Трехкорпусная испарительная установка непрерывного действия для выпаривания 10000 кг / ч водного раствора КОН
ВВЕДЕНИЕ
выпарной установка раствор
В химической промышленности для
концентрирования растворов нелетучих и мало летучих веществ широко применяется
процесс выпаривания. Наиболее целесообразно для этого использовать
многокорпусные выпарные установки непрерывного действия (МВУ). МВУ состоят из
нескольких корпусов, в которых вторичный пар предыдущего корпуса используется в
качестве греющего пара для последующего корпуса. В этих установках первичным
паром обогревается только первый корпус. В многокорпусных выпарных установках
достигается значительная экономия греющего пара по сравнению с однокорпусными
установками той же производительности.
Принципиальная технологическая схема
трехкорпусной вакуум-выпарной установки непрерывного действия представлена на
рис. 1.
Исходный раствор подается из емкости
1 центробежным насосом 2 через теплообменник 3 в первый корпус выпарной
установки 4. В теплообменнике 3 исходный раствор нагревается до температуры
близкой к температуре кипения раствора в первом корпусе выпарной установки.
Первый корпус установки обогревается
свежим (первичным) паром. Вторичный пар, образующийся при кипении раствора в
первом корпусе, направляется в качестве греющего пара во второй корпус 5; сюда
же поступает частично сконцентрированный раствор из первого корпуса. Аналогично
упаренный раствор из второго корпуса подается в третий корпус 6 , обогреваемый
вторичным паром второго корпуса. Упаренный до конечной концентрации в третьем
корпусе готовый продукт поступает из него в емкость 10. По мере прохождения из
корпуса в корпус давление и температура пара понижаются, и из последнего
(третьего) корпуса пар с низким давлением отводится в барометрический
конденсатор смешения 7, в котором при конденсации пара создается вакуум. Раствор
и вторичный пар перемещаются из корпуса в корпус самотеком благодаря общему
перепаду давления, возникающего в результате избыточного давления в первом
корпусе и вакуума в последнем. Воздух и неконденсирующиеся газы, поступающие в
установку с охлаждающей водой (в конденсаторе) и через неплотности
трубопроводов, отсасываются через ловушку 8 вакуум-насосом.
Смесь охлаждающей воды и конденсата
сливается самотеком через барометрическую трубу в бак-гидрозатвор 9. Конденсат
греющих паров из выпарных аппаратов и теплообменника выводится с помощью
конденсатоотводчиков.
Конструкция выпарного аппарата
должна удовлетворять ряду общих требований, к числу которых относятся: высокая
производительность и интенсивность теплопередачи при возможно меньших объеме
аппарата и расходе металла на его изготовление, простота устройства, надежность
в эксплуатации, легкость чистки поверхности теплообмена, осмотра и ремонта.
Вместе с тем выбор конструкции и
материала выпарного аппарата определяется в каждом конкретном случае физико-химическими
свойствами раствора.
Для выпаривания растворов небольшой
вязкости (до 8 мПа·с) без образования кристаллов, чаще всего используют
выпарные аппараты с естественной циркуляцией. Высоковязкие и кристаллизующиеся
растворы выпаривают в аппаратах с принудительной циркуляцией.
Растворы чувствительные к повышенным
температурам рекомендуется выпаривать в роторно-пленочных выпарных аппаратах, а
растворы склонные к пенообразованию - в прямоточных аппаратах с восходящей
пленкой.
Типы и основные размеры выпарных
аппаратов представлены в ГОСТ 11987-81, и каталогах УКРНИИХИММАШа [11,12].
РАЗДЕЛ 1. ОПРЕДЕЛЕНИЕ ПОВЕРХНОСТИ
ТЕПЛОПЕРЕДАЧИ ВЫПАРНЫХ АППАРАТОВ
Технологический расчёт выпарных
аппаратов заключается в определении поверхности теплопередачи. Поверхность
теплопередачи выпарного аппарата определяется по основному уравнению
теплопередачи
где F - поверхность теплопередачи, м2;
Q - тепловая нагрузка, Вт; К - коэффициент теплопередачи, Вт/(м2·К);
∆tпол - полезная разность температур, К.
Для определения тепловых нагрузок,
коэффициентов теплопередачи и полезных разностей температур необходимо знать
распределение упариваемой воды, концентрации растворов по корпусам и их
температуры кипения. Первоначально определим эти величины по материальному
балансу, в дальнейшем уточним их по тепловому балансу.
