нисходящие влияния
медиальных отделов (червя) мозжечка, которые, в свою очередь, получают
афферентную информацию от соматосенсорной системы. На этом уровне происходит
регуляция тонуса позных (постуральных) мышц и координация мышечных синергий,
обеспечивающих равновесие (Гурфинкель, Бабакова, 1995). В нашем исследовании
показано, что у девочек, не занимающихся в спортивных секциях качество функции
равновесия достоверно ниже, чем у девочек, занимающихся спортом. Следует отметить,
что показатель качества функции равновесия, основанный на анализе векторов
скорости траектории центра давления испытуемого в горизонтальной плоскости при
поддержании вертикальной позы, дает интегральную оценку функции равновесия,
обладает высокой чувствительностью и имеет наименьшую вариабельность по
сравнению с другими стабилографическими показателями (Слива, 2005). Достоверных
отличий векторных показателей стабилограммы у девочек, занимающихся
симметричными видами спорта не выявлено.
Известно, что созревание постуральной системы заканчивается к14 годам. До
14 лет отмечается дорсальное положение центра тяжести, что по мнению Gagey
связано с активностью тройничного нерва в детском возрасте (Gagey, Toupet,
1997; Gagey, Weber, 1999). В нашем исследовании показано, что у
девочек-подростков выявлено отклонение центра тяжести вперед (более выраженное
в контрольной группе 11 и 13 лет). Незначительное дорсальное положение центра
тяжести отмечено у девочек-спортсменов 14-летнего возраста.
Известно, что при стоянии человек сравнительно редко равномерно опирается
на обе ноги. Симметричный тип стояния утомительнее, так как требует напряжения
большого числа мышц на обеих сторонах тела. Обычно люди предпочитают
асимметричное стояние, нагружая одну ногу сильнее другой. При этом таз
наклоняется, а поясничный отдел позвоночника изгибается в сторону менее
нагруженной конечности, центр тяжести смещается, но его вертикаль остается в
пределах опорной стопы. Большая часть мышц ненагруженной стороны при
асимметричном типе стояния расслаблена (Дубровский, Федорова, 2003). В нашем
исследовании показано значительное смещение центра тяжести вправо у девочек
контрольной группы, в то время как у девочек, занимающихся черлидингом и легкой
атлетикой, выявлена практически симметричная свободная стойка, что является
особенностями влияния симметричных видов спорта на поддержание равновесия тела
юных спортсменок.
Скорость перемещения центра давления у девочек контрольной группы также
достоверно отличалась от данного показателя у девочек-спортсменов. Большая
скорость перемещения центра давления говорит об активных процессах поддержания
позы, связанных с нарушениями функций одной или нескольких систем организма,
что наблюдается в нашем исследовании у девочек-подростков контрольной группы.
Небольшая скорость свидетельствует о своевременной компенсации возникающих
отклонений тела - нормальная работа систем поддержания вертикальной позы, что
отмечено у девочек-черлидеров и атлетов.
Средний радиус отклонения центра давления и площадь эллипса у девочек
контрольной группы были также выше, чем у девочек, занимающихся спортом.
Особенно значительно данные показатели были увеличены в 13-летнем возрасте, при
этом в данном возрасте у девочек контрольной группы мы отмечали снижение
качества функции равновесия, что может быть обусловлено наступлением менархе у
девочек, расширением таза и смещением центра равновесия тела. В то же время у
девочек-черлидеров и атлетов подобных резких изменений не выявлено. Кроме того,
меньшая величина площади эллипса и радиуса отклонения центра давления у
девочек-спортсменов отражает их более высокий уровень вестибулярной
устойчивости.
ВЫВОДЫ
1. У девочек 11-14 лет, занимающихся симметричными видами спорта,
качество функции равновесия выше, чем у девочек контрольной группы данного
возраста. При этом отмечены сниженные показатели средней линейной скорости
центра давления у девочек-спортсменов.
2. У девочек, занимающихся черлидингом и легкой атлетикой, выявлена
практически симметричная свободная стойка, что является особенностями влияния
симметричных видов спорта на поддержание равновесия тела юных спортсменов.
3. Низкие показатели смещения центра давления по фронтали и саггитали у
девочек-спортсменов свидетельствует об их высокой вестибулярной устойчивости.
. У девочек, занимающихся симметричными видами спорта, установлено
более низкое значение средней скорости перемещения и среднего радиуса
отклонения центра давления, а также площади эллипса, что свидетельствует о
своевременной компенсации возникающих отклонений тела.
СПИСОК ЛИТЕРАТУРЫ
1. Айзман Р.И. Здоровье школьника и
психолого-педагогические проблемы его коррекции // Cojcos. - Новосибирск, 1997.
- С. 54-60.
2. Алабин В.Г., Алабин А.В., Бизин В.П.
