|
Параметри
|
Тип
газосепаратора
|
|
ГСА5А
|
ГСА5-1
|
ГСА5-3
|
ГСА5-4
|
|
Максимальний
вміст вільного газу, %
|
55
|
53
|
55
|
55
|
|
Температура
рідини
|
120
|
120
|
120
|
120
|
|
Коефіцієнт
сепарації, не менше
|
0,8
|
0,7
|
0,7
|
0,7
|
|
Подача
в робочій зоні, м3/добу
|
50-430
|
25-250
|
25-100
|
25-130
|
|
Частота
обертання вала, об/хв-1
|
3000
|
3000
|
3000
|
3000
|
|
Маса,
кг
|
34/40
|
25
|
26
|
33/35
|
|
Монтажна
довжина, мм
|
1094
|
767
|
784
|
830/940
|
|
Діаметр
корпуса, мм
|
103
|
92
|
92
|
92
|
|
|
Максимальний
вміст попутної води %
|
99
|
99
|
99
|
99
|
|
|
Максимальна
густина рідини кг/м3
|
1400
|
1400
|
1400
|
1400
|
|
|
|
|
|
|
|
|
|
|
|
Рисунок 1.2 Газосепаратор ГСА5А
Рисунок 1.3 Газосепаратор ГСА5-1
Рисунок 1.4 Газосепаратор ГСА5-3
На рисунку 1.5 зображено газосепаратор типу
3МНГБ. Дані газосепаратори розробляє Азербанджанська компанія ООО "Шельфгазтехнология".
Даний сепаратор виготовляється без осьових опор в габаритах 5, 5А і 6. Осьові
навантаження передаються на опору протектора, яка працює в маслі, не піддаючись
агресивній взаємодії пластової рідини [5].
Газосепаратори обладнані:
- захисним корпусом від
гідроабразивного зносу;
- основами і захисними
гільзами корпуса з нержавіючої сталі;
- ущільнюючими резиновими
кільцями на стиках з’єднань для захисту від прориву газу;
- проміжним радіальним
підшипником для підвищення жорсткості вала;
- радіальними підшипниками
з карбід-вольфраму.
На рисунку 1.6 зображено газосепаратор
спеціального типу МГСБТ5 (5А) компанії ООО "Шельфгазтехнология".
Сепаратори даного типу виготовленні з усиленою осьовою опорою в габаритах 5 (з
діаметром вала 20 мм) і 5А (з діаметром вала 22 мм). Несуча здатність осьової
опори збільшена за рахунок застосування багатоповерхової п’яти. Осьова опора
виготовляється з конструкційної кераміки - карбіда кремнія.
Дані сепаратори відрізняє:
- простота конструкції;
- ефективне
охолодження осьової опори. Осьова опора розташована в порожнині, відділеній від
потоку рідини. Охолодження відбувається пластовою рідиною, яка поступає і
викидається через радіальні отвори в корпусі. При цьому відцентрова сила
перешкоджає потраплянню механічних домішків в порожнини опори;
- наявність
радіальних опор з твердого сплаву.
Рисунок 1.5 - газосепаратор типу 3МНГБ
Рисунок 1.6 - газосепаратор спеціального типу
МГСБТ5 (5А)
Головним недоліком в роботі є засмічення
домішками, які присутні в пластовій рідині. Звідси випливає, що забивання
механічними домішками є важливим чинником, що впливає на термін служби
газосепаратора, а боротьба з ним повинна призвести до збільшення міжремонтного
періоду установки.
Також присутній велике зношування робочих деталей
газосепаратора, це пов’язано з тим що газосепаратор працює з рідиною в якій
присутні механічні домішки. Цей недолік дуже часто приз водить до
незапланованих ремонтів, що в свою чергу скорочує міжремонтний період
обладнання.
Велике тертя у опорах валів також призводить до
виходу з ладу деталі, а саме до заклинювання. У газосепараторів дуже велика
частота обертання до 3000 об/хв-1. Що в свою чергу впливає на знос
підшипників [5].
Розглянемо газосепаратор російської фірми ОАО
"АЛНАС" (рис. 1.7) [6].
1-корпус; 2-основа;
3,5-вхідні отвори; 4-головка; 6-вхідні канали; 7-вал; 8-сепараційна камера;
9-шнек; 10,12-конусоподібна втулка; 11-різьбова канавка.
Рисунок 1.7 -
газосепаратор фірми ОАО "АЛНАС"
Недоліком цього
газосепаратора є знижений натиск шнека, який залежить від його діаметра на
виході. Це може призвести до зниження сепараційних властивостей газосепаратора
на великих подачах. Можливе утворення зворотних струмів на вході в сепараційні
камеру за рахунок різкого, ступеневої переходу між каналом шнека і каналом
сепараційної камери. Це може призвести до гідроабразивного зносу і розрізання
корпусу газосепаратора на вході в сепараційні камеру.
Газосепаратори фірми Сentrilift (рис.1.8).
Залежно від газовмісту на прийомі насоса фірма рекомендує і поставляє
газосепаратори гравітаційного типу - для газозмісту до 10 % і газосепаратори
відцентрові (при великих значеннях газовмісту).
Відцентровий газосепаратор складається з ротора
гвинтового типу, направляючого апарату, камери сепарації у вигляді циліндрового
барабана з радіальними лопатями і зовнішнім бандажем, камери відведення
вільного газу в затрубний простір і відведення газовмісної суміші в першу
ступінь відведення.
За даними фірми відцентровий газосепаратор
забезпечує відділення до 90% вільного газу.
За результатами досліджень фірми виявлено, що
наявність зовнішнього бандажа у радіальних лопаток циліндрового барабана
підвищує коефіцієнт сепарації вільного газу і оберігає корпус газосепаратора
від абразивного і ерозійного зносу у відкачуваній рідині.
