Создание лабораторно-опытного образца установки с использованием теплового насоса
МИНИСТЕРСТВО ВЫСЩЕГО И СРЕДНЕГО
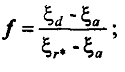
СПЕЦИАЛЬНОГО
ОБРАЗОВАНИЯ РЕСПУБЛИКИ УЗБЕКИСТАН
БУХАРСКИЙ ТЕХНОЛОГИЧЕСКИЙ ИНСТИТУТ
ПИЩЕВОЙ
И ЛЕГКОЙ ПРОМЫШЛЕННОСТИ
"Создание лабораторно-опытного
образца установки с использованием теплового насоса"
А 520713 "Машины и агрегаты
пищевой промышленности"
ДИССЕРТАЦИЯ
на соискание академический степени
Магистр
Киличев Нозим
Научный руководитель
д. т. н. Джураев Х.Ф.
Бухара 2010
Оглавление
Введение
Глава 1. Теория и практика принципа работы тепловых насосов
1.1 Принцип работы бытовых и хозяйственных тепловых насосов
1.2 Конструкции и принципы работы парокомпрессионных насосов
1.3 Развитие тепловых насосов
Глава 2. Теоретические основы холодильные машины, их экологическая
и экономическая перспективность
2.1 Основы термодинамики растворов, принцип действия абсорбционной
холодильной машины
2.2 Теоретический цикл в диаграмме абсорбционно-водоаммиачных
холодильных машин
2.3 Влияние параметров внешних источников на процессы и
эффективность работы абсорбционных водо-аммиачных холодильных машин
2.4 Высокоэффективные абсорбционные водоаммиачные холодильные
машины
Глава 3. Методика расчета основных теплообменных аппаратов
абсорбционных холодильных машин
3.1 Методика расчета тепловых установок и их основные
конструкционные параметры
3.2 Методика расчета коэффициентов теплопередачи
3.3 Методика определения числа ректификационных тарелок для
выпарных элементов
3.4 Методика расчета цикла абсорбционного теплового насоса
Глава 4. Исследование применения и расчет тепловых насосов в схеме
сушильно-холодильной установки
4.1 Расчет и проектирование абсорбционно-холодильной машины
применяемого в сушилно-холодильной установке
4.1.1 Тепловой расчет абсорбционно - холодильной машины
4.1.2 Расчет процессов парогазового кругооборота машины
4.2 Выбор параметров процессов водоаммиачного цикла машины
4.2.1 Расчет процессов водоаммиачного цикла машины с выравнивающим
газом
4.2.2 Коэффициенты холодильной машины
4.2.3 Определение тепловых нагрузок или производительности
аппаратов
4.3 Тепловой расчет и конструирование аппаратов
абсорбционно-диффузионной холодильной машины
4.3.1 Расчет испарителя
4.3.2 Расчет конденсатора
4.3.3 Расчет абсорбера
Выводы
Список литературы
Введение
Проблема энергосбережения в настоящее время имеет большое
значение, в первую очередь в связи с ограниченностью природных ресурсов,
неравномерным их распределением, а также в связи с всё возрастающим техногенным
загрязнением окружающей среды, частью которого являются тепловые сбросы
нефтегазовых и холодильных машин.
Уменьшение вредного влияния на окружающую среду может быть
достигнуто развитием холодильных систем и тепловых насосов (ТН), как при их
создании, так и в процессе эксплуатации.
В области холодильной техники к энергосберегающим системам
относятся теплоиспользующие абсорбционные холодильные машины и тепловые насосы.
Абсорбционные холодильные машины работают, потребляя энергию
в виде теплоты, причём в ряде случаев используются так называемые вторичные
тепловые ресурсы, такие, как тепловые сбросы тепловых электрических станций,
тепловые отходы химических предприятий и др.
При выработке холода абсорбционными холодильными машинами,
работающими с использованием вторичных тепловых ресурсов, полностью сберегается
тепло, которое в противном случае было бы затрачено на производство электроэнергии,
необходимой для привода электродвигателей компрессоров. Энергосберегающий
эффект в виде экономии топлива проявляется при работе абсорбционных холодильных
машин от незагруженных теплофикационных отборов тепловых электрических станций.
Одним из назначений абсорбционной холодильной машины при этом является
получение холодной воды в режиме кондиционирования воздуха.
Тепловой насос, изобретение одной из форм которого
принадлежит лорду Кельвину, термодинамически идентичен холодильной машине.
Большинство квартир, пищевых складов и крупных общественных зданий в
промышленно развитых странах оборудовано холодильниками и воздушными
кондиционерами. Принципиальное отличие теплового насоса от холодильника состоит
в той роли, которую он играет у потребителя. Холодильники и воздушные
кондиционеры предназначены для охлаждения, тогда как тепловой насос - для
нагрева.
Имеется множество конструкций тепловых насосов, большая часть
из них конструирована несколькими десятилетиями ранее. Литература по
термодинамике, кондиционированию и даже промышленной технологии пестрит
упоминаниями тепловых насосов, число действующих агрегатов семизначно. Однако
принцип действия тепловых насосов для некоторых до сих пор таит изрядную долю
тайны, и одна из главных целей проводимых исследований состоит в преодолении
существующего барьера к его пониманию и применению.
Основной целью диссертационной работы является
исследование применения теплового насоса в принципиальной схеме
сушильно-холодильной установке.
Для достижения поставленной цели в работе сформулированы и
решены следующие конкретные задачи исследования:
исследование принципиальной схемы и выявление возможности
применения теплового насоса в сушилно-холодилной установке;
разработка принципиальной схемы лабораторной сушилно-холодильной
установки.
В результате проведенных теоретических и экспериментальных
исследований получены следующие научные результаты:
выявлено возможность применения теплового насоса в качестве
генератора тепла и холода в схеме сушилно-холодильной установки;
определено снижение удельного расхода энергии на единицу
продукции.
Практическая значимость результатов диссертации
заключается в разработке эффективной схемы сушилно-холодильной установки с
применением теплового насоса. В диссертации приведены принципиальные схемы,
принципы работы, особенности тепловых насосов. Результаты исследований могут
быть использованы инженерно-техническими и научными работниками различных
отраслей промышленности, а также магистрами и бакалаврами в учебном процессе.
Структура и объем диссертации. Диссертационная работа
состоит из введения, трех глав, вывода, списка использованной литературы,
состоящего из 34 наименований. Диссертационная работа изложена на 80 страницах
машинописного текста и включает 21 рисунков и 2 таблиц.
тепловой насос холодильная установка
Глава 1.
Теория и практика принципа работы тепловых насосов
Среди различных типов ТН наибольшее распространение получили
парокомпрессионные. Единичные мощности составляют от нескольких ватт до
нескольких мегаватт, привод компрессоров осуществляется как электродвигателями,
так и тепловыми двигателями внутреннего и внешнего сгорания. Разнообразны также
и типы применяемых компрессоров.
Единственное досадное обстоятельство связано с надежностью
тепловых насосов. Опыт конца 50-х и начала 60-х годов в США и Европе выявил
поломки отдельных частей и относительно высокую стоимость агрегатов, что
породило разочарование в тепловых насосах. Теперь трудности в основном
преодолены - надежность вместе с обслуживанием на дому стали основными факторами,
обеспечивающими продажу агрегатов. В связи с важностью проблемы надежности
специальная глава посвящена проблемам конструирования.
Развитие тепловых насосов особенно продвинулось под влиянием
энергетических трудностей 1973 г. Благодаря возможности экономии энергии, что
является основным назначением теплового насоса, их применение расширилось. Они
используются в жилых и общественных зданиях, а также в промышленности. Развитие
тепловых насосов становится предметом деятельности национальных правительственных
и международных организаций.
.1 Принцип
работы бытовых и хозяйственных тепловых насосов
Тепловые насосы в настоящее время все быстрее и глубже
внедряется в производство, в быт и хозяйственную деятельность человека. Это
выражается в том, что ТН есть почти в каждой квартире. Это бытовой холодильник.
Его агрегат выкачивает тепло из объема холодильного шкафа в комнату. По такому
же принципу работает и отопительный тепловой насос. Теория ТН изложена в
описании термодинамического цикла Карно еще в 1824 году. Хладагент (фреон)
перемещается компрессором по замкнутому контуру, состоящему из испарителя,
конденсатора и клапана.
Сжатый компрессором в конденсаторе (горячая решетка на задней
стенке простейшего холодильника) хладагент переходит из газообразного в жидкое
состояние при высоком давлении и температуре. Далее через дросселирующий клапан
он продавливается в испаритель (обмерзшая панель внутри холодильника), где тем
же компрессором создается низкое давление. При резком падении давления после
клапана хладагент активно кипит, переходя в газообразную фазу с резким
уменьшением температуры (для ТН до - 8°С и ниже). Таким образом, производится
перенос тепла из объема, в котором расположен испаритель, в объем, который
занимает конденсатор. В тепловых насосах эти объемы выполняются в виде
теплообменников. В первый подается относительно теплый носитель от низкотемпературного
источника тепла (НТИ), второй включается в контур системы отопления.
Теоретически несложно в теплое время года, поменяв местами
испаритель и конденсатор ТН, использовать его для охлаждения здания. В качестве
НТИ может использоваться наружный воздух при условии, что его температура
превышает температуру кипения хладагента в испарителе; грунтовые, либо воды из
незамерзающих водоемов; земля, тепло из которой переносится в теплообменник ТН
раствором, циркулирующим по трубам, уложенным в земляной коллектор, либо
опущенным в скважины-зонды; технологические сбросы предприятий в жидком или
газообразном состоянии.
Рис. 1.1 Принципиальная схема теплогенерации из грунтовых вод
Рис. 1.2 Принципиальная схема теплогенерации из окружающего
(наружного) воздуха
Главная характеристика эффективности ТН - коэффициент
преобразования (СОР), или коэффициент мощности, равный отношению
теплопроизводительности ТН, или тепловой мощности к мощности его компрессора
(потребляемой). В зависимости от используемого НТИ и конструкции отопительного
теплообменника различают следующие типы ТН:
"воздух--воздух", к которым относятся обычные
кондиционеры и те же холодильники;
"воздух-вода" - относительно недорогой вариант, не
требующей сооружения сложной системы наружных сооружений.
Недостаток - падение коэффициента преобразования с понижением
температуры воздуха (СОР = 3-3,6);
"вода-вода" - наиболее эффективный вариант
(СОР = 5,4 - 6,4). Недостаток - нужно наличие незамерзающего
водного источника;
"рассол--вода" с грунтовыми коллекторами, либо
зондами. (В трубы,
проложенные в земле, на всякий случай подается незамерзающий
раствор - рассол). Наиболее универсальный вариант. Недостаток - требует
значительных затрат на сооружение земляного коллектора (1 м. п. уложенной трубы
- 20 - 30 Вт тепла), либо еще больших затрат на сверление скважин для грунтовых
зондов (1 м. п. скважины - 40--60 Вт тепла).
Рис. 1.2 Принципиальная схема теплогенерации при использования
земляных зондов и коллекторов
Один из первых успешно работавших домашних тепловых насосов
установил в своем доме Сампер [10] - конструктор описанной выше установки в
Норвиче. Одноэтажный дом имел хорошую теплоизоляцию и полностью отапливался
тепловым насосом. Сначала, в первые годы эксплуатации, источником тепла был
воздух, а затем - подземный теплообменник, использовавший тепло грунта па
глубине около 1 м. В комнаты тепло поступало по медным трубкам, вмонтированным
в бетонный пол. Коэффициент преобразования составляет 2,8, и установка
нормально работает в настоящее время.
В 50-е годы было выпущено много мелких тепловых насосов домашнего
применения. Наиболее подробно описан холодильник-нагреватель Феррапти [11],
осуществляющий одновременно охлаждение пищевой кладовой и подачу отведенного
тепла при повышенной температуре для нагрева воды. Аккумулятором тепла служил
бак на 136 л, нагреваемый зимой мощностью 0,7 кВт и летом в жаркие месяцы
мощностью 1,3 кВт,
Мощность компрессора 400 Вт, температура кладовки снижается в
среднем на 11° С. Интересно, что установка стоила 141 фунт стерлингов, но она
была в то время отнесена к предметам роскоши и на нее произведена наценка на
60%, что отпугнуло возможных покупателей. Однако те установки, что были
проданы, работали хорошо.
