Конструктивные и эксплуатационные параметры двигателя 4АН315S12У3
Содержание
Введение
. Анализ конструктивных и
эксплуатационных параметров двигателя
.1 Анализ справочных данных
двигателя
.2 Особенности конструктивного
исполнения двигателя 4АН315S12У3
. Анализ обмотки статора
.1 Схема обмотки статора
.2 Анализ МДС обмотки статора
.3 Тепловой расчет обмотки статора
. Анализ характеристик
электродвигателя 4АН315S12У3
.1 Построение схемы замещения
двигателя и определение ее параметров
.2 Построение круговой диаграммы 4Н
315S12У 3
.3 Механическая характеристика по
паспортным данным
.4 Расчет механической
характеристики двигателя по упрощенной формуле Клосса
.5 Механическая характеристика по
схеме замещения
.6 Анализ механических характеристик
двигателя 4АН315S12У3
Заключение
Список использованной литературы
Введение
В данном курсовом проекте исследуется
электродвигатель серии 4А, двигатели данной серии применяются во многих
отраслях промышленности, удовлетворяют требованиям различных электроприводов,
просты в эксплуатации.
Серия 4А включает в себя большое количество
модификаций электродвигателей с высотами осей вращения от 50 до 355 мм и
охватывает диапазон номинальных мощностей от 0,06 до 400 кВт. Двигатели
рассчитаны на работу от трехфазного переменного тока частотой 50 Гц,
изготавливаются как с короткозамкнутым (основное исполнение), так и с фазным
ротором (серия 4АК), существуют многоскоростные электродвигатели серии 4А.
В серии 4А выпускаются двигатели двух классов
защиты: IP23 и IP44. Двигатели класса защиты IP44 имеют радиальную вентиляцию,
обеспечиваемую за счет лопаток ротора, играющих роль вентилятора, для продувки
и охлаждения внутреннего пространства электродвигателя.
Целью данного курсового проекта является
изучение внутреннего устройства и принципов работы асинхронных двигателей, на
примере двигателя серии 4А, т.к. двигатели этой серии наиболее распространены в
промышленности.
В ходе работы необходимо исследовать
характеристик заданного электродвигателя, произвести типовые расчеты, с целью
освоения методики проектирования электродвигателей. Также необходимо произвести
сравнение расчетных и справочных данных.
1. Анализ конструктивных и
эксплуатационных параметров двигателя
.1 Анализ справочных данных
двигателя
Название двигателя расшифровывается следующим
образом:
А - асинхронный, с короткозамкнутым ротором, серии
4;
Н - исполнение степени защиты (IP23)
- высота оси вращения, мм;- обозначение
установочного размера станины по длине (S - короткая станина);
- число полюсов обмотки;
У - обозначение климатического исполнения (для
умеренного климата);
- обозначение категории размещения.
Высота сои вращения измеряется от сои вращения
вала до установочной поверхности. В ряду двигателей серии 4А, 315 мм - это
предпоследнее стандартное значение, соответствующее машинам наибольшей
мощности. В различных исполнениях (в зависимости от установочной длины станины)
мощность двигателей, с высотой оси вращения 315 мм, варьируется от 50 до 200
кВт.
Двигатель 4АН315S12У3 имеет степень защиты IP23,
что означает наличие защиты Защищённое исполнение (IР 23) - внутрь
электродвигателя не могут попасть посторонние тела диаметром 12,5 мм и более.
Вода, падающая в виде дождя под углом, равным
или меньшим 60˚ к вертикали, не оказывает вредного воздействия на
электродвигатель.
Комплектация механизмов электродвигателями со
степенью защиты IP23 (брызгозащищенное) производится с целью удешевления и
экономической выгоды.
У - двигатель изготовлен для эксплуатации в
макроклиматических районах с умеренным климатом.
Категория размещения 3 означает, что двигатель
изготовлен для эксплуатации в закрытых помещениях с естественной вентиляцией,
без искусственного регулирования климатических условий, влияние песка и пыли в
таких помещениях существенно ниже, чем на открытом воздухе.
