Методы управления кредитным риском в коммерческих банках

  • Вид работы:
    Курсовая работа (т)
  • Предмет:
    Банковское дело
  • Язык:
    Русский
    ,
    Формат файла:
    MS Word
    54,05 Кб
  • Опубликовано:
    2016-04-27
Вы можете узнать стоимость помощи в написании студенческой работы.
Помощь в написании работы, которую точно примут!

Методы управления кредитным риском в коммерческих банках

Введение

Неопределенность и риски, которая она влечет за собой, являются неотъемлемой частью деятельности финансовых учреждений и нашей жизни в целом. Но в настоящий момент в банковской сфере наблюдается серьезная конкуренция, что вынуждает банки столкнуться лицом к лицу с множеством рисков, как финансовых, так и нет. С одной стороны, прибыль в некоторой степени является вознаграждением за успешное принятие рискованных решений. Но с другой стороны, чрезмерный риск, взятый на себя банком, может привести к потерям и поставить под угрозу безопасность вкладов и надежность банка в будущем.

Долгое время проблеме ограничения рисков не уделялось должное внимание. Так, например, в России в период становления банковской системы кредитные организации на волне сверхприбыли от торговли государственными ценными бумагами не имели мотивации для построения системы контроля над операциями на межбанковском рынке.

Так, во время подготовки к написанию данного исследования было установлено, что, несмотря на большое количество монографий, посвященных вопросам риск-менеджмента и методам управления кредитным риском, задача определения лимита кредитования на конкретного контрагента всё ещё остаётся неразработанной в полной мере и тем самым даёт возможность для дальнейшего развития и внесения инноваций в данной области.

Актуальность риск-менеджмента резко возросла после мирового финансового кризиса, начавшегося в 2008 году. Потери, понесенные мировой финансовой системой, в некоторой степени показывают несостоятельность уже существующих моделей для оценки рисков. После кризиса из-за ущерба, нанесенного, в частности, Евросоюзу, где банковские активы составляют гораздо больший процент ВВП, чем в США, регулирующие органы были вынуждены предпринять соответствующие действия и сделать сектор более контролируемым, менее подверженным рискам, гораздо более защищенным.

Может показаться, что управление риском ведет к снижению прибыльности банков, о котором и так свидетельствуют последние статистические данные. В частности, на российском рынке в конце 2012 года и в первом квартале 2013 года наблюдался аномально низкий прирост кредитного портфеля банков за счет активного погашения и уменьшение спроса на депозиты, несмотря на повышение процентной ставки. Данные условия будут сдерживать рост бизнеса банков, зато этот рост станет более сбалансированным, когда объем выдачи розничных кредитов не вызывает падение ликвидности банковской системы. В такой среде - с низкими темпами роста и падающей маржинальностью - перед руководством банков встают новые задачи - нахождение способов снижения операционных расходов и рисков. Решающим фактором конкурентоспособности становится риск-менеджмент, причем как в узком понимании управления типично банковскими рисками (кредитными, процентными, ликвидности), так и рисками макроэкономическими, поскольку успешная трансформация требует управления балансом банка в целом.

Кроме того, в условиях сдержанного роста банковского сектора прогнозируется, что в 2013 году доля проблемных кредитов на балансах банков вырастет до уровня середины 2011 года (до 16,5%).

Объектом данного исследования является один из наиболее эффективных методов управления кредитным риском в коммерческих банках - лимитная политика. Предметом исследования в данной работе станет отдельная часть политики - методика лимитирования операций на рынке межбанковского кредитования.

Цель данной работы заключается в разработке инструментария ограничений при осуществлении операций российских и зарубежных коммерческих банков - заемщиков, привлекающих средства на рынке межбанковского кредитования.

Для достижения указанной цели в процессе выполнения работы были поставлены и решены следующие задачи:

·        дать определение кредитному риску, охарактеризовать основные методы и способы управления кредитным риском;

·        определить понятие лимитной политики и требования к её формированию, систематизировать подходы к лимитированию операций, выделить их достоинства и недостатки;

·        выделить основные факторы, определяющие размер лимитов на отдельные виды операций с коммерческими банками;

·        разработать модель лимитирования на основе концепции ожидаемой полезности фон Неймана-Моргенштерна, в том числе оценить параметры, напрямую влияющие на величину лимита;

·        подготовить статистические данные, включающие в себя финансовые отчетности российских и зарубежных банков на 31.12.2012 г., их кредитные рейтинги;

·        сформировать выводы по результатам проведенного исследования.

Теоретической и методологической основой работы послужили монографии и публикации в периодической печати российских и зарубежных авторов, посвященные таким областям, как оценка финансового состояния коммерческих банков и банковский риск-менеджмент.

Поставленные задачи определили следующую структуру работы. Первая глава будет посвящена кредитному риску, методам управления им и лимитной политике, как одному из самых эффективных из них. Далее во второй главе будет дана теоретическая основа для построения модели лимитирования и рассмотрены показатели, влияющие на величину лимита. И наконец, в третьей главе будут приведены идеи для оценки неявно заданных параметров модели и сделаны выводы относительно возможного будущего применения и расширения модели.

. Лимитная политика как часть кредитного риск-менеджмента, основные подходы к её определению

Для начала необходимо дать определение кредитному риску и кратко охарактеризовать методы управления им, к которым в том числе относится лимитная политика. Далее нужно уделить внимание тому, какого рода ограничения накладывает лимитная политика, и какие проблемы возникают при её формировании. В конце данной главы будут описаны основные существующие методики определения лимитной политики.

.1 Кредитный риск и управление им

лимит кредит полезность менеджмент

Управление коммерческим банком, как уже было отмечено выше, - это рискованный бизнес. В процессе предоставления финансовых услуг банки вынуждены столкнуться с множеством рисков, таких как:

·        кредитные риски;

·        рыночные риски, включая валютные, процентные и фондовые риски;

·        риски ликвидности;

·        операционные риски.

Согласно документу Базельского комитета по банковскому надзору «Основополагающие принципы эффективного банковского надзора», наиболее значимым из вышеперечисленной классификации является кредитный риск, что обусловлено преобладанием выдачи ссуд в структуре активных операций банков. Также причинами для такого заявления послужили несвоевременность выявления проблемных кредитов и создание недостаточной величины резервов под них, а также слабость кредитного контроля.

Под кредитным риском мы понимаем риск невыполнения или несвоевременного исполнения предприятием-заемщиком своих обязательств по кредитам. Невыполнение контрактных обязательств не всегда должно означать банкротство заемщика и, следовательно, невозможность выполнить кредит, хотя именно этот вариант развития событий является наиболее ярким проявлением кредитного риска и наименее предпочтительным для кредитора. Заёмщик может также досрочно погасить ссудную задолженность, попросить о её реструктуризации, что для кредитора означает недополученную прибыль. Даже изменение финансового состояния заёмщика при соблюдении графика выплаты кредита влияет на величину кредитного риска, т.к. понижение кредитного рейтинга обычно приводит к снижению стоимости обязательств за счёт изменения ставки дисконтирования. Поэтому, говоря о кредитных рисках, необходимо понимать широкую сферу их проявления, что связано с процессом осуществления расчетов.