1.2
Конструкции и принципы работы парокомпрессионных насосов
Тепловой насос VITOCAL 300
<#"866256.files/image005.gif">
Рис. 1.3 Производство тепловых насосов в США: I - ранний период
роста; II - период переоценки; III - период быстрого роста.
вдвое больше и в 1957 г. - в 10 раз больше. В 1963 г. было
выпущено уже 76 000 агрегатов, причем большинство из них установлено в южных
штатах, где требуется летнее охлаждение и отопление зимой. Такие тепловые
насосы успешно конкурируют с обычными котлами, дающими только тепло.
Проблемы возникли, когда эти установки начали применять в холодных
северных штатах и выявился их недостаточный ресурс. За агрегированными тепловыми
насосами установилась репутация ненадежных устройств. Это привело к прекращению
роста выпуска в начале 60-х годов вплоть до 1971 г., когда снова начался их
рост (рис. 1.3).
Интерес к тепловым насосам никогда не был так велик, как в
настоящее время. В Европе, Японии и США выпускают установки для теплоснабжения
квартир, общественных зданий и промышленных процессов. Международное
энергетическое агентство и Европейское экономическое сообщество выдвинули
крупные программы развития тепловых насосов с демонстрацией новых конструкций и
способов применения. В ближайшие годы на рынке появятся совершенно новые
тепловые насосы для домашнего применения, использующие газ вместо
электроэнергии. Расширится применение тепловых насосов в промышленности с
вытеснением обычных сушилок. Тепловые насосы позволяют нам использовать энергию
более эффективно и восстанавливать сбросную энергию, чем определяется их важная
роль в сохранении наших энергетических ресурсов.
Глава 2.
Теоретические основы холодильные машины, их экологическая и экономическая
перспективность
Анализ работы компрессионной и абсорбционной холодильных
машин показал, что в данных условиях абсорбционная холодильная машина работает
более эффективно.
Использование абсорбционных холодильных машин для
кондиционирования и теплоснабжения дало возможность осуществить их
круглогодичную загрузку, упростить системы хладо- и теплоснабжения, создать
экономичные, безопасные и малошумные машины.
На уровень эффективности холодильной системы оказывает
влияние ряд факторов, непосредственно связанных с эксплуатацией. С одной
стороны, это факторы, обусловленные конструкцией системы (надёжность, уровень
автоматизации и др.), с другой - её влияние на окружающую среду.
Эксплуатационные показатели абсорбционной холодильной машины,
связанные с надёжностью и уровнем автоматизации, выше, чем у компрессионной,
т.к. надёжность компрессионной холодильной машины в значительной степени
определяется надёжностью механического компрессора.
Степень отрицательного влияния абсорбционной холодильной машины
на окружающую среду выявляется в результате анализа факторов, оказывающих
вредное воздействие на природу со стороны холодильной техники в целом.
К числу этих факторов относятся: тепловые сбросы, шум и
вибрация, загрязнение воды, утечки холодильного агента и масла.
Рассмотрим эти факторы подробнее.
Тепловые сбросы - это тепло, которое, по второму закону
термодинамики, отводится в конденсаторе холодильной машины, причем та часть
тепла конденсации, которая связана с затратами энергии на сжатие холодильного агента,
составляет долю техногенной теплоты, поступающей в биосферу.
При строгом экологическом анализе требуется решать
оптимизационную задачу с учетом таких факторов, как уменьшение теплового сброса
за счет сокращения разности температур в аппаратах, но при одновременном
увеличении тепловых сбросов при изготовлении холодильных машин большой
материалоемкости; улучшение качества теплоизоляции охлаждаемых объектов, но при
увеличении ее стоимости.
Дальнейшее совершенствование абсорбционных холодильных машин,
обеспечение возможности их работы от источников теплоты всё более низкого
потенциала может в перспективе привести к значительному снижению теплового
загрязнения окружающей среды.
Шум и вибрация - распространение в окружающую среду
механических колебаний, возникающих при работе холодильной машины. С
энергетической точки зрения вибрация и шум переходят в конце концов в теплоту,
и, хотя это тепло крайне незначительно, виброшумовые загрязнения окружающей
среды нельзя исключать из числа факторов, вредно влияющих на организм человека.
Исходя из принципа, заложенного в основу работы абсорбционной
холодильной машины, можно утверждать, что она обладает наиболее благоприятными
виброакустическими характеристиками.
Загрязнение воды - фактор, связанный с прямоточным водоснабжением,
которое еще находит применение ввиду наименьшей стоимости, однако ведет к
ухудшению качества воды. На практике в подавляющем большинстве случаев
осуществление мероприятий, позволяющих пользоваться водой для охлаждения
элементов холодильной машины без ухудшения ее качества, требует больших
экономических затрат. При возрастании ценности водных ресурсов в дальнейшем эти
экономические затраты будут оправданы обеспечением сохранности потребительских
свойств воды.
Утечки холодильного агента и смазочного масла при правильном
исполнении и грамотной эксплуатации холодильной установки могут быть устранены,
за исключением тех. которые связаны с конструктивными особенностями ее
элементов.
В целом загрязнение рабочими веществами окружающей среды со
стороны холодильной техники невелико, особенно по сравнению с другими
промышленными отраслями.
Однако в настоящее время экологами серьезно ставится вопрос о
попадании в атмосферу хлоросодержащих фреонов. что связано с риском уменьшения
плотности жизненно важного для планеты озонового слоя в стратосфере.
В соответствии со скорректированной версией Монреальского
протокола с 1 января 1996 г, запрещено применение озоноопасного хладагента R
12. Проблема альтернативных хладагентов рассматривается не только с точки
зрения озоноопасности, но и с точки зрения влияния на глобальнее потепление
климата.
В качестве альтернативных "натуральных" хладагентов
на одном из первых мест стоит аммиак для использования в холодильных установках
мощностью более 20 кВт. Ожидается применение аммиака в перспективе в малых
холодильных машинах для коммерческих установок, в том числе абсорбционных.
2.1 Основы
термодинамики растворов, принцип действия абсорбционной холодильной машины
В составе абсорбционной холодильной машины роль компрессора
выполняется системой абсорбер-генератор. При этом процессы, связанные с
работой компрессора, осуществляются с помощью растворов, состоящих из двух или
трех компонентов.
В холодильной технике это, как правило, раствор, состоящий из
двух (бинарный) компонентов с различными температурами кипения при одинаковом
давлении. Один компонент, с более низкой температурой кипения, является
холодильным агентом, другой - абсорбентом (поглотителем).
Раствор, обеспечивающий процессы в абсорбционной холодильной
машине, носит название её рабочего вещества (тела).
К рабочим веществам абсорбционных холодильных машин
предъявляются два основных требования:
полная взаимная растворимость компонентов;
значительное различие величин нормальных температур кипения
компонентов.
Наибольшее применение в холодильной технике получили
абсорбционные холодильные машины, работающие на растворах вода-аммиак
(водоаммиачные), вода-бромистый литий (бромистолитиевые). В водоаммиачных
холодильных машинах холодильным агентом является аммиак, в бромистолитиевых -
вода.
Раствор при совершении цикла абсорбционной холодильной машины
меняет свое состояние.
Для определения состояния двухкомпонентных систем наряду с
заданием таких параметров, как температура, давление необходимо также иметь
данные о концентрации компонентов.
Концентрацией называется содержание одного из компонентов в
единице количества смеси.
Для расчетов процессов, протекающих в абсорбционных
холодильных машинах, удобно применять диаграммы энтальпия-концентрация. Концентрацию
при этом выражают массовыми долями
Рабочие вещества представляют две группы смесей: раствор
аммиака в воде относится к первой группе, в нем оба компонента являются
летучими; раствор бромистого лития в воде относится ко второй группе, в нем
абсорбент (бромистый литий) характеризуется практически нулевой летучестью. В
паровой фазе растворов первой группы присутствуют оба компонента, а во второй -
только один.
Температура насыщения зависит от концентрации раствора и
изменяется, возрастая от температуры насыщения первого чистого компонента до
температуры насыщения второго чистого компонента. На рис. 2.1 представлены
диаграммы и состояния раствора первой (а) и второй (б) групп. Диаграмма
строится в соответствии с законом Рауля и
законом Кирхгофа.
Согласно закону Рауля давление насыщенного пара над раствором
зависит от состава раствора, а энтальпия прямо пропорциональна температуре.
Для растворов первой группы в соответствии с первым законом
Коновалова пар, находящийся в равновесии с жидкостью, богаче тем из
компонентов, добавление которого к жидкости снижает температуру кипения смеси
или повышает давление насыщенного пара над ней при постоянной температуре,
таким образом, пар над раствором обогащен более летучим компонентом.
Как видно из диаграммы (а), изотерма в области влажного пара имеет
наклон, следовательно, в паре холодильного агента больше, чем в жидкости.
Обычно в этой области изотермы не наносятся. Для их построения имеется
вспомогательная кривая (указана штрихами). Точка М определяет произвольное
состояние влажного пара в процессе кипения, когда кипящая жидкость и насыщенный
пар имеют температуру t1и концентрации соответственно
и
Изобарное равновесие в
диаграмме для веществ второй группы (рис. 2.1, б) в общих чертах
аналогично. Существенным отличием является то, что паровая фаза содержит только
один летучий компонент, поэтому линия равновесия пара и жидкости лежит на оси
энтальпий. Следует обратить внимание на то, что на рис.2.1, б диаграмма не
имеет области ξ=1. Это
объясняется тем, что пар не имеет в своём составе нелетучего компонента,
поэтому полный переход раствора с начальной концентрацией ξа в паровую область невозможен.
При сравнении диаграмм "а" и "б" очевидно, что
они являются как бы зеркальным отражением друг друга.
Причина заключается в том, что для водоаммиачного раствора
массовая концентрация определяется по содержанию легкокипящего компонента
(аммиака), а для водного раствора бромистого лития - по поглотителю (бромистому
литию).
Перед рассмотрением отдельных процессов двухкомпонентных систем
следует отметить следующее:
как и для чистых веществ, методики нахождения таких
термодинамических характеристик двухфазных сред, как энтальпия, энтропия и
удельный объем аналогичны (различие состоит лишь в том, что для каждой из фаз
эти величины при р=const и однокомпонентной среде не изменяются, а при
двухкомпонентных - зависят от концентрации, что следует из правила Гиббса,
поэтому процессы фазового перехода для неазеотропных систем происходят при
переменной температуре);
общие закономерности термодинамики, которые не зависят от природы
вещества, справедливы и для многокомпонентных систем:
термодинамическое состояние многокомпонентных систем описывают,
применяя уравнения состояния, которые имеют дополнительные параметры
концентрации компонентов.
Для изобарных процессов переноса теплоты общей закономерностью
является равенство переданной теплоты и изменения полных энтальпий внутренней
системы.
Поэтому для процесса нагрева 1 кг ненасыщенного раствора с
концентрацией ξA от температуры tA до
температуры tF

(2-1)
Дальнейший нагрев раствора также происходит при переменной температуре,
но характер изменения температур другой, так как происходит процесс
парообразования. Различие составов паровой и жидкой фазы при сохранении общей
концентрации системы приводит к тому, что с увеличением паросодержания
уменьшается концентрация в жидкости легкокипящего компонента. Например, для
точки М концентрация раствора составит ξF1 и количество теплоты, подведенной извне,
(2.2)
В состоянии Е для системы, представленной на рис. 1.1а,
весь раствор превратится в пар. Дальнейший нагрев этой системы приведет к
образованию перегретого пара (точка G):
(2.3)
Для системы, представленной на рис. 2.1 б, процесс происходит до
определенной максимальной температуры кипения tmax. Этой
температуре соответствует максимальная концентрация раствора.
Процессы охлаждения и конденсации происходят в направлении,
обратном нагреву и кипению, с последовательностью процессов, представленных на
рис. 1.1, а:
G-E - охлаждение
пара до состояния насыщения;
E-F - конденсация
при переменной температуре;
F-A - охлаждение
раствора.
Аналогично на рис. 1.1, б:
E-F - конденсация
при переменной температуре; F-A - охлаждение раствора.
В абсорбционных холодильных машинах процессы кипения осуществляют
для разделения раствора на паровую и жидкую фазы (десорбция).
Паровая фаза веществ второй группы содержит чистый компонент. В
этом случае простым выпариванием с разделением паровой и жидкостной фаз
получают чистый холодильный агент.
