Тяговый расчёт рыхлителя
СОДЕРЖАНИЕ
ВВЕДЕНИЕ
. ЦЕМЕНТОРАСПРЕДЕЛИТЕЛИ
. ГРУЗОЗАХВАТНЫЕ КОНВЕЙЕРЫ
.1 ВИДЫ И ОБЛАСТИ ПРИМЕНЕНИЯ
.2 ЛЕНТОЧНЫЕ КОНВЕЙЕРЫ
.3 КРУТОНАКЛОННЫЕ И
ВЕРТИКАЛЬНЫЕ КОНВЕЙЕРЫ
.4 КРУТОНАКЛОННЫЕ КОНВЕЙЕРЫ
СО СПЕЦИАЛЬНЫМИ ЛЕНТАМИ
.5 ЛЕНТОЧНО-ЦЕПНЫЕ КОНВЕЙЕРЫ
.6 ДВУХЛЕНТОЧНЫЕ КОНВЕЙЕРЫ
.7 ТРУБЧАТЫЕ И ПОДВЕСНЫЕ
ЛЕНТОЧНЫЕ КОНВЕЙЕРЫ
.8 ПЛАСТИНЧАТЫЕ КОНВЕЙЕРЫ
. ТЯГОВЫЙ РАСЧЕТ РЫХЛИТЕЛЯ
.1 РАСЧЕТ СОПРОТИВЛЕНИЙ,
ДЕЙСТВУЮЩИХ НА МАШИНУ
.2 ОПРЕДЕЛЕНИЕ ПОТРЕБНОЙ
МОЩНОСТИ ДВИГАТЕЛЯ
.3 ОПРЕДЕЛЕНИЕ УСЛОВИЙ
ДВИЖЕНИЯ БАЗОВОЙ МАШИНЫ С РЫХЛИТЕЛЕМ
. РАСЧЕТ И ОБОСНОВАНИЕ
ПАРАМЕТРОВ РАБОЧИХ ОРГАНОВ
. ВЫБОР РАСЧЕТНЫХ ПОЛОЖЕНИЙ И
ОПРЕДЕЛЕНИЕ СИЛ, ДЕЙСТВУЮЩИХ НА РЫХЛИТЕЛЬ
. РАСЧЕТ ЗУБА РЫХЛИТЕЛЬНОЙ
НАВЕСКИ НА ПРОЧНОСТЬ
. РАСЧЕТ ПРОИЗВОДИТЕЛЬНОСТИ
РЫХЛИТЕЛИТЕЛЯ
ПРИЛОЖЕНИЕ
ВВЕДЕНИЕ
Большую часть площади нашей страны занимают леса, и поэтому значение
лесозаготовительной и лесоперерабатывающей промышленности в экономике России
огромно.
В лесозаготовительной промышленности лесным дорогам отведена особая роль,
так как они должны обеспечивать круглогодичную вывозку леса и создавать
нормальные условия для ведения лесного хозяйства.
Для целей лесной промышленности необходимо строить ежегодно около 7 тыс.
км лесных дорог постоянного действия и около 40 тыс. км временных дорог.
При строительстве лесных дорог средний объем земляных работ на I километр
пути составляет в равнинной местности 3000-5000 м3, в холмистой и
низкогорной-4000-8000 м3.
Результативное решение проблемы строительства лесных дорог возможно
только при условии полной механизации всех дорожно-строительных работ с
применением современных машин и совершенных технологий.
В настоящих методических указаниях представлена методика расчета и
выполнения курсовой работы, включающая в себя задание на курсовую работу,
разделы расчета основных параметров рыхлителя. Приводятся необходимые
справочные данные и делаются рекомендации.
1. ЦЕМЕНТОРАСПРЕДЕЛИТЕЛИ
Для механизации распределения дорожно-строительных материалов при
строительстве современных дорожных покрытий применяются специальные машины. К
ним относятся распределители цемента.
Цементораспределители - дорожные машины, предназначенные для выполнения
цементобетонных покрытий
Распределители являются составной частью комплекта машин, предназначенных
для строительства дорожного полотна. Качество дорожного покрытия в значительной
мере зависит от качества распределения материалов. Особое значение имеет
распределение материала слоев заданной толщины.
К машинам для распределения предъявляются следующие основные требования:
) Материал должен распределяться равномерным слоем по всей ширине
полосы;
) Производительность распределителя должна соответствовать общей
производительности комплекта машин по строительству дорожного покрытия;
) Емкость приемных устройств должна соответствовать
грузоподъемности
) Управление машиной должно быть механизировано и по возможности
автоматизировано;
) Распределители должны обеспечивать создание требуемого профиля
дорожного покрытия и его продольного уклона;
) При укладке слоя должен быть обеспечен необходимый припуск по
толщине слоя с учетом его окончательного уплотнения специальными средствами.
Распределители цемента выпускаются навесными, прицепными и самоходными
как на гусеничном, так и на колесном ходу.
Распределительное устройство этих машин состоит из шнекового или роторного
дозатора, представляющего собой вал 4 с резиновыми лопастями 3, и сошников 5.
