Алгоритм обнаружения попадания самолета в условия сдвига ветра и оптимизация вывода
ФЕДЕРАЛЬНОЕ
АГЕНСТВО ПО ОБРАЗОВАНИЮ
Государственное
образовательное учреждение высшего профессионального образования
МОСКОВСКИЙ
ФИЗИКО-ТЕХНИЧЕСКИЙ ИНСТИТУТ
(государственный
университет)
Алгоритм
обнаружения попадания самолета в условия сдвига ветра и оптимизация вывода
Магистерская
работа студента 763 группы ФАЛТ
Махмутова
Айнура Аликовича
Научный
руководитель: кандидат технических наук, с.н.с. Ахрамеев Василий Иванович
Рецензент:
Королев Владимир Степанович
Жуковский,
2013
Содержание
Введение
. Ветровые возмущения, возникающие
при сдвиге ветра
.1 Моделирование нисходящего порыва
. Разработка алгоритма обнаружения
попадания в сдвиг ветра
. Поиск оптимальных параметров для
вывода самолета из условий, связанных с попаданием в сдвиг ветра
. Результаты полунатурного
моделирования на стенде
Выводы
Заключение и рекомендации по
внедрению в практику
Введение
Немаловажное влияние на безопасность полетов
оказывает такое атмосферное явление, как сдвиг ветра - изменение направления и
(или) скорости ветра в атмосфере на очень небольшом расстоянии. Сдвиг ветра,
как правило, возникает вблизи или под кучево-дождевыми облаками, в зоне
атмосферных фронтов, при наличии инверсий у поверхности земли, а также в горной
местности и прибрежных районах.
Особо
опасным является резкое изменение ветрового режима в приземном слое вдоль
траектории движения самолета, которое может оказаться
неожиданным для экипажа. Летательный аппарат пересекает самый нижний слой атмосферы в такое короткое время, что ограниченный
запас высоты, скорости и приемистости двигателей не всегда
позволяет своевременно парировать влияние
резкого изменения ветра, что явилось в
ряде случаев одной из главных причин летных происшествий. В связи с этим в совместных решениях Комиссии по
авиационной метеорологии ВМО и ИКАО
указывается на необходимость сообщения экипажам
подробной информации об изменениях ветра в нижнем слое атмосферы для взлета и захода на посадку.
В еще большей степени сдвиг ветра опасен для
самолетов сверхлегкого класса, имеющих малую массу, относительно небольшую
скорость полета и невысокую тяговооруженность.
Бортовое оборудование в авиастроении всегда
играло огромную роль. С его совершенствованием увеличивалась простота
управления летательным аппаратом и безопасность полетов, сокращалось время на
обучение экипажа. В настоящее время все большую часть функций стали брать на
себя системы дистанционного управления и бортовые вычислители. Поэтому
разработка алгоритмов бортовой системы обнаружения сдвига ветра является
актуальной и может найти свое применение.
Целью данной работы является разработка
алгоритма обнаружения попадания самолета в условия, связанные со сдвигом ветра,
в предположении что спутниковая система навигации (GPS,
ГЛОНАСС) отсутствует, либо из-за недостатка спутников, не выдает путевую
скорость или отказывает; информирование летчика и поиск оптимального выхода
самолета из этих условий. Проверка разработанных алгоритмов проводились на
тренажере самолета Сигма-4, имеющим уровень FNPT
II по нормам JAR-FSTD-A.
. Ветровые возмущения, возникающие при сдвиге
ветра
Турбулентное состояние
атмосферы - состояние, при котором
наблюдаются неупорядоченные вихревые движения различных масштабов и различных
скоростей. Основной причиной турбулентности
являются возникающие в атмосфере контрасты в поле ветра и температуры.
При
пересечении вихрей воздушное судно подвергается воздействию их вертикальных и
горизонтальных составляющих, представляющих собой отдельные порывы, в
результате чего нарушается равновесие аэродинамических сил, действующих на
воздушное судно. Возникают добавочные ускорения, вызывающие траекторные возмущения, которые могут приводит к опасной
потере высоты и, как следствие, к столкновению с земной поверхностью.
Резкое изменение скорости или направления ветра
или одновременно скорости и направления возможно как в горизонтальном
направлении (горизонтальный сдвиг ветра), так и в вертикальном (вертикальный
сдвиг ветра). Вертикальным сдвигом называется изменение скорости и (или)
направления ветра с изменением высоты полета. Различают
сдвиг ветра не только по направлению (вертикальный и горизонтальный), но
и по интенсивности (Табл. 1).
