Вращающаяся печь с циклическими теплообменниками и декарбонизатором

  • Вид работы:
    Курсовая работа (т)
  • Предмет:
    Другое
  • Язык:
    Русский
    ,
    Формат файла:
    MS Word
    295,4 Кб
  • Опубликовано:
    2015-05-26
Вы можете узнать стоимость помощи в написании студенческой работы.
Помощь в написании работы, которую точно примут!

Вращающаяся печь с циклическими теплообменниками и декарбонизатором















Курсовая работа

по дисциплине: «Тепловые процессы и установки в технологии вяжущих материалов»

по теме: Вращающаяся печь с циклическими теплообменниками и декарбонизатором.

Содержание

Введение

Задание

.        Теплотехнические расчеты цементной вращающейся печи. Сухой способ производства

.1      Расчет горения топлива

.2      Материальный баланс по сырью

.3      Теоретические затраты тепла

.4      Тепловой баланс печи и определение удельного расхода топлива на обжиг клинкера

.5      Материальный баланс установки

.6      Расчет производительности печи

.7      Выбор пылеосадительных устройств

.8      Топливосжигающие устройства

.9      Определение размеров декарбонизатора

. Специальный расчет - циклонный теплообменник

.1 Состав и количество газов по участкам

.2 Определение размеров циклона

.3 Аэродинамический расчет установки теплообменников

.4 Аэродинамическое сопротивление трубопроводов

Заключение

Библиографический список

Введение

В производстве многих строительных материалов основной технологической операцией, обеспечивающей необходимые качественные характеристики конечного продукта, является высокотемпературный обжиг исходных сырьевых смесей. Такие операции обязательны в производстве вяжущих, керамических, стеклянных и других строительных материалов.

Одним из наиболее широко применяемых для этих целей печных агрегатов являются вращающиеся печи. Они представляют собой вращающийся на роликовых опорах металлический барабан с отношением длины к диаметру от 10 до 40, ось которого имеет небольшой уклон, обеспечивающий передвижение обжигаемого материала вдоль печи с необходимой скоростью. Внутренность барабана футерована соответствующими огнеупорными материалами. Сжигание топлива в пламенном режиме осуществляют непосредственно в печном пространстве нижнего горячего конца. Сырьевую смесь подают в противоположный холодный верхний конец печи. Двигаясь навстречу материалу, дымовые газы в противотоке отдают ему тепло, нагревая до температур, необходимых для завершения физико-химических процессов, обуславливающих необходимые свойства получаемого строительного материала.

Задание

Дано: вращающаяся печь 4,5x80 м с циклическими теплообменниками и декарбонизатором.

Таблица1 Топливо: газ Кумертау

CH4

C2H6

C3H8

C4H10

C5H12

N2

CO2

P, Кг/м3

81,7

5,3

2,9

0,9

0,3

8,8

0,1

0,8790


Таблица 2 Состав сухого газа:


Химический состав сырья, %

п.п.п

S

A

F

C

M

Сумма

35,24

14,27

3,22

2,68

42,72

0,92

100,00


Таблица 3 Минералогический состав клинкера, %

C3S

C2S

C3A

C4AF

58

20

6

13


.        Влажность муки Wc=1%

.        При расчете горения топлива принять: Wp=1%, α=1,05, температура подогрева воздуха: 700 С

.        При расчете установки совместно с горячей камерой холодильника: - Температура окружающей среды 15 С

Клинкера из горячей камеры 210 С

Отходящих печных газов 300 С

Топлива 0 С

. Подсос в теплообменнике 15%

1.      Рассчитать горение топлива;

.        Тепловой расчет печи;

.        Спец расчёт: циклонный теплообменник

4.      Графика: общий вид печной установки.