Перечень условных обозначений, употребляемых в
ходе выполнения данного курсового проекта:2ном - номинальная
мощность;
Bб - максимальная
индукция в воздушном зазоре;- линейная токовая нагрузка статора;
J - плотность потока
в обмотке статора;M
- главное индуктивное сопротивление;1 - активное сопротивление;
Х1 - индуктивное сопротивление рассеивания
обмотки статора;2 - приведенное к обмотке статора активное
сопротивление;
Х2 - индуктивное сопротивление
ротора;2n - приведенное к обмотке статора активное сопротивление
обмотки ротора с учетом вытеснения тока в стержнях беличьей клетки;кn
- активное сопротивление короткого замыкания;
Хкn - индуктивное сопротивление
короткого замыкания;n = In/Iном - отношение
начального пускового тока к номинальному;- начальная скорость нарастания
температуры обмотки статора при заторможенном роторе и пуске двигателя из
практически холодного состояния;др - динамический момент инерции
ротора;no - длительность пуска двигателя;o - предельно
допустимое число пусков в час при отсутствии статического и динамического
моментов сопротивлений на валу двигателя;1л - нелинейное напряжение;а1
- внешний диаметр сердечника статора;i1 - внутренний диаметр
сердечника статора;1 - длина сердечника статора;
σ
- односторонний
воздушный зазор между статором и ротором;1, z2 - число
пазов статора и ротора соответственно;- шаг обмотки в зубцовых делениях;n
- число эффективных проводников в пазу;- номинальный диаметр проволоки;
Коб
- обмоточный коэффициент;- средняя длина витка;(20) - активное сопротивление
обмотки фазы статора при 20 С;М - масса обмотки.
.2
Особенности конструктивного исполнения двигателя 4АН315S12У3
Двигатели
серии 4АН с высотами оси вращения 160-355 мм, со степенью защиты IP23, могут
быть смонтированы 2-мя способами: IM1001 и IM2001. При
монтаже, согласно способу IM1001 двигатель устанавливается на горизонтальной
поверхности, лапы находятся на нижней части станины, при монтаже, согласно
IM2001, двигатель закрепляется на вертикальной поверхности. Лапы находятся на
со стороны переднего щита.
Двигатель
4АН315S12У3 предназначен для работы в умеренном климате, в открытом и закрытом
пространстве. Имеет короткую станину (S). В зависимости от установочной длины
станины (M-средняя; S-короткая), двигатели 4АН 315 имеют различную номинальную
мощность. Для исполнения с короткой станиной она составляет 55 кВт.
Двигатели с высотами оси вращения
280-355 мм имеют сварной корпус, выполненный в виде полустанины цилиндрической
формы. Полустанина крепится на четырех стойках, соединенных в основании
продольными планками, а в верхней части - двумя ребрами из толстолистовой
стали. Стойки корпуса имеют кольцевые заточки. На заточках наружных стоек
центрируются подшипниковые щиты, на внутренних - сердечник статора с обмоткой.
Полустанина закрывается кожухом из листовой стали. В отличие от двигателей со
степенью защиты IP44
того же диапазона высот оси вращения листы сердечника статора набирают вне
станины на центрирующую оправку и скрепляют стальными планками, которые
привариваются к нажимным шайбам и спинке сердечника.
В двигателях основного
исполнения с высотами оси вращения 50-132 мм установлены шарикоподшипники типа
180000 с двумя резиновыми уплотнениями и заложенной на весь срок службы
смазкой. Подшипниковые крышки в этих двигателях отсутствуют.
Двигатели 4АН со степенью
защиты IP23 и
способом охлаждения ICO1
по ГОСТ 20459-75 имеют двустороннюю симметричную радиальную систему вентиляции.
Роль центробежных вентиляторов выполняют лопатки ротора. Направление воздуху
придают щитки. Торцевые и боковые жалюзи обеспечивают двигателю степень защиты IP23.
Магнитопровод статора шихтованный, набранный
непосредственно в станину из листов электротехнической стали толщиной 0,5 мм,
опресованной кольцевыми шпонками. В качестве статорных применяются жесткие
двухслойный обмотки.
