Результаты выращивания клариевого сома в ООО 'Рэнтоп-агро'
МИНИСТЕРСТВО ОБРАЗОВАНИЯ И НАУКИ
РОССИЙСКОЙ ФЕДЕРАЦИИ
Федеральное государственное бюджетное
образовательное учреждение высшего образования
«КУБАНСКИЙ ГОСУДАРСТВЕННЫЙ
УНИВЕРСИТЕТ»
(ФГБОУ ВПО «КубГУ»)
Кафедра водных биоресурсов и
аквакультуры
ДОПУСТИТЬ К
ЗАЩИТЕ В ГАК
Заведующий
кафедрой - канд. биол. наук
А.Н. Пашков
«___»
_________________ 2014 г.
ВЫПУСКНАЯ КВАЛИФИКАЦИОННАЯ РАБОТА
БАКАЛАВРА
результаты
выращивания клариевого сома в ооо «рэнтоп-агро»
Работу
выполнила____________________________________ Д.А. Пащенко
Факультет
биологический
Направление
110900.62 Водные биоресурсы и аквакультура
Научный
руководитель,
канд. биол.
наук_______________________________________ А.Н. Пашков
Нормоконтролёр,
ст. преп. ___________________________________________ С.Н.
Комарова
Краснодар
2014
реферат
Выпускная квалификационная 47 с., 12 рис., 11 табл., 28 источников.
КЛАРИЕВЫЙ СОМ, подращивание, выращивание, ПЛОДОВИТОСТЬ, ПРОЦЕНТ ВЫКЛЕВА,
КОЭФИЦИЕНТ ЗРЕЛОСТИ, РЫБОПРОДУКТИВНОСТЬ, ОТХОД, темпы роста.
Объектом исследования являлись икра, личинки, молодь и взрослые особи
клариевого сома, выращиваемого в ООО «РЭНТОП-Агро».
В процессе работы исследованы: динамика линейного и массового роста рыб,
основные рыбоводно-биологические характеристики производителей, величина
отхода, результаты выращивания клариевого сома и его экономическая
эффективность. Сделаны рекомендации по оптимизации процесса воспроизводства и
выращивания сома на предприятии.
Установлено, что для процесса воспроизводства клариевого сома в ООО
«РЭНТОП-Агро» используются двухлетние самцы, а также двухлетние и трёхлетние
самки. Самки трехлетнего возраста, в сравнении с двухлетними, характеризуются
более высокими значениями основных репродуктивных показателей: массы икры,
рабочей плодовитости, коэффициента зрелости. Но процент выклева личинок из
икры, полученной от двухлетних самок, в сравнении с трёхлетними, выше.
Итоговая рыбопродуктивность по клариевому сому составила 410 кг/м3,
затраты на выращивание рыбы - 3728 тыс. рублей, а прибыль от её реализации - 7
млн. 194 тыс. рублей. Таким образом, выращивание клариевого сома по
используемой на предприятии технологии является экономически выгодным.
СОДЕРЖАНИЕ
Введение
. Аналитический обзор
.1 Морфологическая характеристика семейства клариевые сомы
.2 Технологии воспроизводства и выращивания клариевого сома
. Материал и методы исследования
. Характеристика предприятия
. Результаты выращивания клариевого сома в ООО «РЕНТОП-Агро»
.1 Характеристика производителей
.2 Результаты инкубации икры
.3 Результаты подращивания личинок и мальков
.4 Результаты выращивания товарной рыбы
.5 Результаты и экономическая эффективность воспроизводства
клариевого сома
Заключение
Библиографический список
ВВЕДЕНИЕ
Россия располагает крупнейшим в мире водным фондом
внутренних водоемов и прибрежных акваторий морей, использование которого носит
комплексный многоотраслевой характер. Ведение рыбохозяйственной деятельности на
водоемах является важнейшим направлением эксплуатации биологических ресурсов,
формируемых под воздействием природно-климатических и антропогенных факторов
[Стратегия развития…, 2007].
В условиях, когда уловы океанической рыбы и других
морепродуктов сокращаются, а рыбные запасы внутренних водоемов находятся в
критическом состоянии и поддерживаются в основном за счет искусственного
воспроизводства, единственным надежным источником увеличения объемов пищевой
рыбопродукции является аквакультура.
Аквакультура - вид деятельности по разведению, содержанию и выращиванию
рыб, других водных животных, растений и водорослей, осуществляемый под полным
или частичным контролем человека с целью получения товарной продукции,
пополнения промысловых запасов водных биоресурсов, сохранения их
биоразнообразия и рекреации [Гордеев, 2007].
Один из перспективных объектов отечественной аквакультуры - клариевый
сом. Разработка научных основ рациональной технологии его выращивания имеет
важное хозяйственное значение. В первую очередь это относится к заводскому
выращиванию молоди, оптимизации параметров среды, обеспечивающих максимальную
реализацию ростовых потенций рыб, высокую эффективность конвертирования
потребляемой ими пищи и физиологическую полноценность особей.
В изучение и обобщение материалов по технологии выращивания клариевого
сома в условиях индустриальной аквакультуры весомый вклад внесли отечественные
и зарубежные исследователи, а также рыбоводы-специалисты - Микодина Е.В.,
Широкова Е.Н., Севрюков В.Н., Сомьянихин В.В., Лабенец А.В. и др. Вместе с тем,
поиск путей повышения эффективности выращивания клариевого сома, в особенности
товарной продукции, продолжается. В связи с этим весьма актуальным является
совершенствование технологии выращивания сома в условиях современной
индустриальной аквакультуры, с использованием рыбоводных установок с замкнутым
водообеспечением (УЗВ) [Ковалёв, 2006].
Цель данной выпускной квалификационной работы заключалась в изучении
технологии воспроизводства и выращивания клариевого сома в рыбоводных
установках с замкнутым водообеспечением на предприятии ООО «РЭНТОП-Агро» и
разработке рекомендаций по её совершенствованию.
