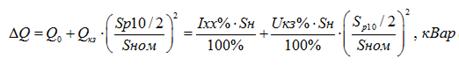
Значение Зуевской гидроэлектростанции
Содержание
Введение
. Общая часть
.1 Характеристика подстанции
1.2 Выбор режима нейтрали
.3 Выбор напряжения
.4 Выбор опор
.5 Выбор схемы подстанции
.6 Выбор трансформаторов собственных
нужд
.7 Назначение оперативного тока
. Производственно-техническая часть
2.1 Определение нагрузки на
подстанции
2.2 Выбор силовых трансформаторов
.3 Определение потерь мощности в
силовых трансформаторах
2.4 Расчет питающей линии
.5 Расчет отходящей линии
.6 Расчет токов короткого замыкания
.7 Выбор ошиновки распределительного
устройства 10 кВ
.8 Выбор изоляторов для шин 10 кВ
.8.1 Выбор опорных изоляторов для
шин
.8.2 Выбор проходных изоляторов
.9 Проверка отходящей линии на
термостойкость
.10 Выбор высоковольтных
выключателей 35 кВ
.11 Выбор разъединителей 35 кВ
.12 Выбор аппаратов для защиты от
перенапряжений
.13 Выбор выключателей 10 кВ
.13.1 Выбор секционного и вводных
выключателей
.13.2 Выбор выключателей на
отходящие фидера
.14 Выбор измерительных
трансформаторов тока
.14.1 Выбор измерительных
трансформаторов тока на вводную и секционные ячейки
.14.2 Выбор измерительных
трансформаторов тока на отходящих линиях
.15 Выбор трансформаторов напряжения
.16 Выбор трансформатора собственных
нужд
.17 Расчет заземления
.18 Расчет грозозащиты
. Специальная часть
4. Экономическая часть
.1 Технико-экономическое сравнение
вариантов при выборе силовых трансформаторов
.2 Оплата труда и расчет годового
фонда заработной платы
обслуживающего персонала
5. Охрана труда и техника
безопасности. ГО и ЧС. Охрана природы
.1 Охрана окружающей среды
.2 Противопожарные мероприятия на
подстанции
.3 Электробезопасность при
обслуживании электрооборудования подстанции
Литература
Введение
Территория Амурской области обладает
значительным гидроэнергетическим потенциалом. Основной источник гидроэнергетических
ресурсов - река Амур с левобережными притоками - Зеей и Буреей.
Геоморфологические и гидрографические характеристики этих рек - многоводность,
значительное падение (уклоны), высокие береговые склоны, сужения речных долин и
русел, а также благоприятные геологические условия - позволяют использовать
отдельные участки рек для сооружения гидроэлектростанций. Изучение перспектив
использования гидроэнергетических ресурсов и условий регулирования стока с
целью борьбы с наводнениями в Амурской области началось в 1931 году после
катастрофического наводнения 1928 года на реке Зея. В 1953 году Совет по
изучению производительных сил (СОПС) Академии наук СССР провел
рекогносцировочное обследование реки Зеи и рекомендовал выбрать створ основной
регулирующей плотины в нижней части ущелья Тукурингра, у города Зея. Был
обследован и участок верхнего Амура от Благовещенска до селения Черняево и
выбраны участки, удобные для сооружения плотин, - в районах Благовещенска,
Сухотино, Ново-Воскресеновки, Толбузино, Ольгино, Кузнецово.
С 1956 по 1960 годы проводились совместные
советско-китайские научно-исследовательские работы по выявлению природных
ресурсов и перспектив развития производительных сил бассейна реки Амур, а также
проектно-изыскательские работы по составлению схемы использования стока
верхнего Амура. Первоочередной для строительства на участке верхнего течения
реки Амур была предложена Кузнецовская ГЭС, последующее
гидроэнергостроительство предполагалось в районах Амазара, Джалинды, Сухотино и
Благовещенска. Суммарная мощность этих электростанций определена в 4,3 млн.
кВт, а среднегодовая выработка электроэнергии - 22 млрд. кВт-ч. В 1958 году
Ленгидроэнергопроектом также была подготовлена "Схема комплексного
гидроэнергетического использования рек Зеи и Селемджи". В ней
предусматривалось создать на реке Зее каскад из 11 комплексных гидроузлов с
общей установленной мощностью 2670 тыс.кВт и среднегодовой выработкой
электроэнергии 14 млрд.кВт-ч. В качестве основных вариантов строительства
гидроузлов были намечены Зейский створ (перепад 94 м), Граматухинский (в 7 км
выше устья Селемджи, перепад 64 м) и Дагмарский - в нижнем течении реки
Селемджи. Гидропроект в 1960-е годы представил результаты расчетов, в
соответствии с которыми потенциальные гидроэнергоресурсы Амурской области
составили 8671 тыс.кВт среднегодовой мощности и 76 млрд.кВт*ч среднегодовой
выработки. Удельная насыщенность гидроресурсов крупных и средних рек достигает
отметки 209 мВт-ч/км2, что в полтора раза превосходит средний
показатель по Российской Федерации. Показателем оценки гидроэнергетических
ресурсов является экономически эффективный гидроэнергетический потенциал, т.е.
та часть гидроэнергетических ресурсов, которую экономически целесообразно
использовать при современном уровне развития науки и техники в обозримой
перспективе.
Его величина для Амурской области составляет 46
млрд. кВт*ч, что значительно превосходит гидроэнергопотенциал Хабаровского и
Приморского краев - 4,5 и 1,9 млрд. кВт-ч соответственно. На основании
уточненных данных и проектных материалов «Ленгидропроекта» в 1967 году была
рассмотрена возможность создания на территории Амурской области 31 ГЭС
различных мощностей, среди которых (кроме строящейся тогда Зейской ГЭС)
первоочередными были запланированы Желундинская, Долдыканская и Дагмарская.
Работа по оценке теоретического гидроэнергопотенциала малых рек Амурской
области была проведена Ленгидропроектом в 1991 году, в результате которой
выделено 97 рек со среднегодовым расходом от 6 до 50 м3/с.
Полная теоретическая сумма энергии речного стока
составила 2865 МВт среднегодовой мощности и 25 млрд. кВт-ч годовой выработки.
Технический потенциал составляет 706 МВт и 6270 млн.кВт-ч. Экономический же
гидроэнергопотенциал составляет 44 МВт среднегодовой мощности и 127 млн. кВт-ч
годовой выработки. В основном это левобережные притоки р. Амур до устья р.
Зеи, притоки р. Зеи до впадения р. Селемджи и притоки р. Олекмы. Особенность
рассмотренных малых рек с годовым стоком до 50 мз/с состоит в том, что 90%
годового стока приходится на теплое время года (с мая по октябрь). Создание
водохранилищ сезонного регулирования, требующих плотин высотой более 10-20 м,
приведет к большим затоплениям в долинах рек и для равнин Амурской области
недопустимо по экологическим требованиям. Поэтому использование энергий малых
рек выгодно в комплексе с использованием других источников энергии.
В данный момент на территории области
функционируют две ГЭС - Зейская и Бурейская.
Значение Зейской ГЭС.
Основным видом деятельности Зейская ГЭС является производство электрической и
тепловой энергии. В Дальневосточной энергосистеме Зейская ГЭС осуществляет
следующие функции:
выдача мощности и выработка электроэнергии;
регулирование частоты;
прием суточных и недельных неравномерностей
нагрузки по энергосистеме;
аварийного резерва, как кратковременного по
мощности, так и длительного по энергии.
Зейская ГЭС уникальна. Здесь впервые
в мире установлены мощные поворотно-лопастные диагональные турбины. Особенность
их в том, что лопасти расположены к валу не горизонтально, а под углом 45°. Это
дает возможность пускать машины и при низких уровнях воды в водохранилище и в
дальнейшем работать при больших перепадах напора.
Схема выдачи мощности Зейской ГЭС
Главная электрическая схема ГЭС
построена следующим образом: два гидрогенератора (№1 и №2) соединены в блоки с
повышающими трансформаторами типа ТЦ-250000/220 и TNEPE-265000/242 и выдают мощность на напряжении 220 кВ, и четыре
гидрогенератора (г№3 - г№6) соединены в блоки с повышающими трансформаторами
типа ТЦ-250000/500 и TNEPE-265000/525 для выдачи мощности на напряжении 500 кВ. Последние
попарно объединены в укрупненные блоки (3ГТ-4ГТ и 5ГТ-6ГТ).
На ГЭС смонтировано два открытых
распределительных устройства ОРУ-500 и ОРУ-220 кВ. На ОРУ-500 кВ применена
«полуторная» схема с тремя выключателями на два присоединения. ОРУ-220 кВ
выполнено по схеме «одиночная секционированная система шин с обходной» с
секционной связью через два обходных выключателя. Связь двух распределительных
устройств осуществляется через группу автотрансформаторов типа АОДЦТН-167000/500/220-75-У1,
имеющих резервную фазу.
ГЭС связана с энергосистемой по
одной линии 500 кВ (ПС «Амурская» Л-501, связь с хабаровской энергосистемой по
линиям 500 кВ идёт через шины Бурейской ГЭС), и по трем линиям 220 кВ (п/с
«Призейская» Л-208, п/с «Светлая» Л-200, Л-201). Связь с подстанцией «Энергия»
осуществляется отпайками от Л-200 и Л-201.
Основные функции Бурейской ГЭС в Дальневосточной
энергосистеме:
выдача мощности и выработка электроэнергии;
принятие неравномерной нагрузки;
участие в регулировании основных параметров
энергосистемы;
обеспечение аварийного резерва, как
кратковременного по мощности, так и длительного - по энергии;
резкое повышение надежности функционирования
всей энергосистемы региона.
Значение Бурейской ГЭС для Дальнего Востока:
одновременно со строительством ГЭС проводится
существенная модернизация сетевого хозяйства в регионе, в том числе строится
две линии 500 кВ;
с выходом Бурейской ГЭС на проектную мощность
появится возможность снизить объем привозного топлива в регионе на 5,2 млн т в
год, что позволит экономить 4,7 млрд рублей ежегодно;
создаются предпосылки для снижения тарифа на
электроэнергию для населения;
экономически эффективная энергия Буреи дает
толчок развитию промышленности Дальнего Востока;
созданы предпосылки для экспорта
высокотехнологичной продукции - электроэнергии - в страны АТР.