Приемный бункер 1 оборудован ворошителем 2. Для приема цемента из цементовозов
с пневматической разгрузкой распределителей оборудуются приёмниками,
снабженными фильтрами. Прицепные распределители перемещаются гусеничными или
колесными тягачами с ходоуменьшителями. Полуприцепные и самоходные
распределители имеют рабочую скорость передвижения не более 500 - 900 м/ч.
Привод дозатора осуществляется от специального двигателя, двигателя
тягача или шасси. Применение гидропривода позволяет регулировать норму
распределения независимо от скорости перемещения машины.
Отечественной промышленностью выпускается распределитель цемента ДС-9
(Д-343) в виде прицепной машины к трактору с ходоуменьшителем. При ширине
распределения 2,45 м производительность машины составляет 400 м2/ч.
Основными показателями распределителей являются ширина распределения и
норма дозирования.
В среднем норма дозирования у современных машин находится в пределах 1-
50 кг на м2 дорожного основания.
Ширина полосы распределения зависит от ширины обработки
грунтосмесительных машин, в комплекте с которыми работают распределители, и
чаще всего равна длине рабочего органа грунтосмесительной машины.
2. ГРУЗОЗАХВАТНЫЕ КОНВЕЙЕРЫ
Конвейер, транспортер - машина непрерывного действия
для перемещения сыпучих, кусковых или штучных грузов. Конвейеры наиболее
целесообразно классифицировать по принципу действия и конструктивным признакам,
типу тягового и грузонесущего органа, роду перемещаемого груза, назначению и
областям применения.
Основной классификационный признак конвейера - тип
тягового и грузонесущего органов. Различают конвейеры с ленточным, цепным,
канатным и другими тяговыми органами и конвейеры без тягового органа (винтовые,
инерционные, вибрационные, роликовые). По типу грузонесущего органа конвейеры
могут быть: ленточные, пластинчатые, скребковые, подвесные грузонесущие,
толкающие, тележечные, ковшовые и люлечные, а также винтовые, инерционные,
вибрационные, роликовые.
Конвейеры являются составной, неотъемлемой частью
современного технологического процесса, они устанавливают и регулируют темп
производства, обеспечивают его ритмичность, способствуют повышению
производительности труда и увеличению выпуска продукции. Наряду с выполнением
транспортно-технологических функций конвейеры являются основными средствами
комплексной механизации и автоматизации погрузочно-разгрузочных и складских
операций.
На современных предприятиях конвейеры используют в
качестве:
· высокопроизводительных транспортных
машин, передающих грузы из одного пункта в другой на участках внутризаводского
и, в ряде случаев, внешнего транспорта;
· транспортных агрегатов мощных
перегрузочных устройств (например, мостовых перегружателей, отвалообразователей
и т. п.) и погрузочно-разгрузочных машин;
· машин для перемещения грузов-изделий
по технологическому процессу поточного производства от одного рабочего места к
другому, от одной технологической операции к другой, устанавливая, организуя и
регулируя темп производства и совмещая, в ряде случаев, функции накопителей
(подвижных складов) и распределителей грузов-изделий по отдельным
технологическим линиям;
· машин и передаточных устройств в
технологических автоматических линиях изготовления и обработки деталей и узлов
изделий.
2.1 ВИДЫ И ОБЛАСТИ ПРИМЕНЕНИЯ
Высокая производительность, непрерывность грузопотока
и автоматизация управления обусловили широкое применение конвейеров в различных отраслях народного
хозяйства.
В ряде случаев одна и та же транспортная операция
может быть выполнена различными конвейерами.
В зависимости от размера кусков груза и его массы по
(табл.2.1 и 2.2), может быть произведен ориентировочный выбор типа конвейера с
последующим уточнением его конструктивного исполнения.
Таблица 2.1 - Применение конвейеров для насыпных
грузов.
|
Наименование груза
|
Размер кусков α', мм
|
Рекомендуемые типы
конвейеров
|
|
Кусковой: крупно - кусковой
|
160 - 500
|
Пластинчатый, ленточный,
ленточно-цепной, ленточно- канатный
|
|
средне - кусковой
|
60 - 160
|
|
|
мелко - кусковой
|
10 - 60
|
Ленточный, двухленточный,
элеватор, скребковый, ковшовый
|
|
Порошкообразный
|
0,05 - 0,5
|
Трубчатый, двухленточный,
элеватор, скребковый
|
0,05.
|
|
Таблица 2.2 - Применение конвейеров для штучных грузов.
|
Группа груза
|
Масса m, кг
|
Рекомендуемые типы
конвейеров
|
|
Легкие
|
До 15
|
Ленточный, подвесной,
вертикальный одно- и двух- цепной
|
|
Средние
|
15-50
|
|
|
Тяжелые
|
50-200
|
Пластинчатый, подвесной,
люлечный, тележечный, вертикальный четырехцепной
|
|
Весьма тяжелые
|
200 и более
|
Грузоведущий, тележечный,
вертикальный четырехцепной
|
2.2 ЛЕНТОЧНЫЕ КОНВЕЙЕРЫ
Ленточные конвейеры являются наиболее распространенным
средством непрерывного транспортирования различных насыпных и штучных грузов в
промышленности, строительстве, сельском хозяйстве и других областях народного
хозяйства.