.1 Расчёт концентраций
выпариваемого раствора
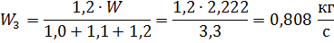
Производительность установки по
выпариваемой воде определяем по формуле:
где W -
производительность по выпаренной воде, кг/с; Gн - производительность
по исходному раствору, кг/с; 
,
, - соответственно
начальная и конечная концентрация раствора, масс. доли,
На основании
практических данных принимаем, что выпариваемая вода распределяется между
корпусами в соотношении
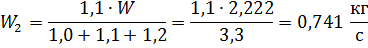
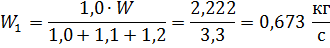
Тогда:
Проверка:
Рассчитываем
концентрации растворов в корпусах:
Концентрация раствора в
третьем корпусе 
соответствует заданной
концентрации упаренного раствора 
.
.2 Определение
температур кипения раствора
Температура кипения
раствора в корпусе 
определяется как сумма
температур греющего пара последующего корпуса 
и температурных потерь
где 
- соответственно
температурная, гидростатическая и гидравлическая депрессии, К.
Для определения
температур греющего пара примем, что перепад давлений в установке ∆Р
распределяется между корпусами поровну:
где 
- давление греющего
пара в первом корпусе, МПа; 
- давление в
барометрическом конденсаторе, МПа.
Тогда давление греющих
паров, МПа, в корпусах составляет:
По давлению греющего
пара находим его температуру и теплоту парообразования 
, (табл. 1) по корпусам.
Таблица 1 - Температуры
и теплоты парообразования
|
Давление, МПа
|
Температура, °С
|
Теплота парообразования, кДж/кг
|
|
|
|
|
|
|
|
|
|
|
|
|
|
|
|
|
.2.1 Определение температурных
потерь
Температурные потери в
выпарном аппарате обусловлены температурной 
, гидростатической 
и гидрадинамической 
депрессиями.
а) Гидродинамическая
депрессия вызвана потерей давления пара на преодоление гидравлических
сопротивлений трения и местных сопротивлений паропроводов при переходе из
корпуса в корпус. Обычно в расчётах принимают 
на корпус. Примем
, тогда температуры
вторичных паров в корпусах равны:
Сумма гидродинамических
депрессий:
По температурам
вторичных паров определим их давления и теплоты парообразования (табл. 2).
Таблица 2 - Давления и
теплоты парообразования
|
Температура, °С
|
Давление, МПа
|
Теплота парообразования, кДж/кг
|
|
|
|
|
|
|
|
|
|
|
|
|
б) Гидростатическая
депрессия 
обусловливается
наличием гидростатического эффекта, заключающегося в том, что вследствие
гидростатического давления столба жидкости в трубах выпарного аппарата
температура кипения раствора по высоте труб неодинакова. Величина 
не может быть точно
рассчитана ввиду того, что раствор в трубах находится в движении, причем
величина 
зависит от
интенсивности циркуляции и изменяющейся плотности парожидкостной эмульсии,
заполняющей большую часть высоты кипятильных труб. Приблизительно расчет 
возможен на основе
определения температуры кипения в среднем поперечном сечении кипятильных труб.
Величина 
определяется как
разность температуры кипения в среднем слое труб 
и температуры
вторичного пара 
:
Для того чтобы
определить 
нужно найти давление в
среднем слое (Рср) и по этому давлению определить температуру в
среднем слое (по таблице свойств насыщенного водяного пара). Плотность
парожидкостной эмульсии в трубах при пузырьковом режиме кипения принимается
равной половине плотности раствора. Плотность раствора (при 100 °С)
определяется в зависимости от концентрации раствора в корпусе.
Давление в среднем
сечении кипятильных труб (в МПа) равно сумме давлений вторичного пара в корпусе
и гидростатического давления столба жидкости (∆Рср) в этом
сечении трубы длиной H:
Дня выбора значения H
нужно ориентировочно определить поверхность теплопередачи выпарного аппарата.
При кипении водных растворов можно принять удельную тепловую нагрузку аппаратов
с естественной циркуляцией 
Вт/м2.
Примем 
Вт/м2. Тогда
поверхность теплопередачи первого корпуса ориентировочно будет равна:
По ГОСТ 11987-81 для
выпарного аппарата с естественной циркуляцией и вынесенной греющей камерой
ближайшая поверхность будет - 100 м2 при диаметре труб 38x2 мм и
длине труб Н = 4000 мм.
Давления в среднем слое
кипятильных труб корпусов равны:
Этим давлениям
соответствуют следующие температуры кипения и теплоты парообразования (табл.3):
Таблица 3 - Температуры
кипения и теплоты парообразования
|
Давление, МПа
|
Температура,°С
|
Теплота паро- образования, кДж/кг
|
|
|
|
|
|
|
|
|
|
|
|
|
Определяем гидростатическую
депрессию по корпусам
Сумма гидростатических депрессий
составляет:
в) Температурная депрессия
определяется по уравнению:
где 
, К; 
- температурная
депрессия при атмосферном давлении, °С; 
- теплота
парообразования вторичного пара, кДж/кг.
