Электоральные предпочтения и потенциал новых партий в субъектах РФ

  • Вид работы:
    Реферат
  • Предмет:
    Политология
  • Язык:
    Русский
    ,
    Формат файла:
    MS Word
    316,99 Кб
  • Опубликовано:
    2016-07-24
Вы можете узнать стоимость помощи в написании студенческой работы.
Помощь в написании работы, которую точно примут!

Электоральные предпочтения и потенциал новых партий в субъектах РФ












Реферат

Электоральные предпочтения и потенциал новых партий в субъектах РФ

В одной из классических работ, посвященных изучению электоральных предпочтений, С.М. Липсет и С. Роккан отмечают, что страны, характеризующиеся социальным, этническим, лингвистическим или культурным разнообразием обладают большим количеством влиятельных политических игроков, так как в обществе существует потребность в представительстве интересов различных социальных групп. Как отметили К.Л. Тайлор и М.К. Хадсон, проанализировав различные политические системы, существует взаимосвязь между численностью населения и количеством размежеваний: чем выше первый показатель, тем выше и второй. Исходя из данного вывода, Р. Хармел в своей работе «Образование и успех новых партий: кросс-страновой анализ» отмечает, что именно данный фактор оказался значимым для наращивания электорального потенциала новых партий в странах западной и восточной Европы.

Основываясь на результатах данных работ, мы можем предположить, что данный фактор также является значимым на региональном уровне в России:

H1. Чем выше численность населения в субъектах РФ, тем выше электоральный потенциал новых политических партий на выборах в региональные законодательные собрания.

Несмотря на то, что данная исследовательская гипотеза, основанная на предшествующих работах по данной теме, была включена в работу необходимо отметить, что численность населения является абстрактным показателем, который напрямую не свидетельствует о том какие именно социальные размежевания оказываются значимыми. Кроме того, ни одна из перечисленных работ до конца не объясняет каузальную связь между данным фактором и зависимой переменной в следствие чего необходимо ввести несколько дополнительных корректирующих социологических факторов, получивших большее распространение среди не только исследователей XX века, но и среди современных политологов.

В первую очередь, речь идет об этнической фракционализации, которая свидетельствует о степени гетерогенности сообществ. В то же время, несмотря на то, что данный показатель не учитывает наличие конфликтов в обществе и степень их политизированности, он все же является полезным для данной работы, так как позволяет учесть особенности наращивания электорального потенциала, например, в национальных республиках. В то же время, этническая фракционализация косвенно свидетельствует и о том, какую роль играет социальная сплоченность в голосовании за новых политических игроков. Несколько ранее, например, Дж. Аджей продемонстрировал, что в условиях сильной фракционализации и поляризации степень доверия между членами сообществ низкая, что отрицательно сказывается на процессе обмена информацией. Подобные тенденции приводят не только к тому, что повышается электоральная волатильность, снижается явка, но и к тому, что новые политические партии получают дополнительную поддержку, т.к. голосование выстраивается не на основе рационального выбора (потому, что для этого требуется обладать полнотой информации, которой в подобных обществах нет), а на выборе, основанном на стремлении избежать победы наименее предпочтительной партии, отстаивающей интересы противоположной этнической группы.

Кроме того, если говорить о второй составляющей электорального потенциала - способности политических партий принимать участие в выборах, то предполагается, что крупные регионы потенциально обладают большей привлекательностью для таковых, т.к. обеспечивают большую электоральную базу для последующих федеральных выборов.

Исходя из приведенных выше работ, мы можем сформулировать вторую рабочую гипотезу:

H2: Чем выше индекс этнической фракционализации, тем выше электоральный потенциал новых политических партий на выборах в региональные законодательные собрания.

Помимо фракционализации, в данной работе рассматривается еще один социологический фактор, который может оказывать влияние на электоральный потенциал новых партий - доля городского населения. Как отмечают исследователи, степень урбанизации свидетельствует о степени концентрации населения на определенной территории, на которой процесс обмена информацией может быть значительно ускорен. Это в последствии отражается на итогах голосования: результаты оказываются более устойчивыми на протяжении длительного времени, что отрицательно сказывается на электоральном потенциале новых партий. Тем не менее, если принимать во внимание прочие факторы, оказывающиеся более значимыми для самих избирателей, то возможно возникновение обратной тенденции, когда новые политические партии получают широкую поддержку, так как в условиях концентрации населения в границах нескольких городов проведение избирательной кампании значительно облегчается, а многие издержки (например, транспортные) значительно сокращаются.

