Линеаризованное кинетическое уравнение в приближении самосогласованного поля

  • Вид работы:
    Курсовая работа (т)
  • Предмет:
    Физика
  • Язык:
    Русский
    ,
    Формат файла:
    MS Word
    351,34 Кб
  • Опубликовано:
    2016-04-05
Вы можете узнать стоимость помощи в написании студенческой работы.
Помощь в написании работы, которую точно примут!

Линеаризованное кинетическое уравнение в приближении самосогласованного поля















"Линеаризованное кинетическое уравнение в приближении самосогласованного поля"

Введение

Кинетические уравнения приближенно описывают эволюцию функции распределения частиц ρt по координатам и скоростям. Простейшее из них - это классическое уравнение Лиувилля, которое определяет динамику континуума невзаимодействующих частиц, движущихся в заданном силовом поле (ансамбль Гиббса). Несмотря на свою простоту, уравнение Лиувилля лежит в основе всей классической статистической механики. С другой стороны, кинетика бесстолкновительной сплошной среды в замкнутых областях - весьма интересный и нетривиальный объект. Например, согласно Пуанкаре, независимо от начальной плотности распределения (лишь бы она была суммируемой функцией) бесстолкновительный газ в прямоугольном ящике с зеркальными стенками необратимо стремится равномерно заполнить этот ящик (как при t → +∞, так и при t → −∞).

В зависимости от упрощающих предположений кинетические уравнения имеют различную форму. В приближении малой плотности кинетику упруго сталкивающихся маленьких шариков принято описывать классическим уравнением Больцмана. Хотя уравнение Больцмана приближенное (в частности, необратимое), оно качественно правильно описывает кинетику на определенных характерных временных интервалах.

В приближении среднего поля выводится кинетическое уравнение Власова, а в приближении слабого взаимодействия - уравнение Ландау.

Уравнение Власова в приближении самосогласованного поля - предмет рассмотрения настоящей курсовой работы.

1.Кинетическое уравнение в приближении самосогласованного поля

.1 Вывод кинетического уравнения Власова

Рассмотрим систему частиц с кулоновским взаимодействием их друг с другом:

 (1.1)

Система в целом считается электрически нейтральной. Характерная особенность этого взаимодействия - бесконечный радиус его действия  приводит к тому, что каждая частица постоянно взаимодействует сразу со всеми частицами системы, т. е. время t, фигурирующее как динамическая величина в теории, в отличие от случая нейтральных частиц, значительно меньше времени взаимодействия частиц друг с другом (времени столкновения»), t < tвз . И наоборот, все частицы действуют на данную, создавая в точке ее нахождения общее поле, индивидуальные вклады в которое от частицы 1 и какой-то еще частицы 2 пренебрежимо малы по сравнению с вкладом от всех (N - 2) частиц. Этот коллективный эффект связывают с понятием самосогласованного поля (достаточно распространенного в различных разделах физики), описываемым формулами (или величинами), не чувствительными к нумерации частиц, причем индивидуальная корреляция частицы 1 с какой-то 2 на фоне ее взаимодействия с этим коллективным полем пренебрежимо мала.

С точки зрения статистических функций распределения, если представить парную корреляционную функцию F2 в виде

 (1.2)

то концепция главенствующего значения самосогласованного поля будет означать, что вклады в физические характеристики системы, связанные с учетом индивидуальных корреляций G2, пренебрежимо малы по сравнению с эффектами, обусловленными главным членом F2 = F1· F1 .

Конкретную конструкцию характерного для описанной ситуации малого параметра несложно усмотреть из общих соображений. Электростатическое взаимодействие экранируемо в принципе, причем величина радиуса экранировки rD оценивается в рамках равновесной теории  и определяется известной формулой Дебая (P. Debye, 1923):

 (1.3)

Так как для реализации самосогласованного поля внутри сферы радиуса rD необходимо участие большого числа частиц, то среднее расстояние между ними

 (1.4)

должно удовлетворять неравенству:

 (1.5)

Возводя его в третью степень и учитывая, что a3 = υ, получаем:

, (1.6)

Эта величина как параметр разложения фигурирует в цепочке уравнений Боголюбова, конкретизированной на случай систем с дальнодействием возводя же его во вторую степень, получим:

 (1.7)

т. е. средняя кинетическая энергия частиц должна значительно превышать среднюю энергию кулоновского их взаимодействия, и в этом смысле система оказывается слабонеидеальной.