Ленточный конвейер (рис. 2.2) имеет станину 6, на концах которой установлены два
барабана: передний 7 - приводной и задний 1 - натяжной. Вертикально замкнутая
лента 5 огибает эти концевые барабаны и по всей длине поддерживается опорными
роликами, называемыми роликоопорами, - верхними 4 и нижними 10, укрепленными на
станине 6. Иногда вместо роликов применяют
настил. Приводной барабан 7 получает вращение от привода 11 и приводит в
движение ленту вдоль трассы конвейера.
Лента загружается через одну или несколько загрузочных
воронок 2, размещенных на конвейере. Транспортируемый груз перемещается на
верхней (грузонесущей, рабочей) ветви ленты,
а нижняя ветвь является возвратной (обратной). Возможно также транспортирование
грузов одновременно на верхней и нижней ветвях ленты в разных направлениях.
Рисунок. 2.2 - Схема лен точного
конвеєра
грузозахватный
конвейер рыхлитель двигатель
Груз выгружается на переднем барабане 7 через
разгрузочную воронку 8 или в промежуточных пунктах конвейера при помощи
разгрузочных устройств: плужковых 3 или барабанных разгружателей. Наружная
поверхность ленты очищается от прилипших к ней частиц груза очистным
устройством 9, установленным у переднего барабана 7.
Ленточные конвейеры применяют для перемещения в
горизонтальном и пологонаклонном направлениях разнообразных насыпных и штучных
грузов, а также для меж операционного транспортирования изделий при поточном
производстве. Они получили широкое распространение во всех отраслях промышленности
и являются основными агрегатами механизации транспорта в литейных цехах (подача
и распределение земли и уборка отходов), на топливоподачах электростанций, подземного и наземного
транспорта угля и породы в угледобывающей промышленности, руды, кокса и флюсов
в металлургии , строительных материалов и полезных ископаемых в карьерах, зерна
в зернохранилищах, песка и камня на строительстве каналов и гидростанций и др.
2.3 КРУТОНАКЛОННЫЕ И ВЕРТИКАЛЬНЫЕ КОНВЕЙЕРЫ
Крутонаклонные конвейеры предназначены для
транспортирования насыпных и штучных грузов под углами, превышающими
максимальные (критические) углы, при которых груз, находящийся на гладком
грузонесущем полотне, еще не имеет гравитационного перемещения.
Крутонаклонные и вертикальные конвейеры классифицируют
по конструктивным и функциональным признакам устройств, удерживающих груз на
грузонесущем элементе.
Груз удерживается на грузонесущем элементе путем
повышения коэффициента сцепления груза с поверхностью полотна, увеличения
давления груза на грузонесущее полотно и создания подпора груза на грузонесущем
полотне.
Тяговые элементы крутонаклонных и вертикальных
конвейеров должны обладать высокой прочностью, гибкостью, небольшой собственной
массой, износостойкостью и долговечностью, удобством крепления несущих и
ходовых деталей. В качестве тяговых элементов применяются ленты, цепи и канаты.
Выбор тягового элемента обусловливается конструкцией крутонаклонного или
вертикального конвейера, условиями его работы и действующими нагрузками.
Учитывая, что ленты с выступами и перегородками на
рабочей поверхности имеют повышенную стоимость изготовления, правильный выбор
конструкции и размеров лент для крутонаклонных конвейеров приобретает особое
значение.
Тяговые цепи получили широкое применение в
крутонаклонных конвейерах с гофрированной лентой, ленточно-цепных, а также
вертикальных конвейерах для штучных грузов.
Опорные устройства для лент крутонаклонных и
вертикальных конвейеров выполняются в виде роликоопор, траверс, внутренней
поверхности трубы, воздушной подушки, настила из листовой стали и пластмасс.
Наибольшее распространение в качестве опорных устройств получили роликоопоры.
Диаметр роликов принимается в зависимости от ширины
ленты от 83 до 108 мм. Расстояние между роликами зависит от ширины ленты и
объемной массы транспортируемого груза. В связи с тем, что в крутонаклонных
конвейерах провисание ленты между роликоопорами значительно уменьшается,
расстояние между роликоопорами в некоторых случаях может быть принято большим
по сравнению с горизонтальными и пологонаклонными конвейерами.
В приводах крутонаклонных конвейеров устанавливаются
стопорные устройства, остановы или тормоза, служащие для предотвращения
самопроизвольного хода груженой ветви конвейера вниз под действием массы груза.
Особенности конструкций двухленточыых, ленточно-цепных, четырехцепных
крутонаклонных и вертикальных конвейеров потребовали создания специальных
приводных устройств. В зависимости от длины крутонаклонных и вертикальных
конвейеров применяются винтовые, пружинно-винтовые и грузовые натяжные
устройства.
2.4 КРУТОНАКЛОННЫЕ КОНВЕЙЕРЫ СО СПЕЦИАЛЬНЫМИ ЛЕНТАМИ
Сила сцепления транспортируемого материала с
поверхностью ленты может быть увеличена путем создания более шероховатой
поверхности.
