Диссипативные структуры во времени и пространстве
МИНОБРНАУКИ
РОССИИ
Федеральное
государственное бюджетное образовательное учреждение высшего профессионального
образования
«Астраханский
государственный университет»
Кафедра
аналитической и физической химии
РЕФЕРАТ
Диссипативные
структуры во времени и пространстве
Астрахань
- 2015
Введение
Открытые системы, содержащие химически
реагирующие смеси и удерживаемые от релаксации к термодинамическому равновесию,
проявляют способность к характерным коллективным эффектам. В частности, в них самопроизвольно
зарождаются макроскопически упорядоченные состояния (т. н. диссипативные
структуры). Основными результатами теории диссипативных структур является
множественность состояний, различающихся по типу пространственной организации,
возможность как спонтанных, так и индивидуальных переходов между этими
состояниями, универсальное описание динамики становления макроскопической
упорядоченности.
1. Диссипация энергии
Диссипация энергии (от лат. dissipatio -
рассеяние) - переход части энергии упорядоченных процессов (кинетич. энергии
движущегося тела, энергии электрич. тока и т. п.) в энергию неупорядоченных
процессов, в конечном счёте - в теплоту. Системы, в которых энергия
упорядоченного движения с течением времени убывает за счёт диссипации энергии,
переходя в др. виды энергии, например в теплоту или излучение, называются
диссипативными. Для учёта процессов диссипации энергии в таких системах при
определенных условиях может быть введена диссипативная функция. Если диссипации
энергии происходит в замкнутой системе, то энтропия системы возрастает.
Диссипации энергии в открытых системах, обусловленная процессами уноса энергии
из системы, например в виде излучения, может приводить к уменьшению энтропии
рассматриваемой системы при увеличении полной энтропии системы и окружающей
среды. Это, в частности, обеспечивает важную роль процессов диссипации энергии
в уменьшении удельной энтропии вещества на стадиях образования галактик и
звёзд. [1]
. Диссипативные системы
Открытые системы, в которых наблюдается прирост
энтропии, называют диссипативными. В таких системах энергия упорядоченного
движения переходит в энергию неупорядоченного хаотического движения, в тепло.
Если замкнутая система (гамильтонова система), выведенная из состояния
равновесия, всегда стремится вновь придти к максимуму энтропии, то в открытой
системе отток энтропии может уравновесить ее рост в самой системе и есть
вероятность возникновения стационарного состояния. Если же отток энтропии
превысит ее внутренний рост, то возникают и разрастаются до макроскопического
уровня крупномасштабные флюктуации, а при определенных условиях в системе
начинают происходить самоорганизационные процессы, создание упорядоченных
структур. [3]
При изучении систем, их часто описывают системой
дифференциальных уравнений. Представление решения этих уравнений как движения
некоторой точки в пространстве с размерностью, равной числу переменных называют
фазовыми траекториями системы. Поведение фазовой траектории в смысле
устойчивости показывает, что существует несколько основных его типов, когда все
решения системы в конечном счете сосредотачиваются на некотором подмножестве.
Для динамических систем, зависящих от некоторого
параметра, характерно, как правило, плавное изменение характера поведения при
изменении параметра. Однако для параметра может иметься некоторое критическое
(бифуркационное) значение, при переходе через которое система претерпевает
качественную перестройку и, соответственно, резко меняется её динамика,
например, теряется устойчивость. Потеря устойчивости происходит, как правило,
переходом от точки устойчивости к устойчивому циклу (мягкая потеря
устойчивости), выход траектории с устойчивого положения (жесткая потеря
устойчивости), рождение циклов с удвоенным периодом. При дальнейшем изменении
параметра возможно возникновение хаотических процессов.
Кроме консервативных систем, изучаемых в
классической механике, нам нужно рассмотреть также системы, приводящие к
необратимым процессам. Простейшим примером такого рода могут служить системы с
трением.
Важная роль трения, представляющего собой особую
форму диссипативного процесса, была осознана задолго до создания классической
механики. Когда Аристотель высказал предположение, что все подлунные
динамические системы в общем случае стремятся к равновесию, на самом деле он
выражал идею о том, что нечто вроде "трения" должно замедлять
движение. В этом плане классический принцип инерции, отражающий основную роль
ускорения, а не скорости, соответствует некоторой идеализации, возникающей в
результате пренебрежения трением. [2,4]
Начиная с работ Фурье и Клаузиуса, в XIX в.