-основа; 2-втулка підшипника; 3-ротор гвинтового
типу; 4-вал; 5-направляючий апарат; 6-осьове робоче колесо; 7-сепараційна
камера; 8-корпус; 9-перехідник; 10-корпус підшипника; 11-головка
Рисунок 1.8 - Відцентровий газосепаратор фірми
Centrilift
Для відкачування зі свердловин нафтової
продукції, що являє собою ГРС, установками заглибних відцентрових насосів фірма
REDA пропонує різні конструкції пристроїв, основними з яких є:
) відцентрові газосепаратори;
) вихрові газосепаратори;
) сепаратори з протитечією (гравітаційний);
) конічна схема насоса;
) диспергатори.
Для випадків з великим газовим вмістом (60 %) на
прийомі фірма пропонує відцентрові (рис. 1.9) і вихрові газосепаратори. За
даними фірми, відцентровий газосепаратор видаляє з ГРС до 90 % вільного газу.
Слід відзначити високий напір, що розвивається
відцентровим сепаратором фірми REDA, і незначний вплив величини газового вмісту
на напірну характеристику газосепаратора.
Незважаючи на широке застосування
газосепараторов, необхідно відзначити і їх недоліки:
. Можливість блокування свердловини газовими
пробками через нестабільне надходження газу з свердловини, через значне
обводнення пластової рідини, при якій зривний газовмыст приблизно пропорційний
(1-в), де в - обводненість, або через грубу дисперснысть газорідинної суміші з
залишковим газом, що надходить в перше робоче колесо насоса, або через вплив
усіх цих факторів.
. Застосування газосепаратора може призвести до
часткового фонтанування свердловини по затрубному простору, що, в свою чергу,
може призвести до його перекриттю через відкладення парафіну і до припинення
функціонування сепаратора.
. При застосуванні сепаратора практично не
використовується корисна робота газу при підйомі пластової рідини в НКТ, тому
що здебільшого газ прямує в затрубний простір.
. Спостерігаються коливання споживаної насосом з
газосепаратором потужності при відкачуванні ГРС. Ці коливання при наявності
газової пробки можуть призвести до частих зупинок по недогрузцы, повторних
запусків, що знижує надійність роботи всієї установки.
. Як показує промислова практика установок ЕВН з
газосепаратором, газосепаратор в силу характерних конструктивних ознак
(обертання відкачуваної рідини з механічними домішками, що в ній знаходяться на
відстані достатньої довжини) або в силу недостатньої доопрацьованості конструкції
може з'явитися причиною не тільки відмови, але і "польоту" установки.
Рисунок 9.3 - Відцентровий газосепаратор фірми
REDA
В якості прототипу
вибираємо газосепаратор 1МНГ5. Даний газосепаратор працює в широкому діапазоні
змін умов експлуатації та забезпечує стабільну роботу УЕВН при газовмісті до
50%.
2.
Спеціальна частина
2.1
Вимоги до газосепараторів
Світовими виробниками випускаються три типи
газосепараторів:
гравітаційні;
вихрові;
Застосування відцентрових газосепараторів є самим
надійним засобом захисту ЕВН від негативного впливу вільного газу.
Для відділення газу від рідини в цих
газосепараторах використовується плавучість газових бульбашок під дією
гравітаційних або відцентрових сил.
Гравітаційний газосепаратор має найменший
коефіцієнт сепарації, відцентровий - найбільший, а вихровий газосепаратор за
коефіцієнтом сепарації займає проміжне положення.
До пристроїв ставлять наступні вимоги:
ліквідація негативного впливу вільного газу,
вміст якого більше допустимого за технічними умовами, що і призводить до зриву
подачі насоса;
забезпечення мінімального діаметрального розміру
пристрою, який відповідає діаметральним розмірам насоса певної габаритної
групи;
забезпечення необхідної подачі рідини через робочі
органи пристрою для забезпечення стійкої роботи насоса;
забезпечення проходу подовженого, за рахунок
застосування пристрою, заглибного агрегату по всій глибині свердловини,
особливо - в похило-скерованих свердловинах.
Найбільш часто газосепаратори для ЕВН виконуються
по відцентровій схемі. Газосепаратори представляють собою окремі насосні
модулі, які монтуються перед пакетом ступеней нижньої секції насоса за
допомогою фланцевих з’єднань. Вали секцій або модулів з’єднуються шліцевими
муфтами [1].
2.2
Дослідження чинників, що впливають на ефективність роботи відцентрових
газосепараторів
На ефективність сепарації значний вплив мають
фізико-хімічні властивості оброблюваних продуктів і параметри процесу:
температура і тиск газорідинної суміші, розмір часток крапельної рідини і
концентрація їх в газі, швидкість газорідинної суміші, поверхневий натяг
системи "газ - рідина".
При підвищенні тиску можливість злиття крапельок
рідини зростає і ефективність сепарації відповідно також повинна збільшитися.
Експериментально
встановлено [7,8], що ефективність роботи відцентрового газового сепаратора
істотно залежить від величини дисперстності газорідинної структури флюїду, що
перекачується. У реальній нафтовій свердловині на прийомі відцентрового
газового сепаратора зазвичай має місце бульбашковий режим течії ГРС, при цьому
діаметр бульбашок газової фази коливається в діапазоні від 80 до 300 мкм [9].
Газорідинна суміш (ГРС),
яка має мілкодисперсну структуру і велику концентрацію газових бульбашок, як
правило, відповідає умовам роботи насоса при відкачці високопінистих
водогазонафтових систем. На рис.2.1 показані експериментальні робочі
характеристики відцентрового газового сепаратора 1МНГ5, що працює на
дрібнодисперсного ГРС, де діаметр бульбашок газу ~ 80 мкм.