Так же на территории области свою деятельность
осуществляет ОАО "Дальневосточная генерирующая компания" в виде
филиала «Амурская генерация». Основная деятельность филиала «Амурская
генерация» - производство тепловой и электрической энергии. Численность
персонала филиала - 1298 человек. Всего по филиалу «Амурская генерация»
установленная мощность: электрическая - 499 МВт; тепловая - 979,2 Гкал/час.
Филиал «Амурская генерация» состоит из двух
структурных подразделений: Благовещенской ТЭЦ и Райчихинской ГРЭС.
Благовещенская ТЭЦ - базовое предприятие
энергетики Амурской области. Установленная мощность по электроэнергии
составляет 280 МВт, по теплоэнергии - 817 Гкал/ч. ТЭЦ вырабатывает седьмую
часть всей электроэнергии области, на 70% обеспечивает потребности промышленных
предприятий и ЖКХ Благовещенска в тепле.
Станция включает: три турбоагрегата ст. №1 типа
ПТ-60-130/13 и ст. №2,3 типа Т-110/120-130; четыре энергетических котла типа БКЗ-420-140-7;
два водогрейных котла типа КВГМ-100. Основное топливо - бурый уголь
Райчихинского, Ерковецкого и Харанорского месторождений.
СП Райчихинская ГРЭС - старейшее
энергопредприятие Дальнего Востока, находится в поселке Прогресс Амурской
области. Установленная электрическая мощность станции 219 МВт, тепловая - 162,2
Гкал/час.
Транспортировку электрической
энергии по распределительным сетям на территории Амурской области осуществляют
филиал ОАО «ДРСК» «Амурские электрические сети». Количество обслуживаемых
подстанций 35 кВ - 167 шт., 110 кВ - 40 шт.; общая протяженность ВЛ и КЛ 0,4 -
110 кВ - 19706 км; количество ТП 6 - 10 /0,4 кВ - 3389 шт.
Основные виды деятельности филиала:
· оказание услуг по передаче
электрической энергии;
· оказание услуг по распределению
электрической энергии;
· оперативно-диспетчерское управление
и соблюдение режимов энергосбережения и энергопотребления;
· оказание услуг по присоединению к
электрическим сетям;
· оказание услуг по сбору, передаче и
обработке технологической информации, включая данные измерений и учёта;
· осуществление контроля за безопасным
обслуживанием электрических установок у потребителей, подключенных к
электрическим сетям общества;
· деятельность по эксплуатации
электрических сетей;
· проектно-сметные, изыскательские,
научно-исследовательские и конструкторские работы;
· оказание транспортно-экспедиционных
услуг;
· выполнение работ, определяющих
условия параллельной работы в соответствии с режимами Единой энергетической
системы России в рамках договорных отношений;
· эксплуатация по договорам с
собственниками энергетических объектов, не находящихся на балансе Общества;
· обеспечение работоспособности и
исправности энергетического оборудования в соответствии с действующими
нормативными требованиями, проведение технического обслуживания, диагностики,
ремонта электрических сетей и иных объектов электросетевого хозяйства, а также
технологическое управление ими;
· обеспечение работоспособности и
исправности, проведение технического обслуживания, диагностики и ремонта сетей
технологической связи, средств измерений и учета, оборудования релейной защиты
и противоаварийной автоматики и иного, технологического оборудования,
связанного с функционированием электросетевого хозяйства, а также
технологическое управление ими;
· разработка долгосрочных прогнозов,
перспективных и текущих планов развития электросетевого комплекса, целевых
комплексных научно-технических, экономических и социальных программ;
· развитие электрических сетей и иных
объектов электросетевого хозяйства включая проектирование, инженерные
изыскания, строительство, реконструкцию, техническое перевооружение, монтаж и
наладку;
· развитие сетей технологической
связи, средств измерений и учета, оборудования релейной защиты и
противоаварийной автоматики и иного технологического оборудования, связанного с
функционированием электросетевого хозяйства, включая проектирование, инженерные
изыскания, строительство, реконструкцию.
По территории области проходят линии 500, 220.
110,35, 10, 6 и 0,4 кВ. Линии 500, 220 и часть 110 кВ (рис.1.1) относятся к
системообразующим и образуют объединенную энергетическую систему Востока (ОЭС
Востока). Линии 500 кВ Зейская ГЭС - ПС «Амурская», ПС «Амурская - Бурейская
ГЭС, Бурейская ГЭС - ПС «Хабаровская» служат для выдачи мощности от ГЭС и
перетока её потребителям Хабаровского края и Приморья. Линии 220 кВ связывают
крупные подстанции и тепловые станции (ПС «Амурская» и Райчихинская ГРЭС), так
же осуществляют питание 19 тяговых подстанций на территории Амурской области.
1. Общая часть
.1 Характеристика подстанции
трансформатор ток замыкание
гидроэнергетический
Подстанция 35/10 «Прогресс» находится на
территории Бурейского сетевого района, Прогрессовского сетевого участка.
Питание П/С осуществляется по двум линиям 35 кв. с шин 35 кВ Райчихинской ГРЭС
протяжённостью 2,7 км и 26,7 км. П/С 35/10 кВ. «Прогресс» запитывает жилой
сектор поселка Прогресс, промышленные предприятия. От
П/С 35/10 «Прогресс» питаются приёмники только 3 категории, и запитываются по
одиночным линиям 10 кВ., но работа линейных бригад организована таким образом
что все аварии и неполадки устраняются в кратчайшие сроки. К основным
устройствам подстанции относятся распределительные устройства.
Распределительное устройство 35 кВ выполнено открытого типа. Распределительное
устройство 10 кВ - комплектное, шкафы расположены на открытом воздухе. Комплектное
распределительное устройств КРУН предназначено для приема и распределения
электрической энергии переменного трехфазного тока промышленной частоты 50 Гц,
напряжением 10 кВ, и комплектует распределительных устройств 10 кВ подстанций
различного назначения, в том числе подстанций сетевых.
Подстанция не имеет щита управления
и обслуживается без постоянного дежурного персонала. Приборы и аппараты
управления и релейной защиты размещены в специальных стальных камерах с
наружным обслуживанием, располагаемых на площадке соответствующего
распределительного устройства. Территория подстанции ограждена забором из
несгораемого материала.
При реконструкции подстанции
произведем замену ячеек КРУН на ячейки К-59 со следующими параметрами:
- номинальное напряжение (линейное) 10 кВ;
наибольшее рабочее напряжение 12 кВ;
номинальный ток главных цепей КРУН 630; 1000;
1600 А;
номинальный ток сборных шин 1000; 1600; 2000;
3150 А;
Условия обслуживания КРУН: двухстороннее;
вид изоляции: воздушная, комбинированная.
КРУН К-59 имеет различные климатические
исполнения как наружной так и внутренней установки, по условиям эксплуатации
выбираем вариант исполнения КРУН для умеренного климата К-59 У1 (У3)
1.2 Выбор режима нейтрали
Нейтралями электроустановок называют общие точки
обмотки генераторов или трансформаторов, соединенные в звезду.
Вид связи нейтралей машин и трансформаторов с
землей в значительной степени определяет уровень изоляции электроустановок и
выбор коммутационной аппаратуры, значения перенапряжений и способы их
ограничения, токи при однофазных замыканиях на землю, условия работы релейной
защиты и безопасности в электрических сетях, электромагнитное влияние на линии
связи и т. д.
В зависимости от режима нейтрали электрические
сети разделяют на четыре группы:
) сети с незаземленными (изолированными)
нейтралями;
) сети с резонансно-заземленными
(компенсированными) нейтралями;
) сети с эффективно-заземленными нейтралями;
) сети с глухозаземлёнными нейтралями.
В России к первой и второй группам относятся
сети напряжением 3 - 35 кВ, нейтрали трансформаторов или генераторов которых
изолированы от земли или заземлены через заземляющие реакторы.
Сети с эффективно-заземленными нейтралями применяют
на напряжение выше 1 кВ. В них коэффициент замыкания на землю не превышает 1,4.
Коэффициентом замыкания на землю называют отношение разности потенциалов между
неповрежденной фазой и землей в точке замыкания на землю поврежденной фазы к
разности потенциалов между фазой и землей в этой точке до замыкания. В
соответствии с рекомендациями Международного электротехнического комитета (МЭК)
к эффективно-заземленным сетям относят сети высокого и сверхвысокого
напряжения, нейтрали которых соединены с землей непосредственно или через
небольшое активное сопротивление. В России к этой группе относятся сети
напряжением 110 кВ и выше.
К четвертой группе относятся сети напряжением
220, 380 и 660 В.
Режим работы нейтрали определяет ток замыкания
на землю. Сети, в которых ток однофазного замыкания на землю менее 500 А,
называют сетями с малыми токами замыкания на землю (в основном это сети с
незаземленными и резонансно-заземленными нейтралями).
Токи более 500 А соответствуют сетям с большими
токами замыкания на землю (это сети с эффективно-заземленными нейтралями).
На П/С «Прогресс» линии 35кВ и 10 кВ относятся к
группе с незаземлённой нейтралью. Преимущество этой группы в том что, при
однофазных замыканиях на землю в сетях с незаземленной нейтралью треугольник
линейных напряжений не искажается, поэтому потребители, включенные на
междуфазные напряжения, продолжают работать нормально. Далее в посёлке на
ТП-10/0.4 на линиях применяются сети с глухозаземлёнными нейтралями.
При замыкании на землю одной из фаз
высоковольтной сети, работающей с изолированной нейтралью, к месту заземления
стекаются емкостные токи двух других, неповрежденных фаз всего электрически
связанного участка сети. При металлическом (глухом) заземлении фазы напряжение
между заземленной фазой и «Землей» падает до нуля, а напряжение двух других фаз
относительно «земли» повышается в 1,73 раза, достигая значения полного
линейного напряжения. Так как заземление фазы редко бывает металлическим, то в
точке заземления обычно возникает дуга, которая при значительной величине
емкостного тока (порядка 5А и выше) может гореть длительно, причиняя разрушения
в точке заземления, кроме того, перемежающая дуга, являясь источником
перенапряжений, может привести к пробою изоляции неповрежденных фаз и тем
вызвать двухфазное замыкание на землю.
Для гашения дуги необходимо уменьшить ток в
точке заземления, что может быть достигнуто компенсацией емкостного тока сети
индуктивным током, который сдвинут относительного емкостного на 180о.
