Механика контактного взаимодействия

  • Вид работы:
    Реферат
  • Предмет:
    Физика
  • Язык:
    Русский
    ,
    Формат файла:
    MS Word
    124,65 Кб
  • Опубликовано:
    2015-12-23
Вы можете узнать стоимость помощи в написании студенческой работы.
Помощь в написании работы, которую точно примут!

Механика контактного взаимодействия















Реферат

Механика контактного взаимодействия

Введение

механика контактный шероховатость упругий

Механика контактного взаимодействия является основополагающей инженерной дисциплиной, чрезвычайно полезной при проектировании надёжного и энергосберегающего оборудования. Она будет полезна при решении многих контактных задач, например колесо-рельс, при расчёте муфт, тормозов, шин, подшипников скольжения и качения, передач зубчатыми колесами, шарниров, уплотнений; электрических контактах и др. Она охватывает широкий спектр задач, начиная от расчётов прочности элементов сопряжения трибосистемы с учётом смазывающей среды и строения материала и заканчивая применением в микро- и наносистемах.

Классическая механика контактных взаимодействий связана прежде всего с именем Генриха Герца. В 1882 году Герц решил задачу о контакте двух упругих тел с искривлёнными поверхностями. Этот классический результат и сегодня лежит в основе механики контактного взаимодействия.

1. Классические задачи механики контактного взаимодействия

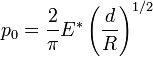
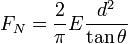
.        Контакт между шаром и упругим полупространством


Твёрдый шар радиуса R вдавливается в упругое полупространство на глубину d (глубина проникновения), образуя область контакта радиуса

.

Необходимая для этого сила равна

,

где ;

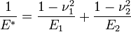
Здесь E1, E2 - модули упругости; ν1, ν2 - коэффициенты Пуассона обоих тел.

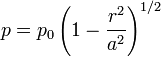
2.      Контакт между двумя шарами


При контакте двух шаров с радиусами R1 и R2 эти уравнения справедливы соответственно для радиуса R

 .

Распределение давления в площади контакта определяется по формуле


с максимальным давлением в центре

.

Максимальное касательное напряжение достигается под поверхностью, для ν = 0,33 при .

3.      Контакт между двумя скрещивающимися цилиндрами с одинаковыми радиусами R


Контакт между двумя скрещенными цилиндрами с одинаковыми радиусами эквивалентен контакту между шаром радиусом R и плоскостью (см. выше).

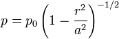
4.      Контакт между твердым цилиндрическим индентором и упругим полупространством


Если твердый цилиндр радиусом a вдавливается в упругое полупространство, тo давление распределяется следующим образом:

,

причем

.

Связь между глубиной проникновения и нормальной силой определяется

.

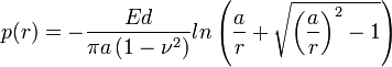
5.      Контакт между твердым коническим индентором и упругим полупространством


При индентировании упругого полупространства твердым конусообразным индентером глубина проникновения и радиус контакта определяются следующим соотношением:

.

Здесь θ − угол между горизонталью и боковой плоскостью конуса.

Распределение давления определяется формулой

 .

Напряжение в вершине конуса (в центре области контакта) изменяется по логарифмическому закону. Суммарная сила рассчитывается как

 .

6.      Контакт между двумя цилиндрами с параллельными осями


В случае контакта между двумя упругими цилиндрами с параллельными осями сила прямо пропорциональна глубине проникновения

.

Радиус кривизны в этом соотношении вообще не присутствует. Полуширина контакта определяется следующим отношением

,

с  ,

как и в случае контакта между двумя шарами.

Максимальное давление равно

.

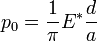
7.      Контакт между шероховатыми поверхностями

Когда два тела с шероховатыми поверхностями взаимодействуют друг с другом, то реальная площадь контакта A намного меньше, чем геометрическая площадь A0. При контакте между плоскостью со случайно распределенной шероховатостью и упругим полупространством реальная площадь контакта пропорциональна нормальной силе F и определяется следующим приближенным уравнением:

.

