Учет и анализ брака продукции
РОССИЙСКАЯ ФЕДЕРАЦИЯ
Московская область
Филиал государственного бюджетного
образовательного учреждения высшего образования Московской области «Университет
«Дубна» - Дмитровский институт непрерывного образования
Кафедра менеджмент и государственного
и муниципального управления
КУРСОВАЯ РАБОТА ПО ДИСЦИПЛИНЕ
УЧЕТ И АНАЛИЗ
ТЕМА «Учет и анализ брака продукции»
Выполнила:
студентка группы 0412-ЛО(о) 4 курса
Направление:
менеджмент
Профиль:
логистика
Смоленкова
А.В.
Руководитель:
Подколзина А.
И.
г. Дмитров - 2015 г.
Оглавление
Введение
.
Теоретические основы учета потерь в производстве
.1
Классификация, учет и анализ брака
.2 Расчет
потерь от брака
. Учет и
анализ хозяйственной деятельности компании
.1 Учет
хозяйственной деятельности организации
.2 Анализ
хозяйственной деятельности организации
Заключение
Список
источников
Приложения
Введение
Целью данной курсовой работы является изучение учёта некондиционного
товара с последующим его анализом.
Задачи курсовой работы:
. Рассмотреть классификацию, учет и анализ брака
. Рассмотреть причины возникновения брака
. Провести расчет брака
. Провести анализ хозяйственной деятельности компании
Предмет исследования - создание оптимального подхода по учёту
некондиционного товара.
Объект исследования - Учёт и анализ (финансовый учёт, управленческий
учёт, финансовый анализ).
Актуальность данной темы заключается в том, что каждая организация в
процессе своей деятельности сталкивается с некондиционным товаром, от этого не
избежать, ведь, даже самые «продвинутые» производители не могут избавиться от
производства некондиционного товара. Причин по возникновению некондиционного
товара бывают две, это внутренние (износ оборудования производства или
недостаточная квалификация работников), внешние (низкое качество поставляемых
товаров, выполнения работ, оказания услуг)
1. Теоретические основы учета потерь в производстве
.1 Классификация, учет и анализ брака
Браком называется продукция, передача которой потребителю не допускается
из-за наличия в ней дефектов. Дефект - это каждое отдельное несоответствие
продукции установленным требованиям. Дефекты бывают явные, выявление которых
регламентировано соответствующей документацией, и скрытые, выявление которых
документацией не предусмотрено.
Для единообразного и точного определения признаков допущенного брака на
заводах используются классификаторы брака, устанавливающие единую его
классификацию по видам, виновникам и причинам. Содержащиеся в классификаторе
шифры позволяют упростить все записи, связанные с оформлением брака, и
механизировать его учет.
Под видом брака подразумеваются конкретные дефекты и отступления от
установленных требований к качеству материала, форме, размерам изделия, которые
являются основанием для его забракования и отделения от годной продукции.
По видам в производстве различают исправимый и неисправимый брак.
Исправимым браком считаются заготовки, детали, узлы либо изделия с такими
дефектами, устранение которых технически возможно и экономически целесообразно,
что позволяет использовать их по прямому назначению без снижения требований к
качеству. Неисправимым (окончательным) браком считается тот,
дополнительные затраты на устранение которого проводить невозможно или
нецелесообразно.
Кроме того, различают брак внутризаводской, выявленный в ходе производственного
процесса, и внешний брак, обнаруженный за пределами завода, проявившийся в
сфере реализации или в процессе использования продукции. Внешний брак
свидетельствует как о плохом качестве продукции, так и о неудовлетворительной
работе контрольных служб предприятия и называется рекламацией. Появление
рекламаций наносит производителю не только материальный, но и моральный ущерб,
сказываясь на его репутации.
По причинам различают брак, допущенный из-за нарушения технологической
дисциплины (небрежное отношение рабочего к своей работе), ошибок в технической
документации, работы на неисправном или неправильно налаженном оборудовании,
использования некачественного инструмента, дефектов в исходном материале,
пропуска дефектов ОТК на последующих операциях.
По виновникам различают брак, допущенный по вине рабочего-оператора;
рабочего - наладчика оборудования; отделов главного технолога, главного
конструктора, главного механика; инструментального цеха; отдела технического
контроля качества.
Учет и анализ брака позволяет выявить его причины и конкретных
виновников, что является неотъемлемой частью рациональной организации
производства. Эти меры имеют целью разработку организационно-технических
мероприятий, обеспечивающих ликвидацию и предупреждение брака, учет потерь от
брака и отнесение их за счет конкретных виновников, организацию работ по
изготовлению продукции взамен забракованной. Наконец, данные учета и анализа
брака и рекламаций используются для подготовки статистических материалов,
используемых для изучения динамики брака по отдельным календарным периодам и
местам образования.
Каждая партия продукции предъявляется на контроль с сопроводительной
документацией, в которой контролер отмечает результаты проверки качества. При
обнаружении в предъявленной продукции неисправимого брака контролер обязан
оформить его актом. Исправимый брак возвращается на доработку. Акт является
основным и единым первичным документом для учета и анализа брака. Он должен
содержать только необходимые сведения: наименование изделия, а также операции,
на которой образовался брак, характеристику брака с указанием шифра его вида,
причины брака и его виновника (согласно классификатору), сумму потерь,
подлежащую взысканию с виновника.
Весь выявленный брак помечается клеймом, немедленно изымается и направляется
на склад-изолятор, откуда передается на склад утиля.
Если брак продукции обнаруживается у потребителя, на предприятие
поступает рекламация. В ней указываются причины, вследствие которых продукция
не удовлетворяет требованиям заказчика. Предприятие проверяет обоснованность
рекламации, и бракованную продукцию заменяют годной, возмещая потребителю
убытки. Возврат дефектной или бракованной продукции по каждому
производственному звену учитывается при оценке эффективности его работы,
подведении итогов деятельности всего предприятия.
Анализ брака и рекламаций производится в разрезе отдельных причин,
виновников и видов. Он имеет целью отобразить:
а) процент брака по заводу и его подразделениям;
б) потери от брака в нормо-часах и в денежном выражении.