Кроме способов, связанных с нанесением на поверхность
или введением в состав резиновой смеси различных твердых материалов,
используются также способы получения шероховатой поверхности специальной
обработкой ленты при ее изготовлении. Так, например, применение рифленых плит у
вулканизационных прессов при изготовлении ленты позволяет получить на ее
рабочей поверхности различного профиля впадины и выступы. Размеры выступов и
расстояние между ними выбираются в соответствии с физико-механической
характеристикой транспортируемого груза.
Все рифленые ленты предназначаются для
транспортирования штучных и реже - насыпных грузов в пределах угла
естественного откоса (30-35°). Применение таких лент для транспортирования
штучных грузов повышает допустимый угол наклона конвейера примерно на 10-20 %
по сравнению с обычными лентами, имеющими гладкую рабочую поверхность. Грузы в
жесткой упаковке (пакеты, ящики, коробки и т. д.) могут транспортироваться
рифлеными лентами под углом 45°.
Изготовление лент с выступами производится с помощью
специальных пресс-форм. Выступы формируются и вулканизируются одновременное
рабочей обкладкой ленты. Такой способ изготовления делает всю конвейерную ленту
максимально однородной и прочной. На конвейерах небольшой длины рекомендуется
производить крепление выступов холодным способом вулканизации.
В настоящее время во ВНИИПТ разработаны конструкции
лент с выступами (рис. 2.3) шириной 400; 500; 650; 800; 1000 и 1200 мы.
Конструктивную основу представляет обычная стандартная лента (ГОСТ 20-76), на
рабочей поверхности которой методом горячей вулканизации в пресс-форме сделаны
выступы высотой 8-10 мм.
Рисунок. 2.4 Конвейерные ленты с выступами
Для увеличения угла подъема конвейера до 60-70
применяются конвейерные ленты с перегородками - поперечными выступами самых
разнообразных конструкций. В отличие от установок с рифленой лентой конвейеры,
имеющие ленту с перегородками высотой 50-300 мм, могут работать под углом
наклона, превышающим угол естественного откоса транспортируемых насыпных
грузов. Ленты с перегородками подразделяются на плоские, угловые и лотковые.
Имея различное конструктивное исполнение, поперечные
перегородки на ленте в основном служат одной цели - препятствовать
проскальзыванию и скатыванию транспортируемых грузов по поверхности ленты при
углах наклона конвейера, превышающих угол трения груза о ленту.
Основными недостатками таких лент являются сложная
технология их изготовления, высокая себестоимость, сложность очистки от
прилипших частиц транспортируемого материала, возможность использования только
на конвейерах с однобарабанным приводом, сложность конструкций опорных роликов
для обратной ветви ленты, трудность транспортирования ленты к месту монтажа,
невозможность замены несъемных перегородок при их повреждении и нарушение
целостности ленты механическим креплением перегородок. Кроме того, в отдельных
конструкциях перегородки создают дополнительные напряжения в ленте, вызываемые
увеличением поперечной жесткости, и препятствуют созданию желобчатости.
Применение конвейеров с лентами, оснащенными бортами и
перегородками, позволяет увеличить угол подъема и производительность конвейера
за счет увеличения сечения транспортируемого материала.
На строительных работах применяется ленточный
конвейер, обеспечивающий подачу гравия, песка и цемента в бетономешалку с
подъемом под углом 70°.
Конвейер имеет ленту с перегородками и гофрированными
бортами. Расстояние между осями барабанов 16 м, скорость ленты 1,5 м/с.
Приводной барабан диаметром 320 мм приводится во вращение двигателем мощностью
3,5 кВт. Рама конвейера сварная, натяжной механизм винтового типа. Ролики
диаметром 70 мм установлены с шагом 900 мм. Высота выступов составляет 80 мм.
2.5 ЛЕНТОЧНО-ЦЕПНЫЕ КОНВЕЙЕРЫ
В ленточно-цепных конвейерах вместо дорогой
многослойной ленты применяется сравнительно дешевая бельтинговая с двумя-тремя
прокладками, используются промежуточные приводы, а груз транспортируется по
сложной пространственной трассе.
По количеству цепей различают одно- и двухцепные
крутонаклонные ленточно-цепные конвейеры; по способу соединения ленты с цепью -
конвейеры с фрикционной и жесткой связью; по типу ходовых элементов - конвейеры
с ходовыми и стационарными роликами; по относительному расположению контуров
ленты и цепи - с внутренним и внешним расположением.
В качестве тягового элемента в ленточно-цепных
крутонаклонных конвейерах находят применение как стандартные пластинчатые,
сварные, роликовые, так и специальные цепи,
Наиболее простыми являются одноцепные крутонаклонные
конвейеры. В конвейерах (рис. 7) перегородки 4, попарно смонтированные на цепи
3, охватывают ленту 2 по ее продольной оси. В дополнение к основному конвейеру
эта конструкция предусматривает приводную звездочку 5, натяжную звездочку 1 и
цепь с перегородками, синхронно движущимися с лентой.
