Модернизация серийной электростанции ПАЭС 2500 с установкой турбодетандера

  • Вид работы:
    Курсовая работа (т)
  • Предмет:
    Физика
  • Язык:
    Русский
    ,
    Формат файла:
    MS Word
    629,16 Кб
  • Опубликовано:
    2015-06-07
Вы можете узнать стоимость помощи в написании студенческой работы.
Помощь в написании работы, которую точно примут!

Модернизация серийной электростанции ПАЭС 2500 с установкой турбодетандера















Модернизация серийной электростанции ПАЭС 2500 с установкой турбодетандера

Содержание

Сокращения

Введение

. Аналитическая часть

.1 Анализ задачи по уменьшению затрат на собственные нужды

.2 Разработка газокомпрессорной станции

.3 Разработка ГТУ

.4 Разработка системы электроснабжения на собственные нужды

.5 Разработка трансформаторной подстанции, выбор трансформатора

1.5.1 Состав и устройство трансформатора ТМГ-1600

.6 Разработка системы электроснабжения, выбор проводников

.7 Разработка систем защиты электроприемников. Выбор аппаратов защиты

.8 Разработка газораспределительной станции

. Исследовательская часть

.1 Выбор и расчет турбодетандера

2.2 Разработка турбодетандера

2.3 Разработка модернизации электросхемы распределительного устройства

Заключение

Список литературы

Приложения

Сокращения

ГРП - газораспределительный пункт;

ГРС - газораспределительная станция;

ГВС - горячее водоснабжение;

ГТУ - газотурбинная установка;

ДГА - детандер-генераторный агрегат;

ПГУ - парогазовая установка;

ТЭЦ - теплоэнергцентраль;

ПАЭС - передвижная автоматизированная газотурбинная электростанция;

Введение

Энергетика в жизни современного общества играет главенствующую, образующую роль. История развития человечества может рассматриваться через призму развития энергетики. Интересен "спектр" такой "призмы": в XV в. средневековый человек энергии (в доступных для тех технологий формах) потреблял приблизительно в 10 раз больше, чем первобытный человек; человек современный потребляет в 100 раз больше энергии, чем первобытный человек, и живет в 4 раза дольше. Наиболее удобная для потребления, транспортировки, преобразования энергия - электрическая. потребление энергии на душу населения во многом определяет уровень жизни конкретной страны, общества на каком либо участке социально-культурного развития. В таких высокоразвитых индустриальных странах как США, Канада, Норвегия на душу населения приходится сейчас 10-14 т у.т/год, в Бангладеш, Мали, Чад - чуть более 0,3-0,4 т у.т/год.

Наиболее широкое распространение получила генерация электроэнергии на различных тепловых электростанциях (78% в 2001 г.). Улучшение технико-экономических параметров генерирующих мощностей, повышение коэффициента полезного действия, снижения расходов на собственные нужды - задача, требующая эффективного решения.

Газ как топливо имеет ряд преимуществ: добыча, транспортировка, автоматизация технологических процессов, выбросы в атмосферу - во всех этих процессах природный газ предпочтительней жидкого или твердого топлива. Особенно привлекателен газ в энергетике для газотурбинных установок. Расходы электроэнергии на собственные нужды не высокий - 1,5-2% (для паровых турбин конденсационно типа на газо-мазутном топливе - 3-5%), есть возможности для утилизации тепла выхлопа газотурбинной установки (ГТУ). Утилизация возможна как в паровом котле - котле-утилизаторе (энергоблоки типа паро-газовые установки (ПГУ)), так и в самом простом случае - котел-теплообменник для отопления, горячего водоснабжения (ГВС) жилого фонда.

Следует отметить, что утилизация тепла уходящих газов газовой турбины в виде производства перегретого пара - рабочего тела паровой турбины, стало возможным при высокотемпературном выхлопе. Проточная часть ГТУ, лопатки турбины и другие узлы смогли нести столь высокие тепловые и механические нагрузки (температуры уходящих газов до 570 ОС; давление на входе в проточную часть до 35 кгС/см2) благодаря развитию турбостроения в последние 20 лет. Если взять отдельно кпд ГТУ - до 28-30%; котел и паровая турбина - до 35%; совместная энергетическая установка: ГТУ, котел-утилизатор, паровая турбина - до 55-57%.

ГТУ получили широкое распространение в газотранспортной системе на газокомпрессорных станциях в качестве привода для нагнетателей. Потребление электроэнергии на собственные нужд газотурбинными установками (ГТУ) зависит от их мощности и режима работы. Для агрегатов мощностью более 25 МВт расход на собственные нужды составляет при работе в базисной части графика нагрузки 0,4-0,9%, для агрегатов меньшей мощности-до 2%. К функциональным особенностям нагнетателя можно отнести:

.        большая производительность при относительно небольших габаритных размерах;

.        равномерность подачи газа;

.        уравновешенность движущихся частей, вследствие чего не необходимости в гашении вибрации путем сооружения массивных фундаментов;

.        имеется полная возможность автоматизации управления агрегатом.

Стоимость транспортировки газа при электроприводе нагнетателей больше в 6 раз, чем при использовании газотурбинных установках.

Рабочее тело в ГТУ - продукты горения газа и избыточный воздух - охлаждение проточной части. Сгорая природный газ образует температуру 1600-1800 градусов, поэтому коэффициент избытка воздуха при работе ГТУ в 10 раз выше коэффициента избытка воздуха для паровых котлов. Отработанное рабочее тело направляется для дальнейшей тепловой утилизации и затем удаляется в атмосферу. Потребители электроэнергии на газокомпрессорных станциях относятся к первой категории с источником гарантированной электроэнергии.

Рис. 1.1. Внешний вид ГТУ.

В последнее время в газораспределительной системе получила технология использование потенциальной энергии природного газа высокого давления магистральных газопроводов.

Перед потребителем газа необходимо снизить давление.

Это происходит на газораспределительных станциях, газораспределительных пунктах. С применением детандер-генераторов (ДГА) понижение давления газа происходит с производством электроэнергии. Причем газ, рабочее тело, отдает потенциальную энергию - давление, а не сгорает.

Первый в России детандер-генераторный комплекс мощностью 10 МВт, состоящий из 2-х детандер-генераторных агрегатов ДГА-5000, введен в эксплуатацию в 1994 г. на ТЭЦ-21 "Мосэнерго". Их поставщик - ОАО "Криокор". Подобные агрегаты работают сегодня на Среднеуральской ГРЭС в России (поставщик ОАО "ТМЗ"), на Лукомльской ГРЭС в Беларуси (поставщик - ОАО "Криокор"), на Днепропетровской ГРС-7 в Украине (поставщик "Союзтурбогаз").

В ближайшее время вводятся в эксплуатацию два агрегата на Рязанской ГРЭС (поставщик - ОАО "Криокор") и один в ОАО "Сода, г. Стерлитамак, Башкирия (поставщик - ОАО "Калужский турбинный завод" - ООО "ТурбоДЭн").

Рис. 1.2. Внешний вид турбодетандера.

Срок окупаемости проектов - от 3 до 5 лет. По разным оценкам ресурс внедрения ДГ-технологии России и СНГ оценивается в 5000-8000 МВт.

