Финансовая (бухгалтерская) отчетность в управлении предприятием на примере ЗАО 'Турбоинвест'
МИНОБРИНАУКИ
Филиал государственного
образовательного учреждения
Высшего профессионального образования
«САМАРСКИЙ ГОСУДАРСТВЕННЫЙ
ТЕХНИЧЕСКИЙ УНИВЕРСИТЕТ»
в г. Сызрани
Кафедра: «Общеэкономические
дисциплины»
КУРСОВАЯ РАБОТА
по дисциплине «Бухгалтерский учет и
анализ»
на тему: «Финансовая (бухгалтерская)
отчетность в управлении предприятием на примере ЗАО «Турбоинвест»
Выполнил:
студент НЭБЗ- 302
Миронычева
А.А.
Проверил: ст.
преп.
Шевченко Т.А.
СОДЕРЖАНИЕ
ВВЕДЕНИЕ
. Теоретические основы формирования отчета о финансовых
результатах
.1 Назначение и состав показателей отчета о финансовых
результатах
.2 Информационная сущность отчета о финансовых результатах
согласно МСФО
.3 Нормативные документы, регулирующие бухгалтерскую
финансовую отчетность
. Финансово-экономическая характеристика ЗАО «Турбоинвест»
.1 Краткая характеристика финансово-экономической
деятельности ЗАО «Турбоинвест»
.2 Анализ основных показателей финансово-хозяйственной
деятельности ЗАО «Турбоинвест»
. ОЦЕНКА ФИНАНСОВОГО СОСТОЯНИЯ НА ПРИМЕРЕ ЗАО «Турбоинвест»
.1 Характеристика имущественного положения ОАО«Трубоинвест»
.2 Оценка деловой активности и анализ рентабельности ЗАО
«Турбоинвест»
ЗАКЛЮЧЕНИЕ
БИБЛИОГРАФИЧЕСКИЙ СПИСОК
ВВЕДЕНИЕ
Цель работы - изучить бухгалтерскую отчетность как основной источник
данных, используемый для финансового анализа.
В результате своей деятельности любая организация осуществляет какие-либо
хозяйственные операции, принимает те или иные решения. Практически каждое такое
действие находит отражение в бухгалтерском учете.
Составление отчетов - завершающий этап учетного процесса. В них
содержатся совокупные сведения о результатах производственно-хозяйственной и
финансовой деятельность организации. Данные бухгалтерской, статистической,
оперативной отчетности являются источниками информации.
Отчетность - это система обобщенных и взаимосвязанных показателей о
состоянии и использовании основных и оборотных средств, об источниках
формирования этих средств, финансовых результатах и направлениях использования
прибыли.
Роль отчетности особенно возросла в связи с тесным сближением
национальных экономик ведущих индустриальных стран мира, что потребовало
унификации методов и принципов составления финансовой отчетности. Система
отчетности дает возможность определить итоги работы не только отдельных
организаций, но и объединений и министерства. Ряд показателей отчетности
используется для получения обобщенных данных по народному хозяйству. Вместе с
тем их используют сами организации для контроля за выполнением производственных
и финансовых планов, для выявления недостатков и определения путей их
устранения. Фактически отчетные данные являются базой для разработки текущих и
перспективных планов и в то же время оказывают влияние на построение учета,
обуславливая такую детализацию данных, которые вытекают из содержания
отчетности или требования текущего контроля.
Отчетные показатели используются для анализа хозяйственной деятельности
на отдельных участках производства, определения его положительных и
отрицательных сторон, причин отклонений от плана, выявления внутренних резервов
для повышения эффективности работы организации.
Отчет о финансовых результатах относятся к числу основных форм
бухгалтерской отчетности коммерческих организаций. Он дает представление о
финансовых результатах хозяйственной деятельности организации за отчетный
период. Годовой отчет о финансовых результатах обобщает информацию о финансовых
результатах отчетности года и входит в состав годовой отчетности; отчет,
формируемый нарастающим итогом за каждый месяц (квартал), входит в состав
промежуточной отчетности.
Значение отчета о финансовых результатах определяется ролью прибыли как
показателя оценки эффективности хозяйственной деятельности коммерческой
организации и источника финансирования расширенного воспроизводства. На
формирование прибыли оказывают воздействие производственные и финансовые
факторы, а также содержание учетной политики в области ведения бухгалтерского
учета и налогообложения. Показатели финансовых результатов хозяйственной
деятельности организации отражают компетентность руководства и качества
управленческих решений. Поэтому отчет о финансовых результатах в современной
аналитической практике рассматривается как источник информации об уровне
экономической эффективности хозяйственной деятельности организации,
используется для выявления и анализа тенденций формирования показателей
финансовых результатов и оценки управленческих решений за отчетный период.
Актуальность выбранной темы заключается в том, что благодаря детальному
изучению «Отчета о финансовых результатах» и анализу его показателей есть
возможность правильно проанализировать хозяйственную деятельность организации,
выявить положительные и отрицательные стороны ее финансовой деятельности, найти
пути повышения прибыли и уменьшения издержек производства и затрат на
производство продукции. Все это обусловило выбор темы работы. Цель работы -
изучение техники составления и использования в анализе отчета о финансовых
результатах, а также оценка деятельности организации. Достижение поставленной
цели предполагает решение ряда задач:
рассмотреть теоретические основы формирования отчета о финансовых
результатах;
дать финансово-экономическую характеристику ЗАО «Турбоинвест»;
рассмотреть особенности формирования и провести анализ отчета о
финансовых результатах ЗАО «Турбоинвест»;
изучить порядок составления и оценки показателей отчета о финансовых
результатах в зависимости от принятой учетной политики ЗАО «Турбоинвест»;
Объектом исследования в работе является - открытое акционерное общество
«Трубоинвест» Сызранского района Самарской области. Предмет исследования -
«Отчет о финансовых результатах».
1. Теоретические основы формирования отчета о
финансовых результатах
.1 Назначение и состав показателей отчета о
финансовых резльтатах
Второй составляющей бухгалтерской отчетности является отчет о финансовых
результатах, который предоставляет полную и достоверную информацию о
деятельности организации. Финансовый результат в отчете о финансовых
результатах определяется как разница между сальдо доходов и расходов отчетного
периода нарастающим итогом с начала года до отчетной даты, для чего
используется счет 99 «Прибыли и убытки». Следовательно, отчет о финансовых
результатах, по существу, отчетом за определенный период (месяц, квартал, год).
Положением по ведению бухгалтерского учета и бухгалтерской отчетности в
Российской Федерации введено такое важное понятие, как «бухгалтерская прибыль
(убыток)». Она представляет собой конечный финансовый результат (прибыль или
убыток), выявленный за отчетный период на основании бухгалтерского учета всех
хозяйственных операций организации. Бухгалтерская прибыль - это разница между
доходами и расходами за отчетный период. Финансовый результат, исчисленный по
данным баланса должен совпасть с итогом отчета о прибылях и убытках
(бухгалтерской прибылью), поскольку доходы и расходы являются относящимися к
отчетному периоду выплатами и поступившими платежами, с которыми связано
изменение соответствующих активов и пассивов.
Отчет о финансовых результатах не только отражает прибыль или убыток как
абсолютные величины, но и содержит информацию о доходности, которая позволяет
анализировать составляющие финансового результата.
В отчете о финансовых результатах требуется как минимум раскрывать
информацию о выручке от продажи товаров, продукции, работ, услуг; о процентах к
получению; доходах от участия в других организациях, прочих доходах. Можно
выделить пять экономических принципов составления отчета о финансовых
результатах:
. Недопущение взаимозачета статей доходов и расходов (принцип расчета
финансового результата методом брутто).
Принцип расчета финансового результата по методу брутто предусматривает
отражение всех доходов и расходов в полном размере без взаимозачетов. Метод
нетто, напротив, допускает суммирование (сверстку) однородных доходов и
расходов, при этом отражается только результат сложения. Только расчет
финансового результата по методу брутто в состоянии обеспечить требуемую норму,
запрещающую взаимозачет между статьями активов и пассивов баланса, статьями
прибылей и убытком на счете Прибылей и убытков. Указанная правовая норма должна
применяться всеми хозяйствующими субъектами. Исключения допускаются только на
основе отдельных правовых положений, например, для субъектов малого
предпринимательства, в которых допускается упрощенная система бухгалтерского
учета и налогообложения.
. Детализация доходов и расходов по видам (принцип детализации доходов и
расходов).
Данный принцип связан с их характером. Это, прежде всего, означает, что
все доходы и расходы отчетного периода должны быть структурированы определенным
образом.
. Детализация затрат по функциям управления - производство, управление и
сбыт (принцип построения отчета о прибылях и убытках по функциям управления).
Данный принцип предполагает отнесение доходов и расходов к определенным
областям деятельности организации.
.Отражение возникших в отчетном периоде доходов и расходов в зависимости
от отношения к отчетному периоду их причин (принцип периодизации).
Суть принципа состоит в том, что в отчете о прибылях и убытках отражаются
издержки и поступления, относящиеся к тому отчетному периоду, в котором была
произведена продукция (выполнены работы или оказаны услуги). Такая периодизация
поступлений является основой для периодизации затрат. Затраты, как и расходы,
относятся к тому периоду, в котором согласно принципу начисления (временной
определенности фактов хозяйственной деятельности) они имели место, независимо
от фактического времени поступления или выплаты денежных средств, связанных с
этими фактами.
. Разделение финансового результата на результат от основной и прочей
деятельности (принцип разделения результатов).