Таким образом, третья рабочая гипотеза может быть сформулирована следующим образом: 3: Чем выше доля городского населения в регионах РФ, тем выше электоральный потенциал новых политических партий.

После того, как были сформулированы основные рабочие гипотезы относительно социологических факторов, необходимо также рассмотреть основные политические факторы, которые предположительно оказывают влияние на приращение электорального потенциала новых партий в регионах Российской Федерации.

В первую очередь необходимо обратить внимание на партийную систему и количество эффективных партий в предшествующие периоды. Как отмечает К. Дешауэр эффективное число партий в предшествующие электоральные циклы указывает на степень «монополизации» политической системы, которая в свою очередь является сигналом не только для избирателей, предпочитающих не тратить свои голоса «впустую», но и для самих новых партий, которые стремятся минимизировать издержки и не тратить средства на ведение избирательных кампаний там, где вероятность получить хотя бы одно место в парламенте крайне низкая. С другой стороны, чем более рассредоточены голоса между различными политическими партиями в предшествующие периоды, тем больше возможностей у новых игроков преуспеть на выборах, т.к. используя ту или иную повестку дня, близкую с традиционными старыми партиями, новые партии могут получить часть электората первых.

В этом случае рабочая гипотеза для российских реалий будет следующей:

H4: Чем выше эффективное число партий на региональном уровне в предшествующие электоральные циклы, тем выше электоральный потенциал новых политических партий.

В то же время, как отметил К. Дешауэр нельзя рассматривать эффективное число партий отдельно от показателей электоральной волатильности. Последняя, в частности, фактически может разрушить любую из предложенных моделей электорального поведения из-за того, что предпочтения избирателей могут измениться, и найденные до этого факторы окажутся незначимыми.

Исследователи, придерживающиеся различных подходов к изучению электорального поведения, так или иначе пытались встроить электоральную волатильность в свои модели. Так, например, Т. Госсолин и Т. Тока, относящиеся Колумбийской школе, разделяли общества с единичными или множественными расколами. В случае с единичным расколом происходит снижение электоральной волатильности, т.к. образуется два «лагеря», которые имеют противоположение предпочтения и, следовательно, сильно поляризованы. В то же время, в таких обществах фиксируется высокий уровень политического участия. С другой стороны, авторы выделяют «пересекающиеся» расколы, которые накладываются друг на друга в одном территориальном пространстве или сообществе. Такие общества, как правило, характеризуются высокой степенью электоральной неустойчивости, т.к. различные партии и кандидаты формируют свои избирательные программы исходя из этих расколов, в то время как представление избирателей относительно наиболее значимых размежеваний может меняться от одного электорального цикла к другому. Как следствие, предпочтения избирателей формируются в большей степени исходя из внешних краткосрочных факторов, вмешивающихся в избирательные кампании: экономические кризисы, скандалы и пр. При этом, в таких обществах, как правило, фиксируется низкий уровень политического участия.

В то же время, принимая во внимание тот факт, что для различных российских регионов характерно наличие либо единичного, либо множественных расколов, возникает необходимость в проверке гипотезы о влиянии электоральной волатильности, в основе которой и лежат размежевания, на электоральный потенциал новых партий.

В данном контексте, П. Мейер на основе анализа выживаемости небольших партий в Западной Европе выявил, что высокая электоральная волатильность, как правило, оказывает положительный эффект на их электоральную поддержку. Предпочтения избирателей в таких условиях еще не сформировались, а значит, такие партии могут получить свою долю электората с меньшими издержками, чем при устойчивом голосовании в предшествующие периоды.

Исходя из указанных теорий пятая ключевая гипотеза может быть сформулирована следующим образом:

H5: Чем выше электоральная волатильность в предшествующие электоральные циклы, тем выше электоральный потенциал новых партий на региональном уровне.

Помимо электоральной волатильности, на электоральный потенциал новых партий также может оказывать влияние и политический режим, сформировавшийся в предшествующий электоральный цикл. Существует большое количество различных способов концептуализировать и операционализировать термин «политический режим». Тем не менее, если придерживаться одной из классических интерпретаций, то можно определить, что данный фактор в большей степени отражает степень конкурентности на выборах и наличие или отсутствие плюрализма, уровень политического участия и степень конституционности власти, идеологизацию и характерные особенности политического лидерства. В то же время характер политической системы является не менее значимым фактором в объяснении успеха новых партий в послевоенной Западной Европе, исходя из чего возникает также необходимость включить данную переменную в модели, используемые в данной работе, в то время, как рабочая гипотеза относительно данной переменной следующая:

H6: Чем выше степень демократичности политического режима в регионе РФ, тем выше электоральный потенциал новых политических партий.

