Программное обеспечение анализа физических цепей
Содержание
ВВЕДЕНИЕ
СТАТЬЯ 1. Моделирование, имитация и
управление двойным электромагнитом активной магнитной левитации.
. Введение
. Двойной магнит системы магнитной
левитации.
. Использование программы COMSOL
Multiphysics.
. Моделирование.
.1 Левитация в гравитационном поле
внешнего возбуждения.
.2 Левитация без гравитации.
. Заключение.
СТАТЬЯ 2. Создание электромагнита с
широким градиентным спектром для внедрения магнитных веществ в мозг мыши.
. Введение.
. Теория.
. Уравнения.
. Результаты.
.1 Магнит.
.2 Расчет катушки.
.3 Метод конечных элементов.
.4 Нагрев магнита.
. Заключение.
Заключение:
Литература
ВВЕДЕНИЕ
В данном реферате будут рассматриваться две
статьи, в которых описывается применение электромагнитов в различных областях.
А также два примера задач связанных с темой электромагниты. Для создания ниже
описанных моделей использовалась программа COMSOL, являющаяся одной из лучших
универсальных программ для моделирования .
Первая статья: Моделирование, имитация и
управление двойным электромагнитом активной магнитной левитации.
Вторая статья: Создание электромагнита с широким
градиентным спектром для внедрения магнитных веществ в мозг мыши.
СТАТЬЯ 1.
Моделирование, имитация и управление двойным электромагнитом активной магнитной
левитации
Adam Piłat*1 1AGH University of
Science and Technology * Department of Automatics and Biomedical Engineering,
Al. A. Mickiewicza 30, 30-059 Krakow, Poland
Краткий обзор: Эта статья посвящена
моделированию двойного электромагнита активной магнитной левитации в пакете
программы COMSOL Multiphysics. Были использованы уравнения частных и полных
дифференциалов, чтобы понять как движутся левитируемые объекты. Для иллюстрации
примера рабочего объекта используются два способа контроля.
Ключевые слова: активная магнитная левитация,
активный магнитный азимут, управления, моделирование, имитация.
1. Введение
Конфигурация двойного электромагнита для системы
активной магнитной левитации(САМЛ) такова: два электромагнита расположены друг
напротив друга, так что они образуют ось активного магнитного азимута. Такая же
конфигурация может быть использована для тестирования одиночного электромагнита
АМЛ контроллера. Одиночный электромагнит для САМЛ уже был смоделирован и
построен в программе COMSOL Multiphysics.
Это исследование вытекает из контрольного
исследования и экспериментов в реальном времени, которые помогли осуществить
моделирование двойного электромагнита для активной магнитной левитации
(MLS2EM)-тестовое оборудование. Эта разработка посвящена цилиндрическому электромагниту,
который необходим для решения задачи с АМЛ. Междисциплинное моделирование,
имитация и контролируемый подход - ключевые компоненты этого исследования.
Моделирования и имитация конфигурации АМЛ требуется тогда, когда новое
оборудование уже разработано или же когда существующее оборудование
моделируется для проверки и контроля синтеза результатов. В обоих случаях
необходимо внедрить обратную связь контроля, чтобы левитируемый объект был в
нужном положении. Поэтому модель должна быть несколько расширенной, с динамикой
движения и необходимыми формулами. Особенности программы COMSOL Multiphysics
позволяют объединить несколько физических и математических аспектов в
единственной модели.
. Двойной
магнит системы магнитной левитации
Примером двойного электромагнита для активной
левитации будет служить лабораторный прототип MLS2EM. Это два электромагнита,
расположенные обособленно друг от друга (рис.1). Они генерируют
электромагнитную силу, необходимую для левитации. Система управления регулирует
значение силы, чтобы стабилизировать левитируемый объект с желаемой жесткостью
и свойствами депфирования.
Рисунок 1. Одноосевой двойной электромагнит для
системы активной магнитной левитации САМЛ (MLS2EM) и модифицированный вариант с
цилиндрическим электромагнитом.
