Сировиготовлювач
Вступ
Молочна промисловість України -
високо розвинута галузь агропромислового комплексу, на її підприємствах
виробляється біля 17 % загального обсягу товарної продукції харчової
промисловості, зосереджено 9,9 % вартості основних виробничих фондів і 10 % чисельності
промислово виробничого персоналу.
Підприємства галузі на території
України розташовані переважно в районах зосередження міського населення, а
також в деяких областях, де ряд виробництв прив'язані до сировинних зон. Повне
оновлення матеріально технічної бази молочної промисловості - одне з
найважливіших умов переводу галузі на інтенсивний шлях розвитку.
Останнім часом виросла тенденція до
універсалізації підприємств - на міських молочних заводах впроваджується
виробництво масла, казеїну, сиру твердого, сухих молочних продуктів. Основними
причинами, які стримують підвищення рівня споживання, є такі:
недостатні ресурси молока в
сільськогосподарських господарствах;
висока собівартість виробництва
молока та його переробки на молочні продукти;
недостатня концентрація процесів
виробництва;
недостатня закупівля молока в
приватному секторі;
недостатнє споживання продукції з
незбираного молока, сирів жирних, морозива, продукції із знежиреного молока;
низька купівельна спроможність
основної маси населення;
високі ставки ПДВ на молочну
продукцію;
низький рівень державної підтримки
сільськогосподарського товаровиробника.
Із метою стабілізації ситуації в
тваринництві й молочній підгалузі та поступового виведення їх з кризового стану
потрібно вирішити такі питання:
зменшити ставки ПДВ на молочну
продукцію;
створити оптово-закупівельну
організацію для закупівлі лишків молочних продуктів у період масової заготівлі
молока за мінімальними цінами;
створити державну агенцію
реструктуризації та модернізації переробної промисловості та сільського
господарства;
перейти до світової практики системи
сезонних закупівельних цін на молоко і продукції в сезон масового виробництва з
метою покриття витрат на зберігання для реалізації у міжсезонний період;
врегулювати оподаткування підприємств
молочної промисловості у разі придбання імпортного устаткування;
сприяти збільшенню обсягів закупівлі
молока у приватному секторі та підвищення якості молочної сировини переробним
підприємством.
Важливе значення для ефективної
роботи підприємств молочної промисловості має раціональне використання трудових
ресурсів. Економія трудових витрат в значній мірі залежить від механізації і
автоматизації виробництва. На підприємствах молочної промисловості частина
ручної роботи в даний час ще висока. Особливо це відноситься до
завантажувально-розвантажувальних робіт.
Важливу роль в покращенні
використання основних промислово-виробничих фондів відіграють удосконалення
технології та обладнання, тому що на даний час вони не відповідають сучасним
вимогам на ряді переробних підприємств молочної промисловості.
1. Порівняльний
аналіз технічних рішень поставленої задачі
.1 Будова
і робота сировиготовлювачів
Розглянемо сировиготовлювач із
пресуючою ванною конструкції ВНІМІ (рис. 1.1).
Рисунок 1.1 - Сировиготовлювач із
пресуючою ванною конструкції ВНІМІ 1 - робоча ванна; 2 - гидроциліндр; 3 -
пресуюча ванна; 4 - патрубок; 5 - відбірник сироватки; 6 - люк; 7 - кран; 8 -
візок.
Сировиготовлювач з пресуючою ванною
(рис. 1.1) являє собою здвоєний агрегат ванни для утворення білкового згустку
(дві ванни ємністю по 2000 л) і ванни, що пресує. У ванні для утворення згустку
здійснюється сквашування молока і розрізання згустку. Пресуюча ванна має
перфоровану поверхню з надягнутої на неї фільтруючою основою для пресування
згустку.
Працює сировиготовлювач у такий
спосіб. Після утворення згустку у ванні його розрізають на кубики спеціальними
ножами. Сироватку, що виділилася в процесі розрізання, відводять із ванни відбірником,
що представляє собою перфорований циліндр із патрубком і фільтруючою тканиною.
Після цього вмикають пресуючу ванну, яка опускаючись у ванну із сирним
згустком, пресує його. Сироватка через перфоровані стінки й фільтруючий
матеріал проникає у пресуючу ванну. Звідси сироватку відводять через патрубок,
гнучкий шланг якого з'єднаний із самовсмоктувальним насосом. Після завершення
пресування ванну, що пресує, повертають у вихідне положення, а відпресований
сир через люк ванни для утворення згустку вивантажують у приймальний бункер
транспортера для подальшої обробки.
Найважливішими параметрами обробки
згустку є величина тиску на згусток пресуючої ванни і швидкість її опускання.
Пресуюча ванна піднімається й опускається гідравлічним приводом. Сироробна
ванна СВ-1000 з механічною мішалкою призначена для підігріву молока гарячою
водою через стінку теплообмінної сорочки, згортання молока з подальшою
механічною обробкою згустка і різання сирного пласта.
Рисунок 1.2 - Сироробна ванна
СВ-1000:
1
- корпус; 2 - робоча ванна; 3 - несуча конструкція приводу; 4 - привід; 5 -
мішалка; 6 - шиберний кран
Робоча ванна 2 (рис. 1.2)
прямокутної форми із закруглюючими стінками торців і кутами зварної конструкції
з листової нержавіючої сталі марки Х18Н9Т оточена сталевим корпусом з
дерев'яною обшивкою та захисним кожухом. Простір між ванною і корпусом служить
теплообмінною сорочкою для нагріву і охолоджування продукту.
На днищі сорочки розташований
барботер з отворами діаметром 5 мм, приєднаний через штуцер, уваренний в корпус
1, і вентиль до парової магістралі.
У нижній частині стінки торця
зовнішнього корпусу є патрубок з краном для зливу води з сорочки. Конденсат, що
утворюється в сорочці, відводиться через переливним патрубок в середній частині
стінки корпусу. Для запобігання днища ванни від прогинання при пресуванні
сирного пласта передбачені дерев'яні опорні грати. Злив із ванни сирної маси,
сироватки і мийної води проводять через штуцер з шиберним краном 6.