Таблица 1. Классификатор брака по виновникам и причинам
|
Виновник брака
|
Шифр брака
|
Причина брака
|
|
Рабочий-исполнитель
|
|
Небрежное отношение к работе или нарушение технологии
|
|
Рабочий-наладчик
|
|
Неправильная наладка оборудования
|
|
Администрация цеха
|
04 05 06 07
|
Неправильное хранение и транспортирование матери алов,
комплектующих изделий, деталей Неправильный инструктаж рабочего
Несоответствие марки материала требованиям чертежа Неверная наладка
оборудования Недоброкачественный инструмент, штампы, модели и др
|
|
Отдел главного технолога
|
10 11 12
|
Ошибки в технологической документации Несвоевременное
изменение технологий Технический дефект оснастки, заложенный в документации
|
|
Отдел главного конструктора
|
20 21
|
Ошибки в конструкторской документации Несвоевременная
коррекция чертежей
|
|
Отдел технического контроля
|
|
Пропуск брака на последующие операции Несвоевременный
контроль средств измерения, инструментов, приспособлений
|
|
Отдел главного механика (энергетика)
|
|
Неисправное оборудование
|
|
Внешние поставщики
|
|
Скрытые дефекты материалов и комплектующих изделий
|
1.2
Расчет потерь от брака
При анализе брака рассчитывают абсолютные и
относительные показатели. Абсолютный размер брака представляет собой сумму
затрат на окончательно забракованную продукцию и расходов на исправление исправимого
брака.
Абсолютный размер потерь от брака получают путем
вычитания из абсолютного размера брака стоимости брака по цене использования,
суммы удержаний с виновников брака и суммы взысканий с поставщиков за поставку
некачественных материалов.
Относительные показатели размера брака и потерь от
брака рассчитываются как процентное отношение абсолютного размера брака или
потерь от брака к производственной себестоимости товарной продукции. Пример
расчета этих показателей приведен в таблице 2.
Из таблицы можно сделать вывод о том, что основной
причиной брака являлась поставка некачественного сырья или иных видов
материальных ресурсов. В отчетном году, основываясь на опыте предыдущего
периода, производитель составил договор на поставку материалов, предусматривающий
компенсацию в случае их низкого качества, что позволило сократить абсолютный
размер потерь от брака на 8500 ден. ед.
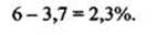
Абсолютный размер потерь от брака снизился на 8500
ден. ед. или на 64,6%:
Относительный размер потерь от брака снизился на 2,3%:
Таблица 2. Расчет потерь от брака
|
Показатель, ден. ед
|
Предыдущий год
|
Отчетный год
|
|
1. Себестоимость окончательного брака
|
|
|
|
2 Расходы по исправлению брака
|
|
|
|
3. Абсолютный размер брака (стр. 1 + стр. 2)
|
|
31 500
|
|
4. Стоимость брака по цене использования
|
|
|
|
5. Суммы, удержанные с виновников брака
|
-
|
|
|
6. Суммы, взысканные с поставщиков сырья
|
-
|
|
|
7. Абсолютный размер потерь от брака (стр. 3 - стр. 4 -
стр. 5 - стр. 6)
|
|
|
|
8. Товарная продукция по производственной себестоимости,
годовой выпуск
|
400 000
|
|
|
9. Относительный размер брака (стр. 3 : стр. 8 х 100), %
|
7,5
|
7,5
|
|
10 Относительный размер потерь от брака (стр 7 • стр. 8 х
100)
|
|
3,7
|
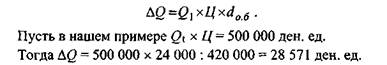
Определим стоимость годной продукции, которая могла быть получена при
отсутствии брака AQ. Для этого необходимо фактический объем продукции в
плановых ценах (Q\ x Ц)умножить на долю окончательного брака производственной
себестоимости (d0e):
Таким образом, менеджеры предприятия должны рекомендовать руководству
найти компанию, поставляющую более качественное сырье для данного производства.
В заключение отметим, что анализ брака следует начинать с изучения причин его
возникновения и виновников.
2. Учет и анализ хозяйственной деятельности компании
.1 Учет хозяйственной деятельности организации
Для проведения учета хозяйственной деятельности организации и для того
чтобы составить баланс на конец отчетного периода, в первую очередь представим
баланс компании на начало отчетного периода 2015г. (табл. 3).
Таблица 3. Баланс на начало 2015г., руб.
|
Счет
|
|
Сальдо на начало года
|
|
|
Дт
|
Кт
|
|
01
|
Основные средства
|
45201
|
|
|
02
|
Амортизация основных средств
|
|
20960
|
|
04
|
Нематериальные активы
|
2728
|
|
|
05
|
Амортизация НМА
|
|
1161
|
|
10
|
Материалы
|
2908
|
|
|
20
|
Основное производство
|
1909
|
|
|
23
|
Вспомогательное производство
|
1539
|
|
|
50
|
Касса
|
128
|
|
|
51
|
Расчетный счет
|
19200
|
|
|
43
|
Готовая продукция
|
3080
|
|
|
71
|
Расчеты с подотчетными лицами
|
57
|
270
|
|
76
|
Расчеты с прочими дебит. и кредит.
|
3736
|
2241
|
|
80
|
Установочный капитал
|
|
9600
|
|
83
|
Добавочный капитал
|
|
18400
|
|
82
|
Резервный капитал
|
|
1346
|
|
60
|
Расчеты с поставщиками и подрядч.
|
|
7620
|
|
62
|
Расчеты с покупателями и заказчиками
|
2561
|
|
|
68
|
Расчеты с бюджетом
|
299
|
|
|
69
|
Расчеты по соц.страх. и обеспечению
|
|
762
|
|
70
|
Расчеты с персоналом по оплате труда
|
|
4356
|
|
66
|
Краткосрочные кредиты банков
|
|
6800
|
|
98
|
Доходы будущих периодов
|
|
1945
|
|
84
|
Нераспределенная прибыль
|
|
7885
|
|
ИТОГО:
|
83346
|
83346
|
Далее следует этап составления журнала хозяйственных операций (табл. 4).
В графе 2 «Содержание операций» в хронологической последовательности
позиционным способом на основании каждого первичного документа отражаются все
хозяйственные операции.
Затем следует отражать следующие операции: поступление материалов от
поставщиков, сумму транспортных расходов, начисление заработной платы,
страховых взносов, начисление амортизации. На счете 20 «Основное производство»
- дебет собираются затраты на производство продукции. По завершении месяца
данные затраты списываются с кредита счета 20 в дебет счета 43 «Готовая продукция».
В момент реализации затраты списываются с кредита счета 43 в дебет счета 90
«Продажи». На счете 90 выявляется финансовый результат от реализации продукции.
В месяце, следующем за отчетным, перечисляются налоги, оплачиваются счета
поставщиков, выплачивается заработная плата. По окончании квартала учитываются
налоги на имущество и с прибыли. В конце журнала хозяйственных операций
показывается сумма чистой прибыли предприятия.
Чтобы получить сведения об оборотах, имевших место в отчетном периоде,
осуществлять проверку данных по счетам и составить баланс на конец этого
периода, составляют оборотную ведомость, в которой по каждому счету показывают:
остатки средств и их источников на начало отчетного периода; оборот за отчетный
период, остатки средств и их источников на конец отчетного периода (табл.25).