Для достижения намеченной цели были поставлены следующие задачи:
1. Изучить основные характеристики производителей клариевого сома,
содержащихся на предприятии;
2. Описать биотехнику и результаты инкубации икры клариевого сома и
влияние возраста самок на показатели инкубации;
. Изучить биотехнику и результаты подращивания личинок и молоди
клариевого сома;
. Изучить биотехнику и результаты выращивания товарного клариевого
сома;
. Обобщить результаты воспроизводства клариевого сома на
предприятии и рассчитать его экономическую эффективность.
1. Аналитический обзор
.1 Морфологическая
характеристика семейства клариевые сомы
Семейство клариевые сомы (Clariidae) насчитывает 15
родов со 100 видами, распространенными в Африке, Юго-Восточной и Малой Азии.
Они имеют гладкое, удлиненное, цилиндрическое тело с
длинными анальными и спинными плавниками, доходящими до хвостового, и состоящими
только из мягких лучей; это обеспечивает им активную двигательную функцию.
Жирового плавника нет. Наружный луч грудного плавника зазубрен. В брюшном
плавнике в норме шесть мягких лучей [Микодина, 1997].
Плоская голова несет четыре пары неразветвленных усов:
одна - назальная, одна - максиллярная (самая длинная и наиболее подвижная) на
сошнике, и две мандибулярные - внутренняя и наружная (рисунок 1). Зубы имеются
на челюстях и сошнике. Плавательный пузырь маленький, состоит из двух долей и
заключен в капсулу, образованную поперечными выростами парапофизов четвертого и
пятого позвонков [Никифоров, Маилкова, 2006].
Рисунок 1 - Внешний вид головы и расположение на ней
усов у клариевых сомов
С помощью воздуха, поступающего из наджаберной
полости, клариевые сомы контролируют свою плавучесть. В этой полости
располагается дополнительный наджаберный орган дыхания. Он парный, представлен
разветвленными образованиями, расположенными на второй и четвертой бронхиальных
дугах, и покрыт сильно васкуляризированной тканью, с помощью которой рыба
абсорбирует кислород из воздуха (рисунок 2). Наджаберная полость соединяется с
глоткой и жаберными полостями.
Клариевые сомы поднимаются к поверхности воды для
«дыхания», когда содержание кислорода в воде низкое, а в насыщенной кислородом
воде живут без воздушного дыхания. Дополнительное воздушное дыхание позволяет
этим рыбам в течение многих часов жить вне воды или в мутной воде, а также
мигрировать по поверхности земли. Сообщения о «путешествующих» клариасах часто
появляются в литературе. Установлено, что наджаберный орган клариевых сомов
содержит только воздух и наиболее эффективно функционирует при влажности 81%.
Полное выключение дыхания жабрами приводит к гибели этих сомов через 14-47
часов; при прекращении доступа к поверхности воды они гибнут уже через 9-25
часов, а без воды и воздуха - за несколько минут. Считают, что наджаберный
орган для жизнедеятельности клариасов более важен, чем жабры [Никифиров, 2005].
Рисунок 2 - Внешний вид наджаберного органа дыхания клариевых сомов
клариевый сом икра личинка
Представители семейства клариевые сомы питаются в
природе в основном водными насекомыми, рыбами, моллюсками и высшей водной
растительностью. Употребляют в пищу также наземных насекомых и фрукты. Можно
считать их всеядными рыбами с большой тенденцией к хищничеству. Долгое
методичное подстерегание добычи - нормальная тактика их охоты [Маилкова,
Никифоров, 2006].
Размножение клариевых сомов в естественных условиях северного полушария
происходит в период дождей. В тропических зонах нерест продолжается с апреля до
декабря с пиком в июле-августе. В субтропиках южного полушария он начинается с
увеличением температуры воды и продолжительности светового дня, что
соответствует периоду с июля по сентябрь [Bruton, 1979]. Нерест непродолжителен.
О факторах среды, индуцирующих нерест клариевых сомов, известно немного.
Предполагают, что это могут быть как видимые, так и невидимые стимулы
(температура, фотопериод, выпадение осадков, присутствие противоположного пола
или его феромона, наличие нерестового субстрата и т.п.). Так как нерест
происходит обычно ночью, то, несомненно, важны механические, химические и
звуковые стимулы.
Заметного полового диморфизма у клариевых сомов нет, за исключением того,
что урогенитальная папилла у самцов небольшая, а у самок вытянутая. Кроме того,
у зрелых самок более округлое и мягкое брюшко [Ковалёв, 2006].
Основными объектами рыбоводства в Краснодарском крае
являются два вида - африканский клариевый сом (Clarias gariepinus), обычно
называемый просто клариевым сомом, и нильский клариевый сом (Clarias
anguillaris). Африканский клариевый сом представлен на рисунке 3.
Естественный
ареал распространения этого вида - вся Африка, включая водоёмы Сахары, бассейн
реки Иордан
<#"866412.files/image003.jpg">
Рисунок
3 - Внешний вид клариевого сома (Clarias gariepinus)
Данный
вид достаточно всеяден: он может питаться водяными жуками, моллюсками, рыбой,
растительной пищей и даже отбросами органического происхождения, но в природных
условиях является, главным образом, хищником. По форме тела напоминает серого
сома и угря.
Представители вида Clarias gariepinus обладают способностью генерировать
электросигналы длительностью от 5 до 260 мс [Ольшанский, 2002]. Разряды
наблюдаются только во время агрессивно-оборонительных взаимодействий между
особями. Чужак в ответ либо пускается наутёк, либо принимает вызов и тоже
испускает разряды. До укусов доходит редко - по большей части бойцы расходятся.
Когда они теряют друг друга из вида, на расстоянии 30-40 см, генерация
электрических сигналов прекращается.