На несучій конструкції 3 із
сталевого прокату встановлена каретка з приводним механізмом мішалки ліровидної
конструкції. Привід 4 забезпечує обертання мішалки 5 навколо осі.
Розглянемо сировиготовлювач СПД-5
конструкції ЦКБ Мясомолмаша (рис. 1.3).
Рисунок 1.3 - Сировиготовлювач СПД-5
Сировиготовлювач СПД-5 конструкції
ЦКБ Мясомолмаша складається з герметичної кришки 2, приводу 7, конструкції
робочих інструментів і ежектора 10. Ежектор створює розрідження в казані і
підтримує постійний тиск перед випускним краном, що необхідне для рівномірного
розвантаження сировиготовлювача.
Стінки казана виготовлені з
неіржавіючої сталі. В міжстінний простір підводиться вода і пара. Кришку 2
піднімають і опускають за допомогою ручного масляного насоса.
Привід 7 складається з
електродвигуна і безступінчатого гідравлічного варіатора швидкостей. Він
розміщується на плиті, прикріпленій до опор казана. Рух від електродвигуна
через редуктор передається вертикальному валу 4, який проходить по трубі з
неіржавіючої сталі, розташованої в центрі казана. На верхньому кінці валу
знаходиться головка 1 для кріплення робочих інструментів.
Управління всіма вентилями, краном
для відбору сироватки, вакуумом і варіатором швидкості здійснюється з
майданчика для обслуговування 14.
1.2 Патентні
розробки по даному виду обладнання
Проаналізуємо сучасний стан
конструктивного вирішення проблем даного обладнання. На основі приведених трьох
патентних розробок по даному обладнанню, з'ясуємо як усувалися недоліки
сировиготовлювача.
Розглянемо перший патент на винахід
[Державне патентне відомство - А 01 J 25/02, №1261592].
В основу винаходу поставлена задача
удосконалення апарата для виробництва сирного зерна, в якому шляхом схрещення
циліндрів, у крайній мірі однієї пари вставок, і встановлення додаткового
ріжуче-вимішувального механізму забезпечується підвищення надійності роботи
апарата і ефективності виробітку сирного зерна і за рахунок цього досягається
зниження втрат білка, підвищується якість виробленого продукта, знижуються
потреби тепло- і електроенергії.
Поставлена задача вирішується тим,
що в апараті для виробітку сирного зерна, який має вертикальну ємність у формі
двох схрещених циліндрів і ріжуче-вимішувальний механізм із лопатями,
закріпленими на приводних валах, співвісних відносно циліндра, згідно винаходу,
циліндри схрещенні, по крайній мірі, однією парою вставок, які мають радіус
кривизни, рівним радіусу циліндрів, вставки розміщенні діаметрально протилежно
від загальної вісі, паралельної вісям циліндрів, при чому по цій вісі встановлений
додатковий вал із закріпленою на ньому додатковою лопаттю.
За рахунок встановлення додаткової
лопаті, збільшується площа, ометена робочими органами мішалки, а також
збільшується доля участків перекритих зон обертаючих лопатей, а отже, і швидкість
вихідного потоку сироватки, а це, в свою чергу, дозволяє зменшити частоту
обертання мішалок, тим самим покращити якість виробленого сирного зерна і
підвищити надійність роботи апарата.
Розглянемо другий патент на винахід
[Державне патентне відомство - А 01 J 25/02, №1830652].
В основу винаходу поставлена задача
удосконалення сировиготовлювача, в якому шляхом зміни конструкції вставок для
схрещення циліндрів і розміщення вісей обертання лопатей на однаковій відстані
забезпечується спрощення конструкції, підвищення надійності роботи
сировиготовлювача і ефективності теплообміну, і за рахунок цього досягається
підвищення якості готової продукції та зниження вартості обладнання.
Поставлена задача вирішується тим,
що в сировиготовлювачі, який має вертикальну ємність у формі двох циліндрів,
схрещених парою діаметрально-протилежних вставок, і ріжуче вимішувальний
механізм із трьома лопатями, вісі обертання яких співпадають із вісями
циліндрів і центральною віссю сировиготовлювача, згідно винаходу вставки
виконані у вигляді паралельних вертикальних плоских пластин, а вісі обертання
лопатей розміщенні одне від одного на однаковій відстані, рівній 0,5…1 радіуса
циліндрів, утворюючих вертикальну ємність.
Виконання вставок між циліндричними
ємностями сировиготовлювача у вигяді діаметрально-протилежних паралельних
вертикальних плоских пластин дозволяє спростити конструкцію, інтенсифікувати
процес теплообміну і за рахунок цього зменшити частоту обертання лопатей і
підвищити надійність роботи.
Запропонований сировиготовлювач у
порівнянні з відомими апаратами для вироблення сирного зерна дозволяє спростити
конструкцію, підвищити надійність роботи й інтенсифікувати процес теплообміну
обладнання, що призводить до зниження його вартості й підвищення якості
виробленого продукту. Висока степінь уніфікації конструкційних елементів
дозволяє виготовлювати апарати різних типорозмірів і оснащувати сироробну
галузь ефективним і надійним в роботі обладнанням.
Розглянемо третій патент на винахід
[Державне патентне відомство -А 01 J 25/02, №1159524].
В основу винаходу поставлена задача
удосконалення сировиготовлювача для вироблення сирного зерна, в якому шляхом
зміни взаєморозміщення циліндричних ємностей забезпечують оптимальні умови для
різання і вимішування сирного згустку й цим самим підвищують ефективність його
оброблення.
Поставлена задача вирішується тим,
що в апараті для виробітку сирного зерна, який має вертикальну ємність,
утвореним, у меншій мірі, трьома схрещеними циліндричними ємностями і днищем,
ріжуче-вимішувальний механізм із мішалками, встановленими в кожній із
циліндричних ємностей із можливістю обертання навколо вісей, згідно винаходу
циліндричні ємності схрещенні таким чином, що їх вісі розміщенні на одному
округленні, центр якого співпадає із центральною віссю резервуара і
рівновіддалені друг від друга, ріжуче-вимішувальний механізм має додаткову
мішалку, вісь обертання якої співпадає із центральною віссю резервуара.