Для порівняння на рис.2.2
наведені робочі характеристики того ж газосепаратора, що працює на
грубодисперсной суміші "вода-повітря" з діаметром бульбашок газу
більше 120 мкм. Зіставлення експериментальних даних для розглянутих вище
випадків роботи газового сепаратора 1МНГ5, дозволяє зробити висновок, що
зменшення діаметра бульбашок газу в перекачуваній насосом ГРС від 120 до 80
мкм, викликає деградацію коефіцієнта сепарації Кс відцентрового
газового сепаратора від 28% при об'ємному вмісті газу на вході βвх = 0,5, до 50% при βвх = 0,1
Рис. 2.1 Експериментальні данні тиску Pн
і подачі рідини Qр що створює насос, кінцевого газовмісту βкінц і коефіцієнта сепарації Kс
газосепаратора 1МНГ5 від газовмісту на вході βвх на мілко дисперсні суміші
"вода-повітря"
Рис. 2.2 Експериментальні характеристики
газосепаратора 1МНГ5
В даний час відсутні методики розрахунку
сепараційних характеристик відцентрових газосепараторів, що враховують вплив
ступеня дисперсності перекачується насосом газорідинної суміші.
Метою представленої роботи є чисельне дослідження
впливу структурного складу дисперсної ГРС типу "вода-повітря" на
ефективність процесу газовиділення у відцентровому газосепараторі і розробка
методики розрахунку його робочих характеристик залежно від структури ГРС.
Випробування проведені в експериментальній
установці. На вхід насоса подавалася ГРС з витратою рідини від 250 до 325 м3/добу
і газовмісту суміші до 0,7 при тиску на вході в насос 0,2 МПа. Коефіцієнт
сепарації газу в режимі з граничною витратою 325 м3/добу, досягав
0,96 при вхідному газовмісті 0,5. Візуальне спостереження структури ГРС після
виходу з сепаратора з суперкавіттуючим колесом підтвердило перевагу в потоці
великих газових включень з діаметром істотно (в десятки разів), що перевищує
дисперсність біля входу в газосепаратор.
Серійний газосепаратор 1МНГ5 в тих же радіальних
габаритах при вхідному газовмісті 0,5 забезпечив граничну пропускну здатність
по рідини не більше 250 м3/добу, причому коефіцієнт сепарації не
перевищував 0,90. Розрахунковим шляхом було встановлено, що при витраті рідини
300 м3/добу серійний газосепаратор буде практично непрацездатний.
Крім того, на виході з центрифуги серійного сепаратора в потоці переважав
дрібнодисперсний газ з розмірами бульбашок, порівнянними з існуючими на вході.
Експерименти, проведені на спеціально
приготованою тонкодисперсною ГРС, що відповідає реальним свердловинним умовам
основних родовищ Західного Сибіру (по параметру пінистості і дисперсності), показали,
що в цьому випадку запропоноване технічне рішення забезпечило коефіцієнт
сепарації 0,88, проти 0,50 у серійного сепаратора 1МГН5, тобто було досягнуто
підвищення ступеня сепарації газу більш ніж у 1,7 рази. Із зроблених
експериментів випливає, що запропоноване технічне рішення забезпечує значно
менший вплив ступеня дисперсності ГРС і фізичних властивостей компонентів на
робочі характеристики насоса і газосепаратора, у порівнянні з відомим базовим
об'єктом [10].
2.3
Опис пропонованого вдосконалення, обґрунтування його доцільності та
ефективності
Недоліки газосепаратора 1МНГ5 полягають у тому,
що при збільшенні витрати рідини знижується ступінь відділення газу, при цьому
зменшується пропускна здатність газосепаратора по рідини. Застосування лопатевих
коліс діагонального типу призводить до диспергування (дроблення) бульбашок
газу, що знижує ступінь сепарації газу в відцентровому роздільнику. Це вимагає
застосування додаткового вузла для відділення бульбашок газу від рідини.
Застосувати ж у цій конструкції осьові колеса з великою пропускною здатністю по
ГРС виявилося неможливим, оскільки необхідно було створити значний напір ГРС,
щоб забезпечити прокачування продукції свердловини через обидва сепаруючих
вузла.
Для модернізації потрібно підвищити ступінь
відділення газу при одночасному збільшенні витрат рідини в обмежених радіальних
габаритах свердловини.
В газосепараторі свердловинного відцентрового
насоса, що містить розміщені в корпусі послідовно по ходу потоку лопатеве
колесо, встановлене на валу, і відцентровий роздільник, по якому відбувається
вихід газу в затрубний простір, а вихід по рідини співпадає з входом до насоса,
лопатеве колесо виконане суперкавітіруючого типу і служить засобом для
укрупнення бульбашок вільного газу.
З сучасного рівня техніки відоме явище
суперкавітаціі і лопатеві колеса суперкавітірующего типу. Проте в техніці явище
суперкавітаціі при обтіканні решіток профілів використовувалося, в основному,
для запобігання кавитаційного зносу лопаток, а суперкавітіруючі колеса
призначені для підвищення всмоктуючої здатності високооборотних насосів
нагнітач.
Застосування вищевказаних прийомів і технічних
засобів забезпечує підвищення ступеня сепарації газу збільшення пропускної
здатності газосепаратора по рідини, зниження потрібного напору перед розділовим
вузлом і зменшення осьових габаритів при відкачуванні ГРС з високим вмістом
дрібнодисперсного газу.
2.4
Опис призначення, будови, принципу дії відцентрового газосепаратора
Газосепаратори призначені для забезпечення
стабільної роботи заглибного насоса при відкачуванні високогазованої рідини.