Электромагнитная сила, генерируемая
электромагнитами, зависит от конструкции позиционера, управляющего сигнала и
расстояния до левитируемого объекта. Рассматривается ток в катушке, динамика
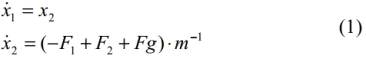
левитиремого объекта, которая описываются формулой (1).
где: х1-положение объекта, х2-
скорость, F1, F2- силы, генерируемые верхним и нижним
электромагнитами, соответственно. Fg- сила тяжести, m-
масса объекта. Уравнение (1) может быть использовано во многих задачах контроля
в зависимости от взаимодействия гравитационного поля и контроля одного или двух
электромагнитов. Как правило, это можно описать уравнением (2), если
использовать электромагнитный коэффициент KЕМ.
Для достижения стабильной левитации и управления
динамическими параметрами используется обратная связь контроля. Для
контрольного результата рассчитывается ошибка состояния е = хd-x.
Для стабильной операции хd,
векторные элементы отвечают: хd1
- за желаемый уровень левитации и хd2-
за нулевую скорость. Когда напряжение в катушке будет существовать в рамках
уравнения (1), тогда это уравнение разобьется на два электрических уравнения,
отвечающих за динамику работы позиционера.
3. Использование
программы COMSOL Multiphysics
Моделирование с помощью программы COMSOL
Multiphysics отлично подходит для образовательных и исследовательских целей. В
прошлой версии программы (COMSOL 3.3) было возможно конвертировать модель в
программу MATLAB/Simulink.
Это было отличное решение для контроля проектирования и динамики моделирования.
На данный момент связь с MATLAB
возможна только через пакет программы MATLAB.
В этом случае проектируемый контроллер и моделирование замкнутой системы могут
быть реализованы двумя способами:
а) напрямую в программе COMSOL Multiphysics -
это требуется для включения динамики движения и уравнений контроллера в пакете
программы COMSOL.
б) с помощью пакета MATLAB
- использовать m-файл модели
программыдля расчета модели.
Использование COMSOL Multiphysics в левитационной
задаче дает множество возможностей, из-за особенностей этой программы, например
таких как:
а) общее мультифизическое моделирование.
б) опция перемещения сетки решателя.
в) уравнения полного дифференциала (УПД).
г)возможность включать линейные и нелинейные
формулы.
д) моделирование в 2D,
3D и ассиметричный
режим.
е) способность включать электрическую цепь.
Модель двойного электромагнита для АМЛ была
реализована на симметричной оси модифицированной конструкции реального
лабораторного оборудования (MLS2EM). Были сконструированы два цилиндрических
электромагнита и сферический ферромагнетик левитировал между этими двумя
электромагнитами. Положение сферы определяется оптических сенсором. Модель
такой системы содержит:
а) геометрию компонентов, свойства позиционера -
идентичный реальной системе.
б) динамику движения, описанную УПД.
в) управление движением одного и/или обоих
электромагнитов для достижения левитации под внешним возбуждением, различные
способы управление и режим раздельного управления.
Реализованная в программе COMSOL Multiphysics
модель представлена на рис.2.
Рисунок 2. Ассиметричная модель двойного
электромагнита для САМЛ смоделированная в COMSOL Multiphysics.
4. Моделирование
.056-килограммовая ферромагнитная сфера была
расположена в исходном положении, проведены экспериментальные моделирования.
Модель была смоделирована в двух вариантах.
4.1 Левитация в
гравитационном поле внешнего возбуждения
Сигнал возбуждения был сгенерирован нижним
электромагнитом, чтобы протестировать работу левитационного контроллера
работающего с верхним электромагнитом. Свойства замкнутой системы определяют
состояние используемого в работе левитирующего объекта. Этот эксперимент был
очень полезен, так как он помог подтвердить работоспособность моделируемого
контроллера. Осуществить это помогло оборудование MLS2EM АМЛ. Сигналы тока
катушки определяются уравнением (3).
где: k1,
k2-
параметры контроллера, f(t)-
сигнал возбуждения.