Широкое внедрение в практику турбодетандеров в Российской энергосистеме несколько тормозится. Это происходит по ряду причин. Небольшие потребители газа, котельные не имеют достаточно квалифицированных кадров, специалистов по эксплуатации турбин. Крупные потребители газа, электростанции, не заинтересованы ввиду малых объемов вырабатываемой энергии, до 1% от установленной мощности электростанций. Очевидно, что законодательная база для технологических инноваций в этой области отстает от реалий сегодняшнего дня. Остается надеяться, что принятый сравнительно недавно Федеральный закон "Об энергосбережении и о повышении энергетической эффективности..." создаст необходимые предпосылки для широкого использования энерго- и ресурсосберегающих технологий и будет способствовать внедрению турбодетандеров на газопотребляющих предприятиях различного назначения, мощности и собственности.

В настоящей работе на примере газокомпрессорной станции с двумя газотурбинным установками (ГТУ) типа ГТК-25 и энергетической установке передвижная автоматизированная газотурбинная электростанция (ПАЭС-2500 - авиационный ГТД с приводом на генератор собственных нужд газокомпрессорной станции) рассмотрена установка турбодетандера параллельно существующей газораспределительной станции (ГРС). Наличие потребителя природного газа вблизи компрессорной станции обуславливает возможность внедрения турбодетандеров в схему редуцирования пониженного давления газа на нужды поселка. Вырабатываемая электроэнергия турбодетандером рассматривается в качестве дополнительного источника питания для собственных нужд газокомпрессорной станции.

1. Аналитическая часть

.1 Анализ задачи по уменьшению затрат на собственные нужды

Газ как топливо в энергетике занимает важнейшее место не только в топливно-энергетическом балансе России, но и в мировом масштабе. Добыча, транспортировка газа представляет собой сложнейший комплекс технических, экологических, социальных, экологических задач. Потребление электроэнергии на собственные нужды газотурбинными установками (ГТУ) зависит от их мощности и режима работы. Для агрегатов мощностью более 25 МВт расход на собственных нужд составляет при работе в базисной части графика нагрузки 0,4-0,9%, а при покрытии пиков 0,6-1,7%.

Потребление газа растет, в поисках новых месторождений приходиться осваивать все более сложные территории и акватории; инфраструктура отрасли требует вложений не столько материальных (что вполне объяснимо), сколько интеллектуальных ресурсов. При этом одна из важнейших задач - уменьшение затрат на добычу, транспортировку, подготовку этого вида топлива. Рассматриваемые в работе собственные нужды включают в себя не только собственные нужды электроэнергии на технологические процессы ГТУ, но и на технологические нужды самой газокомпрессорной станции.

Газ транспортируется по трубопроводной системе. Газокомпрессорные станции повышают давление газа. Нагнетатель совершает работу, часть которой идет на повышение внутренней энергии газа - его температуры и давления. Повышение давления газа - необходимое условие для дальнейшей транспортировки газа. Повышение температуры сжимаемого газа - явление для технологической цепи не нужное. Температура газа после сжатия может быть оценена по следующей формуле:

 [1.1]

Где Та, Тb - температуры газа до и после нагнетания, корень четвертой степени из числа πk- показатель степени сжатия.

Рост температуры при этом процессе не может быть высоким, но это тепло необходимо удалить. Наибольшее потребление электроэнергии на газокомпрессорных станциях приходиться на систему охлаждения сжимаемого газа. При этом привод нагнетателей - газотурбинная установка. Если привод нагнетателя электрический - это в несколько раз увеличивает расходы на собственные нужды.

Таким образом, снизить расходы на собственные нужды газокомпрессорной станции можно 2-мя путями:

.        Рационализировать сам процесс теплообмена между газом и воздухом, в том числе утилизировать технологическое тепло;

.        Использовать технические условия данного узла магистральной газотранспортной сети для генерации дополнительной электроэнергии.

Утилизация технологического тепла с производством тепловой, электрической энергии либо с производством холода в современной энергетике на сегодняшний день представлена в когенерационных и тригенерационных установках. При нагнетании газа нет редуцирования высоких температур, привлекательных с точки зрения коммерческого производства электрической энергии.

Расположение газокомпрессорной станции вблизи крупных потребителей газа (крупных городов, электростанций, предприятий металлургии) имеет привлекательную особенность в том, что возможно производство электроэнергии турбодетандерными установками, работающими параллельно существующих ГРС. Таким образом, представляется возможным сконструировать следующую модель: газотурбинная установка (ГТУ) в качестве привода нагнетателей газокомпрессорной станции выдают высокотемпературный выхлоп, тепловая энергия которого впоследствии утилизируется в теплообменниках подогрева газа перед турбодетандерной установкой. Что в свою очередь, существенно повышает КПД турбодетандера. Очевидно, расход газа через газораспределительной станции (ГРС) существенно влияет на электрическую мощность турбодетандера. В существующей схеме электроснабжения собственных нужд турбодетандер работает параллельно газотурбинного двигателя (ГТД) генератора собственных нужд. В настоящей работе произведем расчет такой установки.

.2 Разработка газокомпрессорной станции

Задачи, решаемые газокомпрессорными станциями - поддержание необходимого давления в магистральном газопроводе, очистка, охлаждение после сжатия, осушка, одоризация газа.

Рис. 1.3. Схема газокомпрессорной станции. 1 - газопровод магистрального газа; 3 - шунтирующий газопровод-байпас; 4,7 - фильтры-пылеуловители, конденсат-сборники на входе и выходе газокомпрессорной станции; 5 - нагнетатели.

Газокомпрессорные станции представляют собой комплекс сооружений, включающий объекты: компрессорный цех, содержащий установки для компримирования газа, установки пылеуловителей, попутной очистки газа от вредных примесей, установки охлаждения газа. Газ из магистрального газопровода <#"867764.files/image005.jpg">

Рис. 1.4 Общий вид газотурбинной установки

- входной патрубок; 2 - компрессор; 3 - отвод воздуха в камеру сгорания; 4 - турбина высокого давления; 5 - турбина низкого давления; 6 - выход газа; 7-регулятор; 8 - редуктор; 9 - рама; 10 - пусковой электродвигатель, 11 - форсунка; 12 - вход воздуха в камеру сгорания; 13 - камера сгорания

Рис. 1.5. Компоновка газотурбинной установки на газокомпрессорной станции: 1 - выходная труба, 2 - маслоохладитель (воздушный); 3 - маслопровод; 4 - выходной трубопровод; 5 - нагнетатель; 6 - турбина; 7 - компрессор; 8 - впускной трубопровод; 9 - жалюзи для входа воздуха; 10 - воздухопровод; 11 - воздушный фильтр.

Таблица 1.1 Основная техническая характеристика электростанции

ПАЭС-2500

Мощность электростанции, кВт

2500

Тип двигателя

Авиа турбина ДЗОЭУ-1

Тип генератора

СГС-14-100-У2

Частота вращения вала силовой турбины, об/мин.