Клариевые сомы обычно размножаются один раз в сезон, в
водоемах, наполнившихся дождевой или грунтовой водой, маленьких речках, иногда
непосредственно во время дождя. Перед нерестом сомы собираются в стаи, после
чего начинаются бои между весьма агрессивными самцами. Ухаживание за самкой и
спаривание происходят между изолированной парой производителей на мелководьях.
При спаривании самец U-образно
изгибается вокруг головы самки, сохранял эту позицию всего несколько секунд.
Выделяющаяся сперма и икра разбрасываются самкой энергичными движениями хвоста
на значительное расстояние. Завершив нерест, пары обычно короткое время
отдыхают, затем разбиваются самцами, не участвовавшими в нересте, и после этого
вся стая мигрирует в глубоководные участки акватории [Заки, 1983].
Средняя длина этих рыб при первом половом созревании
значительно варьирует: от 260 до 750 мм; самки обычно мельче, чем самцы
[Иванов, 2003]. К концу первого года жизни небольшая часть рыб в популяции
достигает половозрелости, а остальные - к концу второго года. В искусственных условиях
клариевые сомы созревают уже в шестимесячном возрасте, когда их масса достигает
200 г. Основными факторами, регулирующими размерно-весовое соотношение при
первом созревании, являются питание и температура воды. Уровень питания влияет
на развитие яичников, а температура воды - ведущий фактор регуляции, развития и
созревания семенников [Крыжановский, 1949].
Клариевый
сом предпочитает температуру 25-30°С, перестает питаться при ее снижении до
17-18°С, гибнет при длительном пребывании в воде с температурой 14-15°С, но
выдерживает кратковременное снижение до 5°С. Сом обладает высокой
толерантностью к повышенному содержанию в воде соединений азота. Так по данным
польских ученых летальная концентрация аммиака для него составляет 6,5мг/л.
Лучше всего кларий чувствует себя, когда концентрация растворённого в воде
кислорода превышает 4,3 мг/л и доступ к поверхности возможен. Если условия в
водоёме не отвечают этим требованиям, он уползает в другой водоём. Оптимальной
средой обитания клариевого сома является вода с pH
<#"866412.files/image004.jpg">
Рисунок
4 - Внешний вид нильского клариевого сома (Clarias anguillaris)
Особенностью
данного вида является то, что по сравнению с Clarias gariepinus, он выдерживает
более высокие температуры, и ещё более неприхотлив в питании.
За
последнее время данный вид рыб стал очень популярен в странах Западной Европы
<#"866412.files/image005.gif">
(1)
где mg - масса гонад;
M -
масса всей рыбы.
Полученные материалы были обработаны с применением стандартных
биометрических методов [Лакин, 1990]. Ошибку среднего значения (m) определяли по формуле (2):
m = s / 

(2)
где s -
дисперсия;
n -
численность
Для изучения результатов подращивания молоди клариевого сома и
выращивания товарной рыбы использовались такие показатели как масса тела рыбы,
прирост массы в граммах, прирост массы в процентном содержании, отход.
Прирост массы в граммах рассчитывался путем получения разницы между
последующим показателем и предыдущим.
Прирост массы в процентах (D), определялся по формуле (3):
= W1*W0 / 100% (3)
где D - относительный прирост;- начальная масса;- конечная масса.
Отход молоди и товарной рыбы клариевого сома рассчитывался путем
пересчета количества умерших особей и перевода этого показателя в процентное
содержание относительно определенного количества особей за определенный
промежуток времени.
Выход продукции рассчитывался путем подсчета выживших особей за
определенный период времени.
Рыбопродуктивность рассчитывалась путем нахождения разницы между выходом
продукции и ее первоначальной плотностью.
Для упрощения наблюдения за особями клариевого сома процессы выращивания
обобщались по десятидневкам. Продолжительность наблюдений за тем или иным
периодом выращивания зависела от скорости перехода особей из одного периода в
другой. Так, продолжительность периода выращивания личинок составляла 20 суток,
малька - 40 суток, молоди - 50 суток, товарной рыбы - 50 суток.
Автор выражает искреннюю признательность директору ООО «РЭНТОП-Агро»
Дергачеву Дмитрию Владимировичу за всестороннюю помощь на всех этапах
исследования.
3. Характеристика предприятия
Изучение объектов исследования происходило на базе рыбоводного завода,
принадлежащего ООО «РЭНТОП-Агро» и расположенного в пос. Стрелка Темрюкского
района. Место расположения предприятия показано на рисунке 5.
Основным видом деятельности предприятия является рыбоводство. Организация
также осуществляет деятельность по следующим неосновным направлениям:
выращивание плодовых и ягодных культур, выращивание винограда.
Рисунок 5 - Место расположения предприятия ООО «РЭНТОП-Агро»
Рыбоводное предприятие занимает около 5000 м2 земельного участка. Оно
включает бассейновый участок, рыбоводные пруды и рыбоводный цех.
Рыбоводных прудов на предприятии два. Каналами они соединены со
Старотиторовским лиманом. Общая площадь прудов - около 500 м2, а глубина - до 2
м. Основным назначением прудов является водоподача воды в бассейновый участок и
рыбоводный цех. Но они также могут использоваться для выращивания товарных
клариевых сомов.
Бассейновый участок в настоящее время включает один функционирующий блок
бассейнов с замкнутой системой водоподачи под открытым небом (рисунок 7). В
проекте у предприятия находится строительство еще двух таких же блоков, что
позволит повысить количество выпускаемой рыбоводной продукции в три раза.
Бассейновый участок предназначен для подращивания молоди клариевого сома
в теплые месяцы, что позволит сэкономить на подогревательных системах, за счет
использования солнечной активности.
Бассейновый участок состоит из 18 бетонных бассейнов, глубиной около 1,5
м и площадью около 8 м2 каждый. Для более удобного сбора подрощенной рыбы,
бассейны снабжены единым сливом для воды, окружность трубы для слива
соответствует окружности вылавливаемой рыбы. Когда подходит время облова рыбы,
работники включают слив воды и рыба вместе с водой попадает в специальный
отдельный бассейн, откуда ее вылавливают, сортируют и отправляют на продажу.
