Боевые отравляющие вещества (зарин)

  • Вид работы:
    Реферат
  • Предмет:
    Военная кафедра
  • Язык:
    Русский
    ,
    Формат файла:
    MS Word
    90,75 Кб
  • Опубликовано:
    2015-07-09
Вы можете узнать стоимость помощи в написании студенческой работы.
Помощь в написании работы, которую точно примут!

Боевые отравляющие вещества (зарин)

Федеральное государственное бюджетное образовательное учреждение высшего профессионального образования

"Иркутский государственный университет"

Химический факультет

Реферат

"Боевые отравляющие вещества"


Выполнила: студентка 2-го курса

габдрашитова а.с.

Проверила: доц. михайленко в.л.





Иркутск 2015 г.

Содержание

Введение

. История создания зарина

. Общая характеристика

. Физиологическое действие на организм человека

. Признаки поражения зарином

. Профилактика

. Защита

. Лечение

. Уравнения реакций утилизации

.1 Гидролиз

.2 Реакции с гипохлоритами

8.3 Реакции со спиртами и фенолами

Вывод

Список используемой литературы

Введение

Отравляющие вещества (ОВ) - токсичные химические соединения, предназначенные для поражения живой силы противника во время военных действий и одновременном сохранении материальных ценностей при атаке в городе. Могут проникать в организм через органы дыхания, кожные покровы и пищеварительный тракт. Боевые свойства (боевая эффективность) ОВ определяются их токсичностью (обусловленной способностью ингибировать ферменты или взаимодействовать с рецепторами), физико-химическими свойствами (летучесть, растворимость, устойчивость к гидролизу и т.д.), способностью проникать через биобарьеры теплокровных и преодолевать средства защиты.

Наиболее эффективным способом применения отравляющих веществ является аэрозольный способ, при котором ближайший к земле слой воздуха будет заражаться мельчайшими капельками (туман) и парами ОВ.

Поражающее действие отравляющих веществ имеет ряд особенностей.

За короткое время они могут вызывать массовые поражения, носящие характер острых интоксикаций (отравлений). Для отравляющих веществ характерно объемное действие заражение приземного слоя воздуха на больших площадях. В парообразном (газообразном) состоянии, а также в виде аэрозолей (туман, дым) ОВ могут проникать в негерметизированные защитные сооружения (помещения) и вызывать поражение находящихся в них людей. В воздухе, на местности и в различных объектах внешней среды ОВ более или менее длительное время сохраняют свои поражающие свойства.

Поражение людей может произойти при вдыхании воздуха, зараженного парами и аэрозолями отравляющих веществ; при попадании капель и воздействии паров ОВ на кожу и слизистые оболочки; при соприкосновении с предметами и местностью, зараженными отравляющими веществами, а также при употреблении зараженных ОВ пищевых продуктов и воды.

Критерии боевой эффективности ОВ: токсичность, быстродействие (время от контакта с ОВ до появления эффекта), стойкость.

Токсичность отравляющих веществ - это способность ОВ вызывать поражение при попадании в организм в определенных дозах. В качестве количественной характеристики поражающего действия ОВ и других, токсичных для человека и животных соединений используют понятие токсическая доза. При ингаляции токсодоза равна произведению концентрации ОВ в воздухе на время воздействия в минутах (мг * мин/л); при проникновении ОВ через кожу, желудочно-кишечный тракт и кровяной поток токсодоза измеряется количеством ОВ на килограмм живой массы (мг/кг).

Стойкость - это способность ОВ сохранять свои поражающие действия в воздухе или на местности в течении определенного периода времени. На переход в боевое состояние ОВ и действие их в атмосфере и на местности оказывают влияние физико-химические характеристики: летучесть, вязкость, поверхностное натяжение, температура плавления и кипения, устойчивость к факторам внешней среды.