Результаты работы представлены на рис.3. Этот
эксперимент показывает нелинейные свойства системы АМЛ, которая управляется
линейным контроллером. Можно найти различия в результатах моделирования в такой
системы. Свойства замкнутой системы варьируются относительно положения сферы.
Просматривается высокая скорость шара, при движении по направлению к верхнему
электромагниту.
Те же самые свойства замкнутой системы
наблюдаются во время реальных экспериментах.
.2 Левитация
без гравитации
Второй подход был осуществлен без учета силы
тяжести в уравнении (1) ( Fg=0). Такой способ можно использовать,
когда механическая конструкция позволяет пренебречь гравитацией или когда
генерируемые силы много больше чем нужно для левитации объекта. Итак, такая
двойная конфигурация АМЛ представляется осевой и радиально-осевой системами.
Токи описываются уравнением (4). Сигнал управления i
был заранее вычислен посредством обратной связи.
Оба позиционера противодействуют друг другу.
Сгенерированная сила компенсирует любое движение объекта относительно
начального положения. Установившийся ток i0
и параметры контроллера соответствуют заданной жесткости и свойствам
демпфирования.
.Заключение.
Применение COMSOL Multiphysics для двойной САМЛ
позволяет задавать число контрольных опытов моделирования. Применение функции Multi-turn
позволяет определить реальные свойства электромагнита лучше, чем катушка,
которая непосредственно управляется плотностью тока. Моделирование
осуществлялось в условиях таких же как в экспериментах. В данном случае
разрабатываемый контроллер был смоделирован прежде, чем в него были вложены
денежные средства. Разработанная модель и контроллер могут быть оптимизированы
для целевого применения на основе результатов моделирования. Проведенное
исследование может быть применено в радиальных, аксиальных системах и одно/двух
электромагнитах
для АМЛ. Следующая стадия в процессе
исследования должна сверить результаты моделирования с экспериментальными
данными. Кроме того, созданная модель будет дополнена напряжением катушки и
электронной цепью регулирования структуры и свойств схемы.

Рисунок 3. Результаты моделирования левитации в
гравитационном поле внешнего возбуждения.

Рисунок 4. Результаты моделирования левитации
без гравитации.
СТАТЬЯ 2. Создание
электромагнита с широким градиентным спектром для внедрения магнитных веществ в
мозг мыши
I. Hoke1 , C. Dahmani1 , T. Weyh1
1Heinz-Nixdorf Lehrstuhl für Medizinische Elektronik, Fakultät
für Elektro-und Informationstechnik, Technische Universität
München, Theresienstr. 90, D-80333 Munich,
Germany Email: dahmani@tum.de
Краткий обзор: Применение наночастиц в сочетании
с медицинскими веществами в борьбе с опухолью мозга является одним из самых
больших препятствий нейронаучных исследованиях. Эта работа исследует
оптимальную конструкцию электромагнита для преодоления гематоэнцефалического
барьера путем воздействия внешнего магнитного поля. Установлено, что градиент
поля жестко зависит от конструкции магнита. Модель состоит из оптимизированной
катушки и магнитной системы. Моделирования и расчеты, касающиеся нагрева
катушки получены с помощью программы COMSOL Multiphysics.
Ключевые слова: Магнитонаправленная доставка
лекарственных препаратов, гематоэнцефалический барьер, опухоль мозга,
электромагнит, катушка.
1. Введение
Магнитонаправленная доставка лекарств набрала
популярность в последние годы. Это новый терапевтический метод, доставляющий
медицинские вещества посредством магнитного поля, также в состав этих веществ
входят парамагнитные наночастицы. Вещества доставляются только в определенные
участки тела, не затрагивая здоровые органы и ткани. Если применить такой
способ к лечению опухоли мозга, то потребуется преодоление
гематоэнцефалического барьера, что повлечет за собой действие химических
веществ в крови на внутренние части черепа. Нам удалось экспериментально
определить магнитную силу, необходимую для перемещения наночастиц в мозг, и
следовательно была необходимость в использовании плотности магнитного потока и
магнитного поля со сравнительно высоким градиентом, согласно формуле Fmagnetic
.
