Измерение интенсивности рассеяния света в водных растворах неэлектролитов
Магистерская диссертация
Измерение интенсивности рассеяния света в водных растворах
неэлектролитов
Введение
опалесценция неэлектролит раствор
рэлей
Молекулярное рассеяние света или
рассеяние света вообще может возникнуть только в результате появления
оптических неоднородностей в рассеивающей среде или на рассеивающей поверхности
вещества.
Физические причины возникновения
оптических неоднородностей многочисленны и разнообразны. Оптически неоднородной
среда может стать вследствие грубых включений одного вещества в другое,
например, в результате посторонних включений в кристаллах, капелек воды или
твердых частиц в атмосфере, в коллоидных растворах и т.д. С другой стороны,
рассеяние света может наблюдаться и в веществах, совершенно свободных от
каких бы то ни было посторонних
включений, вследствие статистического характера теплового движения частиц
вещества.
В этом случае причиной оптических
неоднородностей становятся флуктуации оптической диэлектрической проницаемости,
вызванные в свою очередь флуктуациями плотности вещества и флуктуациями
ориентации молекул. В однородных растворах дополнительной и очень существенной
причиной молекулярного рассеяния света становятся флуктуации концентрации
компонент раствора.
Рассеяние света, вызванное такими
различными случайными флуктуациями, носит название молекулярного рассеяния
света в отличие от рассеяния на коллоидных частицах и других взвесях и от
комбинационного рассеяния света.
Каждое физическое явление, ведущее к
возникновению рассеянного света, накладывает свой характерный «отпечаток» на
интенсивность, поляризацию и спектральный состав рассеянного света.
Характерные «отпечатки» различных
физических явлений в рассеянном свете позволяют изучить сами эти явления
связанные с ними разнообразные проблемы. При помощи рассеяния света изучается
структура молекул, определяются молекулярные веса растворов и белков,
определяются размеры ионов, определяется число Авогадро, исследуются кинетика
флуктуации и распространение гиперзвука в конденсированных средах, фазовые переходы
и многие другие вопросы.
Молекулярное рассеяние
света в чистых жидкостях обусловлено, главным образом, флуктуациями плотности и
анизотропии. Флуктуации, возникающие вследствие случайного отклонения системы
от равновесного состояния, меняются во времени и пространстве, что и
сказывается на спектре рассеянного света. Рассеянный свет, таким образом, будет
промодулирован в соответствии с характером временного изменения тензора
диэлектрической проницаемости среды
. В растворах
значительный вклад в молекулярное рассеяние света вносят также и флуктуации
концентрации. Вклад в интенсивность молекулярного рассеяния света флуктуаций
температуры существенно меньше вклада других типов флуктуации. При рассмотрении
спектрального состава молекулярного рассеяния света, удобно использовать
следующие характеристики флуктуации в среде: флуктуации давления
,
энтропии
,
концентрации
и
анизотропии
.
Причем предполагается, что отмеченные флуктуации статистически независимы.
В связи с этим особый
интерес представляет изучение интенсивности света рассеянного в растворах, а
именно - той части интенсивности рассеянного света, которая ответственна за
поляризованную часть, возникающую вследствие флуктуаций плотности и
концентрации. В растворах к изотропной составляющей рассеянного света из-за
флуктуаций плотности прибавляется так называемая концентрационная составляющая.
Вклад этой части рассеянного света тем больше, чем больше различие между
молекулами составляющих раствора.
Вблизи критической точки
индивидуальных веществ или вблизи критической температуры расслоения или
смешения бинарных растворов наблюдается громадное увеличение интенсивности
рассеянного света преимущественно в направлении распространения возбуждающего
света. Явление это называется критической опалесценцией. Смолуховский объяснил
это явление сильным ростом локальных флуктуаций плотности (для индивидуальных
веществ) или сильным ростом флуктуаций концентраций (в случае бинарных
расслаивающихся растворов). Дело заключается в том, что изотермическая
сжимаемость 
при приближении к
критическому состоянию сильно возрастает (обращается в бесконечность в
критической точке) что приводит к росту флуктуаций. Поэтому неограниченно
возрастает и интенсивность рассеянного света I,
и коэффициент рассеяния R,
обращаясь в бесконечность при критической температуре.
Актуальность работы
В настоящей работе
основным объектом исследования является водный раствор неэлектролита.
Рассматриваемый раствор не относится к расслаивающимся. Однако,
экспериментальные данные по интенсивности рассеянного света показали, что при
определенных концентрациях неэлектролита на температурной зависимости
интенсивности изотропного рассеяния света наблюдается максимум. Это указывает,
по-видимому, на рост флуктуаций концентраций при фиксированной температуре в
растворе определенной концентрации. О таких растворах говорят, обычно, что они
обладают особой точкой. Хотя особая точка не является критической, тем не
менее, она генетически связана с последней. Это предположение о связи между
особой точкой и критическими точками расслаивания растворов будет подвергнуто
специальному обсуждению в ходе изложения результатов настоящей работы.
Вышеперечисленные
особенности интенсивности рассеяния света в растворах в водных растворах
неэлектролитах были изучены при исследовании интегральной (суммарной)
интенсивности молекулярного рассеяния. В этих экспериментах регистрировалась
суммарная интенсивность рассеяния различной природы - как на флуктуациях
плотности, так и на флуктуациях концентрации. При этом в качестве источника
излучения для возбуждения молекулярного рассеяния использовалось излучение
ртутной лампы. Спектральная ширина излучения газоразрядных источников намного
превосходит спектр излучения тонкой структуры молекулярного рассеяния, и по
этой причине все экспериментальные исследования светорассеяния были связаны с
изучением интегральной интенсивности без его разложения в спектр. Предположение
о том, что максимум интенсивности рассеяния в водных растворах вызван только
ростом флуктуаций концентрации, а не другими физическими причинами, нуждается в
экспериментальной проверке. Для этого необходимо выделить ту часть рассеяния
света, которая связана с рассеянием на флуктуациях концентрации. Постановка
такого рода исследований стала возможной только с использованием в качестве
возбуждающего света монохроматического излучения лазера.
Цель работы
Целью диссертационной
работы является исследование поведения интенсивности рассеянного света в
спектре тонкой структуры линии Релея в растворе
-пиколин-вода, обладающим
особой точкой на фазовой диаграмме состояния в координатах температура (Т)
- концентрация (С).
Для достижения цели
диссертационного исследования были поставлены и решены задачи:
1. Анализ экспериментального и
теоретического изучения поведения интегральной интенсивности светорассеяния в
зависимости от концентрации и температуры, которые были выполнены в
предшествующих исследованиях;
2. Разработка методики
измерения интенсивности светорассеяния в спектрально разложенном свете;
. Исследование частотного
распределения интенсивности в компонентах тонкой структуры линии Релея.
. Анализ результатов
исследования и выводы.
Защищаемые положения
1. Результаты
экспериментального исследования интенсивности молекулярного рассеяния лазерного
излучения в компонентах тонкой структуры линии Релея;
2. Экспериментально
показано, что максимум светорассеяния при определённой концентрации и
температуре в водном растворе неэлектролита типа
-пиколин-вода связан с
наличием развитых флуктуаций концентрации;
. Интенсивность
рассеяния на флуктуациях плотности в окрестности особой точки раствора меняется
слабо и связана с температурной кинетикой адиабатической сжимаемости раствора;
. Лазерная
спектроскопия молекулярного рассеяния позволяет выделить и исследовать
рассеяние на флуктуациях различной природы.
1. Рассеяние света в
однокомпонентных жидкостях и растворах
.1 Расчет интенсивности
рассеянного света по Эйнштейну
Вопросы, так или иначе
связанные с молекулярным рассеянием света в жидкостях и растворах, широко
обсуждались в ряде работ, монографий и обзоров [1-11]. Метод расчета
интенсивности рассеянного света в жидкостях и растворах, примененный Эйнштейном
[1], заключается в следующем. Флуктуация
которая может быть
функцией пары любых независимых термодинамических переменных, принимается
равной
(1.1)
Представим флуктуации
плотности
в
виде пространственного трехмерного ряда Фурье
(1.2)
где q - параметр разложения с составляющими
принимающими
значения, равные -
(
…).
Предполагается, что рассеивающий объем V
имеет форму куба со стороной
. Коэффициенты
разложения (1.2) вычисляются по формуле [3]
(1.3)
и в силу вещественности
связаны
между собой соотношением
.
Подставив (1.1) и (1.2) получим
(1.4)
Интеграл в (1.4) при
больших объемах V отличен от нуля
и равен произведению
только
при условии
k'
- k-q = 0 (1.5)
Итак, при соблюдении
условия (1.5) вектор Герца (1.4) переходит в
(1.6)
Из последнего выражения
и найдем поле рассеянной волны
(1.7)
Здесь
-
угол между направлением вектора k'
(направление рассеянной волны) и направлением колебания вектора возбуждающей
волны
.
При освещении поляризованным светом с вектором
(1.8)
При естественном
возбуждающем свете
где I0
- полная интенсивность естественного света. Интенсивность света выражается в
,
или
,
или вт стерад-1 [4-5]. Интенсивность рассеянного света при
возбуждении естественным светом есть сумма квадратов (1.4) и (1.5):
(1.9)
Учитывая,
что
Получим
где
-
угол между направлением распространения возбуждающего света k и
направлением наблюдения рассеянного света k'.
Статистический расчет
дает
(1.10)
Учитывая, что
,
получим, подставляя (1.10), известную формулу Эйнштейна
(1.11)
Здесь следует лишь
отметить, что Эйнштейн представлял флуктуации плотности в виде
пространственно-периодических функций. Эти Эйнштейновские «формальные волны»
носили статический характер. Глубокий физический смысл и динамический характер
этих волн стал ясен лишь значительно позднее.
Сейчас следует обратить
внимание на то, что соотношение (1.6) представляет собой записанное в векторной
форме хорошо известное условие Брегга.