Для того чтобы составить оборотную ведомость, представим сальдо
начальное, сальдо конечное и оборот за отчетный период по каждому счету в
«Главной книге».
Таблица 4. Журнал хозяйственных операций
|
№ п/п
|
Содержание операции
|
Сумма, рублей
|
Д
|
К
|
|
1
|
Поступило от поставщика материальные ценности В том числе
НДС 18%
|
5140 925
|
10 19
|
60
|
|
2
|
Перечислено с р/с за полученные материалы
|
6065
|
60
|
51
|
|
3
|
Приняли к зачету по расчетам с бюджетом НДС по полученным и
оплаченным материальным ценностям
|
925
|
68
|
19
|
|
4
|
Получено по чеку для выплаты з/п
|
4360
|
50
|
51
|
|
5
|
Выплачена з/п по платежным ведомостям
|
4000
|
70
|
50
|
|
6
|
Доходы будущих периодов согласно расчету зачислены на
финансовые результаты
|
162
|
98
|
91
|
|
7
|
Поступила с р/с дебиторская задолженность от прочих
дебиторов
|
3736
|
51
|
76
|
|
8
|
Погашена частично краткосрочная ссуда банка
|
4400
|
66
|
51
|
|
9
|
Перечислена краткосрочная задолженность поставщику
|
3620
|
60
|
51
|
|
10
|
Переданы материалы во вспомогательное производство
|
2600
|
23
|
10
|
|
11
|
Переданы в основное производство материалы
|
2540
|
20
|
10
|
|
12
|
Реализованы материалы сторонней организации. Предъявлен
счет по ценам реализации НДС
|
2880 2880
|
62 51
|
91 62
|
|
13
|
Начислен НДС подлежащий взносу в бюджет
|
518
|
91
|
68
|
|
14
|
Списана на реализацию с/с материалов
|
1720
|
91
|
10
|
|
15
|
Начислена з/п работникам основного производства
|
3220
|
20
|
70
|
|
16
|
Начислены взносы в ПФ Фонд соц.страх. ФОМС
|
837 93
68
|
20 20 20
|
69
|
|
17
|
Удержанный НДФЛ согласно ведомостям начислен в бюджет
|
404
|
70
|
68
|
|
18
|
Поступила на склад от основного производства готовая продукция
|
2960
|
43
|
20
|
|
19
|
Отгружена покупателю готовая продукция согласно договору
с/с
|
2841
|
90
|
43
|
|
20
|
Поступила на р/с вырочка от реализации продукции по ценам
реализации с ндс
|
3840
|
51
|
90
|
|
21
|
Начислен НДС к взносу в бюджет
|
691
|
90
|
68
|
|
22
|
Определен финансовый результат от реализации продукции (по
субсчетам счета 90)
|
308
|
90
|
99
|
|
23
|
Определен финансовый результат от материалов Списаны доходы
будущих периодов
|
642
|
91
|
99
|
|
24
|
Списана прибыль в конец года
|
1112
|
99
|
84
|
Расчет недостающих данных в журнале хозяйственных операций:
) Расчет НДС (18 %) на полученные от поставщика материальные ценности =
5140*0.18 = 925.
)Перечислено с р/с за полученные материалы = 5140 + 925=6065
) Приняли к зачету по расчетам с бюджетом НДС по полученным и оплаченным
материальным ценностям = 5140*0.18 = 925
) Начислен НДС подлежащий взносу в бюджет = 2880*0.18 = 518
.1) Начислены взносы в ПФ (на данный момент ставка составляет 26% от
заработной платы работников) = 3220*0.26 = 837
.2) Начислены взносы в фонд социального страхования (на данный момент
ставка составляет 2,9 % от заработной платы работников) = 3220*0.029 = 93
.3) Начислены взносы в ФОМС (на данный момент ставка составляет 2,1 % от
заработной платы работников) = 3220*0.021 = 68
) Начислен НДС к взносу в бюджет = 3840*0.18 = 691
) Определен финансовый результат от реализации продукции. Считается по
формуле
Фр = Вр - Спп,
где Вр - выручка от реализации, Спп - Себестоимость продукции. Так как у
нас выручка без учета НДС, необходимо высчитать и его.
Фр = 3840 - 2841 - 691 = 308
) Определен финансовый результат от материалов. Фр = Вр - Спп = 2880
-1720 - 518 = 642
) Списана прибыль в конец года. Прибыль от реализации продукции и
материалов плюс прочие доходы = 308+ 642 + 162 = 1112
Под сальдо понимается разница между доходом и расходом за определенный
промежуток времени. В бухгалтерском учете сальдо показывает разницу между
дебетом и кредитом.
Сальдо на начало года подразумевает остаток денежных средств на начало
определенного промежутка времени.
Чтобы рассчитать сальдо на конец года (Sк) по дебету, необходимо использовать следующую формулу:
Sк = Sн + Обд - Обк, (2)
где: Sн - сальдо на начало года;
Обд - оборот по дебету;
Обк - оборот по кредету.
Чтобы рассчитать сальдо на конец года по кредиту, необходимо использовать
следующую формулу:
Sк = Sн + Обк - Обд, (3)
где: Sн - сальдо на начало года;
Обд - оборот по дебету;
Обк - оборот по кредиту.
Ниже приведены главные книги по каждому счету, где определены сальдо на
конец года, оборот по дебету и оборот по кредиту.
Таблица 5 - Счет «Материалы» (10)
|
Период 1кв 2014
|
Оборот по Д10 с К
|
Итого по Д10
|
Период 1кв 2014
|
Оборот по К10 с Д
|
Итого К10
|
Sн
|
|
60
|
|
|
23
|
20
|
91
|
|
Д
|
К
|
Д
|
К
|
|
1)
|
5140
|
5140
|
10)
|
2600
|
|
|
2600
|
2908
|
0
|
1288
|
0
|
|
|
|
11)
|
|
2540
|
|
2540
|
|
|
|
|
|
|
|
14)
|
|
|
1720
|
1720
|
|
|
|
|
|
Итого
|
5140
|
5140
|
Итого
|
2600
|
2540
|
1720
|
6860
|
|
|
|
|
Sн=2908 руб.
Sк=2908+5140-6860=1288 руб.