Для надежного гашения дуги следует подбирать величину индуктивного тока
приблизительно равной емкостному току сети. Для этой цели служит заземляющая
реактивная катушка с железным сердечником, находящаяся в баке с маслом. Катушка
включается между нулевым выводом силового трансформатора и землей. При металлическом
однополюсном заземлении сети, на катушку ложится полное фазное напряжение, что
вызывает протекание в точке заземления индуктивного тока, компенсирующего
емкостной ток замыкания на землю.
Для измерения величины индуктивного тока при
изменении протяженности участка сети защищаемого катушкой, необходимо изменить
самоиндукцию катушки (менять настройку). Для этого служит переключатель числа
витков, расположенный на крышке бака катушки. При настройке катушки в резонанс
(точное равенство емкостного тока сети с компенсирующим током катушки)
создаются наилучшие условия для гашения дуги (ток в точке заземления мал) при
полной симметрии емкостей в сети. Однако существующая всегда некоторая не
симметрия емкостей в сети вызывает смещение электрической нейтрали, перекос
фазных напряжений и повышение напряжения в нейтрали трансформатора и на
катушке. Чтобы избежать значительного перекоса фазных напряжений задается
некоторая растройка в сторону перекомпенсации (до 5%).
1.3 Выбор рационального напряжения
Комплекс главных вопросов при проектировании
системы электроснабжения поселка «Прогресс» наряду с выбором общей схемы
питания и определением целесообразной мощности силовых трансформаторов включает
в себя выбор рациональных напряжений для схемы, поскольку их величинами определяются параметры линий электропередачи и выбираемого
электрооборудования подстанций и сетей, а следовательно, размеры
капиталовложений, расход цветного металла, величина потерь электроэнергии и
эксплуатационные расходы.
Вблизи территории поселка «Прогресс» расположена
Райчихинская ГРЭС, которая осуществляет выдачу своей мощности потребителям с
шин 6, 35, 110. 220 кВ, поэтому рациональным напряжением для питания
понизительной подстанции является 35 кВ, что подтверждается расстоянием до
источника питания передаваемой мощностью.
Следует отметить, что вопросу
нахождения величины нестандартного рационального напряжения аналитическим путем
за рубежом уделяют большое внимание. В зарубежной практике предложены следующие
выражения для величины нестандартного рационального напряжения.
В американской практике применяется
формула Стилла
U= 4,34 √l+ 16Р, кВ,
где Р - передаваемая мощность, тыс.
кВт;
l - расстояние, км.
Формула Стилла была преобразована С.
Н. Никогосовым и приведена к более удобному виду:
U=164√Pl, кВ
1.4 Выбор опор
Проектирование конструктивной части воздушной
линии основывается на проекте электрической части линии (выборе номинального
напряжения, марок проводов), специальном изучении метеорологических и
геологических условий на трассе линии, с учетом экологических требований.
Проектирование конструктивной части осуществляется с применением
унифицированных опор и фундаментов, стандартных марок проводов, тросов,
линейной арматуры и изоляторов.
Опоры воздушных лини электропередачи могут выполняться:
железобетонные;
стальные;
деревянные;
опоры из сплавов алюминия.
Для питающих нашу подстанцию линий 35 кВ
принимаем стальные опоры У35-2+5, условное обозначение АУ-2Ц-СТ-С,
предназначенные для установки на двухцепной линии с проводами АС-120/19.
Основные конструктивные элементы опор
изготавливаются из стали марки ВМСт3. Наиболее нагруженные части опор могут
изготавливаться из низколегированных сталей. Отливки для некоторых узлов опор
производятся из ковкого чугуна. Для конструктивных растяжек (оттяжек) опор
применяются стальные оцинкованные канаты матки ТК, свитые из 19 или 37
проволок. Части (секции) опор подвергаются заводской горячей оцинковки для
защиты от коррозии; сборка опор, а также соединение отдельных готовых секций
производится с помощью болтовых соединений.
.5 Выбор схемы подстанции
Подстанция «Прогресс» предназначена для питания
потребителей крупного района, так же по шинам 35 кВ подстанции осуществляется
транзит мощности на подстанцию «Н-Райчиха». Роль подстанций определяет ее схему.
Поэтому подстанция «Прогресс» является отпаечной на стороне 35 кВ и установка
выключателей на питающих линиях 35 кВ не требуется. Установка разъединителей и
заземляющих разъединителей необходима для обеспечения безопасности при ремонте
линий. Питание потребителей от распределительного устройства 10 кВ
осуществляется по одиночным линиям. Поскольку основная категория потребителей
относится к третьей группы по степени надежности электроснабжения. С учетом
возможного увеличения количества присоединений при развитии потребителей
предусмотрим в распределительного устройстве 10 кВ резервные ячейки. Для
повышения надежности электроснабжения потребителей, оперативной гибкости,
ремонтопригодности секционируем распределительного устройство 10 кВ
выключателем на две секции с питанием каждой от своего понижающего
трансформатора.
.6 Выбор трансформаторов собственных нужд
Выбор мощности трансформатора собственных нужд
определяется нагрузкой потребителей:
подогрев приводов масляных выключателей 35 кВ;
подогрев ячеек КРУН-10 кВ;
подогрев выключателей 35 кВ;
освещение;
питание цепей сигнализации.
Исходя из существующей нагрузки на подстанции
«Прогресс» установлен масляный трансформатор собственных нужд ТМ-30 мощностью
30 кВА. В связи с реконструкцией подстанции и увеличением нагрузки собственных
нужд (увеличение числа ячеек КРУН) выбираем для установки более мощный
трансформатор ТМ-63 мощностью 63 кВА.
1.7 Назначение оперативного тока
На подстанции применяется оперативный переменный
ток, поскольку установлены выключатели с пружинно-грузовым приводом, управление
и защита которых выполнена на переменном токе. Источником оперативного
переменного тока служит силовой трансформатор собственных нужд. Главной
особенностью системы оперативного переменного тока является зависимость ее от
состояния сети переменного тока, где имеют место колебания напряжения или даже
полное исчезновение напряжения.
2. Производственно-техническая часть
2.1 Определение нагрузки на
подстанции
Суммарная нагрузка подстанции
определяется суммой декабрьских нагрузок на всех фидерах (присоединениях). От
этого расчета зависят исходные данные для выбора всех элементов подстанции и
денежные затраты при установке, монтаже и эксплуатации выбранного
электрооборудования.
По данным Восточных электрических сетей Амурского
филиала ОАО «ДРСК» суммарная нагрузка подстанции
«Прогресс» составляет 10000 кВА.
.2 Выбор силовых трансформаторов
Наиболее часто на подстанциях устанавливают два
трансформатора. В этом случае при правильном выборе мощности трансформаторов
обеспечивается надежное электроснабжение потребителей даже при аварийном
отключении одного из них.
Необходимо учесть, чтобы при выводе одного из
трансформаторов в ремонт или выходе из строя оставшийся трансформатор взял всю
нагрузку. Срок службы трансформаторов составляет 25 лет. Из этого при выборе
трансформатора следует учесть рост электрической нагрузки. Ориентировочно
увеличим расчетную мощность на 10%.
кВА(1)
В аварийных режимах допускается
кратковременная перегрузка трансформатора сверх номинального тока при всех
системах охлаждения, независимо от длительности и значения предшествующей
нагрузки и температуры охлаждающей среды. В следующих пределах для масляных
трансформаторов перегрузка по току 30% в течение 120 минут
Определим коэффициент загрузки
трансформаторов. Кз ≈ 0,55 ÷ 0,75
(2)
По расчетам выбираем трансформатор
ТДН - 10000/35.
Выбор более мощных трансформатор
обоснован как постоянно растущей нагрузкой, так и сроком службы установленных
трансформаторов с 1975года.
Определим действительный коэффициент
загрузки

(3)
Проверяем работу подстанции в
аварийном режиме при выходе одного трансформатора из строя.
(4)
Необходимо выполнение условия:Sавар.тр ≥ Sр10
13000 ≥ 11000
Так как условие соблюдается не нужно
отключать электроприёмники 3 категории.
Окончательно принимаем трансформатор
ТДН - 10000/35 с параметрами: UВН=36,75кВ, UНН=10,5кВ, РХ=12кВт,
РКЗ=60кВт, UК ВН-НН=8%, IХХ=0,75%.
2.3 Определение потерь мощности в силовых
трансформаторах
Подстанция «Прогресс» запитывается по двум
воздушным линиям электропередачи 35 кВ. Для расчета воздушных линий
электропередачи необходима мощность протекающая по одной линии.
(5)
где
- суммарные потери мощности в
трансформаторе, кВА.
Рассчитаем суммарные потери мощности
в трансформаторе:
(6)
Суммарные потери активной мощности в
трансформаторе
, состоят из
потерь холостого хода и нагрузочных потерь, зависящих от фактической нагрузки
трансформатора S.
(7)
где Р0 - потери на
перемагничивание стали и вихревые токи.
Ркз - потери при коротком
замыканий, зависят от загрузки трансформатора.
Рассчитаем активные потери:
Суммарные потери реактивной мощности
в трансформаторе
:
(8)
где
- ток холостого хода
трансформатора, %;
- напряжение короткого замыкания,
%.
Рассчитаем реактивные потери
Рассчитаем суммарные потери
трансформатора:
Мощность протекающая по одной линии
будет
.4 Расчет питающей линии
Порядок расчёта ВЛ.
1. Определяем расчётный ток ВЛ
в нормальном режиме
. Определяем экономическое
сечение ВЛ.
. Выбираем гостовское
экономическое сечение (
приводим к
ГОСТа)
. Определяем допустимый ток в
аварийном режиме
.
. Выполняем проверку по
потери напряжения
.
По условию нам заданы две воздушных линии.
Мощность протекающая по линиям рассчитана в пункте 2.3.
. Определяем расчётный ток ВЛ в нормальном
режиме:
(9)
. Определяем экономическое сечение воздушной
линии:
(10)
где:
А/мм2 - экономическая
плотность тока для сталеалюминиевых проводов.
. Экономическое сечение приводим к
ГОСТ
→
. Ближайшее
большее стандартное значение сечения провода 95 мм2. Принимаем
провод АС - 95 мм2, IД = 330 А.
1. Определяем расчетный ток в аварийном
режиме:
(11)
По условию допустимости
выбранный
провод проходит.
. Определим потерю напряжения в
линии.