И, наконец, последняя рабочая гипотеза посвящена влиянию явки на выборах на электоральный потенциал новых партий. Предполагается, что в условиях неблагоприятной для избирателей экономической конъюнктуры происходит мобилизация населения и рост протестного голосования. При этом, как отмечают исследователи, указанные условия оказывают благоприятный эффект на электоральный потенциал новых партий, т.к. с одной стороны, протестное голосование само себе предполагает увеличение доли голосов у нетрадиционных партий и, с другой стороны, оно ведет к росту электоральной волатильности, которая также, как предполагается в данной работе, способствуют увеличению привлекательности региона для участия в выборах новыми политическими партиями. Таким образом в данной работе предполагается, что

H7: Чем выше явка избирателей на выборах в региональные законодательные собрания, тем выше электоральный потенциал новых партий.

Гипотезы, обозначенные в предыдущем разделе работы, тестируются на пространственной выборке, состоящей из 44 регионов Российской Федерации. В силу того, что количества наблюдений недостаточно для получения надежных результатов, при проведении регрессионного анализа необходимо реплицировать данные (до 10 000 репликаций) для получения бустрапированных стандартных ошибок.

Как видно из рис. 1 и рис. 2. электоральный потенциал новых партий (т.е. зависимые переменные: ведение избирательных кампаний новыми партиями и их электоральная поддержка на региональном уровне) сильно варьируется между регионами.

потенциал политический партия

Рис. 1 Количество новых партий, принявших участие в выборах в региональные законодательные собрания в период с 2012-2015 гг.

Так, например, регионами-лидерами по первому показателю являются Смоленская область и Республика Бурятия (15), Ярославская и Кемеровская области (14), в то время, как аутсайдеры - Новосибирская и Воронежская области (0), Челябинская, Магаданская и Курганская области (1). Наибольшую электоральную поддержку новые партии получили, при этом, в Ярославской области (21%), Ненецком автономном округе (16%) и Архангельской области (16%), а наименьшей популярностью пользовались в Челябинской области (<1%), Чеченской республике (1%) и Курганской области (1%).

Рис. 2 Доля голосов, полученная новыми партиями на выборах в региональные законодательные собрания в период с 2012-2015гг.

Кроме того, если обратиться к описательным статистикам, представленным в таблице 1, то можно обнаружить, что в среднем в период с 2012-2015 гг. в выборах в региональные законодательные собрания принимали участие около 6 партий, в то время, как среднее значение поддержки новых партий составило 7,3%.

Таблица 1. Описательные статистики


N

Минимум

Максимум

Среднее

Стд. отклонение

Number

44

,00

15,00

6,2273

4,68478

Votes

44

,00

,21

,0731

,05187

N валидных (целиком)

44






После того, как были проанализированы дескриптивные статистики по зависимым переменным, необходимо выявить характерные особенности используемых предикторов (см. таблицу 2).  Во-первых, при определении временного периода, за который берутся значения используемых переменных, в данной работе учитывается ретроспективный характер голосования избирателей, продемонстрированный ранее в работах некоторых отечественных и зарубежных исследователей.  Предикторы, относящиеся к социологическим показателям, взяты за период, предшествующий году выборов в каждом регионе. В то же время, такие политические показатели, как эффективное число партий, электоральная волатильность и степень демократичности регионов взяты за периоды, предшествующие последнему электоральному циклу, т.е. данные показатели характеризуют структурные особенности регионального политического процесса в период проведения избирательных кампаний новыми партиями. И, наконец, данные по независимой переменной - явке избирателей на выборах - представлены за период, соответствующий последним выборам, т.к. согласно последней рабочей гипотезе в данной работе планируется рассмотреть оказываемый этим предиктором эффект на электоральный потенциал новых партий.

Первый рассматриваемый ключевой предиктор в данной работе - численность населения субъектов Российской Федерации (переменная ln_pop - от величины был взят натуральный логарифм для приближения к нормальному распределению, т.е. для выполнения условий проведения регрессионного анализа). Данный индикатор является одним из ключевых в данной работе, т.к. позволяет оценить насколько для новых политических партий важна численность населения субъектов РФ и потенцильный объем электората.