5500

Частота вращения выходного вала редуктора  привода генератора, об/мин

1000/3000

Род тока

Переменный, трехфазный

Частота тока номинальная, Гц

50

Напряжение номинальное, В

10500;6300

КПД электрический, %

2140

Расход топлива, нм3/ч

1250

Расход масла, кг/ч

0,5

Масло для ГТД

МС-8П ОСТ 38.01163-78

Температура газа на входе в турбину газогенератора, °С

650

Температура продуктов сгорания на выпуске, °С

375

Степень повышения давления в компрессоре

6,0

Расход воздуха, кг/с

24,4

Время пуска и принятия полной нагрузки, с

3

Степень автоматизации

3 ГОСТ 14228

Давление топливного газа на входе в двигатель, МПа

1,1±0,1

Уровень звуковой мощности, дБА

80

Эмиссия NOx при 15 % О2, мг/м3, не более

50

Ресурс ГТД до капремонта, ч

25000

Ресурс ГТД до списания, ч

40000

Габаритные размеры блок-контейнера, мм

12 000x2500x3750

Масса электростанции в блок-контейнере, кг

30 000


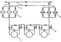
Газотурбинная установка приводит в движение генератор, который вырабатывает электроэнергию собственных нужд газокомпрессорной станции. Основной потребитель электроэнергии - установка охлаждения газа. Температура газа после нагнетателя значительно повышается. Излишек приращения внутренней энергии газа в виде температуры необходимо убрать. Этот процесс состоит в охлаждении газа в теплообменнике. Теплообмен происходит между окружающим воздухом и газом, съем тепла газа реализован с помощью работы вентиляторов. Электропривод вентиляторов - двигатели АИР250S8, мощность 24 кВт, 750 об/мин., Iн/Iп=6; η=0,925; cosφ=0,78. Часть вырабатываемой электроэнергии уходит на собственные нужды ПАЭС. Представляется очевидным, что потребители электроэнергии газокомпрессорной станции относятся к потребителям 1-й категории. Вследствие этого необходимо иметь 2 независимых источника электроэнергии. В действующей схеме этот подход реализован в виде электроснабжения от системы и электроснабжения от собственной ГТУ. В нормальном режиме работает ГТУ собственных нужд, в аварийном режиме газокомпрессорная станция получает электроснабжение от системы.

1.4 Разработка системы электроснабжения на собственные нужды

Собственные нужды газокомпрессорной станции включают потребление электроэнергии на собственные технологические нужды - охлаждение транспортируемого газа после нагнетателей, средства автоматики, регулирования, ТЗ и КИП и А, освещения станции и самой энергетической установки. Низковольтное распределительное устройство (НК РУСН) является источником питания 0,4 кВ всех агрегатов газокомпрессорной станции. Ввод электроэнергии реализован с понижающего трансформатора 10/0,4, который в свою очередь запитан от генератора ГТУ собственных нужд. После вводной ячейки НК РУСН смонтированы 10 сборок: 3х3 сборки на нужды ГТУ, 1 - технологические нужды газокомпрессорной станции. Произведем расчет собственных нужд методом коэффициента максимума. Для этого необходимо определить Pm, Qm, Sm.

Рм=КмРсм; [1.4.1]м=КмQсм; [1.4.2]м=; [1.4.3]

Где:

Рм - максимальная активная нагрузка;кВт;м - максимальная реактивная нагрузка, квар;

Км - коэффициент максимума активной нагрузки;

Км- коэффициент максимума реактивной нагрузки;

Рсм - средняя активная мощность за смену; кВт;см - средняя реактивная мощность за смену; квар;

Рсм=КиРн; [1.4.4]

Рн - установленная мощность; Ки - коэффициент использования электроприемников;

турбодетандер электроснабжение проводник распределительный

Qсм= Рсмtgφ; [1.4.5]

tgφ - коэффициент реактивной мощности.

Рн - установленная мощность.

Км определяются по таблице; функция от Ки, nэ. Где nэ - это функция от количества электроприемников n, показателя силовой сборки m, коэффициент использования Kис, установленная мощность Рн.

Таблица 1.2. Распределительный пункт №1

№п/п

Наименование агрегата

Руст, кВт

Ки

1.

Нагнетающий маслонасос смазки ГТД

1,5

0,6

2.

Всасывающий маслонасос смазки ГТД

1,5

0,6

3.

Маслонасос откачки из маслобака

1,5

0,6

4.

Насос подачи смазки подшипников генератора

1,5

0,6

4.

Насос откачки утечек

1,5

0,12

5.

Задвижка на контуре масла маслобак-маслоохладитель

1,5

0,12

6.

Задвижка на контуре масла маслоохладитель-маслофильтр

2,2

0,12

7.

Задвижка откачки масла из маслобака генератора

2,2

0,12

8.

Нагреватель масла в маслобаке ГТД

2,2

0,1

9.

Нагреватель масла в маслобаке нагнетателя

2,2

0,1

10.

Вентилятор обогревателя отсека ГТД

5,5

0,12

11.

Вентилятор обогревателя отсека ГТД(резерв)

5,5

0,12

12.

Вентилятор обогревателя отсека БТА

5,5

0,12

13.

Вентилятор обогревателя отсека БТА (резерв)

5,5

0,12

14.

ТЭН обогревателя помещения маслоблока

2

0,2

15.

ТЭН обогревателя отсека ГТД

2

0,12

16.

ТЭН обогревателя ГТД (резерв)

2

0,12

17.

ТЭН обогревателя помещения БТА

2

0,12

18.

ТЭН обогревателя помещения БТА ( резерв)

2

0,12

19.

ТЭН обогревателя помещения генератора

2

0,2

20.

ТЭН обогревателя помещения генератора резерв

2

0,2

21.

ПЧ стартера №1, стартер

55

0,1

22.

ПЧ стартера №2, стартер

55

0,1

23.

ПЧ стартера №2, стартер

55

0,1

24.

Аварийное освещение помещения блока ГТД

2,5

0,1

25.

Устройство контроля температуры в помещении ГТД

2

0,8

26.

Освещение помещения БТА

2

0,5

27.

Освещение помещения ГТД

2,5

0,5

28.

Освещение помещения укрытия генератора

2,5

0,5

29.

Освещение помещения маслоблока

2

0,5

30.

Щит управления блоком промывки

2,5

0,1


Распределительный пункт №1.

Суммарная мощность - 234,6 кВт;

мощность за смену Рсм=26,9 кВт;

Тогда:=30;

=Pмакс /Рмин= 55/2=27,5 - силовой показатель сборки;

Кис=ΣРсм/ΣРн =26,9/234,6=0,12 - средний коэффициент использования.

Необходимо определить эффективное количество электроприемников:

эф= nэф* n;

где nэф* определим как функцию от n` и Р`,

в свою очередь величины определим как:

`= n1/n=3/31=0.1;

Р`=P1/P=55*3/234=0.66 - отношение количества и мощности электроприемников с максимальной мощностью ко всем электроприемникам.

Тогда из таблицы определим nэф*. Что в свою очередь даст возможность рассчитать nэф.

эф= nэф* 0,22*30=6,6.

Тогда, зная число эффективных приемников (6,6) и средний коэффициент использования Кис (0,12), найдем по таблице Км=2,7. Тогда определим максимальные мощности: активную, реактивную, полную.

Рм=КмРсм;м=КмQсм;м=;

Рм=Км Рсм =2,726,9=72,63 кВт;м=КмQсм=2,726,91,33=96,8 квар;= =(72.632+96.82)0.5=121 кВА. Это максимальная мощность по сборке №1

Таблица 1.3. Распределительный пункт №2

№пп

Наименование

Руст, кВт

Кис

30.

Блок питания плазменных воспламенителей

1,2

0,1

31.

Установка для осушки воздуха

1,2

0,2

32.

Электровентилятор вытяжной КВОУ

2,2

0,6

33.

Клапан-заслонка короба вентилятора №1

1,8

0,6

34.

Клапан-заслонка короба вентилятора №2

1,8

0,6

35.

Клапан-заслонка короба вентилятора №3

1,8

0,6

36.

Клапан-заслонка короба вентилятора №4

1,8

0,6

37.

Клапан-заслонка воздуховода помещения ГТД

1,8

0,6

38.

Клапан-заслонка воздуховода помещения маслоблока

1,8

0,6

39.

