Эффективность систем банковских безналичных расчетов

  • Вид работы:
    Дипломная (ВКР)
  • Предмет:
    Банковское дело
  • Язык:
    Русский
    ,
    Формат файла:
    MS Word
    350,75 Кб
  • Опубликовано:
    2015-05-15
Вы можете узнать стоимость помощи в написании студенческой работы.
Помощь в написании работы, которую точно примут!

Эффективность систем банковских безналичных расчетов

СОДЕРЖАНИЕ

ВВЕДЕНИЕ

1 Теоретические аспекты организации безналичных расчетов

1.1 Сущность и принципы организации безналичных денежных расчетов

1.2 Общая характеристика основных форм безналичных расчетов и платежных инструментов

1.3 Зарубежный опыт организации безналичных расчетов

2. АНАЛИЗ ДЕЙСТВУЮЩЕЙ СИСТЕМЫ БЕЗНАЛИЧНЫХ РАСЧЕТОВ В РЕСПУБЛИКЕ КАЗАХСТАН 2011-2013

.1 Организационно-экономическая характеристика АО "ВТБ Банк" и анализ его финансового состояния

2.2 Системы безналичных расчетов в Республике Казахстан и их анализ

.3 Анализ безналичных расчетов в АО «ВТБ Банк»

3. ОРГАНИЗАЦИЯ БЕЗНАЛИЧНЫХ РАСЧЕТОВ: ПРОБЛЕМЫ и РАЗВИТИЯ

3.1 Существующие проблемы организации безналичных платежей

.2 Совершенствование системы организации безналичных расчетов

ЗАКЛЮЧЕНИЕ

СПИСОК ИСПОЛЬЗОВАННОЙ ЛИТЕРАТУРЫ

ПРИЛОЖЕНИЯ

ВВЕДЕНИЕ

Актуальность темы. Эффективность систем банковских безналичных расчетов является одной из наиболее актуальных тем в современной экономике Казахстана.

В условиях динамично развивающихся рыночных отношений совершенствование форм безналичных расчетов, как одного из элементов платежной системы Казахстана стало объективной необходимостью. За годы преобразований в сфере денежного обращения произошли коренные изменения в отношениях между участниками расчетов (как физическими, так и юридическими лицами), изменился характер их взаимоотношений с банками, появились новые для казахстанской практики расчетные финансовые инструменты и механизмы.

В последнее десятилетие в связи с активацией и либерализацией финансовых рынков, произошла кардинальная переориентация взглядов финансистов в на организацию безналичных расчетов от элемента инфраструктуры, выполняющей чисто технические (механические) функции до базовой структуры экономики.

Безналичные расчеты являются главной составляющей всех денежных расчетов (в рыночной экономике - до 90%). Безналичные расчеты в качестве неотъемлемой части финансовой инфраструктуры рыночной экономики опосредуют основной объем реализации валового национального продукта.

Безналичные расчеты обслуживают экономические взаимосвязи. По объему операций безналичные расчеты достигли огромных масштабов. Так, в развитых странах сумма платежей за несколько дней эквивалентна размерам годового ВВП. Безналичные расчеты основываются на определенных принципах, и по характеристикам они должны быть своевременны, бесперебойны, надежны, безопасны и экономичны. От этого зависят нормальное осуществление платежей хозяйствующими субъектами, что в свою очередь отражается на их рентабельности и ликвидности, функционировании финансовых рынков, эффективности проведения денежно-кредитной политики. Расширение сферы применения безналичных расчетов за счет налично-денежного обращения сокращает трансакционные издержки, создает условия для более точного прогнозирования налично-денежного оборота, а также определения размеров эмиссии и изъятия наличных, денег из обращения.

Важно отметить, что состояние системы безналичных расчетов зависит во многом от экономического развития страны и конкретной экономической ситуации в стране. Обобщенными показателями, характеризующими состояние безналичных расчетов в стране, являются показатели дебиторской и кредиторской задолженности, оборачиваемость средств в расчетах. Возможна ситуация, когда наступает резкое ухудшение этих показателей, что может привести к кризису всей платежной системы.

В Казахстане развитие рыночных отношений привело к перестройке платежей и расчетов. С одной стороны, это выразилось во внедрении новых инструментов и форм безналичных расчетов (векселя, платежные карты и др.), с другой - развились кризисные тенденции, приведшие к расширению «зачетов», неплатежей и т.д.

Развитие рыночных отношений в экономике потребовало изменения основ системы безналичных расчетов, в том числе принципов их организации.

Изменения происходят и в функционировании банков: повышается самостоятельность и роль банков; изыскиваются пути роста эффективности банковского обслуживания, идет поиск оптимального разграничения сфер деятельности и функций, специализированных финансово-кредитных и банковских учреждений, постоянно вносятся изменения и дополнения в банковское законодательство в соответствии с задачами современного этапа развития.

В связи с вышесказанным, выбранная тема дипломной работы является актуальной, особенно в существующих рыночных условиях.

Целью дипломной работы является: на основе изучения теории и существующего механизма безналичных расчетов, используемого коммерческими банками, выявить складывающиеся тенденции и проблемы, определить возможные направления его совершенствования с целью повышения прибыльности банковских операций, ускорения расчетов, сокращению издержек обращения.

Для реализации поставленной цели сформулированы следующие задачи:

изучить теоретические основы организации безналичных расчетов;

раскрыть понятие и экономическое значение безналичных расчетов в современном денежном обороте;

рассмотреть современные виды, формы безналичных расчетов и условия их применения;

изучить организацию системы безналичных расчётов в Республике Казахстан;

проанализировать структуры и особенности функционирования национальных платежных систем ;

выявить основные направления развития и пути совершенствования безналичного платёжного оборота в банках второго уровня Республики Казахстан.

Объект исследования - система безналичных расчетов, применяемая в коммерческих банках Республики Казахстан (на примере АО"ВТБ Банк" г.Павлодар).

Предмет исследования - организация и механизм осуществления безналичных расчетов, совершаемых с применением платежных инструментов, в современных условиях.

Теоретической и методологической основой дипломной работы являются произведения классиков экономической науки, законодательные и нормативные акты Президента, Парламента и Правительства Казахстана, нормативные и инструктивные материалы Министерства финансов Республики Казахстан, труды зарубежных и ведущих казахстанских ученых экономистов А.К. Кошанова, К.А. Сагадиева, Я.А.Аубакирова, Г.С. Сейткасимова, Г.Д. Карагусовой, Н.К. Кучуковой, В. Д. Ли, К.О. Окаева, М.Т. Оспанова, К.К. Ильясова, Г. Явлинского, В.Д.Мельникова, А.А. Алимбаева, А.Д. Челекпая, Н.Н. Хамитова и др. по рассматриваемым вопросам, первичные отчетные данные, собранные и обработанные в ходе исследования. Были использованы методы комплексного анализа, экономико-статистическая обработка информации, сравнения, обобщения и др.

Методика исследования. Методологическую основу дипломной работы составляет комплекс научных методов познания: логико-теоретического, системно-структурного и функционального анализа.

Научная новизна заключается в следующем:

обобщено понятие безналичных расчетных отношений ученых финансистов по данной теме;

определены признаки и виды новых форм расчетов, осуществляемых с использованием электронных ресурсов;

на основе общетеоретических положений о безналичных расчетах выявлены проблемы организации безналичного оборота; сформулированы основные направления развития и обоснованы пути повышения эффективности систем банковских безналичных расчетов.

Теоретическая и практическая и значимость. Результаты работы могут быть использованы при дальнейшем развитии теоретических основ безналичных расчетов, возможно применение выводов банковскими учреждениями при разработке проектов внедрения новых платежных инструментов организации безналичных розничных расчетов, решении проблем выбора и внедрения платежных систем, а также, для повышения эффективности существующих и создаваемых систем банковских безналичных расчетов, разработаны рекомендации по преобразованию организационной структуры системы безналичных расчетов.

Структура дипломной работы. Дипломная работа состоит из введения, трех глав, заключения и списка использованной литературы.

1. ТЕОРЕТИЧЕСКИЕ АСПЕКТЫ ОРГАНИЗАЦИИ БЕЗНАЛИЧНЫХ РАСЧЕТОВ

1.1 Сущность и принципы организации безналичных денежных расчетов

Особую актуальность в рыночных условиях приобретают вопросы четкой организации денежных расчетов, поскольку денежная стадия кругооборота капитала играет огромную роль в деятельности экономических субъектов.

Переход к рыночным отношениям вызвал необходимость создания новой платежной системы, базирующейся на двухуровневой системе банков. Потребовались разделение и обособление денежных капиталов различных экономических субъектов, формирование самостоятельных коммерческих банков.

В организационных формах проведения денежных расчетов произошли качественные изменения вследствие возрастания экономической активности всех субъектов рынка, расширения числа и объемов сделок. Появилось огромное количество новых коммерческих структур, что сказалось на резком росте документооборота, связанного с обслуживанием платежной системы в целом. Перестройка платежной системы потребовала изменения принципов организации безналичных расчетов, использования новых форм и способов осуществления платежей.

Значение четко организованной системы безналичных расчетов многократно возрастает в условиях необходимости преодоления серьезного кризиса неплатежей, когда огромная взаимная задолженность, задержка платежей на каком-либо одном звене влияет на важнейшие показатели производственной и коммерческой деятельности .

Ежедневно любое предприятие осуществляет огромное количество расчетных операций со своими контрагентами, бюджетом, работниками, собственниками. Безусловно, доминирующую роль в расчетных операциях составляют расчеты: за приобретенные сырье и материалы и за проданную продукцию. В первом случае на предприятии имеет место отток денежных средств, во втором - их приток. В зависимости от формы расчетов между предприятием и его контрагентами потоки материальных ресурсов и соответствующие им потоки денежных средств чаще всего не совпадают во времени.

В соответствии с Гражданским кодексом РК платежи по территории Казахстана осуществляются путем наличных и безналичных расчетов. При наличных расчетах происходит передача денежных средств в форме банкнот и монет, а при безналичных - право на денежную сумму передается путем оформления соответствующих расчетных документов и проведения записей по счетам [1, стр. 36].

В настоящее время осуществление расчетов наличными денежными средствами ограничено. Гражданский кодекс устанавливает, что выбор наличной или безналичной формы расчетов напрямую связан с характером производимой операции, а также с правовым статусом участников. Расчеты юридических лиц, а также расчеты с участием граждан, связанные с осуществлением последними предпринимательской деятельности, по общему правилу, осуществляются в безналичном порядке. Без каких-либо ограничений наличными денежными средствами могут рассчитываться только физические лица и только по операциям, не связанным с осуществлением ими предпринимательской деятельности.

Безналичная форма расчетов связана с оформлением соответствующих документов единообразной формы и поэтому более трудоемка. Для обеспечения текущей деятельности организации расчеты по небольшим денежным суммам, в том числе и между юридическими лицами могут осуществляться наличными денежными средствами. С этой целью инструктивными документами Национального Банка Республики Казахстан устанавливаются предельные размеры расчетов наличными деньгами по одному платежу.

Безналичные расчеты - это расчеты, совершаемые путем перевода банками средств по счетам клиентов, на основе платежных документов, составленных по единым стандартам и правилам. Безналичные расчеты осуществляются через кредитные организации и Национальный банк РК по счетам, открытым на основании договоров банковского счета (субсчета), если иное не установлено законодательством и не обусловлено используемой формой расчетов .

Значение безналичных расчетов велико, так как: безналичные расчеты способствуют концентрации денежных ресурсов в банках. Временно свободные денежные средства предприятий, хранящиеся в банках, являются одним из источников кредитования; безналичные расчеты способствуют нормальному кругообороту средств в народном хозяйстве; четкое разграничение безналичного и наличного денежного оборотов создает условия, облегчающие планирование денежного обращения и безналичного денежного оборота. Расширение сферы безналичного оборота позволяет более точно определять размеры эмиссии и изъятия наличных денег из обращения.

С одной стороны, развитие безналичных расчетов приводит к сокращению потребности в наличных деньгах и к экономии издержек обращения. Чем крупнее платеж, тем сильнее проявляются эти преимущества. Однако, если сумма уплаты незначительна, то более экономичен взнос наличными. Установить точно грань, когда преимущества наличного платежа переходят в его недостатки, довольно трудно.

С другой стороны, безналичные расчеты могут заменять собой банкнотное обращение. Особое значение приобретают безналичные расчеты при попытках стабилизации валюты, так как они облегчают переход от «падающих» денег к золотому обращению (или к валюте, имеющей золотое обеспечение). Столь же значительно влияние безналичных расчетов на покупательную способность денег внутри страны. Когда безналичные расчеты получают общественное признание (например, развитая чековая система), тогда чрезмерное форсирование их, подобно чрезмерному выпуску банкнот, может действовать инфляционно. Поэтому развитие безналичного оборота должно подвергаться такому же регулированию, как и эмитирование банкнот.

Таким образом, можно сказать, что безналичные расчеты - совокупность безналичных денежно-кредитных операций в процессе реализации товаров и услуг, распределения и перераспределения национального дохода. Их назначение состоит в погашении денежных и кредитных обязательств юридических и физических лиц на основе функционирования денег как безналичного средства платежа.

Безналичные расчеты должны отвечать определенным требованиям, прежде всего, способствовать нормальному кругообороту средств, обеспечению бесперебойного хода реализации продукции. Одним из требований, предъявляемых к безналичным расчетам, является их своевременность. Предприятие-покупатель обязано своевременно оплатить поставленную ему в соответствии с договором продукцию (работы, услуги). Важным средством обеспечения своевременности расчетов является банковский кредит; он позволяет предприятиям преодолевать временные финансовые затруднения. Своевременность расчетов предотвращает отвлечение средств предприятий в просроченную дебиторскую задолженность. Безналичные расчеты должны быть организованы таким образом, чтобы существовал минимальный разрыв во времени между получением продукции покупателем и ее оплатой.

Выполнение банками функции безналичных расчетов связано, прежде всего, с концентрацией и хранением на банковских счетах свободных денежных средств хозяйства, государства и населения. Коммерческие банки открывают своим клиентам различные виды счетов: текущий, лицевой, депозитный, контокоррентный, ссудный и т.д.

В условиях коммерческого расчета и самофинансирования текущий счет является главным счетом в банке. С помощью этого счета производятся все денежные операции по оплате сырья, материалов, выплате заработной плате, взносам в бюджет, а также поступления денежной выручки от реализации товаров, работ и услуг.

Банковский счет - это способ отражения договорных отношений между банком и клиентом по приему депозита (вклада) и совершению банком операций, связанных с осуществлением банковского обслуживания клиента, предусмотренного договором, законодательством и применяемыми в банковской практике обычаями делового оборота.

Банковские счета могут открываться и вестись как в тенге, так и в иностранной валюте и подразделяются на текущие, сберегательные и корреспондентские счета [2, стр. 45].

Текущие и сберегательные счета - банковские счета физических и юридических лиц, обособленных подразделений юридических лиц (филиалов и представительств).

Корреспондентские счета - банковские счета банков и организаций, осуществляющих отдельные виды банковских операций.

При открытии текущего или корреспондентского счета по договору банковского счета банк обязуется принимать деньги, поступающие в пользу клиента, выполнять распоряжения клиента о переводе (выдаче) клиенту или третьим лицам соответствующих сумм денег и оказывать другие услуги, предусмотренные договором банковского счета.

Договор банковского счета должен содержать следующее:

предмет договора;

регистрационный номер налогоплательщика-клиента, указанный в документе, выданном органом налоговой службы, за исключением случаев, когда представление такого документа при открытии банковского счета не требуется;

порядок распоряжения деньгами, находящимися в банке;

условия оказания банком услуг и порядок их оплаты.

В договоре банковского счета могут быть предусмотрены иные условия, согласованные сторонами.

В договоре банковского счета должны также содержаться дополнительные требования, установленные законодательством.

Для открытия банковского счета клиенту необходимо представить:

для юридических лиц-резидентов Республики Казахстан и их обособленных подразделений (филиалов и представительств):

документ с образцами подписей и оттиска печати;

оригинал документа, выданный органом налоговой службы, подтверждающий факт постановки клиента на налоговый учет;

копию документа установленной формы, выданного уполномоченным органом, подтверждающего факт прохождения государственной регистрации (перерегистрации);

для филиалов и представительств - копия доверенности, выданная юридическим лицом-резидентом Республики Казахстан руководителю филиала или представительства;

нотариально удостоверенную копию устава (для обособленных подразделений - Положения) либо документа, подтверждающего факт деятельности клиента на основании типового устава;

для государственных учреждений, финансируемых из государственного бюджета - разрешение Министерства финансов Республики Казахстан;

В течение трех рабочих дней после открытия банковского счета юридическому лицу или физическому лицу, осуществляющему предпринимательскую деятельность без образования юридического лица, банки обязаны уведомить об этом соответствующие органы налоговой службы.

Платежи и переводы денег, осуществляемые через корреспондентский счет банка-нерезидента, открытый в уполномоченном банке, производятся только в безналичном порядке.

Выдача выписок по банковским счетам производится банками в соответствии с договором. Банк вправе предоставлять услуги по передаче (доставке) клиенту выписок по их счетам электронным способом либо нарочно, если это предусмотрено в договоре.

Приостановление расходных операций по банковским счетам или арест денег, находящихся на банковском счете, производится согласно законодательным актам Республики Казахстан на основании соответствующих решений (постановлений) уполномоченных органов, обладающих правом приостановления расходных операций на банковском счете или ареста денег клиента, находящихся на банковском счете.

Возобновление операций по банковским счетам производится на основании соответствующих письменных уведомлений уполномоченных органов об отмене решений (постановлений) о наложении ареста на деньги, находящиеся на банковском счете, или приостановлении расходных операций на банковском счете.