В данной работе мы разработали электромагнит,
который создает необходимые свойства магнитного поля в активном объеме 2х2х2 см3,
которое полностью охватывает весь объем мозга лабораторной мыши. Мы задумали
всю систему так, чтобы она была контролируемой и была малого размера.
Кроме того, мы провели тепловой анализ
используемой катушки, для определения максимально допустимой температуры, до
этого критическая температура составляла 65 °C. Было разобрано много вариантов,
чтобы получить совершенное моделирование, которое обеспечивало бы наличие
минимальной магнитной индукции равной 200 мТ и градиента поля 10 Т/м в нужном
объеме.
В будущих тестах должны были участвовать мыши
или крысы, чтобы удостовериться в правильности работы модели и простоте
использования задуманной магнитной системы.
Рисунок 1. Проект предполагаемой
экспериментальной установки для преодоления гематоэнцефалического барьера
черепа мыши. Стрелки указывают направление сил для доставки наночастиц в череп.
. Теория
Для расчета и построения эпюр для плотности
магнитного потока вокруг наконечника системы, модель электромагнита была
реализована в 2D, а также в 3D. Проблема - симметрия относительно оси z,
потребовалось использовать режим аксиальной симметрии в 2D в целях уменьшения
сложности и времени обработки. Для лучшего понимания и дальнейшего построения
геометрии, 3D модель была также воплощена в 2D.
Магнитная сила парамагнитных наночастиц согласно
формуле равна Fmag=µ·B,
где µ- магнитный момент отдельной частицы и B - градиент магнитного поля. Для
транспортировки и удерживания частиц в желаемой области необходима плотность
магнитного потока 200 мТ и градиент поля в диапазоне от 8 Т/м до 10 Т/м. Кроме
того предполагается, что необходима глубина проникновения в мозг на 1-2 см для
эффективной транспортировки препарата.
3. Уравнения
Используемые уравнения Максвелла:
х H = J и B
= 0, B = µ0 µr
H. Магнитный
векторный потенциал создается управляющим уравнением магнитостатического
режима. х(µ-1 хA-M)=J.
Следовательно основными входными параметрами
являются относительные проницаемости магнита и внешней плотности тока. В табл.1
и табл.2 представлены важные магнитные константы и граничные условия.
4. Результаты
.1 Магнит
Электромагнит состоит из железного сердечника,
ярма и катушки(медь). Ярмо необходимо для обеспечения плотности магнитного
потока. На рисунках ниже показаны эскизы сердечника и ярма. Резьба в верхней
части ярма позволяет регулировать воздушный зазор от 3 до 7 см.
4.2 Расчет катушки
Внешняя плотность тока составляет 1.79е А/м2.
В таблице 3 указаны дополнительные параметры. Был использован медный провод для
катушки с внешним диаметром 1.2 мм.
Адиабатический нагрев находится по формуле
где:
4.3 Метод конечных
элементов
Идеальные результаты магнитного поля зависели от
формы магнита. Поэтому с помощью программы COMSOL
были изучены и протестированы несколько магнитов разных форм, это было нужно
для оптимизации магнитной силы. Результаты нашего магнитного наконечника
показаны на рис.4-6. Индукция поля может достигнуть максимума, равного 1.43 Т.
Плотность магнитного потока непосредственно под магнитным наконечником равна
588 мТ. С уменьшением расстояния от наконечника плотность потока быстро падает.
Градиент поля колеблется от 27.08 Т/м для z=1 мм и до 10.37 Т/м на расстоянии 2
см от поверхности магнита.
.4 Нагрев магнита
Используя модель электро-теплового
взаимодействия, мы также могли изучить тепловые аспекты задуманного магнита.
Согласно расчетам методом конечных элементов, наибольшее количества тепла
вырабатывается на внешней обмотке. Моделирование в среде COMSOL не учитывает
коэффициент заполнения меди. Можно предположить, что реальный результат
составляет примерно 70 % из смоделированного результата.