Сердечник ротора имеет литую алюминиевую
короткозамкнутую клетку из сплава А 7. По краям клетки также отлиты лопатки,
предусмотренные для улучшения циркуляции воздуха внутри машины. Охлаждение
двигателей со степенью защиты IP44 осуществляется с помощью центробежного
вентилятора, закрепленного на валу, который обдувает ребристую поверхность корпуса
двигателя. Вентилятор закрыт кожухом, служащим, одновременно для направления
воздушного потока.
Рисунок 1 - Двигатель с высотой оси вращения 315
мм, степень защиты - IP23, монтажное исполнение IM1001,
IM1002
Основные технические характеристики
электродвигателя приведены в таблице 1.
Таблица 1 - Основные технические характеристики
электродвигателя 4АН315S12У3
|
Р2ном,
кВт
|
Электромагнитные
нагрузки
|
Энергетические
показатели
|
Параметры
схемы замещения
|
|
Вd, Тл
|
А,
А/см
|
J, А/мм²
|
КПД,
%
|
cosj
|
Xm, Ом
|
В
номинальном режиме
|
При
коротком замыкании
|
|
|
|
|
|
|
|
, Ом
|
, Ом
|
, Ом
|
, Ом
|
, Ом
|
, Ом
|
, Ом
|
|
55
|
0,68
|
451
|
4,8
|
90,5
|
0,78
|
3,4
|
0,042
|
0,18
|
0,032
|
0,25
|
0,080
|
0,12
|
0,32
|
Пусковые характеристики электродвигателя
4АН315S12У3 представлены в таблице 2.
Таблица 2 - Пусковые характеристики
электродвигателя 4АН315S12У3
|
Механическая
характеристика
|
iП
|
Vt,°C/с
|
JД.p, кгм²
|
tП,С
|
h0
|
|
mП
|
mM
|
mК
|
sном %
|
sК %
|
|
|
|
|
|
|
1
|
0,9
|
1,8
|
2,5
|
7,6
|
5,5
|
3,5
|
6,4
|
0,22
|
1300
|
В таблице 3 приведены обмоточные данные
электродвигателя 4АН315S12У3.
Таблица 3 - Обмоточные данные электродвигателя
4АН315S12У3
|
2p
|
U1л, В
|
|
l1, мм
|
δ,
мм
|
|
|
|
|
|
|
|
|
12
|
220/380
|
590/450
|
230
|
0,80
|
90/106
|
|
Обмотка
статора
|
|
Y
|
SП
|
n/a
|
|
kоб
|
lω, мм
|
R1(20), Ом
|
Gм, кг
|
|
1-8
|
10+10
|
4/2
|
1,50/1.58
|
0,910
|
860
|
0,182
|
45,7
|
|
Паз
статора
|
|
|
h, мм
|
|
|
7,8/10,7
|
42,5
|
1,0/4,0
|
|
Ротор
|
|
Паз
|
Короткозамыкающее
кольцо
|
Скос
пазов, мм
|
|
|
h, мм
|
|
n, мм
|
|
|
|
|
4,0/5,0
|
36,5
|
0,5/-
|
-
|
-
|
18/58
|
---
|
|
|
|
|
|
|
|
|
|
|
|
|
|
|
|
|
|
2. Анализ обмотки статора
.1 Схема обмотки статора
асинхронный электродвигатель ротор
статор
В двигателе 4АН315S12У3 используется двухслойная
концентрическая обмотка, число пазов статора составляет 90. Обмотка выполнена
прямоугольным медным проводом размерностью 1,6x3,55
мм. Обмоточный коэффициент имеет значение 0,73, средняя длина витка обмотки
составляет 1450 мм, высота паза статора равна 42,5 мм.
В качестве примера 2-х слойной концентрической
обмотки на рисунке 2 представлена схема обмотки 2р=12, Z=24.
Рисунок 2 - Схема двухслойной петлевой
равносекционной обмотки с числом полюсов 2р=12, число пазов статора Z=24
(пример).
Произведем ряд расчетов, для определения
основных параметров обмотки: количества пазов на фазу и полюс, полюсного
деления и шага обмотки. Вычисления произведем по следующим формулам:
,
где q
- число пазов на полюс и фазу;
z1
- число пазов статора;
2р - число
полюсов;
m
- число фаз, m=3.