Виконання робочого резервуара
апарата у вигляді схрещених циліндричних ємностей, вісі яких розміщенні на одному
округленні на однаковій відстані одне від одного, центр цього округлення є
центром центральної вісі резервуара, дозволяє у порівнянні з аналогом при
одному і тому ж об'ємі на 10-15% збільшити площу поверхні резервуара, через
який виконується теплопередача, що призводить при одній і тій кількості тепла
до зменшення часу нагрівання сирного згустку.
Встановлення у резервуарі додаткової
мішалки, вісь обертання якої співпадає із його центральною віссю, дозволяє
збільшити величину участків взаємного перекриття зон, дія мішалок на 25-35%
краща, що сприяє підвищенню ефективності оброблення сирного згустку.
2. Техніко-економічне, соціальне
обґрунтування
Головна мета дипломного проекту
полягає у необхідності розробки або модернізації даного обладнання з позицій
економічної, соціальної та технічної доцільності. Головну увагу потрібно
звернути на основних техніко-економічних намірах вибору конструкції машин і
апаратів, що проектуються чи модернізуються.
Молочна промисловість є однієї зі
стратегічно важливих галузей для харчової промисловості України. Вона поєднує в
собі виробників із переробки молока та молочних продуктів. Кінцевими продуктами
цього величезного агропромислового комплексу є молоко в асортименті, а також
побічна продукція - кефір, сир, йогурт, ряжанка та ін. Головними задачами для
галузі є: підвищення обсягів виробництва, зменшення кількості ручної праці,
підвищення якості продукції та підвищення екологічності обладнання та
технологій.
Стан екології на території України
досить складний, в наш час екологічні проблеми практично не вирішуються. Тому
вирішення екологічних проблем в харчовій промисловості є кроком для покращення
екологічного стану. Задачею для конструкторів є створення обладнання яке б мало
зменшені паро, газо- та енерговитрати, мінімальні викиди та скиди речовин, їх
утилізація; використання екологічно чистих конструктивних матеріалів.
Основною задачею
інженерів-конструкторів при проектуванні обладнання є забезпечення молочної
промисловості сучасним обладнанням з високим технічним рівнем, високим ступенем
автоматизації та можливістю його уніфікації, зменшення кількості ручної праці.
В проекті передбачена модернізація
сировиготовлювача, в якому шляхом виконання пристрою для відбору сироватки у
виді забірної та зливної труб , з'єднаних через золотниковий елемент,
забезпечується підвищення надійності роботи апарата і зменшення втрат сирного
зерна та за рахунок цього досягається підвищення якості сирного зерна, що
виробляється, зниження витрат при експлуатації сировиготовлювача.
Виконання пристрою для відбору
сироватки у вигляді забірної та зливної труб, з'єднаних через золотниковий
елемент, дозволяє розмістити в одному пристрої вузли для відбору сироватки і
вивантаження сирного зерна, що дає можливість використовувати один привід.
Запропонована конструкція дозволяє проводити інтенсивний відбір сироватки
самопливом, без застосування насосу. Таким чином відбувається збільшення
надійності роботи сировиготовлювача, зниження енергозатрат і собівартості
виробленої продукції.
Відбір сироватки через забірну трубу
з поверхні забезпечує видалення найбільш очищеної від сирного зерна сироватки.
Регулювання вертикального положення забірної труби дозволяє проводити відбір
сироватки без зупинки мішалок, що зменшує втрати сирного зерна і підвищує
надійність роботи сировиготовлювача за рахунок виключення технологічних
операцій осадження сирного зерна і подальшого дроблення пласту.
Крім того, розміщення забірної труби
по вісі симетрії сировиготовлювача також сприяє зниженню втрат сирного зерна,
так як при обертанні мішалок сирне зерно під дією відцентрових сил видаляється
від центру до периферії робочої ємності.
Виконання золотникового елемента з
можливістю вертикального переміщення у зливній трубі забезпечує почергове
відкривання і закривання патрубків для відбору сироватки і вивантаження сирного
зерна, а також дозволяє виконати вивантаження сирного зерна у вершині конуса,
тобто в центральній частині днища сировиготовлювача. Вивантаження сирного зерна
через отвори золотникового елементу, при положенні останнього у крайньому
верхньому положенні забезпечить беззалишкове спорожнення сировиготовлювача і
дозволяє зменшити втрати сирного зерна в порівнянні з аналогом.
Виконання днища золотникового
елемента під кутом, рівним куту нахилу патрубка вивантаження сирного зерна, дозволяє
виключити втрати сирного зерна. При відборі сироватки, коли золотниковий
елемент знаходиться у крайньому нижньому положенні, захопленні потоком
сироватки дрібні частинки сирного зерна (сирний пил) осідають на днищі
золотникового елементу. При вивантаженні сирного зерна, коли золотниковий
елемент знаходиться у крайньому верхньому положенні, суміш сирного зерна і
сироватки, змиваючи сирний пил, через патрубок вивантаження сирного зерна
вивантажується із сировиготовлювача. Запропонована конструкція виключає втрати
сирного зерна, що дозволяє збільшити вихід готового продукту і знизити затрати
на очищення сироватки при комплексному використанні вторинної сировини.
Крім того, дана конструкція дозволяє
покращити санітарну обробку сировиготовлювача і зменшити витрати миючих засобів
та води за рахунок повного беззалишкового спорожнення сировиготовлювача.
Отже, можна сказати, що
модернізований сировиготовлювач Я5-ОСЖ-10 доцільний до впровадження на заводах,
що сприятиме організації високопродуктивного виробництва з високим рівнем
автоматизації, що у свою чергу приведе до зростання об’ємів виробництва та
економічного процвітання галузі.
Економічна ефективність від
впровадження даної модернізації підтверджується подальшими технологічними
розрахунками.
3. Сутність
модернізації. Будова та принцип роботи обладнання
В основу винаходу покладена задача
удосконалення сиро виготовлювача, в якій шляхом виконання пристрою для відбору
сироватки у вигляді забірної та зливної труб, з’єднаних через золотниковий
елемент, забезпечується підвищення надійності роботи апарата і зменшення втрат
сирного зерна і за рахунок цього досягається підвищення якості сирного зерна,
що виробляється, зниження витрат при експлуатації сировиготовлювача.