Для веществ первой группы (рис. 2.1, а) из раствора с
концентрацией ξF1 нельзя получить в процессе кипения пар с концентрацией выше ξD1
Рис. 2.1 Изображение изобарного равновесия в
диаграмме: а - вещество первой группы; б
- вещество второй группы
Повышение концентрации пара можно достигнуть, если парожидкостную
смесь состояния М разделить, отводя пар из обогреваемой части
генератора, а затем провести процесс конденсации D1-K,
что обеспечит концентрацию пара ξD2>ξD1. Повышение концентрации пара достигается в процессе
ректификации. Ректификацией называется процесс обогащения паровой фазы одной
или несколькими компонентами, основанный на фазовых превращениях гетерогенной
системы с различным составом паровой и жидкой фаз.
Обычно ректификацию выполняют жидкостью, подаваемой на испарение в
генератор. Паровая фаза после разделения подается в ректификатор, где
промывается жидким раствором. В результате происходящего тепло- и массообмена
пар охлаждается и обогащается легкокипящим компонентом при сопутствующем
нагреве и разбавлении раствора. Процессы изменения состояния пара и жидкости
происходят за счёт внутреннего теплообмена без дополнительных затрат на
охлаждение и нагрев. Дальнейшее обогащение паровой фазы холодильным агентом
(укрепление пара) происходит в дефлегматоре за счет отвода тепла конденсации
водой.
В процессе абсорбции происходит поглощение паров холодильного
агента жидкими поглотителями (абсорбентами). Считается, что абсорбция включает
в себя два процесса - смешение жидкой и паровой фаз и поглощение пара
жидкостью.
Для полной абсорбции паровой фазы необходимо, чтобы раствор,
поступающий в абсорбер, находился в переохлажденном состоянии, и его было
значительно больше, чем поглощаемого пара. С этой целью предусмотрен отвод
тепла в абсорбере.
Анализ процессов, протекающих в абсорбционной холодильной машине,
позволяет сформулировать принцип ее действия.
Эффект охлаждения в абсорбционной холодильной машине достигается
вследствие трансформации тепла нагрева путем совмещения прямого цикла
преобразования его в работу и обратного цикла - получения холода с затратой
работы.
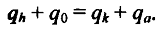
В осуществлении цикла машины участвуют три источника тепла:
нагреватель, окружающая среда и охлаждаемый объект.
На рис. 2.2 представлена схема абсорбционной холодильной машины,
которая может работать на бинарных смесях, как первого, так и второго типа.
Раствор с большим содержанием легкокипящего компонента,
образующийся в абсорбере, поступает в насос при давлении кипения, где его
давление повышается до давления конденсации. За счёт работы насоса к раствору
подводится тепло qн. Концентрация раствора при этом не
изменяется. Из-за несжимаемости жидкости энтальпия раствора до и после насоса
остаётся постоянной. В рекуперативном теплообменнике раствор подогревается и с
неизменной концентрацией подается в генератор. В генераторе при подводе тепла qh
от греющего источника раствор кипит, его концентрация по легкокипящему
компоненту уменьшается.
Рис. 2.2 Схема абсорбционной холодильной машины: 1 - генератор; 2
- абсорбер; 3 - теплообменник; 4 - насос; 5 - конденсатор; 6 - испаритель
В абсорбционной машине, работающей на бинарных смесях первого
типа, образующийся пар подвергается очистке в процессе ректификации,
происходящей в специально предусмотренной для этого части генератора.
Пар из генератора направляется в конденсатор, где сжижается при
давлении Рк и отводе тепла конденсации qk. Затем
жидкость дросселируется в регулирующем вентиле РВ-1. При этом давление
снижается от Рк до Р0 Процесс
дросселирования происходит при постоянной энтальпии и концентрации. Холодильный
агент переходит из состояния переохлажденной жидкости в состояние влажного пара
и поступает далее в испаритель, где кипит при подводе тепла q0 от
охлаждаемого объекта. Поток пара из испарителя направляется в абсорбер. Туда же
поступает раствор из генератора после охлаждения в теплообменнике и
дросселирования в регулирующем вентиле РВ-2. В абсорбере происходит поглощение
пара раствором при отводе тепла qa. Концентрация по
легкокипящему компоненту повышается, и на этом цикл замыкается.
Таким образом, можно считать, что абсорбер является всасывающей
стороной компрессора, а генератор - нагнетательной.
Уравнение теплового баланса одноступенчатой абсорбционной
холодильной машины:
(2.4)
где qR - тепло, отводимое от пара при очистке
его в дефлегматоре при работе абсорбционной холодильной машины на бинарной
смеси первого типа.
Эффективность работы абсорбционной холодильной машины оценивается
тепловым коэффициентом либо эксергетическим КПД
(2.5)
Области применения абсорбционных холодильных машин определяются их
особенностями. Так, бромистолитиевые холодильные машины используются для
выработки охлажденной воды, а водоаммиачные - для получения отрицательных
температур до - 55°С.
Абсорбционные бромистолитиевые холодильные машины (АБХМ)
представляют собой блочные комплектные агрегаты высокой заводской готовности.
Серийно выпускаются АБХМ 1.0; 3.0; 5.8 МВт. Холодная вода, получаемая на АБХМ,
применяется в системах кондиционирования воздуха, для технологических нужд на
предприятиях химической, нефтехимической промышленности и др., при этом АБХМ
ориентированы на использование в качестве греющих сред с относительно низкими
температурными параметрами.
Водоаммиачные абсорбционные холодильные машины (АВХМ) применяются
преимущественно в составе технологических линий. Это машины крупной единичной
мощности, которые используют в качестве греющей среды вторичные тепловые ресурсы
и индивидуально привязаны к конкретным условиям производств. Серийно эти машины
не изготовляют, но элементы их стандартизованы.
Абсорбционные водоаммиачные машины (холодо - производительностью
3.8 МВт при температуре кипения - 10°С с воздушным охлаждением конденсаторов;
2,9 МВт при температуре кипения 1°С с воздушным охлаждением конденсаторов; 0.5
и 2.3 МВт при температуре - 34°С с водяным охлаждением конденсаторов)
комплектуют холодильные станции целого ряда технологических линий по
производству аммиака.
2.2
Теоретический цикл в диаграмме абсорбционно-водоаммиачных холодильных машин
В отличие от принципиальной схемы, полная схема абсорбционной
холодильной машины включает в себя вспомогательные элементы, обеспечивающие
экономичность, надежность, стабильность работы. Схема приведена на рис. 2.3.
Как было указано ранее, водоаммиачная холодильная машина
работает на веществе первого рода, то есть на растворе, компоненты которого
соиспаримы.
Первичная очистка (ректификация) пара происходит в
исчерпывающей колонне, окончательная - в дефлегматоре за счет конденсации
водяных паров из состава бинарного пара. Образующаяся при этом вода поглощает
парообразный аммиак и стекает в генератор в виде флегмы. Пар, выходящий из
дефлегматора, имеет концентрацию близкую, но не равную единице, что
характеризует особенности работы конденсатора и испарителя.
В связи с тем, что в составе пара присутствует небольшая
примесь воды, процесс конденсации происходит при давлении несколько меньшем,
чем для чистого аммиака. Однако, учитывая большое абсолютное значение давления
конденсации, при проведении расчётов падением давления пренебрегают.
Рис. 2.3 Полная схема абсорбционной водоаммиачной холодильной
машины: 1 - куб; 2 - исчерпывающая колонна; 3 - дефлегматор; 4 - абсорбер: 5 -
теплообменник растворов; 6 - насос; 7 - конденсатор; 8 - водяной
переохладитель; 9 - газовый переохладитель; 10 - испаритель
Наличие примеси воды к холодильному агенту в большей степени
оказывает влияние на работу испарителя. Процесс кипения в испарителе происходит
при переменной температуре. Для проведения расчета фиксируются низшая и высшая
температуры кипения, причем низшая температура характеризует начало процесса
кипения, высшая окончание.
Низшая температура кипения определяет давление насыщенного
пара аммиака в испарителе. Поскольку в испаритель поступает не чистый
хладагент, а его смесь с абсорбентом, расчётное давление кипения уменьшают на
величину ΔР0 = (0,01 + 0,005) МПа.
Значение конечной температуры кипения в испарителе тем больше отличается от
температуры кипения чистого аммиака, чем интенсивнее испаритель и меньше
концентрация рабочего тела в нём.
Для упрощения расчетов сопротивлениями в соединительных
трубопроводах можно пренебречь и принять равными давления в конденсаторе и
генераторе, в абсорбере и испарителе соответственно. Характер влияния
вспомогательных элементов на работу холодильной машины будет установлен при
проведении расчета.
Для определения тепловой нагрузки на аппараты АВХМ и тепловой
коэффициент вносим следующие обозначения: холодопроизводительность Q0,
кВт; температура греющего источника fh°С; Температура
охлаждающей воды tw,°С; Температура охлаждаемого объекта tохл,°С.
Температура конденсации,°С,
(2.6)
Давление конденсации Pk определяется по tk
для чистого аммиака.
Низшая температура кипения,°С,
(2.7)
Давление насыщения паров аммиака Ро определяется
по температуре t0
Разность давлений кипения выбирается, исходя из нормированного
значения, МПа:
(2.8)
Расчётное давление в испарителе, МПа,
(2.9)
Изображение процессов в диаграмме представлено на рис. 2.4.
В зависимости от назначения холодильной машины и ее
конструктивных особенностей, принимается значение ξd и отмечается на диаграмме.
Высшая температура раствора, выходящего из генератора,
определяется по температуре греющего источника, °С,
(2.10)
Точка 2 пересечения изотермы t2 и изобары Рк
определяет состояние слабого раствора с концентрацией ξа.
Низшая температура раствора, выходящего из абсорбера,
определяется по температуре охлаждающей воды, °С:
(2.11)
Точка 4 пересечения изотермы t4 и изобары Ро
определяет состояние крепкого раствора с концентрацией ξr.
Рис. 2.4 Цикл абсорбционной водоаммиачной холодильной машины
Состояние раствора, поступающего в генератор (точка 1),
зависит от процесса теплообмена между слабым и крепким раствором и определяется
из уравнения теплового баланса теплообменника.
Для определения величин потоков крепкого и слабого растворов,
проходящих через теплообменник, составим уравнение материального баланса
генератора:
(2.12)
где F - масса крепкого раствора, поступающего в
генератор, кг/с; D - масса пара, выходящего из генератора, кг/с; (F-D)
- масса слабого раствора, выходящего из генератора, кг/с. Чтобы перейти к
удельным значениям потоков, отнесем их к массе ректифицированного пара
(2.13)
и введем обозначение
(2.14)
кратность циркуляции раствора.
Уравнение материального баланса генератора холодильной машины
в приведенной форме:
(2.15)
Уравнение материального баланса генератора по содержанию
холодильного агента:
(2.16)
откуда получим выражение для кратности циркуляции:
(2.17)
Для составления уравнения теплового баланса теплообменника
необходимо определить положение точки 3 (состояние слабого раствора при выходе
из теплообменника) по его температуре,°С.
(2.18)
2.3 Влияние
параметров внешних источников на процессы и эффективность работы абсорбционных
водо-аммиачных холодильных машин
Эффективность работы абсорбционной холодильной машины
оценивается тепловым коэффициентом.
Представим выражение для теплового коэффициента с учетом
того, что эффект охлаждения достигается вследствие совмещения прямого цикла
преобразования тепла генерации в работу и обратного цикла получения холода с
затратой работы. В связи с этим
(2.19)
где
- термический КПД идеального прямого цикла
Карно;
(2.20)
холодильный коэффициент идеального обратного цикла Карно; ηd - коэффициент, учитывающий потери, связанные с
действительным процессами, и определяющий степень термодинамического
совершенства системы.
Для оценки влияния параметров внешних источников на тепловой
коэффициент проведем анализ выражения (2.20) по изменению каждого из них.
. Температура греющей среды (Тh):
(2.21)
Это значит, что с увеличением температуры греющего источника
тепловой коэффициент холодильной машины растет.
. Температура охлаждающей среды (Тос):
Как видно из выражения (2.20), с повышением температуры Тос
тепловой коэффициент уменьшается.
. Температура охлаждаемого объекта (Тохл):
С увеличением Тохл тепловой коэффициент
растет.
