Жесткая ошиновка открытых распределительных устройств станций и подстанций

  • Вид работы:
    Курсовая работа (т)
  • Предмет:
    Физика
  • Язык:
    Русский
    ,
    Формат файла:
    MS Word
    472,48 Кб
  • Опубликовано:
    2015-11-13
Вы можете узнать стоимость помощи в написании студенческой работы.
Помощь в написании работы, которую точно примут!

Жесткая ошиновка открытых распределительных устройств станций и подстанций














КУРСОВОЙ ПРОЕКТ

По дисциплине: «Электрические станции и подстанции»

Жесткая ошиновка открытых распределительных устройств

станций и подстанций


Выполнил:

студент группы

Руководитель:

Профессор каф.

Содержание

Введение

.        Исходные данные для проектирования

2.      Выбор шин

.        Проверка шины на термическую устойчивость к токам КЗ

.        Проверка шин по частоте собственных колебаний

.        Проверка шин по условиям короны

.        Проверка шин на механическую прочность

6.1    Определение нагрузок от гололеда и собственного веса

6.2    Электродинамические нагрузки на шины от токов КЗ

.3      Оценка воздействия ветровых нагрузок на жесткую ошиновку

7.      Расчет защитного заземления

Заключение

Список используемой литературы

Введение

Распределительные устройства 110, 220 кВ и выше в общепринятой практике сооружаются как открытые РУ.

Открытые РУ 110, 220 кВ для компактности часто используют жесткую ошиновку. Для жесткой ошиновки используются трубы алюминиевого сплава 1915Т, обладающего высокой прочностью, стойкостью к коррозии и хорошей свариваемостью. Комплекты жесткой ошиновки позволяют снизить затраты на строительство.

ОРУ с жесткой ошиновкой могут применятся на всех подстанциях 110 кВ с трансформаторами до 80 МВА и на подстанциях 220/110 кВ с автотрансформаторами до 125 МВА.

Кроме сборных линий в ОРУ 110, 220 кВ, жесткими линиями целесообразно выполнять переходы над проезжей частью ОРУ.

1. Исходные данные для проектирования

Таблица №1

Вид РУ

Число тр-ров, работающих в РУ

Напряжение РУ, кВ

Тип и мощность тр-ров, МВА

Тип выкл. в РУ

Ударный ток трехфазного КЗ в РУ, кА

1

2

3

4

5

6

ОРУ

2

220

ТДЦ-80

ВВБ-220

65


Число отходящих от РУ линий

Максимальная мощность, передаваемая по линии, МВт

Коэффициент мощности, cosφ

Длина ЛЭП, км

Климатическая зона по гололеду

Климатическая зона по ветровой нагрузке

7

8

9

10

11

12

2

35

0,85

220

I

III


2. Выбор шин

Считая, что в ОРУ 220 кВ на одну рабочую секцию жестких шин возложена работа двух трансформаторов ТДЦ-80, определяется максимально возможный ток сборной шины:


В качестве шин будет использоваться алюминиевый сплав 1915Т.

Выбираем трубу диаметром d1 = 90 мм, d2 = 80 мм. Допускаемая нагрузка 1997 А.


Сечение трубы

ток замыкание ошиновка подстанция

3. Проверка шины на термическую устойчивость к токам КЗ

 - тепловой импульс

  


Таким образом шины термически устойчивы к токам трехфазного КЗ.

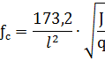
4. Проверка шин по частоте собственных колебаний

Находим частоту собственных колебаний ƒс


где: l = 15 м - пролет между поддерживающими изоляциями


,32 Гц< 30 Гц - допустимое сечение шины

5. Проверка шин по условиям короны

Так как выбранная шина имеет внешний диаметр d1 = 90 мм, а минимальный допустимый диаметр для ОРУ 220 кВ равен 24 мм, то это позволяет утверждать, что выбранная шинная конструкция по условиям коронирования подходит.

d1 > dдоп

d1 = 90 мм > dдоп = 24 мм

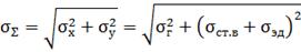
6. Проверка шин на механическую прочность

.1 Определение нагрузок от гололеда и собственного веса

Гололедная нагрузка на шины, соответcтвующая I району по гололеду, составляет 5 мм гололеда на стенку, то есть tг.н. = 5мм с повторяемостью 1 раз в 10 лет. Нормативная плотность гололеда - 900 кг/м3.