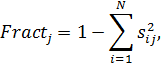
Вторая ключевая независимая переменная - индекс этнической фракционализации (переменная Frac) позволяет учесть фактор этнических расколов на региональном уровне. Данный индекс рассчитывается в соответствии с методологией, разработанной А. Алесиной, А. Девлишауэром и др:


где sij - доля этнической группы i (i = 1…N) в регионе j.

В то же время, в данной работе не рассматривается скорректированный индекс, учитывающий лингвистические и конфессиональные расколы, т.к. в предшествующих работах была выявлена связь между указанными признаками на региональном уровне в России, в силу чего полученный скорректированный индекс в значительной степени не отличается от первоначального. Кроме того, данный показатель (как и скорректированный) обладает рядом недостатков, указанных выше: во-первых, он не учитывает наличие конфликтов в обществе и, во-вторых, не рассматривает степень политизированности этих конфликтов. Несмотря на эти ограничения, данный предиктор все же будет использоваться в данной работе, так как позволит оценить, во-первых, насколько национальные республики рассматриваются новыми партиями, как потенциальная площадка для наращивания электорального потенциала и, во-вторых, насколько этнические расколы благоприятствуют увеличению электоральной поддержки новых партий.

Таблица 2. Ключевые независимые переменные

Переменная

Тип переменных

Источник данных

Натуральный логарифм численности населения субъектов Российской Федерации (данные представлены в непрерывной шкале)

Социологические

Федеральная служба государственной статистики

Индекс фракционализации интервальная шкала от 0 до 1, где минимальное значение соответствует полной этнической гомогенности (данные представлены в непрерывной шкале)


Расчеты автора на основании данных, представленных Фед. службы гос. статистики


Федеральная служба государственной статистики

Эффективное число партий (данные представлены в непрерывной шкале)

Политические

Расчеты автора на основании данных, представленных центральной избирательной комиссией

Электоральная волатильность (данные представлены в непрерывной шкале, где минимальные значения соответствуют низкой степени электоральной волатильности)



Степень демократичности регионов (данные представлены в непрерывной шкале, где минимальные значения соответствуют низкой степени демократичности)


Рейтинг демократичности регионов (А. Титков, Н. Петров)

Явка (данные представлены в непрерывной шкале)


Центральная избирательная комиссия


Выбор третьего ключевого предиктора - удельный вес городского населения в общей численности населения (переменная urb) обусловлен тем, что степень концентрации населения на ограниченной территории позволяет вести избирательные кампании с наименьшими издержками, если уровень урбанизации является высоким. Предполагается, что регионы с высокими значениями по данному показателю привлекают большее количество новых партий, а также способствуют более высокой электоральной поддержке последних.

Четвертая ключевая независимая переменная -  эффективное число партий (переменная HM) указывает на то, насколько в предшествующих электоральный цикл голоса избирателей были сконцентрированы вокруг одной или нескольких партий. Чем выше значение по данному показателю, тем больше эффективное число партий в предшествующий электоральный цикл. При этом, в данной работе используется скорректированный индекс, позволяющий учесть эффект доминирующей партии, разработанный Х. Молинаром и описанный в статье «Рассчитывая количество партий: альтернативный способ измерения»:

,

где N - индекс Лааксо и Таагепера, рассчитываемый, как ,

vi  - доля голосов партии i,

v1 - доля голосов полученная партией с наибольшей поддержкой на выборах.

Следующий ключевой предиктор - электоральная волатильность (переменные PI_LC_1207, PI_SD_1107, PI_SD_0703) отражает степень устойчивости электоральных предпочтений в предшествующие электоральные циклы. При этом, данный показатель рассчитывается следующим образом:


где n - количество партийit - доля голосов партии i в момент времени t,

pi(t+1) - доля голосов партии i в момент времени t+1.

В то же время, в данной работе индекс Педерсена рассчитывается для следующих периодов: 1) Последние выборы в региональные законодательные собрания 2012-2015 гг. (t+1) и выборы предшествующие последним выборам в региональные законодательные собрания (2007-2010 гг.) (t); 2) Выборы в Государственную Думу ФС РФ 2011 г. (t+1) и аналогичные выборы в 2007 г. (t); 3) Выборы в Государственную Думу ФС РФ 2007 г. (t+1) и аналогичные выборы в 2003 г. (t). Необходимость в использовании трех индексов вызвана отсутствием теоретических работ, обосновывающих временной лаг при использовании индекса Педерсена в изучении электорального поведения.