Таблица 1. Критерии интенсивности сдвига ветра
|
Интенсивность сдвига ветра (качественный термин)
|
Вертикальный сдвиг ветра (восходящий и нисходящий потоки) на 30 м высоты; горизонтальный сдвиг ветра на 600 м, м/с
|
Влияние на управление воздушным
судном
|
|
Слабый
|
0-2
|
Незначительное
|
|
Умеренный
|
2-4
|
Значительное
|
|
Сильный
|
4-6
|
Опасное
|
|
Очень сильный
|
более
6
|
Очень
опасное
|
Вертикальный
сдвиг ветра (включая восходящие и нисходящие потоки),
равный 4-6 м/с и более, в слое 30 м высоты относится к опасным для полетов метеорологическим условием в районе аэродрома. Взлет и заход на посадку летательного
аппарата в условиях сильного сдвига ветра запрещаются.
Вертикальный сдвиг ветра
нелинейно зависит от толщины слоя, для
которого проводится его оценка, в толще слоя могут быть разные по значению восходящие и нисходящие потоки.
В
настоящее время нет достаточно надежных способов как обнаружения, так и прогнозирования сдвигов ветра на глиссаде
снижения и взлетной траектории.
Сегодня используются данные шаров-пилотов, ветровых
приборов, установленных на имеющихся вблизи аэродрома высоких зданиях, на телевизионных мачтах или с помощью
специального оборудования
(доплеровского радиолокатора и др.), а при отсутствии этих данных в информации необходимо иметь прогностический ветер. Изучается возможность обнаружения сдвигов ветра с
помощью лазерной техники.
Летный
состав во время предполетной подготовки должен учитывать синоптические условия, благоприятные для возникновения
сильных сдвигов ветра при взлете и посадке воздушного судна, так как сдвиги
ветра относятся к опасным
условиям, являются невидимыми и возникают неожиданно.
самолет
сдвиг ветер вывод
1.1 Моделирование сдвига ветра (нисходящий
порыв)
В данной работе будем рассматривать нисходящий
порыв, представляющий наибольшую опасность для летательных аппаратов,
движущихся на небольшой высоте, а также совершающих взлет, посадку.
В работе [ Zhao Y. A Simplified Ring-Vortex Downburst Model.
//AIAA Paper. №580, 1990, pp. 1-11]
приведены данные идентификации параметров на основании измеренных профилей
ветра в ситуациях, приведших к катастрофам самолетов В-727 на взлете в
Нью-Орлеане в 1982 году и L-1011 на посадке в городе Даллас в 1985 году.
Графики вертикальной Wy и
горизонтальной составляющих Wx профиля ветра в зоне микропорыва на высоте (Н = 200,
400 м.).
Данное ветровое возмущение
можно описать с помощью математической модели, в которой область микропорыва
ветра формируется течением вокруг вихревого кольца, расположенного над плоской
поверхностью (М.
Ivan. A Ring-Vortex Downburst Model for Flight Simulations. J.
Aircraft, vol.23.
№3. March 1986.) .
Тогда все характеристики потока можно выразить через функцию тока трехмерного
безвихревого течения несжимаемой жидкости, индуцируемого вихревым кольцом, которая
описывается выражением
Геометрические соотношения
показаны на рисунке.
где Г- циркуляция, R-
радиус вихревой нити кольца, r1,
r2
- наименьшее и наибольшее расстояния от текущей точки (x,z,h)
до вихревой нити кольца, Rc-
эффективный радиус ядра вихревого кольца, λ = (r2-r1)/(r2+r1),
K(λ)
и E(λ)
- полные эллиптические интегралы первого и
второго рода.
Поле скоростей, индуцированное
кольцевой вихревой нитью, определяется пятью параметрами: положением центра
кольца (X,Z,H), циркуляцией Г и радиусом R. Параметры X,Z,H оказывают влияние
на относительное положение, а не на форму распределения скоростей, Г дает
линейный эффект, a R служит коэффициентом масштаба. Параметры для модели Zhao Y. приведены в
таблице 2.
Таблица 2. Параметры модели
|
Параметр
|
Единица
измерения
|
Модель №1
|
Модель №2
|
|
Г
|
23755
|
41319
|
|
Rс
|
m
|
152.5
|
122
|
|
H
|
m
|
889
|
689
|
|
R
|
m
|
1019
|
1090
|
Для упрощения вычислений M.