Таблица 6 - Счет «НДС по приобретенным ценностям» (19)
|
Период 1кв 2014
|
Оборот по Д19 с К
|
Итого по Д19
|
Период 1кв 2014
|
Оборот по К19 с Д
|
Итого по К19
|
Sн
|
Sк
|
|
60
|
|
|
68
|
|
Д
|
К
|
Д
|
К
|
|
1)
|
925
|
925
|
3)
|
925
|
925
|
0
|
0
|
0
|
0
|
|
Итого
|
925
|
925
|
Итого
|
925
|
925
|
|
|
|
|
Таблица 7 - Счет «Основное производство» (20)
|
Период 1кв 2014
|
Оборот по Д20с К
|
Итого по Д20
|
Период 1кв 2014
|
Оборот по К20 с Д
|
Итого по К20
|
Sн
|
Sк
|
|
10
|
70
|
69
|
|
|
43
|
|
Д
|
К
|
Д
|
К
|
|
11)
|
2540
|
|
|
2540
|
18)
|
2960
|
2960
|
1909
|
0
|
5675
|
0
|
|
15)
|
|
3220
|
|
3220
|
|
|
|
|
|
|
|
|
16)
|
|
|
998
|
998
|
|
|
|
|
|
|
|
|
Итого
|
2540
|
3220
|
998
|
6758
|
Итого
|
2960
|
2960
|
|
|
|
|
Sн=1909 руб.
Sк=1909+6758-2960=5675 руб.
Таблица 8 - Счет «Вспомогательное производство» (23)
|
Период 1кв 2014
|
Оборот по Д23с К
|
Итого по Д23
|
Период 1кв 2014
|
Оборот по К23 с Д
|
Итого по К20
|
Sн
|
Sк
|
|
10
|
|
|
|
|
Д
|
К
|
Д
|
К
|
|
10)
|
2600
|
2600
|
-
|
-
|
-
|
1539
|
0
|
4139
|
0
|
|
Итого
|
2600
|
2600
|
Итого
|
-
|
-
|
|
|
|
|
Sн=1539 руб.
Sк=1539+2600-0=4139
руб.
Таблица 9 - Счет «Готовая продукция» (43)
|
Период 1кв 2014
|
Оборот по Д43с К
|
Итого по Д43
|
Период 1кв 2014
|
Оборот по К43с Д
|
Итого по К43
|
Sн
|
Sк
|
|
20
|
|
|
90
|
|
Д
|
К
|
Д
|
К
|
|
18)
|
2960
|
2960
|
19)
|
2841
|
2841
|
3080
|
0
|
3199
|
0
|
|
Итого
|
2960
|
2960
|
Итого
|
2841
|
2841
|
|
|
|
|
Sн=3080 руб.
Sк=3080+2960-2841=3199 руб.
Таблица 10 - Счет «Касса» (50)
|
Период 1кв 2014
|
Оборот по Д50с К
|
Итого по Д50
|
Период 1кв 2014
|
Оборот по К50с Д
|
Итого по К50
|
Sн
|
Sк
|
|
51
|
|
|
70
|
|
Д
|
К
|
Д
|
К
|
|
4)
|
4360
|
4360
|
5)
|
4000
|
4000
|
128
|
0
|
488
|
0
|
|
Итого
|
4360
|
4360
|
Итого
|
4000
|
4000
|
|
|
|
|
Sн=128
руб.
Sк=128+4360-4000=488
руб.
Таблица 11 - Счет «Расчетные счета» (51)
|
Период 1кв 2014
|
Оборот по Д51с К
|
Итого по Д51
|
Период 1кв 2014
|
Оборот по К51с Д
|
Итого по К51
|
Sн
|
Sк
|
|
76
|
90
|
|
|
60
|
50
|
66
|
60
|
|
Д
|
К
|
Д
|
К
|
|
7)
|
3736
|
|
3736
|
2)
|
6065
|
|
|
|
6065
|
19200
|
0
|
8331
|
0
|
|
20)
|
|
3840
|
3840
|
4)
|
|
4360
|
|
|
4360
|
|
|
|
|
|
|
|
|
8)
|
|
|
4400
|
|
4400
|
|
|
|
|
|
|
|
|
9)
|
|
|
|
3620
|
3620
|
|
|
|
|
|
Итого
|
3736
|
3840
|
7576
|
Итого
|
6065
|
4360
|
4400
|
3620
|
18445
|
|
|
|
|
Sн=19200 руб.
Sк=19200+7576-18445=8331 руб.
Таблица 12 - Счет «Расчеты с поставщиками и подрядчиками» (60)
|
Период 1кв 2014
|
Оборот по Д60с К
|
Итого по Д60
|
Период 1кв 2014
|
Оборот по К60с Д
|
Итого по К60
|
Sн
|
Sк
|
|
51
|
|
|
10
|
19
|
|
Д
|
К
|
Д
|
К
|
|
2)
|
6065
|
6065
|
1)
|
5140
|
925
|
6065
|
0
|
7620
|
0
|
11240
|
|
9)
|
3620
|
3620
|
|
|
|
|
|
|
|
|
|
Итого
|
9685
|
9685
|
Итого
|
5140
|
925
|
6065
|
|
|
|
|
Sн=7620 руб.
Sк=7620+9685-6065=11240руб.
Таблица 13 - Счет «Расчеты с покупателями и заказчиками» (62)
|
Период 1кв 2014
|
Оборот по Д62с К
|
Итого по Д62
|
Период 1кв 2014
|
Оборот по К62с Д
|
Итого по К62
|
Sн
|
Sк
|
|
91
|
|
|
|
51
|
|
Д
|
К
|
Д
|
К
|
|
12)
|
2880
|
|
2880
|
12)
|
2880
|
2880
|
2561
|
0
|
2561
|
0
|
|
|
|
|
|
|
|
|
|
|
|
|
Итого
|
2880
|
|
2880
|
Итого
|
2880
|
2880
|
|
|
|
|
Sн=2561 руб.
Sк=2561+2880-2880=2561 руб.
Таблица 14 - Счет «Расчеты по краткосрочным кредитам и займам» (66)
|
Период 1кв 2014
|
Оборот по Д66с К
|
Итого по Д66
|
Период 1кв 2014
|
Оборот по К66с Д
|
Итого по К66
|
Sн
|
Sк
|
|
51
|
|
|
|
|
Д
|
К
|
Д
|
К
|
|
8)
|
4400
|
4400
|
-
|
-
|
0
|
6800
|
0
|
11200
|
|
Итого
|
4400
|
4400
|
Итого
|
-
|
-
|
|
|
|
|
Sн=6800 руб.
Sк=6800+4400-0=11200
руб.