Классификация ОВ

1.     Первое поколение

.1.    ОВ кожно-нарывного действия (стойкие ОВ серный и азотистые иприты, люизит)

1.2.   ОВ общетоксического действия (нестойкое ОВ синильная кислота);

.3.     ОВ удушающего действия (нестойкие ОВ фосген, дифосген);

.4.     ОВ раздражающего действия (адамсит, дифенилхлорарсин, хлорпикрин, дифенилцианарсин)

2.     Второе поколение

.1.    ОВ нервно-паралитического действия

.       Третье поколение

.1.    Психо-химические ОВ

Отравляющие вещества нервно-паралитического действия - группа летальных ОВ, представляющих собой высокотоксичные фосфорсодержащие ОВ (зарин, зоман, Ви-Икс).

Зоман - бесцветная жидкость со слабым запахом камфоры, плотность 1,01 г/см³, температура кипения 185-187°С, температура затвердения от -30 до -80 °С, в воде растворяется плохо.

Ви-Икс - бесцветная жидкость, без запаха, плотность 1,07 г/см³; часть Ви-Икс - до 5 % - растворяется в воде. Жидкое Ви-Икс имеет вязкость моторного масла, температуру кипения 237 °С, малую летучесть, затвердевает примерно при - 50 °С.

Все фосфорсодержащие вещества хорошо растворяются в органических растворителях и жирах, легко проникают через неповрежденную кожу. Действуют в капельно-жидком и аэрозольном (пары, туман) состоянии. Попадая в организм, фосфорсодержащие ОВ ингибируют (угнетают) ферменты, регулирующие передачу нервных импульсов в системах дыхательного центра, кровообращения, сердечной деятельности и др. Отравление развивается быстро. При малых токсических дозах (легкие поражения) происходит сужение зрачков глаз (миоз), слюнотечение, боли за грудиной, затрудненное дыхание. При тяжелых поражениях сразу; же наступает затрудненное дыхание, обильное потоотделение, спазмы в желудке, непроизвольное отделение мочи, иногда рвота, появление судорог и паралич дыхания.

Отравляющие вещества общеядовитого действия - группа быстродействующих летучих ОВ (синильная кислота, хлорциан, окись углерода, мышьяковистый и фосфористый водород), поражающих кровь и нервную систему. Наиболее токсичные - синильная кислота и хлорциан.

Синильная кислота -бесцветная летучая жидкость с запахом горького миндаля, температура кипения 26°С, замерзания - минус 14 °С, плотность 0,7 г/см³, хорошо растворяется в воде и органических растворителях.

Хлорциан - бесцветная, тяжелая, летучая жидкость, температура кипения 19 °С, замерзания - минус 6°С, плотность 1,2 г/см³, в воде растворяется плохо, в органических растворителях - хорошо.

При тяжелом отравлении ОВ общеядовитого действия наблюдается металлический привкус во рту, стеснение в груди, чувство сильного страха, тяжелая одышка, судороги, паралич дыхательного центра.

Отравляющие вещества удушающего действия, при вдыхании которых поражаются верхние дыхательные пути и легочные ткани. Основные представители: фосген и дифосген.

Фосген - бесцветная жидкость, температура кипения 8,2 °С, температура замерзания -минус 118°С, плотность 1,42 г/см³. В обычных условиях он представляет собой газ, в 3,5 раза тяжелее воздуха.

Дифосгена бесцветная маслянистая жидкость с запахом, прелого сена, температура кипения 128 °С, замерзания - минус 57СС, плотность 1,6 г/см³.

При вдыхании фосгена чувствуется запах прелого сена и неприятный сладковатый привкус во рту, ощущается жжение в горле, кашель, стеснение в груди. По выходе из зараженной атмосферы эти признаки пропадают. Через 4-6 ч состояние пораженного резко ухудшается. Появляется кашель с обильным выделением пенистой жидкости, дыхание становится затруднительным.

Отравляющие вещества кожно-нарывного действия - иприт и азотистый иприт. Химически чистый иприт - маслянистая бесцветная жидкость, технический - маслянистая жидкость желто-бурого или буро-черного цвета с запахом горчицы или чеснока, тяжелее воды в 1,3 раза, температура кипения 217°С; химически чистый иприт затвердевает при температуре около 14°С, а технический- при 8°С, в воде растворяется плохо, в жирах и органических растворителях - хорошо. Действует иприт в капельно-жидком, аэрозольном и парообразном состоянии.

