К вопросу о возможности безопорного движения

  • Вид работы:
    Статья
  • Предмет:
    Физика
  • Язык:
    Русский
    ,
    Формат файла:
    MS Word
    224,86 Кб
  • Опубликовано:
    2016-07-05
Вы можете узнать стоимость помощи в написании студенческой работы.
Помощь в написании работы, которую точно примут!

К вопросу о возможности безопорного движения















К вопросу о возможности безопорного движения


О.Ф. Меньших

Где находится центр инерции любой замкнутой механической системы (ЗМС) в инерциальной системе отсчёта (ИСО), не имеет никакого значения с позиции закона сохранения импульса силы, и положение центра инерции в ИСО может быть любым. С другой стороны, традиционная физика утверждает, что на основании закона сохранения импульса невозможно изменить положение центра инерции ЗМС лишь под действием внутренних сил. Эти два постулата содержат в себе некоторое противоречие. Последнее указанное утверждение конечно, верно, но при условии, что такая сила, действующая на ЗМС изнутри неё, вызывает равную по величине и противоположно направленную силу противодействия, так что эти силы уравновешивают друг друга, если они действуют ОДНОВРЕМЕННО, и такая система не может изменить положение своего центра инерции в ИСО. Это к тому же прямо согласуется с третьим законом Ньютона.

Однако представляется неверным утверждать, что ЗМС не может изменить положение своего центра инерции под действием внутренних сил, не нарушая закон сохранения импульса, если эти силы - действия и противодействия - приложены изнутри к такой системе в РАЗНОЕ ВРЕМЯ, например, внутренняя сила действия возникает РАНЬШЕ внутренней силы противодействия. Такая ситуация случилась вблизи берегов Японии, когда мощная ударная волна [1-6] обрушилась на Фукусиму значительно раньше, чем она дошла до берегов Америки через Тихий океан, и это привело к незначительному изменению темпа вращения Земли, которую можно было рассматривать как ЗМС.

В данном случае нарушился закон сохранения момента импульса под воздействием неуравновешенных внутренних моментов сил действия и противодействия, которые были приложены изнутри ЗМС, но в разное время. Само же изменение момента импульса, вызвавшее изменение темпа вращения Земли, было обусловлено потерями ударной волны при её дальнем распространении до американского континента. Приборы это изменение угловой скорости вращения Земли точно зафиксировали, что строго доказывает наличие ограничений в применении также и закона сохранения момента импульса для ЗМС.

Аналогично это относится и к ограничению в применении закона сохранения импульса для ЗМС, что демонстрируется следующим примером. Пусть полый эллипсоид заполнен не проводящей электрический ток жидкостью. В один из фокусов такого полого эллипсоида со значительным его эксцентриситетом, то есть при достаточно большом расстоянии между его двумя фокусами, установлен закреплённый изолированно от корпуса этого эллипсоида электрический разрядник, например, в виде двух проводящих шаров, к которым подключён генератор высоковольтных импульсов с выходным звеном на базе непрерывно заряжаемого конденсатора ёмкостью С через резистор с активным сопротивлением R от высоковольтного источника с постоянным напряжением U. Заряд конденсатора происходит по формуле

u(t) = U [1 - exp (- t / RC)].

Будем полагать, что электрический пробой в разряднике происходит при достижении между шарами разрядника напряжения U* < U, то есть через интервал времени ΔТ от начала заряда. Тогда интервал ΔТ находится из выражения

ΔТ = R C│ln (1- U* / U)│.

При определённой комбинации этих параметров легко можно задать требуемую частоту искрообразования в разряднике. При этом энергия разряда находится из выражения W = C U*2 / 2, и при этом возникает мощная ударная волна, исходящая от центра разрядника и распространяющаяся квазисферически, притом с одинаковой интенсивностью как в направлении ближней от данного фокуса эллипсоида, так и к его дальней стенке. При этом очень важно отметить, что такая квазисферичность распространения ударной волны не оказывает никакого силового действия на корпус полого эллипсоида в момент зарождения ударной волны. То есть в момент разряда при t = 0, повторяющегося через интервалы ΔТ, то есть изнутри такого эллипсоида никакая сила на него не действует при возникновении ударной волны.