Мерой реализовавшегося кредитного риска является доля просроченной задолженности в общем объеме кредитов. Однако использовать только этот показатель для оценки кредитного риска нельзя. Отчетные данные по просроченной задолженности могут быть искажены с целью улучшения финансовых показателей деятельности предприятия. Кроме того, даже находясь в сложном финансовом положении, предприятия могут обслуживать банковскую задолженность вследствие неплатежей по другим обязательствам, в случае получения новых займов и т. п. Поэтому для оценки кредитного риска необходимо использовать аналитические показатели, отражающие финансовую устойчивость и платежеспособность заемщика.

В банковском деле управление кредитным риском является краеугольным камнем всей системы риск-менеджмента. Методы управления кредитным риском проходят длительный и сложный процесс развития. Первоначально они ограничивались лишь оценкой номинальной стоимости ссуды, умноженной на коэффициент, задающий необходимый уровень капитала на покрытие риска. Очевидно, что данный подход не учитывает различия в вероятности наступления дефолта.

В настоящий момент управление кредитным риском осуществляется посредством внедрения внутренних банковских моделей количественной оценки рисков ссуды. Процесс риск-менеджмента можно разделить на две составляющие: качественную и количественную. Качественное определение риска уже упоминалось выше, оно включает в себя оценку надежности заемщика. Основой количественной оценки риска на современном этапе развития методологии стало использование портфельного подхода, основанного на концепции Value at Risk (VaR), позволяющей определить максимальную величину безвозвратных потерь на заданном временном горизонте.

Главной целью управления кредитными рисками является максимизация доходности активов с учетом риска путем поддержания величины ожидаемых потерь в рамках приемлемых параметров и сокращения волатильности этих потерь. Оценка возможного риска потерь не имела бы никакого практического смысла, если бы не выражалась в конкретной стратегии минимизации кредитного риска. Управление риском имеет тесную взаимосвязь со стратегией банка в области кредитования, отражающей отношение финансового института к кредитному риску в целом и определяющей правила и процедуры ведения бизнеса. В частности, кредитная стратегия должна устанавливать следующие аспекты:

·        лимиты кредитования, как по контрагентам, так и по портфелю в целом;

·        целевое соотношение доходности и подверженности кредитному риску;

·        приоритетность предоставления кредитных ресурсов;

·        нормативы достаточности капитала, резервируемого под возможные потери от кредитного риска, а также методологию их расчета и др.

Кредитная стратегия должна определяться с учетом качества кредитного продукта, перспектив развития бизнеса, желаемого соотношения риска и доходности и величины резервов и капитала банка. Кроме того, необходимо учитывать влияние макроэкономических показателей, например, цикличность экономики. Помимо разработки стратегии нельзя забывать о важности системы администрирования кредитных портфелей.

Более конкретно можно выделить следующие основные способы управления подверженностью кредитному риску и снижения уровня потерь при наступлении дефолта:

·        переоценка активов по рыночной стоимости - фиксация прибылей/убытков по открытым позициям в результате колебаний рыночных цен на регулярной основе;

·        обеспечение обязательств - установление требований к гарантийному залогу (марже);

·        резервирование средств под покрытие ожидаемых и непредвиденных потерь;

·        лимитирование;

·        двусторонний неттинг - зачет взаимных требований между сторонами по заключаемым сделкам с целью сократить подверженность кредитному риску до размера чистой задолженности по всем сделкам, охваченным соглашением;

·        применение условий досрочного взыскания задолженности и прекращения действия обязательств в случае наступления определенного кредитного события;

·        хеджирование с помощью производных кредитных инструментов.

В следующем разделе более подробно будет рассмотрен один из инструментов уменьшения кредитного риска - лимитирование.

.2 Понятие лимитной политики

В широком смысле лимитную политику банка можно представить как «совокупность мероприятий по ограничению в суммарном и процентном выражении, установленных действующим законодательством и банком, операций клиентов/контрагентов, целью которых является минимизация финансовых рисков банка, своевременность исполнения обязательств контрагентов/клиентов банка, контроль расчетов с контрагентами/клиентами».

Расчетным лимитом общего риска по операциям называется сумма, которая не может быть превышена в любой момент времени по рисковым операциям с банком-контрагентом в рублях и иностранной валюте совокупно. Свободный остаток лимита риска определяется посредством вычитания из общего лимита риска объема операции, умноженного на соответствующий коэффициент риска.

Расчет лимитов может производиться по следующим непокрытым операциям: межбанковские кредиты, аккредитивы без покрытия, учет векселей, гарантийные операции, форексные и форвардные операции, операции по покупке и продаже наличной валюты и ценных бумаг, опционы, свопы; лимитироваться также могут остатки средств на корреспондентских счетах НОСТРО на конец дня.

Система установления лимитов должна отвечать следующим требованиям:

·        действие лимитов распространяется на все виды деятельности, сопряженные с кредитным риском;

·        при расчете лимитов агрегируются все виды вероятных потерь;

·        лимиты устанавливаются на основе системы внутренних кредитных рейтингов, связанных с конкретными заемщиками или их группами;

·        лимиты не должны пересматриваться по требованию клиента;

·        лимиты должны устанавливаться с учетом результатов стресс-тестирования;

·        лимиты должны устанавливаться с учетом рисков, возникающих при досрочной ликвидации позиций в случае дефолта контрагента.

Более того, банкам необходимо отслеживать понесенные потери и сопоставлять их с уже установленными лимитами для того, чтобы иметь возможность вовремя принять меры для снижения кредитного риска.

Здесь хотелось бы отметить важное различие между формированием лимитов на рыночные и кредитные риски. Если лимиты на рыночные риски могут устанавливаться на уровне отдельного рынка, инструмента, трейдера, подразделения или в целом по компании, то в случае кредитных рисков лимиты должны определяться на уровне каждого отдельного контрагента по всем позициям, занимаемым банком.

При определении лимитов на одного заемщика или группу взаимосвязанных заемщиков необходимо учитывать следующие факторы:

·        доля капитала финансового института, которой он готов рисковать;

·        размер активов заемщика;

·        финансовая устойчивость и перспективы развития бизнеса заемщика;

·        качество управления потенциального заемщика;

·        взаимоотношения финансового института с данным заемщиком;

·        ожидаемая доходность с учетом риска по операциям с данным заемщиком;

·        общее состояние экономики;

·        требования регулирующих органов.

Лимиты на одного заемщика могут устанавливаться как на отдельные операции или виды услуг, так и в совокупности на все виды сделок с данным клиентом.