1.      Теплотехнические расчеты цементной вращающейся печи. Сухой способ производства

При сухом способе производства цемента известняковое сырье дробят в две стадии - в щековой дробилке, потом в молотковой дробилке. Глина, входящая в состав цементного сырья, измельчается в валковой дробилке и сушится в барабане. После этого помолотый известняк, глина и огарки совместно измельчаются в барабанной мельнице, после чего высушиваются с помощью дымовых газов, которые поступают из запечных теплообменников. Измельченный высушенный материал разделяется на грубую и тонкую фракции в проходном сепараторе. Грубая фракция подвергается дополнительному измельчению, а тонкая фракция улавливается в циклонах и подвергается гомогенизации в смесительных силосах сырьевой муки. Сырьевая мука последовательно проходит обработку на нескольких ступенях циклонных теплообменников, нагревается, частично декарбонизируется, после чего поступает во вращающуюся печь, где из сырьевой муки формируется цементный клинкер. Далее клинкер охлаждается в холодильнике и поступает в силосный склад клинкера. С силосного склада цементный клинкер через ленточный конвейер поступает в барабанную мельницу для совместного помола с гипсом и минеральными добавками, которые одновременно поступают из бункеров. Сжигание топлива, необходимое для производства цемента, обеспечивается подачей горячего воздуха от клинкерного холодильника. Дымовые газы, отходящие от циклонных теплообменников, увлажняются в башне, затем очищаются от пыли с помощью электрофильтров и с помощью дымососа через трубу выносится в атмосферу. Воздух, отходящий от цементных мельниц, очищается в аспирационной шахте, циклонах и рукавных фильтрах. Измельченная смесь сепарируется - крупка поступает на дополнительное измельчение, а готовый цемент с помощью пневмокамерных насосов поступает в цементные силосы. Из цементных силосов цемент тарируется в контейнеры “Big Ben” или в мешки, или отгружается в железнодорожные вагоны для транспортировки цемента (холеры) или автоцементовозы.

.1      Расчет горения топлива

Состав сухого газа:

CH4

C2H6

C3H8

C4H10

C5H12

CO2

N2

Qн, ккал/м3

P, кг/м3

%

81,7

5,3

2,9

0,9

0,3

0,1

8,8

8790

0,858

100


Для дальнейших расчетов необходимо пересчитать состав сухого газа, на состав влажного с учетом влажности 1% (по условию) по формуле


Аналогично рассчитываются остальные компоненты, которые выглядят следующим образом:

Состав влажного газа:

CH4

C2H6

C3H8

C4H10

C5H12

CO2

N2

Qн, ккал/м3

P, кг/м3

%

80,88

5,247

2,281

0,891

0,297

0,099

8,712

8790

0,858

100


Газ сжигается с коэффициентом расхода воздуха α=1,05 (по условию). Воздух идущий для горения, подогревается до температуры 700 С (условие). Для газообразного топлива теплота сгорания определяется как сумма произведений тепловых эффектов составляющих горючих газов на их количество:


Подставляем величины и находим, что:

Расход воздуха на горение

При расчетах печей влажность атмосферного воздуха обычно не учитывается. Находим теоретически необходимый расход воздуха для горения природного газа:


Принимаем влагосодержание атмосферного воздуха d=10г/кг сухого воздуха.

Теоретически необходимое количество атмосферного воздуха с учетом его влажности:


где: 0,0016 - коэффициента пересчета весовых единиц влаги в объемные:

,804 - удельный вес водяных паров, кг/нм3

Действительное количество воздуха при коэффициенте расхода α=1,05

Действительный расход атмосферного воздуха при его влагосодержании d составит:


Избыточное количество воздуха, введённое в печь будет составлять:


Определяем объем продуктов горения. Общий объем продуктов горения при сжигании топлива:


Общее количество продуктов горения:

Процентный состав продуктов горения:




Материальный баланс процесса горения. Переводим м3 путем умножения на плотность p.

Составляем материальный баланс процесса горения на 100м3 при α=1,05.

Приход

Воздух


Расход



Итого: 1383,734 = 1383,71

Определяем теоретическую температуру горения. Для этого находим теплосодержание продуктов горения с учетом подогрева воздуха до tвоз=700 С и α=1,05 По i-t диаграмме находим теплоту нагрева атмосферного воздуха: 1050 кДж/нм3.

Тогда

По i-t диаграмме находим теоретическую температуру горения при α=1,05: tтеор=2220 С.