При недостаточности денег на банковском счете, к которому предъявлены решения (постановления) уполномоченных органов о наложении ареста, банк принимает к исполнению указанные решения (постановления) и приостанавливает расходные операции до накопления необходимой суммы, указанной в решении (постановлении) о наложении ареста.

При отсутствии денег на банковском счете, к которому предъявлены решения (постановления) уполномоченных органов о наложении ареста на деньги клиента, находящиеся на таком счете, банк не позднее трех рабочих дней после получения такого решения уведомляет соответствующие органы о невозможности его исполнения с указанием причин и запрашивает указанные органы о дальнейших действиях по исполнению решений (постановлений) о наложении ареста.

При поступлении в банк решений уполномоченных органов о приостановлении расходных операций на банковском счете, банк приостанавливает совершение расходных операций на таком счете.

Юридические лица, их филиалы или представительства представляют в банк документы с образцами первой и второй подписи (подписей) и оттиска печати, составленные на государственном и русском языках.

В документах с образцами подписей и оттиска печати, представляемых юридическими лицами, их филиалами или представительствами, правом первой подписи обладает руководитель и/или другие уполномоченные им лица. Право второй подписи предоставляется главному бухгалтеру и/или другим уполномоченным лицам.

Данные полномочия предоставляются на основании учредительных документов, либо приказов руководителей соответствующих юридических лиц, филиалов или представительств, либо иных документов, на основании которых предоставлены такие полномочия.

Данное требование не распространяется на юридических лиц-нерезидентов Республики Казахстан, их филиалов и представительств, у которых отсутствует печать вследствие специфики законодательства страны происхождения таких юридических лиц.

Запрещается принимать образцы оттиска печатей, предназначенных для специальных целей ("отдел кадров", "для пакета" и других).

Банк вправе требовать нотариального удостоверения подписей лиц, внесенных в документ с образцами подписей и оттиска печати. В населенных пунктах, где отсутствуют нотариусы, подписи лиц, внесенных в документ с образцами подписей и оттиска печати, удостоверяются местным органом исполнительной власти.

В случае временного предоставления клиентом права подписи другому лицу, оформляется временный документ с соответствующими образцами подписей [3, стр. 126].

В случае переименования юридического лица, утери или износа печати, банк вправе предоставить клиенту необходимый срок для изготовления новой печати. В период изготовления печати банком и клиентом устанавливается порядок оформления платежных документов без печати клиента, который должен быть указан в договоре.

Необходимое количество экземпляров документов с образцами подписей и оттиска печати, представляемых клиентом для открытия счета, определяется банком.

При этом один из экземпляров должен постоянно находиться у операционного работника банка, другой - в деле клиента банка. Остальные экземпляры хранятся в порядке, установленном внутренними правилами банка.

При замене хотя бы одного образца подписи либо оттиска печати, в банк представляется новый документ с образцами подписей и оттиска печати, удостоверенный в порядке, указанном в Инструкции.

Конкретное применение тех или иных документов определяется формой безналичных расчетов. Расчетные документы должны соответствовать требованиям установленных стандартов. Порядок их оформления регламентируется Постановлением Правления Национального банка Республики Казахстан от 25 апреля 2000 года N 179 «Об утверждении Правил использования платежных документов и осуществления безналичных платежей и переводов денег на территории Республики Казахстан» с изменениями и дополнениями по состоянию на 26.04.2013г., которое предусматривает единый документооборот в банках.При безналичных расчетах применяются формы, основанные на следующих основных расчетных документах: платежные поручения; платежные требования-поручения; чеки; аккредитивы. Безналичные расчеты могут быть также организованы с использованием векселя, и пластиковой карточки.

Помимо форм расчетов можно говорить о способах и видах платежа.

Выделяются следующие способы платежа:

перечисление денежных средств с расчетных и других счетов плательщиков на счета получателей;

зачет взаимных требований плательщиков и получателей (клиринг) с перечислением на соответствующие счета участников зачета лишь незачётной суммы;

гарантированный платеж получателя, который может осуществляться банков из средств специально созданного депозита плательщика, а также без такового.

По видам выделяются следующие платежи: полной суммой, частями, по сальдо взаимных требований.

Все расчетные документы вне зависимости от формы должны соответствовать требованиям установленных стандартов и содержать следующую информацию: наименование расчетного документа; номер расчетного документа, число, месяц, год его выписки; номер корреспондентского счета, и название банка плательщика; наименование плательщика и номер его расчетного счета в банке, а также его расчетный номер налогоплательщика (РНН); наименование получателя средств, номер его расчетного счета и РНН; наименование, номер корреспондентского счета и банк получателя; название платежа; сумму платежа, обозначенную цифрами и прописью; на первом экземпляре поручения - оттиск печати.

Расчетные документы принимаются к исполнению при подписей всех лиц, имеющих право подписи при совершении расчетно-денежных операций по счетам в банке. Расчетные документы по операциям предпринимателей, без образования юридического лица, принимаются к исполнению при наличии в них одной подписи, указанной в карточке, с образцами подписей, без оттиска печати. Расчетные документы принимаются к исполнению независимо от их суммы. Прием документов производится в дни и время работы банка с клиентами. При этом документы, принятые банком в течение операционного дня, проводятся в тот же день. За несвоевременное или неправильное списание средств со счета владельца, а также за несвоевременное или неправильное зачисление сумм, причитающихся клиенту, он, владелец счета, вправе потребовать от банка уплаты в пользу штрафа в размере 0,5% несвоевременно зачисленной и списанной суммы за каждый день задержки, если иное не предусмотрено договором между банком и владельцем счета. Расчетные документы предоставляются в необходимом количестве экземпляров для банка и всех участвующих в расчетах сторон.

Помарки и подчистки в расчетных документах не допускаются. Списание средств со счета плательщика производится на основании первого экземпляра документа или на основании документа, переданному по телефаксу. При использовании систем типа “клиент - банк” списание средств может происходить по электронной копии платежного документа.

Участниками платежной системы Казахстана являются нефинансовый сектор (предприятия, организации, фирмы), личный сектор и финансовый сектор (банки и другие кредитные учреждения) [4, стр. 115].

Нарушение договорных обязательств в части расчетов влекут применение гражданско-правовой ответственности в форме возмещения убытков, уплаты неустойки (штрафа, пени), а также иных мер ответственности.

Плательщики несут ответственность за осуществление платежей в установленные сроки; за задержку расчетов они уплачивают штраф в размере 0,04% за каждый день просрочки платежа. Важным требованием, предъявляемым к безналичным расчетам, является возможность осуществлять с их помощью контроль за соблюдением условий обязательств.

Значение банковского контроля определяется, прежде всего, тем, что он
носит предварительный характер и осуществляется в интересах сторон, участвующих в расчетах. Расчеты в экономике осуществляются в формах, устанавливаемых Национальным Банком Казахстана.

Правила предусматривают в процессе организации расчетов строгое соблюдение законов Республике Казахстан, содействие укреплению принципов коммерческого расчета и самофинансирования, ускорению платежей и оборачиваемости оборотных средств, укреплению расчетной и договорной дисциплины.

Положение о безналичных расчетах существенно изменяют и дополняют раннее действующее на территории страны Правило о безналичных расчетах. В частности отменена календарная очередность платежей и предоставлено право предприятиям, организациям и учреждениям по своему усмотрению определять очередность платежей. С банков снята ответственность за начисление и взыскание пени.

Положение предусматривает отмену расчетов платежными требованиями. Вместе с тем, учитывая традиционно сложившиеся отношения поставщиков и покупателей, банки, в соответствии с заключенными договорами, вправе принимать платежные требования, в том числе и с помещением их в картотеку, однако без учета по внебалансовому счету.

Положение предлагает банкам принимать платежные поручения плательщиков на перечисление средств только при наличии денег на их счетах и вносит изменения в порядок расчетов платежными требованиями- поручениями.

Систему безналичных расчетов можно представить как денежные расчеты путем записей по счетам в банках, когда деньги списываются со счета плательщика и зачисляются на счет получателя. Безналичные расчеты в хозяйстве организованы по определенной системе, под которой понимается совокупность принципов организации безналичных расчетов, требований, предъявляемых к их организации, определенных конкретными условиями хозяйствования, а также форм и способов расчетов и связанного с ним документооборота.

Развитие рыночных отношений в экономике потребовало изменения основ системы безналичных расчетов, в том числе принципов их организации.

Первый принцип - правовой режим осуществления расчетов и платежей обусловлен ролью платежной системы, как основного элемента любого современного общества. Сложность и важность расчетных взаимоотношений предопределяют необходимость установления единообразия посредством регулирования.

К правовой базе регулирования платежной системы Казахстана относятся законы и указы Республики Казахстан, основными из которых являются законы "О Национальном банке Республики Казахстан" и "О банках и банковской деятельности", принятые в соответствии с ними нормативные акты НБ РК, а также банковские правила.

Второй принцип организации расчетов осуществление расчетов по банковским счетам. Наличие последних как у получателя, так и плательщика необходимая предпосылка таких расчетов. Согласно основам гражданского законодательства, безналичные расчеты производятся юридическими лицами и гражданами через банк, в котором им открыт соответствующий счет. Для расчетного обслуживания между банком и клиентом заключается договор банковского счета. Клиенты вправе открывать необходимое количество расчетных, депозитных и иных счетов в любой валюте в банках с их согласия, если иное не установлено законом.

Третий принцип поддержание ликвидности на уровне, обеспечивающем бесперебойное осуществление платежей. Соблюдение этого принципа залог четкого безусловного выполнения обязательств. Все плательщики (предприятия, банки и т.п.) должны планировать поступления и списания средств со счетов, предусмотрительно изыскивать недостающие ресурсы (путем получения кредита или продажи активов) с целью своевременного выполнения долговых обязательств.

Четвертый принцип наличие акцепта (согласия) плательщика на платеж, реализуется применением соответствующего платежного инструмента (чека, простого векселя, платежного поручения), свидетельствующего о распоряжении владельца на списание средств, или специального акцепта документов, выписанных получателями средств (платежного требования-поручения, платежного требования, переводного векселя). Вместе с тем законодательством предусмотрены случаи бесспорного (без согласия плательщиков) списания средств: недоимок по налогам и другим обязательным платежам - на основании исполнительных листов, выданных судами, некоторых штрафов по распоряжениям взыскателей.

Пятый принцип срочности платежа вытекает из самой сути рыночной экономики, неотъемлемым условием которой является своевременное и полное выполнение платежных обязательств. Этот принцип означает осуществление расчетов, строго исходя из сроков, предусмотренных в хозяйственных, кредитных, страховых договорах, инструкциях Минфина РК, коллективных договорах с рабочими и служащими предприятий, организаций на выплату зарплаты или в контрактах, трудовых соглашениях, договорах подряда и т.д. Срочный платеж может совершаться: до начала торговой операции, т.е. до отенгерузки товаров поставщиком или оказания им услуг (авансовый платеж); немедленно после завершения торговой операции, например платежным поручением плательщика; через определенный срок после завершения торговой операции на условиях коммерческого кредита без оформления долгового обязательства или с письменным оформлением векселя.

Шестой принцип - контроль всех участников за правильностью совершения расчетов, соблюдением установленных положений о порядке их проведения, подразделяется на предварительный, текущий, последующий, внутренний и внешний. Большую роль в соблюдении данного принципа выполняет содержание статьи 19 «Представление финансовой отчетности», согласно Закона РК «О бухгалтерском учете и финансовой отчетности» от 28.02.2007г. №234-III с изменениями и дополнениями по состоянию на 26.12.2012г. Так, акционерные общества, банки и другие кредитные организации, страховые организации, биржи, инвестиционные и фонды, создающиеся за счет частных, общественных и государственных средств (взносов), обязаны публиковать годовую бухгалтерскую отчетность не позднее 31 марта , следующего за отчетным.

В международной практике именно обслуживание счетов клиентов и комиссии за дополнительные услуги приносят банку львиную долю доходов. Многие казахстанские банки в последнее время применяют подобную систему работы. Все больше получает развитие финансовый менеджмент клиента как система управления денежными потоками клиентов, позволяющая обеспечивать оптимальные финансовые решения как для банков (сбалансирование ликвидности и диверсификацию вложений), так и для клиента (финансовое обеспечение коммерческой деятельности и инвестирование высвобождающихся средств).

Седьмой принцип - имущественная ответственность за несоблюдение договорных условий - тесно связан с принципом взаимного контроля участников расчетов. Суть этого принципа заключается в том, что нарушения договорных обязательств в части расчетов влекут применение гражданско-правовой ответственности в форме возмещения убытков, уплаты неустойки (штрафа, пени), а также иных мер ответственности. Надлежащий контроль позволяет предотвратить неисполнение обязательств как своих, так и контрагентов, а если они не выполнены последними, практически полностью возместить причиненные убытки и тем самым ослабить негативные последствия [5, стр. 6].

Таким образом, соблюдение вышеперечисленных принципов является основой эффективной организации системы безналичных расчетов, которая способствует развитию рыночной экономики страны.

1.2 Общая характеристика основных форм безналичных расчетов и платежных инструментов

безналичный денежный платежный расчет

В соответствии с Правилами использования платежных документов и осуществления безналичных платежей и переводов денег на территории Республики Казахстан, утвержденными постановлением Правления Национального Банка Республики Казахстан от 25 апреля 2000 г. N 179 изменениями и дополнениями <#"867625.files/image001.gif"> 

Рисунок 1 - Структура европейского рынка платежных карт по видам проводимых расчетов

Примечание - составлено автором на основе европейского рынка

В Европе в обращении находятся более 300 млн карт. В среднем на одного совершеннолетнего жителя Европы приходится 1,1 карты. Однако в части распространенности карт по странам Европы наблюдается значительная дифференциация. Больше всего их в Великобритании - почти 2 карты на каждого совершеннолетнего. В Турции, Ирландии и Греции потенциал роста числа карт еще велик: здесь на одного совершеннолетнего жителя приходится менее 0,5 карты. Однако в последние годы этот показатель по Европе заметно выровнялся.

Исторически сложилось так, что в Великобритании, Ирландии и Греции велик удельный вес кредитных карт, а в Швейцарии и Швеции в основном распространены дебетовые карты. В целом же в европейских странах пре- обладают дебетовые карты - 53% всех платежных карт, на них приходятся 45% всех транзакций и 35% стоимости денежного оборота.

Более значительными для стран Европы являются различия в интенсивности использования карт. Выше всего эта интенсивность в Дании и Финляндии, где на одну карту в среднем приходится не меньше одной транзакции в неделю. На третьем месте по этому показателю Франция (по общему числу транзакций она занимает первое место в Европе). В Италии же на одну карту совершается в среднем всего около двух транзакций в год. Такой разброс отражает различия как в «зрелости» национальных платежных систем, так и в возможностях их дальнейшего развития.

На развитие национальных рынков платежных карт влияют и различия в использовании технологий обслуживания карт, так что ожидать появления некоторой общеевропейской концепции рынка платежных карт, на наш взгляд, пока преждевременно.

Различия между странами остаются значительными, и лишь немногие организации имеют сильные позиции более чем на одном рынке. Однако во всех европейских странах число карт быстро растет, а платежные системы усложняют инфраструктуру обработки транзакций и соответствующие технологии.

Прибыльность разных типов карт неодинакова, поэтому разные страны выбирают различные цели и приоритеты.

Преобладание дебетовых карт в Европе по сравнению с США дает основание ожидать, что в будущем различия между рынками США и Европы в отношении выбора типов карт и путей технического развития будут расти. Это будет означать, что между Европой и США сохранятся различия в ценовой политике, что может привести к столкновениям региональных интересов в международных платежных системах, таких, как Visa и Еurорау.

По мере совершенствования рынка значение кредитных организаций как основных эмитентов платежных карт уменьшается. С начала 90-х годов ХХ века на «карточном» рынке значительно обострилась конкуренция между крупнейшими небанковскими эмитентами платежных карт (American Express и Discover), с одной стороны, и банковскими ассоциациями (Visa и MasterCard) - с другой. Основной причиной укрепления позиций банковских карт на американском рынке стало ужесточение межбанковской конкуренции между эмитентами карт Visa и MasterCard, в рамках которой они уменьшали процентные ставки за кредит, снижали плату за обслуживание карт. Появление множества чрезвычайно привлекательных для картхолдеров банковских продуктов вызвало отток клиентов от небанковских эмитентов.

Экономика развитых стран в настоящее время перешла к инновационному типу развития, что отразилось и на технологиях проведения безналичных расчетов. Суть инновационных изменений в этой сфере можно свести к следующему:

«многоканальная деятельность» при сочетании новых и традиционных технологий и инструментов;

самообслуживание;

дистанционное обслуживание;

использование Интернета (виртуальные банковские и финансовые технологии управления банковским счетом);

создание телефонных центров;

предоставление новых банковских продуктов (услуг) на базе новых технологий.

Во многих развитых странах все больше операций проводится клиентами без посещения банка. Во Франции, например, прямую связь с банком имеют около 300 тысяч клиентов. В США все крупные банки предлагают своим клиентам обслуживание на дому.

Модернизация телекоммуникационных систем, используемых для осуществления дистанционного обслуживания банковских клиентов, обусловила появление новой концепции организации банковской деятельности Dialog banking, согласно которой моно- и многофункциональные информационные автоматы освобождают сотрудников от рутинной работы, а сами сотрудники ориентируются на контактное интеллектуальное обслуживание клиентов.