Таблица 15 - Счет «НДС» (68)
|
Период 1кв 2014
|
Оборот по Д68с К
|
Итого по Д68
|
Период 1кв 2014
|
Оборот по К68с Д
|
Итого по К68
|
Sн
|
Sк
|
|
19
|
|
|
91
|
70
|
90
|
|
Д
|
К
|
Д
|
К
|
|
3)
|
925
|
925
|
13)
|
518
|
|
|
518
|
299
|
0
|
0
|
389
|
|
|
|
17)
|
|
404
|
|
404
|
|
|
|
|
|
|
|
21)
|
|
|
691
|
691
|
|
|
|
|
|
Итого
|
925
|
925
|
Итого
|
518
|
404
|
691
|
1613
|
|
|
|
|
Sн=299 руб.
Sк=299+925-1613=389 руб.
Таблица 16 - Счет «Расчеты по социальному страхованию и обеспечению» (69)
|
Период 1кв 2014
|
Оборот по Д69с К
|
Итого по Д69
|
Период 1кв 2014
|
Оборот по К69с Д
|
Итого по К69
|
Sн
|
Sк
|
|
|
|
|
20
|
|
Д
|
К
|
Д
|
К
|
|
-
|
-
|
-
|
16)
|
998
|
998
|
0
|
762
|
0
|
1760
|
|
Итого
|
-
|
-
|
Итого
|
998
|
998
|
|
|
|
|
Sн=762 руб.
Sк=762-0+998=1760 руб.
Таблица 17 - Счет «Расчеты с персоналом по оплате труда» (70)
|
Период 1кв 2014
|
Оборот по Д70с К
|
Итого по Д70
|
Период 1кв 2014
|
Оборот по К70 с Д
|
Итого по К70
|
Sн
|
Sк
|
|
50
|
68
|
|
|
20
|
|
Д
|
К
|
Д
|
К
|
|
5)
|
4000
|
|
4000
|
15)
|
3220
|
3220
|
0
|
4356
|
0
|
3172
|
|
17)
|
|
404
|
404
|
|
|
|
|
|
|
|
|
Итого
|
4000
|
404
|
4404
|
Итого
|
3220
|
3220
|
|
|
|
|
Sн=4356 руб.
Sк=4356-4404+3220=3172
руб.
Таблица 18 - Счет «Расчеты с подотчетными лицами» (71)
|
Период 1кв 2014
|
Оборот по Д19 с К
|
Итого по Д19
|
Период 1кв 2014
|
Оборот по К19 с Д
|
Итого по К19
|
Sн
|
Sк
|
|
|
|
|
|
|
Д
|
К
|
Д
|
К
|
|
|
|
|
|
|
57
|
270
|
57
|
270
|
|
Итого
|
|
|
Итого
|
|
|
|
|
|
|
Sн по
Д=57 руб.
Sн по
К=270 руб.
Таблица 19 - Счет «Расчеты с разными дебиторами и кредиторами» (76)
|
Период 1кв 2014
|
Оборот по Д76с К
|
Итого по Д76
|
Период 1кв 2014
|
Оборот по К76 с Д
|
Итого по К76
|
Sн
|
Sк
|
|
|
|
|
51
|
|
Д
|
К
|
Д
|
К
|
|
-
|
-
|
-
|
7)
|
3736
|
3736
|
18680
|
2241
|
14944
|
5977
|
|
Итого
|
-
|
-
|
Итого
|
3736
|
3736
|
|
|
|
|
Sн по
Д=18680 руб.
Sн по
К=2241 руб.
Sк по
Д= 18680+0-3736=14944 руб.
Sк по
К= 2241+3736-0= 5977 руб.
Таблица 20 - Счет «Нераспределенная прибыль (непокрытый убыток)» (84)
|
Период 1кв 2014
|
Оборот по Д84с К
|
Итого по Д84
|
Период 1кв 2014
|
Оборот по К84 с Д
|
Итого по К84
|
Sн
|
Sк
|
|
|
|
|
99
|
|
Д
|
К
|
Д
|
К
|
|
-
|
-
|
-
|
24)
|
1112
|
1112
|
0
|
7885
|
0
|
8997
|
|
Итого
|
-
|
-
|
Итого
|
1112
|
1112
|
|
|
|
|
Sн=7885 руб.
Sк=7885+1112=8997руб.
Таблица 21 - Счет «Продажи» (90)
|
Период 1кв 2014
|
Оборот по Д90с К
|
Итого по Д90
|
Период 1кв 2014
|
Оборот по К90 с Д
|
Итого по К90
|
Sн
|
Sк
|
|
43
|
68
|
99
|
|
|
51
|
|
Д
|
К
|
Д
|
К
|
|
19)
|
2841
|
|
|
2841
|
20)
|
3840
|
3840
|
0
|
0
|
0
|
0
|
|
21)
|
|
691
|
|
691
|
|
|
|
|
|
|
|
|
22)
|
|
|
308
|
308
|
|
|
|
|
|
|
|
|
Итого
|
2841
|
691
|
308
|
3840
|
Итого
|
3840
|
3840
|
|
|
|
|
Таблица 22 - Счет «Прочие доходы и расходы» (91)
|
Период 1кв 2014
|
Оборот по Д91с К
|
Итого по Д91
|
Период 1кв 2014
|
Оборот по К91 с Д
|
Итого по К91
|
Sн
|
Sк
|
|
68
|
10
|
99
|
99
|
|
|
98
|
62
|
|
Д
|
К
|
Д
|
К
|
|
13)
|
518
|
|
|
|
518
|
6)
|
162
|
|
162
|
0
|
0
|
0
|
0
|
|
14)
|
|
1720
|
|
|
1720
|
12)
|
|
2880
|
2880
|
|
|
|
|
|
23)
|
|
|
642
|
|
642
|
|
|
|
|
|
|
|
|
|
|
|
|
162
|
162
|
|
|
|
|
|
|
|
|
|
Итого
|
518
|
1720
|
642
|
162
|
3042
|
Итого
|
162
|
2880
|
3042
|
|
|
|
|
-2880=162руб.
Таблица 23 - Счет «Доходы будущих периодов» (98)
|
Период 1кв 2014
|
Оборот по Д91с К
|
Итого по Д91
|
Период 1кв 2014
|
Оборот по К91 с Д
|
Итого по К91
|
Sн
|
Sк
|
|
91
|
|
|
|
|
Д
|
К
|
Д
|
К
|
|
6)
|
162
|
162
|
-
|
-
|
-
|
0
|
1945
|
0
|
1783
|
|
Итого
|
162
|
162
|
Итого
|
-
|
-
|
|
|
|
|
Sн =1945руб;
Sк =1945-162+0=1783 руб.