Принцип разделения результата исходит из того, что в отчете о прибылях и
убытках доходы и расходы должны быть разделены таким образом, чтобы основные и
прочие составляющие финансового результата были прозрачными (т.е.
распознаваемы). Такое разделение финансового результата позволяет внешним
пользователям бухгалтерской отчетности очистить полученный финансовый результат
от случайных факторов, а внутренним пользователям принимать соответствующие
управленческие решения по максимизации прибыли и уменьшению убытков (потерь).
Отчет о финансовых результатах строится в соответствии с требованиями ПБУ
9/99 «Доходы организации» и ПБУ 10/99 «Расходы организации», в которых доходы и
расходы организаций подразделяются на группы:
- доходы и расходы по обычным видам деятельности,
- прочие доходы и расходы.
В отчете о финансовых результатах данные о доходах, расходах и финансовых
результатах представляются нарастающим итогом с начала года до отчетной даты в
сравнении с аналогичным периодом предыдущего года.
В разделе I «Доходы и расходы по обычным видам деятельности» по статье
«Выручка (нетто) от продажи товаров, продукции, работ, услуг (за минусом налога
на добавленную стоимость, акцизов и аналогичных обязательных платежей) по
строке 2110 отражается выручка от продажи продукции, товаров, поступления от
выполненных работ, оказанных услуг, отдельных фактов хозяйственной
деятельности. Выручка приводится за минусом НДС, акцизов, налога на реализацию
ГСМ, налога с продаж, т.е. выручка-нетто. Т.е. по данной статье указывается
кредитовый оборот по счету 90 «Продажи» за минусом показанных по дебету счета
сумм налогов, описываемых на счет 90.
Выручка от реализации продукции, товаров (работ, услуг) для целей
бухгалтерского и налогового учета определяется по мере оказания услуг (отгрузки
товаров покупателям, сдачи работ заказчикам).
Днем отгрузки считается день реализации товаров (работ, услуг,
имущественных прав), определяемой в соответствии с п. 1 ст. 39 Налогового
Кодекса РФ, независимо от фактического поступления денежных средств (иного
имущества (работ, услуг) и (или) имущественных прав) в их оплату.
При продаже товаров, продукции, работ, услуг по договору мены необходимо
учитывать, что выручка в бухгалтерском учете организации, выступающей в
качестве покупателя, отражается после выполнения обязательств обеими сторонами.
По статье «Себестоимость проданных продукции, работ, услуг» по строке
2120 указывается себестоимость товаров, продукции, работ, услуг, выручка от
реализации которых отражена по предыдущей статье (2110) отчета о прибылях и
убытках (о финансовых результатах).
Организации, осуществляющие производство и реализацию готовой продукции,
отражают по этой статье все расходы, относимые на себестоимость продукции,
отпущенной в реализацию. Иными словами, по данной статье указываются суммы,
списанные с кредита счета 43 «Готовая продукция» в дебет счета 90.
Организации, выполняющие работы (оказывающие услуги) показывают по этой
статье все расходы, понесенные при выполнении работ (оказании услуг) и
относимые на себестоимость этих работ (услуг), т.е. указываются данные,
отраженные по кредиту счета 20 «Основное производство» в корреспонденции с
дебетом счета 90.
Организации, осуществляющие торговую деятельность, указывают по этой
статье покупную стоимость товаров, списываемых с кредита счета 41 «Товары» в
дебет счета 90. Этот же показатель используют и организации розничной торговли,
ведущие учет товаров в покупных ценах. Организации розничной торговли, ведущие
учет товаров в продажных ценах, отражают по данной статье покупную стоимость
(фактическую себестоимость) реализованных товаров. При этом разница между
суммами указанными в статьях 2110 и 2120 данной формы у других организаций
отражает величину реализационной торговой наценки (без НДС).
Если организация использует для учета затрат на производство счет 40
«Выпуск продукции», сумма превышения фактической производственной себестоимости
выпущенной из производства продукции, сданных работ и оказанных услуг над
нормативной (плановой) их себестоимостью включается в данную статью
(плюсуется). Если же фактическая себестоимость ниже нормативной (плановой)
себестоимости, то соответствующая разница минусуется по данной статье.
При определении себестоимости проданных продукции, работ, услуг
руководствуются требованиями Положения по бухгалтерскому учету «Расходы
организации» (ПБУ 10/99), отраслевыми инструкциями по вопросам планирования,
учета и калькулирования себестоимости продукции (работ, услуг).
В случае признания организацией в соответствии с установленным порядком
управленческих расходов полностью в себестоимости проданных продукции, товаров,
работ, услуг в качестве расходов по обычным видам деятельности, по данной
статье отражаются расходы на производство проданной продукции, работ, услуг без
учета общепроизводственных расходов, которые в этом случае отражаются по статье
«Управленческие расходы».
По статье «Коммерческие расходы» по строке 2210 организации,
осуществляющие производство продукции (выполнение работ, оказание услуг),
отражают расходы, связанные со сбытом продукции (работ, услуг) и списанные с
кредита счета 44 «Расходы на продажу» в дебет счета 90 (расходы по рекламе,
транспортировке продукции, на погрузочно-разгрузочные работы, расходы по
содержанию помещений для хранения продукции в местах ее реализации и т.п.),
т.е. коммерческие расходы.
Организации оптовой и розничной торговли по данной статье отражают
затраты, списанные с кредита счета 44 в части субсчета «Издержки обращения» в
дебет счета 90 (заработная плата административно-управленческого персонала и
продавцов, оплата услуг охраны, расходов на рекламу, налоги, относимые на
издержки обращения и т.п.).
По статье «Управленческие расходы» по строке 2220 отражаются суммы
общехозяйственных расходов, которые у организации согласно учетной политике
относятся с кредита счета 26 «Общехозяйственные расходы» в дебет счета 90
вместо счета 20 «Основное производство». При таком варианте на счет 90
списываются со счета 26 управленческие и хозяйственные расходы, не связанные
непосредственно с производственным процессом (административно-управленческие
расходы, содержание общехозяйственного персонала, оплата информационных,
аудиторских и консалтинговых услуг и т.п.).
В случае если организацией не предусмотрено в учетной политике списание
общехозяйственных расходов на счет 90, то доля их, относящаяся к реализованной
продукции (работам, услугам), отражается по статье 2120 «Себестоимость
проданных товаров, продукции, работ и услуг».
Статья «Валовая прибыль» по строке 2100 определяется как разница между
данными статьи «Выручка (нетто) от продажи товаров, продукции, работ и услуг»
(за минусом налога на добавленную стоимость, акцизов и аналогичных обязательных
платежей) и данными статьи «Себестоимость проданных товаров, продукции, работ и
услуг» (из данных строки 2110 вычитают данные строки 2120), таким образом
определяется прибыль без вычета коммерческих и управленческих расходов.
По статье «Прибыль (убыток) от продаж» отражается финансовый результат от
продажи продукции (работ, услуг): прибыль или убыток. Арифметически показатель
статьи 2200 определяется как разница между выручкой от реализации, отраженной
по статье 2110, и суммой затрат, отраженных по статьям 2120, 2210, 2220.
Если организацией получен убыток от реализации продукции (товаров, работ,
услуг), то он показывается по статье 2200 в скобках.
В разделе II «Прочие доходы и расходы» отражаются проценты к получению и
уплате, доходы от участия в других организациях, прочие доходы и расходы.
Они отражаются как признанные в бухгалтерском учете в соответствии с
условиями, определенными для их признания в ПБУ 9/99 и ПБУ 10/99 в суммах
рассчитанных по требованиям указанных Положений.
По статьям 2320 «Проценты к получению» и 2330 «Проценты к уплате»
отражаются суммы процентов, причитающиеся к получению или уплате. Данные виды
доходов и расходов не связаны с участием в уставных капиталах других
организаций. К суммам, отражаемым по данным статьям, в частности, относятся:
проценты по облигациям, проценты по депозитам, проценты, получаемые от
кредитных организаций за хранение денежных средств на счетах в банке, проценты
по векселям, проценты по коммерческим кредитам, расходы, связанные с оплатой
услуг банков, и т.п.
Указанные виды доходов и расходов отражают по статьям 2320 и 2330 лишь в
том случае, если они были учтены на счете 91 «Прочие доходы и расходы».
По статье 2310 «Доходы от участия в других организациях» отражаются
доходы от совместной деятельности (по договору простого товарищества) и доходы
от долевого участия в уставных капиталах других организаций или дивиденды по
акциям.
Доходы от совместной деятельности (простое товарищество) учитываются
записью: дебет счета 76 «Расчеты с разными дебиторами и кредиторами», кредит
счета 91 «Прочие доходы и расходы».
Доходы от долевого участия в уставных капиталах других организаций по
мере их отражения в учете записываются по дебет счета 76 и кредиту счета 91.
Таким образом, по данной статье указываются суммы доходов, получившие
свое отражение на счете 91 как операционные доходы.
По статьям 2340 «Прочие доходы» и 2350 «Прочие расходы» отражаются доходы
от сдачи имущества в аренду и предоставления другим фирмам прав на патенты
(если такая деятельность не является для фирмы основной); доходы от продажи
прочего имущества компании (основных средств, нематериальных активов, объектов
незавершенного капитального строительства или материалов); доходы от списания
оценочных резервов; штрафы и пени, полученные фирмой от партнеров за нарушение
ими условий хозяйственных договоров; возмещенные фирме убытки; стоимость
безвозмездно полученного имущества; прибыль прошлых лет, выявленную в отчетном
году; суммы кредиторской задолженности, по которой истек срок исковой давности;
положительные курсовые разницы; доходы, полученные в результате чрезвычайных обстоятельств,
и др.; расходы, связанные с получением прочих доходов. В частности, к ним
относят затраты по: сдаче имущества в аренду; предоставлению за плату прав на
патенты; продаже и списанию прочего имущества фирмы (основных средств,
нематериальных активов, материалов и т.д.); оплате услуг банка, а также штрафы,
пени и неустойки, которые вы должны заплатить другим фирмам за нарушение
условий договоров; убытки, возмещенные другим фирмам.