Масса одного метра длины шины d1 = 90 мм


где: q - сечение трубы - 1335 мм2, δ - удельная масса алюминиевого сплава 1915Т - 2770 кг/м3

Масса одного метра гололеда на шине d1 = 90 мм


Момент сопротивления трубчатой шины


Напряжение в материале шин

Нагрузка на поддерживающие изоляторы от собственного веса шин и гололеда


где: g - ускорение свободного падения - 9,81 м/с2

.2 Электродинамические нагрузки на шины от токов КЗ


где: iуд - ударный ток - 65 кА,  - расстояние между фазами - 4 м

Напряжение в материале шин


Нагрузка на опорные изоляторы от электродинамических усилий


.3 Оценка воздействия ветровых нагрузок на жесткую ошиновку

Ветровая нагрузка на жесткую ошиновку.

Средняя ветровая нагрузка, действующая на единицу длины шины


где:  - плотность воздуха при температуре ϑ = - 100 С равна - 1,342 кг/м3;

 - коэффициент лобового сопротивления - 0,5; d = 0,09м; V - скорость ветра для III ветровой зоны - 29 м/с


Нагрузка на изоляторы от ветрового воздействия


Суммарное воздействие на шины


Нагрузка на изоляторы

В ОРУ 220 кВ два последовательно соединенных изолятора на 110 кВ образуют изолятор на 220 кВ.

Выбираем изолятор ОНС-110-500 с разрушающей нагрузкой на изгиб 5000 Н.

Так как конструкция состоит из двух последовательно соединенных изоляторов, то:


что говорит о механической устойчивости выбранных изоляторов для шинной конструкции.


Это говорит о механической прочности выбранных шин из алюминиевого сплава 1915Т не только в основной части шины (но даже в несколько ослабленной сваркой частью шины (

7. Расчет защитного заземления

Защитные заземления являются составной частью большинства электроустановок и служат для обеспечения необходимого уровня электробезопасности в зоне обслуживания электроустановки и за ее пределами, для отвода в землю импульсных токов с молниеотводов и разрядников, для стабилизации напряжения фаз электрических сетей относительно земли.

Для заземления электроустановок различных назначений и различных напряжений на станциях и подстанциях, как правило, применяется одно общее заземляющее устройство. Сопротивление заземляющего устройства, используемого для различных назначений и различных напряжений, должно удовлетворять требованиям к заземлению того оборудования, для которого необходимо наименьшее сопротивление заземляющего устройства. Исходя из этого можно утверждать, что для заземления электрической станции сопротивление контура не должно превышать 0.5 Ом, т.к. на электростанции есть несколько РУ с различными сопротивлениями, но определяющим будет заземление РУ выше 1000 В с большим током замыкания на землю (РУ-220 ). Сопротивление этих РУ в любое время года должно быть не более 0.5 Ом (Rз=0.5 Ом).

Рассчитаем контур заземления РУ - 220 кВ, считая это РУ условно самостоятельным.

Для начала зададимся удельным сопротивлением грунта: суглинок: r = 80 Ом∙м

Для нашего РУ имеем в любое время года сопротивление Rз=0.5 Ом

Определим сопротивление естественных заземлителей. В данном РУ естественными заземлителями являются:

1.  трос-опоры , сопротивление Rе1 принимаем равным 2.5Ом;

2.      оболочки кабелей, сопротивление Rе2 принимаем равным 2.5 Ом;

.        неизолированный металлический трубопровод за исключением трубопроводов горючих жидкостей и газов сопротивление Rе3 принимаем равным 3 Ом.

Зная все естественные заземлители, на станции определяют сопротивление Rе, как


Отсюда Rе=0.882 Ом


Определим расчетное сопротивление грунта , где Кс - коэффициент сезонности, для горизонтальных электродов Кс =2.