Проведение подобного несложного анализа позволяет на первом
этапе проектирования решить две задачи:
определить целесообразность применения АВХМ при имеющихся
внешних источниках;
определить возможность эффективного использования АВХМ в
межсезонные периоды.
С этой целью так же, как в компрессорных машинах, выбран
фактор оптимизации, проведены расчеты и установлены границы эффективной работы
одноступенчатой абсорбционной холодильной машины.
В качестве фактора оптимизации установлена разность интервал
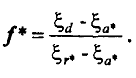
дегазации.
(2.22)
Характер влияния внешних параметров на величину интервала
дегазации можно продемонстрировать построением циклов АВХМ, как это показано на
рис.2.5
Рис.2.5 Влияние внешних параметров на величину интервала
дегазации: а - температуры греющего источника; б - температуры охлаждающей
среды; в - температуры охлаждаемого объекта
При определенном сочетании параметров внешних источников
интервал дегазации может оказаться слишком узким, равным нулю, или даже
отрицательным. В первом случае осуществление цикла абсорбционной холодильной
машины нерационально, а в остальных - вообще невозможно.
Минимальное значение зоны дегазации для одноступенчатой
холодильной машины (ξr-ξа) =0,04.
С целью увеличения зоны дегазации используются сложные схемы.
2.4
Высокоэффективные абсорбционные водоаммиачные холодильные машины
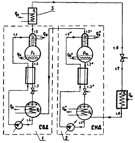
Принцип действия двухступенчатой абсорбционной холодильной
машины отражен на схеме (рис.2.6).
Особенностью работы схемы является то, что в абсорбер ступени
высокого давления поступает пар из генератора низкой ступени при
соответствующем промежуточном давлении, что расширяет интервал дегазации.
Предполагается, что подача греющего пара в генераторы ступени
низкого давления (СНД) и ступени высокого давления (СВД) параллельная; подача
охлаждающей воды в конденсатор и абсорберы СНД и СВД тоже параллельная.
Эти условия определяют равенство температур слабого раствора,
выходящего из генераторов СНД и СВД, равенство температур крепкого раствора,
выходящего из абсорберов СНД и СВД равенство концентраций бинарного пара,
выходящего из дефлегматоров СНД и СВД.
Рис.2.6 Схема двухступенчатой абсорбционной холодильной
машины: 1 - ступень высокого давления (СВД); 2 - ступень низкого давления
(СНД); 3 - конденсатор; 4 - испаритель
Особенностью расчета данной схемы является выбор величины
промежуточного давления как функции
- суммы тепловых нагрузок
генераторов СНД и СВД. Величина Рт может быть определена
графоаналитическим путем.
При этом для нескольких значений, например трёх,
промежуточного давления в интервале Ро<Рт<Рк
ведется расчет цикла с определением суммы тепловых потоков генераторов СНД
и СВД, строится график зависимости
и определяется значение Рт,
при котором эта сумма будет иметь минимальное значение.
Цикл двухступенчатой АВХМ представлен на рис.2.7
Рис. 2.7 Цикл двухступенчатой абсорбционной холодильной
машины
Методика определения Рт в соответствии с
циклом представляется следующим образом: СВД
(2.23), СНД
(2.24)
Удельные тепловые нагрузки дефлегматоров СНД и СВД, кДж/кг,
(2.25)
(2.26)
Удельные тепловые нагрузки генераторов СНД н СВД, кДж/кг,
(2.27)
(2.28)
Для каждого из 3-х значений Рт находится
сумма
(2-29)
Результаты расчета наносятся на график, откуда определяется Рт.
После определения Рт строится
действительный цикл двухступенчатой холодильной машины и ведется расчет каждой
ступени как одноступенчатой АВХМ в заданных интервалах давлений.
Уравнение теплового баланса холодильной машины:
(2.30)
Тепловой коэффициент цикла:
(2.31)
Абсорбционная водоаммиачная холодильная машина с материальной
регенерацией. Принцип действия АВХМ с материальной регенерацией представлен на
рис. 2.8.
В цикле холодильной машины с материальной регенерацией происходит
ступенчатое снижение давления слабого раствора с дальнейшим понижением его
концентрации от ξа до ξа* и повышение давления крепкого раствора с увеличением его
концентрации от ξ,r до ξ,r*. Для этих целей в схеме предусмотрены деконцентратор и
концентратор.
Пары аммиака, выделяющиеся из слабого раствора после
дросселирования в РВ-1, отводятся от потока в деконцентраторе при давлении Рт
и используются для донасыщения крепкого раствора в концентраторе.
Рис. 2.8 Схема абсорбционной холодильной машины с одной
ступенью материальной регенерации: 1 - деконцентратор; 2 - концентратор
В результате дополнительной деконцентрации слабого раствора и
соответствующего донасыщения крепкого раствора интервал дегазации в цикле
увеличивается.
Совокупность деконцентратора с концентратором образует
ступень материальной регенерации. Число ступеней материальной регенерации может
колебаться в широких пределах.
Особенностью расчета является определение промежуточных
давлений в ступенях материальной регенерации.
Промежуточное давление определяется из условия равенства масс
пара, выделившегося из слабого раствора в деконцентраторе и поглощенного в
концентраторе.
Цикл холодильной машины с одной ступенью материальной
регенерации представлен на рис. 2.9.
Методика определения промежуточного давления представляется
следующим образом:
задается ряд значений Рт и ведется расчет
ступеней материальной регенерации: для интервала дегазации высокого давления:
(2.32)
для интервала дегазации низкого давления:
(2.33)
Рис. 2.9 Цикл абсорбционной холодильной машины с одной
ступенью материальной регенерации
Масса пара, выделившегося в деконцентраторе из 1 кг слабого
раствора при первом дросселировании (снижении концентрации от ξа до ξа*), определяется по
диаграмме ξ-i:
(2.34)
Масса пара, выделившегося в деконцентраторе из потока слабого
раствора при первом дросселировании:
(2.35)
Масса пара, поглощенного в концентраторе крепким раствором
при повышении концентрации от ξ,r до ξ,r* аналогично (2.35):
(2.36)
Расчёт ведётся до выполнения равенства α1 и α2. Далее строится
действительный цикл и ведется расчет с целью определения всех его
характеристик. Уравнение теплового баланса:
(2.37)
Тепловой коэффициент:
(2.38)
Глава 3.
Методика расчета основных теплообменных аппаратов абсорбционных холодильных
машин
Основные теплообменные аппараты абсорбционных холодильных
машин по принципу действия относятся к рекуперативным.
В аппаратах рекуперативного типа процесс передачи тепла
связан с поверхностью твердого тела, поэтому они называются также
поверхностными.
Тепловой расчет тепловых насосов данного типа является
определяющей процедурой расчета технологических параметров.
Рис. 3.1 Распределение температуры жидкости по поверхности
аппаратов: а - генератор, обогреваемый средой с переменной температурой
(горячая вода, газ); б - генератор, обогреваемый конденсирующимся паром; в -
противоточный абсорбер, охлаждаемый водой; г - дефлегматор, охлаждаемый водой;
д - конденсатор; е - испаритель
Расчет основывается на тип аппарата, вид поверхности
теплообмена, некоторые геометрические размеры (например, диаметр труб, шаг и
компоновка труб и т.п.), тепловая производительность аппарата, рабочие среды,
их конечные и начальные температуры, схема и скорости движения в аппарате.
Процесс теплопередачи в аппаратах описывается уравнением
= k F Θm (3.1)
Отсюда площадь поверхности теплообмена
(3.2)
где Q - тепловая нагрузка;
k - коэффициент теплопередачи, зависящий от характера
процесса теплопередачи, определенного особенностями аппарата;
Θm - температурный напор между
средами. Характер изменения температур рабочих сред по поверхности аппарата
зависит от схемы их движения и водяных эквивалентов.
Для аппаратов абсорбционных холодильных машин характерны
следующие закономерности распределения температур жидкостей по поверхности
(рис. 3.1).
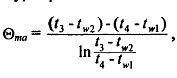
3.1 Методика
расчета тепловых установок и их основные конструкционные параметры
Как показывают расчеты, в аппаратах абсорбционных холодильных
машин изменение температуры по поверхности довольно значительно, поэтому
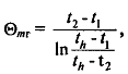
температурный напор между средами определяется как средний логарифмический,°С:
а)
(3.3)
где tw1, tw2 - температура
греющей среды на входе и выходе из обогреваемой части генератора; t1,
t2 - температура раствора на входе и выходе из обогреваемой
части генератора;
б)
(3.4)
где t1, t2 - температура
раствора на входе и выходе из обогреваемой части генератора;
th - температура греющего
конденсирующегося пара; в)
(3.5)
где t3, t4 - температура
раствора на входе и выходе из абсорбера;
tw1, tw2 - температура воды на
входе и выходе из абсорбера;
г)
(3.6)
где td’, t5 температура раствора
на входе и выходе из дефлегматора;
tw1, tw2 - температура воды на входе
и выходе из дефлегматора;
д)
(3.7)
где tk, - температура конденсации;
tо. с1, tо. с2 - температура охлаждающей
среды на входе и выходе из конденсатора;
(3.8)
где tо - температура кипения; tохл1,
tохл2 - температура охлаждаемой среды на входе и выходе из
испарителя.
3.2 Методика
расчета коэффициентов теплопередачи
Коэффициентов теплопередачи от горячей среды к холодной
зависит от коэффициентов теплоотдачи авн и анар
и термического сопротивления стенки аппарата.
Если условия обтекания поверхности каждой из сред не
изменяются, то значения авн и анар можно
считать постоянными для всего аппарата.
В аппаратах с гладкотрубными поверхностями, используемыми в
абсорбционных холодильных машинах, выражение для коэффициента теплоотдачи
зависит от того, к какой поверхности его относят:
(3.9)
(3.10)
где индексы "вн", "нар" и "ср"
относятся к обозначению внутренней, наружной и средней поверхности трубы.
Основными составляющими общего теплового сопротивления
теплопередаче в каждом аппарате являются тепловые сопротивления теплоотдаче.
Коэффициент теплоотдачи - сложная функция большого числа
параметров, определяемая, в основном, опытным путем.
Для расчета величин коэффициентов теплоотдачи используются
результаты исследований теплообмена для условий, характеризующих работу
аппаратов абсорбционных холодильных машин.
Ниже приводятся основные сведения и уравнения для определения
коэффициентов теплоотдачи в наиболее характерных процессах и конструкциях
аппаратов абсорбционных холодильных машин.
Процесс теплоотдачи при вынужденном движении жидкости внутри
труб описывается критериальным уравнением
(3.11)
где
Величина dвн выбирается как
характеристика теплообменной поверхности; скорость движения жидкости
определяется предварительным расчетом; v, а - теплофизические свойства жидкости
при определяющей температуре.
Это уравнение используется для расчета коэффициента
теплоотдачи со стороны воды в абсорбере, Дефлегматоре, конденсаторе; со стороны
хладоносителя - в испарителе, теплообменнике растворов.
Процесс теплоотдачи со стороны жидкости, стекающей пленкой,
при условии Reпл > 200 описывается уравнением
(3.12) где
μ, v, a -
теплофизические свойства воды при средней температуре пленки;
Г1 - плотность орошения трубы,
кг/ (м·с). Уравнение (3.12) используется для определения коэффициента
теплоотдачи со стороны воды в вертикальном кожухотрубном конденсаторе.
Процесс теплоотдачи со стороны конденсирующегося водяного
пара на горизонтальном пучке труб, отнесенный к внутренней поверхности,
описывается уравнением
(3.13)
где r, ρ, λ, μ - физические параметры воды на линии
насыщения при заданном значении Тh; dвн - внутренний
диаметр трубы; Θ - среднелогарифмический
температурный напор.
Это уравнение используется для определения коэффициента
теплоотдачи со стороны греющего пара в горизонтальном кожухотрубном генераторе.
Процесс теплоотдачи со стороны конденсирующегося водяного
пара на вертикальной трубе описывается уравнением
(3.14)
где ап - средний коэффициент теплоотдачи,
отнесенный к наружной поверхности вертикальной трубы;
r, μ, v, а -
физические параметры водяного пара и воды на линии насыщения при заданном
значении Th.
Условие применимости уравнения (3.14) определяется наличием
участка с турбулентным режимом, т.е.
(3.15)
Уравнение (3.14) используется для определения коэффициента
теплоотдачи со стороны греющего пара в вертикальном пленочном генераторе.