Определяется величина 
как разность между
температурами кипения раствора и чистого растворителя (воды) при атмосферном
давлении. Температуры кипения раствора при атмосферном давлении в зависимости
от концентрации даны в справочной литературе.
Находим значение
, по корпусам:
Сумма температурных
депрессий равна:
Тогда температуры
кипения растворов по корпусам равны:
1.3 Расчёт полезной
разности температур
Необходимым условием передачи тепла
в каждом корпусе является наличие некоторой полезной разности температур
греющего пара и кипящего раствора.
Полезные разности температур по
корпусам равны:
Общая полезная разность температур:
Проверим общую полезную разность
температур:
.4 Определение тепловых нагрузок
Расход греющего пара в первом
корпусе, производительность каждого корпуса по выпариваемой воде и тепловые
нагрузки по корпусам определяются путем совместного решения уравнений тепловых
балансов по корпусам и уравнениями баланса по воде для всей установки:
Так как 
, а 
,
то
где D - расход греющего
пара в первом корпусе, кг/с; I,
i - энтальпия пара и конденсата, соответственно, Дж/кг; 1,03 -
коэффициент, учитывающий 3 % потерь тепла в окружающую среду (потери тепла
можно принимать от 2 до 6 %); c - удельная теплоемкость, Дж/(кг·К); Q1конц,
Q2конц, Q3конц - теплота концентрирования по корпусам.
Величинами Qконц пренебрегаем, поскольку эти величины значительно
меньше принятых потерь тепла; 
-
температура кипения исходного раствора, подаваемого в первый корпус,
где 
- температурная
депрессия для исходного раствора; cн, с1, с2 -
теплоёмкость растворов при концентрациях 
,
кДж/(кг·К).
Теплоёмкость (в
кДж/(кг·К)) разбавленных водных растворов (
) рассчитывается по
формуле:
Подставим известные
значения в уравнения:
Отсюда: D = 0,743 кг/с.
Тогда:
Проверка:
Определим тепловые
нагрузки, кВт:
Полученные данные сводим
в табл.4.
Таблица 4 - Параметры
растворов и паров по корпусам
|
Параметр
|
Корпус
|
|
1
|
2
|
3
|
|
Производительность по испаряемой воде W, кг/с
|
0,698
|
0,737
|
0,786
|
|
Концентрация растворов x, %
|
6,6
|
10,18
|
25
|
|
Давление греющих паров Pг, МПА
|
0,491
|
0,331
|
0,171
|
|
Температура греющих паров tГ, °С
|
151,1
|
136,7
|
115
|
|
Температурные потери  , °С4,045,8423,4
|
|
|
|
|
Температура кипения раствора tк, °С
|
140,74
|
120,84
|
71
|
|
Полезная разность температур ∆tп, °С
|
10,36
|
15,86
|
44
|
|
Тепловая нагрузка Q, кВт
|
1572,9
|
1514,6
|
16 1636,1
|
|
Плотность вторичного пара  , кг/ 1,8591,0030,078
|
|
|
|
.5 Выбор конструкционного материала
В качестве конструкционного материала
выбираем стойкую в среде кипящего раствора KС1 в диапазоне рабочих концентраций
сталь марки Х18Н10Т. Коэффициент теплопроводности этой стали 25,1 Вт/м·К.
.6 Расчет коэффициентов
теплопередачи
Коэффициент теплопередачи
рассчитываем, исходя из того, что при установившемся процессе передачи тепла
справедливо равенство:
Коэффициент теплопередачи К в [Вт/(м2·К)]
можно рассчитать по уравнению:
где q - удельная
тепловая нагрузка, Вт/м2; 
; α1
и α2 - коэффициенты теплоотдачи от конденсирующегося пара к стенке и
от стенки к кипящему раствору соответственно, Вт/(м2·К); 
- сумма термических
сопротивлений стенки загрязнений и накипи, (м2·К/Вт); ∆t1
- разность температур между греющим паром и стенкой со стороны пара в первом
корпусе, °С; ∆tст - перепад температур на стенке, °С; ∆t2
- разность между температурой стенки со стороны раствора и температурой кипения
раствора, °С.
Порядок расчета
коэффициента теплопередачи следующий. Задаемся величиной ∆tʹ1;
рассчитываем по приведенным ниже уравнениям коэффициенты теплоотдачи α1ʹ,
α2ʹ и тепловые потоки q1ʹ, q2ʹ.