Так как у нас две воздушных линии разной
длины, считаем линию с большей длиной, в которой потери напряжения будут
большими. По справочным данным удельное активное и индуктивное сопротивления
выбранного провода r0 = 0.306
Ом/км, х0 =0,421 Ом/км.
(12)
где
- длина линии, км;
- коэффициент мощности.
Условие
выполняется.
Так как линия №2 короче (L - 2,7 км), то потери во 2 линии
будут меньше чем потери в первой линии, соответственно потери так же будут
удовлетворять нормативным требованиям.
Проверим потери напряжения линии в
аварийном режиме
2.5 Расчет отходящей линии
Отходящие линии выполнены воздушными. Сечение
проводов определяется нагрузкой трансформаторных подстанций 10/0,4 кВ
запитанных от соответствующих фидеров. В качестве проводников применяем
сталеалюминевые провода марки АС. Сечение провода определяется нагрузкой на
фидере. Произведем расчет сечения проводов для Ф-3 «Прогресс». Максимальная
нагрузка на этом фидере 2,5 МВА.
Определяем расчётный ток ВЛ в нормальном режиме:
Определяем экономическое сечение воздушной
линии:
где:
А/мм2 - экономическая
плотность тока для сталеалюминиевых проводов.
Экономическое сечение приводим к
ГОСТ
→
. Ближайшее
большее стандартное значение сечения провода 150 мм2. Принимаем
провод АС - 150 мм2, IД = 450 А.
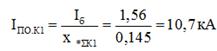
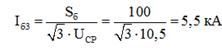
2.6 Расчет токов короткого замыкания
Составим схему для расчетов токов К.З.(рис.2.1).
По расчетной схеме составим схему замещения. При составлении схемы замещения
учитываем, что секционный выключатель на стороне 10 кВ в нормальном состоянии
отключен.
. Определим сопротивление энергосистемы в
относительных единицах. Задаемся базисной мощностью 100 МВА.
На питающей линии установлен выключатель
МКП-35-1000-25 ток отключения 25 кА:
(13)
2. Определим сопротивление линии. Выбираем
линию с наименьшей длиной.
(14)
. Рассчитаем трансформатор
(15)
. Рассчитаем отходящую линии.
(16)
. Определим индуктивное
сопротивление отходящей линии
(17)
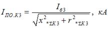
Рассчитаем ток К.З. для точки К1.
Определим результирующее сопротивление до точки К1.
Определим базовый ток
кА(18)
Определим ток периодический
(19)
Так как 
, r не
учитываем.
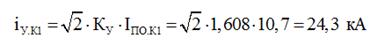
Определим ударный ток для точки К1:
(20)
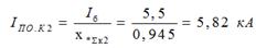
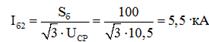
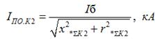
Рассчитаем ток К.З. для точки К2.
Определим результирующее сопротивление до точки К2.
Определим базовый ток
Определим ток периодический
Так как 
, r не учитываем.
Определим ударный ток для точки К2:
Рассчитаем ток К.З. для точки К3.
Определим результирующее сопротивление до точки К3.
Так как 
, r не
учитываем.
Определим базовый ток
Определим ток периодический
Так как 
, r не
учитываем.
Определим ударный ток для точки К3
Выполненные расчеты сведем в таблицу
1.
Таблица 1 - Расчет токов КЗ
|
Точка
К.З.
|
IПО,
кА
|
IУД,
кА
|
UСР,
кВ
|
|
К1
|
10,7
|
24,3
|
37
|
|
К2
|
5,82
|
14,8
|
10,5
|
|
К3
|
5,79
|
14,59
|
10,5
|
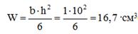
.7 Выбор ошиновки распределительного устройства
10 кВ
Выбираем алюминиевые шины размером
100 мм на 10 мм.
.
. Рассчитаем
ток в аварийном режиме.
Ток допустимый должен быть больше
аварийного тока.
>1156. Условие соблюдается
Принимаем шину 100х10 мм АД31Т.
Определяем максимальное усилие на
шинную конструкцию.
где
- расстояние между изоляторами шинной
конструкции;
- расстояние между фазами.
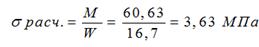
Шины располагаем плашмя (рис. 1).
h=100 мм
b=10 мм
a=0.25 м
l=2 м
Рисунок 1. - Расположение шин 10 кВ
Рассчитаем момент сопротивления
Находим момент сопротивления сечения
Рассчитаем напряжение в шине
(24)
МПа > 3.63МПа
Выбранная шина АД-31-Т проходит по
условию.
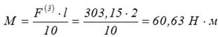
2.8 Выбор изоляторов для шин 10 кВ
.8.1 Выбор опорных изоляторов для шин
Выбираем изоляторы типа И4-80 УХЛ3 с
напряжением установки 10 кВ, минимальной разрушающей силой на изгиб Fразр
= 4 кН, наибольшим допустимым напряжение 12 кВ. Выбор и проверку производим по
следующим условиям:
. По номинальному напряжению Uуст
= 10 ≤ Uдоп = 12
. По допустимой нагрузке Fрасч
≤ Fдоп
Fдоп = 0,6 Fразр(25)
Fдоп = 0,6 4000=2400
Н
Н > 303,15 Н
2.8.2 Выбор проходных изоляторов
Выбираем изолятор ИП-10/1600-750 УХЛ1, Uном
= 10 кВ, Iном = 1600 А,
минимальное усилие на изгиб = 750 Н. Выбор и проверку производим по следующим
условиям:
. По номинальному напряжению Uуст
= 10 ≤ Uдоп = 10
. По номинальному току Iмакс
= 1156 А ≤ Iном = 1600 А
. По допустимой нагрузке Fрасч
= 151,575 Н ≤ Fдоп = 750 Н
Fрасч = 0,5·fф·l=0,5·151,575·2=151,575
Н(26)
Окончательно выбираем изолятор ИП-10/1600-750
УХЛ1.
.9 Проверка отходящей линии на термостойкость
При протекании токов к.з. выделяется тепло, чем
больше времени протекания тока к.з. тем больше тепла, при расчётах определяется
тепловой импульс. Проверка аппаратов на термическую стойкость производится по
току термической стойкости - Iтерм.,
заданному заводом-изготовителем, и расчётному времени термической стойкости по
каталогу - tтерм.
Вк = I2терм.
∙ tтерм.(27)
Tоткл =
(tрза +
tоткл.вык. +
Та),(28)
где tрза
-
время срабатывания защиты, 2,5c;
tоткл.вык
- полное время отключения выключателя, 0,08с;
Та - постоянная затухания.
Tоткл =
(2,5 +0,08 + 0,05)=2,63 с
Термическую стойкость проверяют определением
минимально допустимого сечения по условию допустимого нагрева при к.з.
где СT -
коэффициент, зависящий от допустимой температуры при к.з. и материала
проводника, СT=200 для неизолированных алюминиевых
проводов.
Определим тепловой импульс при
проверке провода на термостойкость, ток к.з. выбирается в начале линии, (точка
К2):
Вк = I2к.з. ∙ tоткл. = 58202
∙2,63 = 89084412 А2∙с
Термическую стойкость
FАА = 3 х 50,
150 мм2 > 47,2 мм2 - условие соблюдается.
2.10 Выбор высоковольтных выключателей 35 кВ
Выключатели выбираются:
. по напряжению установки Uуст.
≤
Uном;
. по длительному току Iнорм.
р. ≤ Iном;
. по отключающей способности Iп,
0 ≤
I откл,ном;
. по электродинамической стойкости iу
≤
iдин
;
. по термической стойкости Bк
≤
I2тер
∙
tтер,
Где IПО,
IУ,
Bк
=I2п,о
(tоткл.+Та)
- определены по расчётам; Iоткл,ном
-
номинальный ток отключения; iдин.-
ток электродинамической стойкости; Iтер.
-
ток термической стойкости; tтер.
-
время протекания тока термической стойкости.
Ориентировочно принимаем выключатель
МКП-35М-630-25АУ1
Iном. =
630 А, Iном, откл. =
25 кА, tтер.
= 25/4 кА/с, iдин. =
64 кА, tоткл. =
0,08/0,15
Привод электромагнитный.
. Выбор по напряжению:
Uуст. ≤
Uном =
35 кВ=35 кВ.
. Выбор по длительному току:
.1. Ток нормального режима:
.2.Ток аварийного режима:
Iавар.р. = 2∙Iнорм.р. = 2∙165
= 330 А
Iнорм. р. ≤ Iном. = 165А <
630А
Iавар.р ≤ Iном = 330А <
630А
. Выбор по отключающей способности:
IПО.К1. ≤ I откл,ном = 10,7 кА
< 25кА
Условие соблюдается.
. Выбор по электродинамической
стойкости:
IУ.К1 ≤ iдин = 24,3кА
< 64кА
Условие соблюдается.
.Выбор по термической стойкости:
Bк ≤ I2тер ∙ tтер
Вном. = I2 ∙ tоткл. = 252
∙ 4 = 2500кА2 ∙ с
tоткл. = (tрза + tоткл.вык. + Та)
= 3,5 + 0,15 + 0,02 = 3,67сек.
Вк.к1 = I2п,о. ∙ tоткл. = 10,72
∙ 3,67 = 420,18 кА2 ∙ с
420,18 кА2 ∙ с <
2500кА2 ∙ с
Условие соблюдается.
Так как выключатель прошёл по всем
параметрам, то окончательно выбираем выключатель на высокой стороне 35 кВ
МКП-35М-630-25АУ1.
.11 Выбор разъединителей 35 кВ
Разъединители выбирают по тем же
параметрам, что и выключатель, кроме условия отключающей способности.
Выберем разъединитель РНДЗ - 1 - 35
/ 630 - У1
Uном. = 35кВ, Iном. = 1000А, Iдин,ст. = 63кА, Iтерм. = 25/4кА∙с
. Выбор по напряжению:
Uуст. ≤ Uном = 35 кВ=35
кВ.
. Выбор по длительному току:
.1. Ток нормального режима:
.2. Ток аварийного режима:
Iавар.р. = 2∙Iнорм.р. = 2∙165
= 330 А
Iнорм. р. ≤ Iном. = 165 А <
630 А
Iавар.р ≤ Iном = 330 А <
630 А
Все условия соблюдаются.
. Выбор по электродинамической
стойкости:
iук1 ≤ iдин = 10,7кА
< 63кА
Условие соблюдается.