Шестой ключевой предиктор - степень демократичности регионов (переменная Regime) указывает на характерные особенности политического процесса в период проведения избирательных кампаний. Данный показатель основан на рейтинге, разработанном Московским центром Карнеги, который формируется на основании экспертных оценок. Несмотря на то, что оценивание происходит ежегодно, как отмечают сами авторы рейтинга, значительное ограничение полученных показателей - недостаток информации, вызванный закрытостью данных по некоторым субъектам. В то же время, для коррекции данного ограничения используется метод скользящего среднего (оценка дается за последние 5 лет), который позволяет сгладить экстремальные значения. Итоговый показатель демократичности включает в себя оценки по десяти критериям, каждый из которых оценивается экспертами по 5 балльной шкале, и рассчитывается, как сумма оценок, данных экспертом по каждому элементу. Среди элементов авторы рейтинга выделяют: региональное политическое устройство, открытость/закрытость политической жизни, демократичность выборов, политический плюрализм, независимость СМИ, коррупция, экономическая либерализация, гражданское общество, элиты, местное самоуправление.

И. наконец, последний ключевой предиктор, используемый в данной работе - явка избирателей на последних выборах в региональные законодательные собрания (переменная - Turnout) рассчитывается как отношение суммы числа недействительных избирательных бюллетеней и действительных избирательных бюллетеней к числу избирателей, внесенных в список избирателей на момент окончания голосования.     

После того, как мы рассмотрели основные предикторы, необходимо объяснить выбор контрольных переменных, включаемых впоследствии в модели (Таблица 3).

Таблица 3. Контрольные переменные

Переменная

Источник данных

Уровень неравенства (Коэффициент Джини) интервальная шкала от 0 до 1, где минимальное значение соответствует полному равенству

   Федеральная служба государственной статистики

Натуральный логарифм валового регионального продукта (ВРП) на душу населения (данные представлены в непрерывной шкале)


Индекс промышленного производства (данные представлены в непрерывной шкале)


Уровень безработицы (данные представлены в непрерывной шкале)


Численность населения с денежными доходами ниже величины прожиточного минимума (данные представлены в непрерывной шкале)


Динамика реальных доходов населения (данные представлены в непрерывной шкале)


Число больничных коек на 1000 человек (данные представлены в непрерывной шкале)


Заболеваемость на 1000 человек (данные представлены в непрерывной шкале)


Число зарегистрированных преступлений на 100 000 человек населения (данные представлены в непрерывной шкале)



В соответствии с требованиями, предъявляемыми к контрольным переменным: используемые показатели должны быть так или иначе связаны как с зависимыми переменными, так и с независимыми, необходимо обосновать каким образом на теоретическом уровне осуществляется эта связь. Прежде всего, необходимо отметить, что представленные выше контрольные переменные отражают либо социальное, либо экономическое благополучие регионов. При этом, согласно модели «поддержки-наказания» М. Льюис-Бека и М. Стегмайера «граждане голосуют за текущее правительство, если дела в экономике идут хорошо, в противном случае они голосуют против». Протестное голосование в этом случае благоприятствует не только старым оппозиционным партиям, но и новым игрокам.

Связь между политическими факторами и социально-экономическими контрольными переменными была рассмотрена ранее многими зарубежными исследователями. Так, например, Б. Эпперли, также являющийся представителем теории рационального выбора, указывает на то, что социально-экономические факторы, с точки зрения своего содержательного смысла, крайне сильно разнятся и их влияние на электоральную волатильность необходимо рассматривать по-отдельности не только в рамках теоретического обоснования формулируемых гипотез, но и в рамках построения исследовательских моделей. Для этого он, в частности, выбирает три индикатора - рост ВВП, инфляцию и уровень безработицы. Для создания более качественной модели Б. Эпперли не ограничивается экономическими факторами и добавляет в свою модель также институциональные, к которым относятся эффективное число партий, форма правления, политический режим, и «исторические» предикторы - период существования политических партий и наличие советской традиции.

Автор приходит к выводу, что в большей степени устойчивость электоральных предпочтений определяется формой правления, политическим режим и постсоветским наследием, нежели социально-экономическими факторами. Тем не менее, в обеих моделях значимым оказывается, как минимум, один фактор: уровень безработицы или инфляция.

