Исследование пассивного LCR-ФВЧ третьего порядка

  • Вид работы:
    Курсовая работа (т)
  • Предмет:
    Физика
  • Язык:
    Русский
    ,
    Формат файла:
    MS Word
    388,92 Кб
  • Опубликовано:
    2015-06-03
Вы можете узнать стоимость помощи в написании студенческой работы.
Помощь в написании работы, которую точно примут!

Исследование пассивного LCR-ФВЧ третьего порядка

КУРСОВОЙ ПРОЕКТ

Исследование пассивного LCR - ФВЧ третьего порядка


Задание

). Для заданного варианта произвести расчет ФВЧ (данные для расчета приведены в приложении 1).

). Набрать схему на рабочем экране МС-5. В качестве источника входного сигнала использовать синусоидальный источник типа «General».

). Произвести моделирование схемы в частотной области.

). Определить все характерные параметры АЧХ:

*). Неравномерность АЧХ в полосе пропускания (Ad).

*). Координаты нуля передачи (fo), границы зоны задерживания (fвз)

и величину гарантированного затухания (As), (см. рис. 11.2).

). Оценить влияние добротностей катушек индуктивностей на параметры реальной АЧХ. Добротность катушки определяется следующим выражением:


где: rL - омическое сопротивление провода реальной катушки. При расчетах следует задаться значением этого сопротивления 10 - 100 Ом.

Для моделирования влияния добротностей катушек в схеме рис. 10.1 необходимо последовательно с каждой катушкой включить сопротивление потерь. При вычислении значений добротностей катушек частоту следует выбирать примерно равной fнп.

). Проанализировать вид ФЧХ и объяснить её характерные особенности.

). Для варианта полиномиального фильтра (С2=0) оценить крутизну среза АЧХ за пределами полосы пропускания.

). Подключив ко входу фильтра импульсный источник, оценить влияние полосы пропускания ФВЧ на форму прямоугольного импульса разной длительности.

). Написать матрицу инциденций, привести ее к редуцированному виду и с использованием эквивалентных преобразований строк матрицы получить матрицу главных сечений.

 

1. Расчет пассивного LCR - ФВЧ третьего порядка

1) Зададим частоту среза АЧХ -  - границу полосы пропускания.

) По таблице приложения 1 выберем вариант №10 для реализации ФВЧ третьего порядка.

Данные из таблицы

1,14375

0,067117

0,537926

1,080338

0,874317

14,89935

1,858992

0,925636


) Зададим величину сопротивления нагрузки .

) Рассчитывают  и  по следующим формулам:


Получаем:

, нФ

, нФ

, нФ

, Гн

139,222443

2372,508735

296,0177957

0,147394305




. Схема в Micro - Cap

Схема в Micro-Cap с R2 Рис. 3. Схема в Micro-Cap без R2

В качестве источника входного сигнала использовать синусоидальный источник типа «General».

Дополнительно к 3 узлу был подключен R2, так как без него узел 3 не имеет связи с землей по постоянному току. R2 равен 1034 Ом.


3. Моделирование схемы в частотной области


АЧХ и ФЧХ ФВЧ третьего порядка в диапазоне от 10 Гц до 100 кГц

Получили АЧХ с одним нулем передачи, частота которого определяется частотой настройки последовательного контура L1, C2. Такие фильтры называют дробными.

4. Определение параметров АЧХ

Неравномерность АЧХ в полосе пропускания

АЧХ ФВЧ третьего порядка в диапазоне от 1 кГц до 1 МГц с количеством точек 1048576

АЧХ ФВЧ третьего порядка в диапазоне от 1 кГц до 10 кГц с количеством точек 1048576

Координаты нуля передачи

Рассчитаем частоту нуля передачи по формуле:


Рассмотрим АЧХ в диапазоне от 100 Гц до 1 кГц

АЧХ ФВЧ третьего порядка в диапазоне от 100 Гц до 1 кГц

По рис. 7.

По теоретической формуле

Границы зоны задерживания и величина гарантированного затухания

АЧХ ФВЧ третьего порядка в диапазоне от 100 Гц до 1 кГц

Из рис. 8. видно, что:

Граница зоны задерживания

Величина гарантированного затухания As = -40,411 dB

5. Оценка влияния добротностей катушек индуктивностей на параметры реальной АЧХ

Добротность катушки определяется выражением:


Для моделирования влияния добротностей катушек в схеме рис. 1. последовательно с каждой катушкой включаем сопротивление потерь.