Задаваясь расстоянием между фокусами полого эллипсоида, равном 2 с (см рис.1), и скоростью распространения ударной волны в используемой жидкости V (скоростью звука в данной однородной жидкости), легко понять, что наибольшее различие во времени действия ударной волны на конечные точки противоположных стенок эллипсоида (вдоль его большой оси), расположенные спереди и сзади от вертикального сечения эллипсоида, ортогонального его большой оси и проходящего через электроразрядник (то есть фокус эллипсоида), будет приблизительно равно

ΔТ* = 2 с / V.

Если длительность импульсного разряда принять равной ΔtИ, то величину интервала между смежными импульсами разряда в предельном случае можно выбрать по условию ΔТ = ΔТ* + ΔtИ. Длительность импульса разряда оценивается как

ΔtИ = 2,2 rp C,

где rp - среднее значение сопротивления разрядного промежутка в разряднике в процессе разряда. Величина полезной мощности, расходуемой на возникновение периодически следующих ударных волн, равна

Р = W / ΔT,

причём половина мощности Р затрачивается на ударно-волновой процесс, распространяющийся к передней части корпуса эллипсоида, а другая половина - к его задней части относительно указанного вертикального сечения, проходящего через фокус эллипсоида.

Первой частью этой мощности создаётся периодически действующая с частотой F = 1 / ΔТ сила, движущая ЗМС в направлении действия этой силы, и при этом система массой m перемещается в направлении, совпадающем с большой осью эллипсоида, а вторая часть указанной мощности реализует остановки ЗМС, и при этом интегрально соблюдается закон сохранения импульса. Строго говоря, это утверждение верно только для случая, когда не учитываются малые потери движущейся ударной волны в жидкости. На самом деле такие потери, безусловно, имеют место, и их величина определяется вязким трением для применяемой жидкости. При этом энергия этих потерь на трение переходит по закону сохранения энергии в выделяющееся в жидкости тепло, и вся система при этом нагревается. Пондеромоторные силы, возникающие при теплоизлучении ЗМС во внешнее пространство, не создают какого-либо изменения импульса в данной системе, поскольку их равнодействующая равна нулю при условии равномерного распределения по корпусу эллипсоида температуры при его движении. .

Согласно закона сохранения энергии для элементарного скачка такой ЗМС можно записать выражение m v12 / 2 = Ф(η) β W / 2, где m - масса ЗМС, v1 - конечная скорость движения ЗМС вдоль большой оси эллипсоида от действия той части энергии ударной волны, которая создаёт ускоренное движение ЗМС, Ф(η) - безразмерная функция потерь энергии ударной волны в заданной жидкой среде, η - экстинкция в данной жидкой среде, обусловленная, главным образом, вязким трением молекул жидкости, и β = cos γ ≤ 1 - некоторый безразмерный коэффициент, учитывающий косое действие сил давления от ударной волны на стенки эллипсоида по отношению к его большой оси с отсчётом этого угла против часовой стрелки (об угле γ будет указано ниже).

Рассмотрим значение величины Ф(η). Известно, что для заданного значения расстояния 2с между фокусами эллипсоида можно провести бесчисленное множество таких фигур, Поэтому следует задаться длиной 2а большой оси. Тогда расстояние между фокусом, где установлен разрядник, и ближней частью передней стенки эллипсоида находится из равенства ε1 = а - с, а расстояние между этим же фокусом и дальней точкой задней стенки эллипсоида равно ε2 = а + с. Отношение этих расстояний ε2 / ε1 = (а + с) / / (а - с) оказывается достаточно большим при эксцентриситете е = с / а < 1 эллипсоида, близким к единице. Д

Для оценки функции потерь Ф(η) рассмотрим применительно к эллипсу (рис. 1), как находится длина вектора s (γ), проведённого из рассматриваемого фокуса эллипса к любой произвольной точке М(х,у), лежащей на этом эллипсе. Начало декартовой системы координат при этом совмещено с центром симметрии эллипса, то есть в точке пересечения его большой 2а и малой 2b осей, совпадающих соответственно с координатными осями х и у. Как известно, параметрическое задание эллипса имеет вид: х = а cos α и у = b sin α, где а и b - соответственно его большая и малая полуоси с коэффициентом сжатия эллипса k = b / a < 1. Тогда модуль вектора

s (γ) = [(c - x)2 + y2]1/2 = [(c - a cos α)2 + b2 sin2 α]1/2.

Связь между углами α и γ находится из системы двух независимых уравнений у = b sin α , а также

у = (c - a cos α) tg (π - γ) = (c - a cos α) tg γ,

откуда

γ = arctg [b sin α / (c - a cos α)].