Создание зон самообслуживания позволяет резко снизить нагрузку на специалистов операционного зала банка и соответственно сократить количество исполнителей. Создаются и полностью автоматизированные филиалы, представляющие собой помещение, оснащенное специальным банковским оборудованием. Они могут располагаться в жилых зданиях, на территории магазинов, промышленных объектов, вокзалов и т.д. и оказывают услуги в автоматическом режиме 24 часа в сутки.

Исторически первой появилась система дистанционного банковского обслуживания с использованием телефонной связи. Возможность проводить операции через телефонную систему одним из первых предложил своим клиентам North Carolina National Bank, для чего был создан большой call-центр. В 1990 году ежедневное число обращений в систему составило около 200 тысяч На данный момент в США более 80% компаний используют в своей работе call-центры3. Однако, как полагают некоторые западные эксперты, рынок call-центров в США, Канаде, ряде стран Западной Европы и Азиатско-Тихоокеанского региона достиг стадии насыщения.

Банк создает собственный call-центр, если намерен решать с его помощью постоянные задачи. Но если планируется небольшая загрузка центра, решаются разовые или периодические задачи и, главное, нет средств, времени и специалистов для создания собственного call-центра, то эти задачи делегируются аутсорсинговому call-центру.

Банки часто применяют комбинированный подход, при котором обслуживание юридических лиц и VIP-клиентов выполняет собственный call-центр, а менее сложные задачи делегируются аутсорсинговому call-центру. Кроме того, если речь идет о службах, не допускающих сбоев в работе, к собственному банковскому call-центру необходимо присоединить резервный внешний центр.

Следующий этап развития банковских технологий в сфере безналичных расчетов - так называемый электронный банкинг - был пройден очень быстро. На его место пришел интернет-банкинг. Его внедрение в банковскую практику предопределило использование новых средств связи. В первую очередь это Интернет и мобильные телефонные сети, которые существенно расширили возможности клиентов, ведь для реализации их взаимодействия с банком тре-буются обычные html и wap-браузеры, которые установлены практически в каждом современном ноутбуке или мобильном телефоне.

В США для адаптации граждан к интернет-банкингу интернет-платежки оформляются в виде банковских чеков, сотни которых американцы ежемесячно заполняют и отправляют по почте на оплату коммунальных и иных услуг.

С помощью интернет-систем можно сделать то же самое, сэкономив при этом на покупке конвертов и марок, не тратя времени на поиски почтового ящика. В результате появления возможности оплачивать счета посредством online banking объем ежемесячных интернет-платежей может вырасти до нескольких миллиардов долларов.

Подобная практика уже применяется и в Казахстане, но пока не каждый банк может принять от клиента поручение на оплату коммунальных платежей, так как сначала он должен заключить договоры с обслуживающими организациями.

Упрощение процедуры оплаты коммунальных платежей способствовало бы развитию отечественного рынка интернет-услуг, поскольку клиент существенно сэкономит время, поручив банку автоматическое проведение регулярных платежей по определенному графику. Возможно проведение операции и в режиме «отложенного платежа», когда поручение клиента будет выполняться по мере поступления средств на его счет.

В США себестоимость одной транзакции в отделении банка составляет $1,07, при использовании банкомата - $0,27, а онлайновая транзакция в Интернете обходится банку в $0,012. В Казахстане же себестоимость отдельной транзакции будет выше, ведь объем онлайн-операций пока сравнительно невелик.

Согласно отчету известной рейтинговой и аналитической компании Fitch IBCA доля клиентов ряда крупнейших европейских банков, пользующихся интернет-банкингом, превышает 500 тысяч человек (10% от общего числа клиентов): Merita Norbanken (Финляндия/Швеция) - 1 млн человек (15%), SE Banken (Швеция) - 380 тысяч (25%), Deutsche Bank (Германия) - 650 тысяч (8%), Barclays (Великобритания) - 540 тысяч (4%), BSCH (Испания) - 500 тысяч (2%)3.

Наиболее активно банковские интернет-услуги развиты в северных странах - Финляндии, Норвегии, Швеции, где их оказывают приблизительно 90% банков и ими охвачено 20% клиентов. Согласно данным Шведской ассоциации банков, в этой стране услугами интернет-банкинга пользуются более 3 млн человек (почти 30% населения), что делает Швецию одним из мировых лидеров в развитии интернет-систем. Достаточно высокая для Европы степень интернетизации населения (60% домашних хозяйств пользуются сетью) привела к тому, что шведские банки одними из первых стали предлагать свои услуги через Интернет. Безусловным лидером интернет-банкинга в Швеции признан Skandia Banken, количество интернет-клиентов которого составляет 50% от их общего числа.

В банковском секторе Азиатско-Тихоокеанского региона зарегистрировано порядка 4 млн человек, управляющих собственными финансами через Интернет. Согласно данным Народного банка Китая более 50 отделений национальных банков предоставляют на своем веб-сайте услуги интернет-банкинга, которыми пользуются примерно 400 тысяч клиентов. Ведущим сетевым банком является Китайский торговый банк. Сайты 95% китайских компаний, предлагающих совершить покупку в режиме онлайн, подключены к системе интернет-расчетов этого банка.

В Японии в системе интернет-банкинга совершается уже более 90% финансовых операций. Японский лидер электронной промышленности - корпорация Sony занялась банковской деятельностью в Интернете и открыла в 2002 году собственный виртуальный банк, стремясь противопоставить себя традиционным банкам, где услуги оказывают медленно. Популярность нового виртуального финансового учреждения оказалась вне конкуренции. Только за первый час искомую страницу посетили 13 570 человек, причем 340 из них открыли в банке собственный счет, а за первый месяц работы интернет-банка корпорации Sony было открыто 21 тысяч счетов.

В Австралии зарегистрировано 1,37 млн пользователей банковских интернет-систем, или 18% от общего количества подключенных к Интернету.

Идея создания интернет-банка возникла в Америке. Именно там в 1995 году открылся первый виртуальный банк Security First Network Bank (на сегодняшний день он является одним из лучших банков такого рода). Одной из причин появления виртуальных банков стало существующее в США ограничение на открытие филиалов кредитных организаций в других штатах.

Сегодня системы банковского обслуживания через Интернет успешно работают не только в крупнейших западных банках, таких, как Citicorp, Bank of America, FirstUnion, но и в сотнях средних и мелких банков по всему миру. За счет экономии на издержках такие банки предлагают клиентам более выгодные условия, что является наиболее весомым аргументом для их перехода на интернет-обслуживание.

Интеграция кредитных учреждений в новую информационную экономику находит выражение в появлении новых бизнес-моделей и стратегий развития, используемых банками для достижения своих экономических целей.

Одной из последних новаций в области удаленного банковского обслуживания является мобильная система платежей, превращающая беспроводные телефоны в кошельки мобильной коммерции. Она разработана европейским объединением Mobey Forum (группой финансовых учреждений и производителей сотовых телефонов). Для банков при разработке платежных систем, рассчитанных на мобильных клиентов, предпочтительным является подход, основанный на создании кошелька в виде сервера. Это дает возможность проводить платежи на расстоянии. Подобная система подходит для массового рынка, она позволяет потребителю иметь возможность выбора, так как он не зависит от конкретного оператора или банка.

Все вышеизложенное позволяет мне сделать вывод, что внедрение инноваций в банковскую практику тесно связано с инновационными процессами в мировом финансовом секторе, что делает этот процесс неизбежным для всех банков в различных странах.

По моему мнению, будущее интернет-банкинга в Казахстане тесно связано с развитием розничного банковского обслуживания. Крупным клиентам важнее эксклюзивный, нестандартный сервис и персональное внимание, а уж затем интерактивность осуществления всех необходимых операций. Что же касается мелких и средних предприятий, предпринимателей и частных лиц, то обслуживание в системе интернет-банкинга более продуктивно, поскольку позволяет предоставить массовый высококачественный и недорогой сервис.

Проект в области интернет-банкинга должен обладать проработанной стратегией развертывания бизнеса. Я полагаю, что не всегда следует копировать западный опыт, прежде всего, необходимо изучить потребности казахстанских клиентов.

Анализ зарубежных банковских технологий проведения безналичных расчетов показал, что большая открытость для мирового рынка западных платежных систем оказала существенное влияние на развитие платежных систем в Казахстане. Большинство технологических новаций последних 10 лет отечественные банки заимствовали за рубежом (платежная карта, электронная межбанковская почта, валовые расчеты в реальном времени, банк-клиент, интернет-банк). Таким образом, казахстанские банки активно используют положительный опыт своих зарубежных коллег, адаптируя его к собственной практике, что способствует интеграции отечественной банковской системы в мировую экономику.

2. АНАЛИЗ ДЕЙСТВУЮЩЕЙ СИСТЕМЫ БЕЗНАЛИЧНЫХ РАСЧЕТОВ В РЕСПУБЛИКЕ КАЗАХСТАН 2011-2013

2.1 Организационно-экономическая характеристика АО"ВТБ Банк" и анализ его финансового состояния

АО "ВТБ Банк" - это банк группы ВТБ, его дочерние (доля ВТБ - более 50% голосующих акций/долей) кредитные и финансовые организации. Дочерние кредитные организации (банки) осуществляют банковские операции. Дочерние финансовые организации предоставляют услуги на рынке ценных бумаг, услуги по страхованию или иные услуги финансового характера. Управляющие компании пенсионных фондов, паевых инвестиционных фондов, лизинговые компании и иные организации осуществляют операции на рынке финансовых услуг.

Международная финансовая группа ВТБ, состоящая из ОАО Банк ВТБ и его дочерних компаний, предоставляет своим клиентам комплексное обслуживание в странах СНГ, Европы, Азии, Африки и США. На протяжении последних лет Группа сохраняет ведущие позиции на российском банковском рынке и является лидером в инвестиционном бизнесе. Основные направления деятельности группы ВТБ представлены двумя бизнес-линиями: корпоративно-инвестиционной и розничной.

Вместе дочерние банки и финансовые организации называются компаниями группы ВТБ. Группа ВТБ  <#"867625.files/image002.gif">

Рисунок 2 - Структура выданных кредитов Банка за 2012 год

Примечание - составлено автором по данным финансовой отчетности банка

Стоит отметить, что высокая доля остатков на счетах клиентов снижает стабильность ресурсной базы банка, увеличивает потребность в высоколиквидных активах, побуждает банк к усилению трансформации части краткосрочных ресурсов в более долгосрочные вложения и этим обостряет проблему ликвидности.

Далее рассмотрим динамику в структуре ОС и НМА. Здесь наблюдается отрицательная тенденция, Банк уменьшил свои основные средства и увеличил вложения в нематериальные активы. Однако, за 2012 год в структуре ОС произошел рост 11% или на 177811 тысяч тенге , НМА продемонстрировали рост в 2 раза или на 264458 тысяч тенге. Это связано с высоким ростом объёма работ на рынке пластиковых карт (была произведена закупка дополнительного оборудования, банкоматов), была произведена модернизация электронно-вычислительного оборудования. Прочие активы в 2012 году по сравнению с 2011 годом увеличились на 40 % или 149566 тысяч тенге.

В целом следует отметить, что динамика активов имела положительную направленность и, если в 2011 г. их величина составляла 62 470 550 тысяч тенге, то в 2012 г. - 96 588 827 тысяч тенге, что на 54,6% больше первоначального в анализируемом периоде (рисунок 3).

Рисунок 3 - Динамика темпов роста активов Банка

Примечание - составлено автором по данным баланса банка

Такой рост позволяет судить об активном развитии не только банковского сектора, но и всей экономики в целом, так как отражает спрос экономических субъектов на дополнительные ресурсы, обусловленный увеличением объемов их спроса. Динамика темпов прироста суммарных объемов активов позволяет определить те периоды, в которые активность банковских размещений была максимальна. Анализ данных позволил определить, что банковские активы возросли в 2012 году. При этом следует отметить, что основной причиной роста величины активов стало активное увеличение величины кредитного портфеля банков, что связано, в первую очередь, с ростом объемов потребительского кредитования. Проведенный анализ показал, что наибольший объем в активах банков принадлежит статье «Кредиты клиентам»: за 2012 год ее объем составил 80 830 443 тысяч тенге, что на 76% больше, чем в 2011 году. Известно, что основная доля в кредитном портфеле банка принадлежит кредитам, размещенным предприятиям нефинансового сектора экономики (более 90%).

Однако наибольшие темпы роста имел портфель кредитов, выданных физическим лицам (увеличение с 5 763 940 тысяч тенге за 2011 год до 18 192 674 тысяч тенге за 2012 г., или на 315,6%) [14, стр. 45].

В целом исследования по активам Банка позволили выявить следующие тенденции:

объем банковских активов растет, что позволяет положительно оценить развитие банковского сектора;

наибольшая доля в кредитном портфеле банков принадлежит кредитам, выданным юридическим лицам;

основная причина роста кредитного портфеля состоит в увеличении объемов потребительских кредитов;

доля мгновенно ликвидных активов банков снижается.

Как известно, пассивы банка делятся на собственные (капитал) и привлеченные средства. По видам источников финансирования привлеченные средства делятся на клиентскую базу («внутренний» источник), займы на межбанковском рынке («внешний» источник). Далее рассмотрим изменения в пассивах банка, и причины, повлиявшие на это.

Рост привлеченных средств банка связан с увеличением:

- вкладов клиентов в 2012 году по сравнению с 2011 годом - увеличение на 73%

прочих обязательств в 5 раз, по сравнению с 2012 годом к 2011 году- всего 15%. В прочие обязательства входят пассивы, не носящие текущего характера, такие как пенсионные и страховые фонды, резервы на покрытие сомнительных долгов, другие резервы, за исключением тех из них, которые включаются в собственные средства банка. В целом прочие обязательства не имеют характер обязательств, подверженных непредвиденным и резким колебаниям, и рассматриваются в качестве сравнительно стабильных.

Оценивая капитал Банка, рассмотрим Уставной капитал, величина которого составила 20 000 000 тысяч тенге в 2012 году, или по сравнению с 2010 годом рост составил 2000 %. Изменения в обращающихся, выпущенных и полностью оплаченных акциях представлены следующим образом (таблица 4).

Таблица 4

Изменения в Уставном капитале Банка

тысяч тенге

Показатели

Количество акций

Стоимость размещения

2010 год

900 000

9 000 000

Увеличение уставного капитала

-

-

2011 год

1 100 000

11 000 000

Увеличение уставного капитала

-

-

2012 год

2 000 000

20 000 000

П р и м е ч а н и е - составлено автором по данным баланса Банка


Все объявленные акции были выпущены и полностью оплачены действующим акционером по цене размещения 10 тысяч тенге за 1 акцию. В 2012 и 2011 годах дивиденды не объявлялись и не выплачивались.

В процессе анализа следует рассматривать источники пассивов банка с учетом следующих характеристик:

стабильность, т.е. степень «летучести», риска;

срочность и платность;

степень диверсификации пассивов, их отношение к внутренним и внешним источникам финансирования.

Срочность пассивов взаимосвязана с их платностью - чем больше срок, тем больше стоимость.

По срокам важно выделить обязательства до востребования и срочные. По платности - в порядке возрастания стоимости и бесплатные. По степени возрастания стабильности и стоимости ресурсы можно расположить в следующем порядке: средства на расчетных счетах (до востребования), остатки на «лоро» счетах, межбанковские займы, депозиты предприятий, сберегательные вклады граждан/

Для оценки качества пассивов могут быть использованы следующие коэффициенты.

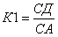
1.  Коэффициент клиентской базы, client base ratio (CBR)

 (1)

Где, CLB - абсолютная величина клиентской базы (КБ) - средства клиентов (юридических и физических лиц) на счетах до востребования, а также депозиты, векселя, облигации юридических лиц, депозиты физических лиц, Anet - чистые активы.=73991585/ 96 588 827= 0,7

Данный коэффициент показывает долю клиентских пассивов банка, характеризуя независимость банка от «внешних» источников финансирования - межбанковских и бюджетных средств. Нормативное значение коэффициента клиентской базы 0.5-0.6. Если уровень меньше 0.4, банк недостаточно развит.

Рассчитанное значение данного коэффициента говорит о том, что банк недоиспользует возможности роста валюты баланса за счет других операций, главным образом на межбанковском рынке. Клиентская база представляет основной источник «внутреннего» финансирования, являясь условно постоянным источником ресурсов. Ее величина подвержена изменениям по причинам статистического, экономического и финансового характера - вариации числа клиентов и остатков на их счетах, состояния экономики, спроса на валюту, ценные бумаги, инвестиции и т.д [15, стр. 48].

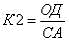
. Коэффициент достаточности капитала, (CA - capital adequacy, международный стандарт), известен как коэффициент Кука:

 (2)

где, E (equity) - капитал или собственные средства - включает уставный капитал, добавочный капитал, фонды за вычетом выкупленных собственных акций, нераспределенную прибыль {сальдо переоценки валюты, ценных бумаг и драгоценных металлов вместе с доходами за вычетом расходов, убытков и использования прибыли}, часть резервов на покрытие потерь (1 группа), за вычетом «невозвратов» - просроченных ссуд - и неоплаченных в срок векселей и невзысканных гарантий.=17 111 210 / 96 588 827= 0,2

Данный показатель дает представление о достаточности обеспечения рисковых вложений банка его собственными средствами. Капитал банка является относительно стабильной частью ресурсов. При оценке реальности капитала, в первую очередь уставного фонда, следует обратить внимание на долю капитала в валюте баланса. Как правило, реальный капитал редко превышает 20% активов банка. В Банке его капитал - менее 10% от чистых активов, его величина недостаточна, что может говорить о рискованности финансовой политики, также это факт того, что либо банк проводит осторожную политику, имеет потенциал развития за счет привлечения дополнительных ресурсов и увеличения валюты баланса, либо имеет проблемы с продуктовым рядом и привлечением клиентов. В целом исследования по пассивам Банка позволили выявить следующие тенденции:

на протяжении анализируемого периода наблюдается отрицательная тенденция в изменениях пассивов (раздел обязательства), также снизился абсолютный показатель собственного капитала с 17597974 тысяч тенге до 17111210 тысяч тенге, или на 3% , что позволяет предположить, что в банке возникли некоторые проблемы в части формирования ресурсной базы: банк снижает активность на рынке.

