Исследование параметров согласованности трансформатора и коротких сетей дуговых установок
МИНИСТЕРСТВО
ОБРАЗОВАНИЯ И НАУКИ РОССИЙСКОЙ ФЕДЕРАЦИИ
ФЕДЕРАЛЬНОЕ
ГОСУДАРСТВЕННОЕ БЮДЖЕТНОЕ ОБРАЗОВАТЕЛЬНОЕ УЧРЕЖДЕНИЕ
ВЫСШЕГО
ПРОФЕССИОНАЛЬНОГО ОБРАЗОВАНИЯ
«НОВОСИБИРСКИЙ
ГОСУДАРСТВЕННЫЙ ТЕХНИЧЕСКИЙ УНИВЕРСИТЕТ»
ФАКУЛЬТЕТ
МЕХАТРОНИКИ И АВТОМАТИЗАЦИИ
Кафедра
«Автоматизированных электротехнологических установок»
О Т Ч Е Т
ПО
НАУЧНО-ИССЛЕДОВАТЕЛЬСКОЙ РАБОТЕ
Выполнил:
магистрант группы ЭММ-94 Агарин А.В.
Руководитель:
д.т.н. проф. Алиферов А.И.
Новосибирск,
2015г
Целью данной работы являлось исследование параметров согласованности
трансформатора и коротких сетей дуговых установок.
В работе были рассчитаны электрические и рабочие характеристики различных
дуговых установок: ДСП-25, ДСП-30, ДСП-40, ДСП-50, ДСП-100. Рассчитаны активные
и индуктивные сопротивления трансформаторов. Построены графики электрических и
рабочих характеристик. Проведен анализ согласованности трансформатора и
короткой сети различных установок.
Расчет электрических и рабочих характеристик
С электрической точки зрения дуговую установку можно представить как
набор активных и индуктивных сопротивлений, подключенных к питающей сети.
Считая дуговую печь симметричной трехфазной системой, схему замещения можно
считать однофазной, включенной на фазное напряжение низкого напряжения печного
трансформатора
(рис. 1).
Рисунок 1. Однофазная схема замещения дуговой сталеплавильной печи.
Представленные на схеме активное и индуктивное сопротивления r и x
отражают соответствующие сопротивления вторичного токоподвода и печного
трансформатора. Переменное сопротивление дуги отражено параметром Rд. Такая
схема замещения дает возможность получить достаточно простые выражения для
электрических и рабочих характеристик.
Удельный расход электроэнергии и производительность печи зависят не
только от технологических факторов - состава стали, шихты, квалификации
персонала и других факторов, но и (в неменьшей степени) от того, насколько
правильно выбран электрический режим печи. Регулировать режим можно изменением
либо питающего напряжения, либо длины дуги, а следовательно, так же
регулируется и ток дуги I2. Первый способ, осуществляемый переключением обмотки
высокого напряжения печного трансформатора, используется обычно лишь несколько раз
за плавку. Второй способ позволяет регулировать режим печи непрерывно и плавно
вертикальным перемещением электродов по команде системы автоматического
управления, поддерживающей на заданном уровне ток и мощность печи. Так как
непрерывное регулирование ведется по току, важно знать зависимость основных
электрических показателей печи, в первую очередь ее мощности, КПД, коэффициента
мощности, от рабочего тока, т. е. электрические характеристики печи.
Однофазная схема замещения дает следующие зависимости для электрических
характеристик фазы печи:
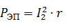
― мощность электрических потерь, Вт;
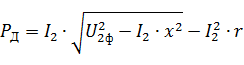
― мощность дуги, Вт;
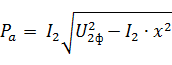
― полная активная мощность фазы печи,
Вт;
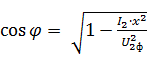
― электрический КПД печи;
― коэффициент мощности установки;
К электрическим характеристикам относят также зависимость мощности
тепловых потерь от тока: Ртп(I2). Принимается, что они не зависят от тока, а их
величина определяется из теплового баланса печи и примерно равны 15 % от
мощности дуги.
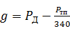
Рабочие характеристики:
― производительность фазы печи, т/ч;
где 340 кВт•ч/т - теоретическое количество энергии, необходимое для
расплавления 1 т стали с учетом тепла, аккумулированного футеровкой и
переданного частично шихте.
― удельный расход электроэнергии, кВт•ч/т;
Допустимыми считаются электрические режимы от холостого хода до тока короткого.
― ток короткого замыкания, А.
