|
Тормозной цилиндр
|
Усл. № 188 Б
|
Рычажная передача
|
|
Жб
|
8,4кгс/т
|
|
|
Жм
|
32,7кгс/т
|
ач мм
|
200
|
|
hур
|
1,7см
|
бч мм
|
300
|
|
Pу
|
16кгс
|
акмм
|
145
|
|
dур
|
5см
|
бк мм
|
355
|
|
Sур
|
19,6см2
|
в мм
|
400
|
|
ж
|
6,54кгс/т
|
г мм
|
160
|
|
Dтц
|
|
|
|
Fпр
|
150-159 кгс
|
|
1.
Определение длины тормозного пути и времени торможения поезда при экстренном
торможении способом ПТР (по интервалам скорости)
1.1 Определение основного удельного сопротивления состава, локомотива при
движении в режиме выбега (на холостом ходу) и поезда
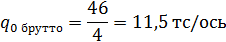
Основное удельное сопротивление движению 4-осных грузовых вагонов на
подшипниках качения (роликовых подшипниках) следует определять по формуле,
кгс/т:
Основное удельное сопротивление тепловоза в режиме выбега (холостого
хода) определяется, кгс/т:
Вычисляем

, кгс/т,
при скоростях 10 - 100 км/ч:
для
примера вычисление произведено для 10 км/ч:
Далее
вычисления производятся аналогично до скорости 100 км/ч (результаты
представлены в таблице 4).
Основное
удельное сопротивление состава (вагонов) удобнее определять по формуле вида:
В
результате выражение для основного удельного сопротивления состава (вагонов)
примет вид:
Задавая
значения скорости от 10 до 100 км/ч, находим 
, кгс/т:
например,
для 10 км/ч:
Далее
вычисления производятся аналогично до скорости 100 км/ч (результаты
представлены в таблице 4).
Полное
основное сопротивление состава, кгс, определяется по формуле:
Например,
для скорости 10 км/ч:
Далее
вычисления проводятся аналогично (результаты подсчета приведены в таблице 4).
Полное
основное сопротивление локомотива при холостом ходе, кгс, определяется по
формуле:
Пример
представлен для скорости 10 км/ч:
Аналогично
проводим вычисления для последующих скоростей (результаты в таблице 4).
Полное
основное сопротивление поезда при холостом ходе локомотива, кгс, определяется
по формуле:
Например,
для скорости 10 км/ч получим:
Последующие
результаты вычислений приведены в таблице 4.
Удельное
основное сопротивление поезда при холостом ходе локомотива, кгс/т, определяется
по формуле:

-
расчетный вес локомотива, т;

-
расчетный вес состава, т.
Например,
для 10 км/ч будем иметь:
Аналогично
проводим остальные вычисления, результаты которых приведены в таблице 4.
Основное
удельное сопротивление движению локомотива в режиме тяги (рабочего хода)
определяется:
Рассчитываем

, кгс/т,
для скоростей 10 ... 100 км/ч:
Пример
представлен для скорости 10 км/ч:
Дальнейшие
результаты вычислений представлены в таблице 4.
Основное
полное сопротивление локомотива, кгс:
Для
10 км/ч получим:
Далее
ведем расчет аналогично, результаты в таблице 4.
Вычисляем

, кгс, по
формуле:
Приведем
пример для 10 км/ч:
Последующие
результаты вычислений приведены в таблице 4.
Основное
удельное сопротивление поезда при движении локомотива в режиме тяги, кгс/т:
Например,
для 10 км/ч:
Аналогично
проводим дальнейшие расчеты, результаты приведены в таблице 4. Результаты
расчетов удобно свести в таблицу 4 вида:
Таблица
4. Данные расчетов по определению удельного сопротивления
|
V, км/ч
|
10
|
20
|
30
|
40
|
50
|
60
|
70
|
80
|
90
|
100
|
|
 ,
кгс/т0,9651,0741,2141,3861,5881,8222,0872,3842,7113,07
|
|
|
|
|
|
|
|
|
|
|
|
 ,
кгс32813652412847125399619570968106921710438
|
|
|
|
|
|
|
|
|
|
|
|
 , кгс/т2,552,763,053,403,834,324,895,526,237,00
|
|
|
|
|
|
|
|
|
|
|
|
 ,
кгс61266273281691910371173132514951680
|
|
|
|
|
|
|
|
|
|
|

,
|
кгс389343144860552863187232826994311071212118
|
|
|
|
|
|
|
|
|
|
|
|
 , кгс/т1,071,191,341,521,741,992,272,592,943,33
|
|
|
|
|
|
|
|
|
|
|
|
 , кгс/т2,032,222,472,783,153,584,074,625,235,90
|
|
|
|
|
|
|
|
|
|
|
|
 ,
кгс487533593667756859977110912551416
|
|
|
|
|
|
|
|
|
|
|
|
 ,
кгс376841854721537961557054807392151047211854
|
|
|
|
|
|
|
|
|
|
|
|
 , кгс/т1,041,151,31,481,691,832,222,532,883,26
|
|
|
|
|
|
|
|
|
|
|
1.1.1 Определение осевой нагрузки
(брутто) и осевой нагрузки (нетто) для каждой группы вагонов
Осевая нагрузка нетто определяется по формуле, тс/ось:
1-я группа:
-я группа:
-я группа:
-я группа:
-я группа:
Осевая нагрузка брутто определяется по формуле, тс/ось:

-количество
осей одного вагона данной группы.
-я
группа:
-я
группа:
-я
группа:
-я
группа:
-я
группа:
1.1.2 Определение количества вагонов
и количества осей вагонов для различных групп в составе
Определение количества вагонов:
С целью уменьшения погрешности из-за ранее выполненных округлений до
целого вагона при подсчете количества вагонов в каждой из групп количество
вагонов последней группы определяется по выражению:
Окончательный вес состава определяем из выражения:
1.1.3
Определение длины состава 
и поезда

Длина состава определяется по выражению, м:

- длина
вагона соответствующей группы, м;

-
количество вагонов соответствующей группы.
Длина
поезда определяется по выражению, м:

- длина
локомотива, м.
1.2 Определение режимов работы силового торможения
воздухораспределителей (режимов силового торможения) для всех групп вагонов, в
зависимости от типа тормозных колодок и осевой нагрузки (нетто)
|
Режим работы
|
Давление в тормозном
цилиндре Pт.ц.,
кгс/см2
|
Загрузка  при
колодках
|
|
|
чугунных
|
композиционных
|
|
Порожний (П)
|
1,4 - 1,8
|
≤ 3 тс/ось
|
≤ 6 тс/ось
|
|
Средний (С)
|
2,8 - 3,3
|
От 3 до 6 тс/ось
(включительно)
|
Свыше 6 тс/ось
|
|
Груженый (Г)
|
3,9 - 4,5
|
Свыше 6 тс/ось
|
Свыше 10 тс/ось (зимой, на
спусках >18 ‰)
|
1
- я группа: чугунные колодки, загрузка 
следовательно,
порожний режим работы, давление в тормозном цилиндре 
-
я группа: чугунные колодки, загрузка 
следовательно,
средний режим работы, давление в тормозном цилиндре 
-
я группа: чугунные колодки, загрузка 
следовательно,
груженый режим работы, давление в тормозном цилиндре 
-
я группа: композиционные колодки, загрузка 
следовательно,
порожний режим работы, давление в тормозном цилиндре 
-
я группа: композиционные колодки, загрузка 
следовательно,
груженый режим работы, давление в тормозном цилиндре 
.3 Определение
давления в тормозных цилиндрах 
при
различных режимах силового торможения (груженом, среднем, порожнем)
Давление в тормозном цилиндре определяется по выражению
(воздухораспределитель усл. № 483):

- ход
уравнительного поршня, см;

-
жесткость большой пружины, кгс/см;

-
жесткость малой пружины, кгс/см;

- усилие
предварительного сжатия большой пружины, кгс;

-
площадь уравнительного поршня, см2,

-
диаметр уравнительного поршня, см.
При
груженом режиме силового торможения давление в тормозном цилиндре определяется
по формуле, кгс/см2:
При
среднем режиме силового торможения давление в тормозном цилиндре определяется
по формуле, кгс/см2:
При
порожнем режиме силового торможения давление в тормозном цилиндре определяется
по формуле, кгс/см2:
.4 Определение
усилий на штоках тормозных цилиндров 
при
различных режимах силового торможения (груженом, среднем, порожнем)
Усилие на штоке тормозного цилиндра определяется из выражения, кгс:

-
диаметр тормозного цилиндра, см;

-
давление в тормозном цилиндре при соответствующем режиме
силового
торможения (груженом, среднем, порожнем), кгс/см2;

-
коэффициент полезного действия тормозного цилиндра;

- усилие
внутренней оттормаживающей пружины тормозного цилиндра, кгс:

- усилие
предварительного сжатия внутренней оттормаживающей пружины тормозного цилиндра,
кгс;

- выход
штока тормозного цилиндра, см.
Усилие
на штоках тормозных цилиндров при груженом режиме:
Усилие
на штоках тормозных цилиндров при среднем режиме:
Усилие
на штоках тормозных цилиндров при порожнем режиме:
1.5
Определение передаточного числа рычажной передачи для различных типов тормозных
колодок (чугунных, композиционных), типа и модели вагона
Суммарное нажатие всех тормозных колодок вагона определяется по формуле,
кгс:

- усилие
на штоке тормозного цилиндра, кгс;

-
передаточное число рычажной передачи;

-
коэффициент полезного действия тормозной рычажной передачи.
КПД
тормозной рычажной передачи зависит от конструкции передачи и принимается
равным:
для
4-осных грузовых вагонов с односторонним торможением 0,95.
КПД
ручного и стояночного тормоза составляет 0,5-0,7 от КПД автоматического тормоза
в зависимости от конструкции червяка, винта и зубчатой передачи. Сила,
приложенная к рукоятке ручного (стояночного) тормоза принимается равной 30 кг.
Сумма
моментов относительно точки 
составит:
Сумма
моментов относительно точки 
составит:
Величину
давления колодки найдем из следующего выражения:
Следовательно,
можно вычислить суммарное нажатие всех тормозных колодок:

- число
всех тормозных колодок.
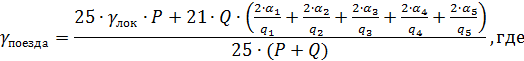
Передаточное
число рычажной передачи без учета потерь на трение в шарнирных соединениях:
Передаточное
число рычажной передачи для чугунных колодок: необходимые данные для
вычисления: 
.
|
Размеры плеч рычагов, мм.
|
|
а
|
б
|
в
|
г
|
|
200
|
300
|
400
|
160
|
Передаточное
число рычажной передачи для композиционных колодок: необходимые данные для
вычисления: 
.
|
Размеры плеч рычагов, мм.
|
|
а
|
б
|
в
|
г
|
|
145
|
355
|
400
|
160
|
Для чугунных колодок:
1) порожний
режим: 
) средний
режим: 
) груженый
режим: 
Для композиционных колодок:
1) порожний
режим: 
) груженый
режим: 
1.6
Расчет действительного нажатия на колодку
для всех
групп вагонов (в зависимости от типа колодок, передаточного числа тормозной
рычажной передачи и режима силового торможения)
Действительная сила нажатия на тормозную колодку с учетом потерь на
трение в шарнирных соединениях:

- число
тормозных колодок, на которые действует усилие от одного тормозного цилиндра;

-
диаметр тормозного цилиндра, см;

-
расчетное давление в тормозном цилиндре, кгс/см2;

-
коэффициент полезного действия тормозного цилиндра;

- усилие
внутренней отпускной пружины тормозного цилиндра, кгс;

- усилие
наружной отпускной пружины, приведенное к штоку тормозного цилиндра, кгс;

- усилие
пружины автоматического регулятора рычажной передачи, приведенное к штоку
тормозного цилиндра, кгс;

- передаточное
число рычажной передачи от одного тормозного цилиндра;

-
коэффициент полезного действия рычажной передачи.
В
нашем случае отсутствуют: наружная отпускная пружина 
и
автоматический регулятор выхода штока тормозного цилиндра и соответственно его
пружина 
.
В
результате, после упрощения, получим, кгс:
Для
чугунных колодок:
1) порожний режим:
) средний режим:
) груженый режим:
Для композиционных колодок:
) порожний режим:
) груженый режим:
1.7 Пересчет
действительного нажатия тормозных колодок 
в
расчетное (условное) 
Полная действительная тормозная сила от одной колодки определяется по
формуле, тс:
для поезда в целом:

-
суммарное действительное нажатие колодок одной n-й группы, тс;

-
действительный коэффициент трения колодок данного типа и определенного нажатия.
Тормозная
сила поезда определяется методом приведения условным способом, при котором
действительные величины заменяются условными, так называемыми расчетными. При
этом должно выполняться условие:
Действительный
коэффициент трения стандартных чугунных колодок:
Вместо
переменной величины 
берем
постоянную. Подставляя

, получим
расчетное значение коэффициента трения стандартных чугунных колодок:
Таблица
5.
|
V, км/ч
|
10
|
20
|
30
|
40
|
50
|
60
|
70
|
80
|
90
|
100
|
|
|
0,254
|
0,208
|
0,180
|
0,162
|
0,148
|
0,139
|
0,131
|
0,125
|
0,120
|
0,115
|
|
|
0,194
|
0,159
|
0,137
|
0,123
|
0,113
|
0,106
|
0,10
|
0,095
|
0,091
|
0,088
|
|
|
0,166
|
0,136
|
0,118
|
0,106
|
0,097
|
0,090
|
0,085
|
0,081
|
0,078
|
0,071
|
|
|
0,20
|
0,16
|
0,14
|
0,13
|
0,12
|
0,11
|
0,10
|
0,10
|
0,09
|
0,09
|
Действительный коэффициент трения композиционных тормозных колодок:
Подставляя