И действительно, контроль лимитной политики является одним из обязательных пунктов комплексной проверки банка, проводимой ЦБ РФ. Но стоит заметить, что лимитной политике российские банки уделяют недостаточно внимания, традиционно ограничиваясь лимитированием операций по межбанковскому кредитованию и по операциям филиалов банка. Однако стоит заметить, что Центральным Банком законодательно не были установлены конкретные рекомендации по установлению лимитов кредитования. Среди нормативных документов Банка России, имеющих отношение к теме данной работы, нужно отметить Положение №254-П, в соответствии с которым банкам необходимо проводить классификацию кредитных рисков, что, безусловно, является отправной точкой для формирования лимитной политики, но в то же время не позволит рассчитать точную величину лимита кредитования на контрагента. Но согласно этому же Положению, ЦБ РФ предоставил коммерческим банкам право самостоятельного выбора финансовых показателей анализа состояния заемщиков.

Четкое ограничение величины общего кредитного риска можно встретить в Инструкции Банка России №110-И "Об обязательных нормативах банков". В указанном документе Центральным Банком предписано, что норматив максимального размера риска на одного заемщика или группу связанных заемщиков (Н6), регулирующий кредитный риск банка в отношении заемщика, определяется как максимальное отношение совокупной суммы кредитных требований банка к заемщику к собственным средствам (капиталу) банка. Максимально допустимое значение норматива Н6 устанавливается в размере 25%.

В результате мы получаем закрепленный законодательством верхний предел кредитного риска на контрагента, в котором не учитываются различия в платежеспособности, надежности, вероятности дефолта и прочих характеристиках финансового состояния контрагентов. Другими словами, установлен единый максимальный предел кредитных требований как, например, для малого регионального банка, так и для крупного федерального, что, безусловно, не отвечает требованиям формирования системы лимитов.

Таким образом, банки оказываются в ситуации, где они вправе выбирать методику оценки лимитов на своё усмотрение.

.3 Основные существующие подходы к формированию лимитной политики

В подавляющем большинстве кредитных организаций, преимущественно российских, отсутствует инструментарий, способный ограничить объем возможных потерь при проведении операций с контрагентами, либо он ограничен экспресс-оценкой надежности заемщика и простейшим алгоритмом лимитирования операций. Этот недостаток кредитной стратегии коммерческих банков подтверждает актуальность исследования вопросов лимитной политики. Но прежде чем приступить к разработке новой модели, необходимо рассмотреть уже существующие подходы к формированию лимитов кредитования и определить их недостатки.

Отсутствие универсальной методики оценки величины максимального кредита во многом связано с тем, что до сих пор не выработан общепринятый подход к решению этой задачи. Как правило, лимитная политика является результатом оценки финансового состояния контрагента, и его основная идея заключается в том, что чем лучше финансовое состояние какого-либо заемщика, тем большую сумму кредита он может получить.

Современные методики оценки финансового состояния банков-контрагентов и определения лимитов кредитования, как правило, предполагают деление заемщиков по различным группам риска. Классификация контрагентов по группам риска обычно подразумевает, что каждой группе риска должна соответствовать определенная оценка вероятности невозврата кредита (кредитного риска).

В то же время консервативные подходы к расчету лимитов кредитования не учитывают в явном виде оценку вероятности дефолта. Предполагается, что само по себе определение величины лимита для какого-либо заемщика сводит его кредитный риск к нулю. Последнее утверждение можно подставить под сомнение. Скорее можно предположить, что при установлении величины лимита на какого-либо заемщика к приемлемой величине сводится не кредитный риск, а величина необходимого резерва под возможные потери, который может быть создан по такому кредиту.

Согласно представленному алгоритму можно выделить три основных варианта структурирования лимитов на контрагента банка:

·        определение только единого лимита на контрагента;

·        определение отдельных лимитов под все операции;

·        определение лимитов только по некоторым видам операций.

Наиболее традиционные методики расчета лимитов кредитования построены на основе каких-либо корректировок значения базового лимита. Фактически, сама по себе величина базового лимита - это максимальная сумма кредита, который может быть предоставлен конкретному заемщику на определенный период времени. При расчете лимита базовое значение умножается на поправочный синтетический коэффициент, значение которого характеризует финансовое состояние заемщика. Обычно базовое значение лимита понижается пропорционально степени риска кредитования.

Совокупный лимит отражает предельный суммарный объем обязательств контрагента перед банком и включает в себя лимиты по предоставленным межбанковским кредитам, по операциям на рынке Forex, по операциям купли-продажи наличной валюты, по операциям с ценными бумагами, а также операционный лимит. Расчет такого совокупного лимита основывается на оценке чистой текущей ликвидности активов контрагента, т.к. на коротких сроках риск невозврата средств определяется, прежде всего, риском несбалансированной ликвидности.

Чаще всего в качестве базового лимита выступает либо доля от капитала банка-контрагента, либо доля от величины его ликвидных активов.

К примеру, совокупный лимит может рассчитываться по следующей формуле:

Лимит = чистая текущая ликвидность × А × синтетический коэффициент,

где А - доля чистых ликвидных активов.

Синтетический коэффициент предназначен для всестороннего учета финансового состояния контрагента, а его величина определяется степенью риска, которую согласен взять на себя банк по решению лимитного комитета. Рассчитывается синтетический коэффициент на основании коэффициентов надежности, ликвидности, качества ресурсной базы, качества активов и рентабельности.

Достоинствами метода установления только единого лимита на контрагента считаются простота процедуры формирования лимита, а также расширение возможностей подразделения, осуществляющего операции с коммерческими банками, по выбору наиболее выгодной операции с партнером. К недостаткам данного подхода можно отнести такие следствия его применения, как снижение контроля над общим объемом требований к контрагенту и отказ от учета того, что различные операции банка имеют разную степень риска, а потому оказывают влияние на объем единого лимита на контрагента в разной степени.

Лимитирование различных видов операций также позволяет формировать единый лимит на контрагента, но при этом не исключает возможность интерпретирования присущих им. Данный подход учитывает, что понятие «кредит» включает в себя целый спектр операций, различающихся по уровню риска в силу различных сроков, целевого направления кредита, вида залога. Кроме того, рассматриваемый метод лимитирования помогает решить проблему казначейских рисков. Ведь срок кредита влияет не только на рискованность ссуды, он может вызвать риск ликвидности банка, если не увязан со сроком соответствующего пассива. Не стоит забывать и о других рисках, нуждающихся в ограничении. Например, риск монополизации. Если мы сильно вкладываемся в одну отрасль, то кризис в конкретной отрасли и на конкретном рынке может принести больший ущерб, чем это было запланировано при установлении резервов. Поэтому лимитирование призвано решать проблему диверсификации, как в отношении клиентов, так и в отношении залогов.