Пренебрегая небольшим
изменением длины волны при когерентном рассеянии и полагая |k'|=|k|,
получим
(1.12)
где
-
длина упругой волны. Иначе (1.12) можно переписать следующим образом:
(1.13)
Максимум интенсивности
рассеянного света будет наблюдаться под углом рассеяния
при
заданных
и
в
соответствии с условием (1.13). При той же
, под другим углом
рассеянный
свет будет определяться другой фурье-компонентой разложения (1.3) и, следовательно,
другой длиной упругой волны
. Таким образом, каждому
углу наблюдения при заданном
соответствует своя
фурье-компонента
,
определяющая интенсивность света, рассеянного в данном направлении.
1.2 Коэффициент
рассеяния
Интенсивность
рассеянного света зависит не только от физических характеристик рассеивающей
среда и её состояния, но и от внешних условий эксперимента I0, V, L
- интенсивности возбуждающего света, объема, и расстояния точки наблюдения от
точки рассеяния, соответственно. Поэтому вместо абсолютной интенсивности
рассеянного света удобно ввести величину, не зависящую от условий эксперимента.
В качестве такой
величина выбран коэффициент рассеяния R,
по определению равный
см -1
(1.14)
Учитывая (1.11) и (1.14)
получим коэффициент рассеяния
(1.15)
При наблюдении под углом
рассеяния
=900
формула (1.15) переходит в
(1.16)
1.3 Критическая
опалесценция при фазовых переходах второго рода
Вблизи критической точки
индивидуальных веществ или вблизи критической температура расслоения или
смешения бинарных растворов наблюдается громадное увеличение интенсивности
рассеянного света преимущественно в направлении распространения возбуждающего
света.
Это явление носит
название критической опалесценции. Смолуховский объяснил это явление сильным
ростом локальных флуктуаций плотности при приближении к критическому состоянию.
Дело заключаются в том, что изотермическая сжимаемость
при
приближении к критическому состоянию сильно возрастает. Вместе с тем как это
следует из формула (1.14) неограниченно возрастает и интенсивность рассеянного
света I, и коэффициент рассеяния R.
Учитывая что
.
Для случая критической опалесценции можно написать:
Интенсивность света,
рассеянного на адиабатических флуктуациях плотности вблизи от критической точки
и в самой этой точке никаких катастрофических изменений не претерпевает,
слабо
меняется, в то время как
-неограниченно
растет. Отсюда и коэффициент рассеяние R
как это видно из формула тоже растет. Орнштейн и Цернике построили теорию
сильного возрастания интенсивности рассеянного света вблизи критической точки,
используя идею о том что вблизи Тс сильно растет сжимаемость.
В связи с этим флуктуации плотности в соседних объёмах уже нельзя считать
статически независимами. Учёт этого фактора
позволил получить для R следующую формулу:
Из этой формулы видно
что при
=0
и
тогда:

а при
=0
Эти формулы показывают
что индикатриса рассеяния имеет особенность, а именно интенсивность рассеяния
под малыми углами гораздо больше чем под например
.
Таким образом угловая зависимость интенсивности рассеяния при критической
температуре существенно отличается от релеевской.
.4 Основные
характеристики и свойства особой точки раствора
Существуют специфические
нерасслаивающиеся бинарные растворы (например, водные растворы неэлектролитов),
которые обладают многими свойствами расслаивающихся растворов. В частности, по
мере приближения к определенной концентрации и температуре раствора наблюдается
рост флуктуаций. Принято говорить, что эти растворы обладают особой точкой.
Этой терминологии мы будем придерживаться и дальше. В настоящее время нет единого
мнения о природе этих растворов, обладающих температурным минимумом
стабильности. В особой точке или вблизи нее в растворах обнаружены максимумы в
интенсивности рассеянного света и в коэффициенте поглощения ультразвука.
Предполагается, что растворы, имеющие особую точку, можно уподобить растворам с
замкнутой областью расслаивания, полагая, что область расслаивания стянута в
точку. Соответственно, предполагается, что особая точка раствора родственна
двойной критической точке (ДКТ), а последняя генетически связана с
верхней и нижней критическими точками расслаивания бинарного раствора [12-23].
Механизм, ответственный за
образование замкнутой области расслаивания и последующую ее трансформацию в
особую точку, был предложен в [12,13], и мы изложим его, следуя этим работам.
Известно, что существует класс
бинарных смесей, обладающих верхней критической температурой расслаивания (ВКТР).
Они гомогенны только при температурах, превышающих критическую (ТК).
Кривая сосуществования в этом случае выглядит так, как изображено на рисунке 1.
(а). Если бинарный раствор гомогенен только при температурах ниже, чем ТК,
то говорят о наличии нижней критической температуры расслаивания (НКТР)
с кривой сосуществования, изображенной на рисунке 1. (б). Наряду с этим
существуют бинарные смеси с замкнутой кривой сосуществования. Такая смесь
дважды бывает в гомогенном состоянии: при температурах выше температуры НКТР
и ниже температуры ВКТР. Замкнутой кривой сосуществования (рис. 1 (в))
обладают обычно бинарные растворы неэлектролитов, компоненты которых способны
при определенной температуре образовывать водородную связь.
И в том, и в другом случае за счет
изменения сил Bан-дер-ваальсовского взаимодействия и водородных связей изменяется
термодинамическое состояние раствора. Анализ фазовой диаграммы системы
метонол-н-гептан [11,12], построенной по изменению теплоемкости, показал, что в
результате уменьшения содержания воды область расслаивания смещается. Подобное
изменение области расслаивания наблюдается также при наложении избыточного
внешнего давления. Ниже, привлекая исследования Шнайдера и др. [18-25], мы
покажем, как при изменении давления в растворе происходит «стягивание»
замкнутой кривой сосуществования в двойную критическую точку (ДКТ), а
затем - трансформация последней в особую точку раствора (точнее, в целую линию
особых точек)
Особой точкой обладают растворы,
концентрационные и температурные координаты которых хотя и совпадают с
соответствующими координатами двойной критической точки СДКТ
и ТДКТ, но из-за отличающегося значения давления (существенно
большего или меньшего, чем в критическом растворе) пребывающие в ином
термодинамическом состоянии.
Следует отметить, что
термодинамическим состоянием раствора можно управлять не только изменением
давления (Р), но и добавлением к раствору третьей компоненты.
Кривые сосуществования в растворах
метилпиридинов в воде представлены в этих работах в трехмерном пространстве с
координатами Т, С, Р. Нулевая точка на оси давлений Р
соответствует нормальному атмосферному давлению РН. Областью «отрицательных»
давлений считается область при Р<РН;
соответственно, положительными приняты давления Р>PН. На рисунке 2. схематически представлена кривая сосуществования
для водного раствора 3-метилпиридина (-пиколина) и ее динамика
при изменении давления. С многообразием форм кривых сосуществования в разных
растворах можно ознакомиться в работе [18].
Как видно из рисунка, при повышении
давления замкнутая область кривой сосуществования растворов метилпиридинов в
воде постепенно стягивается в ДКТ. При дальнейшем увеличении давления мы
получаем раствор, обладающий особой точкой, точнее - непрерывный ряд растворов,
обладающих особой точкой. Дальнейший рост давления приводит к образованию
второй ДКТ и области расслаивания при повышенных давлениях. Следует
отметить, что для 2-, 3-, 4-метилпиридинов с Н2О, а также для
4-метилпиридина (-пиколина) с D2О «купол расслаивания» (в координатах Р, Т, С)
при низких давлениях смещен в сторону «отрицательных» давлений, и ДКТ
расположены в области «отрицательных» давлений.
При высоких давлениях (2×108 ÷ 5×108 Па) все монометилпроизводные пиридина с Н2О и D2О образуют второй «купол
расслаивания» (рис. 2), причем для 3-метилпиридина с D2О «купола» сливаются, образуя «перемычку» (то есть расслаивание
происходит при всех значениях давления); 2-метилпиридин с D2О образует уже при
нормальном давлении замкнутую область расслаивания, которая при небольшом
повышении давления стягивается в ДКТ, а при Р>2×108 Па образуется новая область расслаивания.
Наряду с бинарными растворами,
имеющими верхнюю критическую точку расслаивания, и бинарными растворами,
имеющими нижнюю критическую точку расслаивания, существует немногочисленная
группа бинарных растворов, которые, будучи однородными на всей плоскости с,
Т (с-концентрация, Т-температура), приобретают замкнутую область
расслаивания при добавлении малого количества третьей компоненты. Примером
такого раствора является раствор гваякол-глицерин. Достаточно в такой раствор
внести 1 молекулу воды на 23 молекулы раствора или 1 молекулу четыреххлористого
углерода на 170 молекул раствора, как в некотором интервале температур
возникнет замкнутая область расслаивания (СSR) с верхней и нижней критическими точками [24-28]. Как показал
опыт, область расслаивания возникает лишь при добавках, растворимых только в
одной из компонент раствора. Диаграмма, изображенная на рис. 2.а и взятая из
работы [28], иллюстрирует эту ситуацию. Особыми точками являются все точки
линии АВ в интервале от А до DCP. В этих точках при
фиксированном сх имеется максимум в зависимостях
интенсивности рассеяния и радиуса корреляции флуктуаций концентрации от Т
и с.
Диаграмма, взятая из работы [28],
поясняющая смысл замкнутой области расслаивания, двойной критической точки и
особой точки в растворе гваякол-глицерин: Т - температура, с -
концентрация гваякола, сх - концентрация добавки, ТU - температура верхней критической точки, TL
- температура нижней критической
точки, DCP - двойная критическая
точка, SP - особая точка.
.5 Молекулярное
рассеяние света в водных растворах неэлектролитов
В этом разделе мы приведем некоторые
теоретические основы расчета интенсивности света при применении классической
статистической термодинамики, следуя монографии И.Л. Фабелинского [1].
Применение классической статистической
тeрмодинамики
к расчету интенсивности света, рассеянного в конденсированных изотропных
средах, приводит к фундаментальным результатам, которые будут изложены ниже.
Результаты такого
расчета применимы, если средняя длина свободного пробега молекул среды
гораздо
меньше длины волны света в среде
/n.
Кроме того, классический
термодинамический расчет применим, когда параметры, характеризующие среду и
входящие в формулы теории, не зависят от частоты.
Если выполнено условие
по
среду можно считать непрерывной и характеризовать некоторой оптической
диэлектрической проницаемостью
.
Когда такая среда
однородна, т.е.