Поставлена задача вирішується тим,
що в сировиготовлювачі, що включає вертикальний резервуар із привідним
ріжуче-вимішувальним механізмом, патрубок для вивантаження сирного зерна і
пристрій для відбору сироватки, встановлено по вісі симетрії резервуару із
можливістю зворотньопоступального переміщення по вертикалі, згідно винаходу
пристрій для відбору сироватки виконано у вигляді забірної та зливної труб,
з’єднаних через золотниковий елемент, в нижній частині якого розміщенні отвори
для відбору сироватки і вивантаження сирного зерна, при цьому золотниковий
елемент встановлено із можливістю вертикального переміщення у зливній трубі, в
якій розміщенні патрубки для відбору сироватки і вивантаження сирного зерна.
Виконання пристрою для відбору
сироватки у вигляді забірної та зливної труб, з’єднаних через золотниковий
елемент, дозволяє розмістити в одному пристрої вузли для відбору сироватки і
вивантаження сирного зерна, що дає можливість використовувати один привід.
Запропонована конструкція дозволяєпроводити інтенсивний відбір сироватки
самопливом, без застосування насосу. Таким чином підвищується надійність роботи
сировиготовлювача, знижуютьсяенергозатратитасобівартость виробленої продукції.
Відбір сироватки через забірну трубу
з поверхні забезпечує видалення найбільш очищеної від сирного зерна сироватки.
Регулювання вертикального положення забірної труби дозволяє проводити відбір
сироватки без зупинки мішалок, що зменшує втрати сирного зерна і підвищує
надійність роботи сировиготовлювача за рахунок виключення технологічних
операцій осадження сирного зерна і подальшого дроблення пласту.
Крім того, розміщення забірної труби
по вісі симетрії сировиготовлювача також сприяє зниженню втрат сирного зерна,
так як при обертанні мішалок сирне зерно під дією відцентрових сил видаляється
від центру до периферії робочої ємності.
Вивантаження сирного зерна через
отвори золотникового елементу, при положенні останнього у крайньому верхньому
положенні забезпечить беззалишкове спорожнення сировиготовлювача і дозволяє
зменшити втрати сирного зерна в порівнянні з аналогом.
Виконання днища золотникового
елемента під кутом, рівним куту нахилу патрубка вивантаження сирного зерна,
дозволяє виключити втрати сирного зерна. При відборі сироватки, коли
золотниковий елемент знаходиться у крайньому нижньому положенні, захопленні
потоком сироватки дрібні частинки сирного зерна (сирний пил) осідають на днищі
золотникового елементу. При вивантаженні сирного зерна, коли золотниковий
елемент знаходиться у крайньому верхньому положенні, суміш сирного зерна і
сироватки, змиваючи сирний пил, через патрубок вивантаження сирного зерна
вивантажується із сировиготовлювача. Запропонована конструкція виключає втрати
сирного зерна, що дозволяє збільшити вихід готового продукту і знизити затрати
на очищення сироватки при комплексному використанні вторинної сировини.
Крім того, дана конструкція дозволяє
покращити санітарну обробку сировиготовлювача і зменшити витрати миючих засобів
та води за рахунок повного беззалишкового спорожнення сировиготовлювача.
Сировиготовлювач Я5-ОСЖ-10 (рис.3.1)
призначений для виробництва твердих сичужних сирів. В його склад входять:
апарат для виробітки сирного зерна, пульт і шкаф управління, майданчик
обслуговування і насоси для відкачування сирного зерна і сироватки.
Рисунок 3.1 - Сировиготовлювач
Я5-ОСЖ-10
Апарат для виробництва сирного зерна
приймає необхідну кількість молока і інгредієнтів, води і розсолу підтримує
температури суміші, здійснює розрізання і вимішування згустку. Спеціальним
насосом відкачується сироватка і зріле зерно.Основою сировиготовлювача є ванна
з трьох прошарків, внутрішній резервуар якої утворює теплоізоляційну рубашку
для підігріву і охолодження продукту. Універсальний ріжуче-вимішувальний
інструмент виконано у вигляді рами, на якій розташовані вимішу вальні елементи.
Привід сировиготовлювача дозволяє безступенево змінювати частоту обертання
ріжуче-змішувального інструменту і реверсувати напрям їх руху.
Сировиготовлювач Я5-ОСЖ-10 має
вертикальний резервуар 1 з теплообмінною рубашкою 2 і днищем 3,
ріжуче-вимішувальний механізм із мішалками 4, закріплених на валах 5
реверсивного приводу 6, патрубок для подачі молока і других вихідних
компонентів 7, пристрій для відбору сироватки і вивантаження сирного зерна 8,
опори 9. Резервуар 1 складений трьома схрещеними циліндричними ємностями і
випуклим днищем 3, виконаним у вигляді трьох пересічених конусів, розташованими
вершинами вниз, причому їх осі співпадають із осями циліндричних ємностей.
Центральна частина днища представляє собою повний круговий конус із радіусом
основи, що відповідає радіусу цетральної циліндричної ємності. У вершині
центрального конуса вертикально встановлений пристрій для відбору сироватки і
вивантаження сирного зерна 8.
Пристрій для відбору сироватки і
вивантаження сирного зерна (рис.3.2) 8 представляє вертикально встановлену по
вісі симетрії резервуара 1заборну трубу 1, з'єднану зі зливною трубою 2 за
рахунок золотникового елементу 3, виконаного з можливістю переміщення по
вертикалі. Заборна труба 1 з'єднана безпосередньо зірочкою 4 із приводним
штоком 5. У верхній частині золотникового елемента 3 розміщене ущільнення 6.