Кроме того, к прочим расходам относят: убытки прошлых лет, признанные в
отчетном году; суммы дебиторской задолженности, по которой истек срок исковой
давности, а также суммы других долгов, нереальных для взыскания; отрицательные
курсовые разницы; суммы уценки активов; судебные расходы; благотворительные
взносы и др., т.е. операции по которым учитываются на счете 91 «Прочие доходы и
расходы»; кредитовые обороты этого счета отражаются по статье 2340, дебетовые -
по статье 2350.
По строке 2300 отражают финансовый результат организации до
налогообложения. Строки 2430, 2450, 2410 заполняются плательщиками налога на
прибыль.
По строке 2450 указывают сумму отложенных налоговых активов, которые
представляют собой временную налогооблагаемую разницу, учитываемую на счете 09
«Отложенные налоговые активы».
В строке 2450 показывают отложенные налоговые активы, отраженные в
бухгалтерском учете записью по дебету счета 09 и кредиту счета 68. С
отрицательным знаком в строке 2450 указывают уменьшение отложенных налоговых
активов, которое в бухгалтерском учете было отражено по дебету счета 68 и кредиту
счета 09.
По строке 2430 со знаком «минус» показывают отложенные налоговые
обязательства, отраженные в бухгалтерском учете записью по дебету счета 68 и
кредиту счета 77 «Отложенные налоговые обязательства». С положительным знаком в
строке 2430 приводят уменьшение отложенных налоговых обязательств, которое в
бухгалтерском учете было отражено по дебету счета 77 и кредиту счета 68.
Следует иметь в виду, что по строкам 2450 и 2430 данные могут отражаться
как в положительном, так и в отрицательном значении, в зависимости от того,
какое влияние на сумму налога на прибыль отложенные временные налоговые разницы
оказали.
Постоянные налоговые обязательства отражаются в виде справочных данных в
строке 2421.
По строке 2410 отражают сумму текущего налога на прибыль, который
представляет собой налог на прибыль для целей налогообложения, определяемый
исходя из величины условного расхода (условного дохода), скорректированной на
суммы постоянного налогового обязательства, отложенных налоговых активов и
обязательств отчетного периода.
При отсутствии постоянных разниц, вычитаемых и налогооблагаемых временных
разниц, которые влекут за собой возникновение постоянных налоговых
обязательств, отложенных налоговых активов и обязательств, условный расход по
налогу на прибыль будет равен текущему налогу на прибыль.
Величина условного расхода по налогу на прибыль для целей определения
текущего налога на прибыль корректируется по следующей схеме: сумма строк 2450,
2430, 2410 и 2421 должна быть равна налогу на прибыль, указанному в налоговой
декларации. При этом следует учесть, что сумма налога на прибыль должна
отражаться в форме № 2 в круглых скобках (со знаком «минус»).
Строка 2400 «Чистая прибыль (убыток) отчетного периода» рассчитывается
следующим образом: прибыль до налогообложения + отложенные налоговые активы -
отложенные налоговые обязательства - текущий налог на прибыль.
Указанная чистая прибыль может быть распределена в соответствии с
решением собственников. При этом распределению подлежит прибыль после
обязательных отчислений в резервный капитал и другие фонды, определенные
законодательством и (или) учредительными документами организации.
Показатель стоки «Базовая прибыль на акцию» рассчитывается делением
базовой прибыли отчетного периода на средневзвешенное количество обыкновенных
акций, находящихся в обращении. Средневзвешенное количество обыкновенных акций
определяется суммированием количества акций на первое число каждого месяца и
делением полученного результата на число месяцев. Под базовой прибылью
понимается прибыль отчетного периода, оставшаяся в распоряжении акционеров
после уплаты налога на прибыль и прочих аналогичных платежей.
Под разводненной прибылью на акцию понимается ее уменьшение (увеличение
убытка) в расчете на одну обыкновенную акцию в результате возможного в будущем
выпуска дополнительных обыкновенных акций без соответствующего увеличения
активов общества.
К отчету о прибылях и убытках составляется «Расшифровка отдельных
прибылей и убытков».
В строках этой таблицы приводятся данные об отдельных прибылях и убытках,
полученных (выявленных) организацией в течение отчетного периода, в сравнении с
данными за аналогичный период предыдущего года. Это: штрафы, пени и неустойки,
признанные или по которым получены решения суда (арбитражного суда) об их
взыскании; прибыль (убыток) прошлых лет; возмещение убытков, причиненных
неисполнением или ненадлежащим исполнением обязательств; курсовые разницы по
операциям в иностранной валюте; отчисления в оценочные резервы; списание
дебиторских и кредиторских задолженностей, по которым истек срок исковой
давности.
1.2 Информационная сущность отчета о финансовых
результатах согласно МСФО
показатель отчет бухгалтерский информационный
Отчет о финансовых результатах является обязательным как в российской,
так и в зарубежной практике бухгалтерского учета. Название его совпадает в
отечественных стандартах и в МСФО 1.
Порядок раскрытия финансовых результатов в отчетности подробно рассмотрен
в МСФО 1 «Представление финансовой отчетности», а также еще в одном стандарте -
МСФО 8 «Учетная политика, изменения в бухгалтерских расчетах и ошибки».
В МСФО 1 перечислены общие требования к составлению отчета о прибылях и
убытках. Так же как для бухгалтерского баланса, МСФО 1 не предъявляются жесткие
требования к форме отчета о финансовых результатах: конкретная форма
разрабатывается хозяйствующим субъектом самостоятельно. Отсутствует
исчерпывающий перечень статей отчета о прибылях и убытках, не регламентированы
их расположение и названия. Однако регламентирован перечень линейных статей,
которые должны раскрываться как минимум:
выручка;
результаты операционной деятельности;
затраты по финансированию;
доля прибылей и убытков ассоциированных компаний и совместной
деятельности, учитываемых по методу участия;
расходы по налогу;
прибыль и убыток от обычной деятельности;
доля меньшинства;
чистая прибыль или убыток за период .
По статье «Выручка» отражаются доходы от продажи, проката, аренды при
обычной деятельности. Данные по статье «Результаты операционной деятельности»
формируются путем сложения доходов и вычитания из полученной суммы всех
расходов по осуществленным операциям, например, расходов на продажу продукции,
административных расходов и т.п. Статья «Затраты по финансированию»
характеризует расходы, связанные с привлечением средств, например, кредитов и
займов. В случае наличия у организации инвестиций в ассоциированные или
совместные компании доля прибылей и убытков последних учитывается по методу
участия. Если организация имеет дочерние компании, их доля в финансовых
результатах показывается в отчете о прибылях и убытках по статье «Доля
меньшинства».
Кроме изложенного выше перечня, МСФО 1 требует раскрытия в отчете о
финансовых результатах или в примечаниях суммы дивидендов на акцию, объявленных
за период.
Перечисленные линейные статьи в отчете о прибылях и убытках рекомендуется
группировать по подклассам, что должно обеспечить пользователю возможность
качественного анализа доходов и расходов. Согласно МСФО 1 указанные группировки
можно представлять как в отчете о финансовых результатах, так и в примечаниях к
нему. Однако более предпочтительно, как указывается в МСФО 1, представлять
такой анализ в отчете о прибылях и убытках. Группировка статей отчета о
прибылях и убытках на подклассы для анализа доходов и расходов может
осуществляться одним из следующих двух методов: характера затрат или функции
затрат.
При методе характера затрат в отчете о финансовых результатах расходы
объединяются в соответствии с их характером или целевым назначением, например,
амортизация, закупка материалов, транспортные расходы, заработная плата и
жалованье, затраты на рекламу. В таблице 1.1. приводится фрагмент отчета о
финансовых результатах, в котором доходы и расходы от основной деятельности
представлены с помощью метода характера затрат.
Таблица 1.1. Группировка статей отчета о финансовых результатах методом
характера затрат
|
Наименование статьи
|
№ строки
|
Сумма
|
|
Выручка
|
1
|
x
|
|
Прочий операционный доход
|
2
|
x
|
|
Прочий операционный доход
|
2
|
x
|
|
Изменения в запасах готовой
продукции (увеличение +, уменьшение -)
|
3
|
x (x)
|
|
Использованные сырье и
материалы
|
4
|
(x)
|
|
Заработная плата
|
5
|
(x)
|
|
Расходы на амортизацию
|
6
|
(x)
|
|
Прочие операционные расходы
|
7
|
(x)
|
|
Суммарные операционные
расходы (+/- стр. 3 + стр. 4 + стр. 5 + стр. 6 + стр. 7)
|
8
|
(x)
|
|
Прибыль от операционной
деятельности (стр. 1 + стр. 2 - стр. 8)
|
9
|
x
|
При методе функции затрат или «себестоимости продаж» расходы
классифицируются в соответствии с их функцией как часть себестоимости продаж
или административной деятельности. Приведем фрагмент отчета о прибылях и
убытках, в котором доходы и расходы от основной деятельности представлены с
помощью метода функции затрат (таблица 1.2.).
