Определение длины световой волны с помощью колец Ньютона
Содержание
Введение
1.
Описание, история эксперимента и подготовка оборудования для определения длины
световой волны с помощью колец Ньютона
1.1 Описание
экспериментальной установки
. Теория
метода получения колец Ньютона
.1 Вывод
расчетной формулы
. Экспериментальная
часть
.1 Проведение
необходимых измерений
.2 Расчеты
величин и определение погрешности
. Запись
окончательного результата с учетом всех погрешностей
Заключение
Список
использованных источников
Введение
В данной работе я хотел показать важность оптических эффектов, которые мы
можем наблюдать с помощью определенных приборов, в нахождении количественных
характеристик наблюдаемого излучения. В данном случае длины волны какого-либо
излучения.
Для того чтобы выполнить поставленную цель мне потребуется получить
«Кольца Ньютона», представляющие собой концентрические чередующиеся темные и
светлые окружности, которые можно наблюдать при отражении перпендикулярно
падающего света от границ тонкой воздушной прослойки которая заключена между
выпуклой поверхностью плосковыпуклой линзы и плоской стеклянной пластинкой.
Цель работы: Определить длину волны с помощью установки для получения
колец Ньютона.
Задачи:
) Собрать установку для получения колец Ньютона
) Пронаблюдать кольца Ньютона полученные с помощью установки
) Вывести рабочую формулу для расчета длины волны
) Рассчитать искомую величину
1. Описание, история эксперимента и подготовка оборудования для
определения длины световой волны с помощью колец Ньютона
На фото - оправа, в которой зажаты две стеклянные пластины (рис. 1). Одна
из них слегка выпуклая, так что пластины касаются друг друга в какой-то точке.
И в этой точке наблюдается нечто странное: вокруг нее возникают кольца. В
центре они почти не окрашены, чуть дальше переливаются всеми цветами радуги, а
к краю теряют насыщенность цветов, блекнут и исчезают.
Так
выглядит эксперимент, в XVII веке положивший начало современной оптике.
Несмотря на название, первым его провел отнюдь не Исаак Ньютон
<#"868119.files/image001.jpg">
Рис.
1
В
чем же удивительность этого простого эксперимента? В каждой точке происходит
отражение света
<#"868119.files/image002.jpg">
Рис.
2
Известно,
что свет имеет волновую природу. И такое наложение волн, при котором в одних
точках происходит их взаимное усиление, а в других взаимное ослабление,
называется интерференцией.
Чтобы
интерференция возникла, волны должны иметь одинаковую частоту и одинаковое
направление. Такие волны называют когерентными (согласованными). Когерентные
волны отличаются только начальными фазами. А разность их фаз постоянна в любой
момент времени.
При
наложении двух или более когерентных волн происходит взаимное увеличение или
уменьшение результирующей амплитуды этих волн. Если максимумы и минимумы
когерентных волн совпадают в пространстве, волны взаимно усиливаются. Если же
они сдвинуты так, что максимуму одной соответствует минимум другой, то они
ослабляют друг друга.
Интерференция
света появляется при наложении двух и более световых волн. В области
перекрывания волн наблюдают чередующиеся светлые и тёмные полосы. При
прохождении луча света через тонкую плёнку луч отражается дважды: от наружной
поверхности плёнки и от внутренней. Оба отражённых луча имеют постоянную
разность фаз, то есть являются когерентными. Следовательно, возникает явление
интерференции.
В
нашем случае роль плёнки будет выполнять воздушная прослойка между линзой и
пластинкой (рис. 3).
Рис.
3
кольцо
ньютон монохроматический свет
Если положить плосковыпуклую линзу выпуклостью вниз на стеклянную
пластинку, а сверху осветить монохроматическим (имеющим синусоидальную форму
волны с постоянной частотой и амплитудой) светом, то в месте соприкосновения
линзы и пластинки можно будет увидеть тёмное пятно, окруженное тёмными и
светлыми концентрическими кольцами.
Эти кольца называются кольцами Ньютона. Они образовались в результате
интерференции двух волн. Первая волна возникла в результате отражения от
внутренней поверхности линзы в точке А на границе стекло-воздух.
Вторая волна прошла воздушную прослойку под линзой и только потом
отразилась в точке В на границе воздух-стекло.
Если же линза освещается белым светом, то кольца Ньютона будут иметь
цветную окраску. Причём, цвета колец будут чередоваться, как в радуге: красное
кольцо, оранжевое, жёлтое, зелёное, голубое, синее, фиолетовое. Кольца Ньютона
используют для решения различных технических задач. Одним из примеров такого применения
является определение качества полировки оптической поверхности. Для этого
исследуемую линзу накладывают на стеклянную пластинку. Сверху освещают
монохроматическим светом. Если поверхности идеально ровные, в отражённом свете
будут наблюдаться кольца Ньютона.