Иприт легко проникает через кожу и слизистые оболочки; попадая в кровь и лимфу, разносится по всему организму, вызывая общее отравление человека или животного. При попадании капель иприта на кожные покровы признаки поражения обнаруживаются через 4-8 ч. В легких случаях появляется покраснение кожи с последующим развитием отека и ощущением зуда. При более тяжелых поражениях кожи образуются пузыри, которые через 2-3 дня лопаются и образуют язвы. При отсутствии инфекции пораженный участок заживает через 10- 20 суток. Возможно поражение кожных покровов парами иприта, но более слабое, чем каплями.

Пары иприта вызывают поражение глаз и органов дыхания. При поражении глаз отмечается ощущение засоренности глаз, зуд, воспаление конъюнктивы, омертвение роговой оболочки, образование язв. Через 4-6 ч после вдыхания паров иприта ощущается сухость и першение в горле, резкий болезненный кашель, затем появляются охриплость и потеря голоса, воспаление бронхов и легких.

Отравляющие вещества раздражающего действия - группа ОВ, воздействующих на слизистые оболочки глаз (лакриматоры, например хлорацетофенон) и верхние дыхательные пути (стерниты, например адамсит). Наибольшей эффективностью обладают ОВ комбинированного раздражающего действия типа Си-Эс и Си-Эр, которые состоят на вооружении армий империалистических государств.

Отравляющие вещества психогенного действия - группа ОВ, вызывающих временные психозы за счет нарушения химической регуляции в центральной нервной системе. Представителями таких ОВ являются вещества типа "ЛСД" (диэтиламид лезергиновой кислоты) и Би-Зет. Это бесцветные кристаллические вещества, плохо растворимые в воде, применяются в аэрозольном состоянии. При попадании в организм они способны вызвать расстройства движений, нарушения зрения и слуха, галлюцинации, психические расстройства или полностью изменить нормальную картину поведения человека; состояние психоза, аналогичное наблюдаемым у больных шизофренией.

Стойкие ОВ - группа высококипящих ОВ, сохраняющих свое поражающее действие от нескольких часов до нескольких дней и даже недель после применения. Стойкие отравляющие вещества (СОВ) медленно испаряются, устойчивы к действию воздуха и влаги. Основные 51 представители- Ви-Икс (Ви-газы), зоман, иприт.

Нестойкие ОВ - группа низкокипящих ОВ, заражающих воздух на относительно непродолжительный период (от нескольких минут до 1-2 ч). Типичные представители НОВ - фосген, синильная кислота, хлорциан.

1. История создания зарина

Химическое название: фторангидрид изопропилового эфира метилфосфорной кислоты; изопропиловый эфир метилфторфосфорной кислоты; изопропилметилфторфосфонат.

Условные названия и шифры: зарин, GB (США), трилон 144, Т 144, трилон 46, Т 46 (Германия).

Зарин был открыт в 1938 году в Вуппертале-Элберфельд в Рурской долине Германии двумя немецкими учеными, пытавшимися получить более мощные пестициды. Зарин является вторым по силе после зомана из четырёх ядовитых веществ G-серии, созданных в Германии. G-серия - первое и самое старое семейство БОВ нервно-паралитического действия: GA (табун), GB (зарин), GD (зоман) и GF (циклозарин). Зарин, открытие которого произошло вслед за табуном, назвали в честь его исследователей: Schrader, Ambros, Rüdiger и Van der LINde.

2. Общая характеристика

Зарин (GВ) - бесцветная или желтоватая летучая жидкость со слабым фруктовым запахом, плотность 1,09 г/см³, температура кипения 147°С, температура затвердения от -30 до -50°С. Смешивается с водой и органическими растворителями в любых отношениях, хорошо растворяется в жирах. Устойчив к действию воды, что обусловливает заражение непроточных водоемов на длительное время до 2 мес. При попадании на кожу человека, обмундирование, обувь и другие пористые материалы быстро в них впитывается.