Таблица 1.2. Группировка статей отчета о финансовых результатах методом
функции затрат
|
Наименование статьи
|
№ строки
|
Сумма
|
|
Выручка
|
1
|
x
|
|
Себестоимость продаж
|
2
|
(x)
|
|
Валовая прибыль (стр. 1 -
стр. 2)
|
3
|
x
|
|
Прочий операционный доход
|
4
|
x
|
|
Расходы на продажу
|
5
|
(x)
|
|
Административные расходы
|
6
|
(x)
|
|
Прочие операционные расходы
|
7
|
(x)
|
|
Прибыль от операционной
деятельности (стр. 3 +/- стр. 4 - стр. 5 - стр. 6 - стр. 7)
|
8
|
(x)
|
Группировка по подклассам, собственно, определяет форму отчета о
финансовых результатах. Выбор метода классификации статей прибылей и убытков
зависит от традиций, отраслевых факторов и характера деятельности организации.
МСФО 1 требует выбирать такой метод классификации, который наиболее точно
представляет составляющие финансовых результатов организации. Таким образом,
хозяйствующие субъекты имеют право выбирать один из двух методов классификации
по собственному усмотрению. При этом информация, раскрываемая при использовании
метода характера затрат, считается МСФО 1 существенной для пользователей и
рекомендуется в качестве дополнительной при использовании метода функции
затрат. В связи с этим МСФО 1 выдвинуто требование при использовании
классификации расходов по функции раскрывать дополнительную информацию о
характере расходов, включая расходы на амортизацию и оплату труда.
Сравнение требований Приказа Министерства финансов РФ «О формах
бухгалтерской отчетности организаций» к форме отчетности «Отчет о финансовых
результатах» с требованиями МСФО 1 показывает аналогию статей указанного отчета
с перечнем линейных статей отчета о прибылях и убытках, регламентированным МСФО
1. В таблице 1.3. приведены сравнительные характеристики статей отчета о
финансовых результатах и линейных статей, регламентируемых МСФО 1.
Таблица 1.3. Сравнительная характеристика статей отчета о финансовых
результатах по ПБУ и МСФО
|
Рекомендации МСФО 1
|
Отчет о финансовых
результатах (РФ)
|
|
Выручка
|
Выручка (нетто) от продажи
товаров, продукции, работ, услуг
|
|
Результаты операционной
деятельности
|
Прибыль (убыток) от продаж
|
|
Затраты по финансированию
|
Себестоимость реализации
товаров, продукции, работ, услуг Коммерческие расходы Управленческие расходы
|
|
Доля прибылей и убытков
ассоциированных компаний и совместной деятельности, учитываемых по методу
участия
|
Доходы от участия в других
организациях
|
|
Расходы по налогу
|
Текущий налог на прибыль
Отложенные налоговые активы Отложенные налоговые обязательства
|
|
Прибыль и убыток от обычной
деятельности
|
Прибыль (убыток) от продаж
|
|
Доля меньшинства
|
-
|
|
Чистая прибыль или убыток
за период
|
Чистая прибыль
(нераспределенная прибыль) (убыток) отчетного периода
|
Из таблицы видно, что названия некоторых статей, рекомендуемых МСФО 1,
отличаются от названий статей в российском отчете о прибылях и убытках, но
большинство показателей, являющихся обязательными по МСФО 1, имеются в
отечественном «Отчете о финансовых результатах». Это не относится лишь к статье
«Доля меньшинства», которой в названном отчете нет. Вместе с тем в соответствии
с упомянутым Приказом Министерства финансов РФ российские организации вправе
представлять дополнительную информацию, сопутствующую финансовой отчетности,
если считают ее полезной для заинтересованных пользователей. Таким образом,
можно сделать вывод, что рекомендации МСФО 1 в определенной мере реализуются в
отечественном отчете о прибылях и убытках.
Кроме изложенного в таблице 1.3. перечня, МСФО 1 требует отражения в
отчете о прибылях и убытках или в примечаниях суммы дивидендов на акцию. Аналогичная
информация формируется и в отечественном «Отчете о финансовых результатах».
Общим для отечественного «Отчета о финансовых результатах» и формы отчета
о прибылях и убытках по МСФО 1 является раздельное отражение доходов и расходов
по обычной и прочим видам деятельности. При этом доходы и расходы по обычным
видам деятельности отражаются в российском «Отчете о финансовых результатах»,
пользуясь терминологией МСФО, методом функции затрат; метод характера затрат,
как правило, игнорируется. Таким образом, если по МСФО 1 предоставляется
возможность выбора между допустимыми методами, то по российским нормативным
документам альтернатива методу функции затрат не допускается. При использовании
метода функции затрат МСФО 1 рекомендует организации раскрывать дополнительную
информацию о характере расходов, то же предусмотрено российскими нормативными
документами: информация о характере расходов раскрывается в приложениях к
бухгалтерскому балансу.
Отчет о финансовых результатах по российским стандартам отличается от аналогичного
отчета по международным стандартам классификацией доходов и расходов от прочих
видов деятельности. Доходы и расходы от прочих видов деятельности в
отечественном отчете делятся на операционные и внереализационные доходы и
расходы, тогда как такие группировки МСФО 1 не предусмотрены. Более того,
результаты от операционной деятельности, согласно МСФО 1, являются частью
общего финансового результата от обычной деятельности, а принципиальное
различие имеется лишь между результатами от обычной и прочей деятельности,
поэтому в бухгалтерском учете формируются лишь две составляющие прибылей или
убытков за период. На основании выше сказанного можно сделать вывод о том, что
вследствие реформирования бухгалтерской отчетности, она все в большей степени
соответствует МСФО и это в скором времени позволит российскому бухгалтерскому
учету соответствовать международным стандартам бухгалтерского учета.
1.3 Нормативные документы, регулирующие
бухгалтерскую финансовую отчетность
Система нормативного регулирования бухгалтерского учета в РФ состоит из
документов четырех уровней, которые представлены в таблице 1.4. Нормативное
регулирование бухгалтерской отчетности:
- первый уровень - Закон «О бухгалтерском учете» № 402-ФЗ от
06.12.2011г. (ред. От 04.11.2014г.) и «Положение по ведению бухгалтерского
учета и бухгалтерской отчетности в Российской
Федерации» № 34н от 29.07.1998г. (последняя редакция №186 от
24.12.2010г.);
- второй уровень - Положение по бухгалтерскому учету
«Бухгалтерская отчетность организации» (ПБУ 4/99);
- третий уровень - приказ Минфина России «О формах
бухгалтерской отчетности организаций» № 66н от 02.07.2010г. (письмо о внесении
изменений № 66н от 04.12.2012г.), другие нормативные документы, регулирующие,
например, порядок составления сводной бухгалтерской отчетности, порядок
публикации бухгалтерской отчетности;
- четвертый уровень - нормативное регулирование формирования
бухгалтерской отчетности в рамках учетной политики организации, например,
внешней и внутренней сегментарной отчетности (ее состав и содержание, адреса и
сроки представления, порядок составления Налоговых расчетов и т.д.).
Таблица 1.4. Система регулирования бухгалтерского учета
|
Уровень
|
Документы
|
Органы, принимающие
документы
|
|
I уровень - законодательный
|
Федеральные законы,
кодексы, указы, постановления
|
Федеральное собрание,
Правительство РФ, Президент РФ
|
|
II уровень - нормативный
|
Положения (стандарты) по
бухгалтерскому учету
|
Министерство финансов РФ,
Центральный банк РФ
|
|
III уровень - методический
|
Нормативные акты (иные, чем
положения), методические указания
|
Министерство финансов РФ,
федеральные органы исполнительной власти, консультационные фирмы
|
|
IV уровень - учетная
политика организации
|
Организационно-распорядительная
документация (приказ, распоряжение и т.п.)
|
Организации, предприятия
|
Федеральный закон «О бухгалтерском учете» № 402-ФЗ от 06.12.2011г. (ред.
От 04.11.2014г.) применительно к отчетности регулирует лишь наиболее общие
положения, относящиеся к ней: состав бухгалтерской отчетности, адреса и сроки
ее представления и др.
В законе отмечается, что бухгалтерская отчетность организации состоит из
бухгалтерского баланса, отчета о финансовых результатах, приложений к ним,
предусмотренных нормативными актами.
Положение по ведению бухгалтерского учета и бухгалтерской отчетности содержит
следующие разделы, относящиеся к отчетности: основные правила составления и
представления бухгалтерской отчетности, порядок представления бухгалтерской
отчетности, основные правила сводной бухгалтерской отчетности.
В разделе «Основные правила составления и представления бухгалтерской
отчетности» указываются основные требования к отчетности, ее состав, правила
оценки основных статей отчетности: финансовых вложений, основных средств,
нематериальных активов, сырья, материалов, готовой продукции и товаров,
незавершенного производства и расходов будущих периодов, капитала и резервов,
расчетов с дебиторами и кредиторами, прибыли (убытка) организации.
В разделе «Порядок представления бухгалтерской отчетности» указывается,
что все организации, за исключением бюджетных, представляют годовую
бухгалтерскую отчетность в соответствии с учредительными документами
учредителям, участникам организации или собственникам ее имущества, а также
территориальным органам статистики по месту их регистрации.
В разделе «Основные правила сводной бухгалтерской отчетности» отмечается,
что в случае наличия у организации дочерних и зависимых обществ помимо
собственного бухгалтерского отчета составляется также сводная бухгалтерская
отчетность, включающая показатели отчетов таких обществ, находящихся на
территории Российской Федерации и за ее пределами, в порядке, устанавливаемом
Министерством финансов РФ.