При этом Rq − среднеквадратичное значение неровности шероховатой поверхности и . Среднее давление в реальной площади контакта


рассчитывается в хорошем приближении как половина модуля упругости E *, умноженная на среднеквадратичное значение неровности профиля поверхности Rq. Если это давление больше твердости HB материала и таким образом


то микронеровности находятся полностью в пластичном состоянии.

Для ψ <2/3 поверхность при контакте деформируется только упруго. Величина ψ была введена Гринвудом и Вильямсоном и носит название индекса пластичности.

. Учет шероховатости

На основании анализа экспериментальных данных и аналитических методов расчета параметров контактирования сферы с полупространством с учетом наличия шероховатого слоя был сделан вывод о том, что расчетные параметры зависят не столько от деформации шероховатого слоя, сколько от деформации отдельных неровностей.

При разработке модели контактирования сферического тела с шероховатой поверхностью учитывались полученные ранее результаты:

–       при малых нагрузках давление для шероховатой поверхности меньше рассчитанного по теории Г. Герца и распределяется по большей площади (Дж. Гринвуд, Дж. Вильямсон);

–       применение широко используемой модели шероховатой поверхности в виде ансамбля тел правильной геометрической формы, вершины высот которых подчиняются определенному закону распределения, приводит к значительным ошибкам при оценке параметров контактирования, особенно при малых нагрузках (Н.Б. Демкин);

–       отсутствуют пригодные для расчета параметров контактирования простые выражения и не достаточно развита экспериментальная база.

В данной работе предлагается подход, основанный на фрактальных представлениях о шероховатой поверхности как о геометрическом объекте с дробной размерностью.

Модуль упругости шероховатого слоя (а не материала, из которого состоит деталь и, соответственно, шероховатый слой) Eeff, являясь величиной переменной, определяется зависимостью:

, (1)

где Е0 - модуль упругости материала; ε - относительная деформация неровностей шероховатого слоя; ζ - константа (ζ = 1); D - фрактальная размерность профиля шероховатой поверхности.

Действительно, относительное сближение характеризует в определенном смысле распределение материала по высоте шероховатого слоя и, таким образом, эффективный модуль характеризует особенности пористого слоя. При ε = 1 этот пористый слой вырождается в сплошной материал со своим модулем упругости.

Полагаем, что число пятен касания пропорционально размерам контурной площади, имеющей радиус ас:

.

Перепишем это выражение в виде

. (2)

Найдем коэффициент пропорциональности С. Пусть N = 1, тогда ас=(Smax / π)1/2, где Smax - площадь одного пятна контакта. Откуда

 и .

Подставив полученное значение С в уравнение (2), получим:

. (3)

Полагаем, что кумулятивное распределение пятен контакта с площадью, большей s, подчиняется следующему закону

. (4)

Дифференциальное (по модулю) распределение числа пятен определяется выражением

. (5)

Выражение (5) позволяет найти фактическую площадь контакта

. (6)

Полученный результат показывает, что фактическая площадь контакта зависит от структуры поверхностного слоя, определяемой фрактальной размерностью и максимальной площадью отдельного пятна касания, расположенного в центре контурной площади. Таким образом, для оценки параметров контактирования необходимо знать деформацию отдельной неровности, а не всего шероховатого слоя. Кумулятивное распределение (4) не зависит от состояния пятен контакта. Оно справедливо, когда пятна касания могут находиться в упругом, упругопластическом и пластическом состояниях. Наличие пластических деформаций определяет эффект приспосабливаемости шероховатого слоя к внешнему воздействию. Данный эффект частично проявляется в выравнивании давления на площади касания и увеличении контурной площади. Кроме того, пластическое деформирование многовершинных выступов приводит к упругому состоянию этих выступов при небольшом числе повторных нагружений, если нагрузка не превышает первоначального значения.