Далее, чтобы представление о коллективном самосогласованном поле не разрушалось сильными индивидуальными корреляциями, возникающими на расстояниях, соизмеримых с размерами частиц d=2r0 (т.е. при настоящем «столкновении» ионов), необходимо предположить, что

, (1.8)

т. е. с этой точки зрения плазма должна быть достаточно разреженной.

Наконец, временной масштаб, характеризующий процесс образования самого самосогласованного поля. Для того чтобы частица участвовала в его создании, она должна находиться в сфере радиуса rD достаточное время по сравнению со средним временем ее свободного пролета τ,

 (1.9)

где величина

 (1.10)

- квадрат плазменной частоты или частоты Ленгмюра (I. Langmuir, L.Tonks, 1929). Таким образом, соответствующие физическому смыслу приближения самосогласованного поля временные интервалы должны быть порядка или больше периода ленгмюровских осцилляций, t>1/ω0.

Итак, ограничимся основным членом в F2 (т. е. нулевым приближением по параметру υ\rD3 ) и подставим его в первое уравнение цепочки Боголюбова (оно сразу становится замкнутым относительно функции F1). Имеем в правой его части:

 

где величина

(1.12)

имеет совершенно четкий физический смысл: так как

 (1.13)

представляет собой плотность числа частиц в окрестности точки , то

 (1.14)

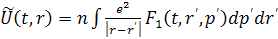
является потенциалом того самосогласованного поля, которое создается всеми частицами (распределенными в пространстве в соответствии с плотностью n(t,r')) в точке r в момент времени t. Перенеся этот член в левую часть, получим:

 (1.15)

Это и есть кинетическое уравнение в приближении самосогласованного поля, полученное и исследованное А. А. Власовым в 1938 г.

1.2 Замечания по поводу уравнения Власова

Сделаем несколько замечаний по поводу этого важного во всей кинетической теории результата.

) Уравнение условно. Оно, по существу, представляет лишь идею. На самом деле однокомпонентных электрически нейтральных систем заряженных частиц не бывает, должно быть как минимум два сорта ионов, а, значит, не одно, а система уравнений Власова.

) Уравнение написано относительно функции распределения F1. Отклонения её значений в локальных областях системы от равномерного распределения приводит к возникновению движущихся объемных зарядов, возникают поля Е и Н, в связи с чем в кинетическую теорию органически включаются уравнения Максвелла и резко расширяется круг рассматриваемых физических задач (магнитогидродинамические эффекты в плазме

) Уравнение Власова в чистом виде не учитывает эффекты столкновения ионов друг с другом, поэтому называется иногда уравнением для «бесстолкновительной» плазмы. Оно обратимо во времени (замена t → -t и р → -р не меняет его), но подобная ситуация в теоретической физике не является исключением: уравнения Максвелла тоже обратимы, но не исключают запаздывающих, опережающих и комбинированных решений. Так и здесь существуют различного типа решения, причем для выбора физически осмысленного решения удобно будет хотя бы чисто символически включить бесконечно слабый релаксационный механизм, нарушающий эту симметрию по времени.

) Уравнение Власова - это уравнение нулевого приближения. Система уравнений для F1 и корреляционной части G2, обеспечивающая первый порядок по параметру υ/rD3. Это очень сложные уравнения. И дело не только в математических трудностях. Всякое улучшение уравнения Власова, связанное с учетом столкновений ионов, - это в физическом смысле объединение двух противоположных тенденций, дальнодействия (кулоновское взаимодействие) и близкодействия (столкновение твердых сфер), характеризующихся противоположными по отношению друг к другу «малыми» параметрами. Даже чистый кулоновский потенциал при этих улучшениях не всегда является удобной моделью, и, чтобы придать тем или иным выражениям разумное значение, его приходится модифицировать, обрезать и т.д.