Процесс теплоотдачи со стороны конденсирующегося аммиачного
пара на вертикальной трубе описывается уравнением
(3.16)
где r, ρ, λ, μ, v - теплофизические свойства
жидкого аммиака при температуре конденсации; ξv - поправка на волновой
режим. Уравнение (3.16) используется для определения коэффициента теплоотдачи
со стороны конденсирующегося аммиачного пара в вертикальном кожухотрубном
конденсаторе. Процесс теплоотдачи со стороны конденсирующегося аммиачного пара
на пучках гладких горизонтальных труб описывается уравнением
(3.17)
где а - среднее значение коэффициента теплоотдачи;
ρ, λ, μ, - теплофизические параметры жидкого
аммиака при температуре конденсации; Ψп, - коэффициент,
учитывающий изменение скорости пара по мере прохождения горизонтальных рядов
труб и натекание с верхних рядов на нижние;
ξw - коэффициент,
учитывающий скорость пара в первом горизонтальном ряду;
Δi - разность энтальпий
рабочего вещества на входе и выходе из аппарата;
Θа - среднелогарифмическая
разность температур.
Уравнение (3.17) используется для определения коэффициента
теплоотдачи со стороны холодильного агента в аммиачном кожухотрубном
конденсаторе.
Процесс теплоотдачи со стороны кипящего холодильного агента,
описывается уравнением
(3.18)
где Θа - среднелогарифмическая
разность температур.
Уравнение (3.18) используется для определения коэффициента
теплоотдачи со стороны холодильного агента в горизонтальном кожухотрубном
испарителе затопленного типа.
Процесс теплоотдачи со стороны кипящего раствора на
горизонтальных трубках описывается уравнением
(3.19)
где qF - удельный тепловой поток,
отнесенный к внутренней поверхности, или определяется по номограмме, предложенной
В.Н. Филаткиным.
Уравнение (3.19) используется для определения коэффициента
теплоотдачи кипящего раствора к стенке трубы горизонтального кожухотрубного
генератора затопленного типа.
Процесс теплоотдачи со стороны кипящего водоаммиачного
раствора на вертикальной стенке описывается уравнением, предложенным автором и
А.В. Вургафтом:
(3.20)
где
μp, v, a -
физические параметры раствора на линии насыщения при средней температуре пленки.
Уравнение (3.20) используется для определения коэффициента теплоотдачи от
кипящего слоя раствора к стенке трубы в вертикальном пленочном генераторе.
Процесс теплоотдачи со стороны водоаммиачного раствора при
абсорбции в процессе барботажа пара описывается уравнением предложенным Р.Л.
Даниловым.
(3.21)
Уравнение (3.21) используется для определения коэффициента
теплоотдачи от раствора к стенке горизонтального кожухотрубного барботажного
абсорбера. Процесс теплоотдачи со стороны водоаммиачного раствора при абсорбции
с орошением поверхности охлаждения слабым раствором описывается уравнением
(3.22)
где индексы "p" и "w" относятся к
раствору и чистой воде соответственно.
Процесс теплоотдачи со стороны водоаммиачного раствора при
пленочном орошении змеевиковой охлаждающей поверхности в процессе абсорбции
описывается уравнением, предложенные Ю.Д. Марусейцевым.
Для проведения расчета процессов теплоотдачи в аппаратах
конструкций, отличных от рассмотренных выше, используются зависимости,
приведенные в литературе, указанной в списке в конце пособия.
Анализ приведенных выше зависимостей показывает, что в
процессах теплообмена, связанных с нагревом или охлаждением жидкости в
аппаратах холодильных машин, коэффициенты теплоотдачи не зависят от температуры
поверхности теплообмена. При этом коэффициенты теплоотдачи для каждой из сред
определяются однозначно, коэффициент теплопередачи - по формулам (3.9) или
(3.10), а поверхность теплообмена - по формуле (3.2).
В процессах, связанных с изменением агрегатного состояния
среды, коэффициенты теплоотдачи зависят от температуры поверхности теплообмена.
В этих случаях температуру стенки и коэффициент теплоотдачи можно определить
методом последовательных приближений или графоаналитическим методом.
Эти методы основаны на условии стационарности процесса
теплообмена в аппарате, при котором плотности теплового потокг от горячей среды
к стенке аппарата q1 = f (Тст) и от
стенки к холодной среде q2 = φ (Тст) равны между собой.
Выражения для q1 и q2 определяются
с использованием приведенных ранее уравнений для коэффициентов теплоотдачи.
Рассмотрим последовательность расчёта на примере горизонтального кожухотрубного
генератора.
Коэффициент теплоотдачи от стенки к кипящему раствору Вт/м2
·0С,
(3.23)
Коэффициент теплоотдачи от конденсирующегося пара к стенке,
отнесенный к внутренней поверхности трубы, Вт/м2·°С,
(3.24)
Коэффициент теплоотдачи от стенки к раствору, отнесенный к
внутренней поверхности трубы, Вт/м2 · 0С,
(3.25)
Плотность теплового потока со стороны раствора, Вт/м2,
(3.26)
Плотность теплового потока со стороны греющего пара с учетом
тепловых сопротивлений стенки трубы и загрязнений, Вт/м2,
(3.27)
Задаваясь несколькими значениями Тст в
интервале [Тр. ср, Тh], определяют величины
qp и qп и далее наносят их на график
зависимости qFвн = f (Tст) (рис.
3.2).
Точка пересечения линий определяет условие стационарности -
равенство тепловых потоков.
Определив по графику значение qFm, определяют
площадь поверхности теплообмена, м2,
(3.28)
После определения площади поверхности теплообмена
осуществляют компоновку аппарата, уточняют значение площади поверхности и
скоростей рабочих сред для выбранной компоновки и выполняют поверочный расчет
соответствия заданной производительности этим
Рис. 3.2 Графическое определение Тст и
qF для горизонтального кожухотрубного генератора
условиям (если в этом есть необходимость). Например, для
горизонтального кожухотрубного генератора после определения поверхности находят
общую длину труб, м,
(3.29)
где dвн - диаметр трубы, принятый в
начале расчета, как характеристика теплообменной поверхности.
Назначают эффективную длину труб l (расстояние между
трубными решетками аппарата) по существующим конструкциям (прототипам), м.
Количество труб в аппарате:
(3.30)
Внутренний диаметр обечайки, м,
(3.31)
где t - минимальный шаг, зависящий от разбивки труб,
м;
ηтр - коэффициент заполнения
трубной доски.
После компоновки аппарата необходимо провести расчёт на
прочность его элементов.
3.3 Методика
определения числа ректификационных тарелок для выпарных элементов
Ректификационная колонна относится к аппаратам контактного
типа.
Одной из задач расчета колонны является определение
минимально необходимого числа тарелок в ней.
Расчет числа ректификационных тарелок зависит от характера
процессов, протекающих в выпарном элементе генератора.
На рис. 3.3 приведены рабочие процессы и методика
графического определения числа теоретических тарелок исчерпывающей колонны для
выпарных элементов различного типа.
Рис. 3.3 Определение числа ректификационных тарелок для
выпарных элементов: а - несовмещенного типа; б - полусовмещенного типа
Для проведения графического расчета вводится несколько новых
понятий:
. Коннода - прямая на i-ξ диаграмме, проходящая
через точки, изображающие состояние фаз в одном сечении аппарата.
. Ось приведенных энтальпий - вертикальная прямая ξ=ξо где ξо - приведенная
концентрация потока, имеющая постоянное значение для каждого аппарата.
Положение ξо = const можно найти,
если хотя бы для одного сечения аппарата известны расходы и концентрации обеих
фаз.
Если в каком-либо сечении аппарата одна из фаз отсутствует,
то приведенная концентрация потока для всего аппарата равна концентрации второй
фазы в данном сечении.
. Полюс теплового и материального обмена - точка Пересечения
коннод всех сечений аппарата при отсутствии теплообмена с внешней средой.
Для выпарного элемента несовмещенного типа (рис.3.3, а)
первая коннода для верхнего сечения исчерпывающей колонны изображается прямой 1-Ф-d’.
Коннода нижнего сечения куба, где имеется только одна фаза, стягивается в
точку 2, через которую проходит ось приведенных энтальпий выпарного элемента.
Пересечение первой коннода с этой осью определяет полюс Р для
исчерпывающей колонны.
На входе в колонну пар равновесен слабому раствору (точка 2)
Коннода 2 d-P характеризует нижнее сечение колонны, а точк 3f -
состояние стекающего в куб раствора. Между коннодами P-i и P-2d происходит
процесс исчерпывания.
Число необходимых теоретических тарелок на единиц) меньше
числа коннод, построенных так, что между паром и жидкостью соблюдается
температурный перепад 2-5°С.
В выпарном элементе полусовмещенного типа частично
ректификация происходит совместно с процессом выпаривания.
Необходимые построения для определения числа ректификационных
тарелок приведены на рис.3.3, б.
Часть коннод, соответствующая процессу в исчерпывающе'
колонне, проходит через полюс Р. Число теоретических тарелок на единицу
меньше числа коннод, построенных на участке Ф-т. При этом коннода P-dm
определяет состояние раствора при переходе одной части аппарата в другую.
При проектировании абсорбционной водоаммиачной холодильной
машины используются типовые конструкции аппарате разработанные ведущими
проектными институтами.
3.4 Методика
расчета цикла абсорбционного теплового насоса
Использование тепловых насосов для отопления, горячего
водоснабжения представляет собой способ, альтернативный другим способам, таким,
как традиционное сжигание органического топлива, широко распространенное
центральное паровое или водяное отопление, электрообогрев и др.
Тепловые насосы можно классифицировать по следующим
признакам:
по принципу действия;
по используемым источникам низкопотенциального тепла;
по сочетанию используемого низкопотенциального тепла с
нагреваемой в тепловых насосах средой;
по видам затрачиваемой энергии.
По первому признаку различают парокомпрессорные,
абсорбционные и термоэлектрические тепловые насосы.
В качестве источников низкопотенциального тепла для тепловых
насосов могут быть использованы:
наружный воздух;
поверхностные воды (река, озеро, море);
подземные воды;
грунт;
солнечная энергия;
низкопотенциальное тепло искусственного происхождения
(сбросные воды, нагретые воды технологических процессов и др.).
При классификации по сочетанию источников низкопотенциального
тепла и нагреваемой среды различают следующие варианты: воздух-воздух;
воздух-вода; грунт-воздух; грунт-вода; вода-воздух; вода-вода.
По видам затрачиваемой энергии различают тепловые насосы,
использующие электроэнергию, топливо того или иного вида, вторичные
энергетические ресурсы.
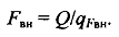
Энергетическую эффективность теплового насоса характеризует
его отопительный коэффициент (коэффициент преобразования) ц, представляющий
собой отношение теплопроизводительности к мощности, затрачиваемой на
осуществление цикла,
(3.32)
Широкое распространение в технике получили компрессионные
тепловые насосы (КТН).
Значительные выгоды можно ожидать при использовании в
тепловых насосах принципа абсорбционных холодильных машин
Принцип работы АТН предполагает отвод тепла абсорбции на уровне
температур более высоком, чем температура окружающей среды. Полная тепловая
нагрузка абсорбера определяет теплопроизводительность теплового насоса.
Эффективность работы АТН оценивается коэффициентом
трансформации, равным отношению теплопроизводительности к количеству тепла,
израсходованного в процессе работы.
В зависимости от соотношения температур использованного и
получаемого тепла различаются понижающий и повышающий тепловые насосы.
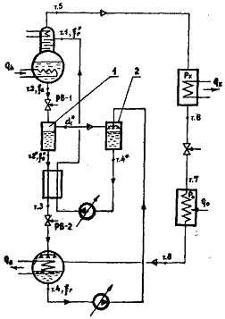
Принципиальная схема абсорбционного теплового насоса
представлена на рис.3.4.
При условиях:
Тh > Та >Тинт -
понижающий АТН;
Тh < Та >Тинт - повышающий АТН.
Коэффициент преобразования понижающего АТН:
(3.33)
где Qk - тепловая нагрузка конденсатора, Qa
- тепловая нагрузка абсорбера, Qh - тепловая нагрузка
генератора, ξ - тепловой коэффициент холодильной машины.
В этом случае на единицу затраченной высокопотенциальной теплоты
приходится большее количество теплоты меньшего потенциала.