Застосування відцентрових газосепараторів є
найнадійнішим засобом захисту ЕВН від шкідливого впливу вільного газу. Від
ефективності їх роботи багато в чому залежать параметри експлуатації і
наробітку до відмови заглибного насоса в свердловині [1].
Для відділення газу від рідини в цих
газосепараторах використовується плавучість газових бульбашок під дією
гравітаційних або відцентрових сил.
Установка свердловинного насоса (рисунок 2.3), за
допомогою якої здійснюється пропонований спосіб відкачування рідини, містить
розміщений в свердловині 1 на колоні 2 підйомних труб відцентровий насос 3 з
газосепаратором 4, що приводиться в дію електродвигуном 5, енергія до якого
подається по кабелю. У газосепараторі 4 встановлено вузол 6 для збільшення
бульбашок вільного газу. Між обсадною колоною 1 свердловини і колоною підйомних
труб утворено затрубний простір 7.
-колона; 2-підйомна труба; 3-відцентровий насос;
4-газосепаратор; 5-електродвигун; 6-вузол для збільшення бульбашок; 7-затрубний
простір.
Рис. 2.3 - Схема розміщення насоса в свердловині
Газосепаратор 4 (рисунок 2.4) містить корпус 8, в
якому розміщені лопатеве колесо 9, встановлене на валу 10 і відцентровий
роздільник 11, наприклад, у вигляді закріпленої на валу 10 центрифуги з
внутрішніми перегородками (позицією не позначені) або нерухомого гідроциклону.
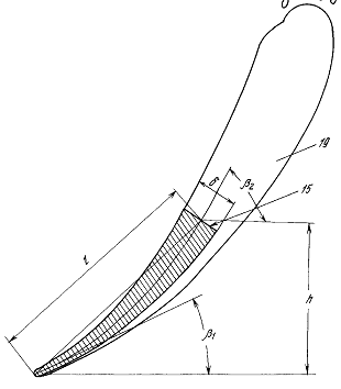
Лопатеве колесо 9 виконано суперкавітуючого типу, тобто являє собою осьове
колесо з певним чином спрофільованими лопатями 12. відсепарований газ
відводиться по каналу 13 в затрубний простір 7, а дегазована рідина із
залишковим газом по каналу 14 надходить у насос 3.
-корпус; 9-лопатеве колесо; 10-вал;
11-відцентровий розподільник; 12-профільовані лопаті; 13-канал; 14-вхід в
насос; 16-приймальна сітка; 17-шнек; 18-решітка.
Рис. 2.4 - Схема газосепаратора
До складу газосепаратора може входити приймальня
сітка 16, попередньо включений шнек 17, виправляють решітка 18, встановлені
перед суперкавітуючим колесом 9 (рисунок 2.5).
-лопатеве колесо; 12-лопаті.
Рис. 2.5 - лопатеве колесо
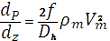
Лопатеве колесо 9 має лопаті 12, спрофільовані
так, що відношення товщини вихідної кромки 15 профілю лопаті 12 до довжини
хорди лопаті 12 складає 0,12-0,30 (рисунок 2.6).
-профіль лопаті; 19-суперкаверни.
Рис. 2.6 - схема лопатей
Спосіб відкачування рідини свердловинним насосом
3 здійснюється в наступній послідовності.
Газорідинна суміш з дрібними бульбашками вільного
газу піднімається по стовбуру свердловини 1 і підводиться до прийому
газосепаратора 4. Тут вона захоплюється шнеком 17 який підвищує тиск ГРС.
Лопатевим колесом проводиться закручування ГРС і одночасне примусове збільшення
бульбашок вільного газу, після чого ГРС з великими бульбашками газу
розділяється в полі відцентрових сил по фазах і вільний газ направляють в
затрубний простір 7 свердловини 1, а дегазована (до допустимого залишкового
газовмісту) рідина надходить у насос 3 і нагнітається їм споживачеві. Одночасно
в колесі 9 може проводитися певне підвищення напору ГРС.
Примусове збільшення бульбашок газу здійснюється
в даному рішенні шляхом створення самовентилюючих каверн лопатями 12 колеса 9
одночасно із закручуванням ГРС, а потім здійснюють евакуацію відділяючихся від
суперкаверн великих бульбашок.
Газосепаратор працює таким чином.
ГРС з дрібними бульбашками вільного газу, що
надійшла в корпус 8, захоплюється шнеком 17 і проходить через виправляється
ґрати 18, в результаті чого підвищується тиск ГРС, а потім надходить до колеса
9. При виконанні колеса 9 суперкавітуючого типу, за його лопатями 12,
спрофільоване відповідним чином, утворюються суперкаверни 19 значного обсягу,
які всмоктують дрібні бульбашки газу з потоку ГРС, а з хвостової частини кожної
з суперкаверн періодично відокремлюються утворюються при цьому великі
бульбашки. Далі ГРС з переважанням великих бульбашок надходить у відцентровий
роздільник 11, звідки відсепарований газ відводиться по каналу 13 в затрубний
простір 7, а дегазована рідина по каналу 14 надходить у насос 3.піввідношення
розмірів елементів лопаті встановлено на підставі спеціально проведених експериментів
і дозволяє отримати оптимальні співвідношення товщини вхідної крайки профілю до
довжини l хорди лопаті в інтервалі 0,12-0,30.
Випробування проведені в експериментальній
установці. На вхід насоса подавалася ГРС з витратою рідини від 250 до 325 м3/добу
і газовмісту суміші до 0,7 при тиску на вході в насос 0,2 МПа. Коефіцієнт
сепарації газу в режимі з граничною витратою 325 м3/добу, досягав
0,96 при вхідному газовмісті 0,5. Візуальне спостереження структури ГРС після
виходу з сепаратора з суперкавіттуючим колесом підтвердило перевагу в потоці
великих газових включень з діаметром істотно (в десятки разів), що перевищує
дисперсність біля входу в газосепаратор.