Зарин относится к отравляющим веществам нервно-паралитического действия. При нагревании зарина образуются пары. В чистом виде зарин практически не имеет запаха, поэтому при высоких его концентрациях, легко создаваемых в полевых условиях, внутри организма может быстро и незаметно накопиться смертельная доза.

Это очень важное свойство зарина, которое увеличивает возможность его внезапного применения, особенно в тех случаях, когда используются средства доставки, способные быстро и относительно незаметно создавать в районе цели весьма высокие концентрации. При таких условиях личный состав, подвергшийся химическому нападению, вовремя не обнаружит опасность и не сумеет своевременно надеть противогазы и использовать средства защиты кожи.

GB является одним нз основных отравляющих веществ смертельного действия, состоящих на вооружении армия США. Согласно американским служебным документам, он предназначен для уничтожения живой силы противника путем заражения паром приземного слоя атмосферы. Веществом GB снаряжают табельные химические боеприпасы группы А, в том числе артиллерийские снаряды ствольной и реактивной артиллерии, включая корабельную, авиационные бомбы и кассеты, боевые части оперативно-тактических ракет. Боеприпасы, предназначенные для применения GB, кодируют тремя зелеными кольцами и маркируют надписью "GB GAS".

3. Физиологическое действие на организм человека

Характерной физиологической особенностью GB, как и других фосфорорганическвх ОВ, является его способность химически связывать и инактивировать биологические катализаторы различных реакций в организме (ферменты), среди которых важную роль играет холинэстераза - белок, встречающийся во многих органах и тканях организма, но основную функцию выполняющий в нервной системе, регулируя процесс передачи нервных импульсов.

При вдыхании паров зарина его поражающее действие проявляется очень быстро, поэтому можно создать в полевых условиях настолько высокие концентрации, что их будет достаточно, чтобы за несколько вздохов получить внутрь организма смертельную дозу. В этом случае смерть может наступить в течение нескольких минут.

При малых концентрациях зарина в воздухе, если не применялись противогазы, у пораженных наблюдаются, прежде всего, сильный насморк, тяжесть в груди, а также сужение зрачков, в результате чего ухудшается зрение. Эти симптомы иногда проявляются слабо. При вдыхании большой дозы зарина симптомы поражения наступают очень быстро, они проявляются в виде тяжелой одышки, тошноты и рвоты, самопроизвольных выделений, сильной головной боли, потери сознания и судорог, приводящих к смерти.

Зарин, будучи в жидком или парообразном состоянии, может проникать внутрь организма и через кожные покровы. В этом случае характер его поражающего действия будет таким же, как и при попадании через органы дыхания. Однако поражение организма при попадании зарина через кожу будет происходить несколько медленнее. Для поражения организма через кожу требуется несколько капель зарина или очень высокие концентрации его паров. Следует отметить, что при воздействии как через кожу, так и через дыхательные пути зарин обладает кумулятивным действием, т. е. он имеет свойство накапливаться в организме.

. Признаки поражения зарином

Первые признаки воздействия зарина (и других БОВ нервно-паралитического действия) на человека - выделения из носа, заложенность в груди и сужение зрачков. Вскоре после этого у жертвы затрудняется дыхание, появляется тошнота и усиленное слюноотделение. Затем жертва полностью теряет контроль над функциями организма, её рвёт, происходит непроизвольное мочеиспускание и дефекация. Эта фаза сопровождается конвульсиями. В конечном счёте, жертва впадает в коматозное состояние и задыхается в приступе судорожных спазмов с последующей остановкой сердца.

Относительная токсичность GB при ингаляции LCt50 0,075 мг. мин/л. Первыми признаками поражения являются сужение зрачков глаз (миоз) и затруднение дыхания; они проявляются при концентраций GB в воздухе 0,0005 мг/л через 2 мин. Кожно-резорбтивная токсодоза GB составляет LD50 24 мг/кг, пероральная - 0,14 мг/кг. При действии через обнаженную кожу парообразного вещества LCt50 12 мг. мин/л.