Сравниваем величину тепловых потоков q1ʹ и q2ʹ.
Если q1ʹ ≠ q2ʹ, то задаемся другим
значением ∆t'ʹ1 и снова рассчитываем α1ʹʹ
и α2ʹʹ, q1ʹʹ и q2ʹʹ
по тем же формулам. Как правило, снова q1ʹʹ ≠ q2ʹʹ,
поэтому истинное значение теплового потока q и разность температур ∆t1,
определяем графически. Для этого строим график зависимости q = f(∆t1)
и соединяем точки q1ʹ и q1ʹʹ, q2ʹ
и q2ʹʹ прямыми линиями (рис. 2.1). Точка пересечения этих
линий и определяет истинную величину q и ∆t1. Затем определяют
значения α1 и α2 и рассчитывают коэффициент теплопередачи К.
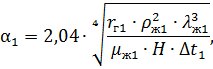
Коэффициент теплоотдачи α1,
рассчитываем по уравнению:
где 
- теплота конденсации
греющего пара, Дж/кг; 
- разность температур
конденсата пара и стенки, °С; 
- соответственно
плотность, кг/м3, теплопроводность Вт/(м·К) и вязкость конденсата,
Па·с, при средней температуре плёнки:
Первоначально принимаем 
Значения физических
величин конденсата берём при 
Коэффициент теплоотдачи
от стенки к кипящему раствору 
в условиях его
естественной циркуляции для пузырькового режима в вертикальных трубах равен:
где 
- плотность греющего
пара в первом корпусе, 
, 
- плотность пара при
атмосферном давлении; 
- соответственно,
теплопроводность, поверхностное натяжение, теплоемкость и вязкость раствора в
первом корпусе.

Значения величин,
характеризующих свойства растворов KС1, представлены в таблице 5.
Таблица 5 - Физические
свойства растворов KОН
|
Параметр
|
Корпус
|
|
1
|
2
|
3
|
|
Плотность раствора,  , кг/м310591092,5121237,6
|
|
|
|
|
Вязкость раствора μ·103,
Па·с
|
1,14
|
1,24
|
2,05
|
|
Теплопроводность раствора,  ,
Вт/(м·К)0,60230,60390,5915
|
|
|
|
|
Поверхностное натяжение, σ·103,
Н/м
|
58,25
|
60,08
|
71,5
|
|
Теплоемкость раствора, c, Дж/(кг·К)
|
3955,2
|
3813,3
|
3293
|
Проверим правильность первого
приближения по равенству удельных тепловых нагрузок:
Как видим 
.
Для второго приближения
примем 
Очевидно, что 
Для определения 
строим графическую
зависимость тепловой нагрузки q от разности температур между паром и стенкой и
определяем 
.
Проверка:
Как видим 
.
Рассчитываем коэффициент
теплопередачи K1 в первом корпусе:
Коэффициенты теплопередачи для
второго корпуса K2 и третьего K3 можно рассчитывать так
же, как и коэффициент K1 или воспользоваться соотношением
коэффициентов, полученных из практики ведения процессов выпаривания. Эти
соотношения варьируются в широких пределах:
Для растворов щелочей и нитратов
соотношение коэффициентов теплопередачи принимают по нижним пределам, а для
растворов солей - по верхним.
Для раствора KОН примем следующее
соотношение:
Тогда
1.7 Распределение полезной разности
температур
Полезные разности температур в
корпусах установки находим из условия равенства их поверхностей теплопередачи:
где 
-
общая полезная разность температур выпарной установки; 
- отношение тепловой
нагрузки к коэффициенту теплопередачи в корпусе; і = 1,2,3 -номер корпуса.
Проверим общую полезную
разность температур установки:
Поскольку рассчитаны
величины тепловых нагрузок, коэффициентов теплопередачи и полезной разности
температур по корпусам, следовательно, можно найти поверхность теплопередачи
выпарных аппаратов:
Полученные значения
поверхности теплопередачи сравниваем с определенной ранее ориентировочной
поверхностью 
По ГОСТ 11987 выбираем
аппарат с поверхностью теплообмена 
и длиной труб Н = 4 м.
Основные технические характеристики выпарного аппарата представлены в таблице
6.