Несмотря на вышеизложенные преимущества, установление лимитов на все виды операций применяется на практике существенно реже в связи со сложностью применения, субъективностью деления операций по степени их рискованности и недостаточной разработанностью алгоритмов определения различных лимитов.

Таким образом, данная глава была посвящена влиянию кредитного риска и методам управления им, и одним из наиболее значимых методов является определение лимитной политики. В связи с этим был проведен обзор основных существующих подходов к установлению лимитов, выявлены их преимущества и недостатки.

. Модель определения лимитов на основе теории ожидаемой полезности фон Неймана-Моргенштерна

Многие модели оценки рисков заимствованы из области теории вероятности и теории игр. В данной главе речь пойдет об одном из таких подходов - теории ожидаемой полезности фон Неймана-Моргенштерна. Данный подход относится к аксиоматическим, т.е. формулируются и предполагаются верными аксиомы, описывающие поведение экономических агентов, из которых затем выводится единственно верная мера риска.

.1 Функция полезности. Функция ожидаемой полезности фон Неймана-Моргенштерна

По определению, функция полезности - это такой способ приписывания каждому возможному потребительскому набору некоего численного значения, при котором более предпочитаемым наборам приписываются большие численные значения, чем менее предпочитаемым.

Функция полезности должна быть монотонно возрастающей, т.е. проще говоря, чем больше у нас благ, тем больше их полезность; непрерывной и выпуклой, т.е. если функция полезности является дифференцируемой, то её предельная полезность должна убывать.

Инвестор, чьи предпочтения описываются вогнутой функцией полезности, не расположен к риску, т.к. её наклон (или его предельная полезность) по мере увеличения богатства уменьшается. И наоборот, выпуклая функция полезности, чей наклон увеличивается с возрастанием богатства, свидетельствует о расположенности инвестора к риску.

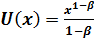
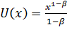
Приведем примеры некоторых, наиболее часто применяемых на практике в управлении рисками функций полезности. Данные классы функций являются параметрическими и имеют определенные свойства, присущие той или иной группе инвесторов согласно их отношению к риску.

.        Самый простой вид функции полезности - это линейная функция полезности U(x)=X, соответствующая риск-нейтральному инвестору.

.        Квадратичная функция полезности, имеющая вид U(x)=ax2+bx+c, описывает поведение инвестора, ориентирующегося при принятии решения на квадратическое отклонение (например, придерживается теории Марковица). Преимущество данного класса заключается в простоте применения, даже несмотря на то, что областью определения квадратичной функции в силу требований к функции полезности является не вся числовая ось.

.        Экспоненциальная функция полезности U(x)=-ex описывает предпочтения инвесторов, для которых сумма допустимых потерь пропорциональна величине их начального капитала.

.        Логарифмическая и показательная функции полезности определяется через их производные: U’(x)=x. Область определения параметра β задает вид функции полезности. В отличие от предыдущего класса функций полезности для инвестора имеет значение не доля от капитала, а величина допустимых потерь в абсолютном выражении. Его склонность к риску гораздо ниже, чем для предыдущей группы инвесторов.

Для применения параметрической функции полезности необходимо выбрать её вид, и исходя из поставленной задачи, оценить параметры функции, т.е. построить функцию полезности для конкретного случая.

Другой вопрос заключается в том, как описать предпочтения экономического агента в явном виде. Долгое время системы предпочтений (функции полезности) рассматривались при помощи их графического представления - «кривых безразличия», введенных английским экономистом Ф. Эджвартом в 1881 г. И данный подход считался предпочтительнее любого численного их рассмотрения ввиду своей простоты и меньшего числа допущений. Однако описанная в следующем разделе концепция ожидаемой полезности кардинально изменила представление о рассмотрении предпочтений агентов.

Функция ожидаемой полезности была названа по имени двух ученых, внесших огромный вклад в развитие математической теории игр и адекватного формального аппарата для изучения экономического поведения: одного из главных математиков 20 века Джона фон Неймана и экономиста Принстонского университета Оскара Моргенштерна. Создатели современной теории риска, отталкиваясь в своем основополагающем труде от статьи Даниила Бернулли, строят аксиоматическую теорию поведения потребителя, встретившегося со случайностью. В 1947 году они представили четыре интуитивно понятные аксиомы, при соблюдении которых поведение агента признается рациональным, а его предпочтения могут быть представлены функцией полезности.

Теория фон Неймана-Моргенштерна исходит из того, что у потребителя имеется система предпочтений не только по отношению к вполне определенным наборам благ, но и по отношению к ситуациям, в которых он может получить тот или иной набор благ с определенными вероятностями. Эти ситуации получили название рисковых перспектив, или лотерей. Если присвоить функции полезности каждому исходу лотереи, то выбор лучшей лотереи будет равносилен выбору лотереи с наибольшей ожидаемой полезностью.

Основное положение этой теории состоит в том, что потребитель в состоянии сравнивать по полезности не только определенные наборы благ, но и «лотереи», исходом которых являются наборы благ, получаемые с определенными вероятностями. В этом случае полезность набора благ получает определенную количественную меру. Пусть, например, набор x доставляет некоторому потребителю такое же удовлетворение, как наборы y и z с равными вероятностями. Это означает, что на шкале полезности набор x должен располагаться ровно посередине между наборами y и z - утверждение, лишенное смысла в концепции порядковой полезности, но вполне осмысленное в рамках количественной теории. Количественная шкала полезности индивида допускает произвол только в выборе начала отсчета и единицы.

Ожидаемая полезность любой лотереи может быть выражена как линейная комбинация полезностей исходов, взвешенных по вероятностям наступления данных событий. В общем виде формулу можно записать следующим образом:

U(L) = Еu =,

где ui - интервальная мера полезности для исходов лотереи.

Центральная идея теоремы заключается в том, что индивид выбирает не максимальный ожидаемый выигрыш, а максимальную ожидаемую полезность. Ожидаемая полезность является разумным подходом к решению нами задачи выбора в условиях неопределенности, т.к. сам способ постановки задачи указывает на то, что фактически будет реализован лишь один из возможных исходов.

Среди сфер приложения теории риска на первом месте стоят финансовые рынки. Их модели (в частности, модели теории портфеля) исходят из предположения, что все участники рынков не склонны к риску, правда, в различной степени. Здесь хочется отметить отличие исходов лотерей, связанных с кредитным и рыночным риском. В отличие от рыночного риска, для которого вероятностное распределение прибылей и убытков обычно является довольно симметричным, для кредитного риска соответствующее распределение характеризуется ярко выраженной левосторонней асимметрией. Подобное явление может быть объяснено тем, что инвестиции, связанные с кредитным риском, можно сравнить с короткой позицией по опциону, по которой в лучшем случае контрагент осуществляет оговоренные платежи, а в худшем случае вся сумма долга не выплачивается.