Определим предварительную конфигурацию заземления. При этом расстояние между вертикальными заземлителями принимается не менее их длины.

Площадь заземления равна 132.6´62 м.

В качестве искусственных заземлителей применяют вертикальные стержни 3-5м, диаметром 12-20мм и горизонтальные стальные полосы 40´4мм.

Найдем сопротивление горизонтальных заземлителей:

где l2 - длина горизонтальных заземлителей, м;

rрасч - расчетное удельное сопротивление, Ом·м;

B - ширина полосы, м, B=0.4 м;

t - глубина заложения заземлителя, м, t=0.75 м.

Найдем сопротивление горизонтальной полосы с учетом коэффициента использования

.

где xгор - коэффициент использования тогда xгор=0.34, отсюда

Т.к. Rгор>Rиск , то необходимы вертикальные заземлители с сопротивлением:

 Ом

Сопротивление одного вертикального стержня( Кс= 1,15), Ом:

 Ом

где l - длина стержня, м; l=5м.

d - диаметр стержня, м; d=0,02м.

rрасч - расчетное удельное сопротивление, Ом·м;

t - глубина заложения стержней, равная расстоянию от поверхности земли до середины заземлителя, м, t=3,5 м.

Определим число вертикальных заземлителей :

 шт.

где xвер - коэффициент использования вертикальных заземлителей, xвер=0,6, отсюда

Ом, что вполне удовлетворяет заданным условиям. Теперь сопротивление заземляющего контура, состоящего из горизонтальных, вертикальных и естественных заземлителей соответствует требованиям электробезопасности.

Воздушные выключатели. В воздушных выключателях гашение дуги происходит сжатым воздухом, а изоляция токоведущих частей и дугогасительного устройства осуществляется фарфором или другими твердыми изолирующими материалами.

Конструктивные схемы воздушных выключателей различны и зависят от их номинального напряжения, способа создания изоляционного промежутка между контактами в отключенном положении и способа подачи сжатого воздуха в дугогасительное устройство.

В выключателях на большие номинальные токи имеются главный и дугогасительный контуры, как и в маломасляных выключателях МГ и ВГМ. Основная часть тока во включенном положении выключателя проходит по главным контактам, расположенным открыто. При отключении выключателя главные контакты размыкаются первыми, после чего весь ток проходит по дугогасительным контактам, заключенным в дугогасительной камере. К моменту размыкания этих контактов в камеру подается сжатый воздух из резервуара, создается мощное дутье, гасящее дугу. Дутье может быть продольным или поперечным. Необходимый изоляционный промежуток между контактами в отключенном положении создается в дугогасительной камере путем разведения контактов на достаточное расстояние или специальным отделителем, расположенным открыто. После отключения отделителя прекращается подача сжатого воздуха в камеры и дугогасительные контакты замыкаются.

В выключателях для открытой установки дугогасительная камера расположена внутри фарфорового изолятора, на 110 кВ - два разрыва на фазу. В выключателях напряжением 110 кВ и выше после гашения дуги размыкаются контакты отделителя и камера отделителя остается заполненной сжатым воздухом на все время отключенного положения, при этом в дугогасительную камеру сжатый воздух не подается и контакты в ней замыкаются.

В рассмотренных конструкциях воздух подается в дугогасительные камеры из резервуара, расположенного около основания выключателя. Если контактную систему поместить в резервуар сжатого воздуха, изолированный от земли, то скорость гашения дуги значительно увеличится. Такой принцип заложен в основу серии выключателей ВВБ. В этих выключателях нет отделителя. При отключении выключателя дугогасительная камера, являющаяся одновременно резервуаром сжатого воздуха, сообщается с атмосферой через дутьевые клапаны, благодаря чему создается дутье, гасящее дугу. В отключенном положении контакты находятся в среде сжатого воздуха. По такой конструктивной схеме созданы выключатели до 750 кВ.

Количество дугогасительных камер (модулей) зависит от напряжения: 110 кВ - одна; 220, 330 кВ - две; 500 кВ - четыре; 750 кВ - шесть (в серии ВВБК).