Серійний газосепаратор 1МНГ5 в тих же радіальних
габаритах при вхідному газовмісті 0,5 забезпечив граничну пропускну здатність
по рідини не більше 250 м3/добу, причому коефіцієнт сепарації не
перевищував 0,90. Розрахунковим шляхом було встановлено, що при витраті рідини
300 м3/добу серійний газосепаратор буде практично непрацездатний.
Крім того, на виході з центрифуги серійного сепаратора в потоці переважав
дрібнодисперсний газ з розмірами бульбашок, порівнянними з існуючими на вході.
Експерименти, проведені на спеціально
приготованою тонкодисперсною ГРС, що відповідає реальним свердловинним умовам основних
родовищ Західного Сибіру (по параметру пінистості і дисперсності), показали, що
в цьому випадку запропоноване технічне рішення забезпечило коефіцієнт сепарації
0,88, проти 0,50 у серійного сепаратора 1МГН5, тобто було досягнуто підвищення
ступеня сепарації газу більш ніж у 1,7 рази. Із зроблених експериментів
випливає, що запропоноване технічне рішення забезпечує значно менший вплив
ступеня дисперсності ГРС і фізичних властивостей компонентів на робочі
характеристики насоса і газосепаратора, у порівнянні з відомим базовим об'єктом
[10].
3.
Розрахункова частина
3.1
Розрахунок вала насоса ЭЦНМ5 - 80 - 900
Визначаємо орієнтовний розмір вала по внутрішньому діаметру
шліців без врахування впливу концентрації напружень і згину вала
, мм [11]
, (3.1)
де
- максимальний крутний момент на валу
насоса визначається за формулою, кН∙м.
, (3.2)
- число обертів вала, об/хв.;
- найбільша потужність, це і є потужність на валу насоса.
.
Визначаємо критичне напруження
, МПа
, (3.3)
де
- допустиме напруження на кручення, МПа.
, (3.4)
де
- частковий опір розриву матеріалу вала,
;
,
,
,
По стандарту приймаємо діаметр вала рівний 30 мм.
Визначаємо вагу в рідині одиницю довжини системи, яка
обертається.
де Lдв - довжина електродвигуна без
протектора, Lдв=6190 мм;
Gдв - вага електродвигуна без протектора, Gдв=325
кг;
mТ - вага 1 метра труб (гладких), mТ=13,67
кг;
Lн - довжина спуску насоса, Lн=986,22
м.
, (3.5)
Визначаємо стрілу прогину шліцевого кінця вала Δу,
мм
, (3.6)
де
- діаметр вала.
- швидкість обертання вала,
- тиск, який розвиває насос,
.
Визначаємо вагу вала m, кг
(3.7)
де
- маса 1 м вала.
=5,07 кг.
.
Визначаємо момент інерції вала І, Н/м
(3.8)
де
- діаметр вала,
=0,030 м.
.
Визначаємо радіальне навантаження Р1, Н
(3.9)
де
- модуль пружності матеріалу вала,
;
- відстань між точками прикладання радіальних сил,
- відстань між точками прикладання радіальних сил діючих на валу,
b - відстань від місця прикладання радіальних
навантажень навантажень вала до виточки на ньому.
.
Визначаємо середній діаметр шліців
(3.10)
- діаметр вала, мм
- прийнятий по стандарту діаметр вала,
.
.
Визначаємо колове зусилля на середньому діаметрі шліців, Н
(3.11)
.
Визначаємо величину радіального зусилля Р2,
Н
, (3.12)
.
Визначаємо згинаючий момент в найбільшому глибинному
перерізі
(3.13)
де
- відстань від місця прикладання
радіального навантаження валу до виточки на ньому,
.
Визначаємо висоту шліців t, мм
(3.14)
- середній діаметр шліців,
=28 мм.
.
Визначаємо момент опору згину W, мм2
(3.15)
де
- внутрішній діаметр шліців.
а - ширина шліців, а= 6 мм.
.
Визначаємо напруження згину в небезпечному січенні
(3.16)
.
Визначаємо момент опору кручення
, (3.17)
де
- середній діаметр вала,
=30 мм.
.
Визначаємо напруження кручення
(3.18),
.
Визначаємо результуюче напруження, яке знаходимо за
формулою (із теорії граничних напружених станах О. Мору),
МПа
(3.19)
.
Визначаємо запас міцності по границі текучості
(3.20)
де
- границя текучості матеріала.
=800 МПа.
Рисунок 3.1 - Розріз вала по шліцах
Рисунок 3.2 - Схема дії навантажень на вал
3.2
Розрахунок колеса електровідцентрового насоса
Визначаємо зовнішній діаметр втулки dвт,
м [12]
, (3.21)
Визначаємо частоту обертання вала n1, c-1
(3.22)
де
- поправочний коефіцієнт в залежності від
прискорення вала на початку моменту обертання,
.
Визначаємо коефіцієнт швидкохідності ns
(3.23)
де НсТ - напір, який розвиває насос, Нст
=1183,33 м;
g - прискорення вільного падіння, g =9,8
м/с2;
Q - дебіт свердловини, Q= 0,00032 м3/с.
.
Визначаємо об’ємний ККД, ηоб

(3.24)
Визначаємо витрату рідини в каналах робочого колеса QK,
м3/с
(3.25),
.
Визначаємо осьову швидкість рідини у вході в колесо С0,
м/с
(3.26)
.