Безрисковый, или достоверный эквивалент (certainty equivalent) - это детерминированная случайная величина, математическое ожидание которой равно ожидаемой функции полезности, или денежная сумма, гарантированное получение которой будет равноценно для индивида участию в игре. Если у нас есть портфель, генерирующий доход, являющейся случайной величиной, мы можем рассчитать безрисковый эквивалент формализованной функции полезности и не учитывать природу случайного распределения дохода. Данный вывод является основным результатом концепции фон Неймана-Моргенштерна, активно используемым при управлении рисками.

Если возможно определить функцию полезности, то для того, чтобы оценить риск, необходимо перейти к безрисковому эквиваленту путём взятия обратной функции полезности от ожидаемой полезности и тогда далее можно работать с числовым выражением, посчитанным по следующей формуле:

x=U-1(EU(Y)),

где x - случайная величина дохода,

EU(Y) - ожидаемая полезность.

Важную роль в теории ожидаемой полезности играет понятие неприятия риска. Если некоторая игра является менее (или более) предпочтительной, чем достоверное получение суммы денег, равной ее ожидаемому денежному выигрышу, то такие предпочтения характеризуются неприятием риска (или, соответственно, стремлением к риску). Вогнутая функция полезности характеризует неприятие риска (лотерей), пропорциональное степени вогнутости функции, т.е. для таких предпочтений достоверные эквиваленты будут меньше ожидаемых денежных выигрышей в лотереях. Для выпуклой функции полезности (для инвестора-рискофила) выполняется обратное неравенство: безрисковый эквивалент больше, чем математическое ожидание денежного выигрыша. Если экономический агент не приемлет риск, то безрисковый вариант поведения будет для него предпочтительнее богатства, достигаемого с тем же математическим ожиданием, но включающим в себя риск.

Как уже упоминалось ранее, теория ожидаемой полезности нашла широкое применение на финансовом рынке. Ниже будут рассмотрены основные сферы её использования:

1.      Описательная интерпретация, цель которой описать поведение инвесторов на рынке. Но в действительности данный подход лишен практического смысла, т.к. в реальности поведение экономических агентов зависит от большего числа параметров, чем это возможно объяснить с помощью теории ожидаемой полезности, а психологические мотивы в большей степени не поддаются математическому моделированию.

.        Предсказательная интерпретация, смысл которой предсказать развитие событий в будущем. Однако точность прогноза будет низкой, т.к. модель не может учесть воздействие всех факторов.

.        Объясняющая интерпретация, используемая экономистами-теоретиками в попытках объяснить прошлое поведение системы.

.        Нормативная интерпретация, наиболее полезная с практической точки зрения. Модель используется для формирования правил поведения, например, разработки лимитной политики.

Необходимо напомнить, что лимит является «функцией оценки финансового состояния, кредитоспособности контрагента, его чистых активов, вида и срока предполагаемой межбанковской операции, а также собственных возможностей кредитующего банка». Лимит является мерой ограничения кредитного риска, который берет на себя банк в случае проведения той или иной межбанковской операции.

В разрабатываемой методике лимит будет зависеть от следующих параметров:

.        Отношение к риску, описывающееся функцией полезности (было подробно рассмотрено в предыдущих параграфах)

.        Кредитоспособность контрагента.

.        Величина банка-кредитора.

.        Величина банка-контрагента.

.        Срок кредитования

Безусловно, в реальной жизни на размер выдаваемого кредита будет воздействовать большее число факторов, но в целях упрощения модели были выбраны лишь наиболее значимые. Далее мы последовательно рассмотрим каждый фактор и способы его определения.

В качестве показателя, характеризующего масштаб деятельности банка вне зависимости от того, является ли он в данном случае заемщиком или кредитором, традиционно принимают величину капитала банка, т.е. объем его собственных средств. Такой подход связан с тем, что в случае непогашения кредита и начала процедуры банкротства заемщика долг кредитору будет выплачен из суммы активов, оставшихся после выплаты всех обязательств.

В свою очередь, капитал банка-кредитора - это средства его акционеров, чьи интересы сосредоточены вокруг сохранности их капитала, который может сократиться из-за невыплаты по кредиту.

Оценке кредитного риска заёмщика будет посвящен следующий раздел, а влияние срока кредитования на размер максимального предоставленного кредита будет рассмотрено в главе 3 данной работы.

.2 Учет кредитоспособности заёмщика на основе кредитного рейтинга

Следующий фактор, учитываемый в методике расчета лимитов - это вероятность невозврата выданного кредита, определяемая на основе анализа финансового состояния заемщика, а также зависящая от срока предоставления кредита.

Вероятность наступления дефолта (probability of default) оценивается путем анализа финансового состояния заемщика или рыночной стоимости выпущенных им в обращение облигаций и акций. Прогноз вероятности дефолта и оценка корреляции между дефолтами для составляющих портфеля представляет собой центральную задачу при моделировании кредитного риска.

.        Актуарные методы, позволяющие определить объективную оценку вероятности наступления дефолта, основываясь на статистических данных.

Вероятность дефолта контрагента может быть оценена на основе публикуемых кредитных рейтингов, которые, в свою очередь, присваиваются агентствами по результатам анализа финансовой отчетности предприятий. Но следует помнить, что бухгалтерская информация, на основе которой в том числе рассчитываются рейтинги, отражает текущее финансовое состояние контрагента, т.е. выводы на ее основе можно сделать лишь постфактум.

.        Методы на основе рыночной стоимости производных финансовых инструментов, отражающей ожидания участников рынка относительно возможности дефолта. Рыночная цена определяет риск-нейтральную оценку вероятности дефолта, которая может существенно отличаться от актуарной. Наиболее значимыми среди данного класса методов являются модель Мертона оценки стоимости акционерного капитала и оценка вероятности дефолта на основе рыночных цен облигаций или кредитного спреда.

Кроме того, не стоит забывать о моделях кредитного скоринга. С помощью статистических методов (таких, как линейный дискриминантный анализ, регрессионные модели, нейронные сети, классификация деревьями и т.д.) вычисляется индекс кредитоспособности, связанный с вероятностью дефолта. Для прогноза дефолта учитываются финансовые показатели компании с различными весами.

Для целей исследования будут использоваться актуарные оценки вероятностей дефолта. Именно на основе их расчета рейтинговые агентства впоследствии классифицируют предприятия и их долговые обязательства, объединяя их в группы с одним кредитным рейтингом.

В общем виде кредитный рейтинг банка является производной функцией от его собственной финансовой устойчивости; вероятности того, что в случае необходимости он получит поддержку извне; риска того, что он не сможет осуществить платежи в результате действий государственных властей. Еще один фактор, от которого зависит методика присвоения рейтинга - это горизонт рейтингования, то есть период, на который оценивается надежность анализируемого банка. Чем короче горизонт, тем большее внимание уделяется краткосрочным факторам (в большей степени - ликвидности кредитной организации). Чем длиннее горизонт, тем большее внимание уделяется долгосрочным факторам - рыночным позициям, качеству управления и т.д. Для демонстрации этих различий агентства используют шкалы долгосрочных и краткосрочных рейтингов.