) Уравнение Власова и без поправок достаточно сложное нелинейное интегральное уравнение. Решить его в общем случае не удается.

2.Линеаризованное уравнение Власова

.1 Вывод линеаризованного уравнения Власова

Чтобы сохранить однокомпонентную структуру уравнения Власова, используем следующую модель: положительные ионы (очень тяжелые и малоподвижные по сравнению с электронами) будем считать не только неподвижными и равномерно распределенными, но и равномерно размазанными (модель «желе»), и на фоне этого положительного заряда двигаются электроны, газ которых будет считаться невырожденным. Одночастичную функцию электронного газа F1 представим в виде:

 (2.1)

где F0(r,р) - равновесная функция распределения (по р - максвелловское, по r - однородное распределение). Плотность положительного заряда фона можно формально выразить через функцию:

(2.2)

Поэтому величина электростатического потенциала поля, создаваемого положительным фоном в точке r, будет равна

 (2.3)

самосогласованный же потенциал, создаваемый в этой точке другими электронами, имеет вид

, (2.4)

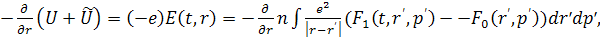
Вводя напряженность действующего на электрон (заряд ) электростатического поля Е(t, r) (вектор индукции), можем написать

 

Сократим на -e , учтем Fl-F0=f , подействуем слева и справа операцией div, учтем, что

 (2.6)

и что

, (2.7)

получаем для Е не что иное, как одно из уравнений Максвелла

 (2.8)

Предположим теперь, что система слабонеравновесна и для любого t и r


Тогда, производя линеаризацию уравнения Власова, сохраняя для градиента суммарного потенциала введенное выше обозначение (заметим, что Е й f одинакового порядка малости) и переходя к переменной v= р/m, получаем систему уравнений для f и Е:

 (2.10)

 (2.11)

Где

 (2.12)

Приближениях, которые привели нас к этому линейному уравнению:

) опустили парные корреляции (бесстолкновительное приближение);

) положили f << F0 (слабонеравновесный случай);

) ограничились электростатическим приближением (нерелятивистское приближение).

Обращает на себя внимание, что если приближения 2) и 3) имеют характер «технических» упрощений (которые можно изменить или вовсе не делать), то 1) - это потеря качества. Естественно, в этой схеме учитывать столкновения мы не собираемся, но нарушить симметрию по отношению к отражению времени (снять «вырождение» на обратимость) совершенно необходимо, чтобы обеспечить появление правильного типа решения в задаче, которую мы затем будем решать. Сделаем это следующим самым  простым образом: в правую часть уравнения для f поставим вместо нуля интеграл столкновений в аппроксимации релаксационным членом с последующей операцией его выключения:

 (2.13)

В формальном отношении эта «бесконечно малая добавка» (по существу, целая физическая программа) приведет к автоматически устанавливаемому правилу обхода полюса, лежащего на действительной оси. (Аналогичные физически осознанные правила обхода, обеспечивающие появление необходимых типов решения, используются в задачах электродинамики, квантовой теории рассеяния и т.д.)

2.2 Статическое решение линеаризованного уравнения для системы в поле точечного заряда

Пусть наша система находится в равновесном состоянии (df/dt = 0) в поле точечного заряда

 (2.14)

Введем эффективный потенциал Ф(r), градиент которого определяет величину вектора Е(r).