Таблица 24 - Счет «Прибыли и убытки» (99)
|
Период 1кв 2014
|
Оборот по Д91с К
|
Итого по Д91
|
Период 1кв 2014
|
Оборот по К91 с Д
|
Итого по К91
|
Sн
|
Sк
|
|
84
|
|
|
90
|
91
|
84
|
|
Д
|
Д
|
К
|
|
24)
|
1112
|
1112
|
22)
|
308
|
|
|
308
|
0
|
0
|
0
|
0
|
|
|
|
23)
|
|
642
|
|
642
|
|
|
|
|
|
|
|
|
|
|
162
|
162
|
|
|
|
|
|
Итого
|
1112
|
1112
|
Итого
|
308
|
642
|
162
|
1112
|
|
|
|
|
-950=162руб.
Оборотная ведомость подразумевает содержание сальдо на начало и конец
года, а также обороты по дебету и кредиту по каждому счету за определенный
промежуток времени.
В таблице 25 представлена оборотная ведомость предприятия. Данные таблицы
взяты из главной книги по каждому счету.
Таблица 25 - Оборотная ведомость предприятия
|
№ Счета
|
Sн
|
Об
|
Sк
|
|
Д
|
К
|
Д
|
К
|
Д
|
К
|
|
01
|
45201
|
0
|
0
|
0
|
45201
|
0
|
|
02
|
0
|
20960
|
0
|
0
|
0
|
20960
|
|
04
|
2728
|
0
|
0
|
0
|
2728
|
0
|
|
05
|
0
|
1161
|
0
|
0
|
0
|
1161
|
|
10
|
2908
|
0
|
5140
|
6860
|
1288
|
0
|
|
19
|
0
|
0
|
925
|
925
|
0
|
0
|
|
20
|
1909
|
0
|
6758
|
2960
|
5675
|
0
|
|
23
|
1539
|
0
|
2600
|
0
|
4139
|
0
|
|
43
|
3080
|
0
|
2960
|
2841
|
3199
|
0
|
|
50
|
128
|
0
|
4360
|
4000
|
488
|
0
|
|
51
|
19200
|
0
|
7576
|
18445
|
8331
|
0
|
|
60
|
|
7620
|
9685
|
6065
|
0
|
4000
|
|
62
|
0
|
2561
|
2880
|
2880
|
2561
|
0
|
|
66
|
0
|
6800
|
4400
|
0
|
0
|
2400
|
|
68
|
299
|
0
|
925
|
1613
|
|
389
|
|
69
|
0
|
762
|
0
|
998
|
0
|
1760
|
|
70
|
0
|
4356
|
4404
|
3220
|
0
|
3172
|
|
71
|
57
|
270
|
0
|
0
|
57
|
270
|
|
76
|
3736
|
2241
|
0
|
3736
|
14944
|
5977
|
|
80
|
0
|
9600
|
0
|
0
|
0
|
9600
|
|
82
|
0
|
1346
|
0
|
0
|
0
|
|
|
83
|
0
|
18400
|
0
|
0
|
0
|
18400
|
|
84
|
0
|
7885
|
0
|
1112
|
0
|
8997
|
|
90
|
0
|
0
|
3840
|
3840
|
0
|
0
|
|
91
|
0
|
0
|
3042
|
3042
|
0
|
0
|
|
98
|
0
|
1945
|
162
|
0
|
0
|
1783
|
|
99
|
0
|
0
|
1112
|
1112
|
0
|
0
|
|
Итого
|
80785
|
80785
|
60769
|
60769
|
88611
|
88611
|
По данным из таблицы 25 был заполнен бухгалтерский баланс предприятия
(Приложение №1), а также был заполнен отчет о прибылях и убытках за первый
квартал 2015 года (Приложение №2).
2.2 Анализ хозяйственной деятельности организации
По данным Бухгалтерского баланса (Приложение №1) на 31.03.2015г. в первом
этапе производится анализ и оценка ликвидности Бухгалтерского баланса данной
организации.
Сгруппируем активы предприятия по степени убывания их ликвидности
(табл.26).
Таблица 26 - Группировка активов организации
|
Актив
|
31.03.2015
|
31.12.2014
|
|
1. Наиболее ликвидные активы (А1)
|
8819
|
19328
|
|
2. Быстрореализуемые активы (А2)
|
17951
|
6653
|
|
3. Медленно реализуемые активы (А3)
|
14301
|
9436
|
|
4. Труднореализуемые активы (А4)
|
29947
|
27347
|
|
Баланс
|
71018
|
62764
|
Далее сгруппируем пассивы организации по степени убывания срочности их
оплаты фирмой (табл. 27).
Таблица 27 - Группировка пассивов организации
|
Пассив
|
31.03.2015
|
31.12.2014
|
|
1. Наиболее срочные обязательства (П1)
|
22419
|
15249
|
|
2. Краткосрочные пассивы (П2)
|
11200
|
6800
|
|
3. Долгосрочные пассивы (П3)
|
|
|
|
4. Постоянные устойчивые пассивы (П4)
|
38343
|
37231
|
|
Баланс
|
71962
|
59280
|
Теперь сопоставим итоги уже рассмотренных групп активов и пассивов, для
того чтобы сформулировать выводы о степени соблюдения организацией условий
абсолютной ликвидности Бухгалтерского баланса.
Проведем проверку соблюдения условия абсолютной ликвидности
Бухгалтерского баланса организации.
Таблица 28. Проверка соблюдения условия абсолютной ликвидности
Бухгалтерского баланса организации за 2014-2015г.
|
31.03.2015
|
31.12.2014
|
|
А1 ≥ П1 -не соблюдается
|
А1 ≥ П1 - соблюдается
|
|
А2 ≥ П2 - соблюдается
|
А2 ≥ П2 - не соблюдается
|
|
А3 ≥ П3 - соблюдается
|
А3 ≥ П3 - соблюдается
|
|
А4 ≤ П4 - соблюдается
|
А4 ≤ П4 - соблюдается
|
|
Условие абсолютной ликвидности Бухгалтерского баланса не
соблюдается. Тенденция отрицательная
|
Условие абсолютной ликвидности Бухгалтерского баланса не
соблюдается. Тенденция отрицательная
|
Из таблицы 28 можно сделать следующие выводы:
. Соотношение первого неравенства (А1 ≥ П1) свидетельствует о том,
что на 31.03.2015 г. фирма и стала неплатежеспособной, что объясняется резким
уменьшением величины наиболее ликвидных активов (денежные средства и
краткосрочные финансовые вложения) при одновременном росте величины
незавершенных капитальных вложений (незавершенного строительства). Тенденция
отрицательная.