, получим
расчетный коэффициент трения композиционных тормозных колодок:
Таблица
6.
|
V, км/ч102030405060708090100
|
|
|
|
|
|
|
|
|
|
|
|
|
0,369
|
0,350
|
0,338
|
0,323
|
0,313
|
0,305
|
0,297
|
0,290
|
0,285
|
0,280
|
|
|
0,305
|
0290
|
0,278
|
0,268
|
0,259
|
0,252
|
0,246
|
0,241
|
0,236
|
0,232
|
|
|
0,34
|
0,32
|
0,31
|
0,30
|
0,29
|
0,28
|
0,27
|
0,27
|
0,26
|
0,26
|
Расчетная сила нажатия стандартной чугунной тормозной колодки
определяется по формуле:
Расчетная сила нажатия композиционной тормозной колодки определяется по
формуле:
Результаты расчета удобно представить в виде таблицы 7:
Таблица
7.
|
№ группы
|
Режим работы
|
Тип колодок
|
|
|
|
1-я группа
|
порожний
|
чугунные
|
1,4
|
0,97
|
|
2-я группа
|
средний
|
чугунные
|
2,9
|
2,84
|
|
3-я группа
|
груженый
|
чугунные
|
4,4
|
3,7
|
|
4-я группа
|
порожний
|
композиционные
|
0,86
|
0,9
|
|
5-я группа
|
груженый
|
композиционные
|
2,7
|
2,43
|
1.8 Определение
суммарного расчетного нажатия тормозных колодок 
и
расчетного нажатия поезда 
для
колодок различного типа
Тормозная сила чугунных колодок:
Тормозная сила композиционных колодок:
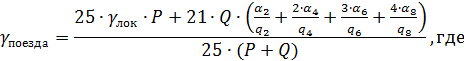
Удельная тормозная сила поезда:
Расчетный коэффициент нажатия поезда для чугунных тормозных колодок, тс/т:
Расчетный коэффициент нажатия поезда для композиционных тормозных
колодок, тс/т:
Все вычисления сведем в таблицу 8:
Таблица
8. Тормозные силы
|
V, км/ч
|
10
|
20
|
30
|
40
|
50
|
60
|
70
|
80
|
90
|
100
|
|
 ,
кгс/т41,833,4429,2627,1725,0822,9920,920,918,8118,81
|
|
|
|
|
|
|
|
|
|
|
|
 ,
кгс/т61,5457,9256,1154,352,4950,6848,8748,8747,0647,06
|
|
|
|
|
|
|
|
|
|
|
|
 ,
кгс/т103,3491,3685,3781,4777,5773,6769,7769,7765,8765,87
|
|
|
|
|
|
|
|
|
|
|
1.9 Расчет удельной тормозной силы, действующей на грузовой поезд при
экстренном торможении
Тормозная сила чугунных колодок:
Тормозная сила композиционных колодок:
Удельная тормозная сила поезда:
Расчетный коэффициент трения чугунных тормозных колодок определяется по
формуле:
Расчетный коэффициент трения композиционных тормозных колодок:
Расчет представим в таблице 9 следующего вида:
Таблица
9. Коэффициенты трения
|
V, км/ч102030405060708090100
|
|
|
|
|
|
|
|
|
|
|
|
|
0,20
|
0,16
|
0,14
|
0,13
|
0,12
|
0,11
|
0,10
|
0,10
|
0,09
|
0,09
|
|
|
0,34
|
0,32
|
0,31
|
0,30
|
0,29
|
0,28
|
0,27
|
0,27
|
0,26
|
0,26
|
|
 ,
кгс/т41,833,4429,2627,1725,0822,9920,920,918,8118,81
|
|
|
|
|
|
|
|
|
|
|
|
 ,
кгс/т61,5457,9256,1154,352,4950,6848,8748,8747,0647,06
|
|
|
|
|
|
|
|
|
|
|
|
 ,
кгс/т103,3491,3685,3781,4777,5773,6769,7769,7765,8765,87
|
|
|
|
|
|
|
|
|
|
|
2.
Расчет длины тормозного пути и времени торможений методом численного
интегрирования по интервалам времени
2.1 Определение единичного ускорения поезда
Для определения тормозного пути различными методами решаем уравнение
движения поезда при торможении, имеющее вид:

-
ускорение поезда, км/ч2;

-
«единичное» ускорение поезда (ускорение, получаемое поездом в км/ч2
при действии удельной силы в 1 кгс/т).
Значение
остальных параметров приведено в первой части расчетов.
Единичное
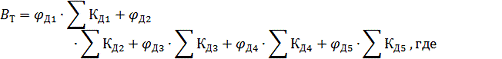
ускорение поезда определяется исходя из соотношения:

-
коэффициент, учитывающий инерционные свойства вращающихся масс поезда;

-
ускорение силы тяжести, выраженное в км/ч2.
Коэффициент

определяется
по эмпирической формуле:

-
коэффициент, учитывающий инерционные свойства вращающихся частей локомотива;

- доля
двух-, четырех-, шести- и восьмиосных вагонов по весу состава соответственно;

-вес
двух-, четырех-, шести- и восьмиосных вагонов соответственно.
Так
как в здании к курсовому проекту поезд сформирован только из четырехосных
вагонов, но с различной осевой нагрузкой, то коэффициент инерции вращающихся
масс поезда следует рассчитывать по следующей формуле:

- доли
вагонов 1-й - 5-й групп по весу состава;

- вес
вагонов (брутто) 1-й - 5-й групп соответственно, т.
Величину
коэффициента, учитывающего инерционные свойства локомотива, можно определить по
таблице 10.
Таблица
10. Коэффициент, учитывающий инерционные свойства локомотивов различных серий в
режиме холостого хода
|
Тип локомот
|
ВМЭ1
|
ТГ102
|
ТГ106
|
ТГМ1
|
ТГМ3
|
ТГМ10
|
ТЭ1
|
ТЭ2
|
ТЭ3
|
ТЭ7
|
|
|
0,12
|
0,13
|
0,1
|
0,16
|
0,095
|
0,068
|
0,13
|
0,13
|
0,17
|
0,096
|
|
Тип локомот
|
ТЭ10
|
ТЭП60
|
ТЭЛ
|
ТЭМ1
|
ТЭМ2
|
ЧС2
|
ЧС3
|
ВЛ8
|
ВЛ10
|
|
|
0,17
|
0,14
|
0,18
|
0,13
|
0,13
|
0,14
|
0,17
|
0,1
|
0,2
|
0,19
|
|
Тип локомот
|
ВЛ19
|
ВЛ22
|
ВЛ22м
|
ВЛ23
|
ВЛ60
|
ЧС1
|
Пас. тепл.
|
Груз. тепл.
|
Пас. электр.
|
Груз. электр.
|
|
|
0,24
|
0,28
|
0,28
|
0,2
|
0,19
|
0,11
|
0,09-0,11
|
0,13-0,21
|
0,08-0,16
|
0,2-0,4
|
2.2 Определение тормозного пути по интервалам скорости
Тормозной
путь 
принимаем
равным сумме подготовительного тормозного пути 
и
действительного пути торможения 
:

-
подготовительный тормозной путь;

-
действительный тормозной путь.

-
начальная скорость;

- время
подготовки тормозов к действию.
Общий
тормозной путь от момента начала торможения до конца прохождения пути
подготовки тормозов к действию будет равен пути подготовки и составит 163,8м.
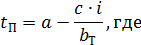
Время
подготовки тормозов к действию в секундах определяем по формуле:

-
коэффициенты, зависящие от типа поезда (грузовой или пассажирский), типа
тормозов (пневматический или электропневматический) и числа осей;

-
тормозная сила поезда, кгс/т;

- уклон,
на котором находится поезд при подготовке тормозов к действию, в ‰ со своим
знаком.
Общее
время, затраченное поездом от момента начала торможения до конца прохождения
пути подготовки торможения, будет равно времени подготовки тормозов к действию
и составит 9,82 с.
Нормативные
значения коэффициентов 
и 
приведены
в таблице 11.
Таблица
11. Нормативные значения коэффициентов 
и 
|
Категория поезда
|
|
|
|
Грузовой поезд при пневматических
тормозах и числе осей в поезде: до 200 осей включительно; более 200 и менее
300 осей; Более 300 осей включительно
|
7 10 12
|
10 15 18
|
|
Пассажирский поезд при
пневматических тормозах и одиночно следующий локомотив
|
4
|
5
|
|
Пассажирский поезд при электропневматических
тормозах
|
2
|
3
|
|
При ручных тормозах
|
|
Определим тормозной путь, проходимый грузовым поездом при начальной
скорости 60 км/ч до полной остановки на подъеме величиной 0‰ если:
Основное удельное сопротивление движению рассчитываемого состава,
определяемое по формуле:

- пример
начальной скорости.
Расчетный
тормозной коэффициент чугунных колодок в поезде:
Расчетный
тормозной коэффициент композиционных колодок в поезде:
Вес
состава:
Вес
локомотива:
Число
осей состава:
Единичное
ускорение поезда:
В
начале расчета определим удельную тормозную силу при начальной скорости:
значения
расчетных коэффициентов трения чугунных и композиционных колодок при скорости
60 км/ч, равны:
удельные
тормозные силы, создаваемые чугунными и композиционными колодками, равны:
Общая
(суммарная) удельная тормозная сила поезда, равна:
Теперь
определим тормозной путь, проходимый поездом при снижении скорости на 10 км/ч в
диапазоне от 
до 
.
Средняя
скорость на рассматриваемом интервале составит:

-
начальная скорость;