Рис. 2.5 Ленточно-цепной конвейер
2.6 ДВУХЛЕНТОЧНЫЕ КОНВЕЙЕРЫ
Увеличение угла наклона ленточного конвейера обычной
конструкции может быть достигнуто при помощи второй ленты, которая проходя
параллельно несущей ветви рабочей ленты, создает необходимое давление на груз,
увеличивая его сцепление с лентой (рис. 2.6).
Рисунок. 2.6. Двухленточные конвейеры
Существуют самые различные конструкции таких
конвейеров. В зависимости от устройства лент и прижимных приспособлений эти
конвейеры способны транспортировать грузы с одного уровня на другой с большим
углом наклона.
К достоинствам двухленточных конвейеров следует
отнести возможность транспортирования материала под углом до 90°, высокую
скорость движения, достигающую 6 м/с, независимость производительности от угла
наклона и возможность. Герметичного транспортирования насыпных грузов, что
имеет особое значение при перемещении пылящих и ядовитых материалов.
Недостатками двухленточных конвейеров являются их значительная конструктивная
сложность, повышенный износ лент, большой расход энергии.
Искусственное увеличение нормального давления груза на
рабочее полотно достигается применением прижимных элементов. В качестве
прижимных элементов может быть использована либо специальная лента, собранная
из кольцевых цепей (рис, 2.6, а), либо обычная прорезиненная, прижимаемая
батареями подвижно укрепленных пневматических роликов (рис. 2.6, б, г),
расположенных на некотором расстоянии друг от Друга, а также с помощью
пневматических (рис. 2.6, в) и магнитных устройств. Первый тип прижимных лент
более приемлем для грузов, включающих крупные куски, а второй - для однородных
мелкокусковых грузов, ложащихся на ленту относительно ровным слоем.
Крутонаклонные и вертикальные двух ленточные конвейеры,
оснащенные поролоновыми обкладками, широко применяют при транспортировании
хрупких малогабаритных грузов (изделия из стекла, хрусталя, яйца и т. п.).
Для повышения производительности конвейера, улучшения
центрирования лент и предотвращения высыпания материала грузовая и прижимная
ленты с нерабочей стороны по краям имеют продольные клинообразные выступы,
входящие в канавки, выполненные в катках (рис. 2.6, д, e).
Крутонаклонные конвейеры с прижимной лентой успешно
эксплуатируются на предприятиях связи и торговли для транспортирования посылок,
пакетов, ящиков, коробок н т. п. Эти конвейеры выполнены па базе типовых узлов
серийно выпускаемых стационарных ленточных транспортеров. Их производительность
составляет свыше 200 единиц грузов в час, а угол наклона:40-90°.
2.7 ТРУБЧАТЫЕ И ПОДВЕСНЫЕ ЛЕНТОЧНЫЕ КОНВЕЙЕРЫ
Применение в конвейерах трубчатой ленты позволяет
значительно увеличить угол подъема по сравнению с конвейерами, имеющими
желобчатую ленту. Принцип работы трубчатых конвейеров, основанный на увеличении
давления между грузами и лентой, заключается в том, что непрерывно подаваемый
на плоскую часть ленты насыпной груз увлекается ею и обжимается при
сворачивании ленты в трубу. Достоинствами конвейеров с трубчатой лентой
являются герметичность перемещения груза, простота конструкции и высокие
скорости транспортирования. Эти достоинства обусловили появление большого
количества разнообразных конструкций конвейеров с трубчатой лентой. Существуют
самые различные конструкции соединения краев лент в трубу: клиновые, типа
застежки «молния», магнитные, а также ролики и обжимные оболочки.
Применение герметизированных конвейеров трубчатого
типа позволяет значительно улучшить условия труда, сохранность материала и
снизить затраты, связанные с транспортированием пылевидных грузов в химической,
огнеупорной и других отраслях промышленности.
Рисунок 2.7 - Трубчатый конвейер
На рис. 2.7, показано поперечное сечение рабочей ветви
трубчатого конвейера, имеющего специальную ленту с продольными выступами,
взаимодействующими с роликами при ее смыкании в трубу.
Для уменьшения сопротивления движению ленты предложены
схемы конвейеров, у которых поддерживающим элементом для участка ленты,
заключенного в трубу, служит воздушная прослойка. В некоторых конструктивных
схемах крутонаклонных конвейеров трубчатая форма придается ленте подвижными
роликоопорами, обеспечивающими обжатие ленты и надежную работу конвейера при
его переменной загрузке.
2.8 ПЛАСТИНЧАТЫЕ КОНВЕЙЕРЫ
Пластинчатый конвейер служит для непрерывного
транспортирования насыпных и штучных грузов по трассе, расположенной в
вертикальной плоскости или (при специальном исполнении) в пространстве. Тяговым
элементом конвейера является одна или две цепи, грузонесущим - жесткий
металлический или, реже, деревянный, пластмассовый, резинотканевый настил
(полотно), состоящий из отдельных пластин (поэтому конвейер называется
пластинчатым), движущийся по направляющим путям. Действие динамических нагрузок
на тяговые цепи ограничивает скорость их движения обычно до 1,25 м/с, однако
при использовании цепи конвейер может иметь увеличенную длину при больших
линейных нагрузках как с одним, так и с несколькими приводами; крутые перегибы
по сравнительно небольшим радиусам с повышенным углом наклона.