. Соотношение второго неравенства (А2 ≥ П2) свидетельствует о том,
что в краткосрочной перспективе (в период свыше 1 мес. и до 1 года,
включительно) на 31.03.2014 г. фирма являлась неплатежеспособной, так как
величина краткосрочной дебиторской задолженности перед фирмой оказалась меньше
величины ее краткосрочных пассивов (краткосрочные займы и кредиты;
задолженность перед учредителями по выплате им доходов; прочие краткосрочные
обязательства). На 31.03.2015 г. ситуация изменилась, тенденция положительная.
. Соотношение третьего неравенства (А3 ≥ П3) свидетельствует о его
соблюдении на конец каждого из отчетных периодов, так как величина медленно
реализуемых активов компании (запасы; НДС по приобретенным ценностям) превышает
величину долгосрочных обязательств фирмы (долгосрочные займы; доходы будущих
периодов). Положительная тенденция.
. Соотношение четвертого неравенства (А4 ≤ П4) свидетельствует о
его соблюдении на конец всех отчетных периодов, что является положительным
моментом с позиции платежеспособности организации.
. На конец всех отчетных периодов величина постоянных пассивов,
являющихся наиболее надежными и устойчивыми (уставный капитал; добавочный
капитал; резервный капитал; нераспределенная прибыль отчетного года и прошлых
лет), ниже величины ее труднореализуемых активов.
На конец всех отчетных периодов условие абсолютной ликвидности
Бухгалтерского баланса организации не соблюдается.
Второй этап анализа и оценки платежеспособности фирмы заключается в расчете и
оценке финансовых коэффициентов платежеспособности.
Для более глубокого анализа платежеспособности организации целесообразно
дополнительно рассчитать финансовые коэффициенты платежеспособности. При этом
анализируются соответствие фактических значений исчисленных коэффициентов
нормальному ограничению (нормативу), установленному для каждого коэффициента, а
также анализируется их динамика.
учет брак актив ликвидность
Таблица 29. Расчет финансовых коэффициентов платежеспособности
|
Показатель
|
на 31.03.2015г.
|
на 31.12.2014г.
|
|
Общий показатель платежеспособности (L1) Норматив: L1 ≥
1
|
0,771
|
1,341
|
|
Коэффициент абсолютной ликвидности (L2) Норматив: L2 ≥
0,1-0,7
|
0,078
|
0,876
|
|
Коэффициент "критической оценки" (L3) Допустимое
значение: L3 = 0,7-0,8 Оптимальное значение: L3 ≥ 1
|
1,001
|
1,178
|
|
Коэффициент текущей ликвидности (L4) Необходимое значение:
L4 ≥ 2 Оптимальное значение: L4 ≥ 2,5-3,0
|
1,591
|
1,536
|
|
Доля оборотных средств в активах (L5) Норматив: L5 ≥
0,5
|
0,477
|
0,553
|
1.Значение общего показателя платежеспособности (L1) свидетельствует о
том, что о на 31.12.2014 г. на 1 руб. общей величины краткосрочных и
долгосрочных обязательств фирмы в среднем приходилось 1,34 руб. от общей
величины текущих и медленно реализуемых активов; на 31.03.2015 г.,
соответственно, 0,771 руб. Это означает, что организация неплатежеспособна и
наблюдается отрицательная тенденция.
. Расчет коэффициента абсолютной ликвидности (L2) свидетельствует о том,
что на 31.12.2014 г. на 1 руб. текущих обязательств фирмы приходилось 87 коп.
наиболее ликвидных активов; на 31.03.2015 г., соответственно, 8 коп. Значение
коэффициента L2 в 2015 г не соответствует нормальному ограничению (L2 ≥
10-70 коп.).
.Расчет коэффициента «критической оценки» (L3) свидетельствует о том, что
на 31.12.2014 г. на 1 руб. текущих обязательств фирмы приходится 1,17 руб.
текущих активов; на 31.03.2015 г., соответственно, 1 руб. Значения коэффициента
L3 соответствуют допустимому значению (L3 = 70-80 коп.).
. Значение коэффициента текущей ликвидности (L4) свидетельствует о том,
что на 31.12.2014 г. на 1 руб. текущих обязательств фирмы приходилось 1 руб. 54
коп. всех ее оборотных активов (как текущих, так и медленно реализуемых); на
31.03.201 г., соответственно, 1 руб. 59 коп.
Можно заметить, что величина данного коэффициента не достигает
допустимого значения (L4 ≥ 2) ни на одну из исследуемых отчетных дат.
Вместе с тем к 31.03.2015 г. наблюдается положительная тенденция к росту
величины коэффициента L4.
. Значение коэффициента, отражающего долю оборотных средств в активах
(L5) свидетельствует о том, что на 31.12.2014 г. в общей величине активов фирмы
оборотными являлось 56% активов; на 31.03.2015 г., соответственно, 47%. Можно
заметить, что доля оборотных средств в активах соответствовала нормальному
ограничению (L5 ≥ 0,5, или 50%) на 31.03.2014г., что, несомненно,
является важным фактором платежеспособности исследуемой фирмы, но данный
показатель имеет отрицательную тенденцию.
. Величина всех рассчитанных финансовых коэффициентов платежеспособности
(L1-L5) еще раз свидетельствуют о том, что к концу отчетного периода
наблюдается отрицательная тенденция к снижению степени платежеспособности
организации.
Заключение
Браком считается та продукция, которая по качеству не соответствует
установленным стандартам или техническим условиям, следовательно нельзя
использовать его по прямому назначению.
В зависимости от того, на какой стадии обнаружен брак, он подразделяется
на внутренний и внешний. Первый выявляется на этапе производства, второй
обнаруживается покупателями. Выявленный брак должен быть документально
подтвержден. Как внутренний брак, обнаруженный в процессе производства службой
технического контроля, так и внешний брак, признанный на основании претензии
покупателя, оформляется актом о браке.В бухгалтерском учете потери от брака
отражаются на счете 28 "Брак в производстве". По дебету собираются
затраты по выявленному браку, а по кредиту учитываются суммы, относимые на
уменьшение потерь от бракам.
Невозмещаемые суммы потерь от брака включаются в себестоимость того вида
продукции, по которому выявлен брак. Если в отчетном периоде, в котором выявлен
брак, данный вид продукции не производился, то суммы потерь от брака
распределяются по видам выпускаемой продукции как общепроизводственные расходы.
Сумму затрат по исправлению брака нужно уменьшить на суммы, фактически
удержанные с виновников брака или присужденные к возмещению по решению суда.
Внешний брак выявляется не в момент изготовления продукции, а позднее,
когда забракованная продукция уже продана. Поэтому внешний брак оценивается по
полной себестоимости, включая расходы на продажу. Кроме того, в себестоимости
внешнего брака учитываются транспортные расходы покупателя, связанные с
возвратом забракованной продукции. При этом стоимость внешнего брака
уменьшается на суммы, удержанные с виновников брака.