Получения температура обеспечит обжиг цементного клинкера.

Определяем действительную температуру горения при коэффициенте  Расчетное теплосодержание составит:

 

По i-t диаграмме находим действительную температуру горения при α=1,05: tд=1930 C.

.2      Материальный баланс по сырью

При газообразном топливе расчет упрощается в связи с тем, что нет необходимости считать присадку золы.

Теоретический расход сухого сырья на 1 кг клинкера составит:


Где: п.п.п - потери при прокаливании в составе сырьевой смеси, в условии задания, %.

Практический расход сухого сырья определяют с учетом безвозвратного уноса материала после очистки дымовых газов. При возврате всей уловленной пыли обратно в печь для удовлетворения санитарных норм по содержанию пыли в выбрасываемых газах он не должен превышать 0,1%.

Отсюда практический расход сухого сырья составит:


Расход влажного сырья:


Где: W - влажность сырьевой смеси, %.

Вычисляем также общее количество уноса материала из печи:


Где: n - доля уносимого сырья, для печи 4,5x85м принимаем 15.

Определяем количество возвратного уноса:



По данным химического состава шихты находят содержание в ней карбонатов и углекислоты, %


Где цифровые величины соответствуют молекулярным массам химических соединений.

Количество гидратной воды в сырьевой смеси:


Материальный баланс по сырью на 1 кг клинкера:

Приход, кг                      Расход, кг

Сырьевая смесь1,560      Клинкер1,0

Возврат 0,216                  Общий унос0,231

Выделившиеся из сырья газы:

углекислый

гидратная вода

физическая вода

Невязка составляет  ,что соответствует допустимому.

1.3    Теоритические затраты тепла

Эти затраты слагаются из теплот эндотермических реакций разложения исходных сырьевых материалов при нагревании и экзотермических реакций образования клинкерных минералов при обжиге. Применительно к сырьевой смеси из природных глинистых и карбонатных минералов теоритический эффект клинкерообразования вычисляют по следующим затратам:

.        Расход тепла на дегидратацию глинистых минералов


.        Расход тепла на декарбонизацию:


.        Расход тепла на образование жидкой фазы q3: железистой 200, без железистой 250 кДж/кг кл. Принимаем q3=200 кДж/кг кл.

.        Приход тепла от образования клинкерных минералов



Где цифровые величины соответствуют тепловым эффектам реакций образования клинкерных минералов, а  процентное содержание минералов в клинкере (по условию).

Теоретическое тепло реакций клинкерообразования равно:


.4      Тепловой баланс печи и определение удельного расхода топлива на обжиг клинкера

Тепловой баланс может быть составлен для всей установки, включая холодильник, для печи без холодильника, или включая часть холодильника (в случае колосникового холодильника с выбрасыванием части нагретого воздуха в атмосферу), нагретый воздух из которых поступает в печь в качестве вторичного. Варианты отличаются температурами выходящего клинкера и поступающего воздуха, а также величиной потерь в окружающую среду и должны быть указаны в задании. При составлении баланса печи без холодильника температуру поступающего в печь воздуха или по опытным данным, или рассчитывают, исходя из теплосодержания, выходящего из печи клинкера и теплового КПД холодильника.

Баланс составляют на 1 кг клинкера. Тепло выражают в кДж/кг клинкера.

Приход тепла:

.        Химическое тепло от сгорания топлива:


.        Физическое тепло топлива:


Где: iт - энтальпия топлива, находиться по справочным данным.

.        Физическое тепло сырья:


Где: iс - энтальпия сырьевой смеси, кДж/кг при 300 C(справочник),

iw - энтальпия воды, кДж/кг при 300 С (справочник), Мw - влажность сырьевой смеси, кг/кг клинкера.

.        Физическое тепло воздуха:


Всего приход тепла:


Расход тепла:

.        Теоретическое тепло реакций клинкерообразования

.        Тепло испарения физической воды



Где: Qисп - тепло на испарение 1 кг физической воды, равное 2491 кДж/кг.

.        Тепло теряемое с клинкером, покидающее печь


Где: iк - энтальпия клинкера при t=210С выходящего из печи, кДж/кг.