Вентилятор №1

5,5

0,6

40.

Вентилятор №2

5,5

0,6

41.

Вентилятор №3

5,5

0,6

42.

Вентилятор №4

5,5

0,6

43.

Вентилятор помещения ГТД

5,5

44.

Резерв



45.

Резерв



46.

Клапан подачи горячего воздуха на КВОУ

2,2

0,2

47.

Задвижка подачи воды в маслоохладитель

2,2

0,1

48.

Регулятор подачи воды в маслоохладитель

0,5

0,12


Суммарная мощность - 47,3 кВт; мощность за смену

ΣРсм=ΣРiKi= 26,62 кВт;

Тогда:=16;

=5,5/0,5=11 - силовой показатель сборки;

Кис= ΣРсм/ΣРн =26,62/47,3=0,56.

Необходимо определить эффективное количество электроприемников:

Из таблицы следует, что при значениях n =16; m=11; Кис =0,56 nэф определим как:

эф = 2Рн/Рннб=247,3/5,5=17,2.

Тогда, определим Км =1,21. Тогда:

Рм= Км Рсм =1,2126,62=32,2 кВт;м= КмQсм =1,2126,621,33=42,8 квар;= =(32,32+42,82)0.5=53,7 кВА.

Это максимальная мощность по сборке №2

Таблица 1.4. Распределительный пункт №3.

№пп

Наименование

Руст, кВт

Кис

30.

Блок питания плазменных воспламенителей

2,5

0,12

31.

Установка для осушки воздуха

2,5

0,12

32.

Электровентилятор вытяжной КВОУ

2,2

0,6

33.

Клапан-заслонка короба вентилятора №1

1,8

0,12

34.

Клапан-заслонка короба вентилятора №2

1,8

0,12

35.

Клапан-заслонка короба вентилятора №3

1,8

0,12

36.

Клапан-заслонка короба вентилятора №4

1,8

0,12

37.

Клапан-заслонка воздуховода помещения ГТД

1,8

0,12

38.

Клапан-заслонка воздуховода помещения маслоблока

1,8

0,12

39.

Электропривода задвижек по газу газокомпрессорной станции

2,2

0,2

40.

Электрифицированные клапаны отсечные

1,8

0,12

41.

Средства КИП и А

1,8

0,6


Суммарная мощность - 22 кВт; мощность за смену ΣРсм=4,75 кВт;

Тогда:

=11; m=Рмакс / Рмин= 2,2/1,8=1,21 - силовой показатель сборки;

Кис= ΣРсм/ΣРн =4,75/22=0,22.

Необходимо определить эффективное количество электроприемников:

Из таблицы следует, что при значениях n =11; m=1,21;Кис =0,22 nэф определим как:

эф = n=11

Тогда, определим Км =1,8. Тогда:

Рм= Рм= Км Рсм =1,84,75=8,55 кВт;м= КмQсм =1,84,751,33=11,375 квар;= =(32,32+42,82)0.5=14,2 кВА.

Это максимальная мощность по сборке №3.

Таблица 1.5. Распределительные пункты №4…9 - тип ПР852051 6УХЛ26Т2;

№ п./п

Наименование

Количество

Руст, кВт

Кис

4. 5. 6. 7. 8. 9. 10.

Вентиляторы охлаждения газа Вентиляторы охлаждения газа Вентиляторы охлаждения газа Вентиляторы охлаждения газа Вентиляторы охлаждения газа Вентиляторы охлаждения газа Вентиляторы охлаждения газа Итого

5/24 5/24 5/24 5/24 6/24 6/24 6/24 38/24

120    144   912

0,6 0,6 0,6 0,6 0,6 0,6 0,6 0,6


Суммарная мощность - 912 кВт; мощность за смену Рсм=547,2 кВт;

Тогда:=38; Кис=0,6; Нагрузка постоянная, значит nэф=n=38. Тогда, определим Км =1,12.

Тогда:

Рмакс=РсмКм=0,61201,12=80,64 кВт (сборки 4..7)

Рмакс=РсмКм=0,61441,12=96,8 кВт; (сборки 8..10).

Соответственно определим Qмакс:

Qм= КмQсм=1,12120 квар; (сборки 4..7)

Qм= КмQсм=1,126=72,6 квар. (сборки 8..10).

S= =(80,62+60,52)0.5=100,79 кВА. (сборки 4..7)= =(96,82+72,62)0.5=121 кВА. (сборки 8..10).

Распределительные пункты №1,2,3; - сборки с которых запитаны механизмы собственных нужд ГТУ. Распределительные пункты №4-10 - запитаны вентиляторы охлаждения. На газокомпрессорной станции ГТУ - 3. Две установки приводят в движение нагнетатели, одна - выработка электроэнергии. С учетом этого, суммарная мощность потребляемой электроэнергии газокомпрессорной станции составит:

=3S1+3S2+3S3+S4..10=314,2+353,7+3121+766=1332 кВА.

Зная максимальную мощность можно найти максимальный ток, что в свою очередь определит марку вводного автоматического выключателя, кабеля, тип распределительного пункта.

I1=S/=14,2/1,730,4=23 А

I2=S/=53,7/1,730,4=87 А

I3=S/=121/1,730,4=186 А

I4=S/=100/1,730,4=162 А

I5=S/=121/1,730,4=186 А

Пункты распределительные ПР85 предназначены для ввода и распределения электрической энергии, защиты электрических установок при перегрузках и коротких замыканиях, для нечастых (до 6 в час) оперативных коммутаций электрических цепей и пусков асинхронных двигателей. ПР85 устанавливаются в трехфазных сетях напряжения 380/220 В переменного тока частотой 50 Гц с глухозаземленной нейтралью. ПР85 и ПР88 изготавливаются:

.        с трехполюсными и однополюсными автоматическими выключателями;

.        с трехфазными и однофазными счетчиками;

.        с устройствами защитного отключения (УЗО).

Устанавливаем ПР с вводными трехфазными автоматическими выключателями на вводе и с глухо заземлённой нейтралью.

Самая распространённая в нашей стране система заземления - это система "TN-C". Данный тип заземления устроен таким образом: заземлитель (контур заземления) установлен на трансформаторной подстанции, к нему присоединен нулевой проводник, который идет к потребителю и выполняет функцию рабочего и защитного проводника. Обозначается он "PEN"-проводником. Присоединив корпус электроустановки к "PEN"-проводнику получаем тип защиты, который называется "занулением". Электропроводка при этом выполняется двухжильным или четырехжильным кабелем, контакты защитных проводников (заземления) в розетках и светильниках отсутствуют. Достоинством системы заземления "TN-C" считается простота и дешевизна электромонтажа, но в ущерб электробезопасности, так как существует реальная опасность поражения людей электрическим током, что приводит к летальным исходам. При использовании такой системы заземления, защитные аппараты защищают только электрическую сеть от сверхтоков короткого замыкания, но не защищают людей от поражения электрическим током. Система TN-C-S - система TN, в которой функции нулевого защитного и нулевого рабочего проводников совмещены в одном проводнике в какой-то ее части, начиная от источника питания.

Определив нагрузки, номинальный ток выбрали тип распределительных пунктов и вводных автоматов питания. Данные занесены в таблицу.

Таблица 1.6. Распределительные пункты, вводные автоматы.