Допустимые рабочие режимы ограничены областью, для которой мощность дуги
превышает мощность тепловых потерь. Ведь очевидно, что если вносимая в печь
энергия меньше отводимой, то шихта нагреваться не будет.
Для расчета электрических и рабочих характеристик ДСП-30Н2, необходимо
знать низкое напряжение трансформа U2ф, активное и индуктивное сопротивление r
и x.
Пример расчета электрических и рабочих характеристик для ДСП-30, на 19 ступени
трансформатора:
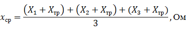
Для расчетов использовано среднее фазные активные и индуктивные
сопротивления и рассчитаны они по формуле:
Пример расчета активного и индуктивного сопротивления:

Соответственно ток на данной ступени может изменяться от 0 до тока
короткого замыкания. Рассчитаем электрические и рабочие характеристики для тока
I2=5000 А.
Электрические характеристики:
Рабочие характеристики:
0,083
Аналогичные расчеты для различных токов (в пределах от тока 1000А до тока
короткого замыкания) выполним в Microsoft Excel. Полученные данные приведены в
таблицы 1.
Таблица 1. Результаты расчетов электрических и рабочих характеристик.
|
I, кА
|
Рэл, МВт
|
Ра, МВт
|
Рд, МВт
|
cosφ
|
кпд э
|
g,т/час
|
w,кВт*ч/т
|
|
6,7
|
0,031
|
2,392
|
0,998
|
0,987
|
0,091
|
26239,037
|
|
11
|
0,085
|
3,913
|
3,829
|
0,995
|
0,978
|
4,410
|
887,409
|
|
17,362
|
0,211
|
6,127
|
5,916
|
0,987
|
0,965
|
10,549
|
580,838
|
|
21
|
0,309
|
7,365
|
7,055
|
0,981
|
0,958
|
13,901
|
529,819
|
|
25
|
0,439
|
8,694
|
8,255
|
0,972
|
0,950
|
17,430
|
498,788
|
|
31
|
0,674
|
10,612
|
9,937
|
0,957
|
0,936
|
22,377
|
474,220
|
|
36
|
0,909
|
12,124
|
11,215
|
0,942
|
0,925
|
26,135
|
463,912
|
|
41
|
1,179
|
13,544
|
12,364
|
0,924
|
0,913
|
29,515
|
458,874
|
|
46
|
1,485
|
14,853
|
13,368
|
0,903
|
0,900
|
32,467
|
457,465
|
|
51
|
1,825
|
14,208
|
0,879
|
0,886
|
34,937
|
458,899
|
|
56
|
2,200
|
17,063
|
14,863
|
0,852
|
0,871
|
36,864
|
462,867
|
|
61
|
2,611
|
17,920
|
15,309
|
0,821
|
0,854
|
38,176
|
469,397
|
|
67,2
|
3,168
|
18,696
|
15,528
|
0,778
|
0,831
|
38,820
|
481,616
|
|
71
|
3,537
|
18,989
|
15,452
|
0,748
|
0,814
|
38,597
|
491,979
|
|
76
|
4,052
|
19,122
|
15,070
|
0,703
|
0,788
|
37,472
|
510,302
|
|
81
|
4,603
|
18,914
|
14,311
|
0,653
|
0,757
|
35,240
|
536,721
|
|
86
|
5,189
|
18,280
|
13,091
|
0,594
|
0,716
|
31,653
|
577,518
|
|
91
|
5,810
|
17,093
|
11,283
|
0,525
|
0,660
|
26,335
|
649,067
|
|
96
|
15,125
|
8,659
|
0,440
|
0,572
|
18,616
|
812,455
|
|
101
|
7,157
|
11,865
|
4,708
|
0,328
|
0,397
|
6,997
|
1695,683
|
|
103
|
7,443
|
9,899
|
2,456
|
0,269
|
0,248
|
0,372
|
26590,549
|
трансформатор сеть дуговая
Исходя из этих данных, мы можем построить графики зависимости
электрических и рабочих характеристик от тока. Стоит отметить, что данные
значения соответствуют одной фазе установки.
График1. Электрические характеристики дуговой установки на 19 ступени.
График2. Рабочие характеристики дуговой установки на 19 ступени.
Проанализировав графики электрических и рабочих характеристик на 19
ступени можно говорить о том, что при увеличении тока постепенно увеличиваются
все характеристики. Максимальная производительность данной установки возможна
при токе 67,2 кА. При этом значении тока будет наблюдаться наибольшая активная
мощность Pa= 18,696 МВт на одной фазе, а также мощность дуги достигнет своего
максимума PД=15,528 МВт. Производительность печи при этом также будет
наибольшим g=38,820 т/час, а расход электроэнергии оптимальным.