,
где τ
- полюсное деление в числах пазов;
z1
- число пазов статора;
2р - число
полюсов.
,
где τ - полюсное
деление в числе пазов;
y - шаг
обмотки.
Подставляя в вышеперечисленные
формулы соответствующие значения, получаем следующие результаты:
τ=90/12=7.5;
y=0,85*7.5=6.4.
.2 Анализ МДС обмотки статора
На практике кривая магнитодвижущей силы строится
следующим образом: вычерчивают график распределения катушечных сторон по фазным
зонам, где сечение разных фаз изображены разными буквами. Затем для
определенного момента времени определяются значения и направления токов в
катушечных сторонах.
Кривую МДС разделяют осью абсцисс так, чтобы
сумма площадей положительных полуволн равнялась сумме площадей отрицательных
полуволн. Для полного представления о форме кривой МДС достаточно построить
одну полуволну. На рисунке 3 представлена кривая МДС обмотки статора двигателя
4АН315S12У3.
Рисунок 3- Кривая МДС обмотки статора двигателя
4АН 315S4У 3
.3 Тепловой расчет обмотки статора
Произведем упрощенный тепловой расчет статорной
обмотки электродвигателя 4А 315S4У 3, согласно методики описанной в [2]
стр.182.
Примем потери двигателя в процентном соотношении
от номинальной мощности P2. Процентные и численные значения
мощностей потерь приведены в таблице 4.
Таблица 4 - Значения мощностей потерь
электродвигателя 4АН315S12У3.
|
Рстосн,
Вт (%)
|
Рдоб,
Вт (%)
|
Рмех,
Вт (%)
|
РэП1,
Вт (%)
|
РэП2,
Вт (%)
|
РЭ1,
Вт (%)
|
РЭ2,
Вт (%)
|
|
1100(2)
|
275(0,5)
|
440(0,8)
|
1375(2,5)
|
2475(4,5)
|
3850(7)
|
1650(3)
|
Превышение температуры внутренней поверхности
сердечника статора над температурой воздуха внутри двигателя по формуле:
где K - коэффициент, учитывающий, учитывающий,
что часть потерь в сердечнике статора и в пазовой части обмотки передается через
станину непосредственно в окружающую среду;
РэП1 - электрические потери в пазовой
части изоляции обмотки;
Рстосн - основные потери в стали
статора;- внутренний диаметр статора;1 - длина сердечника статора;
α1
- коэффициент теплоотдачи с поверхности.
Значения коэффициентов теплоотдачи выбирается по
графикам зависимости, приведенным в литературе [2].
Перепад температуры в изоляции пазовой части
обмотки статора рассчитываем по следующей формуле:
Где Z1 - число пазов
статора;
,
- размеры паза в штампе;
РэП1 - электрические
потери в пазовой части изоляции обмотки;
λэкв - средняя
эквивалентная теплопроводность пазовой изоляции;из1 - односторонняя
толщина пазовой изоляции;
Пп1 - периметр паза
Пп1=2h+b1+b2
Пп1=2x45+2x9,9=109,8=0,11
м;
Перепад температуры по толщине изоляции лобовых
частей находим по формуле:
Превышение температуры наружной
поверхности лобовых частей над температурой воздуха внутри машины находим по
формуле:
Среднее превышение температуры
обмотки статора над температурой воздуха внутри машины вычисляем по формуле:
где ΔVпов -
превышение температуры внутренней поверхности сердечника статора над
температурой воздуха внутри двигателя;
ΔVизП1 - перепад
температуры в изоляции пазовой части обмотки статора;
ΔVизЛ1 - перепад
температуры по толщине изоляции лобовых частей;
ΔVповЛ1 - превышение
температуры наружной поверхности лобовых частей над температурой воздуха внутри
машины;cp1 - средняя
длина витка (из таблицы 5).
Превышение температуры воздуха
внутри машины над температурой воздуха окружающей среды находят по формуле:
где 
- сумма потерь, отводимых в воздух
внутри двигателя;
αв -
коэффициент подогрева воздуха;кор - эквивалентная охлаждаемая
площадь поверхности корпуса.