Визначаємо входу в колесо D0, м
(3.27)
де dвт - зовнішній діаметр втулки, dвт=0,0321
м.
.
Визначаємо радіус колеса у вхідній кромці лопастей Dі,
м
(3.28)
.
Визначаємо ширину робочого колеса у вхідній кромці лопасті
b1, м
(3.29)
де
Сот - швидкість потоку на вході у лопасті до
стиснення ними прохідного січення, рівна Со - осьовій
швидкості рідини. Со=1,325м/с.
.
Визначаємо кутову швидкість U1, м/с
(3.30)
де ω - кутову швидкість, ω=34
c-1
.
Визначаємо коефіцієнт колової швидкості на вході С1m,
м/с
(3.31)
де R1 - коефіцієнт стиснення в проміжку
від 1,1 до 1,25, вибираємо R1=1,25.
.
Визначаємо кут β1
(3.32)
.
Звідки β1=58°61'. Визначаємо кут вхідної кромки
лопастей β1л
(3.33)
де δ - кут атаки в проміжках від 5° до 10°, приймаємо
7°
.
Визначаємо напір на трьох колесах Нт, м
(3.34)
де Н - напір насоса, Н=1188,33 м;
Z - число ступеней насоса, Z = 286;
3 - число секцій.
.
Визначаємо кутову швидкість ω, c-1
(3.35)
.
Визначаємо колову швидкість, U2, м/с
(3.36)
де С2u - коефіцієнт колової швидкості, який
складає абсолютну швидкість рідини при виході із колеса і визначається за
формулою:
(3.37)
де ρк - коефіцієнт реакції для насосів в
проміжку від 0,7 до 0,75. Приймаємо 0,7.
;
.
Визначаємо діаметр колеса D2, м
(3.38)
.
3.3
Розрахунок корпуса клапана на міцність
Корпус клапанного вузла виконується в вигляді
стальної труби. На клапанний вузол діє осьова сила, яка рівна вазі всієї
свердловинної установки, а також вазі стовпа рідини в колоні НКТ.
Qуст=20700 Н (вага
компенсатора + вага електродвигуна + вага протектора + вага трьох секцій
насоса).
Визначаємо вагу рідини в трубах, Н
, (3.39)
де ρ - густина рідини, ρ=
0,85 кг/м3;
g - прискорення вільного падіння, g =
9,8 м/с2;
dвн - внутрішній діаметр труб, dвн=
0,076 м.
Н - глибина спуску насоса, Н=1000м.
.
На клапан діє осьова сила, яка рівна
.
Визначаємо напруження в небезпечному січенні корпуса
клапанного вузла
(3.40)
де Fоп - площа небезпечного січення корпуса, м2.
для сталі марки Е.
Корпус клапанного вузла необхідно виготовляти із сталі
марки Е.
3.4 Розрахунок
приєднувальної різьби клапана на міцність
Приєднання клапанного вузла з колоною НКТ
здійснюється за допомогою різьбового з’єднання. Знаючи, що найбільше
навантаження на один виток різьби, може скласти умова міцності цього витка на
зріз, зминання і зносостійкість контактної поверхні різьби.
Найбільш навантажені будуть витки верхньої
різьби, за допомогою якої клапанний вузол приєднується до колони НКТ. На неї
діє вага установки і вага рідини в НКТ.
.
Умова міцності різьби на зріз, МПа
(3.41)
де dвн - внутрішній діаметр різьбового
з’єднання, м;
- висота зрізаного січення різьби,
=205 м;
- коефіцієнт, який враховує нерівномірність розприділення
навантаження між витками,
=0,7;
- коефіцієнт неповноти різьби,
=0,87.
.
Умова міцності різьби на зминання, МПа
(3.42)
де d1 - внутрішній, середній діаметр
вершини, d1 =91,5 мм;
d2 - внутрішній, середній діаметр впадин, d2=
88,5 мм.
.
3.5
Визначення глибини спуску насоса
Виділення газу і нафти не буде виникати, якщо
тиск при вході в насос буде більшим ніж тиск насичення. В наших умовах, в
залежності від оптимального тиску на прийомі насоса Ропт= 13,98 МПа,
щоб не виникало такого явища необхідно розмістити насос на глибину h=1544,66 м
під динамічний рівень. Враховуючи рівень модернізованого варіанту розрахункова
глибина спуску насосу склала 986,22 м.
Необхідний напір насоса для підйому рідини на
поверхню з врахуванням втрат на тертя hтр при підйомі рідини і
напору відповідного газліфтному ефекту hг склав 1188,33 м, що
забезпечує вибраний нами насос.
На глибині 986,22 м тиск дорівнює Р=4,092 МПа.
Визначимо, яка необхідна кількість ступеней з
кільцевою проточкою, щоб не порушувався режим роботи установки, штук
, (3.43)
де
- тиск, який розвиває одна ступінь,
=0,19 МПа.
.
Необхідно встановити 24 ступені, але не підряд, а через
одну.
3.6
Розрахунок оптимальних розмірів газових бульбашок на вході в газосепаратор
Вважаючи, що в водонафтовій суміші присутні
тільки природні поверхнево-активні речовини, визначимо залежно від параметрів
течії ГРС діаметр стабільного бульбашки газу. В якості рівняння для визначення
максимального діаметру стабільного бульбашки газу використовуємо рівняння Hinze
(1955), засноване на балансі сил між поверхневим натягом і турбулентними
пульсаціями потоку рідини у вигляді:

(3.44)
де диссипація кінетичної енергії визначається як

(3.45)
m=Vsg+ VsL - середня
швидкість ГРС дорівнює сумі наведених швидкостей газової та рідинної фаз; ρm
- густина ГРС. Постійна k, згідно кореляції Calderbank (1958) визначається як

(3.46)
Поздовжній градієнт тиску в каналі кільцевої форми в зоні
вхідних отворів газового сепаратора визначається по залежності [4]

, (3.47)
де h = Dc - Dt -
гідравлічний діаметр, рівний різниці внутрішнього діаметра експлуатаційної
колони Dc і зовнішнього діаметра НКТ Dt; f - коефіцієнт
гідравлічного опору ГРС об стінки кільцевого каналу, розрахований за методикою,
наведеною в [13].