Таблица 6 - Техническая
характеристики выпарного аппарата.
|
F при диаметре трубы 38х2 и длине H = 5000 мм
|
Диаметр греющей камеры D, мм
|
Диаметр сепаратора Dc, мм
|
Диаметр циркуляционной трубы D2, мм
|
Высота аппарата Ha, мм
|
Масса аппарата m, кг
|
|
140
|
1000
|
2200
|
700
|
13000
|
8500
|
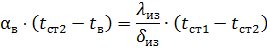
.8 Определение толщины тепловой
изоляции
Толщину тепловой изоляции

находим из равенства
удельных тепловых потоков через слой изоляции в окружающую среду:
где 
- коэффициент
теплоотдачи от внешней поверхности изоляции к воздуху, Вт/(м2·К), 
; 
- температура изоляции
со стороны воздуха, °С; для аппаратов, работающих внутри помещения 
выбирают в пределах 
; 
- температура, изоляции
со стороны аппарата, °С (температуру 
можно принимать равной
температуре греющего пара, ввиду незначительного термического сопротивления
стенки аппарата по сравнению с термическим сопротивлением слоя изоляции); 
- температура воздуха,
°С; 
- коэффициент
теплопроводности изоляционного материала, Вт/(м·К).
В качестве изоляционного
материала выбираем совелит, который содержит 85% магнезии и 15% асбеста.
Коэффициент теплопроводности совелита 
Толщина тепловой
изоляции для первого корпуса:
Такую же толщину тепловой изоляции
принимаем для второго и третьего корпусов.
РАЗДЕЛ 2. РАСЧЕТ ВСПОМОГАТЕЛЬНОГО
ОБОРУДОВАНИЯ
.1 Расчет барометрического
конденсатора
.1.1 Определение расхода охлаждающей
воды
Расход охлаждающей воды 
(в кг/с) определяем из
теплового баланса конденсатора:
где 
- энтальпия пара в
барометрическом компенсаторе, кДж/кг; 
- теплоёмкость воды,
кДж/(кг·К); 
; 
- начальная температура
охлаждающей воды, °С; 
; 
- конечная температура
смеси воды и конденсата, °С.
Разность температур
между паром и жидкостью на выходе из конденсатора составляет 
град., поэтому конечную
температуру воды 
принимают на 
град, ниже температуры
конденсации паров:
Тогда
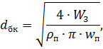
.1.2 Расчет диаметра
барометрического конденсатора
Диаметр барометрического
конденсатора 
, определяем из
уравнения расхода
где 
- плотность пара, кг/м3,
выбираемая по давлению пара в конденсаторе 
; 
- скорость пара, м/с,
принимаемая в пределах 
м/с.
По нормалям НИИХИММАШа
подбираем барометрический конденсатор диаметром 
с диаметром трубы 
.
.1.3 Расчет высоты
барометрической трубы
Скорость воды в
барометрической трубе
Высота барометрической
трубы
где 
- вакуум в
барометрическом конденсаторе, Па; 
- сумма коэффициентов
местных сопротивлений; λ - коэффициент трения в барометрической трубе; 
- высота и диаметр барометрической
трубы, м; 0,5 - запас высоты на возможное изменение барометрического давления.
где 
- коэффициенты местных
сопротивлений на входе в трубу и на выходе из неё.
Коэффициент трения 
, зависит от режима
движения воды в барометрической трубе. Определим режим течения воды в
барометрической трубе:
где
- вязкость воды, Па·с,
определяемая по номограмме при температуре воды tср.
Для гладких труб при Rе
= 249843; 
= 0,0141
2.2 Расчёт
производительности вакуум - насоса
Производительность
вакуум-насоса Gвозд определяется количеством воздуха, который
необходимо удалять из барометрического конденсатора:
где 2,5·10-5
- количество газа, выделяющегося из 1 кг воды; 0,01 - количество газа,
подсасываемого в конденсатор через уплотнения на 1 кг паров.
Тогда
Объёмная
производительность вакуум-насоса
где R - универсальная
газовая постоянная, Дж/(кмоль·К); 
- молекулярная масса
воздуха, кг/кмоль; 
- температура воздуха,
°С; 
- парциальное давление
сухого воздуха в барометрическом конденсаторе, Па.
Температура воздуха
давление воздуха
где 
- давление сухого
насыщенного пара при 
Па. При температуре
воздуха 27,7°С, 
.
Тогда
Зная объёмную
производительность воздуха 
, и остаточное давление
в конденсаторе 
, по каталогу подбираем
вакуум-насос типа ВВН - 6, мощность на валу N = 12,5 кВт.
Удельный расход энергии
на тонну упариваемой воды, кВт·ч/т,
.3 Определение
поверхности теплопередачи подогревателя
Поверхность
теплопередачи подогревателя (теплообменника) 
, м2 определяем
по основному уравнению теплопередачи:
где 
- тепловая нагрузка
подогревателя, Вт, определяется из теплового баланса теплообменника: 
Kп -
коэффициент теплопередачи
, Вт/(м·К), 
; 
- средняя разность
температур между паром и раствором, °С; 
- количество начального
раствора, кг/с, и его теплоёмкость, Дж/(кг·К); 
- начальная температура
исходного раствора, °С; 
- температура раствора
на выходе из теплообменника, °С, равная температуре с которой раствор входит в
первый корпус.