Рис. 3.4 Принципиальная схема АТН: 1 - генератор; 2 -
конденсатор; 3 - испаритель; 4 - абсорбер; 5 - теплообменник Тh Та
Тинт - температуры греющей среды, отводимой теплоты, источника
низкопотенциального тепла
Повышающий термотрансформатор представляет собой обращенную
абсорбционную холодильную машину (давление в конденсаторе ниже давления в
испарителе). Движение потоков обеспечивается дополнительными насосами (рис.
3.4).
Для осуществления режима повышающего трансформатора требуется
источник низкой температуры (0.10°С), который обеспечивает низкую температуру
конденсации.
В этом случае греющей средой для выпаривания раствора в
генераторе может быть горячая вода 50-60°С - бросовое тепло химического
производства. Тепло того же источника подводится к испарителю, что обеспечивает
высокое давление и температуру в абсорбере (70.90°С).
Коэффициент трансформации:
(3.34)
Рассмотрим пример схемы повышающего термотрансформатора как
машины, позволяющей использовать тепло низкого потенциала (возможно бросового)
для получения эффекта съема тепла более высокого потенциала.
Схема абсорбционного бромистолитиевого теплового насоса представлена
на рис. 3.5
Рис. 3.5 Схема абсорбционного бромистолитиевого теплового
насоса: 1 - генератор-конденсатор; 2 - абсорбер-испаритель; 3 - теплообменник;
4 - насос для подачи конденсата; 5 - насос крепкого раствора; 6 - насос слабого
раствора; 7 - насос для отвода горячей воды; 8 - рециркуляционный насос.
Основой Целью расчета цикла является определение тепловых
потоков аппаратов АТН, температуры горячей воды, получаемой в абсорбере, twa.
Исходными данными для расчета являются: Температура греющей
воды 4,°С
Температура охлаждающей воды в зимнее время года tw,°С
Конденсатор АТН охлаждается водой низкой температуры, что
обеспечивает низкое давление в генераторе, обогреваемом теплом низкого
потенциала. Тепло такой же температуры подводится к испарителю, что
обеспечивает высокое давление в абсорбере. Таким образом, создаются условия:
(3.35)
Процесс абсорбции, проходящий при высоком давлении,
обеспечивает высокий нагрев охлаждающей воды, то есть снятие тепла высокого
потенциала.
Количество тепла, отводимого из абсорбера, определяет
те-плопроизводительность теплового насоса.
Цикл бромистолитиевого теплового насоса представлен на
рис.3.6.
В блоке генератор-конденсатор поддерживается глубокий
вакуум, поэтому в расчете учитывается действие гидравлического сопротивления
путей движения пара из генератора в конденсатор.
Давление пара в генераторе, кПа,
(3.36)
При этом Рк определяется по зависящей от
температуры охлаждающей воды,°С,
(3.37)
Давление в абсорбере с достаточной точностью принимается
Равным давлению в испарителе, кПа,
(3.38)
где Ро определяется по t0 в
зависимости от температуры греющего источника,°С,
(3.39)
Температура раствора на выходе из генератора,°С,
Рис. 3.6 Цикл абсорбционного бромистолитиевого теплового
насоса
(3.40)
По значениям Ph и t4 определяется
теоретическая концентрация крепкого раствора. Действительная концентрация с учетом
недовыпаривания,
(3.41)
Зона дегазации раствора в цикле принимается по опытным
данным, приведенным в литературных источниках,
Тогда действительная концентрация слабого раствора на выходе
из абсорбера:
(3.42)
Теоретическая концентрация слабого раствора с учетом
недонасыщения в абсорбере:
(3.43)
На пересечении линий Ра и находится точка
2*, характеризующая состояние раствора, выходящего из абсорбера в теоретическом
цикле, точка 2 - действительное состояние.
Разность температур слабого раствора после абсорбера и
крепкого после теплообменника принимают с учетом рабочих параметров цикла:
(3.44)
Разность концентраций Δξсм между ξсм и ξа в абсорбере принимают по
опытным данным:
(3-45)
Изображая графически процессы, происходящие в абсорбере, в
виде линий, соединяющих точки 8 и 2 и точки 1` и 9, получают высшую температуру
раствора в абсорбере - t10. Кратность циркуляции раствора в
цикле:
(3-46)
Уравнение теплового баланса теплообменника:
(3.47)
Отсюда определяется энтальпия слабого раствора на входе в
генератор, кДж/кг,
(3-48)
В связи с тем, что слабый раствор при поступлении в генератор
находится в состоянии влажного пара, при распылении в форсунках из него
выделяется пар, равновесный раствору. Состояние пара и насыщенной жидкости
определяется построением изотермы 7-3', при этом точка 5 характеризует
равновесное состояние раствора в начале процесса 5-4 изобарной десорбции.
Положение точки 5 на изобаре Ph определяют
методом последовательного приближения. Принимают значение температуры t5,
проводят линию кипения 5-4. Далее определяют среднюю температуру раствора в
генераторе,°С,
(3-49)
и соответствующее ему состояние пара (точка 3'). Изотерма
3'-7 должна пройти через выбранную точку 5.
Удельные тепловые нагрузки аппаратов теплового насоса,
кДж/кг,
(3-50)
(3-51)
(3-52)
(3-53)
Уравнение теплового баланса цикла:
(3.54)
Коэффициент трансформации низкопотенциальной теплоты на более
высокий температурный уровень:
(3.55)
Температура горячей воды, нагретой в абсорбере, на 4-5°С ниже
высшей температуры в абсорбере,°С,
(3.56)
Температура воды на входе в абсорбер должна быть,°С,
(3.57)
В общем случае рациональность использования теплового насоса
оценивается результатами анализа его экономической эффективности. При этом
необходимо учитывать стоимость теплоты, расходуемой на обогрев генератора.
Учет ведется путем сравнения с одной стороны системы,
состоящей из котельной и абсорбционного теплового насоса, а с другой стороны -
отопительной котельной.
Результаты такого сравнения показывают, что абсорбционный
тепловой насос практически всегда выгоднее.
Если же для работы абсорбционного теплового насоса пользуются
вторичные тепловые ресурсы, выгода от их применения становится большей, что и
обусловливает необходимость использования в технике.
Глава 4.
Исследование применения и расчет тепловых насосов в схеме сушильно-холодильной
установки
4.1 Расчет и
проектирование абсорбционно-холодильной машины применяемого в
сушилно-холодильной установке
Абсорбционные холодильные агрегаты рассчитаны на работу при
температуре окружающего воздуха 30-35°С. Некоторые зарубежные фирмы выпускают
абсорбционно-диффузионные холодильники для работы в тропических условиях при
температуре окружающего воздуха 40-45°С.
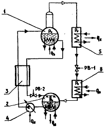
Рис. 4.1 Принципиальная схема сушильно-холодильной установки:
1 - теплообменник; 2 - конденсатор; 3 - трубопровод нагретого газа; 4 - главный
циркуляционный насос; 5 - переохладитель; 6 - электродвигатель; 7 - линия всасывания;
8 - генератор; 9 - компрессор; 10 - насос испарителя; 11 - перегреватель; 12 -
дроссельный клапан; 13 - испаритель; 14 - коаксиальный теплообменник; 15 -
сброс теплой воды; 16 - сборник теплой воды; 17 - байпас; 18 - напорный
трубопровод; 19 - насос дополнительно оборотной воды.
Особенностью конструкции сушильно-холодильной машины,
изображенного на рис. 4.1, является использование конденсатора и испарителя в
качестве излучателя и поглотителя тепла соответственно.
Сжатые компрессором 9 пары аммиака, направляется по
трубопроводу нагретого газа 3 к конденсатору 2. Этот компрессор соединен к
электродвигателю 6 и создает большое давление паров аммиака. В конденсаторе 2
пары аммиака переходят в жидкую консистенцию, при этом образуется большое
количество тепла. Образованное тепло отбирается теплоносителем. Теплоноситель
по трубопроводам приводиться в движение с помощью главного циркуляционного
насоса 4. При минимальной температуре теплоноситель переохлаждает жидкий азот в
переохладителе 5. Затем поступает в межтрубное пространство конденсатора и
охлаждает конденсированный аммиак, а сам нагревается. При этом теплоноситель
достигает максимальной температуры и нагнетается насосом 4 для потребителей
тепла.
Охлажденный аммиачный конденсат, проходя через теплообменник
- перегреватель 5, поступает в перегреватель 11, где он перегревает пары
аммиака поступаемого из испарителя 13. В испарителе 13 происходит испарение
жидкого аммиака посредством его дросселирования с помощью клапана 12. Жидкий
аммиак переходить в паровое состояние и образуется большое количество холода
(поглощение тепла). Для отвода холода в потребление организовано движение
жидкости-холодоносителя посредством нагнетания ее насосом испарителя 10. Эта
жидкость нагнетаемая насосом 10 проходить по межтрубному пространству и
отнимает холод образуемого испарением жидкого аммиака в испарителе 13.
Охлажденный холодоноситель направляется на теплообменные 14 для употребления
холода. При недостаточности тепла холоносителя для съема в испарителе
образуемого холода предусмотрена система дополнительного оборота воды. Она
включает в себя насос дополнительного оборота воды 19, сборник теплой воды 16,
сбросный 15 и напорный трубопроводы теплой воды 18, а также байпасная линия 17.
Холодный парообразный аммиак, образованный в испарителе 13
перегревается в межтрубном пространстве теплообменника-перегревателя 11. В
трубном пространстве этого теплообменника в качестве теплоносителя проходит
жидкий теплый аммиак. Пары аммиака по линии всасывания поступают в генератор 8.
В генераторе происходит регенерация аммиачных паров и его подача на компрессор
9.
Таким образом происходит цикл движения аммиака в парообразном
и жидком фазах, а также тепло - и холодоносителей. Количественное и
качественное участие всех тепловых агентов участвующих в процессе генерации
тепла и холода в установке способствуют бесперебойной и эффективной работе всей
установки.
На рис. 4.2 представлена схема абсорбционно-холодильного
агрегата.
Температура в морозилке меняется в пределах от - 30 до - 18 0С.
Жидкий аммиак испаряется в водород при общем давлении в
испарителе равном 25 атм, но с парциальным давлением равным 1 атм.
В начальный момент в испарителе морозилки аммиак находится
при давлении 1 атм, водород - при 24 атм, общее давление, таким образом,
составляет 25 атм. Аммиак продолжает испаряться в водород при постепенном
повышении парциального давления и постепенном повышении температуры.
Когда смесь водорода и аммиака поступает в камерный
испаритель через газовый теплообменник, парциальное давление аммиака составляет
3 атм, водорода - 22 атм.
В камерном испарителе оставшийся аммиак испаряется при
температуре - 5 0С.
Газ с большим содержанием аммиака поступает в абсорбер.
Отделившийся в абсорбере водород поступает в контур циркуляции водорода, откуда
через газовый теплообменник возвращается в испарители. Таким образом, различное
содержание водорода в смеси с аммиаком обеспечивает наличие двух температур в
испарителях.
Рис. 4.2 Принципиальная схема абсорбционной холодильной машины:
1 - генератор; 2 - конденсатор; 3 - испаритель; 4 - абсорбер; 5 - теплообменник
4.1.1
Тепловой расчет абсорбционно - холодильной машины
Исходные данные:
Холодопроизводительность машины Qo = 14
ккал/час
Температура воздуха в помещении tп = 32°С
Средняя температура воздуха в холодильной камере tк
= 7°С.
Общее давление в машине Робщ=20 атм.
Выравнивающий газ водород, Н2
Вид энергии, потребляемой для работы машины - электричество
Охлаждение конденсатора и абсорбера - воздушное
Основу расчёта тепловой абсорбционно-диффузионной холодильной
машины составляет определение тепловых нагрузок аппаратов, площади
теплообменных поверхностей, компоновка аппаратов.
Условия расчёта:
. Конденсация NH3 в конденсаторе происходит при
постоянном давлении в предположении, что количество водорода при расчетном
режиме работы машины в конденсаторе незначительно.
. При наличии вертикально расположенного газового
теплообменника влага, уносимая из абсорбера бедной парогазовой смесью, почти
вся возвращается в абсорбер.
. Растворение Н2 в водоаммиачном растворе
относительно небольшое и на процессах, осуществляющих водоаммиачный цикл, не
отражается.
Определение параметров парогазовой смеси ведется с
использованием таблиц термодинамических свойств водоаммиачного раствора и пара.