Федеральные министерства и другие федеральные органы исполнительной
власти Российской Федерации составляют сводную годовую бухгалтерскую отчетность
по унитарным организациям, а также отдельно сводную бухгалтерскую отчетность по
акционерным обществам (товариществам), часть акций (долей, вкладов) которых
закреплена в федеральной собственности (независимо от размера доли).
Положение по бухгалтерскому учету «Бухгалтерская отчетность организации»
(ПБУ 4/99) устанавливает состав, содержание и методические основы формирования
бухгалтерской отчетности организаций, являющихся юридическими лицами (кроме
кредитных и бюджетных организаций).
Положение рекомендуется к применению Министерством финансов РФ при
установлении типовых форм бухгалтерской отчетности и инструкций о порядке
составления отчетности организациями разных форм и видов деятельности и порядка
публикации отчетности.
В положении приводятся значения терминов бухгалтерская отчетность,
отчетный период, отчетная дата, пользователь отчетности, дается состав
бухгалтерской отчетности и общие требования к ней.
В положении подробно характеризуется содержание бухгалтерского баланса,
отчета о прибылях и убытках, пояснений к бухгалтерскому балансу и отчету о
прибылях и убытках, даются правила оценки основных статей бухгалтерской
отчетности, раскрывается информация, сопутствующая бухгалтерской отчетности,
указывается, в каких случаях бухгалтерская отчетность подлежит аудиту,
раскрывается порядок публикации бухгалтерской отчетности (в тех случаях, когда
она подлежит публикации), характеризуется порядок составления промежуточной
бухгалтерской отчетности (за месяц, квартал, нарастающим итогом с начала года).
В качестве документа, конкретизирующего положения ПБУ 4/99, утверждены
указания об объеме форм бухгалтерской отчетности и о порядке составления и
представления бухгалтерской отчетности.
Инструктивные указания по составлению отчетности периодически утверждаются
и издаются (раз в несколько лет) Министерством финансов РФ - Департаментом
методологии бухгалтерского учета. В инструктивных указаниях Минфина России
даются краткие пояснения по составлению каждой типовой формы, входящей в состав
отчетности.
В соответствии с приказом Минфина РФ «О формах бухгалтерской отчетности
организации» № 66н от 02.07.2010г. (письмо о внесении изменений № 66н от
04.12.2012г.) организациям предоставлено право разрабатывать собственные формы
бухгалтерской отчетности с учетом особенностей деятельности организации. Но при
этом необходимо соблюдать общие требования, предъявляемые к бухгалтерской
отчетности (полнота, существенность, нейтральность и др.), изложенные в ПБУ
4/99. В то же время должны сохраняться коды итоговых строк и коды строк
разделов и групп статей бухгалтерского баланса, приведенного в типовом образце
(для обеспечения сопоставимости данных различных организаций и составления
сводной отчетности).
Исходя из вышеизложенного можно сделать обобщающий вывод, что отчетность
- это заключительный элемент метода бухгалтерского учета. Подготовка
бухгалтерской отчетности - это забота не только бухгалтерии, но и других
экономических и технических служб организации, потому что при составлении
отчетности подводятся итоги и оцениваются все аспекты деятельности организации.
Отчет о финансовых результатах дает возможность выполнить анализ
финансовых результатов за отчетный год и их динамику по сравнению с предыдущим
периодом. Этот отчет содержит информацию о формировании финансовых результатов.
Характерно, что в отчете приведена выручка от реализации, очищенная от налога
на добавленную стоимость, акцизов и других обязательных платежей.
В отчете о финансовых результатах приведены следующие расходы:
себестоимость реализации товаров, продукции, работ, услуг; коммерческие
расходы; управленческие расходы.
Отчет о финансовых результатах является важнейшим источником информации
для анализа показателей рентабельности организации, рентабельности
реализованной продукции, рентабельности производства продукции, определения
величины чистой прибыли, остающейся в распоряжении организации и других
показателей.
Отчет о финансовых результатах дает нам возможность получить информацию о
финансовых результатах фирмы, подробно освещает использование прибыли, а также
дает полную характеристику платежей в бюджет, которые осуществляет организация
с учетом различных льгот.
Принятые в последнее время ПБУ 9/99 и ПБУ 10/99 значительно приблизили
финансовую отчетность в Российской Федерации к международным стандартам. Тем не
менее, сохраняется жесткое нормативное регулирование многих вопросов учета
финансовых результатов организации. Несмотря на заявление в указанных
нормативах о независимости представления финансовых результатов в отчетности от
целей налогообложения, на практике сохраняется фискальная направленность учета.
Таким образом, сегодня сохраняются существенные проблемы, касающиеся отражения
финансовых результатов организации в соответствии с МСФО. Требования,
изложенные в МСФО, подходят для нашей страны, поэтому задача дальнейшего
реформирования отечественного учета заключается в том, чтобы соответствовать им
не только теоретически, но и на практике.
2. Финансово-экономическая характеристика ЗАО
«ТУРБОИНВЕСТ» отчетность прибыль
.1 Краткая характеристика финансово-экономической
деятельности ЗАО «ТУРБОИНВЕСТ»
ЗАО “Турбоинвест” - одно из самых современных
предприятий автомобильной отрасли России, изготавливающий важнейший узел
трансмиссии автомобиля - карданный вал, и занимающее прочное положение на
внутреннем рынке.
В начале 90-х гг. руководство ОАО “АвтоВАЗ” приняло
решение осуществлять производство комплектующих на других заводах, а на
территории самого “АвтоВАЗа” производить лишь сборку автомобилей. Несколько
позже на сызранском заводе “Тяжмаш” была выделена определённая территория, на
которой было принято создать завод ЗАО «Турбоинвест» по производству карданных
валов. Причём, всё оборудование, 90% которого изготовлено в Германии, было
привезено в Сызрань на “ Турбоинвест ” с “АвтоВАЗа”.
В 1998 г. была выпущена первая партия карданных валов
для получения заключения на разрешение производства. А к концу ноября 1998 г.
было налажено серийное производство (200 штук в сутки). Уже в июне 2000 г.
стали осуществляться крупные поставки (2000 штук в сутки). Объём выпущенной
продукции в 2003 году составил 390197 тыс. руб. При этом чистая прибыль
предприятия - 23407 тыс. руб. В 2003 г. работники ЗАО “ Турбоинвест ”
приступили к разработке и подготовке производства современного изделия вала
карданного с шарниром равных угловых скоростей (в.к. ШРУС). Новые карданные
валы обеспечили более высокую надёжность, при этом значительно снизилась
вибрация, шум и энергоёмкость автомобиля, повысился комфорт автомобиля и
увеличился его срок эксплуатации. В 2004 г. предприятие получило сертификат,
удостоверяющий что ЗАО “ Турбоинвест ” разработало и внедрило систему качества
соответствующую требованиям МС ИСО 9001:2000. Также в 2004 г. ЗАО “Турбоинвест”
органом сертификации TUV CERT TUV Thuringen e. V. выдан
сертификат, удостоверяющий, что предприятие при производстве карданных валов
для заднеприводных, полноприводных и специальных автомобилей внедрило и
применяет систему менеджмента качества.
ЗАО “ Турбоинвест ” занимает устойчивое положение и
расширяет свою деятельность на внутреннем рынке в автомобильной отрасли. В
последние годы предприятие расширило ассортимент, производя карданные валы не
только для “классических” автомобилей, но и для новых марок автомобилей,
выпускаемых “АвтоВАЗом”, и автомобилей специального назначения.
ЗАО “ Турбоинвест ” является юридическим лицом, имеет
свою печать, расчетный счет в ФКБ ОАО “Солидарность”. Полный адрес предприятия:
Российская Федерация, 446010, Самарская область, г. Сызрань, ул.
Гидротурбинная, 13. Численность персонала ЗАО “ Турбоинвест ” на 31.12.2003
составляет 565 человек. В наличие имеются основные средства на сумму 17213 тыс.
руб., оборотные активы на сумму 48671 тыс. руб.
Предприятие ЗАО «Турбоинвест» имеет функциональную
структуру, которая строится по принципу исполнения одинаковых функций. Работники,
выполняющие одни и те же функции, объединяются. Каждая составляющая часть
предприятия выполняет свою функцию.
Клиентами и партнёрами ЗАО «Турбоинвест» являются
такие предприятия, как “АвтоВАЗ”, АО “GM-АвтоВАЗ”, ОАО “ИЖМАШАВТО”, ООО “Алев-ЛАДА”, ООО “ЛАДА-ТУЛ”, ЗАО
“Волгапроммаркет”, ОАО “Бронто”, АО “САТОЛ”, ООО “КАЗ”, ООО “Херсонский
автосборочный завод”, ДП “АМ-Импекс”, ООО “ЭЛЕКС-ПОЛЮС”, автосборочные заводы
Эквадора, Уругвая, Египта и др.
2.2 Анализ основных показателей
финансово-хозяйственной деятельности ЗАО «Турбоинвест»
Одним из важных итогов хозяйственной деятельности организаций является
размер полученной прибыли. В этом показателе находят отражение уровень
организации производства, эффективность использования ресурсов, экономические взаимоотношения
между сельскохозяйственными организациями и государством, покупателями,
поставщиками и т.д.
Прибыль - это денежное выражение накоплений, создаваемых организациями
любой формы собственности. Как экономическая категория она характеризует финансовый
результат предпринимательской деятельности организаций. Прибыль является
показателем, который наиболее полно отражает эффективность производства, объем
и качество произведенной продукции, уровень себестоимости.