При воздействии 0,1 LCt50 или 0,1 LD50 обычно наблюдаются поражения легкой степени, признаками которых являются миоз, слюноотделение, потливость. Почти одновременно развиваются признаки отравления, связанные с явлениями спазма кровеносных сосудов, бронхов, легких и сердечной мышцы. Возникают одышка, затруднение дыхания, болевые ощущения в груди и в области лба, общая слабость н ослабление сознания. Поражения легкой степени приводят к потере работоспособности на 1-5 сут.

Отравления средней степени наступают при 0,2 LCt50 или 0,2 LD50. Признаки поражения наступают быстрее и более ярко выражены. Возникают стойкий миоз, боль в глазах при напряжении зрения, слезотечение. Усиливается головная боль, наблюдается выделение из носа водянистой жидкости. При нарастании чувства страха появляется повышенное отделение холодного пота. Развивающийся периодический спазм гортани и бронхов приводит к затруднению дыхания, астматическим приступам, тошноте и рвоте. На фоне увеличения частоты сердечных сокращений наблюдаются мелкие мышечные подергивания, потеря координации движений, кратковременные судороги. Появляется непроизвольное мочеиспускание и отделение кала. Пораженный выходит из строя на 1-2 неделю, а при несвоевременном оказании медицинской помощи возможен смертельный исход. Полное восстановление активности холинэстеразы и выздоровление растягиваются на 4-6 недели.

Отравления тяжелой степени вызываются 0,3-0,5 LCt50 или 0,3-0,5 LD50. При этом период скрытого действия практически отсутствует. Признаки поражения те же, что при отравлениях средней степени, но развиваются очень быстро. Пораженный жалуется на потерю зрачками рефлекса, мучительное давление в глазах и сильные головные боли. Возникают рвота, моче- и кало-отделение, удушье. Примерно через 1 мин наступает потеря сознания и наблюдаются сильные судороги, переходящие в параличи. Смерть наступает через 5-15 мин от паралича дыхательного центра и сердечной мышцы.

При одинаковых токсодозах GB признаки поражения быстрее всего (через 1 мин и даже раньше) появляются при ингаляции, несколько медленнее (через несколько минут) при попадании в организм через желудочно-кишечный тракт и наиболее медленно (через 15-20 мин и позже) - через кожу. На месте попадания на кожу жидкого ОВ отмечаются мелкие мышечные подергивания.

5. Профилактика

Профилактика основана на назначении обратимого антихолинэстеразного агента. Пиридостигмин, предлагается в дозах 30 мг 3 раза в день для ингибирования приблизительно 30 % холинэстеразы крови. В случае тяжелого отравления эти 30 % защищённой холинэстеразы спонтанно реактивируются, и, если такой же феномен произойдет в холинергических синапсах, пострадавший выздоровеет. (Повторное ингибирование фермента может произойти в том случае, если отравляющее вещество остается в организме и имеется в наличии для связывания с холинэстеразами после того, как пиридостигмин будет выведен).

6. Защита

При действиях подразделений на боевой технике в атмосфере, зараженной зарином, для защиты используются противогазы и общевойсковой комплексный защитный комплект. При действиях на зараженной местности в пешем порядке дополнительно надеваются защитные чулки.

При длительном пребывании в районах с высоким содержанием паров зарина необходимо использовать противогаз и общевойсковой защитный комплект в виде комбинезона. Защита от зарина обеспечивается также использованием техники и убежищ герметизированного типа, оснащенных фильтровентиляционными установками. Пары зарина способны поглощаться обмундированием и после выхода из зараженной атмосферы испаряться, заражая воздух. Поэтому противогазы снимаются только после проведения специальной обработки обмундирования, снаряжения и контроля зараженности воздуха.

7. Лечение

Лечение человека, поражённого зарином, необходимо начать сразу же после постановки диагноза. Незамедлительные действия включают срочную изоляцию жертвы от поражающего агента (заражённая местность, заражённый воздух, одежда и пр.), а также от всех возможных раздражителей (например, яркий свет), обработку всей поверхности тела слабым раствором щёлочи, либо табельным средством химической защиты.