№ п/п

Тип РП

Руст, кВт

I ном, А

Тип автомата

1

ПР8520126УХЛ26Т2

14,2

23

ВА51-25

2

ПР8520126УХЛ26Т2

53,7

87

ВА51-31

3

ПР8520126УХЛ26Т2

121

186

ВА51-39

4

ПР852051 6УХЛ26Т2

100,8

162

ВА51-39

5

ПР852051 6УХЛ26Т2

100,8

162

ВА51-39

6

ПР852051 6УХЛ26Т2

100,8

162

ВА51-39

7

ПР852051 6УХЛ26Т2

100,8

162

ВА51-39

8

ПР852051 6УХЛ26Т2

121

186

ВА51-39

9

ПР852051 6УХЛ26Т2

121

186

ВА51-39

10

ПР852051 6УХЛ26Т2

121

186

ВА51-39


Рис. 1.6. Внешний вид РП85.

1.5 Разработка трансформаторной подстанции, выбор трансформатора

Определим марку трансформатора 10/0,4 кВ. Максимальная мощность всех потребителей участка

макс=ΣSiмакс; =1332 кВА.

Определим потери в трансформаторе:

ΔР=0,02Sнн; [1.5.1];

ΔQ=0,1Sнн; [1.5.2];

ΔS= ΔР2+ ΔQ2 [1.5.3];вн=Sнн+ ΔS; [1.5.4];

ΔР=0,02Sнн=0,021332=27 кВт;

ΔQ=0,1Sнн=0,11332=133,2 квар;

ΔS= = 272+1332=135 кВА=1332+135=1467 кВА - полная мощность трансформатора ТП.

Ближайший по мощности трансформатор ТМГ1600 кВА; 10/0,4 кВ; Uk=5.23%; группа соединений Y/Y. Трансформатор масляный серии ТМГ-1600 а так же типа ТМ, ТМФ, ТМГФ предназначен для работы в электросетях напряжением 6 или 10кВ в открытых электроустановках в условиях умеренного климата (исполнение У1 по ГОСТ 15150-69); служит для понижения высокого напряжения питающей электросети до установленного уровня потребления. Гарантированный срок эксплуатации трансформатора ТМГ-1600 - 3 года со дня ввода трансформатора в эксплуатацию. Установленная наработка на отказ - не менее 25000 ч. Полный срок службы ТМГ-1600 - не менее 30 лет. Частота питающей сети - 50Гц. Напряжение на стороне ВН - 6; 6,3; 10; 10,5 кВ. Напряжение на стороне НН - 0,4; 0,23 и 0,69 кВ.

.5.1 Состав и устройство трансформатора ТМГ-1600

Трансформатор ТМГ-1600 состоит из: бака с радиаторами, крышки бака, активной части.

Бак снабжен пробкой для взятия пробы масла и пластиной для заземления трансформатора. Наружная поверхность бака окрашена атмосферостойкими серыми, светло-серыми или темно-серыми красками (возможно изменение тона окраски). Все уплотнения трансформатора выполнены из маслостойкой резины.

Бак трансформатора состоит из:

.        стенок, выполненных из стального листа толщиной от 2,5 мм до 4 мм. (в зависимости от мощности трансформатора);

.        верхней рамы;

.        радиаторов;

.        петель для подъема трансформатора

.        дна с опорными лапами (швеллерами).

На крышке трансформаторов ТМГ установлены:

.        вводы ВН и НН

.        привод переключателя;

.        петли для подъёма трансформатора

.        предохранительный клапан (на трансформаторах типа ТМГ и ТМГФ),

.        мембранно-предохранительное устройство

.        мановакуумметр

.        Контрольно-измерительные приборы и сигнальная аппаратура трансформатора ТМГ-1600.

Уровень масла в трансформаторах контролируется визуально по указателю уровня масла, который расположен на стенке бака.

При наличии термоузла дополнительно осуществляется контроль температуры верхних слоев масла в баке трансформатора спиртовым термометром. Рассмотрим ниже технические данные трансформатора ТМГ.

Таблица 1.7. Технические характеристики трансформаторов ТМГ-1600

Тип

Класс напряжения, кВ

S, кВА

𝞓S, х.х. Вт

𝞓S, к.з. Вт

Габариты, м

Uк.з. при 75ºС

Масса, кг

Общая масса, кг






L

B

H

A




ТМГ-1600

6,10

1600

1950

15800

1965

1250

1985

820

6

910

4560

ТМГ-1600

35

1600

2100

15800

2015

1250

2135

820

7

970

4800



Рис. 1.6 Внешний вид ТМГ 1600.

1.6 Разработка системы электроснабжения, выбор проводников

Кабели подразделяют по материалу, из которого изготовлены их токопроводящие жилы (медь, алюминий), изоляции и материалов из которых она изготовлена, степени герметичности и защищенности кабелей от механических повреждений.

Ток, проходящий по проводнику длительное время и не перегревающий его выше допустимой температуры, называется допустимым током по нагреву.

Согласно требованиям ПУЭ сечения проводников выбираются по условию:

доп. > I расч.

Допустимые токи определяются из ПУЭ в зависимости от марки проводника. Величину тока определим по формуле:

 [1.6.1];

Где: Р - мощность установки, станка, агрегата;- напряжение питающей сети, U=0,4 кВ;

Cosφ - коэффициент мощности, величина соотношения активной и полной мощностей;

η- кпд установки, соотношение полезной к затраченной мощности. КПД примем равному 0,89. Отношение Р/cosφ - суть полной мощности, S. Тогда:

I1=S/1,7314,2/1,730,4=23 А;= S/1,7353,7/1,730,4=87 А;= S/1,73121/1,730,4=186 А;= S/1,73100/1,730,4=162 А;

Для расчета сечения кабеля необходимо учесть время работы установки, что отражается в коэффициенте j, j=1 (проводник - алюминиевый, время более 5000 ч)

S=Iмакс/j=23/1=23

S=Iмакс/j=54/1=54

S=Iмакс/j=121/1=121

S=Iмакс/j=100/1=100

S=Iмакс/j=23/1=23

Таблица 1.8. Расчет проводников

№ ПР

Sмакс, кВА

Iмакс, А

Марка кабеля

Iдоп, А

1

14,2

23

АВВГ3

62

2

53,7

87

АВВГ3

109

3

121

186

АВВГ3

200

4

100,8

162

АВВГ3×70

167

5

100,8

162

АВВГ3×70

167

6

100,8

162

АВВГ3×70

167

7

100,8

162

АВВГ3×70

167

8

121

186

АВВГ3×95

200

9

121

186

АВВГ3×95

200

10

121

186

АВВГ3×95

200


1.7 Разработка систем защиты электроприемников. Выбор аппаратов защиты

Аппараты защиты по своей отключающей способности должны соответствовать максимальному значению тока КЗ в начале защищаемого участка электрической сети.

Автоматические выключатели обеспечивают одновременно функции коммутации силовых цепей и защиты электроприемников от перегрузки и коротких замыканий. Автоматические выключатели имеют тепловой расцепитель и электродинамический, также снабжаются дугогасящими камерами. Автоматы выбирают по их номинальному току.

1,25*Iн - токи уставки теплового расцепителя; [1.7.1];э1,2 *Iпуск - токи уставки электродинамического расцепителя. [1.7.2];

Определим марку выключателей и разъединителей. Для этого определим значения тока на высокой стороне и низкой.