По аналогии с выражением (4) запишем интегральную функцию распределения площадей пятен контакта в виде

. (7)

Дифференциальная форма записи выражения (7) представляется следующим выражением:

. (8)

Тогда математическое ожидание площади контакта определяется следующим выражением:

. (9)

Так как фактическая площадь контакта равна


и, учитывая выражения (3), (6), (9), запишем:

.

Откуда

. (10)

Считая, что фрактальная размерность профиля шероховатой поверхности (1 < D < 2) является величиной постоянной, можно сделать вывод о том, что радиус контурной площади контакта зависит только от площади отдельной максимально деформированной неровности.

Определим Smax из известного выражения

,

где α - коэффициент, равный 1 для пластического состояния контакта сферического тела с гладким полупространством, и α = 0,5 - для упругого; r - радиус закругления вершины неровности; δmax - деформация неровности.

Положим, что радиус круговой (контурной) площади ас определяется модифицированной формулой Г. Герца

. (11)

Тогда, подставив выражение (1) в формулу (11), получим:

. (12)

Приравняв правые части выражений (10) и (12) и решая полученное равенство относительно деформации максимально нагруженной неровности, запишем:

. (13)

Здесь , r - радиус закругления вершины неровности.

При выводе уравнения (13) учитывалось, что относительная деформация наиболее нагруженной неровности равна

,

где δmax - наибольшая деформация неровности; Rmax - наибольшая высота профиля.

Для гауссовской поверхности фрактальная размерность профиля D=1,5 и при ς = 1 выражение (13) имеет вид:

. (14)

Считая деформацию неровностей и осадку их основания аддитивными величинами, запишем:


Тогда суммарное сближение найдем из следующего соотношения:

. (15)

Таким образом, полученные выражения позволяют найти основные параметры контактирования сферического тела с полупространством с учетом шероховатости: радиус контурной площади определялся по выражениям (12) и (13), сближение − по формуле (15).

. Эксперимент

Испытания проводились на установке для исследования контактной жесткости неподвижных стыков. Точность измерения контактных деформаций составляла 0,1-0,5 мкм.

Схема испытаний приведена на рис. 1. Методика проведения эксперимента предусматривала плавное нагружение и разгрузку образцов, имеющих определенную шероховатость. Между образцами устанавливались три шарика диаметром 2R=2,3 мм.

Деформации и нагрузка измерялись непрерывно.

Были исследованы образцы, имеющие следующие параметры шероховатости (табл. 1).

При этом верхний и нижний образцы имели одинаковые параметры шероховатости. Материал образцов - сталь 45, термообработка - улучшение (HB 240). Результаты испытаний приведены в табл. 2.

Здесь же представлено сравнение экспериментальных данных с расчетными значениями, полученными на основе предлагаемого подхода.

Таблица 1

Параметры шероховатости

Номер образца

Параметры шероховатости поверхности стальных образцов


Rmax, мкм

Ra, мкм

r, мкм

Sm, мкм

Параметры аппроксимации опорной кривой






b

ν

10,6

1,4

88

32

2,51

1,84

2

18,6

2,8

79

88

1,45

1,76


Таблица 2

Сближение сферического тела с шероховатой поверхностью

F, Н

Образец № 1

Образец № 2


δmax, мкм

δосн, мкм

Теория

Эксперимент

δmax, мкм

δосн, мкм

Теория

Эксперимент




δΣ, мкм

δΣЭ, мкм



δΣ, мкм

δΣЭ, мкм

33

3,1

1,2

4,3

2,5

4,4

1,0

5,4

3,5

67

3,7

2,1

5,8

4,5

5,4

1,8

7,2

5,5

100

4,2

3,0

7,2

6,1

6,1

2,6

8,7

8,0

133

4,6

3,8

8,4

8,0

6,6

3,4

10,0

10,0

167

4,9

4,6

9,5

7,0

4,1

11,1

12,0

200

5,1

5,4

10,5

10,5

7,4

4,8

12,2

13,0


Сравнение экспериментальных и расчетных данных показало их удовлетворительное соответствие, что говорит о применимости рассмотренного подхода к оценке параметров контактирования сферических тел с учетом шероховатости.