-
конечная скорость.
Значения
расчетных коэффициентов трения чугунных и композиционных колодок при скорости
55 км/ч, равны:
Удельные
тормозные силы, создаваемые чугунными и композиционными колодками, равны:
Общая
удельная тормозная сила поезда, равна:
Основное
удельное сопротивление движению состава:
Основное
удельное сопротивление движению локомотива:
Основное
удельное сопротивление движению поезда равно:
Тормозной
путь, проходимый в рассматриваемом интервале изменения скорости, равен:
Тормозной
путь, пройденный с момента начала торможения до окончания изменения скорости в
данном интервале, равен:
Время,
затраченное поездом на снижение скорости в данном интервале, равно:
Время,
прошедшее с момента начала торможения до окончания изменения скорости в данном
интервале, равно:
Остальные
вычисления удобно свести в таблицу 12:
Таблица
12. Расчет тормозного пути по интервалам скорости
|
|
|
|
|
|
|
|
|
|
|
|
|
|
|
|
|
км/ч
|
км/ч
|
км/ч
|
-
|
кгс/т
|
-
|
кгс/т
|
кгс/т
|
кгс/т
|
кгс/т
|
кгс/т
|
м
|
м
|
с
|
с
|
|
60
|
50
|
55
|
0,112
|
32,37
|
0,284
|
51,4
|
83,77
|
1,7
|
4,06
|
1,85
|
51,79
|
215,59
|
3,39
|
13,21
|
|
50
|
40
|
45
|
0,120
|
34,68
|
0,293
|
53,03
|
87,71
|
1,48
|
3,60
|
1,62
|
40,61
|
256,2
|
3,25
|
16,46
|
|
40
|
30
|
35
|
0,133
|
38,43
|
0,303
|
54,84
|
93,27
|
1,3
|
3,21
|
1,42
|
29,8
|
286
|
3,06
|
19,52
|
|
30
|
20
|
25
|
0,150
|
43,35
|
0,315
|
57,01
|
100,36
|
1,14
|
2,89
|
1,25
|
19,83
|
305,83
|
2,85
|
22,37
|
|
20
|
10
|
15
|
0,177
|
51,15
|
0,330
|
59,73
|
110,88
|
1,02
|
2,64
|
1,13
|
10,8
|
316,63
|
2,59
|
24,96
|
|
10
|
0
|
5
|
0,227
|
65,6
|
0,349
|
63,17
|
128,77
|
0,92
|
2,46
|
1,02
|
3,1
|
319,73
|
2,23
|
27,19
|
1.1 2.3 Определение тормозного пути по интервалам времени
Для интервала времени 0-3 с процент наполнения тормозных цилиндров будет
равен:
Для интервала времени 3-6 с процент наполнения тормозных цилиндров будет
равен:
Примечание. Диаграмма наполнения тормозных цилиндров при экстренном
торможении. Таблица 5 [2].
Таблица 13. Расчет диаграммы наполнения тормозных цилиндров
|
Интервал времени, с
|
|
|
|
|
1
|
2
|
3
|
4
|
|
0-3
|
0
|
0
|
0
|
|
3-6
|
20
|
15
|
16,04
|
|
6-9
|
45
|
35
|
37,08
|
|
9-12
|
65
|
50
|
53,11
|
|
12-15
|
80
|
65
|
68,11
|
|
15-18
|
90
|
75
|
78,11
|
|
18-21
|
95
|
85
|
87,08
|
|
21-24
|
98
|
95
|
95,62
|
|
24-27
|
100
|
98
|
98,41
|
|
27-30
|
100
|
100
|
100
|
|
30-33
|
100
|
100
|
100
|
|
33-36
|
100
|
100
|
100
|
|
36-39
|
100
|
100
|
100
|
|
39-42
|
100
|
100
|
100
|
|
42-45
|
100
|
100
|
100
|
|
45-50
|
100
|
100
|
100
|
|
50-55
|
100
|
100
|
100
|
Определим тормозной путь, проходимый грузовым поездом при начальной
скорости 60 км/ч до полной остановки на профиле, если дано:
основное удельное сопротивление движению рассчитываемого состава,
определяемое по формуле:
расчетный тормозной коэффициент чугунных колодок в поезде:
расчетный тормозной коэффициент композиционных колодок в поезде:
вес состава:
вес локомотива:
длина состава:
единичное ускорение поезда:
Определим фактические (с учетом скорости наполнения тормозных цилиндров)
значения расчетных тормозных коэффициентов для чугунных и композиционных
тормозных колодок в данном интервале времени от 0 до 3 с:
Предположим
среднее значение скорости движения поезда на рассматриваемом интервале равным 
Определим
значения расчетных коэффициентов трения чугунных и композиционных тормозных
колодок:

Рассчитаем
значение основного сопротивления движению поезда в рассматриваемом интервале
времени:
На
данном интервале времени поезд находиться на спуске, равном:
Изменение
скорости на рассматриваемом интервале составит:
Конечная
и средняя скорости движения равны:
Сравним
полученное 
и
предположенное 
значения
скорости. Так как расхождение составляет менее 0,7 км/ч, то уточнение расчетов
не требуется.
Определим
путь, пройденный поездом на рассматриваемом интервале времени:
Дальнейший
расчет представим в виде таблицы 14
Таблица 14
|
|
|
|
|
|
|
|
|
|
|
|
|
w
|
|
|
|
|
|
|
|
|
|
с
|
%
|
тс/т
|
тс/т
|
км/ч
|
-
|
-
|
кгс/т
|
кгс/т
|
кгс/т
|
кгс/т
|
кгс/т
|
кгс/т
|
‰
|
кгс/т
|
км/ч
|
км/ч
|
км/ч
|
км/ч
|
м
|
м
|
|
1
|
2
|
3
|
4
|
5
|
6
|
7
|
8
|
9
|
10
|
11
|
12
|
13
|
14
|
15
|
16
|
17
|
18
|
19
|
20
|
21
|
|
0-3
|
0
|
0
|
0
|
60
|
0,108
|
0,280
|
0
|
0
|
0
|
4,32
|
1,82
|
1,99
|
0
|
2,0
|
60
|
0,2
|
59,8
|
59,9
|
49,95
|
49,96
|
|
3-6
|
16,04
|
0,033524
|
0,029032
|
59
|
0,109
|
0,281
|
3,64
|
8,15
|
11,79
|
4,27
|
1,80
|
1,96
|
0
|
13,8
|
59,8
|
1,4
|
58,4
|
59,1
|
49,28
|
99,24
|
|
6-9
|
37,08
|
0,077497
|
0,067115
|
57
|
0,110
|
0,282
|
8,53
|
18,94
|
27,48
|
4,16
|
1,75
|
1,91
|
0
|
29,4
|
58,4
|
3,0
|
55,3
|
56,9
|
47,42
|
146,6
|
|
9-12
|
53,11
|
0,111
|
0,096129
|
53
|
0,113
|
0,285
|
12,56
|
27,44
|
40,00
|
3,97
|
1,66
|
1,81
|
0
|
41,8
|
55,3
|
4,3
|
51,0
|
53,2
|
44,35
|
191,0
|
|
12-15
|
68,11
|
0,14235
|
0,123279
|
48,5
|
0,117
|
0,289
|
16,66
|
35,67
|
52,33
|
3,76
|
1,56
|
1,70
|
0
|
54,0
|
51,0
|
5,6
|
45,4
|
48,2
|
40,22
|
231,2
|
|
15-18
|
78,11
|
0,16325
|
0,141379
|
42,5
|
0,123
|
0,295
|
20,10
|
41,69
|
61,79
|
3,50
|
1,43
|
1,57
|
0
|
63,4
|
45,4
|
6,5
|
38,9
|
42,2
|
35,16
|
266,3
|
|
18-21
|
87,08
|
0,181997
|
0,157615
|
35,5
|
0,132
|
0,302
|
23,99
|
47,63
|
71,62
|
3,23
|
1,30
|
1,43
|
0
|
73,1
|
38,9
|
7,5
|
31,3
|
35,1
|
29,28
|
295,6
|
|
21-24
|
95,62
|
0,199846
|
0,173072
|
27,5
|
0,145
|
0,312
|
28,97
|
53,95
|
82,91
|
2,97
|
1,18
|
1,29
|
0
|
84,2
|
31,3
|
8,7
|
22,6
|
27,0
|
22,50
|
318,1
|
|
24-27
|
98,41
|
0,205677
|
0,178122
|
18
|
0,168
|
0,325
|
34,49
|
57,92
|
92,41
|
2,71
|
1,05
|
1,16
|
0
|
93,6
|
22,6
|
9,7
|
13,0
|
17,8
|
14,84
|
333,0
|
|
27-30
|
100
|
0,209
|
0,181
|
8
|
0,208
|
0,343
|
43,53
|
62,02
|
105,5
|
2,51
|
0,95
|
1,05
|
0
|
106,
|
13,0
|
11,0
|
1,9
|
7,5
|
6,21
|
339,2
|
|
30-30,5
|
100
|
0,209
|
0,181
|
1
|
0,260
|
0,358
|
54,28
|
64,73
|
119,0
|
2,41
|
0,89
|
0,99
|
0
|
120,
|
1,9
|
1,9
|
0,0
|
1,0
|
0,13
|
339,3
|
2.4 Порядок заполнения справки ВУ-45
Справка ВУ-45 выдается машинисту ведущего локомотива осмотрщиком вагонов
после полного опробования тормозов в поезде, а также после сокращенного - если
предварительно на станции было произведено полное опробование тормозов от
стационарной компрессорной установки или другого локомотива.
Определим требуемое расчетное нажатие колодок для грузового поезда весом
3400 т при максимально допустимой скорости движения 80 км/ч, которое равно:

- единое
наименьшее нажатие на 100 тс веса состава (поезда), таблица 13[2].
Фактическое
расчетное нажатие определяется путем суммирования расчетных нажатий всех осей
состава (поезда) при заполнении справки ВУ-45 по нормативным данным. Для
рассматриваемого в курсовой работе грузового поезда зависимость будет иметь
вид:

-
расчетные тормозные нажатия одной оси для вагонов 1-5 групп соответственно в
пересчете на чугунные колодки (тс), принятые по нормативам таблицы 14 [2];

- число
осей вагонов 1-5 групп соответственно.
Группы
вагонов:
1) 4 четырехосных платформы с чугунными колодками на порожнем режиме
работы воздухораспределителя;
) 7 четырехосных платформ с чугунными колодками на среднем режиме
работы воздухораспределителя;
) 15 четырехосных цистерны с чугунными колодками на груженом
режиме работы воздухораспределителя;
) 13 четырехосных платформы вагонов с композиционными колодками на
порожнем режиме работы воздухораспределителя;
) 14 четырехосных цистерны с композиционными колодками на груженом
режиме работы воздухораспределителя.
Фактическое расчетное нажатие будет равно (Расчетные нажатия тормозных
колодок (в пересчете на чугунные) на одну ось пассажирских и грузовых вагонов
представлены в таблице 14 [2]):
Таблица 15. Справка ВУ-45
|
МПС РФ
|
Форма ВУ-45
|
|
Штемпель станции
|
Время выдачи _____ч____мин
|
СПРАВКА
об
обеспечении поезда тормозами и исправном их действии
Локомотив серия№_2м62_0420____«_13_»______октября__________20__15__г.
Поезд № _3761____весом___3400______тс. Всего осей_____212
Требуемое нажатие колодок в тс_____________1122
Ручных тормозов в осях__________16______________
|
Тормозное нажатие на ось,
тс
|
Количество осей
|
Нажатие колодок, тс
|
Другие данные
|
|
1,25
|
|
|
К-50
|
|
2,5
|
|
|
|
|
3,5
|
68
|
диск
|
|
5
|
28
|
140
|
КН.кран
|
|
6
|
|
|
Подв.увязан
|
|
6,5
|
|
|
|
|
7
|
60
|
420
|
Т.М.П
|
|
8
|
|
|
|
|
8,5
|
56
|
476
|
В.О 35сек
|
|
9
|
|
|
|
|
10
|
|
|
|
|
12
|
|
|
ТЦПВ=55
|
|
14
|
|
|
ДПВ=4,5
|
|
15
|
|
|
Встр.15688902
|
|
16
|
|
|
Т.№
|
|
18
|
|
|
|
|
Всего
|
212
|
1274
|
|
Наличие ручных тормозных осей______66____________
Плотность тормозной сети поезда __0,5/73 кг/см²____VI 0,5/76 кг/см²___
Хвостовой вагон №___15673478_________________________________
Подпись__________________________
Оборотная сторона
Отметка о производстве опробования тормозов в пути следования
|
Станция или место
опробования тормозов
|
Вид опробования тормозов
|
При изменении
|
Подпись
|
|
|
Вес поезда, всего осей
|
Нажатие колодок, тс
|
|
|
|
|
Требуемое
|
Фактическое
|
|
|
|
|
|
|
|
|
|
|
|
|
|
Плотность тормозной сети поезда должна соответствовать нормативам,
приведенным в таблице 19 [2].
Для локомотивов серий, не указанных в таблице 19 [2], требуемая плотность
принимается по таблице 20 [2] в соответствии с объемом главных резервуаров.
Давление в тормозной магистрали хвостового вагона грузового поезда должно
быть не менее величины, указанной в таблице 21 [2].
Определим потребное количество тормозных башмаков для грузового поезда
весом 3400 т при нагрузке менее 10 т/ось для удержания поезда на спуске при
крутизне спуска 0‰ по таблице 18 [2]
Число тормозных башмаков равно:

-
требуемое число тормозных башмаков на 100 тс веса поезда, определяемое по
таблице 18 [2].
Определим
потребное количество ручных тормозов в осях для грузового поезда весом 3400 т
при нагрузке менее 10 т/ось для удержания поезда на спуске при крутизне
спуска0‰ по таблице 18 [2]
Количество
тормозных осей равно:

-
требуемое количество тормозных осей на 100 тс веса поезда, определяемое по
таблице 18 [2].
2.5 Определение тормозного пути по номограммам и таблицам
Определим по таблицам и номограммам тормозной путь поезда, имеющего
скорость в начале торможения 57 км/ч, расчетный тормозной коэффициент 34 тс/100
т при движении на спуске с уклоном 0‰.
В таблицах и номограммах нет данной скорости и расчетного тормозного коэффициента.
Ближайшие значения скоростей начала торможения, для которых выполнены расчеты,
равны 55 и 60 км/ч. При этом расчетные тормозные коэффициенты составляют 33 и
35 тс/100 т. По таблицам, показанным в приложении 5 [3], определим значения
тормозного пути для ближайших имеющихся параметров.
Таким образом, получены следующие результаты: для уклона 0‰ при расчетном
тормозном коэффициенте 33 тс/100 т при скорости 55 км/ч тормозной путь составит
389 м, а при скорости 60 км/ч - 462 м. Для того же уклона при расчетном
тормозном коэффициенте 35 тс/100 т при скорости 55 км/ч - 373 м, а при скорости
60 км/ч - 443 м.
Для определения тормозных путей при скорости 57 км/ч воспользуемся
линейной интерполяцией, то есть:
Для тормозного коэффициента 33 тс/100 т получим:
Для тормозного коэффициента 35 тс/100 т получим:
Теперь воспользуемся интерполяцией для определения тормозного пути при
нажатии 35тс/100 т при скорости 57 км/ч:
Итак, полученный результат 409,6м.
Повторим решение этой же задачи при наличии тормозных номограмм в виде
графиков. Как и в предыдущем случае имеются номограммы только для скоростей 50
и 60 км/ч.
Как видно из рисунка 3.5 [4], на уклоне 0‰ при расчетном тормозном
коэффициенте 34 тс/100 т получаем при скорости 50 км/ч путь 320 м, а при
скорости 60 км/ч - 450 м.
Применив те же подходы, что и при табличной форме номограмм, получим при
уклоне 0‰ и скорости 57 км/ч:
Полученная разница не превышает 1,5 м, что удовлетворяет требуемой
точности расчетов.
Список использованной литературы
1. Афонин Г.С., Барщенков В.Н., Иванов В.Н.: «Безопасность
движения поездов и автоматические тормоза подвижного состава», методические
указания к выполнению курсового проекта для студентов специальностей
«Локомотивы», «Вагоны», часть 1, ПГУПС, 2005 г., 25 с.;
2. Афонин Г.С., Курилкин Д.Н.: «Безопасность движения
поездов и автоматические тормоза подвижного состава», методические указания к
выполнению курсового проекта для студентов специальностей «Локомотивы»,
«Вагоны», часть 2, ПГУПС, 2010 г., 46 с.;
. ЦТ-ЦВ-ЦЛ-ВНИИЖТ/277 «Инструкция по эксплуатации
тормозов подвижного состава железных дорог», Москва, 2002 г., 116 с.;
. «Правила тяговых расчетов для поездной работы»,
Москва, Транспорт, 1985 г., 287 с.
Приложение