.1 Описание экспериментальной установки
Для того, чтобы наблюдать необходимый оптический эффект для расчета длины
волны падающего на плосковыпуклую линзу и плоскую стеклянную пластину света,
нам потребуется следующее оборудование:
. Излучатель монохроматического света (красного, к примеру).
. Плоское зеркало; штатив для его фиксации и регулировки поворота.
. Плосковыпуклая линза, соединенная выпуклой стороной с плоской
стеклянной пластиной. Регулятор воздушной прослойки между ними.
. Окуляр, увеличивающий изображение, с нанесенной на него,
регулируемой шкалой.
. Линза.
. Световой фильтр.
2. Теория метода получения колец Ньютона
.1 Вывод расчетной формулы
Линзу
с пластинкой освещают светом, падающим нормально к поверхности пластинки.
Воздушная прослойка, расположенная между линзой и пластинкой, представляет
собой тонкую, «клинообразную» плёнку. Лучи 2 и 3 , возникающие при отражении от
верхней и нижней границы этой пленки, идут практически по направлению падающего
луча 1, так как угол "клина" воздушной пленки очень мал. При
наблюдении пластинки сверху лучи 2 и 3, попадая на хрусталик глаза,
интерферируют. Если для некоторой толщины d воздушной прослойки выполняется
условие, например, максимума интенсивности
то это
условие выполняется и по всей окружности прослойки с данной толщиной.
Следовательно, будет видна светлая окружность радиуса r, соответствующего
толщине прослойки d (рис. 4). Таким образом, кольца Ньютона - это чередующиеся
светлые и темные интерференционные полосы, имеющие форму окружности. На
расстоянии
разность хода интерферирующих лучей равна удвоенной
толщине воздушной прослойки 2d. Толщину воздушной (
) прослойки можно рассчитать по теореме Пифагора (см.
рис. 7):
;
;
или
.
Так
как
, то величиной d2 можно пренебречь
. Учтем, что при отражении от оптически более плотной
среды, фаза колебаний скачком изменяется на противоположную (на π), что эквивалентно изменению оптического пути на
(«потеря полуволны»). Тогда оптическая разность хода
отраженных лучей при их нормальном падении будет равна:
.
Подставим
условие максимумов интенсивности,
получим
, что можно переписать в виде
(это же выражение можно получить из общей формулы для
условия максимумов интенсивности в тонкой пленке, которая получена выше, если
учесть, что a=0, n=1). В формулу радиуса кольца
подставим выражение
и
получим что: радиусы светлых колец в отраженном свете
,
Действуя аналогично,
но, используя условие минимумов интенсивности, найдем: радиусы темных колец в
отраженном свете
,
В
уравнениях величина
равна номеру соответственно светлого или темного
кольца. Количество колец отсчитывается от центра интерференционной картины. В
отраженном свете в центре картины наблюдается круглое темное пятно. Если
производить наблюдения в проходящем свете, то темные и светлые полосы (в виде
окружности) меняются местами по сравнению со случаем наблюдения в отраженном
свете. Из формулы радиуса тёмных колец
выразим
длину волны и получим:
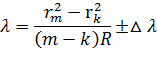
где
искомая длина световой волны, rm - радиус
тёмного кольца Ньютона, m - номер кольца, R - радиус кривизны линзы. Для
увеличения точности измерений возведем в квадрат
радиус
кольца под номером m, и номером k
. Вычтем
радиус кольца с номером k из радиуса кольца с номером m и выразив длину волны
получим расчетную формулу
.
3. Экспериментальная часть
.1 Проведение необходимых измерений

) Находим наиболее оптимальное положение окуляра для наблюдения колец
Ньютона.
) Когда зафиксировано положение, при котором интерференционная картина
четко просматривается, устанавливаем неподвижную шкалу окуляра относительно
центра так, чтобы было удобно рассчитывать радиусы нужных нам колец. 3) С
помощью микрометрического винта определяем радиусы первого и второго темных
колец (причем от центра наблюдаемой картины к внешней стороне темного кольца).
) Фиксируем все полученные значения. Повторяем предыдущие пункты 5 раз
(для увеличения точности результата).
) После того как все выполнено, проводим следующие математические
операции.
3.2 Расчеты величин и определение погрешности
) Из формулы
)
Высчитываем радиус первого и второго темных кольца, получаем значения, которые
записываем в метрах. Повторяем эти измерения, производя корректировки, 5 раз.
Из полученных результатов находим среднее значение исходных величин.
)
Находим абсолютную погрешность для
пользуясь
следующей формулой:
В
этой формуле используется коэффициент Стьюдента
. Его
значения при разных доверительных вероятностях и значениях n приведены в
специальной таблице 1.