Для каждой градации рейтинговой шкалы агентства составляют прогнозные вероятности дефолта на горизонте от 1 до 10 или 20 лет. В упрощенной форме процедуру оценки вероятности дефолта можно представить, как рассмотрение того, сколько компаний в пределах одной группы с определенным кредитным рейтингом обанкротилось за текущий год. Доля таких компаний от общего числа предприятий с данным рейтингом и определит вероятность дефолта на будущий год. Для вероятностей дефолта на горизонте n лет соответственно необходимо подсчитать долю компаний, обанкротившихся за последние n лет.

Но учитывая различную срочность сделок, риск-менеджерам часто нужно определить вероятности дефолта на временном горизонте меньшем, чем 1 год. Пусть нам известна вероятность дефолта p1 на одном временном периоде. Дефолт в t-ом периоде будет означать, что во всех предыдущих периодах он не наступил, вероятность чего в каждом периоде составляла q1=1-p1. Тогда, пользуясь предположением о том, что наступление дефолта в каждом из периодов - независимое и равновероятное событие, вероятность дефолта pt на горизонте t лет можно рассчитать по следующей формуле:

pt= p1(1-p1)t.

Вероятность того, что в течение t лет дефолт не наступил, равна q1t.

В условиях обратной задачи, когда необходимо найти вероятность для периода короче, чем по предоставленным нам данным, можно воспользоваться приблизительным расчетом, тогда вероятность отсутствия дефолта на горизонте, равном одному временному периоду, будет выглядеть так:

q1=.

Важно заметить, что вероятность дефолта также учитывает другой фактор, определяющий размер лимита: она зависит от величины капитала банка-заемщика, что можно доказать эмпирически, например, с помощью линейной регрессии - регрессионной модели, позволяющей восстановить линейную зависимость между двумя переменными.

.3 Составление модели ожидаемой полезности в соответствии с предпочтениями инвесторов

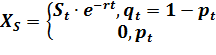
В контексте предмета нашего исследования лотерея будет содержать в себе два исхода по истечении срока погашения: с вероятностью qt кредит может быть выплачен, и с вероятностью дефолта pt заёмщик обанкротится, и банк соответственно не получит ничего.

,

где Xs - случайная величина дохода, привязанная к моменту времени в будущем;

t - срок, на который был выдан кредит;

St - размер выданного кредита;

r - ставка дисконтирования.

Исходя из того, что решение о размере выдаваемого кредита требуется принять в настоящий момент времени, анализируя некий будущий случайный поток платежей, генерируемых данным кредитом, необходимо дисконтировать данный поток. Соответственно анализировать нужно случайную величину, дисконтированную по ставке бескупонных облигаций или процентной ставке по межбанковским кредитам. Начисление платежей считаем непрерывным, тогда стоимость случайного потока платежей в будущем равна .

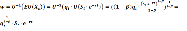
Далее необходимо задать основополагающий параметр модели, а именно - отношение к риску, характеризующееся функцией полезности. Ранее были рассмотрены основные семейства таких функций, что инвесторы, чьи предпочтения описывает функция, обладают различным «риск-аппетитом». Ввиду того, что мы не можем предугадать то, насколько скептически риск-менеджер банка относится к рискованным операциям, нам необходимо будет рассмотреть несколько видов функции полезности. Сразу можно исключить из рассмотрения линейную функцию полезности, т.к. инвесторы с такой функцией отличаются нейтральным отношением к риску, что соответственно не позволит нам учесть кредитный риск и поэтому не представляет дальнейшего интереса для исследования.

Первым рассмотренным нами случаем будет показательная функция полезности, более характерная для инвестиционных фондов нежели, чем для коммерческих банков. Отношение к риску инвесторов с данным видом предпочтений можно выразить следующей пропорцией: чем большим портфелем управляет агент, тем выше уровень потерь, который он будет считать оптимальным. В отношении банка-кредитора это означает отсутствие обязательств в сочетании с растущими за счет капитала акционеров активами.

,

где β - это коэффициент, характеризующий отношение к риску.

Итак, исходя из теории фон Неймана-Моргенштерна, следует выразить математическое ожидание функции полезности для случайной величины Xs.

=

Принимая во внимание, что функция, обратная заданной функции полезности, будет иметь вид , можно записать безрисковый эквивалент нашей лотереи, как

.

Возвращаясь к расчету вероятности отсутствия дефолта, проведенному ранее, мы можем заменить qt на qt.

В этом случае формула безрискового эквивалента или текущей стоимости кредита, очищенной от риска, примет вид:

.

Поскольку стоимость кредита уже не учитывает влияние риска и временного горизонта, можно сделать вывод, что для всех кредитов безрисковые эквиваленты должны быть равными. Произвести подсчет такого эквивалента можно как функции, зависящей от масштаба деятельности банка-кредитора. Как правило, это доля капитала банка, выделенная на покрытие рисков, связанных с межбанковским кредитованием.

Если детерминировать эту функцию, что будет проделано в следующей главе, то станет возможным определить и максимальный размер кредита или кредитный лимит:

,

 - это безрисковый эквивалент, зависящий от капитала банка-кредитора.

Повторим проделанный алгоритм для экспоненциальной функции полезности, которая представляет наибольший интерес при моделировании поведения экономических агентов. Следует вспомнить, что агент с такой функцией полезности вне зависимости от величины возможных потерь фиксирует в абсолютном выражении максимальную сумму, с которой он готов расстаться, т.е. проявляет скептическое отношение к риску. Именно такое поведение наиболее близко к реалиям банковского сектора. А именно если перевести вопрос о фиксированных потерях в плоскость структуры банковских активов и пассивов, то потери будут отражаться на капитале банка, который является постоянной величиной и не может меняться в зависимости от размера портфеля кредитов.

,

где α - это коэффициент, характеризующий отношение к риску.

Тогда математическое ожидание функции полезности для случайной величины Xs примет вид:

=

Функция, обратная заданной функции полезности, будет иметь вид , для простоты можно записать её в виде разложения в ряд Тейлора:


Для получения безрискового эквивалента необходимо подставить выражение математического ожидания полезности в разложение функции ожидаемой полезности и аналогичным способом вывести размер рекомендуемого лимита.

О том, как задать функцию зависимости «эталонного» безрискового эквивалента от капитала банка и как определить коэффициент неприятия риска, речь пойдет в следующей главе.

3. Применение модели на статистических данных

Заключительная глава будет посвящена оценке склонности риска и эталонного безрискового эквивалента, а также выводам относительно возможности применения данной методики в будущем.