Рис. 1

Так при α = 0 угол γ = 0, и модуль вектора s (0) = a - c. При γ = π / 2 вектор s(π / 2) лежит в вертикальном сечении, разделяющим эллипс (и эллипсоид) на его переднюю и заднюю части, а его модуль задан выражением s (π / 2) = a sin [arcos (c / a)] = (a2 - c2) 1/2. Очевидно, что при γ = π модуль вектора s (π) = а + с. Понятно, что разница s (π ) - s (0) = = 2с, а их отношение s (π) / s (0) = (а + с) / (а - с) > > 1. Для γ = 0 имеем

s (π / 2 ) / s (0) = = (а2 - с 2)1/2 / (а - с) > 1.

В общем случае длина вектора s (γ) в диапазоне углов 0 ≤ γ ≤ π вычисляется достаточно сложным образом как функция исходных параметров а, b и c, определяющих эксцентриситет и коэффициент сжатия эллипса, и угла γ. Это даётся параметрическим описанием эллипса годографом вектора s (γ), исходящего из фокуса эллипса при повороте этого вектора по углу γ в диапазоне 0 ≤ γ ≤ π, с последующим зеркальным отображением этой кривой для диапазона углов π ≤ γ ≤ 2π. То же относится и к эллипсоиду - телу вращения эллипса относительно его большой оси 2а в диапазоне угла вращения ε* от нуля до 2 π.

Зная потери энергии ударной волны при её распространении в вязкой жидкости с величиной экстинкции η, которые линейно растут с ростом модуля вектора s (γ), и путём интегрирования их раздельно для передней части эллипсоида, то есть в диапазоне углов 0 ≤ γ ≤ π / 2, а также для задней его части, то есть в диапазоне углов π / 2 ≤ γ ≤ π, можно оценить заметное различие величин этих потерь.

Энергия dW(γ)О ударной волны, сосредоточенная в некотором дифференциальном телесном угле dψ, центрально ориентированном по углу γ, и исходящая при разряде из указанного фокуса эллипсоида, определяется некоторой функцией распределения G(γ) плотности потока энергии по углу с максимумом при γ = 0 или γ = π - соответственно для прямой или обратной части ударной волны в вязкой жидкости, заполняющей данный эллипсоид. Так как полная энергия разряда и, следовательно, возникающей ударной волны равна W, то для дифференциального её значения имеем dW(γ)О = G(γ) W dψ.

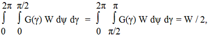
Нетрудно понять, что пара двукратных интегралов:


где 0 ≤ ε* ≤ 2π, физически обосновывает собой исходное утверждение об отсутствии силовой реакции на корпус эллипсоида со стороны закреплённого на нём разрядника (то есть силы действия и противодействия в разряднике взаимно уравновешивают друг друга, действуя при этом ОДНОВРЕМЕННО, согласно третьему закону Ньютона). 

Таким образом, искомая функция, определяющая потери ударной волны в жидкой среде эллипсоида, имеет вид:

Ф(η) = 1 - η*s(γ) = 1 - [(c - a cos α)2 + b2 sin2 α]1/2

при учёте известной связи между углами γ и α, а также заданных значений величин а, b и с.

При распространении ударной волны в каждом из множества её телесных углов dψ дифференциал энергии dW(γ), доходящей до соответствующего участка стенки корпуса эллипсоида, оказывается меньшим исходного значение dW(γ)О за счёт вязких потерь на пути длиной s(γ), что можно записать в виде

dW(γ) = [1 - η s(γ)] dW(γ)О.

Эта порция энергии отвечает действующей на данную дифференциальную площадку корпуса силе в направлении угла γ, в результате чего в направлениях, коллинеарных большой оси 2а эллипсоида, возникают дифференциалы сил

dF(γ) = ξ dW(γ) cos γ,

где ξ - постоянный множитель размерностью (ньютон / Джоуль) = ( 1 / метр), и эти силы - суть проекции действующих на данные дифференциальные участки корпуса эллипсоида на его ось 2а.

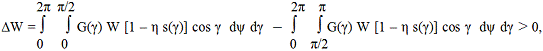
Тогда легко понять, что разность двукратных интегралов оказывается больше нуля:


Проекции сил ξ dW(γ), на малую ось эллипсоида взаимно уравновешивают друг друга и не рассматриваются в качестве движущих или тормозящих реакций рассматриваемой ЗМС.