не
зависит от координат (нет оптических неоднородностей), то, как было показано во
введении, не будет и рассеяния света.
Тепловое движение
молекул среды приводит к возникновению флуктуации плотности и ориентации
анизотропных молекул, которые в свою очередь вызывают флуктуации оптической
диэлектрической проницаемости.
Положим, что
диэлектрическая проницаемость среды складывается из
невозмущенной
среды и малого добавка
,
вызванного флуктуациями.
Если изотропная в целом
среда состоит из анизотропных молекул, то вследствие флуктуации их взаимных
ориентации в объёма флуктуации появится анизотропия, и поэтому
становится
тензорной величиной и, следовательно,
(1.17)
где
-
единичный тензор Кронекера. Первый член (1.17) определяет значение
в
однородной среде, в которой рассеяние света отсутствует, поэтому этот член
дальше не рассматривается.
Эффект рассеяния света
определяется только значением
, которое удобно
представить в виде двух частей:
(1.18)
где
.
Флуктуации
изотропны
и определяются только флуктуациями давления
и энтропии
или
плотности
и
температуры
,
или любой другой пары независимых термодинамических переменных.
Если рассматривается
раствор или смесь газов, то
будет также функцией
концентрации компонент раствора или смеси.
1.6 Концентрационная и температурная
зависимости коэффициента рассеяния света в водных растворах неэлектролитов
Среди водных растворов
неэлектролитов растворы третичного бутилового спирта (ТБС) в воде интенсивно
исследованы различными методами [29-33] что объясняется многочисленностью
особенностей их физических характеристик. Молекула ТБС обладает свойством
гетерофункциональности. Другими словами, в зависимости от температуры раствора
молекулы ТБС способны либо образовывать водородные связи (Н-связи) с молекулами
воды и, таким образом, проявлять свою гидрофильность, либо избегать Н-связи с
молекулами воды, проявляя свою гидрофобность. В зависимости от типа проявленной
функциональности в водных растворах ТБС могут образовываться различные виды
структур: от надмолекулярных агрегатов, движущихся как одно целое, до
ассоциатов, состоящих из молекул одинакового сорта. Особенности возникающих при
этом различных структур проявляются в температурном поведении скорости
гиперзвука.
Обзор различных
интерпретаций экспериментальных результатов, выполненный в [33], показал, что
они предполагают близость состояния раствора при нормальном давлении к фазовому
переходу жидкость-жидкость [3,35] или образование надмолекулярных структур типа
кластеров (H2O)17ТБС [22].
Концентрационные и температурные исследования теплоемкости, проведенные в
[32,36-41], дают основание говорить о существовании в водных растворах ТБС
структурного фазового перехода типа порядок-беспорядок на масштабах ближнего
кристаллического порядка [3]. В работах [35,36] развита концепция существования
недостижимых критических точек в водных растворах неэлектролитов.
В [42] при измерении
коэффициента взаимной диффузии в зависимости от концентрации и температуры в
водных растворах ТБС было выявлено интересное явление - рост длины корреляции
флуктуаций концентрации
в растворе как при повышении, так и при понижении температуры. При этом
значение температуры, при которой
принимает наименьшее значение (минимум длины корреляции) меняется в зависимости
от концентрации ТБС в растворе.
Такое поведение длины
корреляции объясняется авторами [42] существованием в водных растворах ТБС
высокотемпературной и низкотемпературной областей расслаивания, которые,
однако, не достигаются в эксперименте ввиду того, что при нормальном давлении
лежат выше температуры кипения и ниже температуры замерзания растворов.
Приближение к состояниям расслоения обусловлено, по мнению авторов [42],
агрегацией молекул раствора за счет преимущественного образования связей типа
«вода-вода» в области низких температур и связей типа «ТБС-вода» в области
высоких температур.
В работе [41] была
предпринята попытка объяснения перестройки структуры водного раствора ТБС,
обусловленной сменой приоритета функциональности молекул ТБС, и влиянии этой
перестройки на изменение температурного коэффициента скорости гиперзвука.
Известно, что
существенная информация о динамике процессов, протекающих вблизи критических
точек, может быть получена при исследовании скорости распространения
высокочастотного звука. Особенно ценными в этом случае оказываются исследования
распространения гиперзвука, длина волны которого сопоставима с характерным
масштабом флуктуаций концентрации.
В [32] была исследована
температурная зависимость скорости гиперзвука V
в водном растворе ТБС с концентрацией C=0.19
мольной доли (м.д.) ТБС.
Как оказалось,
температура перехода от одного значения температурного коэффициента скорости к
другому в изученном нами растворе (С=0.19 м.д. ТБС) [32] не противоречит
значению температуры минимума длины корреляции (8-10 0С) для
раствора с концентрацией С=0.201 м.д. ТБС [42].
Для водных растворов ТБС
на концентрационной зависимости коэффициента рассеяния света R наблюдаются два максимума при концентрациях ~0.04 и ~0.19 м.д.
ТБС [7]. Такая же особенность (два максимума светорассеяния) была зарегистрирована
и для ряда водных растворов других неэлектролитов.
В работе [36]
концентрационный интервал, разделяющий два максимума на зависимости R(C) в водных
растворах неэлектролитов, рассматривается как интервал разрушения сетки
водородных связей воды в растворе.
Таким образом, с одной
стороны, имеются данные о температурах минимума длины корреляции в водных
растворах ТБС для ряда концентраций [42], с другой стороны, есть концепция
существования концентрационного интервала разрушения сетки Н-связей воды в
водных растворах неэлектролитов [36].
Возникает вопрос, каким
образом эти факты и предположения могут отразиться на температурных
зависимостях скорости гиперзвука в растворах ТБС-вода при этих концентрациях.
Выбор раствора с
концентрацией 0.04 м.д. ТБС для исследования скорости распространения
гиперзвука был связан именно с тем, что в [32] нами был изучен раствор с
концентрацией 0.19 м.д., соответствующей одному из максимумов на зависимости R(C), в то время как
концентрация 0.04 м.д. ТБС соответствует другому максимуму.
1.7 Способы измерения
интенсивности рассеяние света в водном растворе неэлектролитов
Авторы [33] считают возможным
существование мезомасштабных структур и неоднородностей в водных растворах
неэлектролитов. Размеры этих неоднородностей или мезоструктур достигают порядка
сотен нанометров и даже несколько микрон [33].
Изучение функции корреляции и
времени релаксации флуктуаций концентрации, или диффузионных мод движения
молекул среды, показали наличие двух времен релаксации [33]. Малое время релаксации
порядка ~10-6 с и большое время релаксации порядка часов. Это
доказывает, что наряду с временем релаксации взаимной диффузии (малое время) в
среде существует и достаточно медленное время, связанное с диффузией частиц
гораздо крупнее молекул с промежуточным размером.
Анисимов с соавторами [33]
пропускали водный раствор третичного бутилового спирта (ТБС) через фильтр с
ячейкой 20 нм. При этом концентрация раствора не изменялась, а доля
корреляционной функции, соответствующая диффузии мезочастиц, существенно
уменьшалась.
При нагревании раствора до
температур выше комнатной функция корреляции мезочастиц также уменьшалась, а
при 600С исчезала совсем. Авторы делают вывод, что мезочастицы
существуют при температурах ниже комнатных и разрушаются с повышением
температуры.
Эти факты, по мнению Анисимова с
соавторами, являются причиной увеличения интенсивности рассеянного света в
разбавленных водных растворах неэлектролита. Другими словами, эффект увеличения
коэффициента рассеянного света (в разбавленных водных растворах) в
исследованиях Вукса и Шуруповой [7] можно приписать побочному эффекту,
связанному с чистотой исследуемого объекта. Однако, исследования поведения
теплоёмкости [3] показали аномальное поведение, которое Анисимов с соавторам
объяснили структурными преобразованиями, в то время как увеличение
интенсивность рассеянного света в тех же условиях приписывали побочному
эффекту.
Более ранние научные изыскания,
эксперименты и теоретические расчёты были основано на таких экспериментальных
фактах как:
. существование на
концентрационной зависимости максимума интенсивности рассеянного света,
уменьшающегося с повышением температуры.
. асимметрия индикатрисы
рассеяния при концентрациях близких к концентрациям максимума интенсивности (Rmax);
3. минимум коэффициента
взаимной диффузии;
4. аномальное поглощение и
дисперсия скорости звука, проявляющиеся при Rmax.
Эти явления говорят о том что при R=Rmax возрастает уровень флуктуации концентрации и рост их радиуса
корреляции.
Всё эти явления можно объяснить
предкритическими флуктуациями концентрации и существованием в растворе
недостижимых критических точек расслаивания [29,30]. Расслаивание объясняется
наличием упругой сетки водородных связей воды наряду с гидрофобными эффектами
молекул электролита.
Установлено, что развал этой сетки
при определенной концентрации не позволяет достичь указанной критической точки.
Вместе с тем, наряду с концентрацией
С, лежащей в области С<0.1 м.д. ТБС, существует концентрация С>0.1
м.д. ТБС, при которой также существует недостижимая критическая точка
расслаивания. Она обусловлена сеткой другой природы. А именно - вода-ТБС, в
которой основную роль играют гидрофильные свойства молекул неэлектролитов.
2. Методика исследования
спектров тонкой структуры линии Рэлея в растворах с особой точкой
2.1
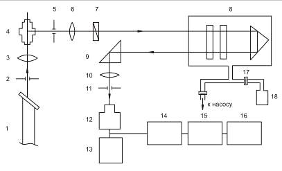
Принципиальная оптическая схема экспериментальной установки
Принципиальная
схема экспериментальной установки представлена на рис. 4. В качестве источника
возбуждающего света (1) использовался Не-Ne лазер типа ЛГ-38 (длина
волны 632.8 нм, мощность излучения около 15 мвт). Луч лазера фокусировался
длиннофокусной линзой (3) в кювету (4). Угол рассеяния устанавливался с помощью
пентапризмы (точность ±0.2°). На пути рассеянного света находилась призма
Франка-Риттера (7), позволяющая выделить рассеянный свет требуемой поляризации.
Точность юстировки поляризатора (±0.5°) вполне удовлетворяла задаче
эксперимента. Рассеивающий объем находился в фокусе объектива (6), который
формировал параллельный пучок лучей, проходящий через призму Франка-Риттера и
затем падающий на интерферометр Фабри-Перо (8).