вн=S/U=1467/1,7310=85 А;нн=1467/1,730,4=2120 А;

На стороне 10 кВ выбираются кварцевые предохранители 10 кВ типа ПКТ-103-10-50-31,5; Iн=50А; Iноткл=31,5кА. Высоковольтный предохранитель ПКТ 103-10-50-31,5-У3 предназначен для защиты электрооборудования от токов перегрузки короткого замыкания. При повышения тока выше расчетных значений плавкая вставка начинает нагреваться и перегорает согласно время-токовой характеристики предохранителя, тем самым разрывая электрическую цепь и защищая оборудование.  Нa стороне 0,4 кВ трансформатора выберем автоматический выключатель Электрон 3000, Iн=3 kА, Iнр=4 kА; номинальный ток подобран с учетом возможной перегрузки до 1,4-1,8 номинального тока. На стороне 0,4 кВ выбираем автоматы питания серии ВА 51-25,31,39; основная сфера использования - КТП, вводно распределительные устройства

При эксплуатации выключателя на высоте над уровнем моря свыше 1000 м номинальный ток выключателя должен быть снижен; расчетные значения тока на высоте над уровнем моря 2000 м - 608 А, 3000 м - 598 А, 4300 м - 583 А.

Температура окружающего воздуха от минус 40 до 55°С. Окружающая среда невзрывоопасная, не содержащая газы, жидкость и пыль в концентрациях, нарушающих работу выключателей. Отсутствие непосредственного воздействия солнечного и радиоактивного излучения.

Место установки выключателя должно быть защищено от попадания воды, масла, эмульсии и т. п. Группа условий эксплуатации в части воздействия механических факторов М3 по ГОСТ 17516.1-90Е.

Рабочее положение выключателей в пространстве на вертикальной плоскости выводами 1, 3, 5 вверх с возможностью поворота от этого положения в указанной плоскости на 90° в обе стороны; допускается отклонение до 5° от рабочего положения в любую сторону.

Степень защиты от воздействия окружающей среды и от соприкосновения с токоведущими частями по ГОСТ 14255-69 и ГОСТ 15543.1-89. По технике безопасности выключатели соответствуют ГОСТ 12.2.007.0-75, ГОСТ 12.2.007.6-93, ГОСТ 9098-93. Выключатели отвечают требованиям ТУ 3422-001-05832917-97. ТУ 3422-001-05832917-97

Вводные автоматы питания серии ВА 51 имеют тепловой и электро-магнитный расцепители, то есть защита от перегрузки и короткого замыкания.

Рис. Электромагнитные и тепловые расцепители автомата питания серии ВВА51-31.

Рис. 1.7. Внешний вид ВА51-31.

Таблица 1.7.1 Автоматы питания.

№ РП

Sмакс, кВА

Iмакс, А

Вводной автомат

Iном, А

1

23

ВА51-25

35

2

53,7

87

ВА51-31

100

3

121

186

ВА51-39

250

4

100,8

162

ВА51-39

250

5

100,8

162

ВА51-39

250

6

100,8

162

ВА51-39

250

7

100,8

162

ВА51-39

250

8

121

186

ВА51-39

250

9

121

186

ВА51-39

250

10

121

186

ВА51-39

250


1.8 Разработка газораспределительной станции

Газокомпрессорная станция по магистральному газопроводу устанавливается через 120-160 км пути. Ясно, что падение давления газа происходит, прежде всего, за счет совершения газом работы - движение газа по трубопроводу. Кроме того, на давление газа в магистральном газопроводе существенное влияние оказывает и отбор газа на ГРС, то есть отвод непосредственно к потребителю. Основная задача ГРС - это редуцирование давления газа до 12-5 МПа, его очистка от механических примесей, добавление одоранта (этилмеркаптан, C2H2SH), удаление газового конденсата, влаги.

В данном случае, ГРС расположена не так далеко от газокомпрессорной станции, что позволяет установить в байпас действующей ГРС турбодетандер для выработки электроэнергии, прежде всего для собственных нужд газокомпрессорной и газораспределительной станции. Для последней собственные нужды весьма невелики, однако как и газокомпрессорная станция ГРС - потребитель 1-й категории.

Рис. 1.8. Схема ГРС

В состав газораспределительной станции входит основные блоки:

.        отключающих устройств;

.        автоматического редуцирования (регулирования давления, измерения расхода газа);

.        автоматической одоризации газа.

Газ из входного газопровода поступает в блок отключающих устройств и направляется на очистку в масляные пылеуловители или в висциновые фильтры блока очистки, затем поступает в блок автоматического регулирования давления. Далее газ направляется в выходные газопроводы низкого давления, где производятся измерение расхода, его количественный учет и одоризация. Число линий редуцирования на газораспределительных станциях зависит от расхода газа; одна из линий предусматривается как резервная. Автоматизированные газораспределительные станции снабжаются комплектом запорной арматуры, которая при аварийной ситуации обеспечивает автоматический ввод в действие и отключение рабочих и резервных линий редуцирования. На ГРС давление снижается до 5 Мпа.

2. Исследовательская часть

.1 Выбор и расчет турбодетандера

Устройство турбодетандера.

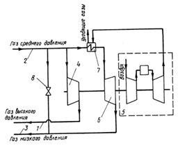
Турбодетандер, установленный в байпас действующей ГРС, позволит вырабатывать до 50 кВт/час электроэнергии на каждую 1000 м3, прокаченных через ГРС. Никаких затрат топлива, электроэнергии на собственные нужды от постороннего источника установка не требует. Рассмотрим технологическую схему установки. Эффективное применение турбодетандера возможно с применением схемы утилизации технологического тепла. Для повышения к.п.д. турбодетандера реализован подогрев газа перед установкой за счет утилизации тепла выхлопа ГТУ. При отсутствии подогрева природного газа на входе, температура на выходе из турбодетандера будет составлять -71ОС. Если же эксплуатировать такую установку, очевидны проблемы с обмерзанием, закупоркой тяжелыми углеводородными фракциями. Целесообразно турбодетандер устанавливать в непосредственной близости от газокомпрессорной станции.

Следует отметить, что устойчивая работа турбодетандера возможна при наличии достаточно большого потребителя газа с постоянным расходом газа. Расходы на собственные нужды ГРС около 1300 кВт/час, причем график нагрузок не имеет такого широкого изменения в течении суток. Очевидно, что в практике существование конечных потребителей с постоянным расходом природного газа на данном уровне существенно меньше, чем более мелких. Поэтому, представляется целесообразным иметь в работе существующую ГТУ как источник электроэнергии на собственные нужды с загрузкой в диапазоне 0,30,8 от требуемой, оставшееся - получать на турбодетандере. В случае аварийного отказа одного из двух источников - соответственно загрузка на максимальную мощность.

Рис. 2.1. Принципиальная схема турбодетандера.

Система газоснабжения содержит трубопроводы природного газа высокого 1, среднего 2 и низкого 3 давления и газоперекачивающий агрегат. Где нагнетатель 4 и приводной двигатель (в нашем случае ГТУ) с выхлопным трактом, и турбодетандер 6. Входные патрубки нагнетателя 4 и турбодетандера 6 подключены к трубопроводу 2 среднего давления, выходной патрубок нагнетателя 4 к трубопроводу 1 высокого давления, а выходной патрубок турбодетандера 6 к трубопроводу 3 низкого давления. Система дополнительно снабжена теплообменником 7, размещенным на трубопроводе 2 среднего давления между местами подключения нагнетателя 4 и турбодетандера 6 по ходу газа среднего давления и соединенным своим входом по греющей среде с выхлопным трактом газотурбинной установки 5, а выходом с атмосферой. Система также снабжена дроссельным клапаном 8, который служит в качестве резервного и включается в работу при неработающем турбодетандере 6.