Для равномерного распределения напряжения по разрывам используют омические и емкостные делители напряжения. Выключатели серии ВВБ имеют изолированный от земли резервуар сжатого воздуха, внутри которого находится контактная система. Поэтому собственное время отключения этих выключателей сверхвысокого напряжения меньше, чем у выключателей серии ВВ. Давление воздуха в гасительной камере в выключателях ВВ из-за постепенной его подачи к моменту гашения дуги равно примерно половине номинального. В выключателях ВВБ давление воздуха к моменту гашения равно номинальному, поэтому эти выключатели имеют большую мощность отключения.


На рис. 5.5 представлен общий вид выключателя ВВБ-220-12 с номинальным напряжением иНОм = 220 кВ. номинальным током отключения 10.ном = 31,5 кА. номинальным током 1Н0М = 2000 А. Выключатель установлен на раме 1, к которой крепятся шкаф управления 2 и опорный изолятор 3 с двумя металлическими дугогасительными камерами 9. 10, разъединенными промежуточным опорным изолятором 7. Внутри дугогасительная камера содержит два главных контакта, соединенных единой траверсой, и два вспомогательных контакта. Каждый из главных контактов зашунтирован резистором сопротивлением 100 Ом. служащим для облегчения гашения дуги в главных контактах, выравнивания напряжения между разрывами в процессе отключения и снижения скорости восстановления напряжения. Для тех же целей используются и шунтирующие конденсаторы 6. Вспомогательные контакты отключают ток, протекающий через шунтирующие резисторы. Внутри фарфорового опорного изолятора и в промежуточном изоляторе проходят два воздухопровода из стеклопластика 4. Один служит для постоянной подачи сжатого воздуха в дугогасительные камеры, второй - для импульсной подачи сжатого воздуха в систему управления. Камеры снабжены люками 5, предназначенными для проведения ревизии и ремонта контактной и дугогасительной систем. Дугогасительные камеры 9. 10 включены последовательно токоведущей перемычкой 8.

Внутренние полости имеют незначительный перепад давления по отношению к окружающей среде (6-12) • 103 Па. Этим достигается необходимая диэлектрическая прочность по внутренней поверхности фарфоровых элементов, не имеющих прочного глазурованного покрытия. Поэтому все воздушные выключатели должны иметь соответствующее компрессорное хозяйство, обеспечивающее непрерывный расход воздуха (до 1500 л/ч) на вентиляцию.

Воздушные выключатели имеют следующие достоинства: взрыво- и пожаробезопасность, быстродействие и возможность осуществления быстродействующего АПВ, высокую отключающую способность, надежное отключение емкостных токов линий, малый износ дугогасительных контактов, легкий доступ к дугогасительным камерам, возможность создания серий из крупных узлов, пригодность для наружной и внутренней установки.

Недостатками воздушных выключателей являются: необходимость компрессорной установки, сложная конструкция ряда деталей и узлов, относительно высокая стоимость, трудность установки встроенных трансформаторов тока.

Разъединитель

Назначение

Разъединители предназначены для включения и отключения обесточенных участков электрических цепей, находящихся под напряжением, а также заземления отключенных участков при помощи заземлителей. Разъединители также используют для отключения токов холостого хода трансформаторов и зарядных токов воздушных и кабельных линий.

Конструкция

Разъединители серии РГ на напряжения 110 и 220 кВ с нормальным уровнем изоляции по ГОСТ 1516.3 как и разъединители с повышенной электрической прочностью, выполнены с улучшенными эксплуатационными свойствами. Присоединительные размеры новых разъединителей выбраны с учетом возможности установки их на существующие опорные конструкции разъединителей серии РДЗ.

Разъединители представляют собой двухколонковые аппараты с поворотом контактных ножей в горизонтальной плоскости. Разъединители состоят из главной токоведущей системы, опорно-поворотной изоляции, несущей рамы и заземлителей.

Контактные ножи разъединителей выполнены из медных шин (на 110 кВ) или труб (на 220 кВ), к которым закреплены ламели из бронзового сплава. Выводные контакты выполнены с переходными контактными роликами и герметично закрыты. Это обеспечивает стабильное контактное нажатие в течении всего срока службы и небольшие усилия оперирования на рукоятке ручного привода. Контактирующие поверхности разъемного и выводного контактов покрыты серебром.