Чтобы обеспечить
линейность натекания газа при сканировании, мы использовали игольчатый
сверхзвуковой натекатель (17). Для повышения линейности сканирования применялся
балластный объем. Давление газа (азота) на входе натекателя составляло 6-8 атм.
Такая система подачи газа позволила нам добиться того, чтобы нелинейность
сканирования на трех порядках интерферограммы составляла не более 0.5%.
После
двухпроходного интерферометра рассеянный свет, пройдя поворотную призму (9),
собирался в фокальной плоскости камерного объектива (10) с фокусным расстоянием
270 мм. В фокальной плоскости камерного объектива установлена диафрагма (11).
Радиус диафрагмы подбирался опытным путем, исхода из условия минимального
уширения аппаратной функции. Например, в случае, когда использовался
интерферометр с областью дисперсии 0.417 см, диафрагма имела диаметр 0.25 мм.
Полуширина
аппаратном функции становится минимальной в том случае, когда выходная
диафрагма помещена в центре интерференционной картины. Юстировка диафрагмы
проводилась с помощью двух микрометрических винтов, перемещающих ее во взаимно
перпендикулярных направлениях в фокальной плоскости объектива (10).
В качестве
фотоприемника в нашей установке использовался охлаждаемый фотоэлектронный
умножитель ФЭУ-79, работающий в режиме счета фотонов.
Схема охлаждения ФЭУ
собрана на основе полупроводникового микрохолодильника, работающего на принципе
эффекта Пельтье. Охлаждение ФЭУ до -25°С достигалось в течение 1 часа.
При охлаждении до этой температуры число темновых импульсов уменьшалось со
100-150 имп./с до 10-15 имп./с, при той же чувствительности фотокатода.
Импульсы с анода ФЭУ
подавались на вход эмиттерного повторителя (14). Эмиттерный повторитель
обладает достаточно высоким входным сопротивлением и низкой входной емкостью,
что, наряду с низким выходным сопротивлением, необходимо для передачи импульса.
Далее сигнал попадал на вход дискриминатора линейного аналогового интенсиметра ПИ-4-1
(15), который пропускал импульсы с амплитудой, заданной дискриминатором. На
выходе интенсиметра появлялось постоянное по знаку напряжение, величина
которого была пропорциональна числу импульсов в секунду, подающееся затем на
потенциометр КСП-4 (16), самописец которого записывал сигнал на
диаграммной ленте.
Систематическая ошибка при
определении смещения КМБ, связанная с неточностью определения угла
рассеяния, находилась по формуле,
.2 Источник возбуждения
молекулярного рассеяния
Рассмотрим вкратце специфику работы
наиболее широк используемого в практике Не - Ne лазера.
Электроны, ускоренные полем, при
столкновении в плазме газового разряда с атомами гелия возбуждают последний по
схеме
В результате атом Не
переходит в возбужденное состояние 23S1
и 21S0,
в соответствии с LS-связью,
справедливой для атома гелия при электронном возбуждении (n= 2; S = 1/2; l = 0; j = 1/2) и для
невозбужденного (n= 2; S’ = 1/2; l’
= 0; j’ = 1/2)
В приближении нормальной
связи (LS) оптические переходы из этих возбужденных состояний запрещены
так
как
,
а
-интеркомбинационным
запретом
),
в силу чего состояния Не* 23S1
и 21S0 являются
метастабильными с временем жизни порядка 10-3 с. Затем в результате
неупругих столкновений возбужденных атомов Не с атомами Ne последние возбуждаются по следующей схеме:
Не*
+ Ne -> Ne*
(2p5ns)
+ Не, или Не* + Ne->
Ne* (2р5nр)
+ Не.
Эффективное сечение
этого процесса невелико - 3,7 10-7 см2, так как дефект
энергии между состояниями 21S0
и 23Sl
атома гелия и (2р5nsnр)
неона около 313 см-1, что существенно выше, чем kT при комнатной температуре (200 см-1). Возбужденное
состояние (2p5Ns)
описывается квантовыми числами S
= 1/2, / = 0, j = 1/2.
Поскольку для атома Ne справедлива связь (jl),
то для состояний (2р5ns)
получается четыре подуровня (1Р1 и 3Р0,1,2),
которые обозначим nS2,
2S3, 2S4
и nS5
И аналогично для возбужденного состояния (2р5nр) - десять подуровней n
(p1…p10). Для остатка (2p5)
S'= 1/2, L'
= 1, J' = 1/2 или S'
= 1/2, L = 1, J'= 3/2.
Время жизни 2S- и 3S - состояний неона
несколько больше, чему 2 р- и Зр-состояний. Поэтому даже при равных скоростях
возбуждения возможна инверсия в стационарном режиме и соответственно генерация
на S -> Р переходах. Наличие уровня 1S
у атома Ne несколько осложняет ситуацию, поскольку освобождение np-уровней идет на 1S. Поэтому чем меньше населенность этого уровня, тем лучше условие
генерации. При значительной населенности уровня 1S
помимо того, что ухудшаются условия опустошения уровней 1S, возникает вредный процесс радиационного захвата, т.е.
заполняются уровни 2 р и Зр из состояния 1S.
Если в газовой смеси Не - Ne
нет примесей, например, атомов Ar
(Ne*(1S)+ Ar ->
Аг*+ Ne), то практически
единственным способом перехода атома Ne
с метастабильного уровня 1S
являются столкновения со стенками газоразрядной трубки, и поэтому усиление
оказывается обратно пропорциональным ее диаметру. С одной стороны, увеличение
диаметра ведет к росту объема активной среды, а с другой, это приводит к
понижению электронной температуры и к заполнению уровня 1S. Эти два конкурирующих процесса имеют оптимум, который зависит от
длины трубки. Исследования показали, что при длине разряда в 750 мм и
пропускании зеркал около 0,2% максимальная выходная мощность достигалась при
следующих соотношениях параметров:
Объем активной среды
можно увеличить за счет придания сечению разрядной трубки формы эллипса. Но это
беспредельно делать тоже нельзя. Оптимум соотношения полуосей порядка 1-4.
Дальнейшее увеличение приводит к нарушению стабильности локализации разряда.
Поскольку инверсия Ne
определяется передачей энергии от атома Не к атому Ne, то существенное значение имеют их парциальные давления.
Установлено, что оптимальное соотношение парциальных давлений неона и гелия
находится в диапазоне от 10-1 до 5-1, что обеспечивает направление процесса
передачи энергии атома от Не к атому Ne.
Оптимальный режим при давлении Не порядка 80 Па и Ne порядка 10 Па. Мощность генерации растет линейно с увеличением
длины, начиная с 60…70 см. Следует отметить, что слабое усиление в видимой
области на одном проходе 0,1 - 0,25 дБ/м) в Не-Ne-лазере накладывает весьма жесткие требования на качество его
резонатора. Исторически первой была получена генерация на группе переходов 2s->2p (1,15 мкм), а затем на
3s-3p (3,39 мкм) и 3s -> Зр (0,63 мкм). В группе переходов 2s
- 2 р основная доля мощности генерации приходится на переход 2s2-> - 2p4
с длиной волны 1152,6 нм (усиление 0,4 дБ/м). Сравнительно легко
получить устойчивое индуцированное излучение на переходах 2s2-± - 2p2
(1161,7 нм), 2s2-> - 2p2
(1177 нм), 2s3->2p2 (1198,8 нм).
В качестве источника
возбуждающего света использовался Не-Ne
лазер типа ЛГ-38 (длина волны 632.8 нм, мощность излучения около 15 мвт).
2.3
Некоторые спектральные особенности двухпроходного интерферометра Фабри-Перо
Ввиду малости
спектрального смешении компонент спектральных линий различной природы
рассеяния, необходимо применения спектрального прибора высокого разрешения.
Наиболее подходит спектральный прибор интерферометр Фабри-Перо. Так как
интенсивность молекулярного рассеяния намного меньше интенсивности
возбуждающего света, 10-6 то спектральный прибор должен быт
светосильным. Такой светосилой обладает интерферометр. Поэтому в практике
эксперимента при изучении структуры линии Релея практикуется применение
интерферометри Фабри-Перо. Однако применение его при изучении критической
апаллесценция встречается с принципиальными трудностями, а именно:
интенсивность центральной которая обусловлена флуктуациями концентрации намного
больше интенсивности компонент Мандельштам-Бриллюэна. Поэтому на фоне большей
интенсивности центральной компоненты регистрация слабых спектральных линий
Мандельштам-Бриллюэна становится невозможным вблизи критической точки.
Способ повышения
контраста спектральной картины методом неоднократного пропускания света через
интерферометр был указан давно, но реально, в широких масштабах, этот способ
получил развитие лишь с недавнего времени. Широкие возможности использования
многопроходных интерферометров Фабри-Перо обобщены в обзоре [1].
Оригинальный спектр
тонкой структуры линии Рэлея, полученный в водном растворе пиколина.
Условие существования
интерференционной картины определяется выражением:
(2.1)
где t, n, m, - расстояние и коэффициент преломления среды между зеркалами,
угол падения плоской волны на зеркало, порядок интерференции и длина волны
света, соответственно. «Инструментальная функция» интерферометра определяется
известной формулой Эйри [1], которая для случая, когда на плоские и одинаковые
зеркала интерферометра падает параллельный поток монохроматического света и его
интенсивность принята за единицу, может быть записана в виде:
(2.2)
где R и T - коэффициенты
отражения и пропускания света зеркалами интерферометра, а для идеально плоских
зеркал
(2.3)
Величину F называют остротой интерференционной картины.
Приняв в (2.2) m=m0,
где m0 - целое число, а - дробная часть порядка, и предполагая малым,
формулу (2.2) можно записать в виде:
(2.4)
Из (2.4) следует, что
полная инструментальная (или аппаратная) полуширина в долях области дисперсии
(в долях порядка) будет составлять
(2.5)
Контраст С
интерференционного спектра для однопроходного интерферометра определяется
отношением максимальной интенсивности Ymax в максимуме к минимальной интенсивности Ymin
между порядками интерферограммы. В случае использования для освещения
интерферометра монохроматического источника света с собственной шириной линии,
существенно меньшей ширины аппаратного контура, контраст С определяется
выражением
(2.6)
Острота F, обычно, для плоского интерферометра Фабри-Перо ограничивается
значением величины R,
которая, в свою очередь, лимитируется несовершенством изготовления плоских
поверхностей и отражающих покрытий зеркал. Если плоскость зеркала изготовлена с
точностью до /m, то в этом случае максимальная острота FS=m/2.