Разностная энергия ΔW превращается в тепловую по закону сохранения энергии и может излучаться в окружающее пространство, не создавая силовой реакции на ЗМС, поскольку алгебраическая сумма всех пондеромоторных сил равна нулю, как указывалось выше, при равномерном распределении температуры по корпусу эллипсоида за счёт имеющегося процесса теплопроводности. Неравенство ΔW > 0 просто объясняется несимметрией расположения импульсного разрядника в эллипсоиде - в его фокусе, отстоящем от центра симметрии эллипсоида на расстоянии с < а.

Учитывая, что функция распределения плотности потока энергии в ударной волне по углу её распространения γ не является П-образной, то есть когда G(γ) = var (γ) и имеет очевидный максимум при γ = 0 или при γ = π, а также что импульс разряда ΔtИ, которым возбуждается ударная волна квазисферической структуры, является существенно более коротким по сравнению с задержкой ΔТ* = 2 с / V, что всегда выполнимо практически, можно утверждать, что силовое действие ударной волны на переднюю часть эллипсоида, то есть в диапазоне углов 0 ≤ γ ≤ π / 2, движущее ЗМС вперёд по оси х, заканчивается несколько раньше, чем начинается силовое действие ударной волны на заднюю часть этой конструкции, то есть в диапазоне углов π / 2 ≤ γ ≤ π, тормозящую ЗМС вдоль этой же оси х и стремящееся эту систему остановить в силу закона сохранения импульса в его интегральном представлении, то есть с учётом РАЗНОВРЕМЕННОСТИ действия на ЗМС внутренних сил действия F1(t) и противодействия -F2(t).

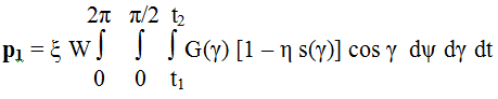
Полагая при этом, что сила - F2(t) торможения ЗМС начинается непосредственно после завершения силы её ускорения F1(t), что обеспечивается соответствующим выбором эллипсоида, в частности, выбором его параметра с, можно рассчитать раздельно результирующие импульсы действия р1 на ЗМС, приводящие её в ускоренное движение вдоль оси х, и импульсы противодействия р2, которыми ЗМС тормозится (до полной остановки, если бы экстинкция жидкой среды была бы равна нулю, т.е. при η = 0, что отвечало бы соблюдению закона сохранения импульса в его интегральной интерпретации).

Соответствующие значения указанных импульсов находятся из выражений:


для 0 ≤ γ ≤ π / 2 , при t1 = s(0) / V и при t2 = [s(π / 2) / V] + ΔtИ,


Под действием импульса р1 ЗМС массой m будет двигаться ускоренно и получит конечную скорость движения в конце действия этого импульса, то есть в момент времени t2, равную v1 = р1 / m в соответствии со вторым законом Ньютона. При этом центр инерции ЗМС переместится вдоль оси х на некоторое расстояние ΔХ > 0. И это перемещение происходит под действием внутренней движущей силы, пока ещё не уравновешенной силой противодействия в связи с её запаздыванием во времени.

В соответствии с первым законом Ньютона ЗМС стремится сохранить своё состояние движения со скоростью v1 по инерции, однако этому мешает возникающая сила торможения с полным импульсом р2 противоположного знака. Если бы модули импульсов р1 и р2 были бы одинаковы по их величинам (при η = 0), то ЗМС перемещалась бы в пространстве скачкообразно, то есть с наличием полных остановок после скачков. При частоте следования импульсов разряда F = 1 / ΔT такая ЗМС перемещалась бы вдоль оси х поступательно со средней скоростью

VСР.ДВ. = F ΔХ.

При достаточно высокой частоте F следования импульсов разряда такое движение визуально выглядело бы практически как «равномерное» во времени.

Однако, поскольку импульсы силы р1 и р2 не одинаковы при η > 0 с разностью их Δр = р1 - р2 > 0, то, кроме скачкообразного характера поступательного движения ЗМС в ИСО будет иметь место прирастание скорости такого движения от каждого импульса разряда на величину Δv=Δр/m из их периодической последовательности с интервалом времени ΔT, поэтому отношение Δv/ΔT можно, в первом приближении, рассматривать как величину УСКОРЕНИЯ системы под действием внутренних сил с участием вязкого трения периодически распространяющейся ударной волны в жидкой среде эллипсоида. Так что можно изменять характер движения ЗМС путём включения и выключения работы разрядника, либо изменять величину вязкого трения, например, изменением температуры заполняющей эллипсоид негорючей и электронепроводящей жидкости.