Рисунок 7 - Бассейны с замкнутой системой водоподачи для товарного
выращивания клариевого сома вне помещений
Рыбоводный цех занимает около 1500 м2 земельного участка. Это самая
важная часть всего предприятия, ведь именно здесь происходит процесс получения,
оплодотворения, инкубация икры, подращивание молоди и содержание маточного
стада. Рыбоводный цех функционирует круглый год.
Рыбоводный цех состоит из установок замкнутого водоснабжения,
инкубационных аппаратов и кормоцеха.
В рыбоводном цеху находится пять установок замкнутого водоснабжения
работающих обособленно друг от друга и находящихся в разных помещениях.
В первой установке содержится маточное стадо, во второй - инъецированные
производители, третья - запасная, на случай зимовки нереализованной рыбы, четвёртая
- для личинок возрастом до 4 дней, пятая - для мальков. Установки для
содержания личинок и мальков представлены на рисунке 8.
Рисунок 8 - Установки замкнутого водоснабжения в рыбоводном цеху
Принципиальная схема используемой установки замкнутого водоснабжения
представлена на рисунке 9.
В биофильтрах используется специальный пластмассовый заполнитель с
большой площадью поверхности на единицу объема биофильтра. Бактерии растут на
заполнителе, образуя тонкую пленку и, таким образом, занимая очень большую
площадь (рисунок 10).
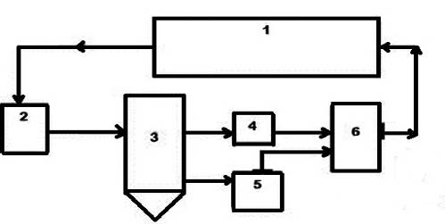
- рыбоводные емкости; 2 - фильтр грубой очистки; 3 - блок биологической
очистки; 4 - блок регулировки рН; 5 - фильтр тонкой механической очистки; 6 -
блок терморегуляции.
Рисунок 9 - Общая схема установки замкнутого водоснабжения
Бактерии очищают воду от органических веществ, растворившихся в ней,
путем разложения их на нитраты.
Рисунок 10 - Пластмассовый заполнитель биофильтра
На предприятии для инкубации икры используются инкубационные аппараты
«Амур», объёмом 200 литров каждый. Их общее количество - 10 единиц. В состав
инкубационного аппарата входит: корпус с системою водораспределения,
заградительная сетка и подставка (рисунок 11).
Рисунок 11 - Инкубационный аппарат «Амур»
Принцип действия инкубатора заключается в том, что икра в процессе
инкубации находится во взвешенном состоянии, постоянно и равномерно
перемешиваясь спиралеобразным восходящим потоком воды. Этот поток создается за
счет конструкции узла водоподачи и корпуса инкубатора.
Использование этого аппарата позволяет повысить продуктивность работы,
уменьшает затраты воды, рационально использовать промышленные площади, а также
уменьшить потери икры и увеличить выход жизнеспособных личинок.
Кормоцех представляет собой отдельное помещение, где происходит хранение
и подготовка кормов для их употребления рыбой.
4. Результаты выращивания клариевого сома в ООО
«РЭНТОП-Агро»
.1 Характеристика производителей
Стадо
производителей клариевого сома комплектовалось из рыб, имеющих наибольший темп
роста. Использовались самки возрастом 1- 2 года и самцы возрастом 2 года.
Производители
содержались в отдельном бассейне при температуре воды 23-25 оС. Производителей
кормили хорошо сбалансированными кормами с содержанием белка не менее 35-38%,
суточный рацион составлял 1,0-1,5% от биомассы рыб.
Стимуляция
получения половых продуктов производилась с помощью гормональной инъекции;
самок перед инъекцией распределяли по отдельным бассейнам, а всех самцов содержали
в одном бассейне.
За 1-2 дня до
запланированного нереста рыб не кормили.
Гипофиз
использовался для однократной инъекции (4,0-4,5 мг/кг массы тела самки).
Масса, возраст и длина производителей, использованных в нерестовой
компании, представлены в таблице 1.
Таблица 1 - Сравнительная характеристика длины и массы тела самцов и
самок клариевого сома
|
Пол
|
Кол-во особей, шт.
|
Возраст, лет
|
Длина тела,
см
|
Масса тела, г
|
|
|
|
min-max min-max
|
|
|
|
|
Самцы
|
15
|
1+
|
49,2±4,67
|
46,3-52,1
|
1900±180,4
|
1800-2500
|
|
Самки
|
12
|
1+
|
57,2±5,33
|
52,2-58,1
|
2150±210,6
|
1900-2300
|
|
10
|
2+
|
68,2±6,67
|
61,4-69,5
|
3200±260,8
|
2400-3400
|
Для нереста используются впервые созревающие самцы в двухлетнем возрасте.
Самцы старших возрастных групп в нерестовой компании не используются, так как
отбор молок проводится путём умерщвления рыб. Длина тела самцов, используемых в
нерестовой компании, колеблется от 46,3 до 52,1 см, масса тела - от 1800 до
2500 г.
Самки для нереста используются двукратно: впервые созревающие в
двухлетнем возрасте и созревающие повторно трёхлетние. Длина тела самок,
используемых в нерестовой компании, колеблется от 52,2 см до 69,5 см, масса
тела - от 1900 г до 3400 г.
Как видно из представленной таблицы, в одновозрастной группе самки
крупнее самцов по длине и массе, так как растут быстрее.
4.2 Результаты инкубации икры
Оптимальная температура для созревания производителей клариевого сома
составляет 25-26 оС. Оптимальная температура для овуляции икры также 25-26 оС.
Она наступает после 10-12 часов после инъекции гипофиза [Овчинникова, 1992].