Большую долю в пассивах занимает привлеченный капитал - 82%, что определено сущностью банка и его ролью на рынке. При этом в динамике доля привлеченного капитала растет на 177% , а собственного, соответственно, падает - 97%, что в дальнейшем может привести к проблемам с достаточностью собственного капитала.

вместе с тем следует отметить, с 6 сентября 2013 года было введено Постановление о введении в действие динамических провизий, а с 1 октября банки начали отчитываться по новым требованиям. Таким образом, в финансовой отчетности банка появилась статья Динамические резервы. Банком были созданы динамические резервы в размере 970 782 тысяч тенге.

Данное нововведение, то есть создание динамических резервов, необходимо прежде всего для недопущения резкого роста специальных резервов в периоды экономического спада, то есть для недопущения краха банков в кризисные периоды. С другой стороны, данные резервы давят на достаточность капитала, тем самым увеличивают ответственность акционеров. Динамические резервы не позволят проводить резкий рост активов без увеличения капитала. В итоге снизится рентабельность капитала.

Как известно, анализ результатов банковской деятельности начинается с анализа доходов и расходов, а заканчивается исследованием прибыли.

Ниже представлены данные по динамике показателей Отчета о совокупном доходе Банка (таблица 5).

Таблица 5

Динамика основных показателей доходов и расходов Банка за 2011-2013 годы

тысяч тенге

Показатели

2012

2011

2013

2012 в % к 2011

1

2

3

4

5

Процентный доход





Кредиты клиентам

8135880

2650723

3439483

в 3р.

Средства в кредитных учрежд.

13270

20453

18004

64,9

Инвестиционные ЦБ

33114

-

-


Торговые ЦБ

65954

135004

9614

48,9

Итого процентный доход

8248218

2806180

3467101

в 3р.

Процентный расход





Средства кред.учрежд.

-420327

-19338

-129258

в 21,7р.

Средства клиентов

-1668428

-679590

-1025373

в 2,5р.

Выпущенные долговые ЦБ

-868008

-284104

-227734

в 3,1р.

Итого процентный расход

-2956763

-983032

-1382365

в 3р.

Чистый проц.доход с учетом формирования резервов

4057230

1400472

1171129

в 3р.

ЧД в виде комиссионных и сборов

1005406

375870

619412

в 2,8р.

ЧД по операциям с ЦБ

3869

-56562

-1452

-117,2

ЧД по операциям с валютой:





торговые операции

520294

198618

415935

в 2,6р.

курсовые разницы

-23102

-19714

42532


Прочий доход

15316

14280

89174

107,3

Итого непроцентный доход

1521783

512492

1029993

в 3р.

Непроцентные расходы

Расходы на персонал

-2217865

-3169793

-1295448

70,0

Прочие операционные расходы

-1570331

-2337012

67,0

Износ и амортизация

-222034

-409001

-136087

54,0

Налоги

-126902

-153724

-12177

82,0

Прочие расходы

-13226

-83706

-639832

15,0

Итого Непроцентные расходы

-4150358

-6153236

-2083544

67,0

Убыток до льготы по КПН

-574223

-2237664

-78621

25,6

Чистый убыток за год

-486764

-1807187

-5678

27,0

Итого совокупный убыток за год

-486764

-1807187

-5678

27,0

П р и м е ч а н и е - составлено автором по данным отчета о совокупном доходе Банка

Данные таблицы 5 показывают, что доходы банка являются нестабильными по годам. В 2011 году величина процентных доходов составляла более 2,8 миллиардов тенге, в 2012 году она возросла до 8,2 миллиардов тенге и в 2013 году сумма таких доходов снизилась до почти 3,5 миллиардов тенге. Что касается непроцентных доходов, то они снижаются по годам. Так, с 5,1 миллиардов тенге в 2011 году они уменьшились до 1,5 миллиардов тенге в 2012 году и до 1 миллиардов тенге в 2013 году.

Процентные расходы также являются нестабильными по годам. Они то возрастают, то снижаются. В 2013 году их размер составлял 1382 миллионов тенге. Непроцентные расходы уменьшаются по годам. В 2013 году они снизились до 2083 миллионов тенге или на более чем 3,5 миллиардов тенге по сравнению с 2011 годом/

Перейдем непосредственно к анализу доходов Банка. Для этого составим таблицу 6.

Таблица 6

Состав и структура доходов Банка

тысяч тенге

Показатели

2012

2011

Абс.откл.

Относ. откл

1

2

3

4

5

Процентный доход





Кредиты клиентам

8135880

2650723

5485157

в 3 раза

Средства в кредитных учреждениях

13270

20453

-7183

64,9

Инвестиционные ЦБ

33114

-



Торговые ЦБ

65954

135004

-69050

48,9

Итого процентный доход

8248218

2806180

5442038

в 2,9 раза

Непроцентный доход





ЧД в виде комисс и сборов

1005406

375870

629536

в 2,6 раз

ЧД по операциям с ЦБ

3869

-56562

60431


ЧД по операциям с валютой:





-торговые операции

520294

198618

321676

в 2,6 раз

-курсовые разницы

-23102

-19714

-3388


Прочий доход

15316

14280

1036

107,3

Итого непроцентный доход

1521783

512492

1009291

в 2,9 раза

Итого доход

9770001

3318672

6451329

в 2.4 раза

П р и м е ч а н и е - составлено автором по данным отчета о совокупном доходе Банка


Как видно, процентные доходы составляют большую долю в структуре совокупных доходов, а их темпы роста ритмичные. К 2012 году величина процентного дохода немного больше непроцентного дохода, а именно в 5 раз, это наглядно можно увидеть на рисунке 4.

Рисунок 4 -Динамика роста доходов Банка

Примечание - составлено автором по данным отчета о доходе банка

При анализе динамики каждого из двух видов доходов необходимо рассчитать коэффициент опережения (Ко), который рассчитывается как:

 (3)

где ТРод - темп роста процентных доходов, ТРнд - темп роста непроцентных доходов.

Ко= 8 135 880/1 521 783 = 5,4

Рассчитанное нами значение больше 1, что свидетельствует об эффективной политике управления активно-пассивными операциями.

Теперь проанализируем процентные доходы Банка.

В состав процентного дохода банка входят:

кредиты клиентам - 98,6%

средства в кредитных учреждениях - 0,16%

инвестиционные ценные бумаги - 0,40%

торговые ценные бумаги - 0,80%

Выше изложенные данные более наглядно демонстрирует рисунок 5.

Рисунок 5 - Состав процентного дохода Банка

Примечание - составлено автором по данным отчета о совокупном доходе банка

За 2012 год процентные доходы Банка в абсолютном выражении составили 8 248 218 тысяч тенге, рост по сравнению с 2011 годом составил 193%, что несомненно является положительной тенденцией.

Рассматривая процентный доход от кредитной деятельности Банк добился повышения его почти в 3 раза (306%) и составил 8 135 880 тысяч тенге за счет увеличения общей суммы кредитных средств, направленных в ссуды, снижения удельного и абсолютного веса просроченных кредитов, положительной диверсификации кредитного портфеля, направляя денежные средства в более надежные, хотя, может быть, и менее прибыльные области кредитования. Таким образом, данная статья оказала максимальное воздействие на рост процентного дохода в целом.

Темп роста процентного дохода Банка можно увидеть на рисунке 6.

Рисунок 6 - Динамика процентного дохода Банка

Примечание - составлено автором по данным отчета о совокупном доходе банка

Далее перейдем к анализу непроцентных доходов, что позволит определить, насколько эффективно Банк использует не кредитные источники получения доходов. Начнем с рассмотрения таблицы состава и структуры непроцентного дохода/

Таблица 7

Состав непроцентного дохода Банка

тысяч тенге

Непроцентный доход

2012

2011

Абс.откл.

Относ. откл

ЧД в виде комиссионных и сборов

1005406

375870

629536

в 2,6 раз

ЧД по операциям с ЦБ

3869

-56562

60431

-

ЧД по операциям с валютой:





торговые операции

520294

198618

321676

в 2,6 раз

курсовые разницы

-23102

-19714

-3388

117,2

Прочий доход

15316

14280

1036

107,0

Итого непроцентный доход

1521783

512492

1009291

в 2,9 раза

П р и м е ч а н и е - составлено автором по данным отчета о совокупном доходе Банка


Как видно, наибольший удельный вес в составе непроцентного дохода Банка занимает статья «Чистый Доход» в виде комиссионных и сборов. Это можно наглядно увидеть на рисунке 7, представленном ниже.

Рисунок 7- Состав непроцентного дохода Банка

Примечание - составлено автором по данным отчета о совокупном доходе банка

Удельный вес каждой статьи в относительном выражении в общей сумме непроцентного дохода выглядит следующим образом:

ЧД в виде комиссионных сборов- 66%

ЧД по операциям с торговыми ценными бумагами - 0,25%

ЧД по операциям с иностранной валютой -34,1%

Прочий доход - 1%

значительное увеличение доли комиссионных доходов с 375 870 тысяч тенге в 2011 году до 1005 406 тысяч тенге в 2012 году и в относительном выражении рост составил 167%. Считается, чем больше финансовое учреждение зарабатывает на комиссии, тем более стабильна его работа. Объясняется это тем, что зачастую комиссия не связана с рисковыми операциями.

В структуре Комиссионных доходов за 2012 год наибольшую долю занимает доход от переводных операций и занимает 25,9%. Как видно из данных таблицы, в структуре Комиссионных доходов за 2012 год наибольшую долю занимает доход от переводных операций и занимает 25,9%.

Для более полного представления о комиссионных сборах, ниже приведена таблица 8.

Таблица 8

Состав комиссионных сборов

тысяч тенге

Комиссионные сборы

2012

2011

Абс.изм

Относ.откл.

Уд.вес в общем доходе,%

Переводные операции

261012

85398

175614

305,6

25%

гарантии выданные

256042

140074

115968

182,8

25%

Кассовые операции

235445

58539

176906

402,2

23%

Операции с ин.валютой

190962

62717

128245

304,5

18 %

выданные аккредитивы

52937

18842

34095

281,0

5 %

Расчетные операции

10325

2143

8182

481,8

1%

Консультационные услуги

-

19867

-

-


Прочее

43163

13284

29879

324,9

4%

Итого Чистый доход в виде комиссионных сборов

1005406

375870

629536

267,5

100%

П р и м е ч а н и е - составлено автором по данным отчета о совокупном доходе Банка


Таким образом, в ходе проведенного анализа непроцентного дохода Банка были выявлены следующие тенденции.

В 2012 году банком были получены доход по операциям с ценными бумагами в размере 3 869 тысяч тенге или 0,25% от общего размера полученных непроцентных доходов, однако в 2011 году были получены убытки в размере -56562 тысяч тенге.

Другая ситуация складывается по доходам полученным от операций с иностранной валютой, в 2011 году доход составил 178 904 тысяч тенге или 35%, а в 2012 году величина непроцентного дохода значительно возросла и банком был получен доход в размере 520 294 тысяч тенге или 32,6% от общей величины непроцентного дохода.

В качестве положительного момента можно отметить рост в динамике прочих доходов, в 2011 году их величина составила 14280 тысяч тенге, в 2012 году размер прочих доходов увеличился на 7% и составил 15 316 тысяч тенге.

В процессе анализа также рассчитаны показатели, характеризующие качество доходов банка:

 (4)

где СД - совокупные доходы банка, СА - совокупные активы банка.

Коэффициент характеризует сумму доходов, приходящихся на 1 тенге средних остатков по активам, и указывает, насколько эффективно осуществляются активные операции.

К(2012)= (8 135 880+1 521 783) / 96 588 827 = 0,09

К(2011) = (2650723 +512492) / 62 470 550 = 0,05

Хотя данный показатель в 2012 году вырос по сравнению с 2011, что говорит об увеличении осуществления активных операций Банком, однако его значение остается на низком уровне и не доходит до 1.

Рассчитаем следующий коэффициент:

 (5)

где ОД - операционные доходы банка, СА - совокупные активы банка.

К 2 (2012 год)= 8 135 880 / 96 588 827 = 0,08

Данный показатель характеризует сумму операционных доходов, приходящихся на 1 тенге средних остатков по активам.

К 2 (2011 год)= 2 650 723/62 470 550 = 0,04

Видно, что демонстрируется увеличение показателя в динамике, что несомненно является положительным моментом в деятельности банка, так как свидетельствует либо об увеличении доли операций, относящихся к основному виду деятельности, либо об увеличении цены на эти операции.

В ходе проведенного анализа доходов Банка можно сделать следующие выводы:

высокая доля процентных доходов говорит о высокой конкурентоспособности банка и его активности на рынке.

основным фактором в 2012 году, определившим рост прибыли Банка является беспроцентный доход, что отрицательно характеризует деятельность Банка.

Поскольку основной деятельностью любого банка является деятельность по привлечению и предоставление средств кредитования, тогда как операции по операции на валютном рынке являются вторичными и их значительный удельный вес определяет повышенный риск банковской деятельности и может отражать отрицательные тенденции развития данного Банка.

в целом наблюдается положительная динамика роста доходов Банка с 3318672 тысяч тенге в 2011 году до 9770001 тысяч тенге в 2012, таким образом рост составил 194%.

Состав расходов Банка рассмотрим в таблице 9.

Таблица 9

Состав расходов Банка

тысяч тенге

Показатели

2012

2011

Абс.изм

Относ. изм,%

Процентный расход





Средства кред.учрежд.

-420327

-19338

-400989

217, в 2 раза

средства клиентов

-1668428

-679590

-988838

24

Выпущенные долговые ЦБ

-868008

-284104

-583904

305, в 3 раза

Итого процентный расход

-2956763

-983032

-1973731

300

Непроцентные расходы





Расходы на персонал

-2217865

-3169793

-951928

70,0

Прочие операционные расходы

-1570331

-2337012

-766681

67,2

Износ и амортизация

-222034

-409001

-186967

54,3

Налоги

-126902

-153724

-26822

82,6

Прочие расходы

-13226

-83706

-70480

15,8

Итого Непроцентные расходы

-4150358

-6153236

-2002878

67,5

Итого расходы Банка

-7107121

-7136268

29147

9,9

П р и м е ч а н и е - составлено автором по данным отчета о совокупном доходе Банка


Так, в 2012 году наметилась положительная тенденция, так как убытки по расходам Банка уменьшились по сравнению с 2011 годом и составили -7107121 тысяч тенге (в 2011 году -7136268 тысяч тенге), это наглядно демонстрируется в таблице 9.

Аналогично рассмотрению доходов, анализ расходов начнем с рассмотрения процентного расхода Банка.

Ниже представлены данные о составе процентных расходов Банка.

Таблица 10

Состав процентных расходов

тысяч тенге

2012

2011

Абс. Изм, +/-

Относ.изм, %

Процентный расход



Средства кред.учрежд.

-420327

-19338

-400989

в 21,7р.

средства клиентов

-1668428

-679590

-988838

в 2,4р.

Выпущенные долговые ЦБ

-868008

-284104

-583904

в 3,0р.

Итого процентный расход

-2956763

-983032

-1973731

в 3,0р

П р и м е ч а н и е - составлено автором по данным отчета о совокупном доходе Банка

За рассматриваемый период произошло снижение процентных расходов, это отражает неблагоприятное состояние конъюнктуры рынка, на котором банк привлекает ресурсы, либо может свидетельствовать об ухудшении менеджмента в банке, эта ситуация более наглядно демонстрируется рисунком 8.

Рисунок 8 - Структура процентного расхода

Примечание - составлено автором по данным отчета о совокупном доходе банка

Анализируя изменения, произошедшие в процентных расходах Банка, нельзя не отметить, что процентные расходы обычно занимают большую часть в общих расходах Банка, так как они непосредственно связаны с деятельностью банка. Однако, в нашем случае, наибольшую долю в общих расходах занимают непроцентные расходы - 86,5%.

Уменьшение величины непроцентных расходов является негативным моментом. Это говорит о недостаточно эффективной системе управления валютными операциями, Банк мог столкнуться с отрицательными последствиями в результате конъюнктурных изменений на валютных рынках.

Как видно выше, значительную долю в непроцентных расходах Банка занимают Расходы на персонал и составляют 31%, тогда как остальные статьи:

прочие операционные расходы- 32,8%

износ и амортизация - 5,7%

налоги- 2,1%

прочие расходы - 1,2%

Далее, рассмотрим состав непроцентных расходов Банка, который представлен в рисунке 9.

Рисунок 9 - Непроцентные расходы Банка

Примечание - составлено автором по данным отчета о совокупном доходе банка

Особое внимание заслуживает анализ таких групп статей, как расходы, связанные с обеспечением функционирования банка (административно-хозяйственные). Такие расходы, с одной стороны, прогнозируемы, что позволяет планировать их величину в перспективе. Но, с другой стороны, следует учитывать, что доля этих расходов в сумме доходов банка не должна превышать 60%. Административные расходы Банка изменились с - 2217865 до -3169793 тысяч тенге, что в относительном выражении на 70%. Доля расходов в общем удельном весе не превышает 50%.

Также необходимо отметить, что заметно увеличились отчисления в резерв под обесценение кредитного портфеля, рост значение показателя на 2012 год составил 1662 022 тысяч тенге, рост в относительном выражении составил 289% [16, стр. 31].