Порядок списания потерь от внешнего брака зависит от момента его
выявления и от того, создает ли организация резерв на гарантийный ремонт.
Если такой резерв сформирован, то сумму потерь от брака в бухгалтерском
учете списывают за счет этого резерва вне зависимости от того, когда была
произведена бракованная продукция.
Если аналогичная продукция уже не изготавливается, потери от внешнего
брака распределяются между видами выпускаемой продукции так же, как
общепроизводственные расходы.
Список источников
1. Астахов
В. П. Бухгалтерский (финансовый) учет: Учебное пособие. Серия «Экономика и
управление». - Москва: ИКЦ «МарТ»; Ростов н/Д: Издательский центр «МарТ», 2010.
- 928 с.
. Белобородова
В.А. Калькуляция себестоимости продукции в промышленности: Учеб. пособие / Под
ред. проф. В.А. Белобородовой. - М.: Финансы и статистика, 2013.
. Вахрушина
М.А. Внутрипроизводственный учет и отчетность. - М.: АКДИ «Экономика и жизнь»,
2011.
. Гаррисон
Д. Ч. Стандарт-кост. Система нормативного учета себестоимости. - Л.:
Союзоргучет, 2011.
. Голдовизнина
А. Т. Арипова О. И. Бухгалтерский управленческий учет: учебное пособие. - М.:
ТК Велби, Изд-во Проспект, 2012.
. Друри
К. Управленческий и производственный учет. - М.: ЮНИ-ТИ, 2012.
. Ефимова
О.В. Финансовый анализ. - М.: Бухгалтерский учет, 2013.
. Иванова
Н.Г., Галузинский П.А. Нормативный метод учета затрат на обувных предприятиях.
- М.: Легпромбытиздат, 2011.
. Ивашкевич
В.Б. Бухгалтерский управленческий учет. Учеб. для вузов. - М.: Юристь, 2014.
. #"866421.files/image004.jpg">
|
|
На
|
31.03.
|
|
На 31 декабря
|
|
Код 1
|
Наименование показателя 2
|
20
|
15
|
г.3
|
20
|
г.4
|
|
|
|
|
|
|
|
|
|
АКТИВ
|
|
|
|
I. ВНЕОБОРОТНЫЕ АКТИВЫ
|
|
|
|
1110
|
Нематериальные активы
|
1567
|
1567
|
|
Результаты исследований и разработок
|
|
|
|
Нематериальные поисковые активы
|
|
|
|
Материальные поисковые активы
|
|
|
|
1130
|
Основные средства
|
24241
|
24241
|
|
Доходные вложения в материальные ценности
|
|
|
|
1150
|
Финансовые вложения
|
4139
|
1539
|
|
Отложенные налоговые активы
|
|
|
|
Прочие внеоборотные активы
|
|
|
|
1100
|
Итого по разделу I
|
29947
|
27347
|
|
II. ОБОРОТНЫЕ АКТИВЫ
|
|
|
|
1210
|
Запасы
|
14301
|
9436
|
|
Налог на добавленную стоимость по приобретенным ценностям
|
|
|
|
1230
|
Дебиторская задолженность
|
17951
|
6653
|
|
Финансовые вложения (за исключением денежных эквивалентов)
|
|
|
|
1250
|
Денежные средства и денежные эквиваленты
|
8819
|
19328
|
|
Прочие оборотные активы
|
|
|
|
1200
|
Итого по разделу II
|
41071
|
35417
|
|
1600
|
БАЛАНС
|
71018
|
62764
|
|
|
|
|
|
|
|
|
|
|
|
|
На
|
31.03.
|
|
На 31 декабря
|
|
Код1
|
Наименование показателя 2
|
20
|
15
|
г.3
|
20
|
14
|
г.4
|
|
|
|
|
|
|
|
|
|
ПАССИВ
|
|
|
|
III. КАПИТАЛ И РЕЗЕРВЫ 6
|
|
|
|
1310
|
Уставный капитал (складочный капитал, уставный фонд, вклады
товарищей)
|
9600
|
9600
|
|
Собственные акции, выкупленные у акционеров
|
(
|
|
|
|
|
|
|
Переоценка внеоборотных активов
|
|
|
|
1350
|
Добавочный капитал (без переоценки)
|
18400
|
18400
|
|
1360
|
Резервный капитал
|
1346
|
1346
|
|
1370
|
Нераспределенная прибыль (непокрытый убыток)
|
8997
|
7885
|
|
1300
|
Итого по разделу III
|
38343
|
37231
|
|
IV. ДОЛГОСРОЧНЫЕ ОБЯЗАТЕЛЬСТВА
|
|
|
|
Заемные средства
|
|
|
|
Отложенные налоговые обязательства
|
|
|
|
Оценочные обязательства
|
|
|
|
Прочие обязательства
|
|
|
|
Итого по разделу IV
|
|
|
|
V. КРАТКОСРОЧНЫЕ ОБЯЗАТЕЛЬСТВА
|
|
|
|
1510
|
Заемные средства
|
11200
|
6800
|
|
1520
|
Кредиторская задолженность
|
22419
|
15249
|
|
Доходы будущих периодов
|
1783
|
1945
|
|
Оценочные обязательства
|
|
|
|
Прочие обязательства
|
|
|
|
1500
|
Итого по разделу V
|
35402
|
23994
|
|
1700
|
БАЛАНС
|
71018
|
62764
|
|
|
|
|
|
|
|
|
|
|
|
|
|
Приложение 2
|
|
За
|
31.03.
|
|
|
Пояснения 1
|
Наименование показателя 2
|
20
|
15
|
г.3
|
|
|
|
|
|
|
Выручка 5
|
2150
|
|
Себестоимость продаж
|
(
|
2841
|
)
|
|
Валовая прибыль (убыток)
|
308
|
|
Коммерческие расходы
|
(
|
|
)
|
|
Управленческие расходы
|
(
|
|
)
|
|
Прибыль (убыток) от продаж
|
308
|
|
Доходы от участия в других организациях
|
|
|
Проценты к получению
|
|
|
Проценты к уплате
|
(
|
|
)
|
|
Прочие доходы
|
3840
|
|
Прочие расходы
|
(
|
998
|
)
|
|
Прибыль (убыток) до налогообложения
|
|
|
Текущий налог на прибыль
|
(
|
|
)
|
|
в т.ч. постоянные налоговые обязательства (активы)
|
|
|
Изменение отложенных налоговых обязательств
|
|
|
Изменение отложенных налоговых активов
|
|
|
Прочее
|
|
|
Чистая прибыль (убыток)
|
1112
|
|
|
|
|
|
|
|
|
|