Перед получением икры самок усыпляли с помощью анестетика Propiscin (доза
- 1 мл/л воды). Икру получали от каждой самки отдельно. Самок после взятия икры
погружали в раствор KMnO4 (0,5 г /100 л воды) на 1 час для дезинфекции.
Молоки получали из гонад умерщвленных самцов.
В полученную икру добавляли молоки в пропорции 2-3 мг молок на 200-300 г
икры.
Процесс оплодотворения икры представлен на рисунке 13.
Для активизации оплодотворения добавляется вода, и полученная смесь
перемешивается в течение 3- 5 минут. После оплодотворения икру промывают в
растворе танина (7-10 г / 10 л воды) в течение 20-30 секунд для обесклеивания.
Рисунок 13 - Процесс оплодотворения икры клариевого сома
Обесклеенная икра инкубировалась в аппаратах «Амур». В состав данных
аппаратов входят: корпус с системой водораспределения, заградительная сетка и
подставка. Принцип действия инкубатора заключается в том, что икра в ходе
инкубации постоянно находится во взвешенном состоянии, равномерно перемешиваясь
спиралеобразным восходящим потоком воды. Этот поток создается за счет
конструкции узла водоподачи и корпуса инкубатора. Если первоначально этот
инкубационный аппарат использовали для инкубации пелагической икры
(растительноядных рыб), то затем освоили и инкубирование в нём донной икры
(карп, американский канальный сомик).
В ООО «РЭНТОП-Агро» аппарат «Амур» успешно применяют для инкубирования
икры клариевого сома.
Выклев личинки происходил при температуре 25-27 оС через 23-27 часов.
Сравнительная характеристика плодовитости самок клариевого сома разных
возрастов и характеристика их репродуктивных качеств приведены в таблицах 2 и
3.
Таблица 2 - Сравнительная характеристика плодовитости самок клариевого
сома разных возрастных групп
|
Показатель
|
Возраст, лет
|
|
1+
|
2+
|
|
Средняя длина тела, см
|
57,2 ± 5,33
|
68,2 ± 6,67
|
|
Средняя масса тела, г
|
2150 ± 210,6
|
3200 ± 260,8
|
|
Средняя масса икры, г
|
209 ± 17,6
|
385 ± 23,5
|
|
Средняя рабочая
плодовитость, тыс. икринок
|
90,3 ± 6,56
|
160,3 ± 11,45
|
|
Коэффициент зрелости, %
|
10,3 ± 0,45
|
12,1 ± 0,78
|
В результате проведенных исследований было выяснено, что у самок
трехлетнего возраста выше, чем у двухлетних самок, практически все
репродуктивные показатели: масса икры, рабочая плодовитость, коэффициент
зрелости.
Таблица 3 - Сравнительная характеристика результативности выклева
личинок, полученных от самок клариевого сома разных возрастов
|
Возраст, лет
|
Продолжительность выклева
личинок, ч
|
Процент выклева
|
|
начало выклева
|
завершение выклева
|
продолжительность выклева
|
|
|
1+
|
24
|
28
|
3,0
|
65
|
|
2+
|
25
|
27
|
2,0
|
51
|
В результате проведенных исследований было выявлено, что
продолжительность выклева личинок у двухлетних самок длиннее, чем у трёхлетних
самок. Однако такой важный показатель, как процент выклева, оказался выше у
более молодых самок (двухлетнего возраста).
4.3 Результаты подращивания личинок и мальков
Выдерживание полученных личинок до рассасывания желточного мешка
происходило в круглых бассейнах. В этот период личинок содержали в темноте, так
как на начальных стадиях развития они характеризуются отрицательным
фототаксисом.
Признаком рассасывания желточного мешка являлось начало активного
движения личинок.
Подращивание личинок и мальков делилось на несколько этапов.
Первый этап подращивания (на стадии личинки) продолжался 2 недели, до
момента перехода рыб на смешанное дыхание - атмосферным кислородом и кислородом
из воды.
Подращивание осуществлялось в бассейнах объемом около 1000 л, глубиной
50-60 см.
Уровень кислорода в бассейнах составлял 50-70% насыщенности. Обмен воды
происходил 2 раза в час. Условия освещения - полумрак.
Начальная плотность посадки составляла 150 штук/л.
Питание личинок: первые 2-4 дня производили кормление живой
декапсулированной артемией и трубочником (Tubifex), на пятый день начали
постепенный переход к кормлению сухими стартовыми кормами. Сухие корма
содержали 50-55% белка и около 14% жира.
После двух недель выращивания рыб рассадили до плотности 50 штук/л.
Дневной рацион корма составлял 12-15% биомассы рыб.
На третьей неделе выращивания, когда рыбы достигли средней массы 300-500
мг, произвели сортировку личинок. После сортировки рыб погружали на 1 час в
воду с антибиотиком. Для обработки рыб использовали окситетрациклин в
концентрации 50г/1000 л на час.
Второй этап подращивания длился 4 недели. Его начинали с наполнения
бассейнов отсортированными подрощенными личинками, удельной массой 300-500 мг.
Личинки были отсортированы по размеру на две группы: 300-400 и 400-500 мг.
По мере роста происходил метаморфоз личинок и их превращение в мальков.
Кормление молоди осуществляли сбалансированными кормами. Рацион составлял
4,5-5,0% корма от биомассы рыб.
Суточный рацион корма был разделен на четыре порции. Кормление
осуществляли каждые шесть часов.
Внешний вид малька клариевого сома представлен на рисунке 12.
Рисунок 12 - Внешний вид малька клариевого сома
Динамика роста малька клариевого сома по десятидневкам представлена в
таблице 4.
