Изучение коэффициента поглощения света в жидких и твердых веществах
ГОСУДАРСТВЕННАЯ АКЦИОНЕРНАЯ КОМПАНИЯ
"ЎЗБЕКИСТОН ТЕМИР
ЙЎЛЛАРИ”АШКЕНТСКИЙ ИНСТИТУТ ИНЖЕНЕРОВ ЖЕЛЕЗНОДОРОЖНОГО ТРАНСПОРТА
ИЗУЧЕНИЕ КОЭФФИЦИЕНТА ПОГЛОЩЕНИЯ
СВЕТА В ЖИДКИХ И ТВЕРДЫХ ВЕЩЕСТВАХ
Методические указания к лабораторным
работам
по дисциплине "Физика" для
студентов 1-курса бакалавриата всех направлений
А.В. Умаров, З.А. Явкачева
Ташкент-2011
1.
Теоретическая часть
1.1 Законы
освещенности и закон поглощения Бугера
Понятие точечного источника применимо к такому источнику
света, размеры которого много меньше расстояния до освещаемой им поверхности.
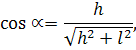
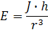
Пусть J есть сила света точечного источника, а r расстояние от источника
до освещаемой поверхности (рис.1), при этом освещенность поверхности равна.

(1)
где α-угол
падения в данной точке поверхности.
Рис. 1. Источник света создает на dSплощадке освещенность, определяемою формулой (1).
Законы освещенности для точечного источника сводятся к двум
утверждениям - Освещенность поверхности:
1) Обратно пропорциональная квадрату расстояния.
2) Прямо пропорциональная косинусу угла падения лучей в
данной точке поверхности.
В первой части работы предлагается проверка общей формулы
(1).
1.2 Закон
поглощения Бугера
Освещенность поверхности, созданная источником, в
значительной степени зависит и от величины поглощения светового потока
веществом, находящимся между источником света и поверхностью. Зависимость между
величиной светового потока Ø0, падающего на слой вещества
толщиной d, и величиной прошедшего светового потока Ø определяется законом Бугера
Ø=Ø0∙e-k∙d (2)
где k-коэффициент поглощения, e - основание натуральных
логарифмов. Экспериментально во второй части работы проверяется следующее соотношение
вытекающее из формулы (2)
1.3 Работа на
установке
Источник света располагается на высоте h над освещаемой
поверхностью. Для измерения освещенности используется фотоэлемент, величина
тока которого пропорциональна освещенности фотоэлемента. Во второй части работы
используется набор поглощающих пластинок.
ПОРЯДОК ПРОВЕДЕНИЯ ИЗМЕРЕНИЙ:
Опытная проверка законов освещенности.
1. Зависимость освещенности от точечного источника
света.
.1 Установить лампу под фотоэлементом (не включая).
1.2 Перемещать осветитель вдоль направляющей на расстояния
l1=5 см; l2=10 см; l3=15 см
определяя при этом величины фототока.
.3 Найденные величины фототока записать как Ii’, i=1,…,3.
1.4 Включить лампу и повторить пункт 1.1.2, величины
фототока при этом равны Ii”, i=1,…,3.
1.5 Выключить лампу. Измерить величину h высоты источника над
освещаемой поверхностью.
Опытная проверка закона Бугера.
2.1 Измерить с помощью штангенциркуля толщины пластинок.
.2 Включить лампу, и определить величину фототока I0. Последовательно положить
на фотоэлемент первую, вторую и третью пластинки, измеряя при этом
соответствующие I1, I2 и I3.
.3 Выключить лампу.
1.4 Обработка
экспериментальных данных
Опытная проверка законов освещенности.
Зависимость освещенности от расстояния до точечного источника
света.
Учитывая, что в работе величина 
равна

Поэтому в данном случае величина освещенности пропорциональна
величине 
.
Записать результат измерений Ii’, Ii”, i=1,…,3
в таблицу 1.
Таблица 1.
|
r
|
|
|
|
|
|
|
I’
|
|
|
|
|
|
|
I”
|
|
|
|
|
|
|
|
|
|
|
|
|
|
|
|
|
|
|
|
Построить график зависимости 
от 
.
Опытная проверка закона Бугера.
Записать результаты измерений di, Ii, I0, i=1,…,4 в таблицу 2.
Таблица 2.
Построить график зависимости ln (I0/I) от толщины слоя
пластинок d, через который проходит свет.
источник свет фотоэлемент поглощение
1.5 Знания и
умения
Для сдачи отчета лабораторной работы необходимо:
УМЕТЬ: представлять информацию в табличном виде,
вычислять искомую величину в системе СИ, вычислять абсолютную и относительную
ошибки при прямом и косвенном измерениях.
Контрольные
вопросы
1. Законы освещенности для точечного источника?
2. Дайте определение понятию коэффициента поглощения.
. В чем заключается сущность опытной проверки законов
освещенности?
. Закон поглощения Бугера.
. Перспективы использования закона Бугера на практике?
Литература
1. Детлаф
А.А., Яворский Б.М. Курс физики. Изд. второе испр. и доп. - М.: Высшая школа,
2000. - §18,5.
2. Трофимова
Т.И. Курс физики. Изд. четвёртое, испр. - М.: Высшая школа, 1997. - §115.
. Савельев
И.В. Курс общей физики. Т.2. Изд. третье, испр. - М: Наука, 1988. - §73.