возрос интерес к диссипативным системам, приводящим к необратимым процессам.
Это было довольно естественно с учетом происходившей тогда промышленной
революции. Однако по той же причине диссипацию рассматривали тогда лишь в связи
с исчерпанием доступной энергии.
Интересно, что один из великих древнегреческих
философов,. Платон, был глубоко убежден в том, что как постоянство, так и
изменчивость являются составными частями реальности. Однако в XIX в. возникла
конфликтная ситуация. Так, в физике необратимость и диссипация воспринимались
как некоторая деградация, а, с другой стороны, биологическая эволюция,
очевидно, также являющаяся необратимым процессом, ассоциировалась. с
возрастанием сложности. Возможно, благодаря своему технологическому значению
механика жидких сред исторически оказалась первой областью, в которой была
полностью осознана решающая роль диссипативных процессов. Однако, по мере того
как постепенно утверждалась молекулярная концепция строения вещества,
аналогичная тенденция получила развитие в науке, химической кинетике, теории
броуновского движения и различных типах транспортных явлений. Сегодня уже
общепризнанно, что диссипативные системы представляют собой весьма широкий и
важный класс естественных систем. [6]
Ярче всего различие между консервативными и
диссипативными системами проявляется при попытке макроскопического описания
последних, когда для определения мгновенного состояния системы используются
такие коллективные переменные, как температура, концентрация, давление,
конвективная скорость и т. д. При рассмотрении уравнений, управляющих
поведением этих переменных, выясняется следующая их важная особенность: они не
инвариантны относительно операции обращения времени в отличие от уравнений
На этой основе можно ожидать, что чередование
соответствующих событий будет необратимым.
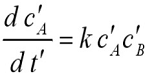
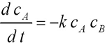
Эта ситуация удивительно ярко иллюстрируется на
примере химической реакции. Рассмотрим процесс, описываемый уравнением
.
Скорость расходования частиц типа А пропорциональна частоте встреч молекул
типов А и В, которая в случае разбавленных систем пропорциональна произведению
их концентраций. Таким образом, имеем
(1)
Очевидно, при обращении времени (t’=-t) и
введении обозначений
,
для
концентраций в зависимости от времени уравнение (1) принимает вид:
Теперь это уравнение описывает процесс, в
котором вещество типа А не расходуется, а производится. Разумеется, такой
процесс неэквивалентен описываемому уравнением (1).
В качестве дальнейших примеров диссипативных
процессов можно рассмотреть теплопроводность и диффузию. Как показывает
эксперимент, если в однородной жидкости возникает небольшая неоднородность, то
такое возмущение со временем расплывается и постепенно исчезает. Аналогичная
однозначно направленная эволюция наблюдается в случае небольшого изменения
температуры, внесенного быстро и локально в изотермическую жидкость.
Количественное описание этих явлений, блестяще согласующееся с опытными
данными, дается следующими уравнениями, называемыми соответственно уравнением Фика
и уравнением Фурье:
(2)
(3)
где с-концентрация некоторого вещества,
растворенного в жидкости, Т- температура, D - массовый коэффициент диффузии н
х-коэффициент температуропроводности. При обращении времени мы опять получаем
совершенно другие законы:
Согласно этим уравнениям, начальное возмущение
температуры или концентрации будет не затухать, а возрастать.
Как концентрация, так и температура являются
примерами "четных" переменных, поскольку знак этих переменных при
обращении времени не меняется. Напротив, импульс частиц или конвективная
скорость жидкости являются "нечетными" переменными, поскольку они
являются производными по времени от переменных типа координаты и меняют знак
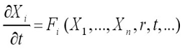
при обращении времени. Это приводит к следующему общему свойству уравнения
эволюции диссипативной системы. Обозначим полный набор макроскопических
переменных такой системы
. Эволюция этих
переменных во времени будет описываться системой уравнений:
Здесь функции Fi могут сколь угодно сложным
образом зависеть от переменных Х и их пространственных производных и явным
образом-от пространственных координат r и времени t. Тогда, если мы совершим
операцию обращения времени t'= -t в диссипативной системе, то по меньшей мере
одна из функций скоростей
, соответствующая
четной переменной
должна содержать
инвариантную часть, в то время как функция скорости
,
соответствующая нечетной переменной
,
должна содержать часть, меняющую знак при обращении времени. Примеры функций
скоростей первого класса дают правые части уравнений (1)-(3), примером же
второго класса является вклад вязкости в уравнение баланса импульса жидкости,
участвующей в конвективном движении.