Нижня частина золотникового елемента 3, взаємодіюча зі зливною трубою 2,
оснащена отворами 7 для вивантаження сирного зерна. У верхній частині
золотникового елементу 3 розміщені отвори для зливу сироватки 8 і вивантаження
сирного зерна 9, які в певних режимах роботи сировиготовлювача співпадають із
патрубками відбору сироватки 10 і вивантаження сирного зерна 11. Вертикальне
переміщення штоку 5 здійснюється пневматичним, гідравлічним чи реверсивним
електричним приводом (на кресленні не вказаний). Золотниковий елемент 3
з'єднаний зі штоком 5 герметичною втулкою 12.
Рисунок 3.2 - Пристрій для відбору
сироватки і вивантаження сирного зерна
Золотниковий елемент 3 закріплений у
вертикальному положенні за рахунок кільця із ущільненням 13, розміщеному в
нижній частині днища 3.
Сировиготовлювач працює наступним
чином. В резервуар 1 через патрубок 7 подають нормалізоване молоко, при
необхідності підігрівають до температури згортання шляхом подачі теплоносія в
теплообмінну рубашку2. Потім добавляють у молоко всі необхідні для згортання компоненти,
суміш перемішують і залишають у стані спокою до утворення згустку. Під час
заповнення резервуару 1 і згортання суміші , заборну трубу 1 встановлюють у
верхнє положення. Ущільнення 6 і 13 при цьому забезпечують герметизацію
пристрою відбору сироватки і вивантаження сирного зерна 8.
Потім вмикають привід 6
ріжуче-вимішувального пристрою в режим різки і ріжучі кромки мішалок 4
виконують розрізання згустку, після чого реверсирують направлення повороту
мішалок 4 і проводять постанову сирного зерна, яке внаслідок самоущільнення
прагне до осадження. Мішалки перешкоджують цьому, підтримуючи сирне зерно у
зваженому стані. Для відбору сироватки зменшують частоту обертання мішалок до
мінімальної. За допомогою привідного штоку 5 поступово опускають забірну трубу
1 до рівня, визначаючого кількість відбираємої сироватки (близько 30 % від
кількості суміші). При цьому поверхневий шар сироватки через вхідний отвір
забірної труби 1 попадає в золотниковий елемент 3 і через отвір 8 та патрубок
10 видаляється із сировиготовлювача.
Частоту обертання мішалок
збільшують, в теплообмінну рубашку2 подають теплоносій і нагрівають суміш до
температури другого нагрівання. Після закінчення процесу вироблення сирного
зерна виконують його вивантаження. За допомогою приводного штоку 5 виконують
піднімання забірної труби 1у крайнє верхнє положення. При цьому здвигають
золотниковий елемент 3 із зливної труби 4 на висоту отвору?. Сирне зерно через
отвір 7 у золотниковому елементі 3 і через отвір 9 та патрубок 11 видаляють із
сировиготовлювача.
4. Вибір конструкційних матеріалів
Вивантаження сирного зерна виконують
при обертанні мішалок в режимі вимішування, це сприяє рівномірному без
залишковому спорожненню сировиготовлювача.
Сирне зерно із сировиготовлювача
насосом подається до першого відокремлювача сироватки. Далі сироватка проходить
в отвір перфорації барабану і відводиться на подальше перероблення, після чого
сирне зерно поступає у воронку, де з розпилювача подається розсіл і, постійно
перемішуючись за визначений термін, встигає посолитись до необхідної
концентрації. Після чого пульсуючим потоком подається через воронку в трубу
конічного барабана другого відокремлювача сироватки.Вибір конструкційних
матеріалів
В харчовій промисловості достатньо
велика увага приділяється до вибору конструкційних матеріалів. Основна вимога -
це допуск матеріалу до контакту з харчовим продуктом. У випадках коли не
відбувається прямого контакту вузлів об’єкту проектування з харчовими
продуктами, користуються загальними машинобудівними критеріями вибору матеріалу.
Раціональною конструкцію машини чи апарату вважають таку, де фізичні
властивості конструкційних матеріалів деталей використанні найбільш прийнятно
для отримання необхідної міцності, жорсткості, зносостійкості при найменшій
вазі й вартості.
Так як в сировиготовлювачі Я5-ОСЖ-10
харчовим продуктом є молоко, то головну увагу потрібно звернути на всі деталі,
які контактують із ним. Це такі деталі як: вертикальний резервуар із днищем,
ріжуче-вимішувальний механізм із мішалками, вертикальні вали, патрубок для
подачі молока і других вихідних компонентів, пристрій для відбору сироватки і
вивантаження сирного зерна та ін.
Дане обладнання працює на невеликих
швидкостях (2-20 об/хв.), тому вибрати потрібно такий конструкційний матеріал,
який би забезпечив достатню міцність, жорсткість, зносостійкість деталей та
добре контактував би із молоком, не спричинивши негативних наслідків на
продукт.
Отже, всі деталі, які контактують із
молоком будуть із сталі 12Х18Н9ТЛ. Вона використовується для легованих виливків
з особливими властивостями за ГОСТ 2176-77. Застосовуєтья в різних деталях
машинобудівництва, працюючих при температурі не більше 700 °С. Сталь жаростійка
до 750 °С, корозійностійка, аустенітного класу. Хімічний склад сталі 12Х18Н9ТЛ:
кремній - 0,2…1,0 %; марганець - 1,0…2,0 %; мідь, не більше 0,3 %; нікель -
8,0…11,0 %;сірка, не більше 0,03 %; титан, не більше 0,6 %; вуглець, не більше
0,12 %; фосфор, не більше 0,035 %; хром - 17,0-20,0
%.
Зовнішній корпус сировиготовлювача
Я5-ОСЖ-10 та опори не контактують із молоком, їх призначення тримати всі деталі
та витримувати динамічні навантаження. Отже, виходячи із цього, вибираємо
конструкційну леговану хромовану сталь 40Х за ГОСТ 4543-71. Механічні
властивості сталі 40Х: термообробка - гартування при 860 °С, масло; відпуск при
500 °С, вода чи масло. Хімічний склад сталі 40Х: кремній - 0,17…0,37 %;
марганець - 0,5…0,8%; мідь, не більше 0,3 %; нікель, не більше 0,3 %; сірка, не
більше 0,035%; фосфор, не більше 0,035%; хром 0,8…1,1%; вуглець - 0,4 %.