Проанализировав данные параметры на каждой ступени трансформатора, мы
можем построить графики зависимости максимума дуги (производительности) и
минимума расхода электроэнергии от номера ступени трансформатора. Построим
данные графики для всех установок.
ДСП-25
График зависимости максимума мощности дуги, минимума расхода
электроэнергии и мощности трансформатора от номера ступени
Проанализировав данный график построим зависимости
.
Если значение
меньше 1 то это значит, что мощность дуги или мощность
минимума расхода электроэнергии будет превышать мощность трансформатора, тогда
трансформатор будет работать в режиме перегрузки, соответственно
эксплуатировать его нельзя. Если же значение больше 1, то трансформатор будет
справляться с нужной нагрузкой.
Исходя из приведенных графиков можно сказать, что для ДСП-25, работу на
максимальной мощности дуги S,д и минимуме расхода электроэнергии S,w на данном
типе трансформатора мы можем осуществлять при данной короткой сети на ступенях
S,д с 9 по 19; S,w с 3 по 19. Далее как видно из графика S,д на ступенях 1-8,
S,w на ступенях 1-2, мощность будет превышать мощность трансформатора, что
приведет трансформатор в режим перегрузки.
ДСП-30
Проанализировав данный график построим зависимости
.
Исходя из приведенных графиков можно сказать, что для ДСП-30 работу на
максимальной мощности дуги S,д и минимуме расхода электроэнергии S,w на данном
типе трансформатора мы можем осуществлять при данной короткой сети на ступенях:
-S,д неможем;
-S,w с 1 по 6.
Далее как видно из графика S,д на ступенях 1-19, S,w на ступенях 7-19,
Мощность будет превышать мощность трансформатора, что приведет его в режим
перегрузки, соответственно эксплуатировать его при данной мощности нельзя.
ДСП-40 без реактора
Проанализировав данный график построим зависимости
.
Из графика видим, что на всех ступенях и при максимуме мощности дуги S,д
и при минимуме расхода электроэнергии S,w мощность будет превышать мощность
трансформатора, из ходя из этого мы можем сказать что трансформатор будет
находится в режиме перегрузки, соответственно эксплуатировать его нельзя.
ДСП-40 с реактором
Проанализировав данный график построим зависимости
.
Из графика видно, что работу на максимальной мощности дуги S,д и минимуме
расхода электроэнергии S,w на данном типе трансформатора мы можем осуществлять
при данной короткой сети на ступенях:
-S,д неможем;
-S,w с 1 по 5.
Далее как видно из графика S,д на ступенях 1-19, S,w на ступенях 7-19, Мощность
будет превышать мощность трансформатора, что приведет его в режим перегрузки,
соответственно эксплуатировать его при данной мощности нельзя.
ДСП-50 без реактора
Проанализировав данный график построим зависимости
.
Из графика видно, что работу на максимальной мощности дуги S,д и минимуме
расхода электроэнергии S,w на данном типе трансформатора мы можем осуществлять
при данной короткой сети на ступенях:
-S,д неможем;
-S,w с 17 по 19.
Далее как видно из графика S,д на ступенях 1-19, S,w на ступенях 1-16, Мощность
будет превышать мощность трансформатора, что приведет его в режим перегрузки,
соответственно эксплуатировать его при данной мощности нельзя.
ДСП-50 с реактором
Проанализировав данный график построим зависимости
.
Из графика видно, что работу на максимальной мощности дуги S,д и минимуме
расхода электроэнергии S,w на данном типе трансформатора мы можем осуществлять
при данной короткой сети на ступенях:
-S,д неможем;
ДСП-100
Проанализировав данный график построим зависимости
.
Из графика видно, что работу на максимальной мощности дуги S,д и минимуме
расхода электроэнергии S,w на данном типе трансформатора мы можем осуществлять
при данной короткой сети на ступенях:
S,д с 3 по 10;
S,w с 1 по 10.
Из графика видно что S,д на ступенях 1-2, превышает мощность
трансформатора, что приведет его в режим перегрузки, соответственно
эксплуатировать его при данной мощности нельзя.
Вывод: Проанализировав все графики и расчеты, можно сказать, что короткая
сеть и трансформатор, на современных дуговых установках не согласованы. Это
приводит к недоиспользованию ресурсов печи, и работы установки не в оптимальном
режиме.