Как и в случае консервативных систем, для
диссипативных систем также можно ввести удобное фазовое пространство. Оно
включает в себя ансамбль имеющихся переменных и поэтому становится
бесконечномерным пространством в случае непрерывной среды, где различные
характеристики являются пространственно распределенными величинами [см.
уравнения (2) и (3)]. Поэтому удобнее всего работать с фазовым пространством,
когда оно содержит дискретное число переменных, и в особенности когда это число
конечно и, желательно, невелико.
Рис. 1. Представление диссипативной системы в
фазовом пространстве,
а - система, описываемая одной переменной в
соответствии с уравнением (1), б-система с двумя переменными, уравнение (5).
Например, в случае уравнения (1) фазовое
пространство сводится к линии, на которой и находится фазовая траектория (рис.
1, а). Менее тривиальным примером является химическая реакция, описываемая
следующей кинетической схемой:
Соответствующие кинетические уравнения имеют вид
(5)
Фазовые траектории для такой системы показаны на
рис. 1, б. Полезно иметь в виду, что некоторые диссипативные системы можно
преобразовать к консервативному виду и привести их к гамильтоновой форме.
Примером может служить знаменитый механизм Лотки-Вольтерра
(6)
В этой системе имеется некоторый нетривиальный
интеграл движения, играющий роль "гамильтониана". И все же, несмотря
на свой кажущийся консервативный характер, эта система неинвариантна
относительно обращения времени, поскольку обе переменные Х и Y являются
положительными. Поэтому нет смысла приписывать им свойства, аналогичные импульсу
в классической механике, что необходимо для такой инвариантности.
Пока еще не рассматривался вопрос о связи между
диссипативными и консервативными системами, а также вопрос о возможности
перехода от одного описания к другому. [6]
3. Диссипативные структуры. Виды
Диссипативные структуры являются результатом
развития собственных внутренних неустойчивостей в системе. Процессы
самоорганизации возможны при обмене энергией и массой с окружающей средой, т.
е. при поддержании состояния текущего равновесия, когда потери на диссипацию
компенсируются извне. Эти процессы описываются нелинейными уравнениями для
макроскопических функций.
Диссипативные структуры можно разделить на:
временные
пространственные
пространственно-временные
Примерами временных структур являются
периодические, колебательные и волновые процессы. Типичными примерами
пространственных структур являются: переход ламинарного течения в турбулентное,
переход диффузионного механизма передачи тепла в конвективный. Характерные
примеры: турбулентность, ячейки Бенара и сверхрешетка пор.
Развитие турбулентности начинается при
достижении числом Рейнольдса критического значения. Ламинарное течение
становится неустойчивым, возникают стационарные колебания скорости движения,
затем более сложное движение до, все увеличивающимся числом характерных частот.
Это чрезвычайно сложное квазипериодическое движение иногда называют
динамическим хаосом.
Примерами пространственно-временных структур
являются режим генерации лазера и колебательные химические реакции. Возникновение
когерентного излучения в лазере происходит при достижении мощности накачки
(подводимой энергии) порогового значения. Атомы или молекулы рабочего тела
лазера, излучавшие до этого независимо друг от друга, начинают испускать свет
согласованно, в одной фазе.
Фазовый переход в физике означает скачкообразное
изменение физических свойств при непрерывном изменении внешних параметров.
Неравновесный фазовый переход определяется флуктуациями. Они нарастают,
увеличивают свой масштаб до макроскопических значений. Возникает неустойчивость
и система переходит в упорядоченное состояние. Неравновесные фазовые переходы
различной природы имеют общие характеристики. Прежде всего, упорядочение
связано с понижением симметрии, что обусловлено появлением ограничений из-за
дополнительных связей (корреляций) между элементами системы. Л. Д. Ландау в
1937 г. предложил общую трактовку фазовых переходов 2-го рода как изменение
симметрии. В точке перехода симметрия меняется скачком. Также общим свойством
кинетических фазовых переходов является наличие фундаментальной
макроскопической переменной, позволяющей дать единое описание процесса
упорядочения - параметра порядка. По своему физическому смыслу параметр порядка
- это корреляционная функция, определяющая степень дальнего порядка в системе.