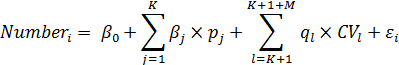
Как было отмечено в самом начале данной работы, для оценки функциональной связи между предикторами и зависимой переменной используются линейные множественные регрессии. При этом, для минимизации суммы квадратов отклонений от истинных значений используется метод наименьших квадратов (Ordinary Least Squares). Использование данного метода представляется релевантным, так как предикторы являются постоянными во временной перспективе и не зависят от года проведения выборов в региональные законодательные собрания. В то же время, в силу небольшого количества наблюдений, составляющих выборку в данном исследовании, необходимо использовать бутстрапированные стандартные ошибки.

Если специфицировать первую группу моделей, где в качестве зависимой переменной выступает количество партий, принявших участие на выборах в региональные законодательные собрания, то в общем виде ее можно представить следующим образом:


где Numberi - количество партий, принявших участие на выборах в региональные законодательные собрания в регионе i,

 - константа;

 - коэффициент при ключевом предикторе j,

 - ключевой предиктор j,

 - коэффициент при контрольной переменной l,

 - контрольная переменная l,

 - ошибки;- количество ключевых предикторов в модели;+1 - количество контрольных переменных, включенных в модель.

В втором наборе моделей рассматривается еще одна ключевая зависимая переменная - доля голосов, полученная новыми партиями на выборах в региональные собрания. В общем виде ее можно представить следующим образом:


где Votesi - доля голосов, полученная новыми политическими партиями в регионе i,

 - константа;

 - коэффициент при ключевом предикторе j,

 - предиктор j,

 - коэффициент при контрольной переменной l,

 - контрольная переменная l.

 -ошибки- количество ключевых предикторов в модели;+1 - количество контрольных переменных, включенных в модель.

В то же время, каждый из рассматриваемых наборов моделей строится исходя из рассмотренных в начале данной работы теоретических обоснований гипотез. Первый набор моделей будет включать переменные, относящиеся к социологическим факторам, второй набор будет основан на политических факторах, в то время, как последующие рассматриваемые в модели основаны на комбинировании переменных из обеих групп, что будет сделано для достижения наибольшей объяснительной способности, с одной стороны, и, с другой стороны, для выявления группы факторов, оказывающих наибольшее влияние, т.к. в комбинированных моделях эффект от одних переменных может снижать значимость других. Кроме того, каждая модель также тестируется на VIF (Variance Inflation Factor) - показатель, характеризующий степень изменения дисперсии оценок коэффициента в случае если существует довольно сильная связь между предикторами (пороговое значений равно 10, в случае его превышения переменная из модели удаляется). При этом, VIF рассчитывается следующим образом:


R2 - коэффициент детерминации вспомогательной модели регрессии, т.е. модели, в которой откликом является предиктор j из исходной модели, а независимыми переменными в являются все остальные предикторы из исходной модели. В случае, если VIF равен единице (иными словами коэффициент детерминации вспомогательной регрессии равен 0), то в таком случае связи между предиктором j и остальными предикторами нет. Проведение проверки моделей на VIF позволит избежать проблемы мультиколлинеарности, т.е. повысить значимость получаемых коэффициентов (уменьшив стандартные ошибки) и добиться большей устойчивости моделей к изменению выборки.

Мера Кука, при этом является показателем влияния каждого наблюдения на группу полученных регрессионных коэффициентов (т.е. на всю модель в целом). Значения данной меры указывают на сильное влияние наблюдений, если превышают 4/N, где N - количество наблюдений в выборке (в рамках данной работы это значение 0,0727). В то же время, мера DFBETA позволяет оценить в какой мере каждое наблюдение влияет на оценки регрессионных коэффициентов, при этом, данный параметр рассчитывается для каждого ключевого предиктора по-отдельности. Значения, превышающие 2/sqrt(N), где N - количество наблюдений в выборке (в данной работе пороговое значение равно 0,00066), обладают большим влиянием, оказывающим эффект на полученные коэффициенты.

Все влиятельные наблюдения исключаются из анализа, а сами модели тестируются повторно. Кроме того, в этой части также рассматривается еще один дополнительный набор моделей для зависимой переменной - количество партий, принявших участие в выборах в региональные законодательные собрания, где в качестве предикторов рассматриваются показатели, характеризующие степень социально-экономического благополучия региона.