Разъединители комплектуются высокопрочными фарфоровыми или полимерными изоляторами.

Управление главными контактными ножами разъединителей и заземлителями может осуществляться как электродвигательными приводами ПД-14УХЛ1, так и ручными приводами ПРГ-6УХЛ1. Приводы ПД-14УХЛ1 комплектуются блоками коммутации на базе микровыключателей. Все приводы комплектуются модернизированной электромагнитной блокировкой типа ЗБ-1М с электромагнитным ключом КЭЗ-1М и ключом КМ-1 для аварийного деблокирования.

Разъединители и их основные составные части защищены свидетельствами РФ на полезные модели.

Условное обозначение на напряжение 150, 220 кВ

РГНП.-Х1 -Х2Х3- Х4.II/ Х5-Х6УХЛХ1

Р - разъединитель

Г - горизонтально-поворотный тип

Н - уровень изоляции по ГОСТ 1516.3-96 (в усиленном исполнении индекс не проставляется)

П - с полимерной изоляцией (в исполнении с фарфоровой изоляцией индекс отсутствует)

Х1 - тип установки (К - для килевой установки)

Х2 - количество заземлителей (1 или 2)

Х3 - расположение заземлителей относительно ведущей и ведомой колонок: а - со стороны ведущей колонки, б - со стороны ведомой колонки

Х3 - тип установки (К - для килевой установки, СК - для ступенчато-килевой установки, В - для установки на вертикальной плоскости, ОП - для однополюсной установки)

Х4 - номинальное напряжение 150 или 220 кВстепень загрязнения изоляции по ГОСТ 9920-89 (в исполнении I индекс не проставляется)

Х5 - номинальный ток (1000, 2000 или 3150), А

Х6 - номинальный кратковременный выдерживаемый ток с повышенной стойкостью к воздействию токов к.з. 40, 50, 63 кА (в нормальном исполнении параметр не проставляется)

УХЛ - климатическое исполнение по ГОСТ 15150-69

- категория размещения по ГОСТ 15150-69

Преимущества

Разъединители серии РГ на напряжения 110 и 220 кВ по сравнению с выпускаемыми ранее разъединителями имеют следующие преимущества:

Изоляция разъединителей РГ выдерживает более высокие испытательные напряжения грозового импульса относительно земли и между полюсами, поэтому он может эксплуатироваться и в высокогорных районах.

Контакты главных ножей и заземлителей выполнены с использованием контактных стержней из бронзового сплава, что позволило отказаться от пружин и не требует регулировок контактного нажатия в эксплуатации в течении всего срока службы.

Выводные контакты скользящего типа (вместо гибких связей) с вращением на закрытых шарикоподшипниках качения с заложенной в них долговременной смазкой на весь срок службы и с герметичным уплотнением подшипников и контактов.

В основаниях поворотных колонок установлены закрытые шарикоподшипники с заложенной в них долговременной смазкой и не требующие дополнительной смазки в течении всего срока службы.

Шарниры тяг и валов имеют полимерные вкладыши с низким коэффициентом трения и поэтому не требуют обслуживания.

Увеличена жесткость цоколей.

Предусмотрена возможность бесступенчатой регулировки наклона поворотных оснований с изоляторами для установки захода контактных ножей в разъемных контактах.

Малые моменты на рукоятках приводов при оперировании и стабильные в течение всего срока службы.

Разъединители работоспособны при гололеде до 20 мм, тогда как ранее выпускаемые разъединители допускали оперирование при толщине корки до 10 мм.

Все стальные части разъединителей имеют стойкие антикоррозийные покрытия горячим и термодиффузионным цинком. Контактная система изготовлена из меди с покрытием серебром и оловом.

В комплекты поставок входят соединительные элементы между полюсами, между разъединителем и приводом, сочленяемые в процессе монтажа без применения сварки.

Разъединители поставляются укрупненными узлами (более полная заводская готовность) и, как следствие, имеет меньше затрат при монтаже.