Таким образом, в значительной степени на величину расходов Банка повлияли следующие статьи - «процентные расходы» и статья «расходы на персонал» в составе непроцентных расходов.

В результате проведенного анализа доходов и расходов Банка можно отметить следующие моменты:

Банк продемонстрировал рост процентного дохода на 293% и непроцентного дохода более чем в 3 раза ;

банк имеет операционную прибыль, но вместе с тем и валовой убыток из-за превышающего размера непроцентных расходов, что отрицательно характеризует деятельность Банка;

темпы роста расходов свидетельствуют либо о том, что Банк привлекает более долгосрочные ресурсы в течение анализируемого периода, и размещает их в краткосрочные активы, либо о том, что Банк покупает денежные ресурсы по высокой цене, а размещает их по цене ниже, обе ситуации приводят к снижению прибыли Банка.

И в заключение, рассмотрим изменения в величине полученной прибыли за анализируемый период.

Известно, что прибыль является основным внутренним источником формирования финансовых ресурсов банка, позволяющим решать такие важные задачи, как наращивание собственного капитала, пополнение резервных фондов, финансирование капитальных вложений, поддержание имиджа, платежеспособности и других важных условий и характеристик функционирования и развития банка.

Прибыль определяется как разница между полученными доходами и понесенными расходами.

Итоговый результат Банка, в нашем случае - Убыток. В 2011 году Убыток составлял - 1807187 тысяч тенге, а в 2012 году составил -486764 тысяч тенге, что несомненно является положительной динамикой.

По непосредственно основной деятельности Банка был получен доход в размере 8 135 миллиардов тенге, в сравнении с 2 650 миллиардов тенге в 2011 году, что позволило уменьшить убыток в 2012 году по сравнению с 2011 почти в 4 раза [17, стр. 48].

Таким образом, на уменьшение убытка Банка наибольшее влияние оказал рост процентных доходов. Для оценки эффективности прибыль банка соотносится с соответствующими показателями - чистыми активами, капиталом и т.д. При этом следует учесть период накопления прибыли. Расчеты показывают, насколько эффективно банк управляет ресурсами (привлечением и размещением).

Для расчета коэффициентов ниже приведены необходимые данные:

Таблица 11

Коэффициенты достаточности капитала Банка

тысяч тенге

Показатели

2012

2011

Капитал 1- го уровня

16496753

17 576 226

Итого активов

96603223

64470550

Норматив достаточности капитала 1-го уровня

17%

28%

Капитал 2-го уровня

16496753

17 576 226

Активы взвешенные с учетом риска

95772717

57086128

Норматив достаточности капитала 2-г уровня

17%

31%

П р и м е ч а н и е - составлено автором по данным баланса Банка


Прибыльность активов (ROA) является одним из основных коэффициентов, позволяющих дать количественную оценку рентабельности банка. Прибыльность активов характеризует способность активов банка приносить прибыль и косвенно отражает их качество, а также эффективность управления банка своими активами и пассивами. Коэффициент практически указывает на эффективность использования менеджментом компании ее активов для получения прибыли.

= Чистая прибыль / Средняя стоимость активов (5)

(2012) = -0,05%(2011) = -0,2%

Значения коэффициентов отрицательные, так как Банк убыточен в течении анализируемого периода.

Далее рассмотрим следующий показатель - Коэффициент доходности акционерного капитала ROE. Он позволяет определить эффективность и целесообразность ведения бизнеса. Иными словами это показатель характеризующий, насколько эффективно использовались средства собственников в течение года, т.е. это измеритель доходности для акционеров банка.

= Чистая прибыль / Собственный капитал (6)

Данный показатель устанавливает приблизительный размер чистой прибыли, получаемой акционерами от инвестирования своего капитала.(2012) = -486764/ 17111210 = -0,028 %(2011) = -1807187/ 17597794 = -0,1%

Рассчитанные значения отрицательные, что характеризует низкую эффективность управления затратами.

Таким образом, рассчитанные коэффициенты показали, что Банку необходимо наращивать свой потенциал, предпринимать меры по выходу из убыточного положения [19, стр. 25].

Проведенный анализ позволил выделить ряд направлений, формирующих стратегию Банка на ближайшую перспективу.

В этой связи необходимо обозначить роль и значение банка прежде всего в банковской системе России. Так Банк ВТБ довольно узнаваемый и пользующийся доверием бренд в России, в результате 20-летней деятельности на российскими и зарубежными банками бренд ВТБ приобрел известность доверие. Так, России в 73 из 83 российских регионов по состоянию на начало 2010г. по всем основным параметрам Группа ВТБ занимает второе место после Сбербанка, опередив Русский Стандарт и Альфа-банк. В соответствии с рейтингом ВТБ вошел в Топ-100 самых дорогих банковских брендов мира (1,8 миллиардов долларов, 83 место) [20, стр. 45].

Однако в РК данный Банк не так популярен как в России. Это обуславливается, тем что, в нашей стране достаточно развита сеть коммерческих банков, имеющих определенные конкурентные преимущества перед Российскими Банками. В стране не так много компаний, отдающих предпочтения сотрудничеству с ВТБ, например, по зарплатным проектам, в связи с тем, что национальная сеть банков может предложить абсолютно равные условия по тем или иным проектам. С ВТБ сотрудничают преимущественно Российские компании, имеющие представительство (филиалы) В Казахстане. Необходимо развивать филиальную сеть по примеру Сбербанка.

Еще одним недостатком является момент, связанный с клиентами Банка. В России Банк занимается поддержкой приоритетных отраслей экономики. Являясь одним из крупнейших российских банков и проводником государственной политики, ВТБ активно поддерживает развитие различных секторов экономики России. Ключевыми способами поддержки являются кредитование реального сектора экономики и инвестиционная деятельность. В структуре кредитного портфеля преобладают следующие сектора: финансовый сектор - 16,3%, строительство - 15,7%, производство - 13,6%, торговля - 12,9%, металлургия - 9,8%, транспорт - 9,5%, нефтегазовая промышленность - 5,5%, энергетика - 5,3% химическая промышленность - 3,6% и др.

Ситуация в нашей стране прямо противоположна: Банк занимается обслуживаем преимущественно физических лиц, а именно выдачей потребительских кредитов, что несомненно является негативным моментом. Сравнивая российский опыт, нужно отметить, что основной упор ставится на поддержку жилищного и коммерческого строительства. А эта отрасль является одним из приоритетных направлений деятельности банка ВТБ, занимающим наибольший объем в кредитном портфеле. Кроме того, уже не первый год Банк оказывает финансовую поддержку строительству объектов будущей зимней Олимпиады в Сочи. В частности, банком ВТБ были предоставлены финансовые гарантии ОАО «РЖДстрой», которое осуществляет строительство ряда олимпийских объектов по заказу ГК «Олимпстрой».

Еще одним немаловажным фактором устойчивого роста и развития сети ВТБ в России является содействие малому и среднему бизнесу. Согласно этому, существует определенный подход группы ВТБ к поддержке малого и среднего бизнеса. Согласно принятой в 2010 году Стратегии развития группы ВТБ на 2010-2013 годы, Группа применяет индивидуальный подход к каждому сегменту бизнеса, что позволяет обеспечить максимально эффективное удовлетворение потребностей клиента. В 2012 году ВТБ 24 изменил критерии определения предприятий малого бизнеса: ранее к этому сегменту относился бизнес с годовой выручкой до 90 миллионов рублей, а в 2012 году этот показатель был увеличен до 300 миллионов рублей. Введение новой сегментации клиентов малого бизнеса стало переломным моментом для ВТБ 24, это существенно расширило его деятельность.

Наша же филиальная сеть не располагает этими преимуществами, для малого и среднего бизнеса нет широкого ассортимента банковских продуктов. Поэтому в данный момент очень важным условием развития эффективной деятельности Банка является создание и внедрение новых технологий в обслуживание предпринимателей.

Положительным же моментом является то, что Банк оперирует широким набором розничных продуктов. В рамках этого направления предусмотрен гибкий клиентский подход и обеспечение комплексного обслуживания. Сегментно-ориентированная модель обслуживания клиентов позволяет предоставлять клиентам разных сегментов продукты, адаптированные под их специфические потребности, повышать уровень сервиса, целенаправленно развивать каналы коммуникации с потребителями.

Еще необходимо отметить важный шаг в развитие Банка, а именно, в 2012 году Группа завершила уникальный проект по построению Единой международной банкоматной сети ВТБ. Клиенты - владельцы пластиковых карт банков Группы в Азербайджане, Армении, Беларуси, Грузии, Казахстане, Украине, а также банка ВТБ 24 в России теперь могут получать наличные денежные средства в банкоматах ВТБ и ВТБ 24 на условиях региона, в котором была выдана карта, вне зависимости от страны пребывания. Сеть насчитывает более 7200 банкоматов в семи странах и пока не имеет аналогов среди крупнейших российских банков, ведущих бизнес за рубежом.

Одной из приоритетных задач банков группы ВТБ Казахстан в области повышения доступности и качества предоставляемых услуг является развитие дистанционного банковского обслуживания [21, стр. 4].

Для удобства клиентов банка ВТБ функционал системы дистанционного банковского обслуживания был расширен: теперь клиенты Банка могут дистанционно согласовывать условия сделки по размещению депозитов, размещать депозиты и открывать аккредитивы. В следующем году в Банке планируется запуск сервиса по заполнению и отправке клиентом структурированных форм электронных документов по гарантийным операциям.

В отчетном периоде в Банке был запущен новый продукт «Мобильный клиент», который позволяет клиентам получать информацию по счету и детализацию по платежам с использованием мобильного телефона или планшета с доступом в Интернет. Новый продукт позволяет клиентам повысить уровень контроля за операциями и своевременно принимать управленческие решения.

2.2 Системы безналичных расчетов в Республике Казахстан и их анализ

В настоящее время на территории РК функционируют две национальные платежные системы: Межбанковская система переводов денег (МСПД) и Система межбанковского клиринга (СМК).

В целом через платежные системы Казахстана (Межбанковскую систему переводов денег и Систему межбанковского клиринга) в 2013 году было проведено 35.1 миллионов транзакций на сумму 177.6 трлн. тенге (или 1 167.4 миллиардов $). По сравнению с 2012 годом количество платежей в платежных системах увеличилось на 8.9% (на 2 870.2 тысяч транзакций), сумма платежей выросла на 4.0% (на 6.9 трлн. тенге). Каждая платежная система Казахстана имеет свои особенности функционирования и ориентирована на определенные сегменты рынка. МСПД является системой валовых расчетов в режиме реального времени страны (RTGS), в которой каждый документ обрабатывается индивидуально и перевод денег осуществляется на основании каждого платежного документа. Перевод денег в системе осуществляется в пределах суммы денег пользователя, переведенной им со своего корреспондентского счета, открытого в НБ, на специально определенный счет системы в НБ, а также суммы денег, поступивших от других пользователей МСПД. Счет системы в НБ служит для учета денег пользователей в период выполнения переводов денег в системе. Назначение МСПД состоит в обработке наиболее крупных и приоритетных платежей в стране [22, стр. 5].

Через систему могут проводиться как кредитовые, так и дебетовые переводы. Система обеспечивает окончательность проведения расчетов в национальной валюте (тенге) в течение операционного дня. В 2013 году через МСПД было проведено 13.9 миллионов транзакций на сумму 172.8 трлн. тенге (1 135.7 миллиардов долл. США).

По сравнению с 2012 годом количество платежей увеличилось на 12.9% (на 1 585.2 тысяч транзакций), сумма платежей выросла на 3.8% (на 6.3 трлн. тенге). В среднем за день через МСПД за 2013 год проходило 56.4 тысяч транзакций на сумму 702.3 миллиардов тенге, что больше уровня аналогичного периода 2012 года по количеству на 13.4% (на 6.6 тысяч транзакций) и по сумме на 4.2% (на 28.3 миллиардов тенге) [23, стр. 54].При этом средняя сумма одного платежного документа в МСПД за 2013 год составила 12.5 миллионов тенге и уменьшилась по сравнению с 2012 годом на 8.1% (на 1 095.6 тысяч тенге).

Рисунок 10 - Динамика изменения количества платежей через МСПД

Примечание - составлено автором по данным динамики МСПД

При этом через МСПД, системно-значимую платежную систему страны, в 2013 году было обработано97.3% от общего объема безналичных платежей в стране и 39.4% от их общего количества, что свидетельствует о выполнении МСПД предназначения в проведении наиболее крупных и высокоприоритетных платежей.

Рисунок 11 - Динамика изменения количества платежей через МСПД

Примечание - составлено автором по данным динамики МСПД

В основном через систему проводились платежи по операциям с ценными бумагами резидентов Казахстана (43,9% от общего объема платежей в МСПД), межбанковскими депозитами и переводами собственных средств банков и их клиентов (15,1%), а также по операциям с иностранной валютой и драгоценными металлами (15,7%). Объемы платежей за товары и услуги составили в 2013 году 12,1% от общего объема платежей. Среднедневной объем ликвидности в системе (сумма денег, переводимая пользователями в систему для осуществления платежей и переводов денег) увеличился по сравнению с 2013 годом на 8,1%. При этом среднедневной показатель ликвидности составляет 135,3% от среднедневной суммы платежей, что характеризует достаточную обеспеченность пользователей системы ликвидностью для проведения платежей.

Система межбанковского клиринга (зачет взаимных требований и обязательств) осуществляет расчеты на нетто-основе поступивших от участников платежей только один раз в день. Перевод суммы денег по результатам клиринга осуществляется через МСПД, так как в клиринговой системе нет реальных денег. Особенностями системы межбанковского клиринга является возможность отправления платежей с будущей датой валютирования Т+3, а также наличие ограничения по максимальной сумме одного платежа. На сегодня - 5 миллионов тенге. Эта система работает круглосуточно 7 дней в неделю. При этом здесь в основном проводятся платежи хозяйствующих субъектов по расчетам за товары и нематериальные активы, оказанные услуги, а также платежи в бюджет и выплаты из бюджета.

Потоки розничных платежей в 2013 году составили 21.4 миллионов документов на сумму 4 814.9 миллиардов тенге (31.6 миллиардов долл. США). По сравнению с 2012 годом количество документов в клиринговой системе увеличилось на 6.4% (на 1 285.1 тысяч документов), сумма платежей выросла на 14.1% (на 596.3 миллиардов тенге).

Рисунок 12 - Динамика изменения количества платежей через СМК

Примечание - составлено автором по данным Динамики СМК

В среднем за день через клиринговую систему за 2013 год проходило 86.8 тысяч документов на сумму 19.6 миллиардов тенге, что больше уровня аналогичного периода 2012 года по количеству платежей на 6.8% (на 5.6 тысяч транзакций) и по сумме платежей - на 14.6% (на 2.5 миллиардов тенге).

Рисунок 13 - Динамика изменения количества платежей через СМК

Примечание - составлено автором по данным динамики СМК

При этом средняя сумма одного платежа в Системе межбанковского клиринга за 2013 год составила 225.5 тысяч тенге, увеличившись по сравнению с 2012 годом на 7.3% (на 15.3 тысяч тенге).

Вместе с тем, в Системе межбанковского клиринга, предназначенной для проведения платежей, не являющихся высокоприоритетными и не превышающих по сумме 5 миллионов тенге, было осуществлено 60.6%, от общего количества безналичных платежей в стране и 2.7% от их общего объема, что также свидетельствует о выполнении клиринговой системой своего предназначения в проведении значительного количества платежей на мелкие суммы.

Система расчетов между различными хозяйственными субъектами, обеспечение бесперебойности и непрерывности платежей, является важным условием нормального функционирования экономики.

В денежных расчетах и платежах проводимых банками находят воплощение все виды экономических отношений в обществе. Это невозможно без взаимных расчетов между банками, т.е. межбанковских расчетов, что обусловлено широкому разветвлению экономических связей, как внутри государства, так и за ее пределами.

Часть межбанковских расчетов служит для экономических связей самих финансовых и кредитных учреждений (например, при размещении кредитов и депозитов, покупке и продаже ценных бумаг и др.). Посредством межбанковских расчетов осуществляются и внешнеэкономические связи.

Межбанковские расчеты представляют систему безналичных расчетов между банковскими учреждениями, основанную на прямых переводах денежных средств и регулярных зачетах из взаимных финансовых требований и обязательств.

Лишь на основе расчетов между банками и их филиалами можно завершить расчеты между предприятиями друг с другом. С финансовыми органами по уплате налогов; с внебюджетными фондами по перечислению обязательных взносов; с банками по ссудам и многие другие.

Межбанковские расчеты между банками совершаются посредством корреспондентских счетов, открываемых друг у друга. Клиентам - юридическим и физическим лицам - для осуществления безналичных расчетов открываются счета в банке.

Средствами расчетов в безналичной платежной системе являются средства организаций на корреспондентских счетах.

Для проведения платежей и расчетно-кассового обслуживания клиентов банки по поручению друг друга устанавливают между собой договорные отношения, так называемые корреспондентские отношения.

Прямые корреспондентские отношения представляют собой договорные отношения между банками, а также между банками и небанковскими организациями, возникающие при открытии корреспондентских счетов между ними с целью совершения операций, связанных с осуществлением банковского обслуживания, предусмотренного договором корреспондентского счета и законодательством РК. Выбор в пользу взаимных или односторонних корреспондентских отношений зависит от различных факторов, к которым следует отнести такие: объем взаимных потоков платежей, спрос на рынке кредитных ресурсов, возможность участия в торгах на региональных валютных биржах, а также возможность оперативного отзыва находящихся на корреспондентских счетах средств.