Підставивши рівняння (3.46) і (3.47) в (3.44) остаточно
отримаємо

(3.48)
На рис.3.3 показані результати розрахунків діаметра
бульбашок газу за рівнянням (4.5) при наступних вихідних даних: дебіті
свердловини 25 м3/добу; газовому факторі 200 м3/м3;
Dс = 0,128 м; Dt = 0,073 м; тиску насиченняb =
9 МПа; температурі на вході в газосепаратор t = 60 С; густині води ρw
= 1020 кг/м3; густині нафти ρo=860 кг/м3. При розрахунку
наведених швидкостей Vsg і VsL в залежності від тиску і
температури використовувалися PVT кореляції у формі Стендінг. На рис.3.4 при
тих же вихідних даних показана залежність діаметра бульбашки газу dр
від об'ємного вмісту газової фази на вході в газовий сепаратор [10].
Рис. 3.3 Залежність діаметра бульбашок газу dр
від тиску на вході в газосепаратор при різного ступеня обводнення "n"
перекачується флюїду
Рис. 3.4 Залежність діаметра бульбашок газу dр
від об'ємного газовмісту на вході в газосепаратор
4.
Монтаж і раціональна експлуатація обладнання
4.1
Монтаж обладнання
При експлуатації високодебітних свердловин використовують
заглибні відцентрові насоси. Наземне обладнання електронасосів не потребує
монтажу фундаментів та інших споруд.
Заглибний насосний агрегат в зібраному виді
спускають в свердловину на насосно-компресорних трубах [13].
Перед спуском на усті необхідно виконати наступні
роботи:
) встановити хомут-елеватор на електродвигуні,
підняти електродвигун з містків, спустити його на устя свердловини і зняти
запобіжну кришку;
) встановити хомут-елеватор на протекторі,
підняти протектор над свердловиною, зняти запобіжну кришку з нижнього кінця
протектора, перевірити обертання вала протектора і електродвигуна шліцевим
ключем, встановити свинцеву прокладку на електродвигун, з'єднати вал протектора
з валом двигуна шліцевою муфтою, з'єднати протектор з електродвигуном;
) зняти хомут-елеватор з електродвигуна і
опустити двигун з протектором в устя свердловини;
) зняти запобіжну кришку з верхнього кінця
протектора і перевірити обертання вала шліцевим ключем;
) підняти електродвигун з протектором над фланцем
обсадної колони і зняти пакувальні кришки з кабельного входу електродвигуна і
кабельної муфти, перевірити ізоляцію;
) встановити свинцеву прокладку в паз кабельного
входу, з'єднати кабельну муфту з кінцями обмотки статора електродвигуна і
закріпити гайками, не допускаючи щільного ущільнення;
) викрутити пробку для випуску повітря з нижньої
камери протектора і пробку зворотного клапана на головці двигуна, закрутити
замість пробки штуцер напірного рукава заправного насоса; закачати в двигун
рідке масло до появи його в отворі нижньої камери протектора і в зазорі
нещільно затягнутої кабельної муфти; викрутити штуцер заправного насоса і
закрутити на місце пробку зворотного клапана головки двигуна;
) закрутити пробку в протектор і затягнути гайки,
за допомогою яких кабельна муфта кріпиться до двигуна; опустити двигун з
протектором в свердловину до посадки хомута на протекторі на фланець обсадної
колони і перевірити обертання двигуна включанням в електромережу;
) закрутити патрубок-перехідник на насос, підняти
насос з містків; зняти запобіжну кришку з кінця насоса, викрутити пробку в
основі насоса, перевірити обертання вала насоса шліцевим ключем; встановити
свинцеву прокладку і шліцеву муфту на вал протектора і з'єднати насос з
протектором;
) зняти хомут-елеватор з протектора, підняти
протектор над фланцем обсадної колони; викрутити пробку зворотного клапана
протектора і закрутити на її місце штуцер заправного насоса з рідким маслом;
викрутити пробку з впускного отвору протектора і закачати рідке масло до його
появи в зливному отворі протектора;
) закрутити пробку в зливний отвір протектора і
продовжувати закачувати рідке масло до появи його в отворі основи насоса;
) закрутити в отвір основи насоса манометр і
опресувати агрегат;
) при відсутності підтікань масла в з'єднаннях
викрутити манометр і штуцер заправного бачка;
14) закрутити повітряну пробку протектора і
відкрити перепускний клапан протектора на 1,5-2 обороти;
15) при появі густого масла в отворі основи
насоса закрити пробку, спустити агрегат і встановити захисні кожухи;
) підключити кабель і провести пробний запуск
насоса.
Після спуску труб при їх підвісці на планшайбі
необхідно провести заключні операції:
1)
закрутити планшайбу на колону труб;
2)
посадити колону труб на колонний фланець;
3)
підняти і закрутити арматуру (трійник і засувку) в муфту
планшайби;
4)
з'єднати нагнітальну лінію арматури і перевірити роботу насоса та
станції управління;
При підвісці труб і перевідної котушки необхідно:
1)
зняти кабель з підвісного ролика;
2)
підняти перевідний патрубок разом з перевідною котушкою і
закрутити на колону труб;
3)
протягнути вільний кінець кабелю в отвір котушки;
4)
посадити колону труб на хрестовик і закріпити перевідну котушку з
хрестовиком болтами;
5)
встановити сальникове ущільнення;
6)
від'єднати перевідний патрубок від перевідної котушки;
7)
підняти ялинку арматури і з'єднати її з перевідною котушкою;
8)
з'єднати нагнітальні лінії арматури.