Путём разворотов такого движителя по азимуту и углу места можно осуществлять маневрирование ЗМС в ИСО, находясь, например, в космосе в состоянии невесомости и, что важно, безо всякой реактивной тяги, на что затрачивается вполне ограниченный запас топлива, конечно, несовместимый с длительными космическими путешествиями. Однако, необходимость соблюдения закона сохранения энергии требует восполнения её запасов на космическом корабле и её пополнение предполагается использованием солнечной или иной звёздной радиации.

В отсутствие сколько-нибудь ощутимого трения в космической среде экономия энергии осуществляется путём разгона ЗМС в нужном направлении с последующим движением по инерции, когда работа движителя остановлена. При этом можно по желанию выбирать скорость движения согласно формуле

v(t) = (q р1 + k Δр) / m),

где q - коэффициент усреднения начальной скорости скачка ЗМС от первого импульса разряда, определяемый распределением плотности энергии в ударной волне во времени при экспоненциальном разряде конденсатора С и практически находимый как

q = ΔХ / v1 ΔT,

k - число разрядных импульсов, использованных для разгона ЗМС до требуемой скорости, в частности, k = Ent [t / ΔT] - целое число.

Недостатком такого безопорного движителя следует считать его относительно малый коэффициент полезного действия, как правило, не превосходящий 50%, что, однако, вполне окупается возможностью движения по инерции в космических условиях, то есть перемещения ЗМС в пространстве без затраты энергии. Другим недостатком можно считать невозможность очень быстрого торможения ЗМС реверсом движителя (его разворотом на 180 градусов), при разгоне системы до высоких скоростей. При наземном использовании этот недостаток легко обходится торможением при наличии сцепления с внешней средой (при этом система перестаёт быть замкнутой).

На основе такого рода движителей возможна левитация, если внутренние силы будут равны и противоположно направлены силе гравитации, а устойчивость такой «летающей тарелки» обеспечивается симметричным расположением нескольких (как минимум, трёх) таких движителей относительно самих себя и центра инерции системы.

Рассмотрим пример реализации рассматриваемого движителя, представленного на рис.2 и включающего следующие элементы:

импульс волна безопорный движитель

импульс волна безопорный движитель

Рис. 2 1 - корпус ЗМС в форме полого эллипсоида с общей внутренней длиной 2а, 2 - электрический разрядник, центр разрядного промежутка которого расположен в фокусе эллипсоида 1 на расстоянии (а - c) от фронтального конца эллипсоида 1, 3 - выводы электрического разрядника, изолированные от корпуса 1, 4 - внутренняя жидкостная электронепроводящая и негорючая (или газовая под большим давлением) среда, заполняющая полый эллипсоид, 5 - высоковольтный генератор периодической последовательности мощных коротких импульсов с высокой скважностью и с частотой повторения 1 / ΔТ ≈ V / 2 a.

Пусть конденсатор разрядного устройства С = 2 мкФ. Напряжение пробоя в разряднике равно U* = 100 кВ, расстояние между фокусами эллипсоида 1 выбрано как 2 с = 1 м. Тогда энергия разряда равна W = 10 кДж. Пусть средняя длительность импульса разряда равна 20…50 мкс. Если скорость распространения ударной волны в выбранной жидкости V = 1000 м/c, то период следования импульсов разряда можно принять равным 1 мс. При этом на работу движителя расходуется полезная электрическая мощность Р = = W / ΔТ = 10 МВт, но только 5 МВт расходуется на скачкообразное, хотя внешне практически плавное движение ЗМС. Если масса системы вместе с движителем составляет m = 1000 кг, то по закону сохранения энергии можно записать, что m v12 / 2 = χ W/ 2, где χ < 1 - безразмерный множитель, учитывающий фактор Ф(η) cos γ.

Пусть величина χ = = 0,75, тогда конечная скорость скачка системы вычисляется как v1 = χ W / m = 0,75 * 10 4/ / 10 3 = 7,5 м/с, то есть среднюю скорость скачкообразного движения ЗМС без учёта её ускорения (идеализируя, что η = 0) можно полагать порядка 4…5 м/с или всего лишь 14,4 … 18 км/час (скорость велосипедиста). Однако, если полагать, что величина потерь ударной волны в вязкой жидкости такова, что Δр = р1 - р2 = 10 кг*м/с, то величина приращения скорости ЗМС от каждого импульса разряда составит Δv = Δр / m = 0,01 м/с , то есть ускорение системы оказывается равным j = Δv / ΔТ = 0,01 / 0,001 = 10 м / с2, что совсем не плохо.