[7.8]
. Общая теория диссипативных структур
Известно, что диссипативные структуры - это
устойчивые пространственно неоднородные структуры, возникающие в результате
развития неустойчивостей в однородной неравновесной диссипативной среде. Термин
предложен И. Пригожиным (I. Prigogine). Примером диссипативных структур могут
служить ячейки Бенара (чередование восходящих и нисходящих конвекционных
потоков в жидкости), страты в плазме, неоднородные распределения концентраций в
хим. реакторах, перистые облака и др. явления. Основы общей теории
диссипативных структур сформулированы А. Тьюрингом (A. Turing) в 1952.
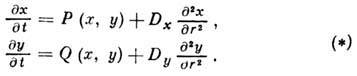
Простейшие модели диссипативных структур
описываются двумя динамическими переменными х, у, зависящими от времени t и
одной пространственной координаты r:
) Одна из переменных (напр., х) является
"автокаталитической", другая (у) - "демпфирующей". Это
значит, что в системе, линеаризованной вблизи стационарного состояния
[такого,
что 
], величина
положительна,
а величина
отрицательна.
Величины
и
также
должны иметь разные знаки. Такие условия выполняются лишь в термодинамически
неравновесных открытых системах; согласно терминологии Пригожина, они относятся
к области "нелинейной термодинамики".
) Коэффициент диффузии автокатализатора должен
быть меньше коэффициента диффузии для демпфера (т. е. Dx<Dy).
При выполнении условий (1) и (2) однородное
стационарное состояние
может терять
устойчивость по отношению к гармоничным возмущениям с определённой длиной
волны, соизмеримой с L. Значения параметров системы (*), при которых декремент
затухания упомянутых возмущений обращается в нуль, называются бифуркационными,
а само явление - бифуркацией Тьюринга. Система отбирает из внешних возмущений
ограниченное число гармоничных мод (в предельном случае одну), которые могут
нарастать. Их нарастание стабилизируется нелинейными членами функций P(х, у)и
Q(x, у). При значениях параметров, близких к бифуркационным, образуется плавная
гармоничная диссипативная структура. Вдали от точки бифуркации возникают
контрастные диссипативные структуры которые состоят из узких участков резкого
изменения автокаталитической переменной х, чередующихся с широкими участками
плавного изменения переменных. При обратном соотношении между коэффициентом
диффузии
в
системе возникают автоволны. Все изученные модели диссипативные структуры
разбиваются на два класса, которые можно привести в соответствие с катастрофами
типа "складка" и "сборка". Класс диссипативных структур
определяется числом экстремумов функции
,
являющейся решением уравнения
.
В случае одного экстремума (складка) контрастная
диссипативная структура состоит из ряда узких "пиков"
автокаталитической переменной х(r), разделённых длинными участками плавного
изменения обеих переменных. Если имеется два экстремума (сборка), то возможно
образование контрастных диссипативных структур ступенчатой формы, состоящих из
широких участков повышенного и пониженного содержания автокатализатора; узкие
границы между ними - фронты резкого изменения х(r).