Дополнительно к уже известным исходным данным принимаем
следующие параметры, при которых осуществляются процессы в испарителе и
абсорбере:
Низшая температура испарения tон = - 10°С
Высшая температура испарения tов = - 2°С
Средняя температура испарения tom = - 6°С
Парциальное давление NH3 в испарителе на границе
раздела фаз в соответствии с принятыми температурами: низшее Рн. н
= 2,96 атм. высшее Рн. в = 4,06 атм. Парциальное давление
NH3 в абсорбере на границе раздела фаз: при входе слабого
водоаммиачного раствора Ран = 2,36 атм. при выходе крепкого
раствора Рав = 3,46 атм. Высшая температура абсорбции t2
= 50°С
Парциальное давление аммиака в потоке парогазовой смеси,
циркулирующей через испаритель и абсорбер, принимаем, исходя из практических
данных лаборатории ВНИИЭМП и ЛТИХП. Принимаем в испарителе по всей длине
контакта парогазовой смеси с аммиаком ΔР = 0,3. Тогда парциальное
давление NH3 в потоке бедной парогазовой смеси при входе в
испаритель Рв’ = 4,06 - 0,3 = 3,76 атм. и
парциальное давление NH3 в потоке богатой парогазовой смеси при
выходе из испарителя Ри' = 2,96 - 0,3 = 2,66 атм.
Концентрацию крепкого водоаммиачного раствора ξr при выходе из абсорбера
принимаем равной 0,364 в соответствии с парциальным давлением на границе
раздела фаз, равным 3,46 атм, и температурой 50°С. Концентрацию слабого
аммиачного раствора ξa при входе в абсорбер
принимаем равной 0,148 в соответствии с парциальным давлением на границе
раздела фаз 2,36 атм. и температурой 50°С. Температуру жидкого хладагента на
входе в газовый теплообменник принимаем равной 35°С, а на выходе - 5°С.
Температурный перепад на теплом конце газового теплообменника принимаем равным
10°С, тогда температура богатой парогазовой смеси при входе в сборник абсорбера
- 40°С. Температуру богатой парогазовой смеси на входе в газовый теплообменник
принимаем равной 2°С.
4.1.2 Расчет
процессов парогазового кругооборота машины
Объемная доля NH3 в бедной парогазовой смеси
Объемная доля NH3 в богатой парогазовой смеси
Весовая концентрация NH3 на 1 кг газовой смеси:
а) в бедной парогазовой смеси, кг/кг,
б) в богатой парогазовой смеси, кг/кг,
где та, тв - молекулярный
вес NH3 и Н2. Кратность циркуляции парогазовой смеси,
кг/кг,
Теплоемкость парогазовой смеси, ккал/кг°С,
а) бедной парогазовой смеси:
где
Срв - теплоемкость Н2
принимаем равной 3.41;
Сра - теплоемкость NH3
определяется по средней энтальпии при соответствующем давлении, начальной и
конечной температурах (Розенфельд Л.Н., Ткачев Л.Г. "Холодильные машины и
аппараты" - таблицы перегретых паров) и равна 0.548 ккал/кг°С;
б) богатой парогазовой смеси:
Потери холода на охлаждение бедной парогазовой смеси в
испарителе на 1°С, ккал/кг,
Количество тепла, которое может быть подведено к богатой
парогазовой смеси при нагреве на 1 0С, ккал/кг,
Количество тепла, подводимое к богатой парогазовой смеси в
конце испарителя при перегреве ее с - 2 0С до 2 0С,
ккал/кг,
Количество тепла, которое может быть подведено к богатой
парогазовой смеси за испарителем при перегреве ее с 2 0С до 40 0С,
ккал/кг,
Количество тепла, отводимое богатой парогазовой смесь при
переохлаждении жидкого NH3 с 35 0С до 5 0С,
ккал/кг,
Количество тепла, отводимое от бедной парогазовой смеси
газовом теплообменнике богатой парогазовой смесью, ккал/кг,
Температура бедной парогазовой смеси при входе в испаритель, 0С,
Количество тепла, подводимое бедной парогазовой смесью в
испарителе при ее охлаждении с температуры 17,2 0С до - 10 0С,
ккал/кг,
Количество тепла, которое могло бы быть подведено к парам NH3,
идущим из испарителя в абсорбер при подогреве их с 6°С до 40°С, ккал/кг,
где
- энтальпия перегретых паров NH3
при t = 40°С и P = 3.76 атм;
- энтальпия паров NH3 при средней to = -
6°С. Холодопроизводительность 1 кг хладагента при отсутствии в машине
выравнивающего газа, ккал/кг,
Холодопроизводительность 1 кг с учетом потерь холода, вызываемых
присутствием в машине выравнивающего газа, ккал/кг,
.
Кратность циркуляции
Количество тепла, отводимое окружающим воздухом от абсорбера с
учетом циркулирующей в нем парогазовой смеси, ккал/кг,
Коэффициент полезного действия парогазового цикла:
4.2 Выбор параметров
процессов водоаммиачного цикла машины
Для обеспечения концентрации слабого раствора ξ = 0.148 высшую температуру в генераторе принимаем равной 170°С.
Температуру конденсации хладагента принимаем равной 45°С. Низшую температуру
ректификации принимаем на 12°С выше температуры конденсации, то есть 57°С.
4.2.1 Расчет
процессов водоаммиачного цикла машины с выравнивающим газом
Количество тепла, отводимое окружающим воздухом от
конденсатора, ккал/кг,
Количество тепла, отводимое воздухом от жидкостного
трубопровода, соединяющего конденсатор с газовым теплообменником, ккал/кг,

Количество тепла, подводимое слабым раствором к крепкому,
ккал/кг,
Энтальпия крепкого раствора на выходе из жидкостного
теплообменника, ккал/кг,
Удельное количество флегмы, стекающей из воздушного
ректификатора в генератор, кг/кг,
Количество тепла, отводимое от ректификатора воздухом,
ккал/кг,
Количество тепла, затрачиваемое на выпаривание 1 кг
хладагента в генераторе, ккал/кг,
Тепловой баланс
Тепло, подводимое:
к генератору qhR = 549.90 ккал/кг
к испарителю qои = 221.65 ккал/кг
Итого: 771.55 ккал/кг
Тепло, отводимое:
от абсорбера qa = 319.65 ккал/кг
от конденсатора qk = 263.67 ккал/кг
от ректификатора qR = 190.10 ккал/кг
Итого: 773.42 ккал/кг
Значения параметров точек, необходимых для расчета рабочих
процессов парогазового кругооборота, сведены в табл. 4.1 Значения параметров
точек, необходимых для расчёта рабочих процессов водоаммиачного цикла машины,
сведены в табл. 4.2.
Таблица 4.1
Значения параметров точек, необходимых для расчета рабочих
процессов парогазового кругооборота
|
Состояние вещества
|
Обозначение
|
Тем-ра,°С
|
Давление
|
Концентрация
|
Энтальпия
|
|
|
|
общее
|
парциальное
|
пара
|
жидкости
|
пара
|
жидкости
|
|
1
|
2
|
3
|
4
|
5
|
6
|
7
|
8
|
9
|
|
Жидкий хладагент при входе до теплового
контакта с трубкой ответвленного потока
|
6'
|
35
|
20
|
20
|
|
0.998
|
307.9
|
39
|
|
Жидкий хладагент перед входом в испаритель
|
6"
|
5
|
20
|
|
|
0.998
|
|
-51
|
|
Хладагент в начале испарителя
|
7-10
|
-10
|
20
|
2.96
|
|
299.05
|
|
-10.68"
|
7-2
|
-2
|
20
|
4.06
|
|
300.98
|
|
|
|
Богатая парогазовая смесь при выходе из
испарителя
|
8
|
2
|
20
|
3.76
|
|
|
|
|
|
Богатая парогазовая смесь при входе в абсорбер
|
10
|
40
|
20
|
3.76
|
|
328.9
|
|
-18.6
|
|
Бедная парогазовая смесь при выходе из
теплообменника
|
12
|
|
20
|
2.66
|
|
|
|
|
|
Слабый раствор при входе в абсорбер
|
3
|
50
|
20
|
2.36
|
0.954
|
0.148
|
348.15
|
0.785
|
|
Крепкий раствор при выходе из абсорбера
|
4
|
50
|
20
|
3.46
|
0.979
|
0.364
|
333.18
|
-5
|
|
Пар при входе в конденсатор
|
5
|
55
|
20
|
20
|
0.998
|
0.862
|
315.07
|
38.8
|
|
Бедная парогазовая смесь при выходе из
абсорбера
|
11
|
45
|
20
|
2.66
|
|
|
335.03
|
-10.6
|
Таблица 4.2
Значения параметров точек, необходимых для расчёта рабочих
процессов водоаммиачного цикла машины
|
Состояние вещества
|
Обозначение
|
Температура,°С
|
Давление
|
Концентрация аммиака
|
Энтальпия
|
|
|
|
общее
|
парциальное
|
пара
|
жидкости
|
пара
|
жидкости
|
|
Слабый раствор при выходе из генератора
|
2
|
170
|
20
|
20
|
|
0.148
|
501.33
|
150
|
|
Слабый раствор на выходе из жидкостного
теплообменника
|
3
|
85
|
20
|
2.36
|
|
0.148
|
|
6.43
|
|
Пар и равновесный ему раствор при выходе из
генератора
|
d
|
140
|
20
|
20
|
0.836
|
0.264
|
418.8
|
105.4
|
|
Пар и равновесный ему раствор при выходе из
ректификатора
|
b
|
57
|
20
|
|
0.998
|
0.862
|
316.9
|
34.5
|
|
Жидкий хладагент при выходе из конденсатора
|
6
|
45
|
20
|
20
|
|
0.998
|
|
51.4
|
4.2.2
Коэффициенты холодильной машины
Теоретический тепловой коэффициент общего практического цикла
без учета потерь, вызываемых присутствием инертного газа:
Расчетный тепловой коэффициент общего практического цикла
машины с учетом присутствия выравнивающего газа, но без учета внешних потерь:
Действительный тепловой коэффициент машины будет несколько
отличаться от расчетного вследствие потерь тепла "горячим" узлом
машины (генератор - жидкостный теплообменник) и холода газовым теплообменником.
На основе опытных данных принимаем потери тепла "горячим" узлом
равными ≈15% от тепла, подводимого к генератору; потери холода газовым
теплообменником равными 10% от тепла, подводимого к генератору; потери холода
газовым теплообменником равными 10% от тепла, подводимого к испарителю.
Действительный расход тепла в генераторе на 1 кг хладагента составит, ккал/кг,
Действительная холодопроизводительность 1 кг хладагента
составит, ккал/кг,
Действительный тепловой коэффициент машины при принятых
расчетных данных:
Действительный КПД машины:
4.2.3
Определение тепловых нагрузок или производительности аппаратов
Для определения тепловых нагрузок аппаратов машины определим
количество циркулирующего (испаряющегося) хладагента через испаритель в час при
холодопроизводительности машины Q0 = 14 ккал/час и
холодопроизводительности 1 кг хладагента q0д= 199 ккал/кг, кг/час,
Производительность отдельных аппаратов, ккал/час,
где q - холодопроизводительность отдельных аппаратов
на 1 кг хладагента
Абсорбер Qa = 0.0704-319.65 = 22.4 ккал/час
Газовый теплообменник Qг. т = 0.0704-172 =
12.1 ккал/час
Жидкостный теплообменник QЖ. T = 0.0704-421
= 29.6 ккал/час Конденсатор Qк = 0.0704-263.67 = 18.5
ккал/час
Воздушный ректификатор QВR = 0.0704-190.1 =
13.35 ккал/час
Генератор QhR = 0.0704-549.9 = 38.5
ккал/час.
4.3 Тепловой
расчет и конструирование аппаратов абсорбционно-диффузионной холодильной машины
4.3.1 Расчет
испарителя
Принятая конструкция испарителя представляет собой оребренную
трубку (ребра прямые):
Холодопроизводительность испарителя Q0= 14
ккал/час.
Определение поверхности испарителя производим по средним и
средневзвешенным параметрам и величинам, характеризующим теплоотдачу от воздуха
в камере к поверхности испарителя, теплоотдачу от внутренней поверхности испарителя
к потокам хладагента и парогазовой смеси, а также процесс испарения.
