Исследование модели двигателя постоянного тока c добавление регулятора скорости

  • Вид работы:
    Практическое задание
  • Предмет:
    Физика
  • Язык:
    Русский
    ,
    Формат файла:
    MS Word
    128,74 Кб
  • Опубликовано:
    2015-06-18
Вы можете узнать стоимость помощи в написании студенческой работы.
Помощь в написании работы, которую точно примут!

Исследование модели двигателя постоянного тока c добавление регулятора скорости














Лабораторная работа

Тема: Исследование модели двигателя постоянного тока c добавление регулятора скорости

Цель: Исследовать модель двигателя постоянного тока, получить графики переходных процессов.

Ход работы

Собираем модель двигателя постоянного тока и настраиваем ее с заданными параметрами, рассчитав недостающие величины:

Номинальная мощность Рном= 740кВт

Номинальная скорость n=620 об/мин

Сопротивление якоря Rя=0,0094 Ом

Индуктивность якорной обмотки Lя=4,6 мГн

Момент инерции

=0,038 кг*м2

КПД ƞ=83%

Напряжение Uном=400 В

Номинальная скорость в рад/с:


Индуктивность обмотки якоря:


Электромагнитная постоянная времени:


Номинальный момент:


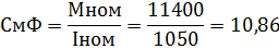
Определяю параметры СеФ и СмФ:

двигатель ток якорный обмотка

Рис. 1 - Модель ДПТ

Ход рассуждения

Из палитры блоков нам понадобятся:

блока STEP, 2 усилителя GAIN,2 сумматора (сравнительный элемент), 2 блока CLR и 3 осциллографа.

блока Step используем для подачи напряжения(750В) и для нагрузки на двигатель в виде момента (11400 Н*м). Один из блоков CLR используется для задания параметров электрической части двигателя, таких как сопротивление обмотки якоря Rя и постоянной времени Тэ. Второй используется для задания механической части момента инерции Jдв. Усилители GAIN используем для задания параметров электрического и механического коэффициентов. 3 осциллографа используем для слежения за параметрами модели двигателя (в виде графиков) тока, скорости и момента.

Так же добавляется блок PID как регулятор скорости.

Графики

Рис. 2 - График скорости

Рис. 3 - График напряжения

Рис. 4 - График тока

Рис. 5 - График момента

Похожие работы на - Исследование модели двигателя постоянного тока c добавление регулятора скорости

 

Не нашли материал для своей работы?
Поможем написать уникальную работу
Без плагиата!
Без нейросетей!