Многолетняя тренировка юных спортсменов. - Харьков: Основа, 1993. - 244 с.
3. Алифанова Л.А. Влияние двигательной
активности в процессе академического урока на здоровье и развитие школьников //
Педиатрия, 2002. - №6. - С. 37-41.
4. Анастасова Л.П., Цехмистренко Т.А.,
Кучменко В.С. Формирование здорового образа жизни подростков / Методическое
пособие для учителей. - М., 2000. - 256 с
5. Арутюнов С.Д., Соловых Е.А.,
Бугровецкая О.Г., Бугровецкая Е.А., Маштакова Е.Е., Орджоникидзе М.З.
Корреляционная взаимосвязь постурального баланса с функциональным состоянием
других систем организма у лиц с профессиональными постуральными перегрузками //
Мануальная терапия, 2009. - № 1. - С. 28-35.
6. Аршавский И.А. Физиологические
критерии периодизации индивидуального развития и проблема биологического
возраста // Основные закономерности роста и развития детей и критерии
периодизации, 1975. - С. 12-16.
7. Бабский Е.Б., Гурфинкель В.С., Ромель
Э.Л. Новый способ исследования устойчивости стояния человека // Физиол. Журн.
СССР, 1955. - Т. 12. - №3. - С. 423-426.
8. Базаров В.Г. Клиническая
вестибулометрия. - Киев: Здоровье, 1988. - 198 с.
Бальсевич В.К.
<http://lib.sportedu.ru/2SimQuery.idc?Author=бальсевич в> Онтокинезилогия человека. - М.: Теория и практика
физической культуры, 2000. - С.
Бальсевич В.К.
<http://lib.sportedu.ru/2SimQuery.idc?Author=бальсевич в>, Лубышева Л.И.
<http://lib.sportedu.ru/2SimQuery.idc?Author=лубышева л> Физическая культура: молодежь и современность//
Теория и практика физической культуры, 1995. - №4. - С. 2-7.
1. Белова О.А. Соматическое здоровье
школьников подростков // Российский физиологический журнал им. И.М. Сеченова,
2004. - Ч. 2. - Т. 90. - №8. - С. 352.
Беляев В.С.
<http://lib.sportedu.ru/2SimQuery.idc?Author=беляев в> Здоровье, экология, спорт. - М.: Советский спорт,
1995. - 176
1. Бернштейн Н.А. О построении движений.
- М.: Медгиз, 1947. - 255 с.
2. Бернштейн Н.А. Физиология движений и
активность. - М.: Наука, 1990. - С.373-392.
3. Болобан В., Мистулова Т. Контроль
устойчивости равновесия тела спортсмена методом стабилографии // Физическое
воспитание студентов творческих специальностей: Сб. научн. тр. под. ред.
Ермакова С.С. -Харьков: ХГАДИ (ХХПИ), 2003. - №2. - С. 24-33.
4. Бондаревский Е.Я. Информативность
тестов, используемых для характеристики физической подготовленности человека //
Теория и практика физической культуры, 1983. - № 1. - С. 23-25.
5. Брянкин С.В., Жданов Л.Н., Игустин
Б.Н. Спортивный отбор и ориентация: Учебное пособие. - Смоленск, 1977. - 68 с.
6. Васильков А.А. Теория и методика
физического воспитания: учеб. для студентов вузов. - Ростов н/Д: Феникс, 2008.
- 381 с.
7. Гаже П.М. Четвертая лекция по
постурологии. - Париж, 1993.
Граевская Н.Д Спорт и
здоровье <http://lib.sportedu.ru/2SimQuery.idc?Author=граевская н>// Теория и практика физической культуры, 1996. - №4.
- С. 49-54.
1. Губа Д.В. Возрастные изменения уровня
физического развития юных баскетболистов // Сб. научных трудов молодых ученых
СГИФК, 1998. - С. 52-54.
2. Гужаловский А. А. Темпы роста
физических способностей как критерий отбора юных спортсменов // Теория и
практика физической культуры, 1979. - №9. - С. 28-31.
3. Гурфинкель В.С., Бабакова И.А.
Точность поддержания положения проекции общего центра массы человека при
стоянии // Физиология человека. - 1995. - Т. 21. - №1. - С. 65-74.
4. Гурфинкель В.С., Дебрева Е.Е., Левик
Ю.С. Роль внутренней модели в восприятии положения и планирования движений //
Физиология человека, 1986. - Т.1 2. - №4. - С. 769-776.
5. Гурфинкель В.С., Коц Я.М., Шик М.Л.
Регуляция позы человека.- М.: Наука, 1965.- 256 с.
6. Гурфинкель В.С., Липшиц М.И., Мори
С., Попов К.Е. Стабилизация положения тела - основная задача позной регуляции
// Физиология человека, 1981. - Т.7, №3. - С. 401-410.