Схема в Micro-Cap для моделирования влияния добротностей катушек

Добротность катушки рассчитывается по формуле:



Табл. 1


1

248,7647


60

4,146079

10

24,87647


70

3,553782

20

12,43824


80

3,109559

30

8,292158


90

2,764053

40

6,219118


100

2,487647

50

4,975295





АЧХ ФВЧ третьего порядка при различных значениях сопротивлений потерь в диапазоне от 10 Гц до 100кГц

АЧХ ФВЧ третьего порядка при различных значениях сопротивлений потерь в диапазоне от 1 кГц до 1МГц


АЧХ ФВЧ третьего порядка при различных значениях сопротивлений потерь в диапазоне от 100 Гц до 1 кГц

6. Анализ вида ФЧХ

Схема в Micro-Cap с R2

АЧХ и ФЧХ ФВЧ третьего порядка

На частоте нуля передачи , сдвиг фазы меняется на +180 градусов.


 

АЧХ и ФЧХ ФВЧ третьего порядка

Фазовый сдвиг на частоте среза  составляет 109,080 градусов (рис. 15.).

7. Оценка крутизны среза АЧХ за пределами полосы пропускания для варианта полиномиального фильтра (С2=0)

Схема в Micro-Cap при С2=0

АЧХ ФВЧ третьего порядка диапазоне от 100 Гц до 100 кГц при С2=0

. Оценка влияния полосы пропускания ФВЧ на форму прямоугольного импульса разной длительности

Схема в Micro-Cap ФВЧ третьего порядка с подключенным ко входу импульсным источником прямоугольных импульсов типа IMPULSE

В Micro-CAP9 генератор прямоугольных импульсов имеет следующие параметры:1 = 0;2 = 0;3 = P4 = длительность прямоугольного импульса;5 = период прямоугольного импульса;ZERO = 0;ONE = амплитуда прямоугольного импульса.

Частота прямоугольного импульса равна:



P1, sec

P2, sec

P3, sec

P4, sec

P5, sec

VZERO, V

VONE, V

, Гц

0

0

60n

60n

100n

0

1

10M

P1, sec

P2, sec

P3, sec

P4, sec

P5, sec

VZERO, V

VONE, V

, Гц

0

0

25u

25u

50u

0

1

20k

P1, sec

P2, sec

P3, sec

P4, sec

P5, sec

VZERO, V

VONE, V

, Гц

0

0

100u

100u

500u

0

1

2k


P1, sec

P2, sec

P3, sec

P4, sec

P5, sec

VZERO, V

VONE, V

, Гц

0

0

500u

500u

1m

1

1k

P1, sec

P2, sec

P3, sec

P4, sec

P5, sec

VZERO, V

VONE, V

, Гц

0

0

3m

3m

5m

0

1

200

P1, sec

P2, sec

P3, sec

P4, sec

P5, sec

VZERO, V

VONE, V

, Гц

0

0

50m

50m

100m

0

1

10


9. Матрица главных сечений

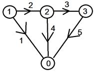
LCR - ФВЧ третьего порядка

Составим граф данной цепи (рис. 19.).

Направленный граф цепи

Запишем редуцированную матрицу инциденций:

Матрица дерева:

Определитель этой матрицы не равен нулю. Это значит, что выбранная нами матрица инциденций описывает дерево графа.

Теперь запишем матрицу, обратную матрице дерева:

Для того чтобы получить искомую матрицу главных сечений, умножим матрицу, обратную матрице дерева на редуцированную матрицу:



Список используемой литературы

1. http://www.toehelp.ru/theory/toe/lecture02/lecture02.html

. https://ru.wikipedia.org/wiki/Фильтр_верхних_частот

4. http://analogiu.ru/6/6-5-2-2.html

Похожие работы на - Исследование пассивного LCR-ФВЧ третьего порядка

 

Не нашли материал для своей работы?
Поможем написать уникальную работу
Без плагиата!
Без нейросетей!