Система газоснабжения работает следующим образом. Часть газа с температурой 5-20oC, давлением 4-5 МПа из трубопровода 2 среднего давления поступает в теплообменник 7 уходящих газов газотурбинной установки 5. В теплообменнике 7 газ нагревается до 100-150oC и далее направляется в турбодетандер 6, где происходит расширение газа со снижением давления до 0,9-1,2 МПа с одновременным совершением полезной работы определенной мощности, передаваемой на вал нагнетателя 4. Из турбодетандера 6 газ с давлением 0,9-1,2 МПа и температурой 10-20oC направляется в трубопровод 3 низкого давления.

Другая часть газа из трубопровода 2 среднего давления направляется к нагнетателю 4, где сжимается до давления 5-6 МПа и далее направляется в трубопровод 1 высокого давления. Уходящие газы газотурбинной установки 5 с температурой 400-450oC направляются в теплообменник 7, где охлаждаются до 100-120oC и уходят в атмосферу. Переданное в теплообменнике 7 тепло воспринимается природным газом для повышения температуры до 100-150oC. Таким образом, турбодетандер снижает давление магистрального газа с 30-40 кгС/см2 до давления распределительных газопроводов до 5 кгС/см2; далее газ поступает в распределительный газопровод к потребителю. Дальнейшее снижение давления газа производиться в ГРП непосредственных потребителей - газораспределительных систем города и предприятия, потребляющих газ. При этом выработанная электроэнергия составит 60 кВт час на 1000 м3 прокаченного газа. Суммарная мощность составит 1200-1800 кВт час. Что вполне хватит на собственные нужды газокомпрессорной станции.

2.2 Разработка турбодетандера

Рис. 2.2. Устройство турбодетандера.

Турбодетандерная энергетическая установка содержит электрогенератор 1 с корпусом 2 и ротором 3 и двухступенчатый турбодетандер с рабочими колесами 4 и 5, расположенными консольно на валу ротора 3 электрогенератора 1. Стрелками ВХОД и ВЫХОД обозначены соответственно места входа природного газа на турбодетандерную электростанцию и выхода его в магистраль для подачи потребителю. На корпусе 2 имеется штуцер 6 для подачи природного газа высокого давления на газостатическую опору 7 ротора 3 электрогенератора 1. Такой же штуцер имеется для подвода природного газа на газостатическую опору 8. Кривой стрелкой на чертеже обозначено направление движения природного газа из рабочего колеса 5 турбодетандера в кольцевую полость 9 между корпусом 2 и кожухом 10 и далее в выхлопной патрубок 11. В работе природный газ подается через патрубки 12 и 13, кольцевую полость 14 и сопловой аппарат 15 на рабочее колесо 4 турбодетандера. После рабочего колеса 4 природный газ поступает в кольцевую полость 16 и далее по трубам 17 и 18 в кольцевую полость 19. Из кольцевой полости 19 через сопловой аппарат 20 природный газ поступает на рабочее колесо 5 турбодетандера. Из рабочего колеса 5 он подается в кольцевую полость 9 и далее в выхлопной патрубок 11. Проходя через рабочие колеса 4 и 5, природный газ преобразует энергию давления в механическую энергию вращения ротора 3 электрогенератора 1. При этом температура природного газа снижается. Холодный газ при прохождении кольцевой полости 9 охлаждает электрогенератор 1 и подогревается сам. Штуцер 6 соединен с магистралью природного газа высокого давления. Газ через штуцер 6 и другой такой же штуцер подается для смазки газостатических опор 7 и 8. После прохождения газостатических опор 7 и 8 природный газ попадает во внутреннюю полость 21 электрогенератора 1, охлаждает электрогенератор и далее через отверстия 22 выходит в кольцевую полость 9 и в выхлопной патрубок 11.

2.3 Разработка модернизации электросхемы распределительного устройства

Действующая схема электроснабжения реализована следующим образом: ЭСН потребители получают по воздушной линии ВЛ 10 кВ и от генератора собственных нужд (ГТУ СН 2500 кВт). Резервирование питания по линии 10 кВ - через схему АВР с выключателем BB/TEL -10- 12,5/630-42-45 - запитываются либо ОРУ ВЛ 10 кВ, либо ЗРУ 10 кВ , ГТУ собственных нужд. ОРУ (ЗРУ) 10 кВ запитывает трансформаторы 1 и 2 марки ТМГ 1600 10/0,4 кВ. В свою очередь трансформаторы запитывают РУСН I, РУСН II 0,4 кВ. Каждая сборка имеет вводной автомат, запитывающийся с шины 0,4 кВ РУСН I и РУСН II. Резервирование между распределительными устройствами реализовано межсекционным переключателем. При аварийном отключении ГТУ включается схема электроснабжения с ВЛ 10 кВ.

Рис. 2.3. Действующая схема распределительного устройства собственных нужд.

Турбодетандерная установка в действующую схему ЭСН газокомпрессорной станции войдет следующим образом: запитает ЗРУ 10 кВ мощностью до 1500 кВт. Тогда схема примет вид:

Рис. 2.4. Модернизированная схема распределительного устройства собственных нужд.

Прокачка газа через турбодетандер позволяет выработать 40-50 кВт на каждую 1000 м3 газа. Объем прокаченного газа позволяет вырабатывать турбодетандеру до 1500 кВтчас электроэнергии, это покрывает необходимую мощность электроэнергии для собственных нужд газокомпрессорной станции. При нормальном режиме ГТУ собственных нужд находиться в резерве, как и воздушная линия. Демонтаж ОРУ 10 кВ и ВЛ представляется нецелесообразным. При увеличении мощности собственных нужд или в случае вывода в ремонт турбодетандера или его аварийной остановки включается существующая ГТУ собственных нужд.

Заключение

В работе рассмотрена установка турбодетандера, выработанная электроэнергия которого рассматривается в виде источника питания собственных нужд. Ввиду того, что потребитель, получающий газоснабжение от ГРС, имеет различные расходы газа, не может быть речи о полной замене турбодетандером генератора собственных нужд газокомпрессорной станции. На выработанную единицу мощности электрической энергии приходиться 1,2 единицу тепловой энергии, затраченную на подогрев газа. Поэтому, работающая ГТУ собственных нужд дает возможность реализовать когенеративную установку. Тепло уходящих газов ГТУ идет на подогрев газа перед турбодетандером, что дает рост к.п.д. установки до 36,6%. В случае отсутствия подогрева природного газа перед турбодетандером, наряду с понижением его мощности, приводит к понижению температуры на выходе из него ниже "точки росы". При этом возникает конденсация паров воды, которая содержится в природном газе, образование жидких пробок, выпадение опасных смолообразных гидратов и другие опасные эффекты в трубопроводах. При подогреве природного газа на входе турбодетандера до 100ОС его мощность возрастает на 36,6%. Рассматривать тепло выделяемое при сжатии газа магистрального нагнетателями представляется достаточно труднореализуемым ввиду невысокой температуры, больших объемов прокачиваемого газа, создания дополнительного гидравлического сопротивления по газопроводному тракту. В других условиях отбор тепла на подогрев газа перед турбодетандером вполне может быть реализован.

В России есть крупные магистральные газопроводы, многочисленные конечные потребители газа, заводы-производители необходимого турбодетандерного оборудования. Однако, по ряду причин, широкого внедрения турбодетандеров в энергетике пока не наблюдается.