.        Тепло с отходящими газами


.        Тепло теряемое с безвозвратным уносом


Где: iун - энтальпия уноса сырьевой смеси

.        Потери в окружающую среду через футеровку печи


Где: КI - принимают для печей сухого способа с запечными теплообменниками и холодильником 0,20

.        Потеря тепла от механического и химического недожога топлива


Где: КII - принимают для газообразного топлива 0,005

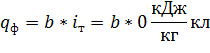
Приравнивая приход тепла к расходу, определяем удельный расход топлива (b) и удельный расход тепла на обжиг клинкера



Подставляя значение b в соответствующие уравнения статей баланса, вычисляют их величины и сводят в таблицу теплового баланса обжига на 1 кг клинкера.

Невязка баланса составляет:1,517 кг или 0,04%

Технологический КПД печи

цементный печь клинкер аэродинамический


Тепловой КПД печи


.5      Материальный баланс установки

Материальный баланс установки составляют на 1 кг клинкера, используя данные их материальных балансов топлива и сырья.

Материальный баланс установки

Статьи баланса

Приход материалов: Кг               %

.        Сырьевая смесь 1,5605   1,93

.        Топливо b              0,104    3,46

.        Воздух 1,3404   4,60

Итого:3,004100

Расход материалов:

.        Клинкер Мк1,003 3,15

.        Безвозвратный унос сырья 0,001 0,03

.        Углекислота сырья 0,5331 7,67

.        Влага 0,025 0,82

.        Отходящие газы от сгорания топлива1,4574 8,30


Итого:3,016100

Определяется невязка материального баланса, равная 0,012 кг или 0,3%

Вычислим плотность при нормальных условиях


.6      Расчет производительности печи

Производительность печи с циклонными теплообменниками и декарбонизатором


.7      Выбор пылеосадительных устройств и дымососа

Первоначально определяют выход газов на 1 кг клинкера при нормальных условиях


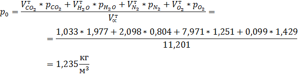
Затем определяем их плотность при нормальных условиях (p0) и температуре отходящих газов (pt):


Где: tун - температура отходящих газов 300С

Часовой выход газов составит


Где: К - коэффициент, учитывающий подсосы воздуха в установку перед пылеулавливающими устройствами. Для печей мокрого и сухого способа принимают 1,3-1,5, в данных расчетах приняли, что К=1,4.

Для улавливания пыли печных газов проектируем многоступенчатую очистку газов. Далее определяем концентрацию пыли в газах на выходе из печи:


Так как полученное значение превышает нормы, необходимо установить дополнительные пылеулавливающие устройства. Примем КПД пылеулавливающего устройства  

 

Таким образом, конечная концентрация пыли в газах составит:

 что меньше нормы,  не должна превышать 80 мг/м3. Учитывая, что скорость движения в электрофильтре 1,-1,5 м/с рассчитаем по часовому объему отходящих газов, размер площади активного сечения электрофильтра:


Где: Vr - скорость движения газов в электрофильтре. Определим минимальную и максимальную площадь сечения.

Таким образом для улавливания пыли печных газов необходим электрофильтр с размером площади активного сечения от 83,727 до 125,591 м2. Подбираем для установки электрофильтр ЭГА1-40-9-6-4 с характеристиками:

Число газовых проходов = 40 шт.

Активная высота электродов = 9 м.

Активная длина поля = 3,84 м.

Число полей = 4 шт.

Площадь активного сечения = 97,9 м2

Общая площадь осаждения 11000 м2

Дымосос выбираем по Vотх - часовой выход отходящих газов, м3/ч.

Для данной печи подбираем дымосос электрофильтра ДН-21x2У

Производительность = 390000 м3

Давление = 1690 Па

Температура отходящих газов = 200 С

 85%

N = 735 об./мин.

1.8    Топливосжигающие устройства



Потребное давление газа, мазута и воздуха для подачи соответствующего топлива в печь рассчитывают по потребному скоростному напору с запасом 20%.