Ivan в своей работе «A
Ring-Vortex
Downburst
Model for
Flight Simulations»
предложил аппроксимировать выражения с эллиптическими интегралами следующим
образом :
, где 0 ≤
≤
1
Упрощая таким образом
выражение для функции тока, выразим компоненты скорости ветра в трехмерном
пространстве (x,y,z) в зоне
микропорыва следующим образом :
,
где
Сравним полученную модель ветровых возмущений с
экспериментальными данными из работы Zhao
Y.
Графики профилей скорости
ветра, сравнение модели и эксперимента
Высота 200 м.
Высота 400
м.
Сплошными
линиями на графиках показаны скорости, рассчитанные по модели вихревого кольца
с аппроксимацией M. Ivana, точками - экспериментальная модель Zhao
Y.
Сравнивая
графики профилей видно, что модель вихревого кольца с аппроксимацией M.Ivana
достаточно хорошо описывает ветровые возмущения, возникающие при сдвиге ветра.
.
Разработка алгоритма бортовой системы обнаружения сдвига ветра
Ввиду тех условий, что сверхлегкие самолеты
могут совершать полеты с полей, грунтовых дорог, заброшенных аэродромов, где
нет метеослужб, а следовательно нет и никакой информации о сдвиге ветра,
учитывая тот факт, что не все легкие самолеты не оборудованы метеолокатором,
способным обнаружить сдвиг ветра, встает вопрос: - Как, имея только систему
воздушных сигналов (СВС), курсовертикаль и датчики перегрузок, определить, что
летательный аппарат попал в условия сдвига ветра?
Основная идея, предлагаемая в данной работе для
обнаружения попадания в сдвиг ветра, состоит в том, что при попадании самолета
в порыв, приборная скорость из-за действия встречного ветра на СВС будет
возрастать, самолет же под действием встречного ветра будет тормозиться. Таким
образом, нам нужно следить за рассогласованием показаний приборной скорости и
расчетной скорости, определяемой путем интегрирования показаний, полученных из
датчиков акселерометров. По сигналам датчиков перегрузок и курсовертикали можно
определить расчетную скорость
Но в значении расчетной скорости из-за
накопления ошибки интегрирования будет нарастать ошибка. Поэтому введем
коррекцию расчетной скорости по воздушной скорости по следующей схеме :
Что аналогично следующей системе уравнений
=
здесь
-
расчетная скорость,
- воздушная
скорость, полученная из приемников воздушного давления (ПВД),
-
вектор ускорения в скоростной системе координат, Т - характерное время
коррекции расчетной скорости (обуславливается характеристиками акселерометров и
чувствительностью приемника воздушного давления).
Таким образом, наблюдая за разностью скоростей
и
при превышении заданного значения, обуславливаемым чувствительностью ПВД, мы
можем сказать, что самолет попал в условия, связанные со сдвигом ветра и
информировать летчика (экипаж) об этом.
. Поиск оптимальных параметров для вывода
самолета из условий, связанных с попаданием в сдвиг ветра
Такой параметр, как запас высоты при движении в
зоне нисходящего порыва, является одним из ключевых. После того, как мы обнаружили,
что самолет попал в условия сдвига ветра, встает следующий вопрос: - Какими
должны быть действия летчика либо автопилота, чтобы обеспечить минимальную
потерю высоты?
Рассмотрим данную задачу для конкретного
самолета - Сигма-Классик, имеющего следующие зависимости Vy
от Vпр.
Поляры самолета Сигма-Классик (Тренажер СЛА в
АКШ)
, Vпр
- вертикальная и приборная скорости при различных положениях закрылков: гладкое
крыло, положение закрылков 10°, положение закрылков 20°. Сделаем дальнейшее
предположение, что при относительно небольших скоростях полета и небольшой
высоте поправки на сжимаемость несущественны, и плотность воздуха незначительно
отличается от плотности на уровне земли.
С учетом данных предположений Vпр
≈ V , где V
- истинная скорость самолета.
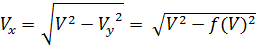
Запишем, как будут выглядеть компоненты скорости
в земной системе координат:
где Vy
- вертикальная скорость самолета относительно воздуха, которая из предыдущей
поляры может быть записана как
- горизонтальная составляющая скорости самолета
относительно воздуха,
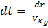
Пусть за момент времени dt
самолет пролетит расстояние в порыве dr
со скоростью Vxg
Тогда изменение высоты dH
за время dt будет равно
Подставляя в это выражение предыдущие равенства,
получим:
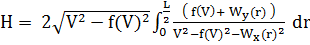
Переходя к интегралу, будем иметь:
Где L
- характерный размер порыва.