Теплопередающая поверхность испарителя, м2,
где Θm - разность температур
между средневзвешенной температурой в холодильной камере и средней температурой
испарителя,°С;
Коэффициент теплопередачи, ккал/м2·час·°С,
где α1 - коэффициент
теплоотдачи от воздуха к поверхности испарителя принимаем равным 10 ккал/м2·час·°С;
α1 = 10 ккал/м2·час·°С.
Термическое сопротивление δ/λ не учитывается ввиду очень незначительной толщины трубки;
α2 - коэффициент
теплоотдачи от внутренней поверхности стенки канала и испаряющегося хладагента
к движущейся парогазовой смеси, ккал/м2·час·°С.
α2 = 0.75·αx* ах = 200 ккал/м2·час·°С (принимаем
по приближенным значениям).
Коэффициент 0,75 учитывает то, что поверхность, смачиваемая
жидким хладагентом, составит около 75% внутренней поверхности испарителя.
F1 - внутренняя поверхность
испарителя, м2,
2 - оребренная поверхность испарителя, м2,
Коэффициент оребрения поверхности испарителя
Коэффициент теплопередачи испарителя, ккал/м2·час·°С,
Теплопередающая поверхность испарителя, м2,
Холодопроизводительность конструктивно принятой поверхности
испарителя, ккал/час,
то есть отвечает потребной холодопроизводительности.
4.3.2 Расчет
конденсатора
Конструкцию конденсатора принимаем в виде оребренной трубки
Ш11x1,0. Ребра прямые hр = 45 мм, bр = 33
мм, δР = 0,6 мм. Расстояние между ребрами 6,5 мм, Zp = 36.
Производительность конденсатора 18.5 ккал/час.
Теплопередающая поверхность конденсатора подсчитывается по
формуле, м2,
где Qk - производительность конденсатора;
Кк - коэффициент теплопередачи
конденсатора;
Δt - температурный перепад
между основной поверхностью
(трубой) конденсатора и окружающим воздухом.
Ввиду незначительных сопротивлений со стороны стенки трубы,
последние при определении коэффициента теплопередачи не учитываются:
где α1 - коэффициент
теплоотдачи от конденсируемого агента к стенке трубы;
α2 - коэффициент
теплоотдачи от ребристой поверхности к воздуху;
.9 - коэффициент ухудшения теплоотдачи в связи с рёбрами
насаженными, а не монолитными. Коэффициент теплоотдачи от холодильного агента к
стенке трубы рассчитывается по формуле для конвективного теплообменника при
изменении агрегатного состояния [35]:
Расчётный коэффициент М принимаем по графику Городинской
для NH3 М= 5.6.
Тепловой поток подсчитываем ориентировочно, задавшись К= 60
и длину трубы приняв 1.5 м, ккал/м2,
где tc - температура агента при входе в
оребрённую часть конденсатора, принимаем равной 52°С;
tb - температура воздуха,
поступающего в конденсатор, равная 32°С;
tb ' - температура нагретого воздуха,
уходящего из конденсатора, равная 36°С;
tн - температура наружной стенки трубы,
принимаем равной 48°С.
Средняя температура воздуха, омывающего конденсатор:
Коэффициент теплоотдачи от ребристой поверхности принимаем α2=10 ккал/м2-час·°С.
Поверхность гладкой трубы конденсатора, м2,
Поверхность оребренной трубы конденсатора, м2,
Коэффициент теплопередачи конденсатора, ккал/м2·час·°С,
Теплопередающая поверхность конденсатора, м2,
Расчетная длина оребренной трубы конденсатора, м,
Конструктивно принятая длина оребренной части конденсатора l=0.48
м.
4.3.3 Расчет
абсорбера
Принятая конструкция абсорбера представляет собой трубу
Ш16х1,6; l = 3500 мм.
Производительность абсорбера 22,4 ккал/час.
Теплопередающую поверхность абсорбера определяем по формуле,
м2:
где Θm - разность температур
окружающего воздуха и поверхности абсорбера.
Коэффициент теплопередачи абсорбера, ккал/м2·час·°С,
где α1 - коэффициент
теплоотдачи со стороны парогазовой смеси и раствора к стенке канала; α2 - коэффициент теплоотдачи от внешней поверхности абсорбера к
воздуху.
Так как толщина стенки трубки незначительна, применяем формулу
коэффициента теплопередачи для плоской стенки.
Коэффициент теплоотдачи со стороны раствора и парогазовой
смеси к стенке канала:
где 0,1 - доля смачивания периметра канала раствором при
заполнении объема абсорбера в расчете 5%, причем толщина слоя раствора по оси
канала будет около 2мм. Для водоаммиачного раствора коэффициент теплоотдачи
принимаем 150 ккал/м2·час·°С. Коэффициент теплоотдачи от парогазовой
смеси принимаем 60 ккал/м2·час·°С. Коэффициент теплоотдачи от
потоков парогазовой смеси и раствора к внутренней поверхности абсорбера, ккал/м2·час·°С,
Коэффициент теплоотдачи от внешней поверхности абсорбера к
окружающему воздуху принимаем: α2 = 10 ккал/м2·
час·С.
Коэффициент теплопередачи абсорбера, ккал/м2·час·°С,
Среднелогарифмическая разность температур между температурами
абсорбции и охлаждаемого воздуха,°С,
Теплопередающая поверхность абсорбера, м2,
Поверхность абсорбера, принятая конструктивно, равна 0,175 м2.
Эта поверхность обеспечивает необходимые условия процессов, как теплообмена,
так и массообмена.
Выводы
На основании проведённого анализа можно сделать вывод, что
абсорбционные холодильные машины по ряду перечисленных факторов являются более
совершенными и могут быть признаны экономически и экологически перспективными.
Применение сушильно-холодильных установок с использованием
тепловых насосов в качестве теплогенератора при сушке за счет экономии энергии
вторичных теплоносителей позволяет повысит эффективность производства.
Применение тепловых насосов позволяет создание комплекса
тепло-холод для охлаждения продуктов и использования тепла для сушки.
Список
литературы
1. Вургафт
А.В., Галимова Л.В. Массоотдача при сопутствующей ректификации в генераторах
АХМ / Известия вузов. Пищевая технология. - 1974. - № 5.
2. Вургафт
А.В., Галимова Л.В. Теплоотдача при кипении водоаммиачного раствора в стекающей
пленке на вертикальной трубе // Холодильная техника. - 1974. - № 2.
. Гохштейн
Д.П. Использование отходов тепла в тепловых насосах. - М. - Л.: Госэнергонздат,
1955. - 80 с. Современные методы термодинамического анализа энергетических
установок. - М.: Энергия, 1969. - Э68 с.
. Pietsch,
J. A. The unitary heat pump industry - 25 years of progress. ASHRAE Jnl., Vol.
19, Pt.7, pp 15-18, July 1977.
. Мартыновский
В.С. Тепловые насосы. - М. - Л.: Госэнергонздат, 1955. - 192 с. Циклы, схемы и
характеристики термотрансформаторов. - М.: Энергия, 1979. - 285 с.
. Бродянский
В.М. Эксергетнческнй метод термодинамического анализа. - М.: Энергия, 1973. -
296 с.
. Зысин
В.А. Отопительные установки с тепловым насосом. Работы ЦКТИ. Кн.4, вып.1. - М.
- Л.: Машгнз, 1947, с.31-39. Комбинированные парогазовые установки н циклы. -
М. - Л.: Госэнергонздат, 1962. - 186 с.
. Каплан
А.М. Тепловые насосы, их техннко-экономяческне возможностя и области
применения. Работы ЦКТИ. Кн.4, вып.1. - М. - Л.: Машгнз, 1947, с.3-30.
. Ложкин
А.Н. Трансформаторы тепла, - М. - Л.: Машгнз, 1948. - 200 с.
. Розенфельд
Л.М., Звороно Ю. С, Оносовский В.В. Применение фреоновой холодильной машины для
охлаждения и динамического отопления, - Теплоэнергетика, 1961, № 6, с 12-16.
. Butler
С., Ferranti F. fridge-heater, Arch. J. Info. Sheet ч 28,J.1, May 31, 1956.
. Kell,
J. R. and Martin, P. L. The Nuffield College heat pump J. Inst. Heating &
Ventil, Engnrs., pp 33 3-356, Jan. 1963,Ундриц Г.Ф. Использование холодильных
машин для целей отопления. - Изв. Энергет. ин-та им.Г.М. Кржижановского, 1933,
т.1, с.107-132
. Янтовский
Е. И, Пустовалов Ю.В., Янков В.С. Теплонасосные станции в энергетике. -
Теплоэнергетика, № 4, 1978, с.13-19.
. Гомелаури
В.И., Везиришвили О.Ш. Опыт разработки и применения теплонаносных установок. -
Теплоэнергетика, № 4, 1978, с.22-25.
. Бадылькес
И.С., Данилов РД. Абсорбционные холодильные машины. - М.: Пищевая
промышленность, 1966. - 335 с.
. Блиер
Б.М., Вургафт А.В. Теоретические основы проектирования абсорбционных
термотрансформаторов. - М.: Пищевая промышленность, 1971. - 199 с.
. Блиер
Б.М., Галимова Л.В. Анализ термодинамического совершенства выпарных элементов
абсорбционных холодильных машин // Труды Всесоюзной научно-технической
конференции по термодинамике. Сборник докладов секции "Новые технические
схемы и циклы." - Л., 1969.
. Быков
А.В., Калнинь И.М., Крузе А.С. Холодильные машины и тепловые насосы. - М.:
Агропромиздат, 1988. - 286 с.
. Вургафт
А.В., Галимова Л.В. Массоотдача при сопутствующей ректификации в генераторах
АХМ / Известия вузов СССР. Пищевая технология. - 1974. - № 5.
. Вургафт
А.В., Галимова Л.В. Теплоотдача при кипении водоаммиачного раствора в стекающей
пленке на вертикальной трубе // Холодильная техника. - 1974. - № 2.
. Галимова
Л.В. Результаты экспериментального исследования и методика расчета
вертикального пленочного генератора абсорбционной водоаммиачной холодильной
машины // Тезисы докладов Всесоюзной конференции "Совершенствование
процессов, машин и аппаратов холодильной и криогенной техники и кондиционирования
воздуха". - Ташкент, 1977.
. Галимова
Л.В., Вургафт А.В. Изменение температурного напора по высоте вертикального
пленочного генератора абсорбционной холодильной машины // Холодильная техника.
- 1979. - № 7.
. Галимова
Л.В. К методике расчета выпарного элемента генератора АХМ // Тезисы докладов
научно-технической конференции "Повышение эффективности использования
теплообмен-ных аппаратов холодильных машин". - Астрахань, 1980.
. Галимова
Л.В. Использование агрегата АБХА-2500 для целей отопления на Астраханском
заводе резиновой обуви // Холодильная техника. - 1983. - № 4.
. Галимова
Л.В. Тепловой насос на базе АБХА-2500 // Тезисы докладов Всесоюзного
научно-практического семинара "Тепловые насосы в народном хозяйстве
СССР". - Калининград, 1990.
. Галимова
Л.В., Голиков Ф.Д. Исследование возможности применения тепловых насосов в
схемах очистки сточных вод гальванопроизводства. Вестник Астраханского
технического института рыбной промышленности и хозяйства. - М., 1993.
. Гуйго
Э.И. и др. Теоретические основы хладотехники.Ч.I. Термодинамика. - М.: Колос,
1994. - 286 с.
. Гуйго
Э.М. и др. Теоретические основы хладотехники.Ч. II. Тепломассообмен. - М.:
Колос, 1994. - 367 с.
. Дзино
А.А., Тимофеевский Л.С., Ковалевич Д.А. Синтез термодинамических циклов
одноступенчатой бромистолитиевой холодильной машины // Холодильная техника. -
1992. - № 6.
. Рей
Д., Макмайкл Д. Тепловые насосы. - М.: Энергоиздат, 1982. - 218 с.
. Розенфельд
Л.М., Ткачев А.Г. Холодильные машины и аппараты. - М.: Издательство торговой
литературы, I960. - 650 с.
. Сакун
И.А. и др. Холодильные машины. - Л.: Машиностроение, 1985. - 504 с.
. Сакун
И.А. и др. Тепловые и конструктивные расчеты холодильных машин. - Л.:
Машиностроение, 1987. - 418 с.
. Розенфельд
Л.М., Ткачёв А.Т. "Холодильные машины и аппараты", стр.338