Где: pм - плотность газа, равная 0,879

.9      Определение размеров декарбонизатора


Где: К - доля топлива сжигаемого в декарбонизаторе ~ 0,5

Qд - удельная тепловая мощность декарбонизатора ~ 600 кДж/м3ч

.        Специальный расчет - циклонный теплообменник

Рассчитаем тепловые затраты печи, которые складываются из:

нагрева материала от


испарение физической воды


нагрева выделившегося пара от 100 до 300 С


потери в окружающую среду в зоне q0


Теплосодержание газов, поступающих с систему теплообменников и отдающих тепло в них при температуре выхода из них 300С, составит:


Определим температуру газов для этого теплосодержания. При 800 С теплосодержание газов составит:

 

Теплосодержание при 900 С


Проверим число ступеней установки


Температуру газов определяем по ступеням, принимаем линейный характер изменения. Тогда перепад температур в каждой ступени составит:

Температура газов будет равна:

На входе в первый циклон: 800,963 С

На входе во второй циклон: 675,723 С

На входе в третий циклон: 550,483 С

На входе в четвертый циклон: 425,243 С

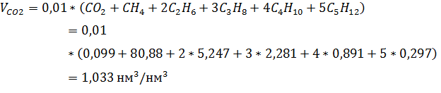
При работе установки с циклонными теплообменниками отходящие газы из печи проходит ряд циклонов, перед каждым встречаясь с сырьевой мукой, осажденной в последующем по ходу газов циклоне. Состав газов и их количество меняется следующим образом, в циклонных теплообменниках удаляется из сырья вся физическая и химическая вода (в целях упрощения принимаем, что вся она выделяется в первом по ходу материала циклоне, также 5% CO2).

.1      Состав и количество газов по участкам

Тепло с отходящими газами


Таблица 2.1

Компоненты смеси

а

б

в

г

д

е

0,1074

0,1074

0,1074

0,1074

0,1074

0,1074

0,2696

0,2696

0,2696

0,2696

0,2696

0,2696

0,2181

0,2181

0,2181

0,2181

0,2181

0,2181

0

0

0

0

0

0,0186

0,8289

0,8289

0,8289

0,8289

0,8289

0,8289

0,0102

0,0102

0,0102

0,0102

0,0102

0,0102

0

0,1736

0,1736

0,1736

0,1736

0,1736

Итого

1,4312

1,6078

1,6078

1,6078

1,6078

1,6264

P0

1,3777

1,3658

1,3658

1,3658

1,3658

1,3594



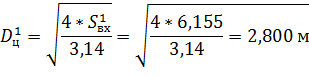
.2      Определение размеров циклона

Предусматриваем 2 ветви теплообменников, в соответствии с выходом газов по ступеням, производительностью печи и температурой определяем секундный расход газов, сечение входа в циклон, конструктивные размеры: длину, ширину, высоту. Всё расчеты сводим в таблицу.


Расчет:








Таблица 2.2

Характеристики

Вход в 1й

Вход во 2ой

Вход в 3й

Вход в 4й

T циклона

800,963

675,723

550,483

425,243

Vсек, м3

92,326

81,558

70,793

60,025

Sвх, м2

26,378

23,302

20,226

17,15

Dц, м

5,796

5,448

5,075

4,674

Lц, м

3,477

3,268

3,045

2,804

Нц, м

9,273

8,716

8,12

7,478


.3      Аэродинамический расчет установки теплообменников

Сопротивление циклонов вычисляем по формуле


Где: - коэффициент сопротивления для стандартных циклонов, равен 7

- скорость газов на входе в циклон, равная 17 м/с

g - ускорение свободного падения, равное 9,81 м/с

x - концентрация материала в газе кг/кг, определяется при КПД циклона, равное 0,8




Таблица 2.3

Циклоны

P

1+x

I

7

14,729

0,347

1,844

65,976

II

7

14,729

0,393

1,844

74,722

III

7

14,729

0,452

1,844

85,940

IV

7

14,729

0,534

1,844

101,531

итого





328,170


.4      Аэродинамическое сопротивление трубопроводов


Где: Lтр - длина трубопровода, определяется конструктивно по чертежу, м Dтр - диаметр газохода определяется при скорости газов 15 м/с

 - скорость газов 15 м/с, остальные параметры сходны.