 (2.15)

Тогда система линеаризованных уравнений Власова будет иметь вид (так как времени t здесь нет, нет надобности и в члене -εf)

 (2.16)

 (2.17)

Подставив в первое уравнение

 (2.18)

и, записывая эти уравнения по отношению к фурье-компонентам Фk и fk,

 (2.19)

 (2.20)

 (2.21)

Имеем

 (2.22)

 (2.23)

Или

 (2.24)

 (2.25)

откуда сразу получаем

 (2.26)

 (2.27)

 (2.28)

 (2.29)

Этот известный результат, полученный в свое время еще Дебаем, выражает еще один коллективный эффект, характерный для систем заряженных частиц - свойство экранировать статические заряды. Заметим, что с помощью этого результата можно непосредственно получить некоторые результаты равновесной теории. Проинтегрировав F(r,v) по скоростям, сразу получим плотность вероятности распределения частиц вокруг заряда q:

 (2.30)

Если q - одна из частиц системы, то вероятность ω(r) обнаружить одну частицу на расстоянии r от другой представляет не что иное, как парную корреляционную функцию:

 (2.31)

В равновесной теории эта формула аппроксимировала F2(R) в области R>2r0, в которой ионы взаимодействовали по закону Кулона, а на расстояниях R<2r0 эта функция равнялась нулю вследствие непроницаемости ионных остовов (рис.3.1.).

Рис.3.1. - Вид парных корреляционных функций в равновесной теории плазмы.

В нашей модели «желе» , и, рассчитывая по стандартным  формулам, например, среднюю энергию взаимодействия частиц друг с другом, получаем

 (2.32)

известный результат для равновесной нерелятивистской плазмы, который позволяет далее рассчитывать в приближении f <<F0 все равновесные характеристики системы.

3.Примеры решения задач с помощью уравнения Власова

Задача 1

Для классического электронного газа, двигающегося на фоне положительного компенсирующего заряда, написать полную систему линеаризованных уравнений для функции f(t, r, v) совместно с уравнениями Максвелла.

Решение.

Так как плотности заряда ρ и тока j выражаются через нескомпенсированную плотность числа частиц как

(3.1)

 (3.2)

то, дополняя поле E силой Лоренца, имеем

 (3.3)

 (3.4)

 (3.5)

Чтобы написать эту систему относительно фурье-амплитуд, положим

 (3.6)

И выберем ось х так, чтобы k=(k,0,0), тогда (Н)z=0; ось z - так, чтобы Н=(0,0,Нkω), тогда (Н)z=0. Учитывая, что при переходе к фурье-представлению операция rot переходит в векторное произведение, получим в выбранной системе координат следующую систему уравнений:

 (3.7)

 (3.8)

 (3.9)

 (3.10)

 (3.11)

Задача 2

Получить из уравнений, выписанных в предыдущей задаче, уравнения, определяющие колебания вектора Ех (продольные колебания электростатического вектора E ) и определить дисперсионную зависимость ω=ω(k) и затухание малых колебаний в системе. Решение.

Введем величину

 (3.12)


 (3.13)

 (3.14)

 (3.15)

Выразив величину  с помощью первого уравнения через  и исключив ее из второго, получим, сократив на амплитуду поля , уравнение,

 (3.16)

 (3.17)

решение которого в случае  имеет вид:

 (3.18)

Задача 3

С помощью уравнений задачи 2 исследовать поперечные колебания вектора Е и определить частоту ω=ω(k) и затухание этих колебаний .

Решение.

Введем величину

 , (3.19)

Умножая уравнение для  на  и интегрируя по  и , получим

 (3.20)

 (3.21)

Выразив величину из первого уравнения и подставив ее во второе, получим уже новое дисперсионное уравнение:

, (3.22)

Рассчитывая интеграл, получим чисто формально в случае малых значений вектора k;

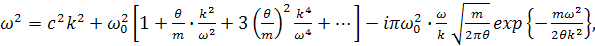
 (3.23)

Однако формальный подход в данном случае приводит к превышению точности рассмотрения. Действительно, наша задача существенно нерелятивистская, а последнее слагаемое в правой части было получено при подстановке в максвелловскую экспоненту величины которая согласно полученному уравнению превышает скорость света с. Поэтому полученную формально мнимую часть интеграла необходимо просто опустить (в релятивистском варианте задачи она даже не возникает). Таким образом, для поперечных колебаний вектора Е в плазме имеем

 (3.24)

Заметим, что в пределе n = 0 (т. е. ω0=0) мы получим из этой формулы  - закон дисперсии для поперечной электромагнитной волны в вакууме.