На отрезке длины L может существовать несколько
(много) различных периодичных диссипативных структур, реализация каждого
решения зависит от истории возникновения диссипативной структуры. Контрастные
диссипативные структуры весьма чувствительны к малым неоднородностям
пространства, поэтому могут возникать достаточно стабильные не периодичные
диссипативные структуры (в которых длины плавных участков различны). Теорию
диссипативных структур используют для качественного описания явлений
самоорганизации в природе. В частности, в биофизике её применяют для описания
спонтанного возникновения структуры при развитии организма (морфогенез), пространственно
неоднородного распределения особей в экологии и структуры колоний у ряда
микроорганизмов. Теория диссипативных структур входит как существенная часть в
синергетику и теорию автоволн. [8,12]
5. Диссипативные структуры и самоорганизация
неравновесных систем
диссипативный фазовый временный
турбулентность
В XIX веке изучали лишь наиболее простые,
замкнутые системы, не обменивающиеся с внешней средой ни веществом, ни
энергией; при этом в центре внимания находилась конечная стадия
термодинамических процессов, когда система пребывает в состоянии, близком к
равновесию. Тогдашняя термодинамика была равновесной термодинамикой. Именно
равновесные состояния (в разреженном газе) изучал Больцман, с чем и была
связана постигшая его творческая неудача: горячо восприняв идею эволюции
(хорошо известна его оценка: "Девятнадцатый век - это век Дарвина"),
он потратил массу сил и времени на то, чтобы дать дарвинизму строгое физическое
обоснование - но так и не сумел этого сделать. Более того, введенный им принцип
порядка налагает прямой запрет на возникновение организованных (и потому менее
вероятных) структур из неорганизованных - т.е. на прогрессивную эволюцию. На
неравновесные же процессы в то время смотрели как на исключения, второстепенные
детали, не заслуживающие специального изучения. Ныне ситуация коренным образом
изменилась, и как раз замкнутые системы теперь рассматривают как сравнительно
редкие исключения из правила. При этом было установлено, что в тех открытых
системах, что находятся в сильно неравновесных условиях, могут спонтанно
возникать такие типы структур, которые способны к самоорганизации, т.е. к
переходу от беспорядка, "теплового хаоса", к упорядоченным
состояниям. Создатель новой, неравновесной термодинамики Пригожин назвал эти
структуры диссипативными - стремясь подчеркнуть парадокс: процесс диссипации
(т.е. безвозвратных потерь энергии) играет в их возникновении конструктивную
роль. Особое значение в этих процессах имеют флуктуации - случайные отклонения
некой величины, характеризующей систему из большого числа единиц, от ее
среднего значения (одна из книг Пригожина так и называется -
"Самоорганизация в неравновесных системах. От диссипативных структур к
упорядочению через флуктуации")[7,8]
Одним из простейших случаев такой спонтанной
самоорганизации является так называемая неустойчивость Бенара. Если мы будем
постепенно нагревать снизу не слишком толстый слой вязкой жидкости, то до
определенного момента отвод тепла от нижнего слоя жидкости к верхнему
обеспечивается одной лишь теплопроводностью, без конвекции. Однако когда
разница температур нижнего и верхнего слоев достигает некоторого порогового
значения, система выходит из равновесия и происходит поразительная вещь. В
нашей жидкости возникает конвекция, при которой ансамбли из миллионов молекул
внезапно, как по команде, приходят в согласованное движение, образуя
конвективные ячейки в форме правильных шестиугольников. Это означает, что
большинство молекул начинают двигаться с почти одинаковыми скоростями, что
противоречит и положениям молекулярно-кинетической теории, и принципу порядка
Больцмана из классической термодинамики. Если в классической термодинамике
тепловой поток считается источником потерь (диссипации), то в ячейках Бенара он
становится источником порядка. Пригожин характеризует возникшую ситуацию как
гигантскую флуктуацию, стабилизируемую путем обмена энергией с внешним
миром.[13]
Еще более удивительны явления самоорганизации,
происходящие в неравновесных химических системах (например, в так называемых
химических часах). Если в ячейках Бенара речь шла о согласованных механических
движениях молекул, то здесь мы имеем дело со столь же согласованными, "как
по команде", их химическими превращениями. Предположим, что у нас имеется
сосуд с молекулами двух сортов - "синими" и "красными".
Движение молекул хаотично, поэтому в любой из частей сосуда концентрация
"синих" и "красных" молекул будет несколько отклоняться от
средней то в одну, то в другую сторону, а общий цвет реакционной смеси должен
быть фиолетовым с бесконечными переходами в сторону синего и красного. А вот в
химических часах мы увидим нечто совершенно иное: цвет всей реакционной смеси
будет чисто-синий, затем он резко изменится на чисто-красный, потом опять на
синий, и т.д. Как отмечает Пригожин, "столь высокая упорядоченность, основанная
на согласованном поведении миллиардов молекул, кажется неправдоподобной, и если
бы химические часы нельзя было наблюдать "во плоти", вряд ли кто-
нибудь поверил бы, что такой процесс возможен". (По поводу последнего
следует заметить, что первооткрывателю этого типа реакций Белоусову П.Б.
пришлось на протяжении многих лет доказывать, что демонстрируемые им - причем
именно "во плоти"! - химические часы не являются просто фокусом.)