В случае попадания отравляющего вещества в желудочно-кишечный тракт - промывание желудка большим количеством слегка подщелоченной воды.

Одновременно с вышеуказанными действиями необходимо срочное применение следующих антидотов:

·        Атропин, являющийся блокатором М-холинорецепторов, используется для купирования физиологических признаков отравления.

·              Пралидоксим, дипироксим, токсогонин, HI-6, HS-6, HGG-12, HGG-42, ВДВ-26, ВДВ-27 - реактиваторы ацетилхолинэстеразы, специфические антидоты фосфорорганических веществ, способные восстановить активность фермента ацетилхолинэстеразы, если их применить в течение первых часов после отравления.

·              Диазепам - центрально действующий противосудорожный препарат. Снижение приступов заметно уменьшалось в случае задержки начала лечения; через 40 минут после экспозиции снижение является минимальным. Большинство клинически эффективных противоэпилептических препаратов могут оказаться неспособными остановить припадки, вызванные зарином.

·              В полевых условиях необходимо немедленно ввести афин или будаксин из шприц-тюбика (входят в комплект индивидуальной аптечки АИ-1, которой экипируется каждый мобилизованный солдат), в случае их отсутствия можно применить 1-2 таблетки тарена из аптечки АИ-2.

В дальнейшем производится патогенетическое и симптоматическое лечение в зависимости от преобладающих у данной жертвы симптомов поражения.

8. Уравнения реакций утилизации

.1 Гидролиз

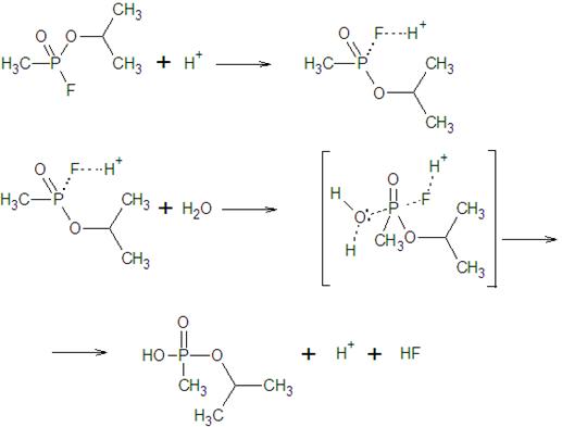
Фторангидрид изопропилового эфира метилфосфоновой кислоты гидролизуется в нейтральных водных растворах с образованием двух нетоксичных продуктов - изопропилового метилфосфоновой кислоты фтористоводородной кислоты:


Скорость гидролиза возрастает с повышением температуры и концентрации GB, но особенно сильно изменяется в присутствии кислот, щелочей и различных катализаторов.

При концентрации GB в водном растворе меньше 14 мг/л и температуре 25°C за 54 часа гидролизуется 50% продукта. При более высоких концентрациях GB скорость гидролиза возрастает из-за каталитического влияния его продуктов. Кислый изопропиловый эфир метилфосфоновой кислоты легко диссоциирует на ионы:


Ионы водорода (протоны) способны, как известно, к образованию водородных связей с атомами фтора, что ведет к ослаблению связи последнего с фосфором и к облегчению атаки положительно поляризованного атома фосфора молекулой воды:


В связи с этим даже без добавки кислот гидролиз GB является самоускоряющимся (автокаталитическим) процессом, так как образующиеся в результате гидролиза кислые вещества поставляют протоны во все возрастающем количестве.

Естественно, что добавление в воду любых минеральных или органических протонодонорных кислот вызовет ускорение гидролиза GB. Так, при концентрации GВ в растворе 140 мг/л и температуре 20-30°С соединение практически полностью разлагается при рН = 3 за 100 ч, а при рН = 1 - менее чем за 2 ч.