Таблица 4 - Динамика роста молоди клариевого сома по десятидневкам
|
Десятидневка
|
начало опыта
|
1
|
2
|
3
|
4
|
5
|
6
|
|
Масса тела, г
|
0,06
|
0,30
|
0,70
|
3,10
|
9,40
|
15,60
|
28,10
|
|
Прирост массы, г
|
-
|
0,24
|
0,40
|
2,30
|
6,00
|
6,00
|
13,00
|
|
Прирост массы, %
|
-
|
400
|
133
|
328
|
193
|
63
|
83
|
В начале опыта масса молоди составляла 0,06 г. В дальнейшем наблюдался
интенсивный набор массы тела, к концу шестой десятидневки средняя масса
достигла 28,10 г.
В результате опыта был выявлен самый высокий абсолютный прирост массы
тела на шестой десятидневке опыта. Такой показатель можно объяснить только
эндогенными факторами, так как в ходе опыта внешние факторы, такие как
температура, качество кормления и периодичность внесения корма не изменялись.
Наибольшие относительные приросты массы тела наблюдались в первую
десятидневку (таблица 4).
Отход молоди клариевого сома представлен в таблице 5.
Таблица 5 - Отход мальков клариевого сома
|
Десятидневки
|
1
|
2
|
3
|
4
|
5
|
6
|
|
Отход, %
|
24
|
16
|
5
|
6
|
4
|
3
|
По результатам опыта установлено, что самый высокий отход мальков
клариевого сома наблюдался во время первой десятидневки. Вероятно, этот факт
связан с переводом молоди в новые условия.
4.4 Результаты выращивания товарной рыбы
Выращивание товарной рыбы клариевого сома включало несколько этапов.
Первый этап выращивания продолжался 50 дней. Для этого использовали
бассейны с замкнутой водоподачей ёмкостью 3000-5000 л, находившиеся в одном из
помещений предприятия. Температура воды на данном этапе составляла 25-27 оС.
Рыб кормили плавающим кормом в объёме 3-5 % в зависимости от массы тела.
Обмен воды в бассейне происходил каждые 3 часа.
В начале выращивания плотность посадки составляла 2,5 экз./л, после
третьей недели рыб рассадили, и плотность посадки составила 1,5 экз./л.
Рыбы в конце данного этапа имели массу 130-200 г.
Динамика роста молоди клариевого сома на данном этапе представлена в
таблице 6.
Таблица 6 - Динамика роста сеголетков клариевого сома
|
Десятидневка
|
начало опыта
|
1
|
2
|
3
|
4
|
5
|
|
Масса тела, г
|
28
|
41
|
73
|
115
|
149
|
175
|
|
Прирост массы, г
|
-
|
13
|
32
|
42
|
33
|
25
|
|
Прирост массы, %
|
-
|
47
|
78
|
58
|
30
|
17
|
Набор массы происходил очень быстро. За десятидневку сомы набирали от 13
до 42 г. Самый высокий абсолютный прирост массы наблюдался на третьей
десятидневке опыта, когда температура воды поднялась до 27 оС.
Самый высокий относительный прирост был отмечен во второй десятидневке
(таблица 6).
Отход сеголетков клариевого сома на данном этапе выращивания представлен
в таблице 7.
Таблица 7 - Отход сеголетков клариевого сома
|
Десятидневка
|
1
|
2
|
3
|
4
|
5
|
|
Отход, %
|
3
|
2
|
0
|
1
|
0
|
Отход молоди на данном этапе был не значительным, изменяясь в зависимости
от десятидневки от 0 до 3%. Самый высокий отход наблюдался во время первой
десятидневки, что можно объяснить стрессовым состоянием рыб, так как они
подвергались пересадке из одного бассейна в другой.
Второй этап выращивания товарной рыбы продолжался 50 дней.
Выращивание происходило в бетонных бассейнах ёмкостью 8 м3 каждый,
расположенных под открытым небом. Данные бассейны входили в модуль УЗВ.
Температура воды при выращивании товарной рыбы на данном этапе колебалась
в районе 23-29 оС.
Кормление сомов производили плавающими кормами в объёме 2-3% от биомассы
рыб, кормили каждые 5-6 часов.
Плотность посадки рыб была очень высока: 1,0 экз./л, что можно увидеть на
рисунке 12.
Данные по динамике роста товарной рыбы клариевого сома приведены в
таблица 8.
Рисунок 12 - Плотность посадки клариевого сома в период товарного
выращивания
Таблица 8 - Динамика роста клариевого сома в период товарного выращивания
|
Десятидневка
|
начало опыта
|
1
|
2
|
4
|
5
|
|
Средняя масса тела, г
|
175
|
367
|
522
|
575
|
600
|
610
|
|
Прирост массы, г
|
-
|
192
|
155
|
53
|
25
|
10
|
|
Прирост массы, %
|
-
|
109,1
|
42,3
|
10,4
|
4,6
|
1,6
|
|
Средняя температура воды,
оС
|
29
|
28
|
26
|
22
|
23
|
18
|
В результате опыта был выявлен самый высокий прирост абсолютной массы
тела сомов в первой и второй десятидневках опыта. На такие показатели могла
повлиять смена температурного режима: в первые две десятидневки температура
наиболее соответствовала предпочтениям клариевого сома, в период последующих
десятидневок температура падала, что оказывало непосредственное влияние на рост
рыбы.
Относительный прирост массы также был наиболее высоким в первую и вторую
десятидневки (таблица 8).
Отход клариевого сома в период товарного выращивания представлен в
таблице 9.
Таблица 9 - Отход клариевого сома в период товарного выращивания
|
Десятидневка
|
1
|
2
|
3
|
4
|
5
|
|
Отход, %
|
1
|
0
|
0
|
0
|
3
|
Отход рыб на этом этапе выращивания был очень незначительным и изменялся
0 до 3%. Самый высокий отход был на пятой десятидневке опыта и составлял всего
3%. Такой показатель можно объяснить резким понижением температуры окружающей
среды, которое неблагоприятно сказалось на части рыб и привело к летальным
исходам.
4.5 Результаты и экономическая эффективность
воспроизводства клариевого сома
Обобщенные результаты воспроизводства клариевого сома на предприятии
представлены в таблице 10.