Упростим интегральное выражение пользуясь тем,
что функция Wy(r)
является четной, а Wx(r)
- нечетной, т.е
Тогда:
Получилось оценочное выражение для высоты.
Рассчитаем и построим графики.
График изменения высоты от приборной скорости,
при различных положениях закрылков (Красная линия - гладкое крыло, синяя -
положение закрылков 10°, зеленая - положение закрылков 20°).

На графиках отчетливо видно, что для каждого
режима выделяется свой экстремум, и наименьшей потере высоты соответствует
режим полета на гладком крыле на скорости примерно 210 км/ч, при максимально
допустимой скорости для данного самолета 250 км/ч. Значит, что после
обнаружения системой попадания самолета в сдвиг ветра летчику либо системе
автоматического пилотирования, если таковая имеется, для обеспечения
минимальной потери высоты на данном самолете следует выдерживать приборную
скорость 210 км/ч на гладком крыле.
. Результаты полунатурного моделирования на
стенде
Далее все полученные и изложенные выше
результаты (математическая модель нисходящего порыва, алгоритм обнаружения
попадания самолета в условия сдвига ветра) были реализованы на пилотажном
стенде самолета Сигма-Классик. Алгоритм вывода самолета из условий сдвига ветра
строился на основе полученной расчетным путем оптимальной стратегии вывода -
выдерживании определенной скорости на гладком крыле, обеспечивающей минимальную
потерю высоты при движении в зоне микропорыва.
Ниже, для сравнения потери высоты, получающейся
при выдерживании на выводе различных скоростей, приведены результаты моделирования
пролета зоны сдвига ветра на различных скоростях: 120км/ч, 150 км/ч, 210 км/ч .
На данных графиках представлены зависимости
высоты H, приборной
скорости Vpr,
вертикальной скорости Vy
и разности приборной и расчетной скоростей delta
V от времени.
Затененной областью является зона вихря.
Как видно, наименьшей потере высоты
соответствует режим пролета на скорости 210 км/ч, что согласуется с
теоретическими расчетами; существенная разница между воздушной и расчетной
скоростью начинает проявляться за пределами радиуса вихревого кольца, что при
своевременном оповещении летчика, предупреждает его о входе в зону вихря. Таким
образом, проведенный полунатурный эксперимент подтверждает проведенные расчеты.
Выводы
1. На
тренажере легкого самолета Сигма-Классик реализована математическая модель
сдвига ветра, которая использовалась для проведения полунатурного эксперимента.
2. Предложен
алгоритм обнаружения сдвига ветра.
3. Решена
задача оптимального вывода самолета из условий сдвига ветра с наименьшей
потерей высоты. Разработана методика выбора оптимального значения скорости для
конкретного самолета по его аэродинамическим полярам.
4. Эффективность
предложенного алгоритма обнаружения сдвига ветра и оптимального вывода самолета
из условий сдвига ветра опробована в полунатурном эксперименте на тренажере.
Результаты проведенных экспериментов показывают их работоспособность.
Автор работы А. А. Махмутов
Заключение и рекомендации по внедрению в
практику
Предложенный в работе подход к разработке
алгоритма обнаружения сдвига ветра и оптимального вывода самолета из условий
сдвига ветра представляет научный интерес, заслуживает внимания с точки зрения
дальнейших исследований на эту тему, опробован в полунатурных экспериментах на
тренажере и по результатам проведенных экспериментов показал свою
работоспособность.
Работа заслуживает отличной оценки, а её автор
присвоения ему звания магистра по специальности прикладные математика и физика.
Результаты и выводы работы
могут быть рекомендованы для ознакомления студентам авиационных ВУЗов, обучающимся
по соответствующим специальностям, специалистам авиапредприятий Российского
авиапрома для практического применения на тренажерах и пилотажных стендах.
Научный Руководитель
В.И. Ахрамеев
«____»_________ 2013 г.
Список использованной литературы
1) Бюшгенс
Г.С., Студнев Р.В. Динамика продольного и бокового движения самолета. М.
Машиностроение. 1979 г.
2) P.G.
Saffman Vortex Dynamix . Cambridge University Press 1992.
) H.
Lamb Hydrodynamix Cambridge University Press 1975.
) M.
Ivan A Ring-Vortex Downburst Model for Flight Simulations. J.Aircraft.
vol.23. №3. March 1986
5) Zhao
Y. A Simplified Ring-Vortex Downburst Model. //AIAA Paper. №580,
1990, pp. 1-11