Так как отношение 
, то величину 
определим как
среднелогарифмическую:
Тогда поверхность
теплообменника
Площадь поверхности
теплопередачи теплообменника принимается на 10-20% больше расчетной величины:
На основании найденной
поверхности по ГОСТ 15122-79 выбираем кожухотрубчатый двухходовой теплообменник
с такими параметрами:
площадь поверхности
теплопередачи 
, число труб n = 488,
длина труб l = 2,5 м, диаметр труб 25x2 мм, диаметр кожуха D = 800 мм.
.4 Расчёт центробежного
насоса
Основными типами
насосов, используемых в химической технологии, являются центробежные, осевые и
поршневые. Для проектируемой выпарной установки используем центробежный насос.
При проектировании обычно возникает задача определения необходимого напора Н и
мощности N при заданной подаче (расходе) жидкости Q, перемещаемой насосом.
Далее по найденному напору и производительности насоса определяем его марку, а
по величине мощности на валу - тип электродвигателя к насосу.
Мощность на валу насоса,
кВт,
где Q -
производительность насоса, м3/с; Н - напор, развиваемый насосом, м; 
- к.п.д. насоса,
; 
- к.п.д. передачи (для
центробежного насоса 
).
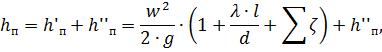
Напор насоса
где 
- давление жидкости для
исходного раствора (атмосферное), Па; 
- давление вторичного
пара в первом корпусе, Па; 
- геометрическая высота
подъема раствора, м, 
м; 
- напор, теряемый на
преодоление гидравлических сопротивлений (трения и местных сопротивлений) в
трубопроводе и теплообменнике, м.
Потери напора
где 
- потери напора
соответственно в трубопроводе и в теплообменнике, м. В связи с громоздкостью
расчета потери напора в теплообменнике можно не рассчитывать и принимать их в
пределах 
, в зависимости от
скорости движения раствора в трубах теплообменника, длины, количества труб и
числа ходов теплообменника; w - скорость раствора, м/с, 
; l и d - длина и
диаметр трубопровода, м; 
; 
- коэффициент трения; 
- сумма коэффициентов
местных сопротивлений.
Определим диаметр
трубопровода, из основного уравнения расхода:
Для определения
коэффициента трения 
рассчитываем величину
Re:
где 
плотность, кг/м3,
и вязкость, Па·с, исходного раствора; при концентрации х = 5%; 
Для гладких труб при Rе
= 55047, 
= 0,0206.
Определим сумму
коэффициентов местных сопротивлений 
:
Коэффициенты местных
сопротивлений равны:
вход в трубопровод 
= 0,5;
выход из трубопровода 
=1,0;
колено с углом 90° (для
трубы d = 58 мм): 
= 1,1;
вентиль прямоточный 
= 0,72 (для трубы d =
58 мм);
Примем потери напора в
теплообменнике 
и 
аппарата плюс 2 метра, 
Тогда
По приложению прил. 9
устанавливаем, что данным подаче и напору больше всего соответствует
центробежный насос марки Х20/53, для которого в оптимальных условиях работы 
Н = 34,4 м, 
= 0,5. Насос обеспечен
электродвигателем AO2 - 52 - 2 номинальной мощностью N = 13 кВт.
По мощности,
потребляемой двигателем насоса, определяем удельный расход энергии:
.5 Расчёт объёма и
размеров емкостей
Большинство емкостей
представляют собой вертикальные или горизонтальные цилиндрические аппараты. При
проектировании емкостей основными руководящими документами являются нормали и
Государственные стандарты, предусматривающие следующий нормальный ряд
цилиндрических аппаратов и сосудов до 200 м3.
,01, 0,016, 0,025. 0,040
0,100, 0,125, 0,160, 0 200, 0,250, 0,320, 0,400, 0,500, 0,630, 0,800, 1,00,
1,25, 1,60, 2,00 2,50, 3,20, 4,00, 5,00, 6,30, 8,00, 10, 12, 16 20, 25, 32, 40,
50, 63, 80, 100, 125,160, 200.