В результате исследований было выявлено, что в зависимости от стадий
выращивания сома рыбопродуктивность составляла от 63 до 410 кг/м3, а выход рыбы
- от 69 до 585 кг/м3.
Таблица 10 - Результаты выращивания клариевого сома
|
Стадия выращивания
|
Личинка
|
Малек
|
Сеголеток
|
Товарная рыба
|
|
Плотность посадки, экз./л
|
50,0-150,0
|
30,0
|
2,0
|
1,0
|
|
Продолжительность
подращивания, сут.
|
20
|
40
|
50
|
50
|
|
Масса начальная, г
|
0,06
|
0,7
|
28
|
175
|
|
Масса конечная, г
|
0,7
|
28
|
175
|
610
|
|
Среднесуточный прирост, г
|
0,03
|
0,7
|
2,9
|
8,7
|
|
Выход, %
|
60,0
|
82,0
|
94,0
|
96,0
|
|
Выход, кг/м3
|
69
|
139
|
339
|
585
|
|
Рыбопродуктивность, кг/м3
|
63
|
104
|
283
|
410
|
Наибольший выход и рыбопродуктивность наблюдались по товарной рыбе
(таблица 10).
Рыбопродуктивность по клариевому сому оказалась очень высокой, так как
благодаря его устойчивости к высокому содержанию загрязняющих веществ и дыханию
атмосферным воздухом, эта рыба выдерживает очень высокие плотности посадки.
Экономическая
эффективность работы предприятия рассчитывалась из стоимости затраченных на
выращивание клариевого сома ресурсов, в которые входили заработная плата
сотрудников, стоимость кормов, стоимость электроэнергии и прочие расходы за
период выращивания клариевого сома до товарной продукции (таблица 11).
Расчеты стоимости кормов производили, исходя из стоимости
гранулированного корма, которым кормили личинку и малька, а так же стоимости
рыбы (тюлька), приобретаемой для кормления молоди и товарной рыбы.
Таблица 11 -
Затраты на производство рыбоводной продукции (клариевый сом)
|
Вид затрат
|
Стоимость, тыс. руб.
|
|
Корма
|
2855
|
|
Заработная плата
|
660
|
|
Инвентарь и оборудование
|
70
|
|
Электроэнергия
|
143
|
|
ВСЕГО
|
3728
|
Также необходимо рассчитать общую стоимость товарной продукции клариевого
сома, исходя из стоимости реализации выращиваемого объекта и объёмов его
выращивания:
экз. * 0,61 кг * 70 руб./кг = 10922416 рублей = 10922 тыс. руб.
Таким образом, прибыль, полученная в результате реализации клариевого
сома, с учётом затрат на производство, составит:
тыс. руб. - 3728 тыс. руб. = 7 млн. 194 тыс. рублей.
Из величины этого показателя следует сделать вывод, что выращивание
клариевого сома по описанной технологии является экономически выгодным.
ЗАКЛЮЧЕНИЕ
По результатам проведенных исследований можно сделать следующие выводы:
. Для процесса воспроизводства клариевого сома в ООО «РЭНТОП-Агро»
используются двухлетние самцы средней длиной 49,2 см и массой 1900 г, а также
двухлетние и трёхлетние самки средней длиной 57,2 и 68,2 см соответственно,
средней массой - 2150 г и 3200 г соответственно.
. Самки трехлетнего возраста, в сравнении с двухлетними, характеризуются
более высокими значениями основных репродуктивных показателей: массы икры,
рабочей плодовитости, коэффициента зрелости. Но процент выклева личинок из
икры, полученной от двухлетних самок, в сравнении с трёхлетними, выше: 65 и 51%
соответственно.
. Подращивание личинок и мальков осуществлялось в цеху в условиях
пониженного освещения в течении 60 дней. Плотность посадки, в зависимости от
стадии развития, - от 50 до 150 экз./л. Абсолютный прирост массы тела, в
зависимости от десятидневки, составлял от 0,24 до 13 г, отход - от 3 до 24 %.
. Подращивание молоди осуществлялось в цеху в течении 50 дней. Плотность
посадки, в зависимости от стадии развития, - от 1,5 до 2,5 экз./л. Абсолютный
прирост массы тела, в зависимости от десятидневки, составлял от 13 до 42 г,
отход - от 0 до 3 %.
. Выращивание товарной рыбы осуществлялось в установках замкнутого
водоснабжения под открытым небом в течении 50 дней. Плотность посадки, в
зависимости от стадии развития, - от 1 до 1,5 экз./л. Абсолютный прирост массы
тела, в зависимости от десятидневки, составлял от 10 до 192 г, отход - от 0 до
3 %.
. Итоговая рыбопродуктивность по клариевому сому составила 410 кг/м3,
затраты на выращивание рыбы - 3728 тыс. рублей, а прибыль от её реализации - 7
млн.194 тыс. рублей. Таким образом, выращивание клариевого сома по используемой
на предприятии технологии является экономически выгодным.
По результатам проведённых исследований также могут быть сделаны
следующие рекомендации по совершенствованию биотехники разведения и выращивания
клариевого сома на предприятии:
1. Увеличить количество производителей в маточном стаде для поддержания
необходимого уровня генетического разнообразия и снижения степени
близкородственного скрещивания.
2. Оборудовать помещение в цехе для выращивания товарной рыбы, что
позволит получать продукцию для реализации в течении всего года.
. Для предотвращения отхода молоди из-за каннибализма оборудовать на дне
бассейнов укрытия и увеличить кратность кормления.
Библиографический список
1. Власов
В. Клариевый сом: особенности кормления и выращивания // Комбикорма. 2010. №3.
С. 48-49.
2. Бондаренко
А.Б., Сычев Г.А., Приз В.В. Клариевый сом // Рыбоводство. 2008. № 1. С. 30-31.
3. Гордеев
А.В. Состояние и перспективы развития рыбного хозяйства России // Рыбное
хозяйство. 2005. № 4. С. 3-5.