Для многопроходных
интерферометров вместо выражений (2.5) и (2.6) имеем:
(2.7)
(2.8)
Из (2.8) следует, что
при увеличении числа проходов контраст меняется очень сильно. Действительно,
при R=0.95 и n=1
будет С=103, а для n=2
при том же R получим Cn=106. Это означает, что с помощью двухпроходного
интерферометра Фабри-Перо можно изучать линии, различающиеся по интенсивности
более, чем на шесть порядков.
2.4 Конструкция и
юстировка двухпроходного интерферометра Фабри-Перо
Для создания стабильно
работающего двухпроходного интерферометра используется уголковый отражатель
(угол куба) или, другими словами, трипль-призма, которая обладает свойством
отражать падающий на нее луч точно под углом 180°, причем точность
антипараллельного отражения зависит только от точности изготовления
трипль-призмы и не зависит от угла падения света.
Трипль-призма
представляет собой трехгранную призму, три ребра которой пересекаются в вершине
под углом 90° друг к другу, а три другие ребра образуют основание призмы, как
показано на рис. 5. Луч, падающий на призму со стороны основания, проникает в
призму и, после трехкратного отражения от ее боковых граней, выходит из призмы
назад, параллельно падающему лучу. Последовательные проходы между зеркалами
интерферометра должны быть одинаковы по оптической длине. Вследствие
неидеальности обработки поверхности пластин интерферометра желательно иметь
возможность выполнения этого условия на практике с помощью специальных условий
юстировки.
В нашей работе это
достигается тем, что призма укрепляется на металлическом кольце, положение
которого легко можно изменять.
Принципиальная схема
двухпроходного интерферометра представлена на рис. 6. Эта схема и была основой
построенной нами интерференционной установки, предназначенной для изучения
спектров молекулярного рассеяния света.
Один из торцов камеры
представляет собой стеклянное окно (2) толщиной 10 мм и диаметром 80 мм,
закрепленное кольцевыми фланцами. Окно камеры расположено под небольшим углом
[17] относительно оси интерферометра, чтобы исключить паразитные отражения.
Конструкция камеры предусматривает использование стандартных деталей (зеркал,
колец, прокладок, дополнений) интерферометра ИТ-28-30. Основание трипль-призмы
устанавливается перпендикулярно к направлению оси интерферометра. Призма
крепится на металлическом кольце. Положение кольца легко можно менять, меняя
тем самым положение призмы.
Для юстировки
интерферометра используются юстировочные винты (3), которые фиксируются
пружинами (4). Юстировочные винты имеют резьбу с достаточно мелким шагом - 0.5
мм, что дает возможность осуществлять тонкую юстировку интерферометра. Винты
для юстировки пластин интерферометра выведены из барокамеры. Герметизация
барокамеры осуществлялась с помощью сильфонов (5).
Поскольку
интерференционный спектр сканируется изменением давления, была предусмотрена
специальная фиксация юстировки пластин интерферометра контргайками, зажимающими
юстировочные винты (4).
Юстировка двухпроходного
интерферометра проводилась в два этапа. Снималась трипль-призма и интерферометр
юстировался в режиме работы одного прохода так, как это описано в [1]. Затем
устанавливалась трипль-призма. Изменением положения призмы достигалось
совмещение интерференционных картин от двух проходов. При этом мы стремились
получить максимальную яркость и, по возможности, равномерную освещенность
порядков интерферограммы, а также уменьшить всегда существующий слабый ореол по
обе стороны максимума интерферограммы. По мере приближения к оптимальному
качеству юстировки ореол с обеих сторон максимума интерференционных порядков
исчезал, а яркость этого максимума становилась наибольшей.
2.5 Оценка возможных
ошибок в процессе регистрации компонент Мандельштама-Бриллюэна
Систематическая ошибка,
связанная с конечностью апертуры коллимирующего устройства
При измерении спектральных
характеристик рассеянного света (смещения и ширины КМБ) необходимо иметь строго
ограниченную апертуру возбуждающего и рассеянного пучков света. Конечность
апертуры приводит к систематической погрешности в измерениях ширин КМБ.
Произведем оценку этой погрешности.
Из (2.9) легко получить, что при апертурном угле ±δθ компоненты будут
размыты на величину
(2.9)
Тогда при угле рассеяния
θ, равном 900, получим:
(2.10)
На схематически показано
максимальное отклонение рассеянного излучения от оптической оси, в случае
использования кюветы, изображенной на рис. 8.
В этом случае апертура
рассеянного света ограничивалась диафрагмами D1
и D2, апертурный угол 2δθ
составлял 0,024 при фокусном расстоянии коллиматора f,
равном 210 мм и диафрагме D2
диаметром 5 мм. Такая величина апертурного угла вносит систематическую
погрешность при определении ширины компонент порядка ±0.001 см-1.
Оценим теперь апертурный
угол регистрируемого рассеянного излучения в кювете цилиндрической формы. На
рис. 9 приведен схематический чертеж и указаны размеры диафрагм. На рисунке
изображена половина кюветы. Укажем, что диафрагма находится непосредственно на
коллиматорном объективе с фокусным расстоянием 210 мм. Диафрагмой D1 служит незокрашенный участок кюветы. Из рисунка видно, что так
же, как и в первом случае, угол определятся размером диафрагм D2, т.е. 2δθ≈0.024.
Луч возбуждающего света можно рассматривать как протяженный источник (ОС).
Рассмотрим, к примеру, лучи СА
и СВ, т.е. свет, рассеянный точкой С. Цилиндрическую кювету можно
рассматривать как линзу. После преломления лучи СА и СВ дадут
мнимое изображение точки С в точке С’ Точка С’ находится
за фокусным расстоянием коллиматорного объектива и, поэтому, эти лучи участвуют
в формировании параллельного потока рассеянного света, падающего на
интерферометр.
Выше рассматривались случаи
регистрации рассеянного углах излучения при угле рассеяния 900.
Покажем теперь что при углах, существенно больших и меньших 900,
значение апертурного угла 2δθ, равное 0.024, дает размытие КМБ не более чем на 0.001 см-1.
На рис. 10 приведена оптическая
схема установки, предназначенной для одновременного наблюдения света,
рассеянного под углами θ и 1800-θ0. Как видно из чертежа,
возбуждающий луч направляется в кювету зеркалом З1, и с
помощью конфокального ему зеркала З2 возвращается обратно.
Изображения точек К и М ложатся ближе и дальше точки О,
лежащей в фокальной плоскости коллиматорного объектива. В этом случай, так же
как и в предыдущем, апертурный угол 2δθ равен 0.024.
Рассчитаем допустимое значение 2δθ для углов
рассеяния 450 и 1350 при условии, чтобы «размытие»
компонент было не более чем ±0.001 см-1. При угле рассеяния, равном
450, имеем:
(2.11)
Например, для раствора
ацетон-вода при θ=450,
величина смещения КМБ Dn=0.2 см-1
находим допустимую апертуру 2δθ=0.050.
Найденное допустимое значение апертуры почти в два раза превышает значения,
используемые в наших экспериментах, что свидетельствует о несущественном
влиянии «размытия» КМБ при углах, превышающих 900.
Схема учета апертуры
коллиматора в случае регистрации КМБ при существенно различных углах рассеяния.
.6
Подготовка образцов к экспериментальному изучению
Термостатирование
образца исследования
Использованные нами
цилиндрические кюветы имели диаметр 40÷20 мм и высоту 60-70 мм.
Для этих кювет был специально изготовлен термостатирующий кожух, между стенками
которого циркулировала жидкость из термостата (типа ТС-24). Термостат
(изображен на рис. 11) имеет тройные стенки. Первая и вторая изготовлены из
металла, а третья, внешняя, из теплоизоляционного материала (пенопласта). Между
первой и второй стенками циркулируют термостатирующая жидкость (вода). Кювета с
исследуемой жидкостью помещается между пластинками (а) и (в) и закрепляется
зажимами (4). Желаемая высота устанавливается регулировочным винтом (9). Крышка
(7) изготовлена из теплоизоляционного материала - тестолита. Температура внутри
термостата контролировалась вдали от критической точки обычными ртутными
термометрами (точность 0.1°), а вблизи критической точки (по мере
необходимости) - термометром Бекмана
Методика
очистки и приготовления оптически чистых объектов
В любом образце рассевающей среды,
не приготовленном специально, как правило, существуют посторонние включения
(пыль, коллоидные частицы) с коэффициентом преломления, отличным от показателя
преломления окружающей среды. Естественно, что такие посторонние включения дают
гораздо более интенсивное светорассеяние, чем статистические флуктуации
показателя преломления. Поэтому возникает серьезная задача о способах очистки
рассеивающей среды от посторонних включений - приготовления оптически «пустой»
молекулярно рассеивающей среды.
Принцип метода Мартина [1] состоит в следующем: к
сосуду V, в котором затем будет изучаться рассеяние (припаивается колба А.
В колбу А перегоняется уже предварительно очищенная от примесей и
взвесей жидкость. Затем отросток а’ отпаивается, и сосуд
эвакуируется через отросток b’, который
после достижения желаемого вакуума также отпаивается. Затем колба А
подогревается на водяной или масляной бане, а сосуд V охлаждается проточной
водой или льдом.
Когда после медленного испарения из
колбы А в сосуде V собирается некоторое количество жидкости, прибор снимают со
штатива и энергично встряхивают жидкость, обливая стенки сосуда V, и выливают жидкость
обратно в колбу А. Такая операция повторяется несколько раз, после чего
медленным испарением сосуд V полностью заполняется жидкостью. Качество очистки проверяется при просвечивании раствора лазерным
лучом.