Таблица 2.4

Участок

L, м

Dц, м

 ,м

Pг, кг/м3

1+x

I


2,800

11,467

0,347

1,844


II


2,631

11,467

0,393

1,844


III


2,451

11,467

0,452

1,844


IV


2,257

11,467

0,534

1,844


V


2,257

11,467

0,534

1,844




Где: К - коэффициент учитывающий подсос воздуха в установку перед пылеулавливающими устройствами

мм вод. ст. - разряжение в печи.

Заключение

В результате проделанных расчетов, получились следующие вращающиеся печи 4,5x80 м по сухому способу: в расчете горения топлива получили действительную температуру горения газа при КПД печи 0,8, t=1930 C (для печей требуется высокая температура горения > 1550 С). Требования к газовому топливу: Qнр=34,546 МДж (должно быть больше 20 МДж/кг*кг), из расчетов теплотворности рабочего топлива составила масса уноса материала из печи Мун=0,231 кг/кг кл (>20%). Также в сырьевой смеси присутствует гидратная вода 0,010. Теоретическое тепло реакций клинкерообразования равно 1807,51 кДж/кг кл. После составления теплового баланса печи на 1 кг клинкера, удельный расход топлива на обжиг составил b=0,104 кг/кг кл., что 1,5-2 раза меньше, чем при мокром способе производства. Если сравнить с паспортными данными, где расходы теплоты на получение клинкера равны 3300 кДж/кг кл., то в моей работе он составил 3592 кДж/кг кл. Производительность печи составила 105,100 т/ч с некоторой погрешностью. Выбирая электрофильтр по объему отходящих газов и скорости (1-1,5 м/с) по справочнику, имеем: ЭГА1-40-9-6-4. Затем дымосос по исходным данным часового выхода газа с учетом температуры, по справочнику: ДН-21x2У. Топливосжигающие устройства для газа, это газовые горелки, с диаметром:Dг=0,118 и площади сечения Sг = 0,010 м2. При давлении газа 4843,496 Па.

Циклонные теплообменники, применяемые при сухом способе производства, устанавливают у загрузочного конца вращающейся печи (газы подхватывают сырье и вносят в циклон). Происходит интенсивный теплообмен, высокая поверхность теплоотдачи и нагрев материала; также можно применять любое по пластичности сырье. Температура газа на выходе из печи равна 300 С.

На входе в первый циклон: 800,963 С

На входе во второй циклон: 675,723 С

На входе в третий циклон: 550,483 С

На входе в четвертый циклон: 425,243 С

Перепад температур составил: 125,240 С, число ступеней 4, Диаметр циклонов до 5,796 м. Также в циклонах присутствует гидравлическое сопротивление, которое составило 328,170 мм. вод. ст.

Библиографический список

1.      Давыдов С.Я, Пьчев В.А. Вращающиеся печи предприятий строительных материалов: учебное пособие, ГОУ ВПО УГТУ-УПИ, 2010г

.        Пьячев В.А. 2-е издание, исправленное и дополненное, подготовил канд. тех. Наук И.Ф.Коряков. Руководство по проектированию печей силикатной промышленности. Часть IV, глава II, Пример тепловых расчетов вращающихся печей для обжига цементоного клинкера по сухому способу. Свердловск УПИ, 2008г

.        Пьячев В.А., Капустин Ф.Л., Тепловые и технологические расчеты вращающихся печей для обжига цементного клинкера: Методические указания к курсовому проектированию по курсу: «Тепловые процессы и установки в технологии вяжущих материалов», Екатеринбург, УПИ, 2012г.

.        Пьячев В.А., Курс лекций: «Тепловые процессы в химической технологии тугоплавких неметаллических силикатных материалов», 2011г.

Похожие работы на - Вращающаяся печь с циклическими теплообменниками и декарбонизатором

 

Не нашли материал для своей работы?
Поможем написать уникальную работу
Без плагиата!
Без нейросетей!