Чистая прибыль, как конечный финансовый результат деятельности
организации, представляет собой разницу между общей суммой доходов и затратами
на производство и реализацию продукции с учетом убытков от различных
хозяйственных операций.
Необходимо составить предварительные заключения об
итогах деятельности за отчетный период. К важнейшим показателям деятельности
предприятия относятся: выручка от реализации продукции, финансовый результат от
реализации продукции, балансовая прибыль, чистая прибыль предприятия после
уплаты налогов, рентабельность продукции, собственный капитал предприятия,
затраты на 1 рубль реализованной продукции, средняя заработная плата 1
работника предприятия и средняя выработка работника.
Балансовая прибыль включает в себя прибыль от обычных видов деятельности,
финансовые результаты от операционных и внереализационных операций и
чрезвычайных обстоятельств.
Налогооблагаемая прибыль представляет собой разность между прибылью от
обычной деятельности и суммой льгот по налогу на прибыль.
Чистая прибыль - это та часть прибыли, которая остается в распоряжении
предприятия после уплаты налога на прибыль.
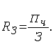
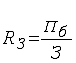
Рентабельность производственной деятельности (окупаемость издержек) (R3)
исчисляется путем отношения балансовой (Пб) или чистой прибыли (Пч) к сумме
затрат по реализованной или произведенной продукции (З):
или
(1), (2)
Она показывает, сколько предприятие имеет прибыли с каждого рубля,
затраченного на производство и реализацию продукции. Может рассчитываться в
целом по предприятию, отдельным его подразделениям и видам продукции.
Темп прироста - это характеристика изменения какого-либо экономического
показателя за выбранный промежуток времени. Он определяется, как отношение
величины изменения показателя за отчетный период к величине показателя в
предыдущем периоде и может быть выражен как в абсолютных величинах, так и в
процентах.
(Отчетный пер. - предыдущий пер.) / предыдущий пер. = темп прироста.
Таблица 2.1 Анализ итогов деятельности за 2011 - 2012
гг.
|
показатели
|
предыдущий период
|
отчетный период
|
темп прироста, %
|
|
1. Выручка от реализации
продукции (без НДС и акцизов), тыс. руб.
|
245443
|
390197
|
58,98
|
|
2. Финансовый результат от
реализации продукции, тыс. руб.
|
14631
|
36558
|
149,87
|
|
3. Балансовая прибыль, тыс.
руб.
|
13753
|
31540
|
129,33
|
|
4. Чистая прибыль
предприятия после уплаты налогов, тыс. руб.
|
10489
|
23407
|
123,16
|
|
5. Рентабельность
продукции, %
|
5,96
|
8,92
|
49,64
|
|
6. Собственный капитал
предприятия, тыс. руб.
|
24148
|
47513
|
96,76
|
|
7. Затраты на 1 руб.
реализованной продукции, руб./руб.
|
0,94
|
0,91
|
-3,62
|
|
8. Средняя заработная плата
1 работника предприятия в год, тыс. руб.
|
34,15
|
49,99
|
46,38
|
|
9. Средняя выработка одного
работника, тыс. руб.
|
434,41
|
690,61
|
58,98
|
По данным таблицы видно, что в отчетном периоде
выручка от реализации продукции составила 390197 тыс. руб., что на 58,98 %
больше по сравнению с предыдущим годом, т.е. количество реализованной продукции
увеличилось; финансовой результат от реализации продукции увеличился по
сравнению с предыдущим периодом на 149,87 %, балансовая прибыль - на 129,33 %,
чистая прибыль предприятия после уплаты налогов выросла на 123,16 %;
рентабельность продукции - на 49,64 %, средняя заработная плата одного
работника в год увеличилась на 46,38 %, что явилось хорошей стимуляцией труда
рабочих и повысило выработку 1 работника на 58,98 %.
Т. о. выручка от реализации продукции, балансовая
прибыль, чистая прибыль, средняя заработная плата, рентабельность продукции и
средняя выработка 1 рабочего выросли по сравнению с предыдущим годом, т.е.
динамика важнейших показателей ЗАО «Турбоинвест» является благоприятной.
3. ОЦЕНКА ФИНАНСОВОГО СОСТОЯНИЯ ПРЕДПРИЯТИЯ НА ПРИМЕРЕ
ЗАО «ТУРБОИНВЕСТ»
3.1 Характеристика
имущественного положения ЗАО «Турбоинвест»
В условиях рынка повышается значение анализа платежеспособности, т.к.
возрастает необходимость своевременности оплаты предприятием текущих долговых
платежных требований. Оценка платежеспособности проводится по данным
бухгалтерского баланса на основе характеристики ликвидности оборотных средств,
т.е. времени, которое необходимо для превращения в денежную наличность.
Расчет показателей ликвидности оборотных активов:
. Коэффициент абсолютной ликвидности (ликвидность первой степени) -
отношение суммы денежных средств и краткосрочных финансовых вложений (Дср) к
краткосрочным долговым обязательствам (Ккр):
(1)
Значение
ликвидности признается достаточным при
=0,2 или
0,25.
.
Критический коэффициент ликвидности (ликвидность второй степени) - отношение
суммы денежных средств и краткосрочных финансовых вложений (Дср) и дебиторской
задолженности (Дз) к краткосрочным долговым обязательствам (Ккр):
(2)
Нормативное
значение -
=0,7 или 0,8.
.
Коэффициент текущей ликвидности (ликвидность третьей степени, коэффициент
покрытия) - отношение всех оборотных активов, т.е. денежных средств,
краткосрочных финансовых вложений, дебиторской задолженности и стоимости
запасов за вычетом расходов будущих периодов и НДС по приобретенным ценностям
(Зм), к краткосрочны долговым обязательствам:
(3)
Нормативное
значение -
>1.
В случае, если рассчитанные значения коэффициентов ликвидности
оказываются существенно ниже нормальных значений, следует рассчитать
коэффициент восстановления платежеспособности.
Коэффициент восстановления платежеспособности (Кв.п.) рассчитывается по
формуле:
, (4)
где
Кт.лк и Кт.лн - соответственно фактическое значение коэффициента ликвидности в
конце и начале отчетного периода; Кт.л.норм. - нормативное значение
коэффициента текущей ликвидности; (Кт.л.норм. = 2); 6 - период восстановления
платежеспособности; Т - отчетный период, мес.
Если
коэффициент восстановления платежеспособности больше 1, то у предприятия есть
реальная возможность восстановить свою платежеспособность, и наоборот, если
Кв.п. меньше 1 - у предприятия нет реальной возможности восстановить свою
платежеспособность в ближайшее время.
Таблица
3.1.1 Анализ показателей платежеспособности и ликвидности за 2011 - 2012 гг.
|
показатели
|
значение, соответствующее
нормальному
|
2011год
|
2012 год
|
изменение за год
|
|
1.Краткосрочные долговые
обязательства предприятия
|
-
|
23513
|
18300
|
-5213
|
|
2.Денежные средства и
краткосрочные финансовые вложения
|
-
|
329
|
453
|
|
3.Дебиторская задолженность
и прочие оборотные активы
|
-
|
4896
|
11825
|
6929
|
|
4.Запасы за вычетом
расходов будущих периодов и НДС
|
-
|
20665
|
32645
|
11980
|
|
5.Коэффициент абсолютной
ликвидности
|
0,2ч0,25
|
0,014
|
0,043
|
0,029
|
|
6.Коэффициент ликвидности
|
0,7ч0,8
|
0,222
|
0,689
|
0,467
|
|
7.Коэффициент текущей
ликвидности
|
>1,5
|
1,101
|
2,473
|
1,372
|
По данным таблицы видно, что денежные средства и краткосрочные финансовые
вложения выросли на 453 тыс. руб., дебиторская задолженность и прочие оборотные
активы - на 6929 тыс. руб., запасы за вычетом расходов будущих периодов и НДС -
на 11980 тыс. руб., а краткосрочные долговые обязательства сократились на 5213
тыс. руб.
Коэффициент
абсолютной ликвидности значительно меньше нормативного, что говорит о
неспособности предприятия досрочно погасить кредиторскую задолженность
<#"867359.files/image010.gif">≥0,50,510,720,21
|
|
|
|
|
2.Коэффициент соотношения
заемных и собственных средств
|
Кэс
|
<10,970,39-0,59
|
|
|
|
|
|
3.Коэффициент маневренности
|
Км
|
≥0,50,310,640,32
|
|
|
|
|
|
4.Коэффициент
обеспеченности СОС
|
Кос
|
≥0,30,240,620,38
|
|
|
|
|
|
5.Коэффициент реальных
активов в имуществе предприятия
|
Кра
|
≥0,50,840,78-0,05
|
|
|
|
|
По данным таблицы видно, что
коэффициент автономии находится в пределах нормативного значения, т.е.
финансовое положение предприятия можно считать устойчивым. Тенденцию роста
показателя оцениваем положительно.
коэффициент соотношения заемных и собственных средств показывает, сколько
заемных средств приходится на 1 рубль собственных. Его значение на начало и
конец года не превышает критическое. Снижение коэффициента к концу отчетного
периода оцениваем положительно, оно говорит об увеличении финансовой
устойчивости и росте независимости предприятия от заемных средств.
коэффициент маневренности оборотных средств на конец отчетного периода
превышает верхнюю границу нормативного значения, что говорит о способности
предприятия рассчитываться по обязательствам за счет собственных оборотных
средств. Показатель свидетельствует о возможностях у предприятия для финансовых
маневров, является резервом повышения конкурентоспособности предприятия.