.1 Оценка параметров модели

Лимитная политика должна предусматривать различные виды операций, т.е. включать в себя расчет следующих лимитов: депозитный, конверсионный, лимит суммарных позиций на долговые ценные бумаги, эмитированные банком-контрагентом, лимиты на срочные конверсионные операции, лимиты на операции прямого и обратного РЕПО.

Но в данной работе акцент был сделан, прежде всего, на установление лимитов на операции необеспеченного межбанковского кредитования.

В современной финансовой системе рынок МБК играет одну из важнейших ролей, т.к. перераспределение активов между банками ведет к стабилизации банковской системы в целом. Вместе с тем отношения, выстроенные банками в процессе МБК, могут стать каналами для распространения проблем, связанных с платежеспособностью или ликвидностью, и источником «эффекта домино», что в свою очередь приведет к ухудшению состояния банковской системы. Низкий объем операций на рынке МБК, вызванный тем, что банки «законсервировали» свои ликвидные активы и проявляли чрезмерную осторожность в выборе контрагентов, стал одной из причин последнего мирового финансового кризиса. Исходя из этого факта, можно сделать вывод, что больший объём выданных межбанковских кредитов мог бы улучшить ситуацию на финансовом рынке в разгар кризиса, но с другой стороны, нельзя винить банки в том, что они не брали на себя чрезмерный риск в условиях асимметрии информации о надежности контрагента. И здесь в очередной раз стоит вспомнить о необходимости риск-менеджмента и, в частности, о лимитной политике, целью которой является снижение потерь, которые банки, возможно, понесут в будущем. Кроме того, особенностью рынка МБК является необходимость в быстром принятии решений относительно покупки ценных бумаг и выдачи кредита, а наличие тщательно проработанной лимитной политики помогает ускорить данную процедуру.

Срок ссуды также является существенным фактором влияния на размер выдаваемого кредита. Чем длительнее срок, тем выше риск нарушения финансовой устойчивости заемщика, ликвидности и достаточности обеспечения и соответственно выше вероятность наступления дефолта контрагента. Срок погашения большей части межбанковских кредитов составляет неделю или меньше, и преобладают на рынке МБК кредиты, выдаваемые на один день (овернайт). Таким образом, временной горизонт был определен длительностью в один день.

Справедливо будет заметить, что договорами межбанковского кредитования определяется процентная ставка. Но по причине того, что кредиты выдаются на короткие временные периоды, в пересчете на который величина процентной ставки окажется слишком низкой для того, чтобы оказать существенное влияние на размер кредита.

Теперь вернемся к неопределенным в предыдущей главе параметрам модели - эталонному безрисковому эквиваленту и склонности к риску.

Начать стоит с крайне сложной задачи формализации склонности к риску, в процессе работы над которой сформировалось несколько мнений о возможных методах её оценки. Первый основывается на предположении о том, что акционер банка имеет такую же функцию полезности  или , как и сам банк в целом. При покупке акций он инвестирует в капитал банка, что можно представить как кредит, выданный банку, и ожидает возвращения затраченных им средств в будущем. Но в случае дефолта, как и банк-кредитор на рынке межбанковского кредитования, он рискует потерять всё. Тогда функцию безрискового эквивалента с неизвестным коэффициентом отношения к риску можно приравнять к рыночной стоимости акций банка или его рыночной капитализации. Роль величины кредита здесь будет выполнять капитал банка. А впоследствии из данного уравнения вывести показатель склонности к риску.

Альтернативный подход заключается в использовании заранее установленного лимита одного из банков. Задача также решается подстановкой в уравнение для безрискового эквивалента и выводом из него меры склонности к риску. Проблема заключается в доступности данных об установленных лимитах, а именно в том, что лимитные политики коммерческих банков не являются публичной информацией.

Недостатком обоих подходов является необходимость экстраполяции полученной меры риска для нескольких, а то и вовсе одного банка, на огромную выборку. Естественно предположить, что степень отвращения к риску будет зависеть от надежности банка (кредитного рейтинга или вероятности дефолта), но вопрос о реализации данного предположения всё ещё остаётся открытым.

И наконец, необходимо решить задачу определения эталонного безрискового эквивалента, как показателя зависящего от величины капитала банка или функции от резервов банка, созданных под риски межбанковского кредитования. Если безрисковый эквивалент w - это справедливая стоимость кредита, то размер потерь можно выразить в абсолютном выражении как разность между суммой выданного кредита и его справедливой стоимостью или в процентном - как долю справедливой стоимости в реально выданном кредите. Здесь весьма кстати будет упомянуть различие между ожидаемыми и непредвиденными потерями.

Банки, выдавая кредит, должны оценить риски и сформировать резервы под ожидаемые потери. Размер резервов от потерь зависит от риска: чем выше риск (ниже кредитный рейтинг заемщика), тем больше создаваемые резервы под потери. С точки зрения бухгалтерского учета, создаваемые резервы учитываются в качестве расходов банка и, следовательно, занижают прибыль и вычитаются из капитала банка.

Ожидаемые потери вследствие кредитного риска рассматриваются как составляющая общих издержек, компенсируемая через механизм ценообразования путем их «переноса» на клиента, т.е. включением в стоимость инструмента. В качестве примера из банковской практики можно упомянуть резервы на возможные потери по ссудам, создаваемые за счет расходов банка.

Непредвиденные потери вследствие кредитного риска (unexpected credit loss - UCL) отражают разброс потерь вокруг их ожидаемого значения. В отличие от ожидаемых потерь, непредвиденные потери уже не могут быть включены в стоимость инструментов, а должны компенсироваться за счет собственного капитала, выполняющего роль «подушки безопасности». При этом предполагается, что размер резервируемого капитала должен быть таким, чтобы полностью компенсировать возникшие непредвиденные убытки с заданной вероятностью. Очевидно, что резервировать капитал в размере максимально возможных потерь нецелесообразно, да и едва ли возможно в силу высоких издержек привлечения и обслуживания капитала. Банк должен располагать капиталом в таком объеме, который бы полностью компенсировал убытки, превышающие ожидаемые, не во всех случаях, а только с заданной вероятностью (уровнем доверия).

Задав величину потерь, мы можем вычислить норму резервирования капитала против кредитного риска: , где К - капитал банка-кредитора. Другим способом выражения параметра, управляющего размером резервов в капитале, будет отношение суммы резервов под риски рынка МБК к сумме всех резервов под кредитные риски, поделенное на среднее количество выданных кредитов на заданном временном горизонте.

Как правило, крупные банки имеют кредитные отношения с множеством контрагентов во всем мире, но на конкретную дату количество выданных кредитов обычно является небольшим. В данном исследовании среднее число кредитных линий в определенный момент времени было выбрано равным 10.

На этом оценку обязательных параметров модели можно завершить. Но несправедливо было бы исключить из рассмотрения вариант, когда в случае дефолта контрагента, мы получаем некую долю его активов. Эта версия развития событий будет рассмотрена в следующем разделе.