Схема термостата
для цилиндрических кювет:
1 и 2 -
металлические стенки; 3 - стенки, изготовленные из теплоизоляционного
материала; 4 - зажимы; 5 - подставки (теплоизоляционный материал); 6 - окошки;
7 - крышки (теплоизоляционный материал); 8 - контрольный термометр;
9-регулировочный винт; а, б - металлические пластинки.
Общий вид системы
для оптической очистки жидкостей
Анализ ошибок и точности
измерения
Источником случайных ошибок является
некоторая нелинейность записи спектра. В наших опытах линейная дисперсия при
использовании области дисперсии интерферометра 0.625 см-1 была равна
0.002 см-1/мм. Ошибка в 0.5 мм на спектрограмме вносила при
измерении ширины КМБ неопределенность, равную ±0.001 см-1.
Эта величина, в зависимости от ширины КМБ, составляла от 1% до 10%
ошибки при определении истинной ширины КМБ. При уменьшении области
дисперсии интерферометра ошибка уменьшается.
Для повышения точности измерений в
каждой серии измерений производилась запись не менее 6 порядков
интерферограммы. Окончательный результат получался посредством усреднения
результатов измерений по всем спектрограммам.
3. Температурные
исследования относительной интенсивности компонент тонкой структуры рассеяния
света в водном растворе пиколина с особой точкой
3.1 Температурное и
концентрационное поведение спектров тонкой структуры линии Рэлея при малых
концентрациях
-пиколина
в воде
Результаты и выводы
исследований водных растворов
-пиколина при высоких
концентрациях являются достаточно неожиданными [38-40]. Выделим основные
моменты. На изотермах зависимости величины смещения КМБ от концентрации
-пиколина
наблюдается максимум, относительная высота которого и положение по шкале
концентрации сильно зависит, как показывает анализ, от температуры раствора.
Такое поведение максимума на зависимости обусловлено соответствующим смещением
по шкале концентрации минимума адиабатической сжимаемости раствора. Поведение
температурного коэффициента смещения КМБ для исследованных растворов в
интервале концентраций пиколина от 1 до 0.1 м.д. позволила авторам работы [38]
сделать предположение о существовании такой концентрации (порядка 0.05 м.д.
пиколина), при которой смещение не будет зависеть от температуры во всем
температурном интервале исследования.
Предсказываемая
расчетами [38-40] независимость величины от температуры может означать
только образование определенной структуры раствора, которая является к тому же
достаточно прочной для существования в столь широком температурном интервале.
Таким образом,
результаты исследований, проведенных в [38-40], позволяют сделать предположение
о существовании в водном растворе
-пиколина фазового
перехода типа структурного, приводящего при определенной концентрации пиколина
(~0.05 м.д.) к значительному упрочнению структуры раствора.
Исходя из сделанных
предположений, было проведено отельное экспериментальное исследование
температурного поведения величины в растворе
-пиколин-вода
в при малых (х<0.1 м.д.) концентрациях
-пиколина [39].
Полученные в совокупности экспериментальные результаты по поведению величины
в широком интервале температур (10÷80 0С)
и концентраций
-пиколина
(1÷0.005 м.д.) будут по мере необходимости
привлекаться при осуждении результатов настоящей работы с точки зрения
проявления в спектрах рассеяния фазового перехода типа структурного в области
малых концентраций
-пиколина
в воде.
Результаты
экспериментальных исследований частотного смещения компонент
Мандельштама-Бриллюэна в области концентраций от 0.1 до 0.005 м.д. показывают,
что, как и в случае высоких концентраций, для всех исследованных растворов
наблюдается линейная (в пределах экспериментальных ошибок) зависимость величины
от температуры t.
Однако, температурный коэффициент смещения КМБ отличается для растворов
различных концентраций [40].
.2 Измерение
температурной зависимости интенсивности рассеянного света в растворе
-пиколин-вода
Водный раствор
-пиколина
с концентрацией 0.06 м.д.
-пиколина
относится к растворам, обладающим особой точкой. Этот раствор
слабоопалесцирующий, в отличие от растворов, обладающих критической точкой.
Нашей задачей, как это
уже указывалось, являлось изучение температурной зависимости интенсивности
рассеянного света. Цель такого изучения - выявление области температур, в
которой наблюдается максимум интенсивности. Как уже было сказано, при
приближении к критической температуре изотермическая сжимаемость
бесконечно
возрастает, в то время как адиабатическая сжимаемость
остается
без изменений. При стягивании замкнутой области расслаивания верхняя и нижняя
критические точки превращаются в двойную критическую точку. А при дальнейших
изменениях последняя перерождается в особую точку. В особой точке все явления,
присущие критической точке, также имеют место, но в более слабом варианте. То есть
здесь также должно наблюдаться увеличения
и неизменность
.
В результате должно наблюдаться увеличение интенсивности центральной линии
рассеяния, по сравнению с линиями компонент Мандельштама-Бриллюэна.
В чистых жидкостях
интенсивность центрального компонента триплета обусловлена рассеянием света на
изобарических флуктуациях плотности. Интенсивность компонент
Мандельштама-Бриллюэна возникает за счёт рассеяния света на адиабатических флуктуациях
плотности.
В растворах в
интенсивность центральной компоненты дает вклад свет рассеяния на флуктуациях
концентрации. При приближении к температуре критической точки или особой точки
вклад в интенсивность центральной линии со стороны флуктуаций концентрации
существенно растет. Отсюда и отношение интенсивности центральной линии к
интенсивностям компонент Мандельштама-Бриллюэна также будет расти.
В этом случае нельзя
считать, что мы измеряем соотношение Ландау-Плачека, которое определяется
формулой
(3.1)
где СР
и СV - удельные теплоёмкости при постоянном давлении и постоянном объём
соответственно.
Здесь IС
- интенсивность центра, IМБ
- интенсивность компонент Мандельштама-Бриллюэна.
В нашей работе в
интенсивность центра входит не только свет рассеяния на изобарических
флуктуациях плотности, но и свет, рассеянный на флуктуациях концентраций.
Поэтому в нашем случае отношение
показывает лишь
относительное увеличение интенсивности центра, которое укажет на координату
особой точки.
3.3 Результаты измерения
интенсивности рассеяния в зависимости от температуры
Как было сказано выше, индикатриса
рассеянного света вблизи критических и особых точек растворов отличается от
релеевской тем, что рассеяние под малыми углами имеет большую интенсивность,
чем рассеяние под большими углами. Другими словами, рассеяние вперед
существенно выше, чем рассеяние назад. Таким образом, особенности опалесценции
больше выражены при малых углах рассеяния.
В наших экспериментах
угол рассеяния
.
Этот угол позволяет изучать интенсивность в более благоприятных условиях, по
сравнению, например, с углом
.
Температурный интервал
исследований охватывал область от 9 0С до 80 0С.
В таблице 1 представлены
результаты эксперимента.
Наряду с максимальными
интенсивностями центров триплета Мандельштама-Бриллюэна, была измерена также и
интегральная интенсивность. Для этого интенсивность центра умножалась на полуширину
линии.
Под интенсивностью
Мандельштама-Бриллюэна использовали высоту спектральной линии на диаграммной
ленте спектра, которая была получена при одинаковых условиях интенсивности
возбуждавшего света, коэффициента усиления приёмно-регистрирующей системы,
напряжения на эмитерных элементах ФЭУ т.д.
При необходимости
центральная спектральная линия ослаблялось нейтральный фильтром. С известным,
проградуированным коэффициентом ослабления, которое использовалось при оценке
интенсивности. Распределение интенсивности в спектральных линиях
апроксимировалось функцией Гаусса, поэтому в пределах ошибок записи спектра мы
оценивали и интегральную интенсивность линии излучения.
Таблица 1. Интенсивность
светорассеяния в растворе вода-
пиколин при концентрации
0.06 м.д.