Существуют два вида корреспондентских отношений банков: с взаимным установлением корреспондентских отношений и без них. Обычно небольшие банки открывают корреспондентские счета в более крупных банковских учреждениях. При этом вместе с осуществлением главной операции крупных коммерческих банков-корреспондентов - клиринга (взаимный зачет чеков и других расчетно-платежных документов) крупные банки предлагают мелким услуги по управлению их активами, предоставлению кредитов, пополнению резервов.

Банковское учреждение может рассчитываться со своим корреспондентом по выставленным им поручениям по счету, открытому данным кредитным учреждением у корреспондента или по счету, открытому корреспондентом в данном кредитном учреждении либо же по счетам данного банка и его корреспондента в третьем кредитном учреждении. В первом случае имеют место отношения между корреспондентами со счетом, во втором - между корреспондентами без счета.

Корреспондентские отношения открываются на добровольных началах банковскими учреждениями, которые являются юридически самостоятельными. Корреспондентские же отношения коммерческих банков с Нацбанком строятся на более жесткой основе.

Каждый коммерческий банк, как правило, должен иметь корреспондентский счет в каком-либо учреждении эмиссионного (национального) банка.

Корреспондентские счета подразделяются на два вида:

счет “Ностро” (наш счет у Вас) ,и

счет “Лоро” (Ваш счет у нас).

Счет типа “Ностро” открывается каким-либо банком в банках-корреспондентах, а типа “Лоро” - на имя его банков-корреспондентов. Эти счета могут открываться в одностороннем порядке и на взаимной основе. Причем счет “Ностро” в одном кредитном учреждении является счетом “Лоро” у банка - его корреспондента.

Платежи по корреспондентским счетам, условия которых оговариваются в заключенном договоре, могут осуществляться в пределах остатка денежных средств на счете либо с превышением этого остатка, но за счет предоставленного по счету кредита (так называемого овердрафта).

Размер остатка средств в банках-корреспондентах зависит от характера и объема услуг, которые предоставляет корреспондент. Оплачивается пользование корреспондентским счетом в основном поддержанием минимального остатка средств на счет, а частично - посредством выплаты комиссионного вознаграждения. При этом кредитные ресурсы на корреспондентских счетах предоставляют собой депозиты до востребования. Поэтому остатки средств по указанным счетам обычно поддерживаются на минимальном уровне, который необходим для совершения расчетных операций.

При осуществлении платежей банки-корреспонденты в процессе корреспондентских отношений уведомляют о расчетных операциях друг друга посредством авизо.

Авизо представляет собой официальное извещение, уведомление, направляемое банком другому, преимущественно о выполнении расчетных операций. Авизо о дебетовых и кредитовых записях по счетам, об остатках средств, о таких расчетных операциях, как открытие аккредитива, выставление чека и т.д., высылаются банками своим корреспондентам и клиентам. В данном банковском документе, оформляемом на специальном бланке, указывается его номер; дата операции, ее характер; номер счета; наименование плательщика и получателя средств; сумма авизо. Кроме того, копии расчетных документов (мемориальный ордер, платежное поручение) могут также быть использованы в качестве авизо. Способ отсылки авизо, обусловленный договором с клиентом или межбанковскими соглашениями, выделяет почтовые и телеграфные авизо. При отправке авизо по телеграфу часто используют переводной шифр. К почтовым авизо прилагаются документы, на основании которых производится данная расчетная операция.

Межбанковские корреспондентские отношения включают в себя несколько видов корреспондентских счетов.

Межбанковские расчеты, основанные посредством корреспондентских отношений между НБ РК и банками второго уровня, базируются на договорных отношениях. На основе этих отношений НБ обязуется принимать деньги, поступившие в пользу банка, выполнять распоряжения банка о переводе банку или третьему лицу соответствующих сумм денег и оказывать другие услуги, указанные в договоре. Для открытия корреспондентского счета представляется заявление банка на открытие, образцы подписей и оттиска печати, нотариально заверенный устав банка и лицензию на открытие, а также перечень других документов согласно положению Нацбанка.

По соглашению между банками корреспондентские счета могут вестись непосредственно друг у друга. Режим корреспондентского счета одного банка в другом определяется соглашениями между банками. Корреспондентские отношения между банками оформляются соответствующими договорами. В них предусматриваются круг операций, совершаемых по корреспондентским счетам и субсчетам. Условия проведения операций для клиентуры по месту нахождения того и другого счета. Режим функционирования счетов; контрольные функции учреждений банков и порядок взаимного обмена информацией.

Вместе с тем, в отличие от осуществления окончательных расчетов по счетам, открытым в НБ, осуществление расчетов по прямым корреспондентским счетам связано с риском того, что банк, в котором открыт корреспондентский счет, может быть признан банкротом или у него не будет достаточной суммы денег для выполнения своих обязательств. Кроме того, в сложной банковской системе, объединяющей значительное количество участников, наличие большого количества открытых корреспондентских счетов требует отвлечения значительного объема ликвидности. В связи с этим, наиболее оптимальным и безрисковым способом осуществления окончательных межбанковских расчетов является НБ (через корреспондентский счет, открытый в НБ), который в силу своего уникального положения не создает кредитного риска и риска ликвидности для своих клиентов-банков.

В целях управления рисками при проведении платежей через прямые корреспондентские счета НБ установлен лимит для банков и небанковских организаций на ежемесячный объем данных платежей. Размер данного лимита составляет 5% от общего объема платежей банка или небанковской организации через платежные системы за предыдущий месяц. В случае превышения лимита объема платежей, установленного Национальным Банком, банк несет ответственность в соответствии с законодательными актами Республики Казахстан.

Ниже представлена динамика развития прямых корреспондентских отношений в период с 2003 по 2012 годы (рисунок 14).

Рисунок 14 - Объемы платежей через системы корреспондентских отношений между банками

Примечание - составлено автором по данным динамики МСПД и СМК

За анализируемый период через корреспондентские счета, открытые между банками и небанковскими организациями, были проведены платежи на общую сумму 10 585,1 миллиардов тенге (1,2% от общей суммы платежей через МСПД и СМК).

В 2012 году через корреспондентские счета, открытые между банками и небанковскими организациями, были проведены платежи на сумму 1 404,3 миллиардов тенге (0,7% от общей суммы платежей через МСПД и СМК), количество платежных транзакций составило 3 729,1 тысяч транзакций. По сравнению с 2011 годом объем платежей вырос на 10,2% или 130,2 миллиардов тенге, при этом количество транзакций уменьшилось на 13,6% или на 584,6 тысяч транзакций.

Средняя сумма одного платежа через прямые корреспондентские счета (ПКС) составила в 2012 году 376,6 тысяч тенге и увеличилась по сравнению с 2011 годом на 27,5% (или на 81,2 тысяч тенге).

Вместе с тем, объем платежей через прямые корреспондентские счета в 2012 году составил 0,7% от общего объема исходящих платежей через КЦМР участников корреспондентских отношений за предыдущий месяц (лимит составляет 5%). Следовательно, из 5% установленного лимита использовано всего 0,7%.

При этом коэффициент использования лимита в целом по всем пользователям составил 32,4%. По сравнению с 2011 годом коэффициент эффективности использования лимита уменьшился на 3,4 п.п. с 36,1% в 2009 году (таблица 12).

Таблица 12

Таблица использования лимита

Квартал

2011 год

2012 год


Сумма платежей через ПКС (в миллиардов тенге)

Сумма лимита (в миллиардов тенге)

К-т лимита

Сумма платежей через ПКС (в миллиардов тенге)

Сумма лимита (в миллиардов тенге)

К-т лимита

I

370,2

899,6

41,2%

243,6

1 075,4

22,6%

II

303,6

692,3

43,9%

308,5

1 138,2

27,1%

III

324,6

989,4

32,8%

389,3

1 066,0

36,5%

IV

275,7

947,9

29,1%

463,1

1 058,6

43,7%

Итого

1 274,1

3 529,2

36,1%

1 404,3

4 338,1

32,4%

П р и м е ч а н и е - составлено автором по данным НБ РК


В 2012 году банками и АО «Казпочта» использованием, представленных в нижеприведенной таблице, платежных инструментов были проведены транзакции в количестве 310 307.2 тысяч документов на сумму 124 948.2 миллиардов тенге.

По-прежнему, наиболее распространенными на территории Казахстана платежными инструментами являются платежные поручения и платежные карточки. При этом, средняя сумма одного платежного поручения составила за 2012 год 1.0 миллионов тенге.

Вместе с тем, высокий удельный вес платежных карточек по количеству и низкий - по объему платежей характеризуется использованием данного платежного инструмента в основном для снятия небольших сумм наличных денег (средняя сумма одной транзакции составила за 2012 год - 32.7 тысяч тенге).

В 2012 году наименее используемыми платежными инструментами являются платежные требования-поручения и инкассовые распоряжения. Незначительная доля использования данных инструментов в общем количестве и объеме обусловлена их спецификой [24, стр. 5].

Прочие платежные инструменты включают в себя чеки для расчета за товары и услуги, прямое дебетование банковского счета.

Таблица 13

Сведения об использовании платежных инструментов за 2001-2012 годы (по количеству транзакций)

Период

Платежные поручения

Платежные требования-поручения

Инкассовые распо- ряжения

Платеж ные- карточки

Прочие инструм енты

Общий итог

2001

14 387,8

145,4

2 118,7

14 629,3

1 315,5

32 596,7

2002

13 000,8

104,6

265,9

20 957,5

470,1

34 799,0

2003

19 177,4

131,5

200,3

28 748,3

426,2

48 683,7

2004

25 862,9

96,0

263,6

36 611,7

437,8

63 272,0

2005

30 454,0

120,1

301,2

49 820,4

4 335,2

85 030,6

2006

30 870,4

135,5

341,9

66 826,5

7 867,9

106 042,2

2007

35 239,8

230,4

492,1

86 734,7

9 430,5

132 127,4

2008

36 355,9

475,5

783,6

102 545,0

7 863,9

148 023,9

2009

39 052,9

209,9

357,9

118 076,5

6 077,7

163 775,0

2010

46 656,1

207,9

861,9

136 322,2

3 925,0

187 973,1

2011

101 162,0

53,2

253,7

155 671,6

1 235,3

258 375,9

2012

122 011

533,7

84,0

187 645,9

32,6

310 307,2

П р и м е ч а н и е - составлено автором по данным НБ РК


По сравнению с 2009 годом общее количество использованных платежных инструментов увеличилось на 24,1 миллионов транзакций (на 14,8%), а их сумма увеличилась на 32,0 трлн. тенге (на 35,6%). Увеличение суммы платежей вызвано в основном увеличением объемов платежей с использованием платежных поручений на 31,8 трлн. тенге (на 38,4%). При этом средняя сумма одного платежного поручения увеличилась по сравнению с 2009 годом на 15,9% и составила за 2010 год 2,5 миллионов тенге. Рост количества платежей в основном характеризуется увеличением количества операций с использованием платежных карточек на 18,2 миллионов транзакций (на 15,5%).

В сравнении с 2001 годом количество использованных платежных инструментов увеличилось на 155,4 миллионов транзакций (в 5,8 раз), а их сумма увеличилась на 106,5 трлн. тенге (в 7,9 раз). Данное увеличение суммы платежей также связано в основном с увеличением объемов платежей с использованием платежных поручений на 103,4 трлн. тенге (в 10,2 раз). При этом средняя сумма одного платежного поручения увеличилась по сравнению с 2001 годом в 3,2 раза с 800 тысяч тенге до 2,5 миллионов тенге в 2010 году.

Таблица 14

Сведения об использовании платежных инструментов за 2001-2012 годы (по сумме транзакций)

Период

Платежные поручения

Платежные требования- поручения

Инкассовые распоряжения

Платежные карточки

Прочие инструменты

Общий итог

2001

11 217,2

27,2

3 089,9

147,2

1 023,6

15 505,1

2002

12 332,7

30,3

431,1

51,0

307,8

13 352,9

2003

20 774,5

46,6

288,0

396,2

412,6

21 917,8

2004

32 269,2

93,5

223,9

566,1

901,0

34 053,7

2005

44 929,3

217,2

140,7

848,7

47 634,7

2006

53 073,7

42,1

294,0

1 241,8

1 532,9

56 184,5

2007

84 022,5

132,6

187,4

1 897,9

1 810,3

88 050,7

2008

104 552,5

269,9

238,4

2 310,1

2 498,3

109 869,1

2009

82 791,4

372,6

287,2

2 649,6

3 875,5

89 976,3

2010

114 604,7

820,4

523,2

3347,3

2 738,0

122 033,6

2011

119 776,6

29,7

327,3

4 347,5

5 434,6

129 925,7

2012

118 868,1

3,1

32,8

5 562,6

4816

124 948,2

П р и м е ч а н и е - составлено автором по данным НБ РК


Рост количества платежей также связан с увеличением количества операций с использованием платежных карточек на 122,1 миллионов транзакций (в 9,3 раз). За 2011 год банками и АО «Казпочта» с использованием платежных инструментов было проведено 258,4 миллионов транзакций на сумму 129 925,7 миллиардов тенге (или 886,1 миллиардов долл. США).    Наиболее распространенными из указанных платежных инструментов на территории Казахстана являются платежные поручения (39,2% от общего количества безналичных платежей с использованием вышеуказанных платежных инструментов) и платежные карточки (60,3% соответственно). Наименьшая доля приходится на платежные требования-поручения (0,02% по количеству и 0,03% по объему платежей) и инкассовые распоряжения (0,1% по количеству и 0,3% по объему платежей). По сравнению с 2010 годом количество использованных платежных инструментов увеличилось на 70,4 миллионов транзакций (на 37,5%), сумма выросла на 8,2 трлн. тенге (на 6,7%). Увеличение объема платежей вызвано увеличением суммы платежей с использованием платежных поручений на 5,2 трлн. тенге (на 4,5%). Общий рост количества платежей в основном характеризуется увеличением количества операций с использованием платежных карточек на 19,4 миллионов транзакций (на 14,2%).

За 2012 год банками и Акционерным обществом «Казпочта» с использованием платежных инструментов были проведены транзакции в количестве 310,3 миллионов транзакций на сумму 124 948,2 миллиардов тенге (или 838,0 миллиардов долл. США). Наиболее распространенными из указанных платежных инструментов на территории Казахстана являются платежные поручения (39,3% от общего количества и 95,1% от общей суммы безналичных платежей с использованием вышеуказанных платежных инструментов) и платежные карточки (60,5% и 4,5% соответственно). При этом средняя сумма одного платежного поручения составила за 2012 год 1,0 миллионов тенге. Высокий удельный вес платежных карточек по количеству и низкий по объему платежей характеризуется использованием данного платежного инструмента в основном для снятия небольших сумм наличных денег (средняя сумма одной транзакции в 2012 году составила 32,7 тысяч тенге). Наименьшая доля приходится на инкассовые распоряжения (0,03% по количеству и 0,03% по объему платежей). Структура безналичных платежей по видам применяемых платежных инструментов по сравнению с предыдущими периодами существенно не изменилась. По-прежнему, наиболее распространенными на территории Казахстана являются платежные поручения и платежные карточки. Доля платежей, проведенных платежными поручениями, в общем объеме платежных инструментов (включая платежные карточки) за 2010 год составила 24,8% по количеству платежей и 93,9% по объемам платежей. В сравнении с 2009 годом наблюдается рост количества использования платежных поручений на 19,5% и объемов платежных поручений на 38,4%. Незначительна доля использования платежных требований-поручений, как по количеству, так и по сумме (0,1% и 0,7% соответственно), инкассовых распоряжений (0,5% по количеству и 0,4% по объему платежей) и прочих инструментов (2,1% по количеству и 2,2% по объему платежей). В разрезе регионов наибольшая активность наблюдается в Алматинской и Акмолинской областях. Так, доля использованных платежных инструментов по Алматинской области составила 37,9% по количеству и 0,6% по сумме от общего объема. Использование платежных инструментов в Акмолинской области составило 11,1% по количеству и 0,2% по объему.

Данная тенденция связана с экономико-демографическими особенностями данных регионов Казахстана и значительным присутствием финансово-банковских структур в данных регионах, через которые проходят большие информационные и денежные потоки.

2.3 Анализ безналичных расчетов в АО «ВТБ Банк»

 
Банк ВТБ предлагает следующий комплекс услуг:

-по организации вступления и дальнейшему сопровождению программ банков в международных платежных системах VISA International и MasterCard Worldwide;

по переводу спонсорских программ банков из других банков-спонсоров;

по расчетному обслуживанию принципиальных участников VISA International и MasterCard Worldwide;

по эквайринговому обслуживанию операций с банковскими картами международных систем JCB, UnionPay, American Express.

Процессинговое обслуживание спонсорских программ осуществляет компания группы ВТБ - ООО «Мультикарта» <#"867625.files/image020.gif">

Рисунок 15 - Основные риски, присущие платежной системе Казахстана

Примечание - составлено автором на основе платежной системы РК

Еще одной из проблем является преобладание наличной формы расчета и слабый уровень развития сети приема платежных карточек.

Показателями состоянию дел по данному блоку являются: объемы наличного и безналичного оборота наличных денег, состояние наличного денежного обращения, скорость обращения денег, уровень использования платежных карточек и других инновационных инструментов для осуществления безналичных расчетов за товары и услуги, а также уровень развития инфраструктуры обслуживания платежных карточек.

Причинами развития теневой экономики в этом блоке являются:

нежелание экономических агентов декларировать и показывать в финансовых отчетах фискальным органам свой реальный оборот товаров и доходы; незаинтересованность экономических агентов в размещении расчетных карточных терминалов в своих торговых точках и организациях сферы услуг и предпочтение работать с наличностью;

недоверие населения к банкам; низкий банковский процент по остаткам денег на счету; высокие комиссионные сборы за обслуживание;

слабая пропаганда удобства и преимуществах системы индивидуальных безналичных расчетов и отсутствие привлекательных условий для физических и юридических лиц в системе безналичного денежного обращения; наличие слабо развитой сферы электронных платежей;

боязнь граждан раскрытия своих доходов и расходов.