. Выбор по термической стойкости:
Bк.к1 ≤ I2тер ∙ tтер = 252
∙ 4 = 2500кА2∙с
,18 кА∙с < 2500кА2∙с
Условие соблюдается.
Разъединитель проходит по всем
параметрам, принимаем окончательно РНДЗ - 1 - 35 / 630.
2.12 Выбор аппаратов для защиты от
перенапряжений
Ограничители перенапряжений нелинейные типа ОПН
- У - 35 предназначены для защиты от грозовых и коммутационных перенапряжений
электрооборудования. В электрических сетях 35 кв с изолированной нейтралью
постоянно происходят процессы, которые отрицательно отражаются на работе
электрооборудования:
феррорезонансные процессы;
коммутационные перенапряжения;
переходные процессы;
Причинами, вызывающими эти процессы являются:
- короткие замыкания;
дуговые замыкания на землю;
неполнофазная коммутация;
Коммутация ненагруженных трансформаторов;
Обрыв проводов.
Для защиты от перенапряжений
выберем ограничитель перенапряжений
ОПН - У - 35 /40,5/10/1-III
УХЛ1 Uпроб. =40,5
кВ, Uимп. =
116 кВ.
По сравнению с вентильными разрядниками
ограничители перенапряжений обладают следующими преимуществами:
· глубоким уровнем ограничения всех
видов перенапряжений;
· отсутствием сопровождающего тока
после затухания волны перенапряжения;
· простотой конструкции и высокой
надежностью в эксплуатации;
· стабильностью характеристик и
устойчивостью к старению;
· способностью к рассеиванию больших
энергий;
· стойкостью к атмосферным
загрязнениям;
· малыми габаритами, весом и
стоимостью.
.13 Выбор выключателей 10 кВ
.13.1 Выбор секционного и вводных выключателей
Выбираем вакуумные выключателями производства
Таврида-Электрик с параметрами Uном
=
10кВ, Umax
=
12кВ, Iном. =
1600А, Iном,откл. =
12,5 кА, Iу =
20кА, Вк = 10/3 кА∙с.
. Выбор по напряжению:
Uуст. ≤
Uном =
10 кВ=10,5 кВ.
. Выбор по длительному току:
.1. Ток нормального режима:
.2. Ток аварийного режима:
Iавар.р. = 2∙Iнорм.р. = 2∙578
= 1156 А
Iнорм. р. ≤ Iном. = 578 А <
1600А
Iавар.р ≤ Iном = 1156А <
1600А
Все условия соблюдаются.
. Выбор по отключающей способности:
IПО.К2 ≤ I откл,ном = 5,82кА
< 12,5кА
Условие соблюдается.
. Выбор по электродинамической
стойкости:
IУ.К2 ≤ iдин = 14,8кА
< 20кА
Условие соблюдается.
. Выбор по термической стойкости:
Bк ≤ I2тер ∙ tтер
Вном. = I2 ∙ tоткл. = 102
∙ 3 = 300кА2 ∙ с
tоткл. = ( tрза. + tоткл.выкл + Та) = 2,8
+ 0,08 + 0,045 = 2,925 сек.
Вк.к2 = I2п,о. ∙ tоткл. = 5,822
∙ 2,925 = 110 кА2 ∙ с
кА2 ∙ с < 300кА2
∙ с
Условие соблюдается.
Так как выключатель прошёл по всем
параметрам, то окончательно выбираем для вводных и секционного вакуумные
выключатели на стороне 10 кВ производства Таврида-Электрик типа ВВ/TEL -
10-20/1600.
.13.2 Выбор выключателей на
отходящих фидерах
Выбираем вакуумные выключателями
производства Таврида-Электрик; Uном = 10кВ, Umax = 12кВ, Iном. = 630А, Iном,откл. = 12,5 кА, Iу = 20кА, Вк =
10/3 кА∙с
Отходящие фидера будут питать: жилой
сектор. Исходя из того, что максимальная мощность нагрузки фидера 2500 кВА,
определим Iнорм. и Iав.р. на
отходящих фидерах.
При выборе оборудования Iк.з. берём для
точки К2.
. Выбор по напряжению:
Uуст. ≤ Uном = 10
кВ<10,5 кВ.
. Выбор по длительному току:
.1. Ток нормального режима:
.2. Ток аварийного режима:
Iавар.р. = 2∙Iнорм.р. = 2∙144,5
= 289 А
Iнорм. р. ≤ Iном. = 144,5 А
< 630А
Iавар.р ≤ Iном = 289 А <
630 А
Все условия соблюдаются.
. Выбор по отключающей способности:
Iп.о.к2 ≤ I откл,ном = 5,82кА
< 12,5кА
Условие соблюдается.
. Выбор по электродинамической
стойкости:
iук2 ≤ iдин = 14,8кА
< 20кА
Условие соблюдается.
.Выбор по термической стойкости:
Bк ≤ I2тер ∙ tтер
Вном. = I2 ∙ tоткл. = 102
∙ 3 = 300кА2 ∙ с
tоткл. = ( tрза. + tоткл.выкл + Та) = 1,8
+ 0,08 + 0,045 = 1,925сек.
Вк.к2 = I2п,о. ∙ tоткл. = 5,822
∙ 1,925 = 76,04 кА2 ∙ с
76,04 кА2 ∙ с <
300 кА2 ∙ с
Условие соблюдается.
Так как выключатель прошёл по всем
параметрам, то окончательно выбираем для отходящих фидеров вакуумные выключатели
на стороне 10 кВ Таврида-Электрик ВВ/TEL -
10-20/630.
.14 Выбор измерительных
трансформаторов тока
.14.1 Выбор измерительного
трансформатора тока на вводные и секционные ячейки
Выбираем трансформатор тока ТОЛ 10 -
УХЛ2. Трансформаторы тока ТОЛ-10 предназначены для изолирования цепей вторичных
соединений от высокого напряжения, для передачи сигнала измерительной
информации измерительным приборам и устройствам защиты и управления в
комплектных устройствах внутренней и наружной установок (КРУ, КРУН и КСО) в
сетях переменного тока напряжением до 10 кВ
Iном.перв. =
600А, Iном.втор. =
5А, Iдин.ст. =
52 кА, Iтерм.ст.=
28,3/3кА2∙с
1. Выбор по напряжению:
Uуст. ≤
Uном =
10 кВ = 10 кВ.
. Выбор по длительному току:
Максимальный рабочий ток для секционного выключателя
а
Iмакс ≤ Iном =578 А <
600А
Все условия соблюдаются.
. Выбор по электродинамической
стойкости:
iу.к2 ≤ iдин = 14,8 кА
< 74,5 кА
Условие соблюдается.
.Выбор по термической стойкости:
Bк ≤ I2тер ∙ tтер = 28,32
∙ 3 = 2402,6кА2∙с
Вк.К2 = I2п,о. ∙ tоткл. = 5,822
∙ 3,245 = 110 кА2 ∙ с
кА2∙с < 2402,6
кА2∙с
Условие соблюдается.
. Расчёт по вторичной нагрузке.
Чтобы трансформатор тока (ТА)
работал в своём классе точности, вторичная нагрузка ТА не должна превышать номинальных
значений.
Номинальная нагрузка, класс точности
0,5 составляет 0,4 Ом. Вторичная нагрузка ТА приведена в таблице 2 (для вводной
ячейки).
Таблица 2 - Вторичная нагрузка ТТ
|
Прибор
|
Тип
|
Нагрузка,
ВА, фазы А С
|
|
Амперметр
Ваттметр Счетчик активно-реактивный
|
Э-350
ЦП8506/23 СЭТ-4ТМ.03
|
0,5
0,5 0,5
|
0,5
0,5
|
|
Итого
|
|
1,5
|
1
|
Так, как наиболее загружена фаза А, Sприб.
=
1,5ВА, определим rприб.
(30)
rпров.= r2ном - rприб. - rк = 0.4 - 0.06
- 0.05 = 3,89 Ом(31)
Принимаем длину проводов, l = 10 м.
Определим lрасч., при
соединении ТТ в неполную звезду.
Lрасч. = √3 ∙
l = √3 ∙
10 = 17.3м(32)
Определим сечение (
- плотность
для медных жил):
(33)
Принимаем контрольный кабель по ГОСТ
ВВГ 7 х 2,5мм2
.14.2 Выбор измерительного
трансформатора тока на отходящих линиях
Выбираем трансформатор тока ТОЛ 10 -
УХЛ2 (рис.2).
Iном.перв. =
200А, Iном.втор. =
5А.
Рисунок 2. - Нагрузка трансформаторов тока.
. Выбор по напряжению:
Uуст. ≤
Uном =
10 кВ = 10 кВ.
. Выбор по длительному току:
Максимальный рабочий ток отходящей линии:
Iмакс
≤ Iном =144,5
А < 200А
Условие соблюдается.
. Выбор по электродинамической стойкости:
Iу.к2 ≤
Iдин.ст.
Iу.к2. ≤
√2 ∙ Кдин.ст. ∙ I1
ном.
,82 ≤ √2 ∙ 250 ∙ 0,2 =
70,7 кА
Условие соблюдается
. Выбор по термической стойкости:
Bк.К2. ≤
Вк.ном.
Вк.ном. ≤ (Ктер. ∙
I1 ном.)2
∙ tтерм. =
(45 ∙ 0,2)2 ∙ 3 = 243 кА2∙с
кА2 ∙ с ≤ 243 кА2∙с
Условие соблюдается.
. Расчёт по вторичной нагрузке.
Определим сопротивление подключаемых приборов и
сечение соединительных проводов.
Счётчик активно-реактивный СЭТ-4ТМ.03, Sоб.
=
0,5 ВА
Определим загрузку фаз (таблица 3).
Таблица 3 - Нагрузка трансформатора тока
|
А
|
С
|
|
А
|
0.5
|
-
|
|
Wh
|
0.5
|
0.5
|
|
10,5
|
|
|
Определим сопротивление приборов:
Определим сопротивление контактов:
rконт. = 0,05 Ом
Определим сопротивление проводов:
rпров. = rном. - rприб. - rконт. = 0,4 - 0,04
- 0,05 = 3,91 Ом
где rном = 0,4Ом -
номинальная нагрузка трансформатора тока.