Заключение

классический уравнение линеаризованный газ

В данной курсовой работе была подробно исследована полная система линеаризованных уравнений в приближении самосогласованного поля для классического электронного газа, двигающегося на фоне положительного компенсирующего заряда.

В ходе работы был проведён математический анализ полной системы линеаризованных уравнений для классического электронного газа в приближении самосогласованного поля, двигающегося на фоне положительного компенсирующего заряда, совместно с уравнениями Максвелла.

В практической части были получены уравнения, определяющие продольные колебания вектора напряженности электрического поля, определена дисперсионная зависимость и затухание малых колебаний в системе.

Список использованной литературы

.        Квасников, И.А. Термодинамика и статистическая физика Т.3 (Теория неравновесных систем) [Текст] / И.А. Квасников // М.: Из-во «Едиториал УРСС». - 2003. - 448 с.

.        Ландау, Л. Д. Теоретическая физика : В 10-ти т. : Учебное пособие для университетов. Т. II : Теория поля [Текст] / Л. В. Ландау, Е. М. Лифшиц, Под. ред. Л.П. Питаевского // М.: ФИЗМАТЛИТ. - 2001. - 536 с.

.        Ландау, Л. Д. Теоретическая физика: В 10-ти т. : Учебное пособие для университетов. Т. IV : Квантовая электродинамика[Текст] / Л. В. Ландау, Е. М. Лифшиц, В. Б. Берестецкий, Л. П. Питаевский // М. : ФИЗМАТЛИТ. - 2002. - 720 с.

.        Ферми, Э. Лекции по квантовой механике [Текст] / Э. Ферми; пер. с англ. под ред. Н. В. Мицкевича // Ижевск : Науч.-изд. центр "Регулярная и хаотическая динамика" - 2000. - 247 с

.        Иродов, И. Е. Квантовая физика. Основные законы : Учеб. пособие для вузов [Текст] / И. Е. Иродов // М.; СПб : Физматлит: Лаборатория Базовых Знаний. - 2001. - 272.

.        Физика квантовой информации: Квантовая криптография. Квантовая телепортация. Квантовые вычисления: Учеб. пособие для вузов [Текст] / Под ред. Д. Боумейстера, А. Экерта, А. Цайлингера; Пер. с англ. С.П. Кулика, Е.А. Шапиро // М. : ПОСТМАРКЕТ. - 2002. - 376с.

.        Гинзбург, В. О несостоятельности работ А.А. Власова по обобщенной теории плазмы и теории твердого тела [Текст] / В. Гинзбург, Л. Ландау, М. Леонтович, В. Фок // ЖЭТФ 3. - 1946. - 102с.

.        Больцман, Л. Лекции по теории газов [Текст] / Л. Больцман // М.Ж Гостехиздат. - 1956. - 234с.

.        Келлин, Н.С. Условно стационарные начально-краевые задачи в динамике реакторов [Текст] / Н. С. Келлин // М., ДАН СССР. - т. 293. - 1987. - 342с.

.        Веденяпин, В. В. Кинетические уравнения Больцмана и Власова [Текст] / В. В. Веденяпин // М.: ФИЗМАТЛИТ. - 2000. - 92с.

.        Козлов, В. В. Кинетическое уравнение Власова, динамика сплошных сред и турбулентность. Нелинейная динамика [Текст] / В. В. Козлов // Математический институт им. В. А. Стеклова РАН. - 2010. - Т6. - 425с.

Похожие работы на - Линеаризованное кинетическое уравнение в приближении самосогласованного поля

 

Не нашли материал для своей работы?
Поможем написать уникальную работу
Без плагиата!
Без нейросетей!