- коэффициент обеспеченности предприятия собственными
оборотными средствами на конец года превысил допустимое значение, что
свидетельствует о хорошем финансовом состоянии предприятия и о его возможности
проводить независимую финансовую политику. Структуру баланса признаем удовлетворительной.
коэффициент реальных активов в имуществе предприятия
находится в пределах нормативного значения и значительно превышает его, что
свидетельствует о высоких производственных возможностях предприятия.
Таким образом, анализируя динамику основных
показателей, характеризующих финансовую устойчивость предприятия, можно
сказать, что предприятие обладает ее удовлетворительным уровнем, т.к. все
коэффициенты на конец года находятся в пределах граничных значений.
Необходимо дать общую оценку финансового положения
предприятия и указать пути его улучшения.
К основным факторам использования производственных
ресурсов можно отнести:
1. производительность труда:
, (5)
где
Q - объем реализованной продукции в фиксированных
ценах,
P -
среднесписочная численность ППП
2. материалоемкость продукции:
, (6)
где М - материальные затраты на производство продукции
в фиксированных ценах
3. фондоотдача:
, (7)
где Фос- средняя стоимость основных средств в
фиксированных ценах.
Таблица 3.3 Взаимодействие факторов использования
производственных ресурсов, влияющие на изменение объема продукции
|
показатели
|
обозначение
|
предыдущий год, тыс. руб.
|
отчетный год, тыс. руб.
|
изменение, тыс. руб.
|
темп прироста, %
|
|
1.Объем продукции в
фиксированных ценах
|
Q
|
245443
|
390197
|
144754
|
158,98
|
|
2. Среднесписочная
численность ППП
|
P
|
565
|
565
|
0
|
100
|
|
3. Материальные затраты на
производство
|
M
|
188846
|
287835
|
98989
|
152,42
|
|
4. Среднегодовая стоимость
ОПФ
|
Фос
|
16603
|
17213
|
610
|
103,67
|
|
5. Производительность труда
|
q
|
434,41
|
690,61
|
256,20
|
158,98
|
|
6. Материалоемкость
|
Ме
|
0,77
|
0,74
|
-0,03
|
95,87
|
|
7. Фондоотдача
|
Фо
|
14,78
|
22,67
|
7,89
|
153,34
|
По данным таблицы 3.3 видно, что качественный уровень использования ресурсов
в отчетном году по сравнению с предыдущим повысился не по всем показателям. Так
рост производительности труда составил 158,98 %, темп прироста фондоотдачи
53,34 %, тогда как темп роста материалоемкости снизился и составил 95,87 %.
ЗАКЛЮЧЕНИЕ
Каждой организации необходимы дополнительные источники финансирования.
Найти их можно на рынках капитала. Привлечь потенциальных инвесторов и
кредиторов возможно лишь путем объективного информирования их о своей
финансово-хозяйственной деятельности, т.е. с помощью отчетности. Насколько
привлекательны опубликованные финансовые результаты, текущее и перспективное
финансовое состояние предприятие, настолько и высока вероятность получения
дополнительных источников финансирования.
Отчет о финансовых результатах является одной из основных форм
отчетности, обязательно присутствующей в периодической отчетности. Именно этот
отчет отражает финансовое положение предприятия на отчетную дату, а также
достигнутые им в отчетном периоде финансовые результаты.
Отчет о финансовых результатах не только отражает прибыль или убыток как
абсолютные величины, но и содержит информацию о доходности, которая позволяет
анализировать составляющие финансового результата.
Современный отчет о финансовых результатах предоставляет информацию о формировании
финансовых результатах по разнообразным видам деятельности организации, а также
итоги различных фактов хозяйственной деятельности за отчетный период, способных
повлиять на величину конечного финансового результата. Кроме того,
рассматриваемая отчетная форма является связующим звеном между прошлым и
текущим отчетными периодами и показывает, за счет чего произошли изменения в
бухгалтерском балансе отчетного периода по сравнению с прошлым. Отчет о
финансовых результатах показывает, как изменяется собственный капитал
организации под воздействием доходов и расходов, осуществленных в текущем
периоде.
В данной работе были рассмотрены модели построения «Отчета о финансовых
результатах» в России и международной практике, раскрыты назначения и целевая
направленность Отчета, подробно изложен порядок формирования и классификации
доходов и расходов.
При рассмотрении данных вопросов использованы практические материалы
деятельности ЗАО «Турбоинвест».
По результатам проделанной работы можно сделать вывод, что в ЗАО
«Турбоинвест» порядок составления «Отчета о финансовых результатах»
соответствует нормативным актам.
Данные о финансовых результатах, отраженные в Отчете о финансовых
результатах соответствую бухгалтерскому балансу.
«Отчет о финансовых результатах» утверждена Приказом Минфина России «О
формах бухгалтерской отчетности организаций». Показатели отчета заполняются на
основании аналитических данных к счетам 90 «Продажи», 91 «Прочие доходы и
расходы», 99 «Прибыли и убытки», которые содержатся соответственно в Главной
книге при журнально-ордерной форме учета. Все данные отчета надо приводить
нарастающим итогом. Не следует зачитывать суммы прибыли в счет убытков (и
наоборот). Отрицательные величины и те показатели, что бухгалтер должен
вычитать, записывают в «Отчете о финансовых результатах» в круглых скобках.
Отчет о финансовых результатах включает в себя пять разделов: 1) доходы и
расходы по обычным видам деятельности, 2) прочие доходы и расходы, 3) прибыль
(убыток) до налогообложения, 4) чистая прибыль (убыток) отчетного периода, 5)
расшифровка отдельных прибылей и убытков.
Финансовое состояние предприятия с позиции краткосрочной перспективы
оценивается показателями ликвидности и платежеспособности, в наиболее общем
виде характеризующими, может ли предприятие в срок и в полной мере произвести
расчеты по краткосрочным обязательствам перед контрагентами.
Ликвидность предприятия - это возможность предприятия покрыть свои
платежные обязательства за счет собственных средств (перевод активов в денежную
наличность) и за счет привлечения заемных средств со стороны.
Ликвидность предприятия выступает в качестве внешнего проявления
финансовой устойчивости, сущностью которой является обеспеченность оборотных
активов долгосрочными источниками формирования. Большая или меньшая текущая
ликвидность (неликвидность) обусловлена большей или меньшей степенью
обеспеченности (необеспеченности) оборотных активов долгосрочными источниками.
Основным признаком ликвидности, служит формальное превышение (в
стоимостной оценке) оборотных активов над краткосрочными пассивами. Чем больше
это превышение, тем благоприятнее финансовое состояние предприятия с позиции
ликвидности. Если величина оборотных активов недостаточно велика по сравнению с
краткосрочными пассивами, текущее положение предприятия неустойчиво и вполне
вероятно, что может возникнуть ситуация, когда на предприятии не будет в нужном
количестве средств для расчетов по своим финансовым обязательствам.
Анализ ликвидности ЗАО «Турбоинвест» показал, что в целом, предприятие
идет по интенсивному пути развития.
БИБЛИОГРАФИЧЕСКИЙ СПИСОК
1. Федеральный закон «О
бухгалтерском учете» №129-ФЗ от 21 ноября 1996 г. (в ред. Федерального закона
№243-ФЗ от 28 сентября 2010 г.).
2. Положение по ведению
бухгалтерского учета и бухгалтерской отчетности в Российской Федерации.
Утверждено приказом Минфина РФ № 34н от 29 июля 1998 г. (в ред. Приказа Минфина
РФ № 186н от 24.12.2010 г.).
3. Положение
по бухгалтерскому учету «Учетная политика организации». ПБУ 1/2008. Утверждено
приказом Минфина РФ №106н от 06 октября 2008 г. (в ред. Приказа Минфина РФ №
22н от 11 марта 2009 г.).
. Авдеев
В.В. Отчет о прибылях и убытках // Все для бухгалтера. - 2010, №1.
5. Вещунова
Н.Л., Фомина Л.Ф. Бухгалтерский учет. - М.:Рид Групп, 2011.
6. Богаченко
В.М. Основы бухгалтерского учета. - Ростов на/Д: Феникс, 2013.
. Пошерстник
Н.В. Бухгалтерский учет на современном предприятии. - М.: Проспект, 2010.
. Гомола
А.И., Кириллов В.Е., Кириллов С.В. Бухгалтерский учет. - М.: Академия, 2011.
Приложение № 1
к Приказу Министерства финансов Российской Федерации от 02.07.2010 № 66н
(в ред. Приказа Минфина РФ от 05.10.2011 № 124н)
Формы
бухгалтерского баланса и отчета о прибылях и убытках
Бухгалтерский баланс
|
на
|
|
20
|
|
г.
|
Коды
|
|
Форма по ОКУД
|
0710001
|
|
Дата (число, месяц, год)
|
|
|
|
|
Организация
|
|
по ОКПО
|
|
|
Идентификационный номер
налогоплательщика
|
ИНН
|
|
|
Вид экономической
деятельности
|
|
по ОКВЭД
|
|
|
Организационно-правовая
форма/форма собственности
|
|
|
|
|
|
по ОКОПФ/ОКФС
|
|
|
|
Единица измерения: тыс.