В комплект поставки входит кронштейн для установки приводов, крепящийся к цоколю разъединителя.

Дополнительно может устанавливаться устройство заземления, состоящее из заземлителя, который в отключённом положении располагается вдоль рамы. Во включенном положении заземлитель своим контактными пальцами, входит в сцепление с контактом, установленном на токопроводе. Заземлитель может быть установлен либо у одного из токопроводов, либо у обоих. Универсальность конструкции заземлителя позволяет монтировать его непосредственно на месте установки разъединителя. Заземлитель также может быть легко подвергнут модернизации.

Разрядники

Разрядники РВС-220 вентильные предназначены для защиты от атмосферных перенапряжений изоляции электрооборудования переменного тока частотой 50 и 60 Гц. Изготавливаются для сетей с любой системой заземления нейтрали.

Разрядники РВС соответствуют ТУ 16-521.264-79 и группе III по ГОСТ 16357-83. На разрядник получен сертификат соответствия требованиям безопасности № РОСС RU.МВ02.В00254, выданный ассоциацией "ЭНЕРГОСЕРТ".

Условия эксплуатации разрядников РВС-110, РВС-150, РВС-220

Разрядники РВС предназначены для эксплуатации в районах с умеренным и тропическим климатом при температуре окружающего воздуха:

от -45 до +40° С - для исполнения У1;

от -10 до +50° С - для исполнения Т1;

Высота установки над уровнем моря не более 1000 м;

Относительная влажность воздуха:

при температуре +25° С до 100% - для исполнения У1;

при температуре +35° С до 100% - для исполнения Т1.

Конструкция и работа разрядников РВС

Разрядник РВС состоит из нескольких элементов, каждый из которых содержит блок многократных искровых промежутков (1) и рабочих нелинейных резисторов (2), заключенных в герметично закрытой фарфоровой покрышке (3).

Рабочий резистор разрядника РВС изготовлен из спецмассы "Вилит" и обладает нелинейной вольтамперной характеристикой.

Разрядник РВС устанавливается на изолированном от земли основании (4) для удобства присоединения регистратора срабатывания и для измерения токов проводимости. К крышке верхнего элемента разрядника крепится экранирующее кольцо (5).

Условное обозначение разрядников РВС 110-220

В структуре условного обозначения разрядников РВС-110, РВС-150, РВС-220 принято: Р - разрядник;

В - вентильный;- станционный;

ХХ - номинальное напряжение;

У; Т - климатическое исполнение;

         - категория размещения;


Трансформатор тока. Для наружной установки выпускают трансформаторы тока с масляной изоляцией типа ТФН. Трансформаторы имеют кольцевые магнитопроводы из ленточной стали с навитыми на них вторичными обмотками. Первичная обмотка из многожильного провода проходит через отверстия магнитопровода. Эту конструкцию называют звеньевой или восьмерочной. Магнитопровод с обмотками помещен в фарфоровый изолятор, заполненный маслом. Первичная обмотка состоит из двух секций, которые переключаются параллельно или последовательно.

ТФНД220-1 - малогабаритный; первичная обмотка состоит из четырех секций, соединяемых параллельно (на 1200 А), параллельно-последовательно (на 600 А) или последовательно (на 300 А), вторичная обмотка состоит из четырех сердечников.

Трансформаторы тока ТФЗМ110 Б, ТФЗМ150Б, ТФЗМ150А, ТФЗМ220Б на номинальные токи до 2000 А, их применяют в открытых распределительных устройствах сетей с эффективно заземленной нейтралью. Первичная обмотка представляет собой петлю и имеет две секции при первичном напряжении 110 и 150 кВ и четыре секции на напряжении 220 кВ, соединяемые последовательно, последовательно-параллельно или параллельно, благодаря чему трансформаторы можно включать на различные токи. Вторичная обмотка при первичном напряжении 110 кВ состоит из трех обмоток, а при напряжении 150, 220 кВ - из четырех обмоток, изолированных друг от друга и заключенных в общую бумажную изоляцию. Две или три из них класса точности 10Р предназначены для защиты, одна класса точности 0,5 - для измерения. Маслорасширитель установлен на фарфоровой покрышке и обеспечивает необходимый уровень масла под обмоткой при колебаниях температуры. Наиболее характерной особенностью ТТ наружной установки является то, что они подвергаются воздействию климатических факторов.