7. Дубровский В.М. Движение для
здоровья. - М.: Знание, 1989. - 140 с.
8. Дубровский В.И., Федорова В.Н.
Биомеханика / Учебник для высших и средних заведений. - М.: ВЛАДОС ПРЕСС, 2003.
672 с.
9. Егоров Г.Е. Классификация видов
спорта по характеру их влияния на опорно-двигательный аппарат спортсмена и
некоторые рекомендации по рациональной ориентации детей в спорте // В сб.:
Актуальные вопросы травматологии и ортопедии. - Л., 1983. - С. 105 - 107.
10.Зимкин Н.В.
Физиологическая характеристика силы, быстроты и выносливости: очерки. - М.:
ФиС, 1956. - 205 с.
11.Зимкин Н.В.
Физиология человека. - М.: Просвещение, 1978. - 495 с.
12.Казанская В.Г.
Подросток. Трудности взросления. - С.Пб.: Питер, 2008. - 282 с.
13.Корниенко И.А.,
Сонькин В.Д. Энергетическая и физиологическая «стоимость» мышечной работы детей
7-17 лет // Физиология человека, 1991. - Т. 17. - №5. - С. 130-141.
14.Крылов Ю.В.,
Иванов В.В., Подшивалов А.А. О роли оптокинетической стимуляции в осуществлении
вестибулоспинальных рефлексов // Космич. биология и авиакосмич. Медицина, 1987.
- №5. - С. 36-41.
16.Любомирский
Л.Е., Букреева Д.П., Васильева P.M. Особенности функционирования
физиологических систем у детей школьного возраста при мышечной деятельности //
Физиология человека, 1991. - Т. 17. - №5. - С. 107-115.
17.Магнус Ю.Р.
Установка тела: Пер. с англ. - М.: Изд-во АН СССР, 1962. - 624 с.
18.Матвеев Л.П.
Основы общей теории спорта и система подготовки спортсменов. - Киев:
Олимпийская литература, 1999. - 320 с.
19.Мохов Д.Е.
Остеопатическая гравитарная концепция // Традиционная медицина, Москва, 2003. -
№1 - С.51-52.
20.Мохов Д.Е.
Основные теоретические аспекты функционирования постуральной системы //
Мануальная терапия, 2009. - №1 (33). - С. 76-81.
21.Мохов Д.Е.,
Усачев В.И. Стабилометрия в постурологии / Учебное пособие для студентов
медицинских ВУЗов. - СПб, Издательский дом СПбМАПО, 2004. - С. 20-45.
22.Муртазина Е.П.
Функциональные особенности выполнения стабилографических тестов у испытуемых с
различными антропометрическими данными // Материалы Всероссийской
научно-технической конференции «Перспективы медицинского приборостроения». -
Известия ЮФУ. Технические науки. Тематический выпуск. №9. - Таганрог; Изд-во
ТТИ ЮФУ, 2009 - С. 123-128.
23.Новиков В.С. Не
забывайте о Ваших мышцах. - М.: Медицинская энциклопедия, 2003. - С. 5-17.
24.Новосельцев
С.В. Введение в остеопатию. Мягкотканые и суставные техники. - ООО
«Издательство ФОЛИАНТ», 2009. - С. 12-39.
25.Обреимова Н.И.,
Петрухин А.С. Основы анатомии, физиологии и гигиены детей и подростков. - М.:
Академия, 2000. - 376 с.
Петленко В.П.
<http://lib.sportedu.ru/2SimQuery.idc?Author=петленко в> Валеология // Книга I (Т.1, Т.2, Т.3) - С.-Петербург:
Петроградский и Ко, 1998. - 718 с.
1. Платонов В.Н., Булатова М.М.
Координация спортсмена и методика ее совершенствования: Учебно-метод. пособ.
Для МФК. - Киев: КГИФК, 1992. - 52 с.
2. Покровский В.М., Коротько Г.Ф.
Физиология человека. - М.: Медицина, 2003. - 656 с.
3. Салатинян С.А. Особенности развития
динамических характеристик некоторых психических и психофизиологических
процессов в онтогенезе. Дис. канд. псих. наук, 1977. - 20 с.
4. Скворцов Д.В. Клинический анализ
движений. Стабилометрия. - Москва: НМФ «МБН», 2000, - 188 с.
5. Слива С.С. Компьютерная стабилография
за рубежом и в России: состояние и перспективы // Медицинские информационные
системы: Межведомственный тематический научный сборник. - Н. Новгород, 1995. -
С. 77-82.