где Numberm - количество партий, принявших участие на выборах в региональные законодательные собрания в регионе i,

 - константа;

 - коэффициент при ключевом предикторе s,

 - ключевой предиктор s,

 - ошибки;- количество ключевых предикторов в модели;

Литература

.        Страхов А. П. Изучение электорального поведения россиян: социокультурный подход // Полис. - 2000. - № 3. - С. 90-96 Туровский Р.Ф. Региональные политические режимы в России: к методологии анализа// Полис. - 2009. - №2. - С. 77-95;

.        Шевченко Ю. Д. Поведение избирателей в России: основные подходы// Политическая наука. - 2003. - № 3. - URL: www.socioline.ru/files/shievchienko-eliektoralnyie_tieorii.doc (Дата обращения 04.04.2016);

.        Шумпетер Й. Капитализм, социализм и демократия. - М.: Экономика, 1995. - 540 c;

5.      Adjei J.K. Ethnicity and Voting Behavior in the Ashanti and Volta Regions of Ghana: A Cramp in the Wheel of a Fledgling Democracy? // Journal of Global Initiatives: Policy, Pedagogy, Perspective. - 2012. - Vol. 7. -№1. - P. 1-14;

.        Alesina A., Kurlat S. et al. Fractionalization // Journal of Economic Growth. - 2003. - №8. - P. 155-194;

.        Antunes R. Theoretical Models of Voting Behavior// Exedra, 2010. - №4. - P. 145-170;

.        Bartolini S., Mair P. Identity, Competition, and Electoral Availability: The Stabilisation of European Electorates 1885-1985. - Cambridge.: Cambridge University Press, 1990. - 308 p.;

.        Binder S., Rhodes R., Rockman B. The Oxford Handbook of Political Institutions. - Oxford.: Oxford University Press, 2008. - 816 p.;

.        Bischoff C. Electorally unstable by supply or demand?-an examination of the causes of electoral volatility in advanced industrial democracies// Public Choice. - 2013. - № 156. - P. 537-561;

.        Blais A., Dobrzynska A. Turnout in Electoral Democracies // European Journal of Political Research. - 1998. - Vol. 33. - №2. - P. 239-261;

.        Bohrer II R.E., Pacek A.C., Radcliff B. Electoral Participation, Ideology, and Party Politics and Post-Communist Europe // Journal of Politics. - 2000. - №62. - P. 1161-1172;

.        Boix C., Stokes S. The Oxford Handbook of Comparative Politics. - New York.: Oxford University Press, 2009. - 1021 p.;

.        Bonjean C., Lineberry R. The Urbanization-Party Competition Hypothesis: A Comparison of all United States Countries // The Journal of Politics. - 1970. - Vol. 32. - №2. - P. 305-321;

.        Calvert R. Rational actors, equilibrium, and social institutions // Explaining social institutions. - 1995. - P. 57-95;

.        Campbell A., Philip C., Warren M., Donald S. The American Voter. - New York.: John Wiley & Sons, 1960. - P. 27 - 104;

.        Carey J., Hix S. The Electoral Sweet Spot: Low-Magnitude Proportional Electoral Systems //   Political Science and Political Economy Working Paper LSE. - 2009. - №1. - URL: http://www.lse.ac.uk/government/research/resgroups/PSPE/pdf/PSPE_WP1_09.pdf (дата обращения 11.04.2016);

.        Clarke H., Mishler W., Whiteley P. Recapturing the Falklands: models of Conservative popularity, 1979-83// British Journal of Political Science. -1990. - № 20. - P. 63-81;

.        Colton T. J. Transitional Citizens: Voters and What Influences Them in the New Russia. - Cambridge.: Harvard University Press, 2000. - 324 p.;

.        Cox G. Legislative Leviathan: Party Government in the House. - Berkeley.: University of California Press, 1993. - 309 p.;

.        Dalton R., Klingemann H. The Oxford Handbook of Political Behaviour. - Oxford.: Oxford University Press, 2007. - 992 p.;

.        Dalton R., Wattenberg M. Parties without Partisans: Political Change in Advanced Industrial Democracies. - Oxford.: Oxford University Press, 2000. - P. 37-63;

Похожие работы на - Электоральные предпочтения и потенциал новых партий в субъектах РФ

 

Не нашли материал для своей работы?
Поможем написать уникальную работу
Без плагиата!
Без нейросетей!