Такая ЗМС достигнет в космосе скорости 100 км/час всего за 2,78 секунды, что, например, теоретически невозможно достичь на любом сверхмощном автомобиле, конечно, без реактивной тяги, из-за пробуксовки колёс. Установка такого движителя на тележку с рулевым управлением и непременно с хорошо работающей тормозной системой позволит обогнать любой Брабус или Ягуар с Феррари, вместе взятыми!!! А проходимость такого автомобиля находится вне всяких похвал!!! Конечно, это - шутка для применения в наземном транспортном средстве, так как трудно обеспечить напряжение в разряде 100 кВ при среднем токе заряда накопительного конденсатора в 100 А. Откуда взять такой источник энергии в 10 МВт?...

Для сравнения - мощность одного электрогидроагрегата в мощных ГЭС имеет порядок от 100 до 500 МВт. Кроме того, стенки эллипсоида должны выдерживать чрезвычайно высокое давление, так как импульс разряда длительностью 50 мкс при значении р1 = 5000 кг*м/с создаёт силу тяги порядка 100 Мн ≈ 10 килотонн, и такое устройство, по всей видимости, не реально практически осуществить.

Рассмотрим другой практически осуществимый пример. Пусть в схеме используем импульсный конденсатор ёмкостью С = 100 мкФ с пробивным разрядным напряжением в разряднике U* = 5 кВ с частотой его подзаряда от сети 50 Гц через повышающий трансформатор и двухполупериодный выпрямитель (на мосту Греца), так что частота следования разрядных импульсов составляет 100 Гц (эквивалентно ΔТ = 10 мс). Энергия импульса разряда при этом составляет W = 1250 Дж и потребляемая от сети мощность Р = = 125 кВт, из которой на тягу расходуется около 40 кВт (порядка 60 л.с.). Пусть 2с = 2 м, 2а = 2,2 м, тогда s(π/2) = 0,46 м и длительность разрядного импульса около 450 мкс. При массе системы m = 1000 кг значение v1 = χ W / m = 0,75*1,25.103/1000 = 0,94 м/с.

Пусть средняя скорость такого движения равна половине от максимальной, тогда импульс р1 = 1000*0,47 = 470 кг*м/с, и импульсная сила тяги при этом будет равен 470 / 450.10 - 6 = 1,04 Меганьютон = 106 тонн. Если выбрать такую жидкость для заполнения эллипсоида, что доля потерь энергии ударной волны, распространяющейся назад, составит порядка 10 %, то есть величина Δр = 47 кг*м/с, то приращение скорости движения за каждый импульс разряда составит Δv = 0,047 м/с, а при частоте следования импульсов в 100 Гц соответствующее ускорение системы будет равно 4,7 м/с2 - очень неплохой результат. Разгон до 100 км/час составит при этом всего 5,9 секунды в отсутствие трения, как у мощных автомашин.

Важно отметить, что такая ЗМС совершает поступательное перемещение своего центра инерции без какого-либо перераспределения масс внутри системы и не подвержена действию внешних сил. При этом разрядник нельзя считать внутренней опорой в силу равенства и взаимно противоположной направленности двух сил отдачи от возникающей ударной волны квазисферической структуры, действующих одновременно [7-10].

Из рассмотренных примеров видно, что основной интерес в применении таких движителей, не имеющих опоры внутри ЗМС, представляет перспектива ускоренного движения вследствие потерь энергии ударной волны в среде её распространения. С целью повышения к.п.д. такого рода движителей, следует рассмотреть возможность прямого использования внутреннего реактивного процесса без выбрасывания масс горючего во внешнее пространство, как это имеет место в реактивных двигателях космических и иных летательных аппаратов (реактивных самолётах).

Если из сопла, закреплённого во фронтальной части, например, того же эллипсоида с жидким наполнителем, организовать быстро вытекающую струю этой жидкости с помощью турбины, то тяга от действия такой турбины с заданной мощностью не будет уравновешиваться силами отдачи на тыльные части корпуса эллипсоида (или полого шара), поскольку часть кинетической энергии струи будет поглощаться в вязкой среде достаточной протяжённости, превращаясь в тепло.