По номинальному объему
аппарата выбирают его основные конструктивные размеры (диаметр, высоту),
которые должны соответствовать ГОСТ 9941 - 72, ГОСТ 9671 - 72. Стандарты
предусматривают следующий ряд внешних номинальных диаметров Dн, мм.:
, 250, 300,350,400,
500,600, 700, 800,900, 1000, 1100, 1200, 1400,1600, 1800,2000, 2200, 2400,
2600, 2800, 3000, 3200, 3400, 3600, 3800, 4000.
Для изготовления сосудов
малого размера допускается применение стальных труб с наружным диаметром в мм:
159, 219, 273, 325, 377, 426, 480,530, 630,720, 820,920, 1120,1220, 1420.
Длина (высота) емкостей
принимается равной 
Расчет емкостей для разбавленного
и упаренного раствора ведем из условий шестичасовой (сменной) работы выпарного
аппарата, т.е. τ = 6 ч.
Объём емкости для
разбавленного (исходного) раствора
где 
- количество (кг/ч) и
плотность (кг/м3) исходного раствора; φ - коэффициент
заполнения емкости, 
. Для удобства работы
устанавливаем три емкости объемом по 25 м3. Принимаем диаметр
емкости равным D = 2,8 м. Тогда длина ее l = 4 м.
Объем емкости упаренного
раствора
где 
- количество (кг/ч) и
плотность (кг/м3) упаренного раствора.
Устанавливаем две
емкости объемом по 6,3 м3 диаметром 2 м и длиной 2 м.
.6 Определение диаметра
штуцеров
Штуцера изготовляют из
стальных труб необходимого размера. По ГОСТ 9941 - 62 применяют трубы следующих
диаметров:
, 16, 18, 20, 22, 25,
32, 38, 45, 48, 57, 70, 76, 90, 95, 108, 133, 159, 194, 219, 245, 273, 325,
377,426.
Диаметр штуцеров
определим из основного уравнения расхода:
где 
- расход раствора или
пара, м3/с; 
- средняя скорость
потока, м/с.
Ориентировочные значения
скоростей, принимаемых при расчетах трубопроводов, приведены в таблице 7.
Диаметр штуцера для
разбавленного раствора
Диаметр штуцера для
упаренного раствора
Таблица 7 -
Рекомендуемые значения скорости потока
|
Перекачиваемая среда
|
w, м/с
|
|
Жидкости
|
|
При движении самотеком:
|
|
Вязкие
|
0,1 - 0,5
|
|
Маловязкие
|
0,5 - 1,0
|
|
При перекачивании насосами:
|
|
во всасывающих трубопроводах
|
0,8 - 2,0
|
|
в нагнетательных трубопроводах
|
1,5 - 3,0
|
|
Газы
|
|
при естественной тяге:
|
2 - 4
|
|
При небольшом давлении (от вентиляторов)
|
4 - 15
|
|
При большом давлении (от компрессоров)
|
15 - 25
|
|
Пары
|
|
Перегретые
|
30 - 50
|
|
Насыщенные, при давлении, Па:
|
|
больше 105
|
15 - 25
|
|
(1-0,5)· 105
|
20 - 40
|
|
(5-2)· 104
|
40 - 60
|
|
(2-0,5)· 104
|
60 - 75
|
Диаметр штуцера для ввода греющего
пара в первом корпусе
где D - расход пара,
кг/с; 
- плотность пара при
давлении его РГ1, кг/м3; (при РГ = 0,491 МПа, 
= 2,614 кг/м3).
2.7 Подбор конденсатоотводчиков
Для отвода конденсата и
предотвращения проскока пара в линию отвода конденсата теплообменные аппараты,
обогреваемые насыщенным водяным паром, должны снабжаться конденсатоотводчиками.
Расчет и подбор стандартного поплавкового конденсатоотводчика по ГОСТ 15112 -
69 заключается в определении диаметра условного прохода по максимальному
коэффициенту пропускной способности k и в выборе по найденной величине Dy
конструктивных размеров аппарата:
|
Dy, мм
|
20
|
25
|
32
|
40
|
50
|
80
|
|
k, т/ч
|
1,0
|
1,6
|
2,5
|
4,0
|
6,3
|
10,0
|
Значение максимального коэффициента
пропускной способности определяется в зависимости от расхода конденсата в (т/ч)
и перепада давлений ∆Р (кгс/см2) между давлением до
конденсатоотводчика и после него:
Давление до конденсатоотводчика Р1
следует принимать равным 90 - 95% от давления греющего пара, поступающего в
аппарат, за которым установлен конденсатоотводчик; давление после
конденсатоотводчика принимается в зависимости от его типа и от величины
давления в аппарате, но не более 40% этого давления.
Количество конденсата G равняется количеству пара,
поступающего в греющую камеру аппарата, т.е. G = 0,737 кг/с = 2,6532 т/ч.