Приборы стоят в ячейке, длина кабеля l
= 3м., при соединении в неполную звезду расчетная длина:
Lрасч. =
√3 ∙ l = √3 ∙
3 = 5,19 м
Определим расчётное сечение:
Исходя из требований ПУЭ, F
ГОСТ = ВВГ 7 х 2,5 мм2
.15 Выбор трансформаторов напряжения
Трансформатор напряжения предназначен для
питания цепей РЗА, а также для питания обмоток напряжения приборов. Выбираем
трёхфазные антирезонансные трансформаторы напряжения НАМИ-10.
. Выбор по напряжению:
Uуст. ≤
Uном =
10 кВ = 10 кВ.
. Выбор по конструкции и схеме соединения
обмоток:
Трансформаторы напряжения устанавливаются в
распределительных устройствах трансформаторных подстанций для питания обмоток
напряжения приборов учёта и контроля, аппаратов релейной защиты и
подстанционной автоматики.
Для измерения напряжений и контроля изоляции фаз
относительно земли в сетях с малыми токами замыкания на землю (10 кВ)
устанавливают трехобмоточные пятистержневые трансформаторы напряжения НАМИ с
обязательным заземлением нулевой точки.
. Выбор по классу точности:
Класс точности для питания счётчиков принимается
равным 0,2.
. Выбор по вторичной нагрузке:
Класс точности TV
зависит от нагрузки, с увеличением нагрузки класс точности снижается.
Для подключения расчётных счётчиков TV
класс точности не ниже - 0,5, отсюда Sнлм.
=
120 ВА.
. Определим вторичную нагрузку на TV
(таблица 4).
Таблица 4 - Вторичная нагрузка TV
|
Прибор
|
Тип
|
S, ВА
|
Число
приборов
|
Общая
потребляемая мощность, ВА
|
|
Вольтметр
(сборные шины)
|
Э-335
|
2
|
1
|
2
|
|
Ваттметр
|
Ввод
10 кВ от трансформатора
|
ЦП8506/23
|
5
|
1
|
5
|
|
Счетчик
активно-реактивный
|
|
СЭТ-4ТМ.03
|
0,5
|
1
|
0,5
|
|
Счетчик
активно-реактивный
|
Линии
10 кВ
|
СЭТ-4ТМ.03
|
0,5
|
4
|
2
|
|
Итого
|
|
9,5
|
. Определим суммированную нагрузку на TV
по таблице 4.
S2 ном. = 120 ВА
> S2.Σ.= 9,5 ВА
Выбор трансформаторов напряжения на
второй секции шин производится аналогично.
2.16 Выбор трансформатора
собственных нужд
Трансформаторы собственных нужд на
подстанции необходимы для питания: электроосвещения, подогрева КРУН, подогрева
масляных выключателей, для питания цепей управления и сигнализации.
Трансформатор собственных нужд -10
кВ, получает питание от секции шин 10 кВ и преобразует напряжение 0,4 кВ в 0,22
кВ. Нейтраль глухо заземлена. Выбираем трансформатор ТМ-63/10.
.17 Расчет заземления
Все металлические части
электроустановок, нормально не находящиеся под напряжением, но могущие
оказаться под напряжение из-за повреждения изоляции, должны надежно соединятся
с землей.
В электрических установках
заземляются: корпуса электрических машин, трансформаторов, аппаратов, вторичных
обмоток измерительных трансформаторов, приводы электрических аппаратов, каркасы
распределительных щитов, пультов, шкафов, металлические конструкции
распределительных устройств, металлические корпуса кабельных муфт,
металлические оболочки и броня кабелей, проводов, металлические конструкции
зданий и сооружений и другие металлические конструкции, связанные с установкой
электрооборудования.
В землю погружаются круглые
электроды из чёрной стали, для вертикальных заземлителей, Диаметр 16 мм2,
рекомендуемая длина = 5 метров.
Для лучшего стекания токов короткого
замыкания в землю, расстояние между электродами должно быть не меньше длины
электродов, если электродов недостаточно, то делается второй контур заземления,
который заземляется между собой.
Для горизонтальных заземлителей,
которые соединяют между собой электроды заземления, может использоваться
прямоугольная полоса, поперечного сечения не менее 100 мм2, толщина
стенки не менее 4мм.
Сопротивление заземления Rз - зависит
от режима нейтралей сети, при U ≥ 110
кВ, Iз ≥ 500
А сопротивление Rз ≤ 0,5
Ом.
Если на подстанции устанавливаются
трансформаторы с разными режимами работы нейтралей и несколько напряжений, то Rз выбирается
самое меньшее.
При расчётах заземления ПС 35/10
считаем, что заземлители будут только искусственными.
Определим расчётное удельное
сопротивление грунта.
Подстанция строится на суглинистом
грунте ρ
= 150 ОМ∙м
ρрасч. = κсез. ∙ ρгр.(34)
Κсез. - берём из
ПУЭ.
ρрасч. = 1,45 ∙
150 = 217,5 Ом ∙ м
Определим число вертикальных
заземлителей
Ширина ПС = 25м, длина = 35м.
Определим периметр - l = 2 ∙
25 + 2 ∙ 35 = 120 м.
Определим число электродов по
периметру:
(35)
Определим сопротивление одного
заземлителя:
(36)
Определим число вертикальных
заземлителей:
(37)
Определим сопротивление
заземлительной полосы:
(38)
Сопротивление заземлительной полосы
с учетом коэффициента полосы:
(39)
Определим сопротивление вертикальных
заземлителей:
(40)
Определим уточнённое число стержней:
(41)
Окончательно принимаем 17 вертикальных
заземлителей 5х16 мм2, и полосу 40х4.
2.18 Расчет грозозащиты
Устанавливаем четыре молниеотвода. Воздушные
линии приходят на порталы. Молниеотводы устанавливаем на краях шинных порталов
35 кВ и два отдельностоящих.
. Определим высоту защищаемого объекта (шинного
портала 35 кВ )
Высота защищаемого объекта (шинного портала), hx
=
7 м.
.1 Определим расстояние между молниеотводами: а
= 16,5м.
.2 Берем высоту молниеотвода h
= 10 м.
.3 Определим провис молниеотвода hо
из формулы
h = hо+а/7Кр(42)
Кр = 5,5/√h
= 5.5/√10 =1.74(43)
hо=
h- а/7Кр=
10-16,5/(7*1.74) =8,77 м.(44)
Высота провиса hо
= 8,77м > высоты защищаемого объекта, hx
= 7 м.
Объект защищен.
. Определим высоту защищаемого объекта (КРУН-10
кВ).
высоты защищаемого объекта, hx
= 3м. rx
=10 м.
.1 Определим расстояние от верхней точки КРУН-10
кВ до верхней точки молниеотвода hа
hа =h-hx
= 10-3 = 7м.(45)
.2 Определим радиус защиты молниеотвода
(46)
На высоте трех метров,
отдельностоящий молниеотвод установленный возле КРУН защищает в радиусе 13м,
КРУН входит в зону защиты.
3. Специальная часть
Определим защиту бака расширителя
трансформатора
Определим отношение а = 15м к hа
hа=h-hx=10-5=5м.

.Определим отношение
. Определим отношение:
- взято из
таблицы.
Из формулы следует
bx=0.7∙2∙ha=0.7∙2∙5=7
м.
На высоте 5 метров, отдельностоящий
молниеотвод установленный возле КРУН 10 кВ защищает объекты в радиусе 7м, бак
расширителя трансформатора входит в зону защиты.
. Зона защиты четырех стержневых
молниеотводов, условие защиты всей площади.
d ≤ h ∙ ha = 10 ∙
5 = 50м.(47)
Площадь подстанции
d = √352
+252 = 43м
Площадь подстанции меньше площади защиты
молниеотвода, следовательно, подстанция защищена.
Окончательно принимаем молниеотводы
высотой десять метров.
4. Экономическая часть
.1 Технико-экономическое сравнение
вариантов при выборе силовых трансформаторов
Рассмотрим первый вариант - установка трех
силовых трансформаторов мощностью 6300 кВА.
Рассчитаем суммарные потери мощности в
трансформаторе:
Суммарные потери активной мощности в
трансформаторе
:
.
Суммарные потери реактивной мощности
в трансформаторе
:
Рассчитаем суммарные потери мощности
в трех трансформаторе:
Определяем приведенные потери в двух
трансформаторах с учетом того, что при передаче 1 единицы реактивной мощности
теряется 0,06 единицы активной мощности:
.(47)
Определяем стоимость приведенных
потерь при удельной стоимости потерь 0,8 руб./кВт и числе часов использования
максимальной нагрузки в год равном 3000 ч:
.(48)
Капитальные затраты на
трансформаторы в год:
.(49)
Стоимость амортизационных отчислений
на трансформаторы при норме амортизационных отчислений Ка=0,6:
.(50)
Определяем приведенные затраты на 1
год первого варианта:
(51)
Рассмотрим второй вариант -
установка двух силовых трансформаторов мощностью 10000 кВА.
Суммарные потери активной мощности в
трансформаторе
:
.
Суммарные потери реактивной мощности
в трансформаторе
:
Рассчитаем суммарные потери мощности
в двух трансформаторе:
Определяем приведенные потери в двух
трансформаторах с учетом того, что при передаче 1 единицы реактивной мощности
теряется 0,06 единицы активной мощности:
.
Определяем стоимость приведенных
потерь при удельной стоимости потерь 0,8 руб./кВт и числе часов использования
максимальной нагрузки в год равном 3000 ч:
.
Капитальные затраты на трансформаторы
в год:
.
Стоимость амортизационных отчислений
на трансформаторы при норме амортизационных отчислений Ка=0,6:
.
Определяем приведенные затраты на 1
год второго варианта:
По результатам технико-экономических
расчетов вариант 2 с установкой двух силовых трансформаторов экономически более
выгоден.
.2 Оплата труда и расчет годового
фонда заработной платы обслуживающего персонала
Оплата труда работников на
предприятии является основной формой их вознаграждения за результаты труда и
стимулирования его количественных и качественных показателей. Заработная плата
каждого работника зависит от его квалификации, сложности выполняемой работы, количества
и качества затраченного труда и максимальным размером не ограничивается.
Чтобы заинтересовать работников в
улучшении трудовых показателей, нужно выплачивать им достойную заработную
плату. А для того чтобы работники были довольны своей зарплатой и могли влиять
на ее повышение, добиваясь лучших результатов, необходимо правильно выбрать
систему оплаты труда.
Оплата труда - это
система отношений, связанных с обеспечением установления и осуществления
работодателем выплат работникам за их труд. Система оплаты труда работников
организаций фиксируется в коллективных договорах, соглашениях, локальных
нормативных актах организаций и в трудовых договорах.