5. Розрахункова
частина
5.1 Продуктовий
розрахунок
Розрахунок продуктів виконується на
зміну максимального надходження сировини, з використанням розрахункових формул
і норм витрат сировини.
Масова частка жиру нормалізованого
молока визначається по формулі:
|
|
(5.1)
|
де К - коефіцієнт перерахунку,
встановлений дослідним шляхом (для сиру „Російський” К=2,13); Бм.- масова
частка білку в молоці, % (для даного регіону, Бм.=3,16 %); Жс.р.- нормативна
масова частка жиру в сухих речовинах сиру, % (для данного випадку Жс.р.=51 %).
Приймаємо Жн.м.=3,43 %.
Масу нормалізованого молока
визначаємо по формулі:
|
|
(5.2)
|
де Мм. - маса молока, яка
використовується для сиру, кг; Жверш. - масова частка жиру в вершках, %
(Жверш.=39 %); Жм. - масова частка жиру прийнятого молока, %(Жм.=3,77 %); Жн.м.
- масова частка жиру нормалізованого молока, %.
Маса зрілого зерна визначається по
формулі:
|
|
(5.3)
|
де Жсир. - масова частка жиру в
сивортці, % (для сиру „Російський” Жсир.=0,39 %); Жз.з. - масова частка жиру
зрілого зерна, % (Жз.з.=50 %);Пдоп. - допустимі витрати жиру при виробництві та
дозріванні сиру в залежності від його виду,% (П=0,4 %).
Маса сиру визначається з урахуванням
усушки:
|
|
(5.4)
|
де Ну. - норма усушки сиру в період
дозрівання, % (Ну.=7,4 %).
Маса сиворотки складає 81% маси
нормалізованого молока при виробництві твердих сирів.
Масу підсирних вершків визначають по
формулі:
|
|
(5.5)
|
де Мп.верш. - маса підсирних вершків
отриманих при сепаруванні сироватки,кг Мсир. - маса сироватки, кг
(Мсир.=39620,7·0,81=32092,8 кг); Жзн.сир.
- масова частка жиру в знежиреній сироватці, % (Жзн.сир.=0,051 %);
П
- гранично допустимі витрати жиру при сепаруванні сироватки, % (П=0,7 %);
Жп.верш. - масова частка жиру в підсирних вершках, отриманих при сепаруванні, %
(Жп.верш.=32,6 %).
Маса вершків отриманих при
нормалізації молока на сир без врахування втрат, визначається наступним чином:
|
.
|
(5.6)
|
Вершки в кількості 379,3 кг
надходять в цех.
Маса закваски з урахуванням втрат
визначається по формулі:
|
|
(5.7)
|
де Пзакв.-гранично допустимі втрати
закваски, % (Пзакв.=0,6 %); а
-кількість закваски, % (а=0,8 %).
Кількість сичужного ферменту
визначаємо із співвідношення:
кг молока - 0,02кг CaCl2
,7 кг молока - х кг CaCl2
Кількість сижучного ферменту
визначаємо із співвідношення:
кг молока - 0,0025кг ферменту
,7 кг молока - х кг ферменту
5.2 Тепловий
розрахунок
5.2.1 Розрахунок
основного обладнання
Розрахунок витрат пари для
сировиготовлювача. Пара витрачається на підігрів суміші при виробництві сирного
зерна. Витрати пари на технологічні цілі для апаратів періодичної дії
розраховуємо по формулі:
|
|
(5.8)
|
де М=10200 кг - кількість продукту,
який підігрівається; с=4,03 кДж/(кг·°С) - теплоємність продукту; t1=34 °С,
t2=43 °С - початкова та кінцева температури продукту;і=2705,78 кДж/кг -
тепловміст пари; сk=2,04 кДж/(кг·°С) - теплоємність конденсату, кДж/(кг·°С);
tk=99 °С - температура конденсату; η - коефіцієнт
теплового використання (для ізольованого кожуха η=0,75).
Для сиру «Російського» втрати пари
на підігрів молока в сировиготовлювачі дорівнюють:
Так як використовується два
сировиготовлювачі, то кількість втрати пари буде становити:
5.2.2 Витрати
холодної води для установки по солінню сирного зерна в потоці
Розрахуємо витрати води для
охолодження розсолу до температури 30 °С. Кількість охолоджуючої води, яка
проходить крізь ванну тривалої пастеризації визначаємо з рівняння теплового балансу:
|
|
(5.9)
|
де с’=c”=4,28 кДж/(кг·°С) - середня
масова теплоємність охолоджуючої води при температурі до і після установки;
Мп.=11,65 кг/год. - кількість відпрацьованого пару, який проходить крізь
установку; і=2705,78 кДж/кг - ентальпія пару; tk=99 °С - температура
конденсату;t’в.=5 °С, t’’в.=18 °С - температура води до і після установки;
сk=4,19 кДж/(кг·°С) - середня масова теплоємність конденсату.
З теплового балансу (5.9)
визначимо кількість охолоджуючої води:
|
|
(5.10)
|
5.3 Кінематичні
розрахунки
5.3.1 Розрахунок
привода сировиготовлювача
Потужність на валу мішалки з ножами
при різанні згустку, постановці і перемішуванні зерна визначаємо по емпіричній
формулі:
|
|
(5.11)
|
де Np - робоча потужність на валу
мішалки в робочий період, Вт; z=2
- кількість мішалок; h - висота занурення мішалки в продукт, м; rз, rв -
зовнішній і внутрішній радіус траєкторії, яку описує мішалка, м; n - число
обертів мішалки, об./хв.; ρ - густина
продукту, кг/м3; Σδ - сума
товщин ріжуче-вимішувальних інструментів, м;
|
|
(5.12)
|
де δ1
- товщина плоских ножів, м; z1 - кількість плоских
ножів, шт.; δ2 - ширина
бокових роликових планок, м; z2 - кількість бокових роликових планок, шт.;
Тоді потужність на валу мішалки буде
дорівнювати:
Електродвигун підбираємо по величині
робочої потужності на валу мішалки з урахуванням коефіцієнта запасу потужності:
|
|
(5.13)
|
де β
- коефіцієнт запасу потужності (приймаємо β=1,3);
ηелд - коефіцієнт корисної дії електродвигуна (ηелд=0,668);
ηпер
- ККД передачі (ηпер=0,85);
Виходячи зі значень потужності та
частоти обертання на вихідному валу, вибираємо електродвигун марки АИР 100 S4
згідно з ГОСТ 19523-81 з Nелд=3кВт, n=1500об./хв.