6. Слива С.С., Кондратьев И.В.,
Переяслов Г.А. О структуре программно-методического обеспечения компьютерного
стабилоанализатора КСК-123 // Медицинские информационные системы:
Межведомственный тематический научный сборник. - Н. Новгород, 1995. - Вып. 5. -
С. 86-89.
7. Слива С.С. Отечественная компьютерная
стабилография: технический уровень, функциональные возможности и области
применения // Медицинская техника. - М.: Медицина, 2005. - Вып. 1. - С. 32-36.
8. Слива С.С. Применение стабилографии в
спорте // Первая Всероссийская научно-практическая конференция "Мониторинг
физического развития, физической подготовленности различных возрастных групп
населения. Сборник докладов. Нальчик, 2003. - С. 210-213.
9. Соловых Е.А., Бугровецкая О.Г.,
Бугровецкая Е.А., Гвоздева С.В., Диденно А.В. Постуральное равновесие и
окклюзия зубов. Роль нарушений окклюзии в возникновении постурального
дисбаланса при нейростоматологических заболеваниях // Мануальная терапия, 2008.
- №2. - С. 40-48.
Сонькин В.Д.
<http://lib.sportedu.ru/2SimQuery.idc?Author=сонькин в>, Зайцева В.В.
<http://lib.sportedu.ru/2SimQuery.idc?Author=зайцева в>, Маслова Г.М.
<http://lib.sportedu.ru/2SimQuery.idc?Author=маслова г> и др. Роль и место физического воспитания в
формировании валеологической службы в школе // Физическая культура: воспитание,
образования, тренировка, 1996. - №2. - С. 2-10.
1. Сухарев А.Г. Здоровье и физическое
воспитание детей и подростков. - М.: Медицина, 1991 - 272 с.
2. Тамбовцева Р.В. Возрастные и
типологические особенности энергетики мышечной деятельности: Автореф. дис. ...
д-ра биол. наук, 2002. - 48 с.
3. Усачев В.И., Беляев В.Е.
Информативность стабилометрических параметров // Материалы Всероссийской
научно-технич. Конференции «Медицинские информационные системы - МИС-2006». -
Известия ТРТУ, 2006. - №11. - С. 149-151.
4. Усачев В.И., Гофман В.Р., Дубовик
В.А. Физиологическая концепция статокинетической системы // Тез. докл. VIII
съезда отоларингологов Украины. - Киев, 1995. - С. 321-322.
5. Усачев В.И., Мохов Д.Е. Возможности
стабилометрического векторного анализа в диагностике постуральных нарушений //
Материалы I Международного симпозиума «Клиническая постурология, поза и
прикус». - Санкт-Петербург, 2004. - C. 32-41.
6. Усачев В.И. Способ качественной
оценки функции равновесия / Патент на изобретение № 2175851. - М., 2001.
7. Чумаков Б.Н. Валеология: избранные
лекции. - М., 1997. - 245 с.
8. Щедрина А.Г. Онтогенез и теория
здоровья: Методологические аспекты. - Новосибирск: СО РАМН, 2003. - 164 с.
9. Юнкеров В.И., Григорьев С.Г.
Математико-статистическая обработка данных медицинских исследований. - Спб.:
ВМедА, 2002. - 266 с.
10.Ямпольская Ю.А.
Физическое развитие школьников Москвы в последнее десятилетие // Гигиена и
санитария, 2000. - №1. - С. 65-68.
11.Caporossi R. Concept osteopathigue de I’eguilibre postural
dusysteme musculo-sguelettigue pour laprevention delasante // Congres intern,
de Problematigue Medicale Interdise. - Venise, 1991. - P. 38-41.
12.Fukuda T. Statokinetic reflexes in eguilibrium and movement.
- Tokyo: Univer. Press.,
1983. - 390 p.
13.Gagey P.M. Laloi des canaux // Agressologie, 1988. - Vol. 24.
- №2. - P. 685-686.
14.Gagey P.M., Assclair В., Ushio N., Baron J.B. Les asymetries delaposture orthostatigue
sontelles aleatoires // Agressologie, 1977. - Vol. 18. - №5. - P. 277-289.
15.Gagey P.M., Toupet M.
Lerythme ventilatoire apparaitsur les stabilogrammes encas depathologie
dusystème vestibulaire ouproprioceptif. In: Lacour M., Gagey P.M., Weber
B. (Eds)
Posture et Environnement, Sauramps, Montpellier, 1997. - P. 11-28.
16.Gagey P.M., Weber B. Posturologie; Rеgulation etdеrеglements delastation debout, Masson, Paris, 1999.
17.Guillaume P. The clinical postural examination //
Agressologie, 1988. - Vol. 29. - №10. - P. 687-690.
18.Okyzano
T. Vector statokinesigram. A new method of analysis of human body sway //
Pract. Otol. Kyoto, 1983. - Vol. 76. - №10. - P. 2565 - 2580.