Выбор системы оплаты труда - важный
шаг для любой организации. Эта система должна быть достаточно простой и ясной,
чтобы каждый работник видел зависимость между производительностью и качеством
своего труда и получаемой заработной платой. При повременной
оплате труда заработок работника определяется исходя из фактически
отработанного им времени и тарифной ставки.
Под тарифной ставкой понимается размер
вознаграждения за труд определенной сложности, произведенный в единицу времени.
Тарифная система оплаты труда - это совокупность
нормативов, позволяющих дифференцировать заработную плату работников различных
категорий.
Тарифная сетка - совокупность тарифных разрядов,
определенных в зависимости от сложности работ и квалификационных характеристик
работников с помощью тарифных коэффициентов.
Основными разновидностями повременной оплаты
труда являются простая повременная и повременно-премиальная оплата труда.
При простой повременной оплате труда в основу
расчета размера оплаты труда работника берется тарифная ставка или должностной
оклад согласно штатному расписанию организации и количество отработанного
работником времени. При повременно - премиальной оплате труда предусматривается
начисление и выплата премии, устанавливаемой в процентах от должностного оклада
на основании разработанного в организации положения о премировании работников
или коллективного договора.
5. Охрана труда и техника безопасности
.1 Охрана окружающей среды
При длительном протекании тока короткого
замыкания через силовой трансформатор происходит перегрев масляной изоляции,
что может привести как к вытеканию масла, так и пожару. Утечка трансформаторного
масла может существенно повлиять на флору, находящуюся на территории
подстанции, а горение нефтепродуктов приводит к существенному загрязнению
атмосферы.
Рассмотрим меры, применяемые для предупреждения
разлива трансформаторного масла, а также для предупреждения выбросов в
атмосферу продуктов его горения.
Для предотвращения растекания масла и
распространения пожара при повреждении трансформатора маслоприемник,
маслоотводы и маслосборники выполнены с соблюдением следующих требований:
габариты маслоприемника выступают за габариты
единичного электрооборудования на 1,5 метра. Объем маслоприемника рассчитан на
одновременный прием 100 % масла, содержащегося в корпусе трансформатора;
устройство маслоприемников и маслоотводов
исключает переток масла (воды) из одного маслоприемника в другой, растекание
масла по кабельным и другим подземным сооружениям, распространение пожара,
засорение маслоотвода и забивку его снегом, льдом и т.п.;
для устанавливаемых трансформаторов (мощностью в
10 МВА каждый) маслоприемники выполнены с отводом масла;
маслоприемники с отводом масла выполнены
заглубленного типа (дно ниже уровня окружающей планировки земли), при этом нет
необходимости выполнения бортовых ограждений. Дно маслоприемника засыпано
крупным чистым гравием;
маслоотводы обеспечивают отвод на безопасное в
пожарном отношении расстоянии от оборудования и сооружений из маслоприемника
масла и воды, применяемых для тушения пожара автоматическими стационарными
устройствами, причем 50 % масла и полное количество воды удаляется менее чем за
0,5 часа. Маслоотводы выполнены в виде открытых кюветов и лотков; маслосборники
рассчитаны на полный объем масла и выполнены закрытого типа.
Для нормальной эксплуатации подстанции (осмотры,
оперативные переключения, устранение аварий) необходимо выполнение наружного
освещения. Для наружного освещения могут применяться любые источники света.
Осветительные приборы (светильники, прожекторы) подстанции устанавливаются на
порталы. Питание освещения выполняется непосредственно от трансформатора собственных
нужд.
.2 Противопожарные мероприятия на подстанции
Особенности подстанций и характер сооружений
требует при проектировании принятия мер по защите оборудования и помещения
службы РЗиА при пожаре. К пожароопасному оборудованию относят все типы трансформаторов,
выключателей, панелей защит, шкафы КРУН.
Ответственным за выполнение правил пожарной
безопасности на территории подстанции является мастер группы подстанций.
Подстанция должна быть укомплектована инвентарем
согласно перечня комплектации (табл.7) средств пожаротушения, находящимся в
исправном состоянии.
При возгорании на ПС дежурный, до прибытия
пожарного подразделения, обязан своими силами и средствами препятствовать
распространению очага пожара, а при необходимости, произвести отключение.
Гравийная подсыпка под трансформатор должна быть
не замасленной, а при необходимости, промыта и заменена.
.3 Электробезопасность при обслуживании
электрооборудования подстанции
Администрация предприятия обязана создать на
рабочем месте условия, отвечающие правилам по охране труда, обеспечить
средствами защиты и организовать изучение ими инструкции по охране труда.
На каждом предприятии должны быть разработаны и
доведены до сведения всего персонала безопасные маршруты следования по
территории предприятия к месту работы и планы эвакуации на случай пожара и
аварийной ситуации.
Электромонтер обязан:
• соблюдать требования настоящей инструкции по
охране труда;
• немедленно сообщать своему непосредственному
руководителю, а при его отсутствии - вышестоящему руководителю о происшедшем
несчастном случае и обо всех замеченных им нарушениях требований Инструкции, а
также о неисправностях сооружений, оборудования и защитных устройств;
• помнить о личной ответственности за
несоблюдение требований техники безопасности;
• содержать в чистоте и порядке рабочее место и
оборудование;
• обеспечивать на своем рабочем месте
сохранность средств защиты, инструмента, приспособлений, средств пожаротушения
и документации по охране труда.
Запрещается выполнять распоряжения,
противоречащие требованиям инструкции по охране труда и "Межотраслевым
правилам по охране труда (правила безопасности) при эксплуатации
электроустановок". - М.: «Издательство НЦ ЭНАС», 2001.
Общие требование безопасности
К работе допускаются лица не моложе 18 лет, прошедшие
предварительный медицинский осмотр и не имеющие противопоказаний к выполнению
вышеуказанной работы.
Электромонтер при приеме на работу должен пройти
вводный инструктаж. До допуска к самостоятельной работе электромонтер должен
пройти:
• первичный инструктаж на рабочем месте;
• проверку знаний настоящей Инструкции по охране
труда;
• действующей Инструкции по оказанию первой
помощи пострадавшим в связи с несчастными случаями при обслуживании
энергетического оборудования; по применению средств защиты, необходимых для
безопасного выполнения работ; ПБ,
• обучение по программам подготовки по
профессии.
Допуск к самостоятельной работе должен
оформляться соответствующим распоряжением по структурному подразделению
предприятия.
Вновь принятому электромонтеру выдается
квалификационное удостоверение, в котором должна быть сделана соответствующая
запись о проверке знаний инструкций и правил, право на выполнение специальных
работ.
Квалификационное удостоверение для дежурного
персонала во время исполнения служебных обязанностей должно находиться при
себе.
Электромонтеры, не прошедшие проверку знаний в
установленные сроки, к самостоятельной работе не допускаются.
Электромонтер в процессе работы обязан
проходить:
• повторные инструктажи - не реже одного раза в
месяц;
• проверку знаний Инструкции по охране труда и
действующей Инструкции по оказанию первой помощи пострадавшим в связи с
несчастными случаями при обслуживании энергетического оборудования один раз в
год;
• медицинский осмотр - один раз в два года;
• проверку знаний «Межотраслевых правил по
охране труда (правил безопасности) при эксплуатации электроустановок»- один раз
в год.
При нарушении правил техники безопасности в
зависимости от характера нарушений проводится внеплановый инструктаж или
внеочередная проверка знаний.
При несчастном случае электромонтер обязан
оказать первую помощь пострадавшему до прибытия медицинского персонала. При
несчастном случае с самим электромонтером, в зависимости от тяжести травмы, он
должен обратиться за медицинской помощью в здравпункт или сам себе оказать
первую помощь (самопомощь).
Каждый электромонтер должен знать местоположение
аптечки и уметь ею пользоваться.
Во избежание попадания под действие
электрического тока не следует наступать или прикасаться к оборванным,
свешивающимся проводам.
В зоне обслуживания оборудования могут иметь
место следующие опасные и вредные производственные факторы:
• повышенное значение напряжения в электрической
цепи;
• недостаточная освещенность рабочей зоны;
• расположение рабочего места на значительной
высоте относительно поверхности земли (пола);
• пониженная температура воздуха.
Для защиты от воздействия вредных и опасных
факторов необходимо применять следующие средства защиты.
Для защиты от поражения электрическим током
служат следующие защитные средства: указатели напряжения; слесарно-монтажный
инструмент с изолирующими рукоятками для работы в электроустановках напряжением
до 1000 В; диэлектрические перчатки, боты, галоши, ковры, изолирующие накладки
и подставки; переносные заземления; оградительные устройства и диэлектрические
колпаки; плакаты и знаки безопасности.
При работе на высоте более 1,3 м над уровнем
земли, пола, площадки необходимо применять предохранительный пояс.
Для защиты головы от ударов случайными
предметами в помещениях с действующим энергооборудованием, в ЗРУ, ОРУ,
колодцах, камерах, каналах и туннелях, строительных площадках и ремонтных зонах
необходимо носить защитную каску, застегнутую подбородным ремнем.
При недостаточной освещенности рабочей зоны
следует применять дополнительное местное освещение.
Работу при низкой температуре следует выполнять
в теплой спецодежде и чередовать по времени с нахождением в обогреваемом
помещении.
Электромонтер должен работать в спецодежде и
применять средства защиты, выдаваемые в соответствии с действующими отраслевыми
нормами.
Требования безопасности перед началом работы.
При приемке смены электромонтер по обслуживанию
подстанции обязан:
• привести в порядок спецодежду, рукава
застегнуть, одежду заправить так, чтобы не было свисающих концов. Запрещается
засучивать рукава спецодежды;
• ознакомиться со всеми записями и
распоряжениями за время, прошедшее с предыдущего дежурства;
• получить сведения от сдающего смену о
состоянии оборудования, за которым надо вести наблюдение и об оборудовании,
находящемся в ремонте и резерве, об изменениях в схемах, происшедших за период
от предыдущей смены. Получить инструктаж при изменении схемы с записью в
журнале распоряжений;
• проверить регистрацию всех работ, выполняемых
по нарядам и распоряжениям и количество бригад, работающих по ним;
• проверить и принять дежурную спецодежду,
защитные средства, приборы, инструмент, ключи от помещений, документацию по
оперативной работе;
• доложить непосредственному руководителю в
смене о заступлении на дежурство и о недостатках, выявленных при приемке смены;
• оформить приемку смены записью в оперативном
журнале.