Не секрет, что электронные деньги уже давно тесно переплелись с повседневной жизнью многих людей во всем мире. Естественно, очень удобно оплачивать различные услуги, не отходя от компьютера и не вставая с уютного кресла. Но прежде хотелось бы разобраться в том, какие "подводные камни" ожидают обладателей электронных денег.

Развитие электронной коммерции связано как с положительными, так и с отрицательными последствиями для клиентов. Как показало исследование, проведенное американской корпорацией CIO Communications, рядовые покупатели и покупатели-эксперты высказывают схожие опасения по поводу приобретения товаров и услуг с помощью систем электронной коммерции (в группу экспертов были включены те, кто наиболее близко знаком с

Интернетом, - должностные лица в сфере бизнеса и информационных технологий). Был проведен опрос трехсот обычных покупателей и 200 должностных лиц в сфере бизнеса и информационных технологий. Они дали прогнозируемые оценки относительно возможных проблем, связанных с использованием системы электронной коммерции, а также поделились своим негативным опытом. Установлено, что обе группы покупателей опасаются мошенничества с кредитными картами, назойливых распространителей товаров, узнавших имя и адрес Интернет-покупателя, вторжения в личную жизнь, обмана при доставке товара и кражи личностных идентификационных характеристик покупателя. Эти данные получены из проведенного исследования американского рынка электронной коммерции. Электронные покупатели в Казахстане также могут столкнуться с подобными проблемами по мере развития. Прогнозируемые оценки возможных негативных явлений от использования системы электронной коммерции могут быть: мошенничество с использованием платежных карт, снижение уровня личной безопасности, вторжение в личную жизнь, угроза обмана (оплаченный товар не доставлен, доставленный товар не соответствует его представлению в Сети), угроза кражи личностных идентификационных характеристик. Однако, полученный практический опыт приобретения товаров и услуг посредством использования системы электронной коммерции показал следующие проблемы: имя и адрес были проданы распространителям товаров, мошенническое использование платежных карт, нехватка товарных запасов, вторжение в личную жизнь, сбор и структурирование данных о личности покупателя и его семейном положении в базах данных, накапливаемых компаниями электронной торговли. Кроме того, в процессе использования системы электронной коммерции обе исследуемые группы покупателей столкнулись со следующими трудностями: трудности навигации (перемещения) по web-сайтам, рассмотрения товаров в сети, трудности в оформлении заказа и оплаты товаров, сравнительно ограниченный выбор разновидностей товаров (ассортимента). Несмотря на трудности и приобретенный негативный опыт, при практическом использовании систем электронной коммерции в процессе совершения покупок товаров и услуг, две исследованные группы покупателей все же отдают предпочтение именно электронной коммерции, а не традиционной форме торговли. Основными мотивирующими факторами экономической целесообразности пользования систем электронной коммерции выступают такие критерии, как удобство, значительная экономия времени, наличие приемлемых скидок, отсутствие налога с оборота.

Недавно в Казахстане появилась первая национальная компания - CAPSYS. Она изначально задалась целью создания полноценной центрально-азиатской платежной системы «InTime».

Можно отметить ряд проблем, возникающих при внедрении новых платежных систем в Казахстане. Этот процесс сталкивается с определенными трудностями, которые, надо заметить, всегда сопровождают становление данного рынка.

Мало того, чтобы сеть просто внедрить, ею еще надо эффективно и качественно управлять. С целью создания крупнейшей дистрибуционной сети платежных терминалов компания при внедрении платежной системы несет достаточно крупные капитальные затраты, связанные с ее построением, развитием и содержанием. Помимо финансовых затрат, есть определенные объективные сдерживающие факторы. К примеру, не всегда транспортная инфраструктура Казахстана поспевает за нашими возможностями. Не в каждый район поставишь платежный терминал в связи с отсутствием связи как таковой.

Во-вторых, наблюдается скептицизм компаний-поставщиков услуг касательно внедрения оплаты своих услуг через терминалы компании. Не все руководители таких компаний избавились от советского мышления, то есть, у меня и так есть 3-4 кассы в городе, кому надо, тот и придет. А если не придет, то просто отключим и прибавим еще и пени. Кроме того, наблюдается скептицизм хозяев супермаркетов, торговых центров по установке терминалов. Вдруг это какой-то обман по сбору денег с населения? Вы, наверное, много зарабатываете на этом, как казино или игровой автомат, отдайте мне долю от вашей компании! Также мешает недоверие населения к платежным терминалам. По старинке идут в кассу, стоят в очереди.

Платежный кризис - одна из форм проявление экономического кризиса, выражающаяся в одновременно проявляющееся в широких масштабах невозможности хозяйствующих субъектов, а также государства и населения обеспечивать своевременность исполнения своих денежных обязательств.

Платежный кризис нельзя рассматривать как явление, ограниченное только денежной сферой. Это многофакторное явление, оказывающее негативное влияние на различные стороны экономики и создающее серьезные препятствия для нормальной хозяйственной деятельности предприятия. Так, непоступление выручки в связи с платежным кризисом ограничивает возможность организаций приобретать необходимые им материальные ресурсы, обеспечивать своевременность перечисление средств в бюджеты разных уровней и расчеты по оплате труда [27, стр. 1].

Основные стороны, оказывающиеся в сфере влияния платежного кризиса, следующие: это государство, кредитная система, хозяйствующие субъекты (организации различных сфер национальной экономики и организационно-правовых форм) и физические лица (население каждая из сторон в условиях платежного кризиса может быть и неплательщиком, и неполучателем соответствующей суммы денежных средств.

Платежный кризис обусловлен многим факторами, в том числе действующими в сфере производства и обращения. Важно помнить, что эти факторы оказывают влияние не обособленно, а при их тесной взаимосвязи и взаимодействии.

В заключении, необходимо отметить, что решение вышеперечисленных проблем в организации безналичной системы расчетов позволит значительно улучшить ее состояние.

3.2 Совершенствование системы организации безналичных расчетов

Разработанная и действующая в Казахстане национальная платежная система выгодно отличается от платежных систем других стран СНГ и может быть предложена в качестве базовой для разработки общей платежно-расчетной системы сначала стран Таможенного союза, а затем и всего Содружества. По действующей с 1996 года системе внутриреспубликанские платежи осуществлялись в системе валовых (крупных) платежей (СКП), работающей в режиме реального времени, которая в феврале 2000 года была преобразована в межбанковскую систему перевода денег (МСПД) и в системе розничных платежей (СРП), работающей в клиринговом режиме, ныне в системе межбанковского клиринга (СМК). Клиент банка - отправитель денег сам решает, в какой системе осуществлять платеж. Обслуживание в МСПД стоит дороже, но оправдано тем, что платеж осуществляется в режиме реального времени, то есть практически мгновенно.

В системе СМК платежи накапливаются в течение одного операционного дня, в конце которого осуществляется зачет платежных обязательств участников, что позволяет сократить потребность в финансовых средствах примерно в пять раз. То есть если ежедневно в республике осуществляются платежи на сумму более 10 миллиардов тенге, то при использовании зачетных схем фактическая потребность в деньгах снижается до 2 миллиардов тенге.

Устаревшие формы передачи информации заменены электронными, что исключает подделку банковских документов и снижает возможность совершения криминальных действий в банковской сфере. Передача платежных документов, извещений, выписок со счета и другой информации обеспечивается по системе SWIFT с использованием соответствующих форматов или при помощи телексной связи с использованием телексных ключей.

Одним из путей решения экономических проблем было создание Таможенного союза.

В состав Таможенного союза вошли 3 страны СНГ- Российская Федерация, Республика Беларусь, Республика Казахстан.

Для решения проблемы платежей между этими государствами Интеграционным комитетом вынесено предложение о возможности создания общей платежно-расчетной системы.

В настоящий момент разрабатывается концепция построения системы трансграничных платежей стран СНГ.

Существующая в Казахстане платежная система совместима со всеми международными платежными системами. Ее техническое и программное обеспечение постоянно обновляется, идет поиск и внедрение новых усовершенствованных технологий.

Изучив проекты ТАСИСа и Межгосбанка СНГ по созданию системы трансграничных платежей, а также работу казахстанской национальной платежной системы, аппарат Интеграционного комитета с участием специалистов Национального банка Республики Казахстан разработал проект создания общей платежно-расчетной системы государств-участников Таможенного союза на базе казахстанской Межбанковской системы перевода денег (МСПД).

Для организации системы зачетов взаимных требований между хозяйствующими субъектами стран Таможенного союза необходимо расширить функциональные задачи Межгосударственного клирингового центра. Необходимо с привлечением национальных статистических агентств и налоговых органов стран Таможенного союза создание базы данных по внутренней дебиторской и кредиторской задолженности хозяйствующих субъектов стран Таможенного союза.

С этой целью предлагается восстановить ведение карточек по неоплаченным платежным требованиям-поручениям. Поскольку поставщик более заинтересован в получении средств от покупателя, задержек в выставлении платежных документов с его стороны практически не будет. Наличие выставленных требований вкупе с активной работой клиринга позволит более эффективно погасить взаимные долги.

Предполагается также разработка механизма продажи долгов на основе организации работы региональных долговых площадок.

Работа по созданию такой системы будет проводиться в несколько этапов (таблица 17).

Таблица 17

Основные этапы создания общей платежно-расчетной системы государств-участников Таможенного союза на базе казахстанской Межбанковской системы перевода денег (МСПД)

Характеристика этапа

Процесс реализации

1

Первый этап (подготовительный)

включает разработку пилотного проекта и отработку на его основе механизма создания общей платежно-расчетной системы. В этих целях один или несколько банков стран Таможенного союза будут подключены к казахстанской платежной системе. Эти банки откроют счета в тенге в Национальном банке Республики Казахстан и получат разрешение на подключение к МСПД. После подключения к МСПД они смогут проводить платежи в тенге в любой из банков Республики Казахстан в режиме реального времени, а также участвовать в торгах на валютной бирже и рынке ценных бумаг, то есть будут допущены на национальный валютный рынок.

2

Второй этап (создание мультивалютной платежной системы)

предполагает с учетом опыта работы пилотного проекта создать дополнительные модули МСПД - НВ (национальные валюты других стран Таможенного союза) в национальных банках с использованием технического и программного обеспечения Казахстанского центра межбанковских расчетов. Для исключения потерь при пересчете стоимости контракта из одной валюты в другую (СКВ или национальную валюту) стороны согласуют механизм установления обменных курсов национальных валют и устранят использование множественности обменного курса своих валют.

3

Третий этап

На третьем этапе для организации системы межбанковских расчетов и снижения потребности в денежных ресурсах необходимо создание клирингового центра, основной задачей которого будет проведение ежедневных межбанковских зачетов. Межгосударственный центр будет функционировать по аналогии с казахстанской системой межбанковского клиринга, осуществляющей ежедневный внутриреспубликанский межбанковский зачет.

П р и м е ч а н и е - составлено автором по данным НБ РК


В Республике Казахстан Южно-Казахстанский фондовый центр уже ввел в действие "долговую площадку". В настоящее время идет наполнение торговой системы объемом и ассортиментом выставленных долгов для проведения торгов и заключения сделок. В перспективе намечается осуществление совместной работы с рядом областей Российской Федерации.

Дальнейшее совершенствование и развитие платежных систем, осуществляющих проведение безналичных расчетов, является одной из стратегических задач Национального Банка. Для их реализации в Республике Казахстан принятый Закон РК «О внесении изменений и дополнений в некоторые законодательные акты Республики Казахстан по вопросам электронных денег» призван дать старт для создания отечественной системы электронных денег, которые будут использоваться внутри страны. Документ предполагает, что все сделки между казахстанскими интернетчиками будут проходить на законных основаниях и с использованием электронных тенге, выпущенных казахстанскими эмитентами. Право на выпуск электронных денег получат банки второго уровня, это сделано в связи с тем, что при выпуске электронных тенге происходит привлечение денег физических и юридических лиц, а также проведение множества банковских операций. Банки второго уровня смогут конвертировать электронные деньги на наличные. Проводиться такие операции будут с суммами не более 5000 месячных расчетных показателей (примерно $5 тыс), а при выпуске e-денег на 100 МРП и выше будет устанавливаться личность получателя. Надзор за работой эмитентов, то есть банков второго уровня, будет осуществлять Национальный Банк Республики Казахстан.

В ближайшее время Национальный Банк планирует сосредоточить свои усилия на следующих основных направлениях развития платежных систем, способствующих повышению надежности и эффективности действующих платежных систем и расширению сферы розничных безналичных платежей.

Для дальнейшего увеличения темпа роста безналичных платежей с использованием платежных карточек необходимо:

повышение заинтересованности самих торговых предприятий в переходе на безналичные платежи, желание работать по прозрачной схеме;

создание экономических стимулов для использования платежных карточек торговцами и потребителями. Решение этого вопроса диктует необходимость принятия со стороны государства целого комплекса стимулирующих мер [28, стр. 1].

Это могут быть льготы по НДС, различные налоговые вычеты, освобождение от налоговых проверок субъектов розничной торговли, активно применяющих безналичные платежи и другие эффективные меры (положительные примеры реализации аналогичных мер имеются в мировой практике, например Южная Корея).

Национальный Банк неоднократно инициировал в Правительство страны конкретные предложения в рамках реализации подобных мер, однако до сегодняшнего момента эти вопросы остаются открытыми.

В части внедрения инноваций и новых платежных инструментов Национальным Банком созданы правовые условия для оказания банками всех видов дистанционных платежных услуг (через Интернет, сеть автоматизированных устройств, мобильного банкинга). Сегодня все крупные банки Казахстана представляют своим клиентам как информационные, так и транзакционные услуги посредством Интернет-банкинга. По мере дальнейшего проникновения Интернета в массовые слои населения (в 2013 году уровень проникновения Интернета составил около 48%) доля безналичных платежей населения с использованием этого эффективного и надежного метода осуществления платежей будет только активно расширяться. Находится на стадии своего становления и постепенно набирает обороты рынок мобильного банкинга.

Национальный Банк в дальнейшем по мере необходимости будет проводить работы по совершенствованию нормативной базы направленной на создание благоприятных условий для развития новых видов платежных инструментов в стране.

В целях повышения операционной надежности и производственной эффективности платежных систем Казахстана РГП "КЦМР" в 2010 году успешно осуществлена модернизация программно-технической платформы платежных систем и перевод их на новые версии программного обеспечения. Работа в этом направлении будет продолжена Национальным Банком, поскольку поддержание платежных систем на высоком технологическом уровне является стратегической задачей Национального Банка в области платежных систем.

РГП "КЦМР" внедрена система обработки розничных платежей населения, которая позволяет банкам второго уровня организовать прием платежей от населения в пользу поставщиков услуг в режиме "моментального" зачисления платежей.

В данном направлении предполагается дальнейшее расширение функционала данной системы в части взаимодействия с банками второго уровня по оптимизации проведения моментальных (онлайн) платежей.

Для снижения рисков и повышения безопасности проведения межбанковских операций в розничном сегменте рассматривается возможность внедрения централизованной клирингово-расчетной системы по розничным электронным платежам населения. Речь идет об организации эффективной структуры для проведения межбанковских расчетов по электронным платежам, осуществляемым посредством Интернета, мобильного телефона и сети платежных терминалов.

В целях обеспечения высокого уровня безопасности и надежности работы платежных систем Национальным Банком в настоящее время ведутся работы по построению нового Резервного центра в городе Астана. Цель данного проекта - обеспечить бесперебойное функционирование платежных систем в случае возникновения чрезвычайных ситуаций любого характера в месте расположения основного центра, в том числе вследствие угрозы сильного землетрясения в городе Алматы.

Будет продолжена практика проведения Национальным Банком и банками второго уровня на постоянной основе разъяснительной работы в СМИ. Необходима активная поддержка Правительства и соответствующих государственных органов в рамках усиления данной работы для популяризации преимуществ использования платежных карточек, инновационных методов осуществления безналичных платежей среди широкого круга населения.

В рамках выполнения задачи по обеспечению надежности и безопасности функционирования платежных систем Национальный Банк Казахстана на постоянной основе проводит работы по совершенствованию нормативных правовых актов, касающихся отдельных вопросов платежей и переводов денег, осуществляет надзор за функционированием платежных систем.

Национальный Банк и в будущем будет осуществлять политику дальнейшего совершенствования и развития платежных систем Казахстана в соответствии последними достижениями в области научного и технического прогресса. При этом будет продолжена работа по обеспечению эффективного и надежного функционирования платежных систем, содействию развитию инновационных розничных платежных инструментов и электронного банкинга.

Важной задачей государства в развитии платежной системы являются полное приближение платежной системы Казахстана к стандартам Европейского союза, внедрение и развитие новых видов платежных инструментов. Также необходимы создание и развитие Национальной системы платежных карточек с целью концентрации услуг по обслуживанию платежных карточек в Казахстане. Кроме того, важным направлением являются построение общей платежной системы стран СНГ (ЕврАзЭС или другой структуры), основанной на национальных валовых системах расчета в режиме реального времени, а также популяризация платежной системы Казахстана в СНГ и за рубежом. Долгосрочные стратегические цели внедрения Национальной межбанковской системы платежных карточек на основе микропроцессорных карточек заключаются в сохранении за Национальным Банком способности эффективно управлять находящейся в обращении денежной массой, ограничении системного и других рисков, которые могут создать угрозу для стабильности финансовых рынков или подорвать доверие к платежной системе, развитии новых эффективных, мало рискованных, недорогих и удобных методов оказания платежных и финансовых услуг потребителям.