По конструкции настила, тяговой цепи и расположению
трассы различают пластинчатые вертикально замкнутые конвейеры общего назначения
(основной тип) и изгибающиеся конвейеры с пространственной трассой. К
специальным пластинчатым конвейерам относят разливочные машины для транспортирования
и охлаждения жидкого металла, эскалаторы, пассажирские конвейеры и конвейеры с
настилом сложного профиля.
3. ТЯГОВЫЙ РАСЧЕТ РЫХЛИТЕЛЯ
Тяговый расчет дорожно-строительных машин, в том числе и рыхли гелей,
включает в себя три этапа: определение отдельных сопротивлений
, действующих на машину; определение
суммарной силы сопротивления
и определение потребной мощности двигателя базовой машины
и условий движения при работе в
заданных условиях.
Сопротивление грунта рыхлению
определяется по формуле:
где:
- удельное сопротивление грунта рыхлению, Н/м2 (табл.3);
- заданная глубина рыхления, м (задание);
- коэффициент неполноты рыхления (
=0,75);
- ширина полосы рыхления, м.
Ширина полосы рыхления рассчитывается по формуле:
где:
- коэффициент перекрытия (
=0,75); - ширина наконечника,
принимается конструктивно, м (табл.3.1);
- эффективная глубина рыхления, м (hэф=hp);
θ - угол скола (15); - шаг зубьев, м,
принимается конструктивно или из задания;- число зубьев.
Сопротивление перемещению трактора с рыхлителем
определяется по формуле:
где:
- вес машины вес машины, Н, определяется по формуле (3.4);
f - удельное сопротивление перемещению машины с рыхлителем; для
гусеничных машин f=0,12;
- сопротивление от уклона местности (из задания).
Вес машины определяется по формуле:
где:
- соответственно вес базовой машины, рыхлительного и
бульдозерного оборудования Н. (задание и техническая характеристика базовой
машины).
Сопротивление перемещению призмы волочения перед стойками рыхлительной
навески
определяется по формуле:

где:
- вес призмы волочения, Н (формула 6);
- коэффициент трения грунта по грунту;
=О,7.
Вес призмы волочения перед стойками рыхлителя определяется по формуле:
где: Н - высота призмы, м, принимается равной параметру к (табл.2);
коэффициент призмы, учитывающий вид грунта и соотношение Н/b.
Его значение лежит в пределах 1. Меньшее значение для глинистых грунтов,
большее - для песчаных;
n - число зубьев навески;
- объемный вес грунта в плотном теле, Н/мЗ, (табл.3);
b - ширина стойки зуба, м, принимается конструктивно.
Сопротивление трактора на повороте
по рекомендациям принимается равным
для гусеничных машин.
Складывая отдельные сопротивления, возникающие при работе трактора с
рыхлительной навеской, необходимо определить суммарное сопротивление:
3.2 ОПРЕДЕЛЕНИЕ ПОТРЕБНОЙ МОЩНОСТИ ДВИГАТЕЛЯ
Определение потребной мощности двигателя необходимо для сопоставления
номинальной мощности двигателя базовой машины с требуемой и степенью ее
реализации в заданных условиях работы рыхлителя.
По величине суммарного сопротивления определяется потребная мощность
двигателя
:
где:
- рабочая скорость машины, км/ч, определяется из
характеристики базовой машины (1-2 передача) и рекомендуемой рабочей скорости
для рыхлителя;
ηтр, ηдв- соответственно. КПД силовой
передачи и КПД движителя.
Для определения соответствия мощности базовой машины
и мощности, требуемой для выполнения
работы в заданных условиях, необходимо определить коэффициент использования
мощности базовой машины
:
где:
- мощность двигателя базовой, машины, определяемая
характеристиками машины.
По полученным значениям ким необходимо сделать вывод о реализации
мощности двигателя базовой машины: достаточна или нет мощность, с каким запасом
она используется в заданных условиях. В случае, если
необходимо изменить параметры
глубины рыхления
и рабочей скорости
и произвести новый расчет значений
, ΣW и значения потребной мощности
двигателя и
.
3.3 ОПРЕДЕЛЕНИЕ УСЛОВИЙ ДВИЖЕНИЯ БАЗОВОЙ МАШИНЫ С РЫХЛИТЕЛЕМ
В рабочих условиях возможности движения базовой машины с рабочим
оборудованием на той или иной передаче (выбор передачи зависит от рекомендуемой
скорости движения для применяемого рабочего оборудования) ограничиваются
мощностью двигателя и силами сцепления (возможностью машины реализовывать силу
тяги на ведущих органах без буксования).
Для определения условий движения машины с рыхлительной навеской в
заданном режиме необходимо произвести расчет силы тяги по двигателю
, силы тяги по сцеплению
и сравнить полученные значения с
суммарной силой сопротивления. В зависимости от полученных результатов делается
вывод об условии движения машины.
Сила тяги по двигателю определяется по формуле:
где:
- коэффициент буксования, принимается для гусеничных машин
(0,07).
Сила тяги по сцеплению зависит от типа и состояния грунта, типа
движителя, которые определяют величину коэффициента сцепления
, а также от сцепного веса машины
Параметр
определяется в зависимости от типа
движителя.