Как правило, ТТ наружной установки располагаются в открытой части распределительных устройств, на специальных фундаментах или площадках. На эти аппараты (кроме специальных, предназначенных, например, для установки на транспортных средствах) в меньшей степени воздействуют механические факторы. Правда, при установке ТТ в сейсмических районах необходимо уделять внимание вопросам сейсмостойкости, но это в большей мере относится к конструкциям фундаментов и закреплению на них аппаратов.

Опорный трансформатор тока ТФНД-220 наружной установки

Традиционным материалом для наружной изоляции ТТ наружной установки является фарфор. В последние годы начали появляться ТТ наружной установки с литой изоляцией, в качестве которой используется, как правило, компаунд на основе цикло - алифатической эпоксидной смолы.

Особенностью компаунда на основе циклоалифатической смолы является повышенная эрозионная стойкость к ультрафиолетовому излучению и стойкость к образованию науглероженных проводящих следов под действием электрического разряда (трекинго - стойкость). Трекингостойкость циклоалифатического компаунда на основе смолы УП-644 более чем в 300 раз выше, чем у компаунда, применяемого для изготовления ТТ внутренней уста­новки.

Однако/конструкции ТТ наружной установки с ЛИЗ в настоящее время отечественной промышленностью не выпускаются и в этой книге не рассматриваются.

С точки зрения внутренней изоляции различают ТТ с бумажно - масляной и бумажно-конденсаторной изоляцией. Последняя позволяет лучше распределить потенциал по толщине изоляции и существенно уменьшить ее толщину.

В обозначении типа ТТ зашифрованы отличия в местоположении основного количества бумажной изоляции: на первичной обмотке, на вторичных или между первичной и вторичными. Буква, следующая за буквой Ф в обозначении типа, означает: 3 - звеньевого типа с изоляцией, распределенной между первичной и вторичными обмотками; Р - рымовидного типа с изоляцией, расположенной на вторичных обмотках; У - U-образного типа с изоляцией на первичной обмотке.

Поскольку все ТТ наружной установки относятся к конструкциям опорного типа, описание их следует в порядке возрастания класса напряжения. Ввиду ограниченного объема книги приведено описание наиболее характерных типов трансформаторов.

Заключение

При выполнении курсового проекта был произведен выбор шин и расчет жесткой ошиновки для ОРУ 220 кВ, расчет защитного заземления.

Список используемой литературы

.       ПУЭ - 7 издание

2.      В.И.Крупович. Справочник по проектированию электроснабжения. М.: Энергия. 1980г. 456 с.

.        Л.Д.Рожкова. Электрооборудование электрических станций и подстанций. М.: Академия. 2004г. 448с.

.        В.В.Яковлев, А.Н.Емцев, Н.А.Карпова. Прикладная механика. Братск. Изд-во БрГУ, 2013г. 132с.

Выбор аппаратуры ОРУ-220

. Выбор высоковольтных выключателей

Таблица 1

Расчетные величины

Каталожные данные выключателя типа ВВБ-220 40/2000ХЛ1

Условия выбора

Uуст=220 кВ

Uн=220 кВ

Uуст≤Uном

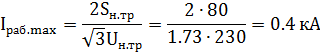
Iраб.форс=628 А

Iном=2000 А

Iраб.форс≤ Iном

I’’=0,628 кА

Iпр.с=40 кА

I’’≤ Iпр.с

iуд=40 кА

iпр.с=102 кА

iуд≤ Iпр.с

Iп=0,628 кА

Iоткл.н=40 кА

Iп≤ Iоткл.н

Bк=17,84 кА2×с

Itнtтн=99,225 кА2×с

Bк≤ Itн2×tтн


. Выбор разъединителей

Разъединители выбираются по длительному номинальному току и номинальному напряжению с обязательной проверкой на термическую и динамическую устойчивость.