В таком движителе имеется опора - это сопло вместе с турбиной, закреплённое жёстко с корпусом, но система при этом остаётся замкнутой, не связанной с внешними силами. Силы действия и противодействия в такой системе действуют на корпус эллипсоида одновременно, но сами эти силы РАЗНЫЕ по величине. Сила тяги действует постоянно во времени, и ускорение j в ЗМС определяется только разностью импульсов Δр и массой системы.

При установке рассмотренных выше движителей на рычаге с осью вращения такая система превращается во вращающийся двигатель при ориентации тяги таких движителей по касательным к годографу вращательного движения. Угловая скорость вращения оси определяется моментом трения и присоединённой к оси внешней нагрузкой, как в сегнеровом колесе, но без выброса реактивных масс.

Для полноты рассмотрения вопроса о возможности безопорного движения, следует указать на реально действующий электромагнитный двигатель на основе диска Фарадея, к которому жёстко с ним закреплён и сам постоянный магнит, создающий магнитное поле, ортогональное плоскости диска с радиальными токами в нём [11]. При этом полюсы источника постоянного тока приложены к оси диска и к его периферии, как показано на рис.3. Неверно считать, что при вращении диска М. Фарадеем в 1841 году опорами были полюсы неподвижно закреплённого постоянного магнита, между полюсами которого был установлен вращающийся на оси диск. Это опровергается работой диска Фарадея с закреплёнными на нём двумя тороидальными ферритовыми магнитами с их обращёнными друг к другу разноименными магнитными полюсами. При этом такая система может нами рассматриваться как замкнутая, и совершенно не понятно, обо что опирается реакция силы Лоренца, приложенная по касательным к диску с радиальными токами в нём? Ответа на этот вопрос нет, и физическая наука должна интерпретировать этот опытный результат.

Рис. 3

Автором по этой же теме опубликованы работы [12-13] и проводится разработка нового бесколлекторного и бесстаторного двигателя постоянного тока со скользящими контактами, отвечающего весьма большей надёжности функционирования и существенно повышенной быстроходностью, поскольку в нём при работе двигателя отсутствуют переходные процессы, явно присущие широко применяемым сейчас в промышленности и бытовых приборах коллекторным двигателям постоянного тока.

 

Литература

1. Зельдович Я.Б., Райзер Ю.П., Физика ударных волн и высокотемпературных гидродинамических явлений, 2 изд., M., 1966;

. Ступоченко E.В., Лосев С.А., Осипов А.И., Релаксационные процессы в ударных волнах, M., 1965;

. Beликович А.Л., Либерман M.А., Физика ударных волн в газах и плазме, M., 1987;

. Кузнецов H.M., Устойчивость ударных волн, "УФН", 1989, т. 159, в. 3, с. 493; 

. Альтшулер Л.В., Применение ударных волн в физике высоких давлений, "УФН", 1965, т. 85, в. 2, с. 197; 

. Аврорин E.H. [и др.], Мощные ударные волны и экстремальные состояния вещества, "УФН", 1993, т. 163, № 5, с. 1;

. Меньших О.Ф., Электромагнитный шаговый движитель, Патент РФ № 2409885, опубл. в бюлл. № 2 от 20.01.2011;

. Меньших О.Ф., Прибор для наблюдения броуновского движения в вакууме, Патент РФ № 2343513, опубл. в бюлл. № 01 от 10.01.2009;

. Меньших О.Ф., Прибор для регистрации хаотического движения ферромикрочастиц в вакууме в состоянии невесомости, Патент РФ № 2359249, опубл. в бюлл. № 17 от 20.06.2009

. Меньших О.Ф., Способ перемещения центра инерции замкнутых механических систем, Заявка на изобретение № 2013156677/06 (088230) от 19.12.2013;

11. Faradey M., Experimental Researches in Electricity, London, 1841;

12. Меньших О.Ф., Безопорное движение системы проводника с током в магнитном поле, Internet, Allbest.ru, База знаний (доклад), опубл. 28.07.2015;

. Меньших О.Ф., Бесколлекторный двигатель постоянного тока с кольцевыми контак-тами, Заявка на изобретение № 2015137565/07 (057477)

Похожие работы на - К вопросу о возможности безопорного движения

 

Не нашли материал для своей работы?
Поможем написать уникальную работу
Без плагиата!
Без нейросетей!