; (3.11)
где:
- коэффициент массы по сцеплению для гусеничных (0,95).
= (H)
Сила тяги по сцеплению определяется по формуле:
где:
коэффициент сцепления, для гусеничных (0,85).
Для нормальной работы рыхлителя необходимо соблюдение
следующего условия:
(3.13)
Анализ зависимости (3.13) показывает, что движение машины в заданных
условиях работы возможно при следующих условиях:
суммарная сила сопротивления ΣW не превосходит по своей величине
значение, силы тяги
, которую развивает машина на рекомендованной передаче;
сила тяги
. подводимая к ведущим органам машины, не превышает силы тяги
по сцеплению
.
В зависимости от полученного значения выражения (3.13) необходимо сделать
вывод о реализации тяговых возможностей базовой машины.
Высота зуба устанавливается:
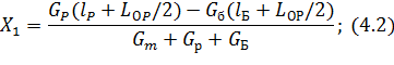
(4.1)
где: а - конструктивный размер (рис 1): к - расстояние от низшей точки
рамы до поверхности грунта (табл.2).
Положение центра тяжести машины с оборудованием (рис.4.1) определяется из
условия, что сила тяжести трактора
приложена по середине опорной линии
. Смешение центра тяжести при
навешивании рабочего оборудования равно:
где
- смещение центра тяжести;
- расстояние от оси задней звездочки до центра тяжести
рыхлительного оборудования. м; принимается как 0,8· d2 (рис.4.1);
- расстояние от оси передней звездочки до центра тяжести
бульдозерного оборудования, м. принимается как 0.8·d3.
Если
отрицательное, то центр тяжести смещается в сторону
бульдозерного оборудования; если
положительное, то центр тяжести
смещается в сторону рыхлительного оборудования. Полученное значение
должно находиться в пределах допускаемого
значения 1/6
для обеспечения устойчивости машины в транспортном положении.
В случае если полученный параметр лежит вне допустимых пределов, необходимо
изменить соответствующие конструктивные параметры.
5. ВЫБОР РАСЧЕТНЫХ ПОЛОЖЕНИЙ И ОПРЕДЕЛЕНИЕ СИЛ, ДЕЙСТВУЮЩИХ
НА РЫХЛИТЕЛЬ
В процессе работы на дорожно-строительную машину действуют два вида сил:
активные силы (сила тяжести машины и рабочего оборудования, сила тяги машины,
силы, приложенные к штоку исполнительного гидроцилиндра и.т.п.) и реактивные
силы, которые, в свою очередь, подразделяются на внешние (силы взаимодействия
рабочих органов и базовой машины с грунтом) и внутренние (силы, действующие в
узлах связи отдельных элементов рабочего органа и базовой машины).
При расчете сил, действующих на дорожно-строительную машину, в том числе
и на рыхлитель, важно выбрать такое положение, при котором значения реактивных
сил в расчетном узле будет максимальным. При расчете рыхлителя принято
производить расчет в грех положениях: начало заглубления, рыхление и
выглубление.
Координата центра давления, точки приложения равнодействующей нормальных
сил реакции грунта определяется для случая, когда машина движется по
горизонтальной поверхности с максимально возможным заглублением зуба, внезапный
наезд на камень одним зубом, гидроцилиндры привода рыхлителя заперты. Расчетная
схема представлена на рис.5.1.
Вертикальная составляющая
силы сопротивления рыхления
имеет максимальное значение и
определяется тяговыми возможностями базовой машины с учетом динамического
характера приложения нагрузки:
где:
- коэффициент использования тягового усилия, принимается
(0,8);
- коэффициент динамичности, (2,0).
Вертикальная составляющая силы сопротивления рыхлению
может быть определена из расчетной
схемы (рис.2.) по формуле:
, (5.2)
где:
- горизонтальная составляющая реакции грунта без учета
коэффициента динамичности;
v - угол наклона силы к поверхности рыхления, принимается = 20°;
- коэффициент динамичности в вертикальном направлении, (1,6).
.
Горизонтальная составляющая реакции грунта находится по формуле:
(5.3)
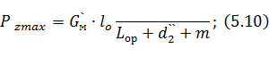
Расчетная схема при выглублении зуба показана на рис.5.2 . Вертикальная
составляющая реакции грунта
, при выглублении определяется из условия опрокидывании
относительно, точки А:
где:
- масса машины с учетом бульдозерного оборудования, Н;
- расстояние от центра тяжести рыхлителя до оси задней
звездочки, м,
Определяется с учетом смещения центра тяжести по линии опорной
поверхности:
(5.6)
Во время рыхления грунта имеет место возникновение боковой составляющей
сил сопротивления рыхлению
, которая определяется по формуле:
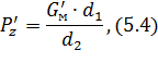
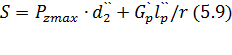
Для выбора гидроцилиндров необходимо найти максимальное
значение усилия S на штоке гидроцилиндра. Расчетное положение представлено на
рис.4 . В этом положении предусматривается начало заглубления зубьев в грунт,
когда усилие S настолько велико, что возможно вывешивание машины относительно
точки В. Машина находится в статическом состоянии. Сила S определяется из
уравнения равновесия:
откуда:
Значения
,
, r, m принимаются по параметрам прототипов навесок и базовых
машин и из эскизной компоновки рыхлителя, которая производится параллельно с
расчетом сил, действующих на машину.