руб. (млн. руб.)
|
по ОКЕИ
|
384 (385)
|
|
|
|
|
|
|
|
|
|
|
|
|
|
|
|
|
Местонахождение (адрес)
|
|
На
|
|
|
На 31 декабря
|
На 31 декабря
|
|
Пояснения 1
|
Наименование показателя 2
|
20
|
|
г.3
|
20
|
|
г.4
|
20
|
|
г.5
|
|
|
|
|
|
|
|
|
|
|
|
|
АКТИВ
|
|
|
|
|
I. ВНЕОБОРОТНЫЕ АКТИВЫ
|
|
|
|
|
Нематериальные активы
|
|
|
|
|
Результаты исследований и
разработок
|
|
|
|
|
Нематериальные поисковые
активы
|
|
|
|
|
Материальные поисковые
активы
|
|
|
|
|
Основные средства
|
|
|
|
|
Доходные вложения в
материальные ценности
|
|
|
|
|
Финансовые вложения
|
|
|
|
|
Отложенные налоговые активы
|
|
|
|
|
Прочие внеоборотные активы
|
|
|
|
|
Итого по разделу I
|
|
|
|
|
II. ОБОРОТНЫЕ АКТИВЫ
|
|
|
|
|
Запасы
|
|
|
|
|
Налог на добавленную
стоимость по приобретенным ценностям
|
|
|
|
|
Дебиторская задолженность
|
|
|
|
|
Финансовые вложения (за
исключением денежных эквивалентов)
|
|
|
|
|
Денежные средства и
денежные эквиваленты
|
|
|
|
|
Прочие оборотные активы
|
|
|
|
|
Итого по разделу II
|
|
|
|
|
БАЛАНС
|
|
|
|
|
|
|
|
|
|
|
|
|
|
|
|
|
Форма 0710001 с. 2
|
|
На
|
|
|
На 31 декабря
|
На 31 декабря
|
|
Пояснения 1
|
Наименование показателя 2
|
20
|
|
г.3
|
20
|
|
г.4
|
20
|
|
г.5
|
|
|
|
|
|
|
|
|
|
|
|
|
ПАССИВ
|
|
|
|
|
III. КАПИТАЛ И РЕЗЕРВЫ 6
|
|
|
|
|
Уставный капитал
(складочный капитал, уставный фонд, вклады товарищей)
|
|
|
|
|
Собственные акции,
выкупленные у акционеров
|
(
|
|
)7
|
(
|
|
)
|
(
|
|
)
|
|
Переоценка внеоборотных
активов
|
|
|
|
|
Добавочный капитал (без
переоценки)
|
|
|
|
|
Резервный капитал
|
|
|
|
|
Нераспределенная прибыль
(непокрытый убыток)
|
|
|
|
|
Итого по разделу III
|
|
|
|
|
IV. ДОЛГОСРОЧНЫЕ
ОБЯЗАТЕЛЬСТВА
|
|
|
|
|
Заемные средства
|
|
|
|
|
Отложенные налоговые
обязательства
|
|
|
|
|
Оценочные обязательства
|
|
|
|
|
Прочие обязательства
|
|
|
|
|
Итого по разделу IV
|
|
|
|
|
V. КРАТКОСРОЧНЫЕ
ОБЯЗАТЕЛЬСТВА
|
|
|
|
|
Заемные средства
|
|
|
|
|
Кредиторская задолженность
|
|
|
|
|
Доходы будущих периодов
|
|
|
|
|
Оценочные обязательства
|
|
|
|
|
Прочие обязательства
|
|
|
|
|
Итого по разделу V
|
|
|
|
|
БАЛАНС
|
|
|
|
|
|
|
|
|
|
|
|
|
|
|
|
|
|
|
|
|
|
|
Руководитель
|
|
|
|
Главный бухгалтер
|
|
|
|
|
(подпись)
|
|
(расшифровка подписи)
|
|
(подпись)
|
|
(расшифровка подписи)
|
Примечания
. Указывается номер соответствующего пояснения к бухгалтерскому балансу и
отчету о прибылях и убытках.
. В соответствии с Положением по бухгалтерскому учету "Бухгалтерская
отчетность организации" ПБУ 4/99, утвержденным Приказом Министерства
финансов Российской Федерации от 6 июля 1999 г. № 43н (по заключению
Министерства юстиции Российской Федерации № 6417-ПК от 6 августа 1999 г.
указанным Приказ в государственной регистрации не нуждается), показатели об
отдельных активах, обязательствах могут приводиться общей суммой с раскрытием в
пояснениях к бухгалтерскому балансу, если каждый из этих показателей в
отдельности несущественен для оценки заинтересованными пользователями
финансового положения организации или финансовых результатов ее деятельности.
. Указывается отчетная дата отчетного периода.
. Указывается предыдущий год.
. Указывается год, предшествующий предыдущему.
. Некоммерческая организация именует указанный раздел "Целевое
финансирование". Вместо показателей "Уставный капитал (складочный
капитал, уставный фонд, вклады товарищей)", "Собственные акции,
выкупленные у акционеров", "Добавочный капитал", "Резервный
капитал" и "Нераспределенная прибыль (непокрытый убыток)"
некоммерческая организация включает показатели "Паевой фонд",
"Целевой капитал", "Целевые средства", "Фонд
недвижимого и особо ценного движимого имущества", "Резервный и иные
целевые фонды" (в зависимости от формы некоммерческой организации и
источников формирования имущества).
. Здесь и в других формах отчетов вычитаемый или отрицательный показатель
показывается в круглых скобках.
Приложение № 2
Отчет о прибылях и убытках
|
за
|
|
20
|
|
г.
|
Коды
|
|
Форма по ОКУД
|
0710002
|
|
Дата (число, месяц, год)
|
|
|
|
|
Организация
|
|
по ОКПО
|
|
|
Идентификационный номер
налогоплательщика
|
ИНН
|
|
|
Вид экономической деятельности
|
|
по ОКВЭД
|
|
|
Организационно-правовая
форма/форма собственности
|
|
|
|
|
|
по ОКОПФ/ОКФС
|
|
|
|
Единица измерения: тыс.
руб. (млн. руб.)
|
по ОКЕИ
|
384 (385)
|
|
|
|
|
|
|
|
|
|
|
|
|
|
|
|
|
|
|
За
|
|
|
За
|
|
|
|
Пояснения 1
|
Наименование показателя 2
|
20
|
|
г.3
|
20
|
|
г.4
|
|
|
|
|
|
|
|
|
|
Выручка 5
|
|
|
|
Себестоимость продаж
|
(
|
|
)
|
(
|
|
)
|
|
Валовая прибыль (убыток)
|
|
|
|
Коммерческие расходы
|
(
|
|
)
|
(
|
|
)
|
|
Управленческие расходы
|
(
|
|
)
|
(
|
|
)
|
|
Прибыль (убыток) от продаж
|
|
|
|
Доходы от участия в других
организациях
|
|
|
|
Проценты к получению
|
|
|
|
Проценты к уплате
|
(
|
|
)
|
(
|
|
)
|
|
Прочие доходы
|
|
|
|
Прочие расходы
|
(
|
|
)
|
(
|
|
)
|
|
Прибыль (убыток) до
налогообложения
|
|
|
|
Текущий налог на прибыль
|
(
|
|
)
|
(
|
|
)
|
|
в т.ч. постоянные налоговые
обязательства (активы)
|
|
|
|
Изменение отложенных
налоговых обязательств
|
|
|
|
Изменение отложенных
налоговых активов
|
|
|
|
Прочее
|
|
|
|
Чистая прибыль (убыток)
|
|
|
|
|
|
|
|
|
|
|
|
|
|
|
|
|
|
|
Форма 0710002 с. 2
|
|
За
|
|
|
За
|
|
|
|
Пояснения 1
|
Наименование показателя 2
|
20
|
|
г.3
|
20
|
|
г.4
|
|
|
|
|
|
|
|
|
|
СПРАВОЧНО
|
|
|
|
Результат от переоценки
внеоборотных активов, не включаемый в чистую прибыль (убыток) периода
|
|
|
|
Результат от прочих
операций, не включаемый в чистую прибыль (убыток) периода
|
|
|
|
Совокупный финансовый
результат периода 6
|
|
|
|
Базовая прибыль (убыток) на
акцию
|
|
|
|
Разводненная прибыль
(убыток) на акцию
|
|
|
|
|
|
|
|
|
|
|
|
|
|
|
|
Руководитель
|
|
|
|
Главный бухгалтер
|
|
|
|
|
(подпись)
|
|
(расшифровка подписи)
|
|
(подпись)
|
|
(расшифровка подписи)
|
Примечания
. Указывается номер соответствующего пояснения к бухгалтерскому балансу и
отчету о прибылях и убытках.
. В соответствии с Положением по бухгалтерскому учету "Бухгалтерская
отчетность организации" ПБУ 4/99, утвержденным Приказом Министерства
финансов Российской Федерации от 6 июля 1999 г. № 43н (по заключению
Министерства юстиции Российской Федерации № 6417-ПК от 6 августа 1999 г.
указанный Приказ в государственной регистрации не нуждается), показатели об
отдельных доходах и расходах могут приводиться в отчете о прибылях и убытках
общей суммой с раскрытием в пояснениях к отчету о прибылях и убытках, если
каждый из этих показателей в отдельности несущественен для оценки заинтересованными
пользователями финансового положения организации или финансовых результатов ее
деятельности.
. Указывается отчетный период.
. Указывается период предыдущего года, аналогичный отчетному периоду.
. Выручка отражается за минусом налога на добавленную стоимость, акцизов.
. Совокупный финансовый результат периода определяется как сумма строк
"Чистая прибыль (убыток)", "Результат от переоценки внеоборотных
активов, не включаемый в чистую прибыль (убыток) периода" и
"Результат от прочих операций, не включаемый в чистую прибыль (убыток)
отчетного периода".