Площадь эквивалентной охлаждаемой
поверхности корпуса рассчитывается по формуле:
где Da
- внешний диаметр статора;
Пр - периметр ребер статора
(определяется из графика в литературе [2]);1
- сердечника статора.
Сумма потерь, отводимых в воздух внутри
двигателя, рассчитывается по следующей формуле:
ΣP'в=ΣP'-(1-K)(Pэп
1+Pстосн)-0,9Pмех,
ΣP'=ΣP+(kp-1)(Pэ
1+Pэ
2),
ΣP=Pстосн+Pмех+Pэ
1+Pэ
2+Pдоб.
ΣP=1100+440+3850+1650+275=7315
Вт;
ΣP'=7315+(1,15-1)(3850+1650)=7865
Вт;
ΣP'в=7865-(1-0,72)(1375+2475)-0,9*440≈5475
Вт;
Среднее превышение температуры обмотки статора
над температурой окружающей среды вычисляем по формуле:
ΔV1=18,22+98=116,22
˚С.
Перегрев изоляции превышает допустимый перегрев
для изоляции класса F при температуре окружающей среды 40 ˚С. Данная
изоляция подходит.
3. Анализ характеристик
электродвигателя 4АН315S12У3
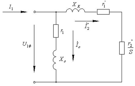
.1 Построение схемы замещения
двигателя и определение ее параметров
Рисунок 3.1 - Г-образная схема замещения фазы
асинхронного двигателя
Для перехода от относительных единиц к
абсолютным величинам определяем номинальные значения фазного напряжения и тока
двигателя по формулам:
Тогда получим:
Определяем параметры электродвигателя в
абсолютных величинах xi
и ri по формулам:
где Xi
и Ri - сопротивления из
таблицы
Индуктивное сопротивление рассеяния обмотки
статора:
Активное сопротивление обмотки статора:
Приведенное к обмотке статора индуктивное
сопротивление рассеяния ротора:
Приведенное к обмотке статора активное
сопротивление ротора:
Главное индуктивное сопротивление хμ
:
Сопротивления x1
и r1
найдем по формулам:
Получим:
Сопротивления х 0 и хк
найдем по формулам:
Получим:
Рисунок 3.2 - Схема замещения фазы асинхронного
двигателя упрощенная в абсолютных величинах
.2 Построение круговой диаграммы 4Н
315S12У 3
Круговая диаграмма позволяет определить все
электромагнитные величины, характеризующие режим работы машины при любом
значении скольжения, и дает наглядное представление об изменении этих величин
при изменении режима работы машины. Поэтому круговая диаграмма АД имеет большое
методическое значение. Кроме того, она имеет также существенное практическое
значение для изучения режимов работы асинхронных машин в случаях, когда их
параметры можно принять постоянными.
Круговую диаграмму удобно рассматривать на
основе Г-образной схемы замещения.
Вначале построения круговой диаграммы определяют
масштаб тока:
где DК
=
200 мм - диаметр круговой диаграммы.
Затем определим вектор тока холостого хода:
;
Построение круговой диаграммы на
комплексной плоскости начнем с построения векторов
и
. При этом
отрезок
в масштабе
тока соответствует модулю
. Под углом
89,3
к оси действительных чисел
откладывают отрезок
, который
равен:
На линии переменного параметра
откладываем
отрезки
,
:
После этого проводим линию моментов
и линию
полезной мощности
. На
круговой диаграмме отмечаем точки
и
.
Для построения линии скольжений
через точки
и
проводят
прямую линию. Далее проводим радиус
, и перпендикулярно ему линию
, которая
представляет собой равномерную шкалу скольжений.
Таким образом, на окружности
определяют характерные точки: O (S=0) - идеальный холостой ход, C
(S=1) - короткое замыкание.
На круговой диаграмме машины
двигательный режим занимает дугу окружности OC от точки S=0 до точки S=1.
Точка S=1 соответствует
трансформаторному режиму работы асинхронного двигателя.
Тормозной режим, занимает дугу CB.