Выполненные на кафедре ПТС МЭИ (ТУ) расчеты показали, что при расходе природного газа 1 тыс. нм3/ч, температуре газа на входе в турбодетандер 100 ОС, давлении газа перед и за турбодетандером 1,2 и 0,2 МПа соответственно и КПД турбодетандера 80% его мощность составляет примерно 50 кВт. Очевидно, что для получения более значимой мощности турбодетандера, например, 0,5 или 1 МВт, требуется, чтобы расход природного газа составлял 10 и 20 тыс. нм3/ч соответственно. С целью обеспечения надежности работы газопотребляющего оборудования конечных потребителей обычно рекомендуется пропускать через турбодетандеры не весь поступающий к потребителю газ, а только около 30% расхода, остальная часть расхода по-прежнему направляется к потребителю через дроссельные устройства ГРС и ГРП. Исходя из этого, номинальный расход природного газа к конечному потребителю для турбодетандера мощностью 0,5 МВт должен составлять примерно 33 тыс. нм3/ч, а для турбодетандера мощностью 1 МВт - около 66 тыс. нм3/ч.

Турбодетандеры установлены и работают на территории стран бывшего Советского Союза. Однако говорить о широком наступлении данных технологий пока рано. Так, например, в Республике Беларусь на Минской ТЭЦ-4, одной из самых экономичных станций в Беларуси, расход условного топлива 200 граммов на кВт*час. После монтажа и наладки двух турбодетандеров суммарной мощностью 5 МВт, расход условного топлива сократился и составил порядка 90-100 граммов на киловатт-час. Но такие экономичные режимы характерны при прохождения осенне-зимнего максимума. В ходе эксплуатации выяснилось, что при других режимах работы ТЭЦ регулирование давления в распределительных газопроводах предприятия затруднено. Турбодетандер выполняет задачи понижения и регулирования давления в распределительных газопроводах предприятия. Давление газа в газопроводе должно находиться в технологических пределах. При повышении давлении газа срабатывают защиты и блокировки оборудования, понижение давления - останов котлоагрегатов. Эффективное регулирование давления газа возможно при расходах газа от 0,5 до 1,0 от номинального. В технологических схемах газоснабжения предприятий предусмотрены основные и байпасные газопроводы, на различные расходы газа.

Турбодетандеры понижают давления газа, но при этом задача регулирования давления газа при различном расходе представляет собой определенную техническую задачу. Одно из решений - разработка и внедрение турбодетандеров малой мощности. Точно так же как и в случае с основными и байпасными газопроводами на газораспределительном пункте (ГРП) предприятия. Авторегулирование давления газа, подогрев газа перед турбодетандером - очевидно, что решение этих и других задач приводит к надстройке турбодетандера дополнительными агрегатами,

увеличивает стоимость комплектной турбодетандерной установки, усложняет ее эксплуатацию и в существенной степени снижает эффективность ее использования. Вместе с тем, вырабатываемая мощность невелика, стоимость агрегатов, напротив достаточно большая. Регулирование дроссельными клапанами давления газа на ГРП, ГРС представляется более удобной технологией, однако разработка новых, более успешных и маневренных установок неизбежно приведет к внедрению турбодетандеров в энергетике.

Список литературы

1.      Неклепаев Б.Н., Крючков И.П. Электрическая часть электростанций и подстанций: Справочные материалы для курсового и дипломного проектирования: Учебное пособие для вузов, М.: Энергоатомиздат, 1989. - 608 с.

.        Правила устройства электроустановок / Минэнерго СССР, - 6-е издание, - М.: Энергоатомиздат, 1985.

.        Электрооборудования объектов энергетики с учетом технического состояния / Иван. гос. энерг. ун-т. - Иваново, 2002. - 168 с.

.        Газотурбинные установки: Атлас конструкций и схем. - М.: Машиностроение, 1976.

.        Газотурбинные установки в нефтяной и газовой промышленности / И.П. Могильницкий и др. - М.: Недра, 1971. - 160 с.

.        Эксплуатационная надежность магистральных нефтепроводов. - М.: Недра, 1992. - 264 с.

.        Пчёлкин Ю.М. Камеры сгорания газотурбинных двигателей. - М.: Машиностроение.

.        Ревзин Б.С., Ларисов Н.Д. Газотурбинные установки с нагнетателями для транспорта газа. - М.: Недра, 1991.

.        Основы современной энергетики. Курс лекций для менеджеров энергетических компаний. Под общей редакцией чл.-корр. РАН Е.В. Аметистова. Москва, издательство МЭИ.

Приложения

Приложение 1

Таблица расчета эффективного количества электроприемников

n

Kи ср

m

PH

Формула для nэ

переменная

nэ=()2/

постоянная

nэ= n

переменная

nэ=n

переменная

nэ не опред.; Рм=КРнΣ; К=0,75 (повт.-кратковремен. режим) 0,9 (длительный); 1 (автоматический)

переменная

nэ=2/Pнб

переменная

nэ= nэ* n;

любая

nэ= n



Приложение 2

Таблица расчета Кисп в зависимости от эффективного n.

0,1

0,15

0,2

0,3

0,4

0,5

0,6

0,7

0,8

0,9

4

3,43

3,22

2,64

2,14

1,87

1,65

1,46

1,29

1,14

1,5

5

3,23

2,87

2,42

2

1,76

1,57

1,41

1,26

1,12

1,04

6

3,04

2,64

2,24

1,88

1,66

1,51

1,37

1,23

1,1

1,04

7

2,88

2,48

2,1

1,8

1,58

1,45

1,33

1,21

1,09

1,04

8

2,72

2,31

1,99

1,72

1,52

1,4

1,3

1,2

1,08

1,04

9

2,56

2,2

1,9

1,65

1,47

1,37

1,28

1,18

1,08

1,03

10

2,42

2,1

1,88

1,6

1,43

1,34

1,26

1,16

1,07

1,03

12

2,24

1,96

1,75

1,52

1,36

1,28

1,23

1,15

1,07

1,03

14

2,1

1,85

1,67

1,45

1,32

1,25

1,2

1,13

1,07

1,03

16

1,99

1,77

1,61

1,41

1,28

1,23

1,18

1,12

1,07

1,03

18

1.91

1.77

1,55

1,37

1,26

1,21

1,16

1,11

1,06

1,03

20

1,84

1,65

1,5

1,34

1,24

1,2

1,15

1,11

1,06

1,03

25

1,71

1,55

1,44

1,28

1,21

1,17

1,14

1,11

1,06

1,03



Приложение 3

ГОСТы

Выключатели, автоматы питания:

.        ГОСТ 14255-69

.        ГОСТ 15543.1-89.

.        ГОСТ 12.2.007.0-75,

.        ГОСТ 12.2.007.6-93,

.        ГОСТ 9098-93.

.        ТУ 3422-001-05832917-97.

.        ТУ 3422-001-05832917-97

ГОСТ по пунктам распределительным ПР85:

.        ГОСТ 22789-94

ГОСТ по кабельной продукции серии АВВГ:

1.  ГОСТ 16442-80

ГОСТ по трансформатору ТМГ1600 10/0,4:

.        ГОСТ9.014-78 8.2.5

.        ГОСТ14192-96 8.1.6

.        ГОСТ12.1.004-91 4.1; 7.2

.        ГОСТ14209-85 3.2.1.8

.        ГОСТ12.2.007.0-75 3.8.1; 4.1

.        ГОСТ15150-69 1.2; 1.3; 3.9.10; 8.3.2;

Похожие работы на - Модернизация серийной электростанции ПАЭС 2500 с установкой турбодетандера

 

Не нашли материал для своей работы?
Поможем написать уникальную работу
Без плагиата!
Без нейросетей!