|
Температура
|
  
|
|
|
|
|
1
|
9.5
|
83.3
|
1433
|
78.3
|
1353
|
|
2
|
16.0
|
99.3
|
2136
|
90.7
|
2146
|
|
3
|
19.8
|
87.3
|
1368
|
50.7
|
980
|
|
4
|
21.8
|
103.7
|
1866
|
92.2
|
1610
|
|
5
|
25.5
|
110.0
|
843
|
92.2
|
720
|
|
6
|
27.0
|
121.7
|
2596
|
91.5
|
1983
|
|
7
|
30.5
|
148.3
|
2942
|
99.6
|
2033
|
|
8
|
36.4
|
126.3
|
2021
|
97.7
|
1514
|
|
9
|
38.9
|
95.0
|
2136
|
78.3
|
1749
|
|
10
|
40.8
|
176.0
|
3696
|
112.7
|
2469
|
|
11
|
41.6
|
148.7
|
3171
|
101.2
|
2141
|
|
12
|
42.8
|
149.0
|
2384
|
104.8
|
1790
|
|
13
|
45.0
|
179.7
|
3662
|
109.3
|
2191
|
|
14
|
47.6
|
86.3
|
1353
|
56.4
|
982
|
|
15
|
49.6
|
173.3
|
3871
|
127.5
|
2869
|
|
16
|
171.7
|
3548
|
91.0
|
1850
|
|
17
|
58.3
|
208.0
|
4368
|
121.3
|
2427
|
|
18
|
59.8
|
178.0
|
3797
|
115.0
|
2396
|
|
19
|
60.4
|
178.0
|
3797
|
116.2
|
2401
|
|
20
|
60.6
|
173.3
|
3897
|
102.5
|
2394
|
|
21
|
60.9
|
166.0
|
3486
|
101.0
|
2155
|
|
22
|
61.2
|
143.7
|
3304
|
92.3
|
2000
|
|
23
|
61.6
|
153.3
|
3450
|
99.0
|
2182
|
|
24
|
62.8
|
155.0
|
3513
|
84.8
|
1896
|
|
25
|
63.6
|
149.7
|
3043
|
73.3
|
1442
|
|
26
|
64.6
|
155.7
|
3424
|
77.2
|
1648
|
|
27
|
65.3
|
185.7
|
4085
|
117.0
|
2506
|
|
28
|
66.6
|
220.3
|
4548
|
134.8
|
2718
|
|
29
|
66.8
|
166.0
|
3652
|
100.3
|
2140
|
|
30
|
67.3
|
231.3
|
5086
|
123.8
|
2700
|
|
31
|
69.1
|
166.7
|
3500
|
104.3
|
2174
|
|
32
|
69.4
|
166.7
|
3611
|
100.0
|
2120
|
|
33
|
71.6
|
180.0
|
3915
|
115.5
|
2493
|
|
34
|
78.7
|
155.7
|
3269
|
97.0
|
2086
|
|
35
|
79.4
|
163.0
|
3532
|
108.3
|
2474
|
|
36
|
81.3
|
149.3
|
3136
|
109.3
|
2278
|
В таблице 2 представлены данные,
которые определяют изменение максимального значения интенсивности центра
триплета по отношению к интенсивности при температуре раствора t=9.5 0C
Таблица 2. Относительная
интенсивность центральной линия в растворе
-пиколин - вода при
концентрации 0.06 м.д. (угол рассеяния 450)
|
Температура
|

|
|
|
1
|
9.5
|
83.3
|
1.00
|
|
2
|
16.0
|
99.3
|
1.19
|
|
3
|
19.8
|
87.3
|
1.05
|
|
4
|
21.8
|
103.7
|
1.24
|
|
5
|
25.5
|
110.0
|
1.32
|
|
6
|
27.0
|
121.7
|
1.46
|
|
7
|
30.5
|
148.3
|
1.78
|
|
8
|
36.4
|
126.3
|
1.52
|
|
9
|
40.8
|
176.0
|
2.10
|
|
10
|
41.6
|
148.7
|
1.78
|
|
11
|
42.8
|
149.0
|
1.79
|
|
12
|
45.0
|
179.7
|
2.16
|
|
13
|
49.6
|
173.3
|
2.08
|
|
14
|
57.8
|
171.7
|
2.06
|
|
15
|
58.3
|
208.0
|
2.50
|
|
16
|
59.8
|
178.0
|
2.14
|
|
17
|
60.4
|
178.0
|
2.14
|
|
18
|
60.6
|
173.3
|
2.08
|
|
19
|
60.9
|
166.0
|
1.99
|
|
20
|
61.2
|
143.7
|
1.72
|
|
21
|
61.3
|
147.3
|
1.77
|
|
22
|
61.6
|
153.3
|
1.84
|
|
23
|
62.8
|
155.0
|
1.86
|
|
24
|
63.6
|
149.7
|
1.80
|
|
25
|
64.6
|
155.7
|
1.87
|
|
26
|
65.3
|
185.7
|
2.23
|
|
27
|
65.6
|
164.7
|
1.97
|
|
28
|
66.8
|
166.0
|
1.99
|
|
29
|
69.1
|
166.7
|
2.00
|
|
30
|
69.4
|
166.7
|
2.00
|
|
31
|
70.6
|
121.3
|
1.46
|
|
32
|
78.7
|
155.7
|
1.87
|
|
33
|
79.4
|
163.0
|
1.96
|
|
34
|
81.3
|
149.3
|
1.79
|
Таблица 3. Относительная
интенсивность КМБ в растворе
-пиколин-вода при
концентрации 0.06 м.д. (угол рассеяния 450)
|
№
|
Температура
|

|
|
|
1
|
9.5
|
78.3
|
1.00
|
|
2
|
16.0
|
90.7
|
1.16
|
|
3
|
21.8
|
92.2
|
1.18
|
|
4
|
25.5
|
92.2
|
1.18
|
|
5
|
27.0
|
91.5
|
1.17
|
|
6
|
30.5
|
99.6
|
1.27
|
|
7
|
36.4
|
97.7
|
1.25
|
|
8
|
38.9
|
78.3
|
1.00
|
|
9
|
40.8
|
112.7
|
1.44
|
|
10
|
41.6
|
101.2
|
1.29
|
|
11
|
42.8
|
104.8
|
1.34
|
|
12
|
45.0
|
109.3
|
1.40
|
|
13
|
47.6
|
56.4
|
0.72
|
|
14
|
49.6
|
127.5
|
1.63
|
|
15
|
57.8
|
91.0
|
1.16
|
|
16
|
58.3
|
121.3
|
1.55
|
|
17
|
59.8
|
115.0
|
1.47
|
|
18
|
60.4
|
116.2
|
1.48
|
|
19
|
60.6
|
102.5
|
1.30
|
|
20
|
60.9
|
101.0
|
1.29
|
|
21
|
61.2
|
1.18
|
|
22
|
61.3
|
91.8
|
1.17
|
|
23
|
61.6
|
99.0
|
1.26
|
|
24
|
62.8
|
84.8
|
1.08
|
|
25
|
63.6
|
73.3
|
0.94
|
|
26
|
64.6
|
77.2
|
0.98
|
|
27
|
65.3
|
117.0
|
1.49
|
|
28
|
65.6
|
86.3
|
1.10
|
|
29
|
66.8
|
100.3
|
1.28
|
|
30
|
67.1
|
66.5
|
0.85
|
|
31
|
67.3
|
123.8
|
1.58
|
|
32
|
69.1
|
104.3
|
1.33
|
|
33
|
69.4
|
100.0
|
1.28
|
|
34
|
70.6
|
71.8
|
0.92
|
|
35
|
71.6
|
115.5
|
1.47
|
|
36
|
78.7
|
97.0
|
1.24
|
|
37
|
79.4
|
108.3
|
1.38
|
|
38
|
81.3
|
109.3
|
1.39
|
В таблице 3 представлены данные,
которые определяют изменение максимального значения интенсивностей компонент
Мандельштама-Бриллюэна по отношению к температуре t=9.5 0C
На рис. 13 показана
зависимость относительной интенсивности рассеянного света от температуры в
тонкой структуре линии Релея
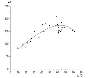
Зависимость относительной
интенсивности рассеянного света от температуры в тонкой структуре линии Релея
(таблица 1)
Как видно из рисунка, несмотря на
большую ошибку эксперимента (30%), видна тенденция к развитию небольшого
максимума в высокотемпературной области.
Чтобы убедиться в том, что в
высокотемпературной области действительно существует максимум, мы воспользуемся
данными таблиц 2 и 3. Здесь динамика интенсивности рассеяния рассматривается
нами как величина относительная. Все данные пересчитаны для интенсивности
максимумов по отношению к максимуму, полученному при температуре
9,50С
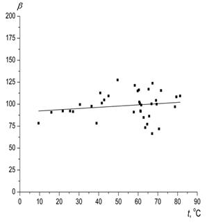
На рис 14. представлены
значения, приведенные в таблице 2.
Температурная зависимость
интенсивности центральной линии (таблица 2)
Все данные пересчитаны
для интенсивности компоненты Мандельштама-Бриллюэна по отношению к компоненте
Мандельштама-Бриллюэна при температуре 9,50С
.
На рис. 15. представлена значения,
приведенные в таблице 3.
Рис. 15. Температурная зависимость
интенсивности КМБ
Сплошными линиями на рисунках 13-15
показано усреднение экспериментальных данных методом наименьших квадратов.
Следующим этапом было использование
сплошных линий для получения относительного увеличения интенсивности
рассеянного света в исследованном растворе в температурном интервале от 9,5 0С
до 80 0С.
В таблице 4. приведены эти данные,
которые получены путем деления значений сплошной кривой, изображенной на рис.
15, на соответствующую кривую на рис. 14.
Таблица 4. Относительное изменение
интенсивности центральной компоненты и КМБ
|
№
|
Температура
|
|
|
1
|
10
|
1.00
|
|
2
|
15
|
1.10
|
|
3
|
20
|
1.25
|
|
4
|
25
|
1.30
|
|
5
|
30
|
1.40
|
|
6
|
35
|
1.45
|
|
7
|
40
|
1.54
|
|
8
|
45
|
1.60
|
|
9
|
50
|
1.64
|
|
10
|
55
|
1.67
|
|
11
|
60
|
1.68
|
|
12
|
65
|
1.65
|
|
13
|
70
|
1.60
|
|
14
|
75
|
1.50
|
|
15
|
80
|
1.38
|
Результаты, приведенные в таблице 4,
показаны на рис.
Относительное изменение
интенсивности центральной компоненты и КМБ
Как видно из рисунка максимум
интенсивности рассеянного света приходится на область температур от 55 0С
до 65 0С. Это неплохо согласуется с результатом, полученным с
использованием излучения без спектрального разложения. Таблица 1, где максимум
располагается в районе 65 0С.
Из приведенных на рисунках 13-16
результатов видно, что относительная интенсивность центральной компоненты
растёт с температурой, проходит через максимум, а затем уменьшается. Максимум
интенсивности рассеяния для центральной компоненты наблюдается при температуре
порядка 600С.
Рост интенсивности с
температурой начинается далеко от предполагаемой критической точки, тогда как
рост флуктуаций и их радиуса корреляции, присущие критическим точкам, должны
существенным образом проявляться в светорассеянии в температурных пределах
.
Монотонное увеличение интенсивности рассеяния на флуктуациях концентрации в нашем
случае не характерно для критической опалесценции. Заметное расхождение
поведения интенсивности рассеянного света, по сравнению с поведением этой
величины в окрестности двойной критической точки растворов, проявляется как
качественно, так и количественно.
По этой причине мы можем
только констатировать тот экспериментальный факт, что для исследуемого раствора
в спектрально разложенном свете наблюдается наличие максимума рассеяния в
окрестности температуры, соответствующей температуре особой точке раствора.
Этот максимум рассеяния связан с развитыми флуктуациями концентрации. Характер
температурного поведения, т.е. рост размера флуктуаций и радиуса их корреляции,
вряд ли может быть объяснен критическим поведением, аналогичным критическим
явлениям в случае расслаивающих растворов вблизи критической точки
расслаивания.
Таким образом, среди
водных растворов неэлектролитов раствор
-пиколин-вода обладает
ярко выраженным физическим свойством при определенной концентрации и температуре,
которое определяет термодинамическое состояние раствора, и которое принято
называть особой точкой на фазовой диаграмме Т-С.