Тогда
Согласно зависимости при

конденсатоотводчик
должен иметь диаметр условного прохода Dy = 80 мм. По этой величине
диаметра условного прохода выбираем конструктивные размеры конденсатоотводчика.
ВЫВОДЫ
По результатам расчетов по многокорпусной
выпарной установке было выбрано следующее технологическое оборудование:
1. По ГОСТ 11987
выбираем выпарной аппарат с вынесенной греющей камерой и естественной циркуляцией,
с поверхностью теплообмена 
, длиной труб 
, диаметром греющей
камеры 
, диаметром сепаратора 
, диаметром
циркуляционной трубы 
и высотой 
. (3 шт.).
. Барометрический
конденсатор с диаметром 𝑑бк=0,36
м и высотой барометрической трубы Нбт=9,86 м.
. По ГОСТ 1867-57
вакуум-насос типа ВВН - 6, мощность на валу N = 12,5 кВт.
. По ГОСТ
15122-79 кожухотрубчатый двухходовой теплообменник с площадью поверхности
теплопередачи 
, числом труб n = 488,
длиной труб l = 2,5 м, диаметром труб 25x2 мм и диаметром кожуха D = 800 мм.
. Центробежный
насос марки Х20/53, 
Н = 34,4 м, 
= 0,5 с
электродвигателем AO2 - 52 - 2 номинальной мощностью N = 13 кВт.
. По ГОСТ 9941-72
цилиндрические емкости объемом V
= 25 м3 с диаметром D = 2,8 м и длиной l = 4 м (3 шт.). Цилиндрические
емкости объемом V = 6,3 м3,
диаметром D = 2 м и длиной l = 2 м (2 шт.).
. По ГОСТ 9941-62
штуцер для разбавленного раствора диаметром d
= 60 мм, штуцер для упаренного раствора d
= 24 мм, штуцер для греющего пара d
= 110 мм
. По ГОСТ 15112-
69 конденсатоотводчик с диаметром условного прохода Dy = 80 мм.
СПИСОК ИСТОЧНИКОВ ИНФОРМАЦИИ
1. Касаткин А.Г. Основные процесс и
аппараты химической технологии: Химия, 1971. 784 с.
. Павлов К. Ф., Романков П. Г.,
Носков А. А. Примеры и задачи по курсу процессов и аппаратов химической
технологии. - Л.: Химия, 1976. 550 с.
. Основные процессы и аппараты
химической технологии: Пособие по проектированию / Под ред. Ю.И.Дытнерского. -
М.: Химия, 1983. 272 с.
. Справочник химика. М.-Л.: Химия,
1964. Т.3. 1007 с., 1966. Т.5. 974 с.
. Перри Д.Г. Справочник
инженера-химика / Пер. с англ. Л.: Химия, 1969. Т.1. 640 с.
. Воробьева Г.Я. Коррозионная
стойкость материала и агрессивных сред химических производств. М.: Химия, 1975.
816 с.
. Кичигин М. А., Костенко Г.Н. Теплообменные
аппараты и выпарные установки. М.: Госэнергсиздат, 1955. 392 с.
. Бакластов А.М., Горбатенко В.А.;
Удыма П.Г. Проектирование, монтаж и эксплуатация теплообменных установок. М.:
Энергоиздат, 1981. 336 с.
. ГОСТ 1867-57. Вакуум насосы
низкого давления.
. ГОСТ 15122-79. Теплообменники
кожухотрубчатые с неподвижными трубными решетками и кожухотрубные с
температурным компенсатором на кожухе, 1979. 22с.
. ГОСТ 11987-81. Аппараты выпарные
трубчатые.
. Каталог УКРНИИХИММАШа. Выпарные
аппараты вертикальные трубчатые общего назначения. - М.: ЦИНТИХИМНЕФТЕМАШ,
1979.-38 с.
. ГОСТ 26716-73. Барометрические
конденсаторы.
. ГОСТ 1867-57. Вакуум насосы
низкого давления.
. ГОСТ 15122-79. Теплообменники
кожухотрубчатые с неподвижными трубными решетками и кожухотрубные с
температурным компенсатором на кожухе, 1979. 22с.
. Кутателадзе С.С. Основы теории
теплообмена. - Новосибирск: Наука, 1970. 659 с.
. Колач Т.А., Радун Д.В. Выпарные
станции. - М.: Машгиз, 1963. - 400 с.
. Кувшинский М.Н., Соболев А.П.
Курсовое проектирование по предмету «Процессы и аппараты химической
промышленности». - М.:Высш.шк., 1980 - 223с.