Приемка смены во время оперативных переключений
и ликвидации аварий допускается только с разрешения вышестоящего оперативного и
административно-технического персонала.
При проверке исправности и пригодности средств
защиты, приспособлений обратить внимание на:
• отсутствие внешних повреждений (целостность
лакового покрова изолирующих средств защиты; отсутствие проколов, трещин,
разрывов у диэлектрических перчаток и бот; целостность стекол у защитных очков;
• дату следующего испытания (срок годности
определяется по штампу).
Исправность указателя напряжения выше 1000 В
можно проверить на заведомо действующей электроустановке или специальным
прибором для проверки указателей.
Необходимо проверить наличие и исправность
инструмента, который должен соответствовать следующим требованиям:
• рукоятки плоскогубцев, острогубцев и кусачек
должны иметь защитную изоляцию;
• рабочая часть отвертки должна быть хорошо
заострена, на стержень отвертки надета изоляционная трубка, оставляющая
открытой только рабочую часть.
Рабочий инструмент следует хранить в переносном
инструментальном ящике или сумке.
При выполнении работы на высоте с использованием
переносной деревянной лестницы необходимо убедиться в ее исправном состоянии.
На нижних концах ее должны быть оковки с острыми наконечниками для установки на
грунте, а при использовании лестницы на гладких поверхностях на них должны быть
надеты башмаки из резины или другого нескользящего материала.
При работе на высоте с применением лестниц у ее
основания должен стоять работник в каске и обеспечить безопасное производство
работ работнику, находящемуся на лестнице. Запрещается при спуске с лестницы
переходить на элементы ограждений и другие любые конструкции. Спуск должен
производиться непосредственно на поверхность, на которой установлена лестница.
Заключение о состоянии пострадавшего и
возможности продолжения им работ при обстоятельствах, связанных с
травмированием работников (падение с высоты, получение ушибов головы, других
органов, даже если нет явных признаков повреждения органов и кожных покровов),
могут принимать только медицинские работники, вызов скорой помощи в подобных
случаях обязателен. Проходы на площадках и рабочих местах для подхода к лестнице
должен быть: ширина одиночного прохода к местам и на рабочих местах должна быть
не менее 1.6 м, высота в свету - не менее 1.8 м;
При работе с подвесных, приставных и раздвижных
лестниц на высоте более 1.3 м, следует применять предохранительный пояс,
который закрепляется за конструкцию сооружения или лестницу, при условии
надежного крепления ее к конструкции.
При работе с использованием электрозащитных
средств (изолирующие штанги, клещи, указатели напряжения и т.п.) допускается
приближение человека к токоведущим частям на расстояние, определяемое длиной
изолирующей части этих средств.
Во время проведения осмотров запрещается
производить переключения, снимать плакаты и ограждения, выполнять какую-либо
работу или уборку.
При работах на участках отключенных токоведущих
частей их необходимо заземлять.
Все работы в электроустановках выполняются по
наряду или распоряжению.
Работы, выполняемые в порядке текущей
эксплуатации, определяются перечнем, утвержденным на предприятии.
Единолично по распоряжению электромонтеру с
группой III можно выполнять:
• уборку и благоустройство территории ОРУ;
• возобновление надписей на кожухах оборудования
и ограждениях вне камер РУ;
• наблюдение за сушкой трансформаторов;
• обслуживание маслоочистительной и прочей
вспомогательной аппаратуры при очистке и сушке масла;
• работы на электродвигателях и механической
части вентиляторов и маслонасосах трансформаторов;
• проверку воздухоочистительных фильтров и
замену сорбентов в них;
• ремонт и обслуживание осветительной
аппаратуры, расположенной вне камер РУ на высоте до 2,5 м.
Подготовка рабочих мест и допуск бригад
проводится только после получения разрешения вышестоящего оперативного
персонала в соответствии с требованиями наряда.
При выполнении эксплуатационных работ на
токоведущих частях, находящихся под напряжением до 1000 В, необходимо:
• оградить расположенные вблизи рабочего места
другие токоведущие части, находящиеся под напряжением, к которым возможно
случайное прикосновение;
• работать в диэлектрических галошах или стоя на
изолирующей подставке, либо на диэлектрическом ковре;
• применять инструмент с изолирующими рукоятками
(у отверток должен быть изолирован стержень); при отсутствии такого инструмента
пользоваться диэлектрическими перчатками.
Запрещается работать в одежде с короткими или
засученными рукавами, а также пользоваться ножовками, напильниками,
металлическими метрами и т.п.
При замыкании на землю в электроустановках 6-35
кВ приближаться к обнаруженному месту замыкания на расстояние менее 4 м в ЗРУ и
менее 8 м в ОРУ допускается только для оперативных переключении с целью
локализации повреждения и освобождения людей, попавших под напряжение. При этом
следует пользоваться электрозащитными средствами (диэлектрическими ботами,
галошами, перчатками).
Для исключения ошибок, и обеспечения
безопасности операций перед выполнением переключении электромонтер должен
осмотреть электроустановки, на которых предполагаются операции, проверить их
соответствие выданному заданию.
Перед тем как отключить или включить
разъединитель, отделитель необходимо тщательно их осмотреть.
При обнаружении у коммутационных аппаратов
трещин на изоляторах и других повреждениях - операции с ними запрещаются.
При включении - отключении коммутационных
аппаратов и наложении переносных заземлений (ПЗ) необходимо соблюдать следующие
меры безопасности:
• устанавливать переносные заземления должны не
менее двух человек; включать и отключать заземляющие ножи, снимать переносные
заземления допускается единолично;
• перед установкой переносных заземлений должно
быть проверено отсутствие напряжения на токоведущих частях (исправность
указателя напряжения должна быть проверена специальным прибором или на
действующей электроустановке);
• при установке ПЗ запрещается касаться
заземляющего спуска;
• переключения коммутационных аппаратов выше
1000 В с ручным приводом необходимо производить в диэлектрических перчатках.
Переключения без распоряжения или разрешения
вышестоящего оперативного персонала, но с последующим его уведомлением
разрешается выполнять в случаях, не терпящих отлагательства (несчастный случай,
стихийное бедствие, пожар).
Электромонтеру, непосредственно выполняющему
переключения, самовольно выводить из работы блокировки безопасности
запрещается.
Включение разъединителей ручным приводом
производят быстро, но без удара в конце хода. При появлении дуги ножи не
следует отводить обратно, так как при расхождении контактов дуга может
удлиниться и вызвать короткое замыкание. Операция включения во всех случаях
должна продолжаться до конца.
Отключение разъединителей, следует производить
медленно и осторожно. Вначале делают пробное движение рычагом привода для того,
чтобы убедиться в исправности тяг, отсутствии качаний и поломок изоляторов.
Если в момент расхождения контактов между ними
возникает сильная дуга, разъединители необходимо немедленно включить и до
выяснения причин образования дуги операции с ними не производить, кроме случаев
отключения намагничивающих и зарядных токов. Операции в этих случаях должны
производиться быстро, чтобы обеспечить погасание дуги на контактах.
При отключениях разъединителями (отделителями)
намагничивающего тока силовых трансформаторов, зарядного тока воздушных и
кабельных линий необходимо располагаться под защитным козырьком или за
ограждением.
При недовключении ножей рубильника запрещается
подбивать ножи и губки под напряжением. Для этого необходимо отключить
полностью сборку и обеспечить нормальное включение рубильника.
Запрещается прикасаться без применения
электрозащитных средств к изоляторам оборудования, находящегося под
напряжением.
При приближении грозы должны быть прекращены все
работы в ОРУ, КРУН на выводах и линейных разъединителях ВЛ.
Снимать и устанавливать предохранители
необходимо при снятом напряжении. Под напряжением и под нагрузкой можно
заменять предохранители трансформаторов напряжения.
При снятии и установке предохранителей под
напряжением необходимо пользоваться следующими средствами защиты:
• в электроустановках до 1000 В - изолирующими
клещами или диэлектрическими перчатками и защитными очками;
• в электроустановках выше 1000 В - изолирующими
клещами (штангой) с применением диэлектрических, перчаток и защитных очков.
Запрещается применять некалиброванные
предохранители. Предохранители должны соответствовать току и напряжению.
Отбор проб и доливка масла в масляные выключатели
и трансформаторы, протирка масломерных стекол и единичных изоляторов
производится только на отключенном оборудовании после соответствующей
подготовки рабочего места.
Измерение сопротивления изоляции мегаомметром
необходимо выполнять на отключенном оборудовании после снятия остаточного
заряда путем заземления оборудования.
Соединительные провода от мегаомметра следует
присоединять к токоведущим частям с помощью изолирующих держателей (штанг), а в
электроустановках выше 1000 В, кроме того, с применением диэлектрических
перчаток.
В электроустановках выше 1000 В пользоваться
указателем напряжения необходимо в диэлектрических перчатках.
Требования безопасности по окончании работы.
По окончании смены необходимо:
• закончить переключения;
• весь инструмент, приспособления, приборы и
средства защиты должны быть приведены в надлежащий порядок и размещены в
специальных шкафах и стеллажах;
• сообщить принимающему смену обо всех
изменениях и неисправностях в работе оборудования, которые происходили в
течение смены, о составе работающей бригады и месте проведения работы на
оборудовании подстанции по нарядам и распоряжениям;
• доложить о сдаче смены своему вышестоящему
дежурному персоналу и оформить росписью в оперативном журнале;
• снять спецодежду, убрать ее и другие средства
индивидуальной защиты в шкаф для рабочей одежды.
Литература
1. Коновалова Л.Л., Рожкова
Л.Д. Электроснабжение промышленных предприятий и установок, 1989.
. Межотраслевые правила по
охране труда (правила безопасности) при эксплуатации электроустановок, М. -
2006. - 180 с.
. Неклепаев Б.Н., Крючков
И.П. Электрическая часть станций и подстанций: Справочные материалы для
курсового и дипломного проектирования: Учебное пособие для вузов. - 4-е изд.,
перераб. и доп. - М.: Энергоатомиздат,1989. - 608 с.
. Рожкова Л.Д., Козулин В.С.
Электрооборудование станций и подстанций: Учебник для техникумов, 3-е изд.,
перераб. и доп. - М.: Энергоатомиздат, 1987. - 396 с.