Подробные исследования
интегральной интенсивности рассеяния Вуксом и Лиснянским позволили авторам
предположить, что особая точка раствора соответствует состоянию
термодинамически неустойчивого равновесия, когда раствор по температуре и
концентрации наиболее близок к критической точке расслаивания. В то же время,
подробные исследования Анисимова поведения удельной теплоёмкости в зависимости
от концентрации и температуры позволили сделать вывод, что в природе особой
точке водных растворов лежит механизм структурного перехода, а максимум
интенсивности рассеяния связан не с критическими флуктуациями концентрации, а
вызван процессом структурной перестройки растворов на молекулярном уровне. В
результате этой перестройки возникают области, содержащие примеси третей
компоненты раствора. Возможность структурного фазового перехода в растворах в
окрестности особой точки показана экспериментально в работах [26-28]. В водных
растворах в зависимости от типа проявленного взаимодействия могут
образовываться различные типы структур: от надмолекулярных агрегатов,
движущихся как одно целое, до ассоциатов, состоящих из молекул одного сорта.
Обзор различных
интерпретаций экспериментальных результатов, выполненный в [33], показал, что
они предполагают близость состояния раствора при нормальном давления к фазовому
переходу жидкость-жидкость или образование на молекулярных структур типа
кластеров.
Известно, что
существенную информацию можно получить о характера перехода термодинамическим
состояние раствора и динамике процессов протекающих вблизи критических точек
может быть получена при исследовании скорости высокочастотного звука. Такого
рода исследования были выполнены, когда длина волны звука сопоставима с
характерным масштабом структурных флуктуаций [41].
Анализ вышеперечисленных
экспериментальных фактов позволяет нам сделать вывод, что полученные нами
результаты по поведению интенсивности светорассеяния в окрестности особой точки
на флуктуациях концентрации, скорее всего, обусловлены структурным переходом
жидкость-жидкость.
Выводы
Результаты исследования
интегральной интенсивности в компонентах спектра тонкой структуры линии Рэлея -
центральная компонента и компоненты Мандельштама-Бриллюэна - в широкой области
температур в растворе
-
пиколин-вода (0.06 м.д.
-
пиколина) могут быть обобщены следующим образом:
1. Выполнен анализ современных
сложившихся представлений о физических механизмах, приводящих к увеличению
интенсивности рассеяния света в окрестности критических и особых точек
растворов;
2. Методом лазерной
спектроскопии с использованием двухпроходного интерферометра Фабри-Перо
высокого разрешения и контрастности были получены спектры тонкой структуры
линии Релея в водном растворе критической концентрации в окрестности особой
точки состояния;
3. Проведено
исследование температурного поведения интенсивности изотропного рассеяния света
в растворе
-пиколин-вода
критической концентрации;
. Изучение
распределения интенсивности в компонентах тонкой структуры показывает, что
рассеяние на флуктуациях концентрации в центральной несмещённой компоненте триплета
превосходит по интенсивности рассеяние Мандельштама-Бриллюэна во всём
температурном интервале исследования;
. Максимум
интенсивности рассеяния, который приходится на центральную компоненту тонкой
структуры линии Релея, обусловлен флуктуациями концентрации;
6. Центр триплета растет с ростом
температуры и имеет максимум в районе 650С. Это согласуется с
тем, что при приближении к особой точке раствора происходит рост флуктуаций
концентрации;
7. Интенсивность компонент
Мандельштам-Бриллюэна во всем исследованном интервале температур меняется
незначительно как по абсолютному значению, так и по отношению к интенсивности
при температуре t=9.50C;
. Как и следовало ожидать,
максимум относительной интенсивности весьма небольшой и захватывает область
температур не менее 5-100С в отличие от резкого увеличения
интенсивности рассеянного света вблизи нижней и верхней критических температур
расслаивания;
. Достаточная ширина купола
наблюдаемого максимума предоставляет возможность изучения различных явлений
вблизи особой точки уже за 3-50С от неё, в то время как все
критические явления вблизи верхней или нижней точки расслаивания разыгрываются
в непосредственной близости от нее в пределах 0.1-0.01 0С;
. Наши исследования дают
возможность существенно расширить температурный диапазон изучения критических
явлений, возникающих вследствие развитых флуктуаций концентрации.
Литература
1. Фабелинский И.Л. Избранные труды. В 2 т. Под ред. В.Л.
Гинзбурга. М.: Физматлит, 2005. Фабелинский И.Л. Молекулярное рассеяние света.
М.: Наука, 1965.
2. Фабелинский И.Л. // УФН. 1994. т. 164. №9. с. 897.
3. Анисимов М.А. Критические явления в жидкостях и жидких
кристаллах. М.: Наука, 1987.
4. Вукс М.Ф., Лиснянский Л.И. В кн.: Критические явления и
флуктуации в растворах. М.,
1960.
5. Лиснянский Л.И., Вукс М.Ф. // Вестник Ленингр. ун-та. 1962. №4. с. 67.
6. Эскин В.Е., Нестеров А.Е. // Укр. физ. журн. 1964. т. 9. №5. с. 540.
7. Вукс М.Ф. Рассеяние света в газах, жидкостях и растворах.
Л., Изд-во Ленингр. ун-та, 1977.
. Сабиров Л.М. Спектры молекулярного рассеяния света и
распространение гиперзвука в жидкостях и растворах. Дисс. док. физ.-мат. наук. Самарканд. 1984.
9. Хайдаров Х.С. Спектры тонкой структуры рассеяния в
окрестности особой точки водных растворов. Дисс. канд. физ.-мат. наук. Самарканд. 2010.
10. Коваленко К.В., Кривохижа С.В., Фабелинский И.Л., Чайков
Л.Л. // Краткие сообщения по физике ФИАН. 2002. №11. с. 19.
11. Шахпаронов М.И. Введение в современную теорию растворов. М.: Высш. школа, 1976.
. Walker J.S., Vause C.A. // Phys. Lett. A. 1980. v. 79. p.
421.
. Walker J.S., Vause C.A. // J. Chem. Phys. 1983. v. 79. p.
2660.
14. Анисимов М.А., Воронель А.В., Городецкий Е.Е. // ЖЭТФ.
1971. т. 60. с. 1117.
15. Andon R.J.L, Cox J.D. // J. Chem. Soc. (London). 1952. p.
4601.
. Andon R.J.L, Cox J.D. // J. Chem. Soc. (London). 1952. p.
4606.
17. Рощина Г.П., Антонова М.Г., Ищенко Э.Д. // Укр. физ. журн. 1967. т. 12. №2. с. 315.
18. Shneider G.M. // Ber. Bun. Gessel for Phys. Chem. 1972. v. 76. p. 325.
. Garland C.W., Nishigaki K. // J. Chem. Phys. 1976. v. 65.
p. 5298.
20. Larsen G.A., Sorensen C.M. // Phys. Rev. Lett. 1985. v. 54. p. 343.
21. Sorensen C.M., Larsen G.A. // J. Chem. Phys. 1985. v. 83. p. 1835.
. Jacob J., Kumar A., Asokan S., Sen D., Chitra R.,
Mazumder S. // Chem. Phys. Lett. 1999. v. 304. p. 180.
23. Давидович С.А., Шиндер И.И. // ЖЭТФ. 1989. т. 95. с. 1289.
. Кривохижа С.В., Луговая О.А., Фабелинский И.Л., Чайков
Л.Л. // ЖЭТФ. 1985. т. 89. №1, с.
85.
25. Кривохижа С.В., Фабелинский И.Л., Чайков Л.Л. // Известия
ВУЗов. Сер. Радиофизика. 1987.
т. 30. №2. с. 308.
26. Кривохижа С.В., Луговая О.А., Фабелинский И.Л., Чайков
Л.Л., Цитровский А., Яни Л. // ЖЭТФ. 1993. т. 103. №1. с. 115.
27. Кривохижа С.В., Фабелинский И.Л., Чайков Л.Л. // Письма
ЖЭТФ. 1994. т. 60. №5. с. 333.
28. Кривохижа С.В., Фабелинский И.Л., Чайков Л.Л. //
Акустический журнал. 2001.
т. 47. №2. с. 238.
29. Родникова М.Н., Ланшина Л.В., Чабан И.А. // Доклады АН.
1990. т. 315. №1. с. 148.
30. Ланшина Л.В., Родникова М.Н., Чабан И.А. // Журн. физ.
химии. 1992. т. 66. №1. с. 204.
31. Корсунский В.И., Наберухин Ю.И. // Журн. структ. химии. 1977. т. 18. №3. с. 587.
32. Кашаева Л.М., Омонова Н.Ш., Сабиров Л.М., Сабиров Р.Л.,
Туракулов Я.Т., Утарова Т.М. // Акустический журнал. 1996. т. 42. №5. с. 639.
. Subramanian D., Ivanov D.A., Yudin I.K., Anisimov M.A.,
Sengers J.V. // J. Chem. Eng. Data. 2011. v. 56 (4). p. 1238.
34. Антонченко В.Я., Давыдов А.С., Ильин В.В. Основы физики
воды. Киев: Наукова думка,
1991.
35. Родникова М.Н., Чумаевский Н.А. // Журн. структур. химии. 2006. т. 47 [Прил.]. S154.
36. Чабан И.А., Родникова М.Н., Жакова В.В. // Молекулярная
биофизика. 1996. т. 41. №2. с. 293.
. Semenov D.I. // Physics of wave phenomena. 2010. v. 18
(3). p. 155.
38. Сабиров Л.М., Семенов Д.И., Хайдаров Х.С. // Оптика и спектроскопия.
2007. т. 102. №6. с. 955.
39. Сабиров Л.М., Семенов Д.И., Хайдаров Х.С. // Оптика и
спектроскопия. 2008. т. 105. №3.
с. 405.
40. Бункин Н.Ф., Горелик В.С., Сабиров Л.М., Семенов Д.И.,
Хайдаров Х.С. // Квантовая электроника. 2010. т. 40. №9. с. 817.
. Sabirov L.M., Semenov D.I., Utarova T.M., Haydarov H.S.
// Physics of wave phenomena. 2011. v. 19 (3). p. 177.
. Euliss Q.W., Sorensen C.M. // J. Chem. Phys. 1984. v. 80
(10). p. 4767.
43. Л.М. Сабиров, Д.И. Семенов, Х.С. Хайдаров, И. Бекпулатов //
«Cтруктурная неоднородность водных растворов третичного бутилового
спирта в области малых концентраций.» 2012
г. 338 стр.