Для внедрения Национальной межбанковской системы платежных карточек на основе микропроцессорных карточек необходима последовательная реализация следующих мероприятий:

формирование правовых отношений, связанных с созданием системы;

определение спроса потребителей, готовности торговых (обслуживающих) организаций принимать к оплате платежные карточки;

определение методов предотвращения потенциальных преступлений с использованием платежных карточек, а также последствия и потенциальные риски для держателей платежных карточек.

Кроме того, в развитии платежной системы страны важную роль играет Казахстанский центр межбанковских расчетов (КЦМР), деятельность которого предполагается развивать в следующих основных направлениях:

участие в построении единой межгосударственной платежной системы стран СНГ (ЕврАзЭС или другой структуры);

подготовка и предложение странам СНГ и другим странам услуг по продаже платежной системы;

дальнейшее развитие SWIFT сервисного бюро с подключением как казахстанских, так и зарубежных финансовых институтов;

интеграция транспортной системы SWIFT с платежной системой Казахстана для предоставления пользователям дополнительной возможности приема и передачи сообщений в платежную систему через SWIFT;

развитие новых финансовых инструментов в межбанковской системе перевода денег и клиринге КЦМР;

интеграция действующей платежной системы Казахстана и финансовой автоматизированной системы транспорта информации (далее - ФАСТИ) с системой управления ключевой информацией (PKI);

интеграция транспортной системы ФАСТИ с платежной системой для предоставления пользователям дополнительной возможности приема и передачи сообщений в платежную систему через ФАСТИ;

дальнейшее развитие ФАСТИ с подключением как казахстанских, так и зарубежных финансовых институтов.

Реализация всех мероприятий, предложенных выше позволит обеспечить: государственным органам:

усиление контроля над денежным оборотом, уменьшение теневого оборота наличных денег и обеспечение полноты сборов по косвенным налогам;

аккумулирование в банковской системе значительных кредитных ресурсов для инвестирования в реальный сектор экономики;

организация эффективного контроля за поступлением и использованием бюджетных денег и соответственно исключение возможности злоупотреблений со стороны представителей государственных органов и структур;

создание эффективных возможностей прогнозирования поступлений в республиканский и местный бюджеты;

сокращение расходов, связанных с поддержанием в обращении (эмиссией) адекватной массы наличных денег;

устранение причин криминализации экономики, связанных с неконтролируемым денежным потоком;

возможность внедрения безналичных расчетов при реализации мероприятий по социальной поддержке населения, обеспечение гарантированной выплаты социальных пособий, ежемесячных пособий на детей, пенсий, предоставление дополнительных услуг населению.

Банкам второго уровня:

функционирование в едином "платежном" пространстве и обслуживание населения, торгово - сервисных предприятий по платежным карточкам, эмитированным другими банками;

расширение клиентской базы, улучшение качества учета;

привлечение дополнительных денежных средств населения;

увеличение доходов от эквайринговых услуг;

сокращение издержек, связанных с эмиссионно - кассовой работой (инкассация, обработка, хранение денег);

практически полное исключение финансовых потерь и рисков от взломов системы и подделки карточек, поскольку в системе будут использоваться микропроцессорные карточки в сочетании со специальной технологией организации расчетов и защиты информации;

уменьшение нагрузки на центральную компьютерную систему банка - участника в связи с использованием режима off-line при выполнении массовых операций оплаты товаров и получения наличных денег. Простота, быстрота, надежность операций электронной инкассации терминальных карточек и карточек банкоматов, экономия на прокладке или аренде линий связи;

возможность обслуживания на терминальном оборудовании, как микропроцессорной карточки, так и карточки с магнитной полосой других карточных платежных систем.

В последнее десятилетие страны с развитыми платежными системами активно реформируют платежные системы, что связано с пониманием и признанием ключевой роли, которую играют платежные системы в финансовой системе и экономике страны в целом. Реформирование платежных и расчетных систем напрямую связано с развитием новых технологий, с усилением важности вопроса эффективности и безопасности проведения платежей и переводов денег. Данные тенденции также коснулись и Казахстан [29, стр. 69].

Комитетом по платежным и расчетным системам Банка Международных Расчетов. За годы функционирования платежных систем Национальным Банком обеспечена эффективная и устойчивая работа платежных систем, однако в целях формирования стратегии Национального Банка по дальнейшему их совершенствованию, а также обеспечения соответствующими информационными технологиями и техническим оснащением в соответствии с последними достижениями в мировой практике, необходимо продолжать работу по развитию платежных систем.

На данном этапе развития Национальному Банку требуется организовать систему контроля и проведения тщательного надзора за операторами услуг платежных систем, провайдерами технического и программного обеспечения платежных систем, а также самих пользователей платежных систем.

В целом, принимаемые меры по развитию платежной системы направлены главным образом на повышение операционной эффективности, надежности, скорости и своевременности платежных операций при одновременном сокращении или ограничении финансовых рисков, а также создание благоприятного климата для использования существующих и внедрения новых безналичных платежных инструментов [30, стр. 15].

ЗАКЛЮЧЕНИЕ

Таким образом, в ходе написания данной дипломной работы были сделаны следующие выводы и рекомендации.

Безналичные расчеты являются главной составляющей всех денежных расчетов (в рыночной экономике - до 90%). Безналичные расчеты в качестве неотъемлемой части финансовой инфраструктуры рыночной экономики опосредуют основной объем реализации валового национального продукта.

Безналичные расчеты основываются на определенных принципах, и по характеристикам они должны быть своевременны, бесперебойны, надежны, безопасны и экономичны. От этого зависят нормальное осуществление платежей хозяйствующими субъектами, что в свою очередь отражается на их рентабельности и ликвидности, функционировании финансовых рынков, эффективности проведения денежно-кредитной политики.

Состояние системы безналичных расчетов зависит во многом от экономического развития страны и конкретной экономической ситуации в стране.

В настоящее время на территории РК функционируют две национальные платежные системы: Межбанковская система переводов денег (МСПД) и Система межбанковского клиринга (СМК).

В целом через платежные системы Казахстана (Межбанковскую систему переводов денег и Систему межбанковского клиринга) в 2013 году было проведено 35.1 миллионов транзакций на сумму 177.6 трлн. тенге (или 1 167.4 миллиардов $). По сравнению с 2012 годом количество платежей в платежных системах увеличилось на 8.9% (на 2 870.2 тысяч транзакций), сумма платежей выросла на 4.0% (на 6.9 трлн. тенге).

Каждая платежная система Казахстана имеет свои особенности функционирования и ориентирована на определенные сегменты рынка.

Основные статусы АО Банк ВТБ в платежных системах:

1.С 1995 года является полноправным участником международной платежной системы VISA International;

.С1998 года является полноправным участником международной платежной системы MasterCard Worldwide;

.С 2006 года выполняет функции уполномоченного расчетного Агента VISA International на территории Российской Федерации;

.С 2009 года является уполномоченным банком по тиражированию услуг и сервисов китайской платежной системы UnionPay.

В данной работе на примере Банк ВТБ Казахстан были рассмотрены:

изменения в активах, обязательствах и капитале Банка;

изменения в доходах и расходах Банка;

основные показатели эффективности деятельности Банка.

В рамках расчетно-кассового обслуживания банк ВТБ предлагает следующие услуги:

- открытие и обслуживание корреспондентских счетов «Лоро» во всех ведущих мировых валютах, российских рублях, валютах стран СНГ и Балтии, клиринговых валютах;

проведение расчетов, включая ускоренные расчеты с использованием региональной сети Банка и банков Группы ВТБ за рубежом;

операции с банковскими картами (ВТБ является расчетным банком для платежной системы Visa International по национальным расчетам);

открытие корреспондентского счета (рубли, СКВ/ОКВ);

условия поддержания Неснижаемого остатка на корреспондентском счете;

открытие счета доверительного управления;

открытие корреспондентских счетов под операции с банковскими картами МПС VISA Int./MasterCard Int. (спонсорство ВТБ для принципиальных членов МПС VISA Int./MasterCard Int.);

открытие накопительных счетов для оплаты уставного капитала в иностранной валюте.

АО Банк ВТБ предлагает новой вид банковской услуги - дистанционное банковское обслуживание (ДБО) Интернет-Банкинг «Online VTB» для физических лиц. Также АО Банк ВТБ (Казахстан) осуществляет денежные переводы с помощью системы «Western Union» по территории Республики Казахстан, в страны Ближнего и Дальнего зарубежья без открытия банковского счета.

Наибольший удельный вес в Активах занимают Кредиты клиентам -83,6%, а в Пассивах статья Средства клиентов - 53,8%. В процессе проведения анализа установлено, что основную часть доходов Банка ВТБ Казахстан принесли операционные доходы 84% от общих доходов, а основную часть расходов составили расходы на содержание аппарат управления - 58%.

Анализ деятельности банка показал, что размер доходов от переводных операции банка возрос от 86 миллионов тенге до почти 260 миллионов тенге, или более чем в 3 раза. В связи с этим банку следует расширять перечень таких операции в перспективе.

В ходе анализа были выделены следующие приоритетные направления деятельности Банка:

)    В целом по деятельности Банка

переход к качественному росту, повышение основных показателей эффективности

) Работа с VIP - клиентами

разработка специализированных продуктовых предложений

создание обособленной модели сервиса

3) Для массового сегмента

усиление дистрибуции

развитие зарплатных проектов

повышение операционной эффективности

) Расширение филиальной сети

увеличить филиальные сети на 40%

повышение эффективности сети

На мой взгляд, в процессе своей деятельности Банку необходимо развивать альтернативные каналы, а именно:

развитие и наполнение существующих каналов продаж и обслуживания;

увеличение проникновения интернет-банкинга;

развитие новых каналов продаж и обслуживания (платежные терминалы, мобильный банкинг).

В 2014-2015 гг. Группе ВТБ необходимо перейти к стратегии эффективного роста и улучшения структуры бизнеса. Необходим фокус на четко выделенных «точках роста» - наиболее перспективных продуктах и сегментах, в которых для Группы ВТБ существует наибольший потенциал роста доходов.

Для достижения финансовых целей и целей по росту капитализации Группа планирует решить ряд задач:

дальнейшая диверсификация бизнеса за счет активного развития новых источников доходов и повышения доли в высокомаржинальных сегментах. Построение нескольких сильных бизнес - направлений, являющихся опорными и для Группы: корпоративный, инвестиционный и розничный бизнес, зарубежная сеть. Снижение концентрации бизнеса и повышение устойчивости финансовых результатов;

кардинальное изменение структуры доходов. Планируется значительное повышение доли комиссионных доходов в общих доходах Группы за счет улучшения продуктовой линейки и системы продаж комиссионных продуктов (в том числе продуктов инвестиционного бизнеса , а также роста доли среднего и розничного бизнеса в общем портфеле;

максимальное использование преимущества географического присутствия в РК;

сокращение издержек и повышение операционной эффективности за счет автоматизации и оптимизации бизнес-процессов, ИТ-платформы и технологий;

максимальная реализация синергии различных видов бизнеса Группы: повышение доходности общей клиентской базы, снижение расходов за счет использования общих функций и ресурсов, повышение комплексности и качества обслуживания.

Банк должен быть достаточно самостоятельным и конкурентным, таким каким на сегодняшний день не является Банк ВТБ Казахстан. Сила банка в обдуманной стратегии: он должен быть небольшим, универсальным, надежным, и самое главное, - рентабельным. А для этого необходимо дифференцировать услуги, предлагаемые банком, искать своего клиента и тщательно изучать его потребности.

СПИСОК ИСПОЛЬЗОВАННОЙ ЛИТЕРАТУРЫ

1            Сейткасимов Г.С. Банковское дело: учебник - Алмата: ТОО «Арко», 2009.- 458с.

2       Щиборщ К. Потребительский кредит: западный опыт и перспективы развития в России // Банковские технологии, журнал, № 9, 2012. с. 45-48

         Ширинская Е.Б. Операции коммерческих банков и зарубежный опыт - М.: Финансы и статистика, 2009. - 325 с.

         Папова Г. С. Кредитная политика коммерческого банка: учебник - Москва, 2010. - 752 с.

         Ачкасов А. И. Активные операции коммерческих банков: учебник - Консалтбанкир, 2009. - 230 с.

         Мак Нотон Д. Банковские учреждения в развивающихся странах // Всемирный Банк, журнал 2009. - 362 с.

         Долан Э. Дж. Кэмпбелл Р. Дж. Деньги, банковское дело и денежно- кредитная политика: учебник - Москва - Ленинград, 2008. - 458 с.

         Капалина К.А. Безналичные расчеты в банке // Банки Казахстана, журнал, - 2012. - №11. С. 49-56.

         Долан Э. Дж. Кэмпбелл Р. Дж. Деньги, банковское дело и денежно- кредитная политика: учебник - Москва - Ленинград, 2010. - 630 с.

         Травкин А.А. Способы обеспечения исполнения кредитных обязательств: учебник - Волгоград, 2009. - 520 с.

         Кредитная политика АО «ВТБ Банк» 2012.

         Отчет АО «ВТБ Банк» 2010-2012

         Садвокасова К. Ж. Организация и регулирование денежного оборота // Банки Казахстана, журнал - 2012. - № 8. - С.69-75.

         Морозов А.Р. Коллекторские агентства становятся все более желаемыми партнерами банков. // Банковское Обозрение, журнал - 2012. - № 2. - С.45-46.

         Ахмедшина А.Ж. Кризис плохих долгов// Банковское дело, журнал - 2013.- № 27. - С.48-49.

         Абдрахманова Г.Т., Нурсеитова Р.А. Тенденции и перспективы развития финансового сектора в Казахстане // Банки Казахстана, журнал - 2011. -№ 12. - С.31-35.

         Жангиров А.Ж. Основные направления повышения эффективности безналичные расчетов // Финансы Казахстана, журнал - 2011. - № 11.- С. 48-52.

         Тарасов В.Д. Пять наиболее интересных видов безналичные расчетов Казахстана// Банки Казахстана, журнал - 2013. - № 11. - С.13-15.

         Тарасов. В.Д.Методы антиинфляционной политики и денежные реформы // Банки Казахстана, журнал - 2012. - № 6. - С.25-27.

         Морозов А.Р. Основные направления повышения эффективности безналичные расчетов// Банковское Обозрение, журнал - 2012. - № 2. - С.45-46.

         Токобаев Н.А. Перспективы развития безналичных расчетов // Банки Казахстана, журнал - 2011.- № 1. - С. 4-8.

         Айманбетова Г.З. Проблемы безналичных расчетов в Казахстане» // Банки Казахстана, журнал -2012.- № 2. - С. 5-10.

         Сатыбалдиева Ж.Ш. Современные взгляды проблем безналичных расчетов в РК // Банки Казахстана, журнал - 2012. - № 8. - С. 54-59.

         Тартаковская Н. Развитие безналичных расчетов // Рынок ценных бумаг Казахстана, журнал - 2011. - № 1. - С. 5-9.

         Сейтказиева А.М. Жамаубаев Е.К. Финансовые институты РК: учебник - Алмата: Финансы и статистика, 2012. - 325 с.

         Мадыханова К.А. Развитие развития безналичных расчетов в РК // Банки Казахстана, журнал - 2013. -№ 6.- С.51-62.

         Данные с официального сайта АО «ВТБ Банк»

         Данные официального сайта АО «ВТБ Банк»

         Арыстанбеков К. Перспективы развития безналичных расчетов в банке// Вопросы экономики, журнал - 2012. - № 8. - С.69-75.

         Муканов Т.Ж. . Развитие развития безналичных расчетов в РК// Рынок ценных бумаг Казахстана, журнал - 2013. - № 1. - С.15-19.

Приложение А

Ожидаемые результаты после внедрения Национальной межбанковской системы платежных карточек на основе микропроцессорных карточек

Для государственных органов

Для банков второго уровня

1

усиление контроля над денежным оборотом, уменьшение теневого оборота наличных денег и обеспечение полноты сборов по косвенным налогам

функционирование в едином "платежном" пространстве и обслуживание населения, торгово - сервисных предприятий по платежным карточкам, эмитированным другими банками

2

аккумулирование в банковской системе значительных кредитных ресурсов для инвестирования в реальный сектор экономики

расширение клиентской базы, улучшение качества учета

3

организация эффективного контроля за поступлением и использованием бюджетных денег и соответственно исключение возможности злоупотреблений со стороны представителей государственных органов и структур

привлечение дополнительных денежных средств населения

4

создание эффективных возможностей прогнозирования поступлений в республиканский и местный бюджеты

увеличение доходов от эквайринговых услуг

5

сокращение расходов, связанных с поддержанием в обращении (эмиссией) адекватной массы наличных денег

сокращение издержек, связанных с эмиссионно - кассовой работой

6

устранение причин криминализации экономики, связанных с неконтролируемым денежным потоком

практически полное исключение финансовых потерь и рисков от взломов системы и подделки карточек, поскольку в системе будут использоваться микропроцессорные карточки в сочетании со специальной технологией организации расчетов и защиты информации

7

возможность внедрения безналичных расчетов при реализации мероприятий по социальной поддержке населения

уменьшение нагрузки на центральную компьютерную систему банка - участника в связи с использованием режима off-line при выполнении массовых операций оплаты товаров и получения наличных денег.

8


возможность обслуживания на терминальном оборудовании, как микропроцессорной карточки, так и карточки с магнитной полосой других карточных платежных систем.


Похожие работы на - Эффективность систем банковских безналичных расчетов

 

Не нашли материал для своей работы?
Поможем написать уникальную работу
Без плагиата!
Без нейросетей!