.2 Вариант усложнения модели - учет обеспечения кредита

Выбор операции, под которую мы будем рассчитывать лимит, определил исключение еще одного параметра из числа воздействующих на размер кредита - обеспечение кредита. Обычно в сделках межбанковского кредитования в качестве обеспечения выступают ценные бумаги, поэтому величину рыночного обеспечения незатруднительно рассчитать, как рыночную стоимость этих ценных бумаг. Доля таких залоговых межбанковских кредитов, чаще всего оформляющихся как сделки РЕПО, резко возросла после кризиса 2008 года. Но здесь не стоит забывать о выбранном временном горизонте сделки. Сложно представить ситуацию, в которой банки будут устанавливать требования к обеспечению для кредитов, выдаваемых на 1 день. К тому же, наличие залога, скорее всего, вызвало бы повышение доступного лимита на контрагента, а в теоретических целях будет интересней посчитать минимальные лимиты, которые могут установить банки.

Дополнительный фактор, определяющий размер кредита, позволяет предложить вариант усложнения модели. В данной работе акцент сделан на решение задачи кредитования, непривязанной к обеспечению. Однако мы можем кратко охарактеризовать, как наличие обеспечения повлияет на максимальную величину выдаваемого кредита. При объявлении дефолта кредитор получает право на взыскание задолженности путем реализации обеспечения, взыскания долга с гаранта (поручителя) или, в крайнем случае, требования об объявлении должника банкротом и возмещения суммы долга из стоимости принадлежащего ему имущества.

Прежде всего, изменится вид лотереи. В качестве второго исхода событий, наступающего с вероятностью дефолта заёмщика, погашение кредита будет осуществляться за счет его распроданных активов.

,

где  - функция определения ожидаемой доли возврата ссуды в случае объявления контрагентом дефолта, зависящая от величины кредита и масштаба деятельности контрагента.

В российском законодательстве при определении очередности удовлетворения требований кредиторов банки и финансовые организации не имеют преимущества. В первую очередь будут выполнены требования лиц, перед которыми компания-банкрот несет ответственность за причинение вреда жизни или здоровью. Во вторую - производятся расчеты по оплате труда и выплате выходных пособий. И лишь в третью очередь удовлетворяются требования всех прочих кредиторов. При недостаточности средств они будут распределяться между кредиторами соответствующих очередей пропорционально суммам их требований. Кредитор по обязательствам, обеспеченным залогом имущества должника, вправе обратить взыскание на стоимость заложенного имущества.

Таким образом, видно, что оценить функцию доли возврата необеспеченной ссуды, крайне сложно. Нельзя с полной уверенностью утверждать, что требования банка-кредитора вообще будут удовлетворены, а если и будут, то непонятно в каком объеме.

.3 Выбор статистических данных и оценка результатов работы

Информационная база по банкам-контрагентам достаточно ограничена, и наиболее надежным источником информации является бухгалтерская отчетность, которая представлена в свободном доступе на интернет-сайтах банков, а отчетность российских банков публикуется также на сайте Банка России.

Для оценки масштаба деятельности российских банков необходимо использовать показатель «Собственные средства (капитал)» из формы 134 «Расчет собственных средств». Для зарубежных банков в качестве оценки капитала был выбран показатель регулятивного капитала (BIS capital), рассчитываемый согласно требованиям Базельского комитета.

Для расчета вероятности дефолта были использованы кредитные рейтинги агентств Moody's, Standard&Poor's, Finch, а также российских рейтинговых агентств. Данные последних были переведены в международную шкалу с помощью таблицы соответствия кредитных рейтингов агентств, аккредитованных в порядке, установленном законодательством РФ. Следует напомнить о том, что кредитный рейтинг является мнением рейтингового агентства о способности и готовности банка своевременно и в полном объеме выполнять свои обязательства, как текущие, так и возникающие в ходе его деятельности. Другими словами, рейтинг не может в полной мере гарантировать качество кредитных обязательств оцениваемого участника рынка.

Может показаться, что в процессе разработки модели было допущено чрезмерно много упрощений. Однако, чем формализованнее модель оценки рисков, т.е. чем больше в ней параметров и чем более сложными формами они задаются, тем выше вероятность того, что модель не соответствует экономическим реалиям.

Заключение

Представленная работа была посвящена одному из наиболее эффективных способов управления кредитным риском - формированию лимитной политики. Первоначально необходимо было оценить уже существующие подходы к определению лимитов. Несмотря на то, что четкого закрепления нормативов расчета лимитов кредитования в законодательстве нет, все они основаны на корректировках базового лимита при помощи синтетического коэффициента. Кроме этого, отметим, что ни одна из традиционных методик расчета лимитов кредитования не обеспечивает 100%-ой вероятности возврата выдаваемых кредитов, тем более, не учитывает "связанные" риски возможных потерь по этим кредитам. А ведь кредитный риск - один из наиболее значимых рисков банковской деятельности, и в силу российской специфики акцент следует сделать на учете кредитного риска операций на рынке МБК. Тщательный анализ финансового состояния заемщика в традиционных методиках позволяет лишь уменьшить этот риск.

Однако в настоящий момент усилившаяся конкуренция и растущее давление относительно показателей выручки заставили финансовые институты заняться поиском более эффективных способов привлечения новых кредитоспособных клиентов и в то же время управления рисками.

Одним из таких способов может стать модель определения лимитов кредитования, основанная на теории ожидаемой полезности фон Неймана-Моргенштерна. Вопреки критике в адрес этой концепции, такой как чрезмерное упрощение реальности, абстрактность и низкая надежность прогнозирования человеческого поведения, рассмотренная теория, одна из немногих, позволяет учесть отношение инвестора к риску.

Более того, стоит отметить, что модели являются достоверными лишь в той степени, в которой выполняются их предпосылки, а предпосылки в свою очередь зависят от ситуации на рынке. Модели управления кредитным риском всегда будут нуждаться в улучшении и «подгонке» под быстро меняющиеся условия функционирования банковской системы.

Итоги работы готовят почву для дальнейших исследований в области формирования лимитной политики. Как минимум, необходимо провести процедуру определения лимита для потенциальной и экспоненциальной функций полезности, т.к. именно последняя, по предположению, должна показать наиболее реалистичные для поведения инвесторов результаты. Вместе с тем модель можно усложнить, добавив в неё дополнительные параметры, такие как наличие обеспечения кредита, процентная ставка (для значительных сроков погашения), а также заменив один кредит на портфель из выданных займов. Также возможным продолжением темы исследования может быть расширение применения модели за пределы межбанковского кредитования.

Похожие работы на - Методы управления кредитным риском в коммерческих банках

 

Не нашли материал для своей работы?
Поможем написать уникальную работу
Без плагиата!
Без нейросетей!