Таблица
1
|
Число степеней свободы f=n-1
|
Доверительная вероятность
|
|
0,90
|
0,95
|
0,99
|
0,999
|
|
1
|
2
|
3
|
4
|
5
|
|
1
|
6,314
|
12,706
|
63,657
|
636,619
|
|
2
|
2,920
|
4,303
|
9,925
|
31,598
|
|
3
|
2,353
|
3,182
|
5,841
|
12,941
|
|
4
|
2,132
|
2,776
|
4,604
|
8,610
|
|
5
|
2,015
|
2,571
|
4,032
|
6,859
|
|
6
|
1,943
|
2,447
|
3,707
|
5,959
|
|
7
|
1,895
|
2,365
|
3,499
|
5,405
|
|
8
|
1,860
|
2,306
|
3,355
|
5,041
|
|
9
|
1,833
|
2,262
|
3,250
|
4,781
|
|
10
|
1,812
|
2,228
|
3,169
|
4,587
|
|
11
|
1,796
|
2,201
|
3,106
|
|
12
|
1,782
|
2,179
|
3,055
|
4,318
|
|
13
|
1,771
|
2,160
|
3,012
|
4,221
|
|
14
|
1,761
|
2,145
|
2,977
|
4,140
|
|
15
|
1,753
|
2,131
|
2,947
|
4,073
|
|
16
|
1,746
|
2,120
|
2,921
|
4,015
|
|
17
|
1,740
|
2,110
|
2,898
|
3,965
|
|
18
|
1,734
|
2,101
|
2,878
|
3,922
|
|
19
|
1,729
|
2,093
|
2,861
|
3,883
|
|
20
|
1,725
|
2,086
|
2,845
|
3,850
|
|
21
|
1,721
|
2,080
|
2,831
|
3,819
|
|
22
|
1,717
|
2,074
|
2,819
|
3,792
|
|
23
|
1,714
|
2,069
|
2,807
|
3,767
|
|
24
|
1,711
|
2,064
|
2,797
|
3,745
|
|
25
|
1,708
|
2,060
|
2,787
|
3,725
|
1,706
|
2,056
|
2,779
|
3,707
|
|
27
|
1,703
|
2,052
|
2,771
|
3,690
|
|
28
|
1,701
|
2,048
|
2,763
|
3,674
|
|
29
|
1,699
|
2,045
|
2,756
|
3,659
|
|
30
|
1,697
|
2,042
|
2,750
|
3,646
|
|
40
|
1,684
|
2,021
|
2,704
|
3,551
|
|
60
|
1,671
|
2,000
|
2,660
|
3,460
|
|
120
|
1,658
|
1,980
|
2,617
|
3,373
|
|
бесконечность
|
1,645
|
1,960
|
2,576
|
3,291
|
Нас интересует значение коэффициента при доверительной вероятности 0.95.
Оно равно - 2.776 используем его для расчетов.
) Для определения относительной погрешности измерения используем формулу:
Так как в рабочей формуле присутствуют переменные r (радиусы двух
соседних колец) и R (радиус кривизны линзы).
Рабочая формула:
Для
нее относительная погрешность будет иметь вид:
*100%
4. Запись окончательного результата с учетом всех погрешностей
Для того чтобы грамотно записать ответ, следующий из цели проведенной
работы, нужно следовать данному алгоритму:
) Записать результат с учетом абсолютной погрешности:
) Записать относительную погрешность проведенных измерений для
данной величины:
*100%
) Проверить, соответствует ли ответ действительности. К примеру,
зная длину волны красного света 620-740 нанометров, мы можем судить о
правдивости проведенных измерений и полученного результата.
Заключение
В данной работе, я собрал установку для получения колец Ньютона состоящую
из:
· Излучателя красного монохроматического света
· Плоского зеркала и штатива для его фиксации, регулировки и
поворота
· Плосковыпуклой линзы, соединенной выпуклой стороной с плоской
стеклянной пластинкой
· Окуляра, увеличивающим изображение, с нанесенной на него
регулируемой шкалой
· Линзы
· Светового фильтра
С помощью собранной установки, я пронаблюдал появления колец Ньютона в
отраженном свете и в дальнейшем перешел к выводу рабочей формулы:
Для
которой относительная погрешность имеет вид:
Произведя
необходимые расчеты, я установил, что длина волны красного, монохроматического
света равняется 670 нанометров, что соответствует теоретической
действительности.
Список использованных источников
1) Трофимова Т. И. Курс физики: Учебное пособие для вузов /
Таисия Ивановна Трофимова. - 12-е изд., стер. - М.: Издательский центр
«Академия», 2006. - параграф №5.
) Шамонин В. А., Дружинин А. П., Свешников И. В. Методические
указания к лабораторным работам по оптике. Метод. Указ. Чита: ЗабГУ, 2012. - 20
с.
) http://www.physel.ru
4)
<http://www.femto.com.ua>
)
<http://www.physics.ru>
) Методическая инструкция.
Общие требования к построению и оформлению учебной текстовой документации . МИ
4.2-5-01-2011