Таблица 2

Расчетные величины

Каталожные данные разъединителя типа РНД-220Т/800

Условия выбора

Uуст=220 кВ

Uн=252 кВ

Uуст≤Uном

Iраб.форс=628 А

Iном=800 А

Iраб.форс≤ Iном

I’’=0,628 кА

Iпр.с=80 кА

I’’≤ Iпр.с

iуд=40 кА

iпр.с=100 кА

iуд≤ Iпр.с

Bк=17,84 кА2×с

Itнtтн=640 кА2×с

Bк≤ Itн2×tтн


. Выбор трансформаторов тока и трансформаторов напряжения

Таблица 3

Выбор трансформаторов тока

Расчетные величины

Каталожные данные ТТ типа ТФНД-220-I-ХЛ

Условия выбора

Uуст=220 кВ

Uн=252 кВ

Uуст≤Uном

Iраб.форс=628 А

Iном=700 А

Iраб.форс≤ Iном

S2=13 ВА

S2н=20 ВА

S2≤ S2н

iуд=40 кА

iдни=60 кА

iуд≤ iдни

Itнtтн=51,03 кА

Bк≤ Itн2×tтн


Таблица 4

Подсчет нагрузки ТТ

Прибор

 Тип прибора

Нагрузка ТТ, ВА



Фаза А

Фаза В

Фаза С

Ваттметр

СР3020

0,5

-

0,5

Ваттметр

СР3020

0,5

-

0,5

Счетчик активной энергии

И680

2,5

-

2,5

Амперметр регистрирующий

М42408

-

10

-

Ваттметр регистрирующий

Ц42303

10

-

10

Ваттметр щитовой

Д8002

0,5

-

0,5

Итого:


14

10

14


Находим Zприб.:

.

Зная вторичное сопротивление ТТ Rвтор.=1.2 Ом, находим сопротивление соединительных проводов:

,

и определяем их минимальное сечение:

,

где lрасч - расчётная длина проводов

(для цепи РУ 220 кВ lрасч =100 м);

ρ=0,0283 Ом·мм2/м - удельное сопротивление алюминия.

Нагрузка вторичной цепи: .

Соединительные провода для ТТ выбираем с номинальным сечением

Таблица 5

Выбор трансформаторов напряжения

Расчетные величины

Каталожные данные ТН типа НКФ-220-58

Условия выбора

Uуст=220 кВ

Uн=230 кВ

Uуст≤Uном

S2=72 ВА

S2н=2000 ВА

S2≤ S2н


Таблица 6

Прибор

Тип

Потр. мощн.

Число катушек

Cosj

Sinj

Число приб.

Общая потребляемая мощность








Р, Вт

Q, кВА

Вольтметр

ЭЗ65-1

2

1

1

0

1

2

-

Вольтметр

ЭЗ65-3

1,5

2

1

0

2

6

-

Вольтметр

ЭЗ65-3

1,5

2

1

0

1

3

-

Датчик акт. мощн.

Е-829

10

-

1

0

1

10

-

Датчик реакт.мощн.

Е-380

10

-

1

0

1

10

-

Счетчик активной энергии

M660.2

2

2

0,38

0,922

1

4

9,7

Ваттметр регистрир.

Ц42303

10

2

1

0

1

20

-

Вольтметр регистр.

ЭЗ65-3

10

1

1

0

1

10

-

Частотомер

FCA-3003

3

1

1

0

2

6

-

Итого:







71

9,7


Расчетную мощность с учетом коэффициентов мощности приборов определяют по формуле:


4.Выбор ограничителей перенапряжения.

Тип ОПН

Uсети,кВ

Uнаиб.раб.кВ

Iном.разр.,кА

ОПН-П1-220/172/10/2III(IV)УХЛ1

220

172

10


Ограничители перенапяжений нелинейные (ОПН) представляют собой разрядники без искровых промежутков, в которых используются высоконелинейные резисторы (варисторы), изготовленные на базе окиси цинк (ZnO).

Похожие работы на - Жесткая ошиновка открытых распределительных устройств станций и подстанций

 

Не нашли материал для своей работы?
Поможем написать уникальную работу
Без плагиата!
Без нейросетей!