5.3.2 Розрахунок
редуктора привода сировиготовлювача
Знайдемо передаточне число привода
сировиготовлювача:
|
|
(5.14)
|
де nдв - число обертів вихідного
валу електродвигуна; nвих - число обертів вихідного валу черв’ячного редуктора.
Знайдемо число заходів черв’яка по
формулі:
|
|
(5.15)
|
де z2min - мінімальне число зубів
черв’ячного колеса.
Приймаємо матеріал для черв’яка
сталь 45 ГОСТ 1050-74, із загартованими вітками по міцності HRC 48…50.
Приймаємо
матеріал вінця черв’ячного колеса БрА9ЖЗЛ ГОСТ 493-76 з границею текучості σт=
200 Н/мм2 з допустимим контактним напруженням при швидкості ковзання νковз=2,4
м/с; [σ]к=177 Н/мм2.
Для
реверсивної передачі з загартованим шліфованим черв’яком приймаємо допустиме напруження
згину рівним:
|
|
(5.16)
|
де [σ1]н
- допустиме напруження згину, Н/мм2; σ1 - напруження
згину, яке виникає в місці контакту (σ1=392 Н/мм2);
kр.н. - коефіцієнт режиму навантаження при розрахунку на згин, який визначається
по формулі:
|
(5.17)
|
|
де Nц - число циклів
навантаження зубів черв’ячного колеса (приймаємо Nц=106). Відповідно,
підставляючи значення в (5.17), знаходимо, що kр.н.=1. Тоді
допустиме напруження згину буде дорівнювати:
Допустиме граничне значення для
зубців черв’ячного колеса:
Приймаємо ККД черв’ячного редуктора
при z1=1 η=0,72
Враховуючи, що черв’ячна пара працює
при змінному навантаженні, приймаємо коефіцієнт навантаження рівним k=1,5.
Попередньо приймаємо число модулів в
діаметрі ділильного циліндру черв’яка q=20.
Міжосьова відстань з умови
контактної міцності:
|
|
(5.18)
|
де М2 - момент на черв’ячному
колесі.
Конструктивно прийнятий із
стандартного ряду міжосьову відстань рівною А=100 мм.
Знаходимо
осьовий модуль зачеплення:
|
|
(5.19)
|
Згідно ГОСТ 19672-74 приймаємо mз=2
мм.
Уточнюємо значення числа модулів q:
|
(5.20)
|
|
Визначаємо основні геометричні
розміри черв’яка.
Діаметр ділильного циліндра:
|
(5.21)
|
|
Діаметр циліндра виступів:
|
(5.22)
|
|
Мінімальна довжина нарізної частини:
|
|
(5.23)
|
Для шліфувального черв’яка отриману
довжину збільшуємо на ∆L=24 мм, тоді:
|
|
(5.24)
|
Знайдемо кут підйому гвинтової лінії
по ділильному циліндру:
|
(5.25)
|
|
Визначимо основні геометричні
розміри вінця черв’ячного колеса:
|
,(5.26)
|
|
де dd2 - діаметр ділильного кола.
Діаметр кола виступів:
|
(5.27)
|
|
Зовнішній діаметр вінця:
|
(5.28)
|
|
Ширина вінця:
|
(5.29)
|
|
Знайдемо швидкість ковзання:
|
|
(5.30)
|
Далі для розрахунку ККД черв’ячної
пари приймаємо:=2 - число пар підшипників; ηП=0,995
- ККД підшипників; ηМ=0,98
- гідравлічні втрати; ηЗ.П.=0,97
- ККД зубчастої передачі.
Приймаємо при швидкості ковзання
vковз=4 м/с кут тертя β=1̊30'.
Звідки ККД гвинтової пари буде
дорівнювати:
|
(5.31)
|
|
Отже загальний ККД редуктора буде
дорівнювати:
|
|
(5.32)
|
Знайдемо момент на валу черв’яка:
|
|
(5.33)
|
Знайдемо розрахункову потужність на
валу червяка:
|
|
(5.34)
|
Знайдемо розрахункову потужність на
валу приводного електродвигуна:
|
|
(5.35)
|
Виходячи з раніш підібраного
електродвигуна та забезпечення надійної роботи приводу, а також врахувавши
можливі перевантаження, залишаємо раніше підібраний електродвигун марки АИР 100
S4 згідно з ГОСТ 19523-81 з Nелд=3кВт, n=1500об./хв.
Знайдемо номінальний момент від
двигуна на черв’яку:
|
|
(5.36)
|
Номінальний момент від двигуна на
вінці черв’ячного колеса:
|
|
(5.37)
|
Знайдемо контактні напруження в
зачепленні:
|
|
(5.38)
|
Знаходимо еквівалентне число зубців
черв’ячного колеса:
|
(5.39)
|
|
Розрахованому числу зубів відповідає
коефіцієнт форми зуба, який дорівнює уд2=1,36.
Визначимо напруження згину в основі
колеса при коефіцієнті зносу γ=1,5:
|
|
(5.40)
|
Контактні пікові напруження в
черв’ячному зачепленні будуть дорівнювати:
|
|
(5.41)
|
Контактні пікові напруження згину в
основі зуба колеса:
|
(5.42)
|
|
Зробивши перевірочний розрахунок
черв’ячної передачі ми бачимо, що даний редуктор підходить для передачі
крутного моменту від електродвигуна до валу мішалки.
5.3.3 Розрахунок
клинопасової передачі
Проведемо розрахунок клинопасової
передачі, яка передає момент від електродвигуна до черв’ячного редуктора в
приводі гвинтової транспортуючої труби.
Вихідні дані:
Номінальна потужність, що
передається Nном=2,2кВт;
Передаточне відношення передачі
uк.п.=2;
Частота обертання електродвигуна
nном=1500 об/хв.;
Розташування передачі - вертикальне.