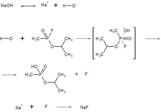
Гидролиз GB в присутствии щелочей происходит значительно быстрее, чем в присутствии кислот. Это объясняется большей нуклеофильностью аниона гидроксила НО- по сравнению с недиссоциированной молекулой воды:


Суммарно гидролиз GB в щелочной среде описывается уравнением:


Скорость гидролиза изменяется пропорционально концентрации гидроксильных ионов, возрастая с ее увеличением. Время полного разложения GB с концентрацией 140 мг/л при температуре 20-30°С и рН = 9,5 составляет 66 мин, а при рН = 11,5 около 1,5 мин. Ориентировочно время гидролиза GB (ч) для рН = 7-13 а температуры 25° С можно рассчитать по формуле:

t1/2=5,4* 108* 10-pн.

Таким образом, водные растворы щелочей можно использовать для уничтожения фторангидрида изопропилового эфира метилфосфоновой кислоты.

При кипячении GB с растворами кислот и щелочей реакция не останавливается на замещении атома фтора, а происходит дальнейший гидролиз по эфирной связи:


При избытке щелочей продуктами реакций являются соли метилфосфоновой и фтористоводородных кислот и изопропилового спирта:


Все продукты нетоксичны.

8.2 Реакции с гипохлоритами

Гипохлориты щелочных и щелочноземельных металлов диссоциируют в водно-щелочных растворах на катион металла и анион гипохлорита, например:

Анион гипохлорита обуславливает направление и скорость реакции гипохлоритов с GB, поскольку, с одной стороны, как и все анионы, он более нуклеофилен, чем молекула воды, а с другой стороны, распределение электронной плотности в нем по связи между кислородом и хлором таково, что электроны несколько смещены в сторону кислорода. В итоге анион имеет два реакционных центра: нуклеофильный на атоме кислорода и электрофильный на атоме хлора. Принимая во внимание наличие в молекуле GB одного электрофильного реакционного центра на атоме фосфора и двух нуклеофильных - на атомах фтора и фосфонильного кислорода, можно представить два варианта образования переходного состояния:


Относительно высокая скорость этой стадии дает основание предполагать, что полярный ион гипохлорита выступает одновременно как нуклеофильный реагент и как полярный катализатор разложения GB. Во всяком случае, результатом первой стадии процесса является легкое замещения фтора в GB на гипохлоритную группу:


Образующееся соединение очень неустойчиво и разлагается с регенерацией (учитывая щелосную среду) иона гипохлорита:


Каталитический эффект разложения GB ионами гипохлорита подтверждается сильной зависимостью скорости реакции от pH среды, с повышением которой увеличивается степень диссоциации молекул гипохлоритов на ионы. Так, при разложении вещества GB хлором в водном растворе реагентом, по существу является хлорноватистая кислота, генерирующая в щелочной среде ионы гипохлорита, т.е. в растворе имеет место равновесие:


В кислой среде это равновесие будет смещаться влево, в сторону образования молекулярного хлора, а в щелочной - вправо, в сторону образования ионов ClO-. Экспериментально показано, что при рН = 7 гидролиз GB происходит при концентрации молекулярного хлора, в 8 раз меньшей, чем при рН = 6, а при рН = 8 - в три раза меньшей, чем при рН = 7.

Скорость разложения GB водно-щелочными растворами гипохлоритов всего в 2-2,5 раза ниже, чем водными растворами щелочей, поэтому гипохлориты могут найти применение для создания полидегазирующих рецептур, позволяющих уничтожать наряду с G-газами также V-газы и иприты.

Катализаторами разложения GB являются также многие другие соединения, например хромовокислые, молибденовокислые и вольфрамозокислые натрий, калий или кальций, продуктами диссоциации которых являются анионы CrO42-, MoO42- или WoO42-. Механизм их действия аналогичен ионам гипохлорита, однако ускоряющий эффект значительно (по некоторым данным в 100 раз и более) слабее. В некоторых случаях водные или водно-щелочные растворы этих веществ могут использоваться для дегазации приборов.