5. Заключение
В данной модели, COMSOL
используется для определения оптимальной геометрии, которая обеспечивает
необходимые параметры магнитного поля лоя преодоления наночастицами
гематоэнцефалического барьера мозга лабораторной мыши. Эта модель будет
выпускаться и как ожидается докажет свою продуктивность в вопросах
локально-целевых дефектах в мозге. Также COMSOL
позволил осуществить прогнозирование поведения нагрева магнита и показал, что
необходима дополнительная система охлаждения после определенного времени
работы.
ПРИМЕРЫ
ПРИМЕР 1
)Многообмоточная катушка вокруг прямоугольного
ферромагнита.
Геометрия:
Для создания ферромагнитного блока
использовались элементы Block
и Fillet.
Для создания твердотельной катушки
использовались операции Extrude,
Revolve, Array
и Delete Entities.
Для создания воздушной полости использовался Cylinder
со слоями.
Настройка физики:
Конструкция многих взаимно-изолированных тонких
проводов сложна так, что дело не обойдется просто геометрией.
Multi-Turn
Coil это
гомогенизированная апроксимация модели.
Geometry
Analysis позволяет
пользователю определять связность и направление обмоток: Input/Output
Настройка STUDY:
Текущее точное направление в катушке не известно
априори, но его можно рассчитать предварительно используя Coil
Geometry
Analysis.
) Использует параметры заданные в Geometry
Analysis, для определения
направленности тока.
) Можно использовать один Coil
Geometry
Analysis для нескольких Multi-Turn
Coil в модели.
Эта информация автоматически направляется в
следующие исследования с использованием Multi-Turn
Coil.
Frequency
Domain решает частотную
область по законам Ампера, чтобы найти гармоническое решение в указанной
частоте.
РЕЗУЛЬТАТЫ:
Мощность рассеиваемая Джоулевым теплом в катушке
и ферромагнитных частях, извлечены с помощью Volume Integration of mf.Qh,
возвращает 0.834 Вт.
Входимая мощность= выходная мощность.
ПРИМЕР 2.
)Многообмоточная катушка над ассиметричной
проводниковой пластиной.
Эта модель решает задачу Исследуемых
электромагнитных аналитических методов, "Ассиметричный проводник с
отверстием" - задача, заключающая в оценки характеристик системы
относительно вычисления токов Фуко и магнитных полей, произведенных при
размещении проводника асимметрично над катушкой , в которой течет синусоидальный
переменный ток.
Рисунок 2.1. Исследуемая модель.
Описание модели.
Поскольку у геометрии нет симметрии, то задачу
нужно решить для всей геометрии. Как показано на рис.2.1, геометрия состоит из
катушки, помещенной ассиметрично над толстой алюминиевой пластиной с
нецентрированным квадратным отверстием. У катушки 2742 витка (ток 1 A/turn).
Задача заключается в том, чтобы вычислить магнитное поле и токи Фуко, вызванные
в проводнике для тока в катушке частотой 50 и 200 Гц, и сравнить результаты
моделирования указанных положений в пространстве с экспериментальными данными.
Результаты и выводы.
Рис.2.2 показывает индуктивный ток (50 Гц), для
отображения использованы комбинированная поверхность и стрелки. Черные стрелки
показывают плотность тока в проводнике, а красные текущею направленность тока в
катушке. Рис.2.3 показывает нам результаты при 200 Гц.
Рис.2.2. Результаты моделирования при 50 Гц.
Рис.2.3. Результаты моделирования при 200 Гц.
Заключение
Вышеописанные работы были смоделированы в пакете
программы COMSOL Multiphysics. Эта программу, как можно увидеть, можно
использовать в различных областях промышленности, для предварительного расчета
проектируемой модели, для дальнейшего сравнения с экспериментальными данными,
что как можно убедиться , снижает затраты при неудачных результатах
моделирования.
Литература
1)Статья
1. (http://www.comsol.com/paper/download/152005/pilat_paper.pdf).
)Статья
2. (http://www.comsol.com/paper/download/37308/Dahmani.pdf).
)
http://www.comsol.com/model/multi-turn-coil-above-an-asymmetric-conductor-plate-13777
)
http://www.comsol.com/model/multi-turn-coil-winding-around-a-ferromagnet-23641