[5,9]
Помимо химических часов, в неравновесных
химических системах могут наблюдаться и иные формы самоорганизации: устойчивая
пространственная дифференциация (в нашем примере это означало бы, что правая
половина сосуда окрасится в красный цвет, а левая - в синий), или
макроскопические волны химической активности (красные и синие узоры,
пробегающие по фиолетовому фону). Однако для того, чтобы в некой системе
начались процессы самоорганизации, она должна быть как минимум выведена из
стабильного, равновесного состояния. В ячейках Бенара неустойчивость имеет
простое механическое происхождение. Нижний слой жидкости в результате нагрева
становится все менее плотным и центр тяжести смещается все дальше наверх; по
достижении же критической точки система "опрокидывается" и возникает
конвекция. В химических системах ситуация сложнее. Здесь стационарное состояние
системы представляет собой ту стадию ее развития, когда прямая и обратная
химические реакции взаимно уравновешиваются, и изменения концентрации реагентов
прекращаются. Вывести систему из этого состояния очень трудно, а в большинстве
случаев - просто невозможно; не зря реакции типа "химических часов"
были открыты лишь недавно, в пятидесятые годы (хотя их существование было
теоретически предсказано математиком Р. Вольтерра еще в 1910 г.). Для того,
чтобы устойчивость стационарного состояния оказалась нарушенной, есть одно
необходимое (но не достаточное) условие: в цепи химических реакций,
происходящих в системе, должны присутствовать автокаталитические циклы, т.е.
такие стадии, в которых продукт реакции катализирует синтез самого себя. А ведь
именно автокаталитические процессы, как мы помним по разделу Происхождение
жизни, составляют основу такого процесса, как жизнь. Итак, жизнь можно
рассматривать как частный случай в ряду процессов химической самоорганизации в
неравновесных условиях, происходящих на основе автокатализа. [10,11]
Заключение
В настоящее время концепция и методы
рассмотрения диссипативных структур проникли не только в область естественных,
но и социальных наук, синергетические методы начинают находить применение в
гуманитарных науках - экономике, социологии, психологии, лингвистике и т.д. В
качестве конкретного социологического примера можно привести разработку Хакеном
стохастической модели формирования общественного мнения, в которой содержится
резкий переход между различными состояниями. Появляются попытки
синергетического осмысления искусства. Синергетическая парадигма особенно
интересна тем, что она акцентирует внимание на аспектах реальности, наиболее
характерных для современной стадии социальных изменений: разноупорядоченности,
неустойчивости, разнообразия, неравновесности, нелинейных соотношений, в
которых малый сигнал на входе может вызвать сколь угодно сильный отклик на
выходе, и темпоральности - повышенной чувствительности к ходу времени. Новые
идеи, развитые в области термодинамики неравновесных процессов, уменьшили
разрыв между дисциплинами, которые традиционно рассматривались как «простые», и
такими науками, как биология и социология, считавшимися сложными.
Библиографический список
1.
Белинцев Б.Н. Диссипативные структуры и проблема биологического
формообразования. М. 1983.
.
Васильев В. А., Романовский Ю. M., Яхно В. Г., Автоволновые процессы в
распределенных кинетических системах, ".УФН", 1979, т. 128, с. 625;
.
Заварзин Г.Л. Становление системы биохимических циклов. Новосибирск.2003.
.
Кернер Б. С., Осипов В. В., Стохастически неоднородные структуры в
неравновесных системах, "ЖЭТФ", 1980, т. 79,
.
Марков А. Происхождение жизни. М. 2006.
.
Николис Г., Пригожин А.И. Самоорганизация в неравновесных системах .М. 1979.
.
Пригожин А.И . Самоорганизующиеся системы. М. 1964.
.
Соколов Б.С., Федонкин М.А. Обзор древнейших этапов эволюции жизни. М. 1988.
.Тимофеев
Н.Н. Самоорганизация жизни. М. 2007.
.Яровой
В.В. Эволюция от А до Я. В 2 чч. М. 2005.
.
Turing A. M., Chemical basis of morphogenesis, "Phil. Trans. Roy. Soc.,
Ser. B", 1952, v. 237, p. 37. (Д. С. Чернавский)
.
Хлопов М. Ю. Космомикрофизика. - М.: Знание, 1989.