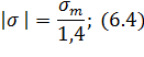
6. РАСЧЕТ ЗУБА РЫХЛИТЕЛЬНОЙ НАВЕСКИ НА ПРОЧНОСТЬ
Расчет зуба на прочность предусматривает установление его размеров в
поперечном сечении. В данном расчете принимаются опасные сечения 1-1 и 2-2.
Изгибающий момент в сечении I - I рассчитывается, но формуле:
Момент сопротивления сечения:
Геометрические размеры принимаются конструктивно в процессе предыдущих
расчетов. Нормальное напряжение от изгиба при принятой характеристике сечения:
Материал стойки зуба выбирается из (табл.) Допускаемое напряжение равно:
Материал и геометрические параметры выбраны верно, если нормальное
напряжение в расчетном сечении меньше допускаемого. В противном случае
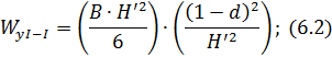
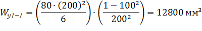
необходимо изменить геометрию стойки или выбрать другую марку стали. В сечении II-II необходимо принять размеры B, Н, и угол a между
горизонтально плоскостью и осью наконечника (при γ=40°
α=22) WyII-II=BH2/6, площадь сечения F.
В сечении II-II действуют изгибающий момент в плоскости XOZ и сжимающая сила
NII-II.
Изгибающий момент в сечении определяется по формуле:
Сжимающая сила:
Общее напряжение в сечении II-II составит:

Если полученное значение общего напряжения в сечении меньше пли равно
допускаемого (30), то размеры сечения подобраны верно.
7. РАСЧЕТ ПРОИЗВОДИТЕЛЬНОСТИ РЫХЛИТЕЛИТЕЛЯ
Эксплуатационную производительность рыхлителя определяют по формуле:
где
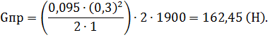
- скорость рабочего хода, км/ч;
- глубина рыхления, м;
- длина рабочего хода в одну сторону, м;
- коэффициент использования рабочего времени;
- время одного разворота в конце участка, с учетом
выглубления зубьев;
- ширина захвата при рыхлении.
Ширина захвата при рыхлении определяется по формуле:
где
- коэффициент перекрытия;
- ширина зуба; Z - количество зубьев;
- угол скола по вертикали;
S -
шаг зубьев.
Рыхлитель возвращается задним ходом к началу разрыхляемого участка и
применяется при невозможности разворота машины.
Эксплуатационная производительность навесного рыхлителя:
где V=B
-объем разрыхленного грунта за цикл,
м3 ;
В - средняя ширина полосы рыхления за один проход при числе зубьев больше
одного или между двумя проходами при рыхлении одним зубом, м;
- коэффициент использования рыхлителя по времени (0,8);
- эффективная глубина рыхления (0,5);
L -
длина участка.
Продолжительность цикла при челночной схеме работы:
где
- средние скорости движения трактора при работе, м/с
,
;
- время на переключение передач, опускания рыхлителя,
разворот трактора в конце участка (
).
ПРИЛОЖЕНИЕ
Техническая характеристика бульдозера-рыхлителя ДП-22С на базе тракторов
тягового класса 15 и тяжелых
|
Показатель
|
Бульдозер
|
Рыхлительное оборудование
|
Базовый трактор
|
Тяговый клас
|
Мощность , кВт
|
Число зубьев рыхлителя
|
Расстояние между зубьями
рыхлителя, мм
|
Ширина полосы рыхления, мм
|
Наибольшее заглубление
зубьев, мм
|
Наибольшая высота подъема
зубьев, мм
|
Габаритные размеры, мм
ДхШхВ
|
Эксплуатационная масса, кг
|
База
|
Габаритные размеры, мм
ДхШхВ
|
Масса, кг:
|
|
|
|
|
|
|
|
|
|
|
|
|
|
|
|
Эксплуатационная
|
Рыхлительного оборудования
|
Бульдозерного оборудования
|
|
ДП-22С
|
ДЗ=35С
|
ДП-22С
|
Т-180КС
|
15
|
132
|
1-3
|
800
|
86-1080
|
500
|
600
|
4295х2700х2800
|
15850
|
2319
|
8350х3640х2800
|
18380
|
3200
|
2900
|
Конструктивные параметры рыхлительной навески
Наибольшее опускание
зубьев, hmaх, мм
|
Ширина наконечника зуба, b(В),
мм
|
Основной угол рыхления, град
|
Наименьшее расстояние от
низшей точки рамы до опорной поверхности, k, мм
|
Расстояние от наконечника
зуба до оси задней звездочки, d2,мм
|
Расстояние от наконечника
зуба до оси направляющего кодлеса, d3,мм
|
Задний угол въезда при
транспортном положении рабочего органа, град.
|
|
15
|
500-600
|
95
|
45
|
300
|
900
|
900-1300
|
20
|