На рис. 2 показана зависимость отношения ас/ас (Н) контурной площади с учетом шероховатости к площади, рассчитанной по теории Г. Герца, от фрактальной размерности.

Как видно на рис. 2, с увеличением фрактальной размерности, отражающей сложность структуры профиля шероховатой поверхности, растет величина отношения контурной площади контакта к площади, рассчитанной для гладких поверхностей по теории Г. Герца.

Рис. 1. Схема испытания: а - нагружение; б - расположение шариков между испытуемыми образцами

Приведенная зависимость (рис. 2) подтверждает факт увеличения площади касания сферического тела с шероховатой поверхностью по сравнению с площадью, рассчитанной по теории Г. Герца.

При оценке фактической площади касания необходимо учитывать верхний предел, равный отношению нагрузки к твердости по Бринеллю более мягкого элемента.

Площадь контурной площади с учетом шероховатости найдем, используя формулу (10):

 (16)

Рис. 2. Зависимость отношения радиуса контурной площади с учетом шероховатости к радиусу герцевской площади от фрактальной размерности D

Для оценки отношения фактической площади контакта к контурной разделим выражение (7.6) на правую часть уравнения (16)

 (17)

На рис. 3 показана зависимость отношения фактической площади контакта Ar к контурной площади Ас от фрактальной размерности D. С увеличением фрактальной размерности (увеличением шероховатости) отношение Ar/ Ас уменьшается.

Рис. 3. Зависимость отношения фактической площади контакта Ar к контурной площади Ас от фрактальной размерности

Таким образом, пластичность материала рассматривается не только как свойство (физико-механический фактор) материала, но и как носитель эффекта приспосабливаемости дискретного множественного контакта к внешнему воздействию. Этот эффект проявляется в некотором выравнивании давлений на контурной площади касания.

Список литературы

1.      Мандельброт Б. Фрактальная геометрия природы / Б. Мандельброт. - М.: Институт компьютерных исследований, 2002. - 656 с.

2.      Воронин Н.А. Закономерности контактного взаимодействия твердых топокомпозиционных материалов с жестким сферическим штампом / Н.А. Воронин // Трение и смазка в машинах и механизмах. - 2007. - №5. - С. 3-8.

.        Иванов А.С. Нормальная, угловая и касательная контактные жесткости плоского стыка / А.С. Иванов // Вестник машиностроения. - 2007. - №1. С. 34-37.

.        Тихомиров В.П. Контактное взаимодействие шара с шероховатой поверхностью / Трение и смазка в машинах и механизмах. - 2008. - №9. -С. 3-

.        Демкин Н.Б. Контакт шероховатых волнистых поверхностей с учетом взаимного влияния неровностей / Н.Б. Демкин, С.В. Удалов, В.А. Алексеев [и др.] // Трение и износ. - 2008. - Т.29. - №3. - С. 231-237.

.        Буланов Э.А. Контактная задача для шероховатых поверхностей / Э.А. Буланов // Техника машиностроения. - 2009. - №1(69). - С. 36-41.

.        Ланков, А.А. Вероятность упругих и пластических деформаций при сжатии металлических шероховатых поверхностей / А.А. Лакков // Трение и смазка в машинах и механизмах. - 2009. - №3. - С. 3-5.

8.      Greenwood J.A. Contact of nominally flat surfaces / J.A. Greenwood, J.B.P. Williamson // Proc. R. Soc., Series A. - 196 - V. 295. - №1422. - P. 300-319.

9.      Маджумдар М. Фрактальная модель упруго-пластического контакта шероховатых поверхностей / М. Маджумдар, Б. Бхушан // Современное машиностроение. − 1991. − № − С. 11-23.

10.    Varadi K. Evaluation of the real contact areas, pressure distributions and contact temperatures during sliding contact between real metal surfaces / K. Varodi, Z. Neder, K. Friedrich // Wear. - 199 - 200. - P. 55-62.

Похожие работы на - Механика контактного взаимодействия

 

Не нашли материал для своей работы?
Поможем написать уникальную работу
Без плагиата!
Без нейросетей!