4. Заки
М., Абдула А. Размножение и развитие Сlаrias gariepinus (Pisces, Clariidae) из озера Манзала (Египет) // Вопросы ихтиологии. 1983. Т. 51. № 23. С.
48-58.
5. Иванов
А.А. Физиология рыб. М., 2003. 230 с.
6. Ковалев
К.В. Технические аспекты выращивания клариевого сома (Clarias gariepinus) в рыбоводной установке с замкнутым
циклом водообеспечения (УЗВ) // Рыбоводство и рыбное хозяйство. 2006. № 11. С.
18-26.
7. Ковалев.
К.В. Технические аспекты выращивания клариевого сома (Clarias gariepinus) в рыбоводной установке с замкнутым
циклом водообеспечения (УЗВ): дис. … канд. биол. наук.. М., 2006. 132 с.
8. Ковалев
К.В., Наумова А.М., Власов В.А. Оценка состояния здоровья клариевого сома
(Clarias gariepinus) и качество воды при его выращивании в аквариальных
установках и в УЗВ // Аквакультура и интегрированные технологии: проблемы и
возможности. М., 2005. С. 164-169.
9. Крыжановский
С.Г. Эколого-морфологические закономерности развития карповых, вьюновых и
сомовых рыб // Труды Института морфологии животных АН СССР. 1949. № 1 . С.
1-236.
10. Маилкова
А.В., Никифоров А.И. Особенности морфологии африканского сома Clarias
gariepinus // Естественные и технические науки. 2006. № 2. С. 65-67.
11. Мартышев
Ф.Г. Прудовое рыбоводство. М., 1973. 428 с.
12. Микодина
Е.В., Широкова Е.Н. Биологические основы и биотехника аквакультуры африканского
сомика Clarias gariepinus // Обзорная информация. Сер.
Аквакультура. 1997. №2. 45 с.
13. Никифоров
А.И., Маилкова А.В. Морфологические особенности сома Clarias gariepinus //
Пресноводная аквакультура: состояние, тенденции и перспективы развития: Сборник
научных статей, посвящённых 60-летию Научно-исследовательской рыбохозяйственной
станции. Кишинев, 2005. С. 56-58.
14. Никифоров
А.И. Особенности морфологического строения африканского сома Clarias gariepinus
// Аквакультура и интегрированные технологии: проблемы и возможности: Сборник научных
трудов ГНУ ВНИИР и РГАУ-МСХ им. К.А.Тимирязева по итогам Международной
научно-практической конференции. М. 2005. С. 215-219.
15. Овчинникова
Т.И. Выращивание африканского сома // Рыбное хозяйство. Сер. Аквакультура:
Перспективные объекты тепловодного рыбоводства. Информ. пакет. 1992. Вып.1.
С.14-20.
16. Первые
результаты применения стартового комбикорма для выращивания личинок
африканского сома (Clarias
gariepinus) / В.В. Приз, Е.А. Мельченков, Т.А.
Канидьева, Д.Г. Шевченко // Рыбоводство и рыбное хозяйство. 2009. № 1-2. С.
55-58.
17. Подушка
С.Б. Клариевый сом и его использование в рыбоводстве // Состояние и перспективы
развития фермерского рыбоводства аридной зоны. Ростов н /Д., 2006. С. 71-74.
18. Подушка
С.Б. Литература о клариевых сомах на русском языке // Научно-технический
бюллетень лаборатории ихтиологии ИНЭНКО. 2008. № 14. С. 33-52.
19. Пономарев
С.В., Лагудкина Л.Ю., Киреева И.Ю. Фермерская аквакультура. М., 2007. 192 с.
20. Севрюков
В.Н., Семьянихин В.В., Лабенец А.В. Первый опыт промышленного культивирования
клариевого сома // Ресурсосберегающие технологии в аквакультуре: материалы II Международного симпозиума. Адлер,
1999. С. 92.
21. Стратегия
развития аквакультуры в Российской Федерации на период до 2020 года / А.В.
Гордеев. М., 2007. С. 9-24.
22. Томеди
Э.М., Тихомиров А.М. Клариевый сом - перспективный объект аквакультуры //
Рыбоводство и рыболовство. 2000. №4. С. 14- 96.
23. Хрусталев
Е.И. Оценка ростовой потенции канального и клариевого сомов, обосновывающая
полицикличные технологии выращивания // Рыбное хозяйство. 2010. № 7. С. 65-68.
24. Электрические
разряды клариевых сомов, культивируемых в Южном Вьетнаме / В.М. Ольшанский,
К.С. Моршнев, А.М. Насека, Нга Нгуен Тхи // Вопросы ихтиологии. 2002. Т. 42.
№4. С. 549-557.
25. Юшкова
Ю.А. Испытание препарата «Нерестин-5 КС» при воспроизводстве клариевого сома в
условиях УЗВ // Рыбоводство и рыбное хозяйство. 2009. № 4. С. 19-24.
26. Bruton M.N. The breeding biology and early development of Clarias
gariepinus (Pisces, Clariidae) in Lake Sibaya, South Africa, with a review of
breeding in species of the subgenus Clarias (Clarias) // Trans. Zool. Soc. Lond
1979. V. 35. P. 1-45.
27. Effects of humanchorionic gonadotropin (HCG) on maturation and ovulation
of oocytes in the catfish Clarias lazera (C. & V.). / E.H. Eding, J.A.L.
Janssen, G.H.J. Kleine Staarman, C.J.J. Richter // Proceedings of the
International Symposium on Reproductive Physiology of Fish. Wagen-ingen; PUDOC,
1982. P. 195.
28. Mukhopadathy S.M. Dehadrai P.V. Survival of hybrids between air-breathing
catfishes heteropneustes fossilis (Bloch) and Clarias batrachus (Linn.) //
Matsya. 1987. V. 12-13. P. 162-164.