Генераторный режим работы занимает
дугу окружности OB от точки S=0 до -∞.
Предварительно рассчитаем
номинальный вращающий момент:
;
где P2ном -
номинальная мощность, кВт;
nc -
синхронная частота вращения поля статора, nc = 500
об/мин;
Sном -
номинальное скольжение.
В предыдущем пункте нами была
построена на круговой диаграмме равномерная шкала скольжений, которую теперь
разбиваем на 10 частей. Затем находим номинальную точку. Для этого определяем
масштаб мощности:
и масштаб моментов:
По известному номинальному моменту
определяем отрезок mn, соответствующий этому
моменту:
Перпендикулярно диаметру круговой
диаграммы в любом месте внутри ее проводим линию. Отрезок mn откладываем
от линии моментов ОВ. Через mn проводим
линию nN параллельно
линии моментов. Точка N на круговой диаграмме
соответствует номинальному режиму. Соединяем прямой точки N и В.
На шкале скольжений получаем Sном = 6 %.
Параллельно линии моментов проводим касательную kl к дуге ONC. Получаем
точку М. Проводим прямую линию через точку В и точку М. При
пересечении отрезка МВ со шкалой скольжений получаем критическое
скольжение Sкр = 0, %.
Таблица 3.1. Механическая
характеристика по круговой диаграмме
|
0
|
Критическая
|
0,8
|
ПУСК
|
|
S
|
0
|
0,06
|
0,2
|
0,8
|
1
|
|
M, H*м
|
0
|
1077
|
2628
|
1163
|
802
|
|
n, об/мин
|
600
|
500
|
462
|
100
|
0
|
|
m
|
0
|
1
|
2.4
|
1.08
|
0.74
|
Отрезок МК, отложенный на
перпендикуляре из точки М к диаметру круговой диаграммы соответствует в
масштабе Мкр = 2628 Н∙м.
С помощью круговой диаграммы характеристики и
основные параметры машины определяют не только для двигательного, но и для
генераторного и тормозного режимов.
.3 Механическая характеристика по
паспортным данным
Определим номинальный момент:
P=6;
Таблица 3.2. Механическая характеристика по
паспортным данным
|
0
|
Номинальная
|
Критическая
|
0,8
|
ПУСК
|
|
S
|
0
|
0,025
|
0,08
|
0,8
|
1
|
|
M, H*м
|
0
|
1077
|
1938
|
969
|
1077
|
|
n, об/мин
|
600
|
500
|
462
|
100
|
0
|
|
m
|
0
|
1
|
1,8
|
0,9
|
1
|
3.4 Расчет механической
характеристики двигателя по упрощенной формуле Клосса
Формула Клосса:
Критическиое скольжение:
Расчет моментов по формуле Клосса для построения
механической характеристики:
При S=0:
При S=
При S=
При S=
При S=
Таблица 3.2 - механическая
характеристика по формуле Клосса:
|
0
|
Номинальная
|
Критическая
|
0,8
|
Пуск
|
|
S
|
0
|
0,025
|
0,08
|
0,8
|
1
|
|
M, H*м
|
0
|
1103
|
1938
|
383,8
|
291
|
|
n, об/мин
|
500
|
487,5
|
462
|
100
|
0
|
|
m
|
1
|
1,02
|
1,8
|
0,35
|
0,27
|
.5 Механическая характеристика по
схеме замещения
При S=
При S=
При S=
При S=
При S=
Таблица 3.3 - механическая
характеристика по схеме замещения:
|
0НоминальнаяКритическая0,8Пуск
|
|
|
|
|
|
|
S
|
0
|
0,025
|
0,074
|
0,8
|
1
|
|
M, H*м
|
0
|
1250
|
1941
|
383
|
309
|
|
n, об/мин
|
3000
|
2940
|
2751
|
600
|
0
|
|
m
|
0
|
1
|
1,6
|
0,3
|
0,25
|
.6 Анализ механических характеристик
двигателя 4АН315S12У3
В ходе выполнения данного курсовогно проекта
были построены механические характеристики асинхронного двигателя марки 4АН315S12У3.