Автотрансформатор і станція управління мають
спеціальну основу, і для них не потрібно виготовляти фундаменти. Їх
встановлюють на підлозі дощатої будки, яка захищає їх від атмосферних опадів і
хуртовин зимою.
Всі насоси, які встановлюються на свердловині
повинні пройти двохгодинну обкатку і випробовування. Мета випробовування - зняття
комплексної характеристики насоса і перевірка готовності його до експлуатації.
Перевірка напору насоса здійснюється на трьох подачах: середній - між нульовою і
номінальною; проміжній - між номінальною і максимальною;
максимальній. Відхилення напору в сторону зменшення не повинно перевищувати 5%
від паспортного.
4.2
Раціональна експлуатація, технічне обслуговування
В процесі експлуатації свердловини установками
заглиблених відцентрових насосів потрібно контролювати наступні параметри:
кількість відкачуваної рідини, динамічний рівень, буферний тиск, величину
струму двигуна, температуру відкачуваної рідини на виході насоса.
Величина струму двигуна при встановленому режимі
не повинна перевищувати його номінальне значення.
Фіксувати всі зупинки заглибного агрегату і їх
причини.
При зупинках насосного агрегату перевіряють
надійність кріплення кабелів зовнішніх з’єднань трансформатора і комплектного
пристрою.
Будь-які відхилення від нормальної роботи
установки вивчити і прийняти всі міри для їх усунення, перед цим прийняти
рішення про підйом агрегату. Якщо установка відключилась, а опір ізоляції
системи "кабель-двигун" рівний 0,05 М∙Ом, то потрібно запустити
установку ще раз. При зниженні ізоляції системи "кабель-двигун" до
величини менше 0,05 М∙Ом установку піднімають.
Потрібно перевірити
величина опору ізоляції, величина якої повинна відповідати значенням вказаним в
інструкції по експлуатації, потім в електродвигуні перевіряють напрям
слідування наконечників початку і кінця фаз обмотки статора. З'єднання
наконечників має бути щільним, в разі ослаблення гільзи піджимаються.
Перевіряється допуск радіального биття валу. Масло проходить випробування в
розрахунку на пробій і після успішного витримання випробувань закачується в
двигун і гідрозахист. Після закачки масла МА ПЕД двигун випробовують на
герметичність тиском 0,1-1,2 МПа протягом 5 хв., а протектор тиском 0,03 - 0,17
МПа протягом 10 хв. В протекторі при підвищені тиску вище 0,17 МПа клапанний
пристрій діафрагми має забезпечити перепуск масла.
При виводі установки на
режим кожну годину реєструвати струм навантаження, після виводу на режим захист
настроїти на струм встановленого режиму. В процесі експлуатації один раз в
неділю перевіряти стан наземного обладнання, реєструвати показники струму
навантаження, відмічати кількість зупинок і їх причини [14].
Перелік
посилань на джерела
1. Федорович
Я.Т. Машини та обладнання для видобутку нафти і газу. Конспект лекцій. Частина
І. - Івано-Франківськ: ІФНТУНГ, 2010. - 118 с.
2. Паспорт
свердловини №2 Шатравинської площі
. Федорович
Я.Т., Джус А.П. Машини та обладнання для видобутку нафти і газу. Практикум -
Івано-Франківськ: Факел, 2009. - 132 с.
4. <http://runaco.ru/production/gazoseparatori/>
- продукція ОАО "Новгородського заводу механіка"
5. <http://shelfgas.com/ru/catalog/separators.html>
- продукція компанії ShelfGasTechnology
. Патент РФ № 2503808. Газосепаратор скважинного погружного
насоса / Авт. Изобрет Трулев Юрий Владимирович,
<http://www.findpatent.ru/byowners/94211/> Трулев Алексей Владимирович
<http://www.findpatent.ru/byowners/94209/>.М. кл Б 04 Б 13/10, Е 21 В
43/38, заявл.08.07.2011, опубл.10.01.2014.
. Игревский
Л.В. Повышение эффективности эксплуатации погружных насосно-эжекторных систем
для добычи нефти: дис. канд. техн. наук. М., 2002.216 с.
. Деньгаев
А.В. Повышение эффективности эксплуатации скважин погружными центробежными
насосами при откачке газожидкостных смесей: дис. канд. техн. наук. М., 2005.212
с.
. Васильев
Ю.Н., Максутов Р.А., Башкиров А.И. Экспериментальное изучение структуры
нефтегазового потока в фонтанной скважине // Нефтяное хозяйство. 1961. № 4.
С.41-44.
. Патент РФ №
2027912. Способ откачивания жидкости скважинным насосом и газосепаратор
скважинного центробежного насоса / Авт. изобрет.п.Д. Ляпков [и др.].М. кл Б 04
Б 13/10, Е 21 В 43/38, заявл.28.02.1991, опубл.27.01.1995, Б.И. № 3.
. Юрчук А.М.
Расчеты в добыче нефти. - М.:
Недра, 1969.
. Иванов М.Н. Детали
машин. М.: Высш. шк., 1991.
. Marquez R.
Modeling Downhole Natural Separation: PhD dissertation, The University of
Tulsa, Tulsa, Oklahoma, 2004. P.187.
14. Раабен А.А. и
др. Ремонт и монтаж нефтепромыслового оборудования. - М.: Недра, 1989.