8.3 Реакции со спиртами и фенолами

зарин токсичный паралитический утилизация

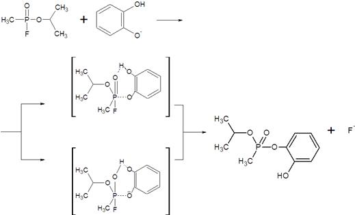
Изопропиловый эфир метилфторфосфоновой кислоты вступает в реакции со спиртами и фенолами только в присутствии акцепторов фтористого водорода (например, третичных алифатических аминов, пиридина и др.) с образованием средних эфиров метилфосфоновой кислоты:


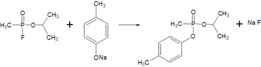
Практическое значение для целей дегазации GB имеют реакции с алкоголятами и фенолятами щелочных металлов в растворителях, способствующие диссоциации этих соединений, например:


Нуклеофильные ионы RO- атакуют положительно поляризованный атом фосфора и легко замещают фтор. Поскольку реакция происходит даже в слабощелочной среде (при pH~7,6), спиртовые растворы некоторых фенолятов, например крезолята натрия, используют для дегазации GB на кожных покровах, одежде и других поверхностях:


Взаимодействие GB с фенолятами происходит настолько легко, что даже сухие феноляты щелочных металлов разлагают парообразное GB. Это можно, в частности, использовать для уничтожения GB, адсорбированного одеждой, после выхода из зараженной атмосферы или при входе в вентилируемые убежища: одежду "опудривают" смесью тонкоизмельченных фенолятов с тальком.

Феноляты с двумя-тремя оксигруппами, две из которых расположены в ортоположение друг к другу(1,2-диоксибензол, т.е. пирокатехин, или еще лучше 1,2,3-триоксибензол, т.е. пирогаллол), вступают в реакцию с GB еще легче, чем обычные феноляты, особенно если они образуют ион монофенолята типа:


Повышение скорости реакции, по-видимому, связано с увеличением электрофильности атома фосфора за счет переноса протона свободной оксигруппы двух-,трехфункционального фенола на фосфонильный кислород GB или образования водородной связи между ними:


Скорость взаимодействия GB с двух- или трехфункциональными фенолами сравнима со скоростью щелочного гидролиза.

Алкоголята щелочных металлов очень энергично взаимодействуют с GB (как, и впрочем, с другими известными ОВ) в безводных смесях даже ассоциированных нейтральных и основных органических растворителей, что дает возможность готовить на их основе полидегазирующие рецептуры. Особенно пригодны для этих целей щелочные алкоголяты амминоспиртов или алкоксиспиртов.

Вывод

Отравляющие вещества нервно-паралитического действия - группа летальных ОВ, представляющих собой высоко-токсичные фосфорсодержащие ОВ, вызывающие поражение центральной нервной системы. Такие ОВ применяются для поражения незащищенной живой силы противника или для внезапной атаки на живую силу, имеющую противогазы. В последнем случае имеется в виду, что личный состав не успеет своевременно воспользоваться противогазами. Основная цель применения ОВ нервно-паралитического воздействия - быстрый и массовый вывод личного состава из строя с возможно большим числом смертельных исходов.

Такие вещества могут проникать в организм человека через органы дыхания, раны, кожу, слизистые оболочки глаз, а также желудочно-кишечный тракт (с зараженной пищей и водой).

Список используемой литературы

1.     Атаманюк В.Г., Ширшев Л.Г., Акимов Н.И. Гражданская оборона. М., 1986, с 49-51

2.      Александров В.Н., Емельянов В.И. Отравляющие вещества М. Военное издательство,1990, с 65-73

.        Классификация боевых отравляющих веществ - http://zabroha.ucoz.ru/blog/klassifikacija_boevykh_otravljajushhikh_veshhestv/2012-06-12-152

.        http://stvol8.narod.ru/ximorujie/zarin.htm

.        http://weaponsas.narod.ru/Ch_GB.htm

Похожие работы на - Боевые отравляющие вещества (зарин)

 

Не нашли материал для своей работы?
Поможем написать уникальную работу
Без плагиата!
Без нейросетей!