Построение механических характеристик выполнялось по разными способами:
с использованием паспортных данных;
с применением упрощенной и развернутой формул
Клосса;
построение механической характеристики по
круговой диаграммы двигателя.
Полученные механические характеристики имеют
разный: характеристики полученные посредством применения упрощенной формулы
Клосса и круговой диаграммы не достоверно отражают пусковой момент двигателя. В
зоне больших величин скольжения (низких оборотов) эти характеристики имеют
ниспадающий вид, в отличии от графиков, построенных по паспортным данным и
параметрам схемы замещения (развернутая формула Клосса). Эти графики хорошо
отражают работу двигателя только в зоне высоких оборотов, близких к
номинальным.
Все 4 графика имеют ярко выраженный пик
критического момента, приходящийся на критическое скольжение, которое, при
использовании упрощенной формулы Клосса, аналитически определяется не точно
(разница с паспортным значением приблизительно 1%). Значения скольжений по
круговой диаграмме определяются с достаточной точностью, отклонение от
паспортных значений может быть обусловлено неточностью построения или
недостаточной точностью выполненных расчетов.
Величины критического и номинального моментов,
при использовании любого из способов построения характеристик, соответствуют
паспортным данным с небольшими отклонениями (1…3%), однако, в отличии от
расчетов по упрощенной формуле Клосса и круговой диаграмме, развернутая формула
Клосса дает неверный результат для номинального момента двигателя.
Наиболее точной механической характеристикой,
безусловно, является характеристика, построенная по паспортным данным
двигателя, т.к. они являются экспериментальными и в полной мере отражают
особенности работы конкретного двигателя.
Механическая характеристика, построенная по
параметрам схемы замещения, имеет почти такой же, как и механическая
характеристика, построенная по паспортным данным двигателя, с чуть большим
провалом в зоне минимального момента (S=0,6…0,8),погрешность, относительно
паспортных данных, составляет приблизительно 20 %, пусковой момент по этой
характеристике на 10 % ниже, нежели у паспортной характеристики. Данные
неточности могут быть вызваны наличием некоторых приближений, принимаемых при
построении схемы замещения и расчете ее параметров.
Заключение
В ходе выполнения данного курсового проекта были
подробно изучены конструкция и принцип действия асинхронных двигателей, на
примере двигателя марки 4АН315S12У3. Проведен ряд
теоретических расчетов: тепловой расчет обмоток статора электродвигателя,
расчеты механических характеристик двигателя, произведено построение круговой
диаграммы.
В работе получены следующие результаты:
механические характеристики, строящиеся по
аналитическим выражениям, дают менее точный результат, чем паспортная
механическая характеристика двигателя, наиболее точной и достоверно отражающей
работу двигателя является характеристика, построенная по развернутой формуле
Клосса (по параметрам схемы замещения). Она дает минимальную погрешность,
относительно паспортной характеристики;
круговая диаграмма двигателя данной мощности
(160 кВт) с нужной точностью отражает его работу, т.е. удовлетворительный по
точности результат при построении механической характеристики, однако, она не в
полной мере отражает особенности работы двигателя в зоне низких оборотов;
тепловой расчет статорной обмотки показал, что
проводники обмотки сильно нагреваются в процессе работы двигателя (превышение
температуры обмотки над температурой окружающей среды составило 120 ˚С),
исходя из этого, для изоляции статорной обмотки необходимо применять жаропрочные
материалы.
Список использованной литературы
1. Асинхронные двигатели серии 4А:
Справочник. А.Э. Кравчик и др. - М.: Энергоиздат, 1982 г. - 504 с.
2. Проектирование электрических
машин. И.П. Копылов и др. - М.: Энергия, 1980 г. - 496 с.
. Электрические машины. А.И.
Вольдек. - Л.: Энергия, 1978 г. - 832 с.
. Справочник по
электротехнике. А.А. Иванов. - Киев.: Высшая школа, 1984 г. - 303 с.
. Обмотки электрических
машин. В.И. Зимин и др. - Л.: Энергия, 1970 г. - 472с.
. Асинхронные двигатели
общего назначения. Е.П. Бойко и др. - М.: Энергия, 1980 г. - 488 с.