Розрахунок починаємо з попереднього
вибору перерізу пасу. Згідно таблиць для заданих умов підходить пас перерізом
О.
Технічні дані обраного паса:р=8,5
мм, W=10 мм, Т0=6 мм, площа перерізу F=0,47 см2, маса 1 м пасу m=0,18 кг/м.
Розрахункова довжина в інтервалі
Lр=400...2500 мм.
Внутрішня довжина пасу по меншій
основі ΔL=Lp-lвн=25
мм.
Рисунок 5.1 - Переріз пасу по ГОСТ
1284.1-80
Визначення геометричних розмірів
клинопасової передачі.
Визначаємо діаметри шківів:
Приймаємо діаметр меншого шківа
dр1=112 мм, а більшого розраховуємо:
|
(5.43)
|
|
Визначимо міжосьову відстань:
|
(5.44)
|
|
Розрахункова довжина паса:
|
(5.45)
|
|
Приймаємо стандартну довжину паса
L=1000 мм.
По стандартній довжині уточнюємо
дійсну міжосьову відстань:
|
|
(5.46)
|
Кут обхвату на меншому шківі:
|
|
(5.47)
|
Допустима потужність на один пас:
|
(5.48)
|
|
де ΔNП=0,0001·ΔТП·nдв=0,0001·1,2·1500=0,18
кВт - похибка потужності; СР=0,73 - коефіцієнт режиму роботи при вказаній
потужності; Сα=0,86 - коефіцієнт
кута обхвату; СL=0,977 - коефіцієнт довжини.
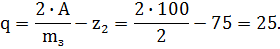
Розрахункова кількість пасів:
|
(5.49)
|
|
де GZ=0,9 - коефіцієнт, який
враховує нерівномірність навантаження.
Приймаємо кількість пасів z'=2.
Розміри обода шківів: lP=8,5 мм;
h>7 мм; b=2,5 мм; e=12+0,3 мм; f=8±1 мм; r=0,5 мм; hmin=6 мм.
Зовнішній діаметр більшого шківа:
|
(5.50)
|
|
Зовнішній діаметр меншого шківа:
|
(5.51)
|
|
Ширина обода шківів:
|
(5.52)
|
|
6. Вимоги
до монтажу, експлуатації та ремонту
.1 Експлуатація
сировиготовлювача
Сировиготовлювач Я5-ОСЖ-10
призначений для виробництва твердих сичужних сирів. В його склад входять:
апарат для виробітки сирного зерна, пульт і шкаф управління, майданчик
обслуговування і насоси для відкачування сирного зерна і сироватки.
Апарат для виробництва сирного зерна
приймає необхідну кількість молока і інгредієнтів, води і розсолу підтримує
температури суміші, здійснює розрізання і вміщування згустку. Спеціальним
насосом відкачується сироватка і зріле зерно. Основою сировиготовлювача є ванна
з трьох прошарків, внутрішній резервуар, якої утворює теплоізоляційну рубашку
для підігріву і охолодження продукту. Привід сировиготовлювача дозволяє
безступенево змінювати частоту обертання ріжуче-змішувального інструменту і
реверсувати напрям їх руху. Підйом і опускання відбірника сироватки
здійснюється пневматичним приводом, який переміщує шток у крайнє верхнє і нижнє
положення.
Сировиготовлювач Я5-ОСЖ-10
транспортується в ящик, який забезпечений відповідною документацією згідно
потреб замовника і з урахуванням кліматичних умов. Ящик слід розташовувати на
встановлення та впевнитись у відсутності пошкоджень або недостачі. В разі
знаходження пошкоджень або недостачі слід скласти акт із запрошенням
компетентних органів про розмір втрат.
Обладнання повинно зберігатися
покритим у зачиненому складі. Місце встановлення машини слід визначити згідно
потреби технологічної черговості. Для встановлення машини потрібен фундамент.
Два сировиготовлювачі встановлюються на такий же фундамент на якому були
встановлені ванни.
Відстань від рівня підлоги до
зливного крану повинна бути не менше 600 мм. Перед пуском з сировиготовлювача
видаляють зайві предмети і на холостому ході перевіряють роботу приводу, який
повинен робити без помітних вібрацій, поштовхів і шуму. Нагрів підшипників не
повинен перевищувати вище 50°. Тиск пари на вході в барботер не повинен
перевищувати 0,08 МПА. В приводі сировиготовлювача найбільшого зносу зазнають:
пас варіатора швидкості, підшипники, деталі редуктора. Один раз на тиждень
перевіряють ущільнення, манжети кришки підшипників на відсутність підтікання
мастила на валу працюючого інструменту. Раз на два тижня перевіряють рівень
мастила в картері редуктора і при необхідності доливають мастило. Раз на квартал
підтягують болти кріплень.
6.2 Експлуатація
установки для соління сирного зерна в потоці
До обслуговування і експлуатації
установки допускаються особи, які знають пристрій та правила обслуговування.
Вмикання електроживлення виконується строго визначеними особами з обов'язковим
повідомленням оператора.
Установка для соління сирного зерна
в потоці встановлюється на анкерних болтах, які закріпленні в підлогу.
Установку потрібно встановлювати так, щоб для її обслуговування залишилися
під’їзди для рухомих столів з сирними формами і проходу для персоналу, який її
обслуговує.
Безпосередньо на регулюючих опорах
встановлюється каркас установки. Гвинтова транспортуюча труба повинна бути
встановлена з нахилом 1° в сторону розвантажувального кільця. Відрегульований кут
нахилу відокремлювача повинен бути 4° по відношенню до горизонту. Встановленні
стійки слід закріпити не менш ніж трьома розтяжками.
Ремонтні роботи і заміну елементів
проводять при відключенні джерела живлення. Пристрій для соління і щит
керування повинні бути заземленні і зануленні.
Не допускається можливість удару
яких-небудь предметів об каркас установки. При роботі установки забороняється
відкривати двері відділювачей і воронки, засовувати руки та сторонні предмети
до внутрішньої ємності для проштовхування або перемішування сирного зерна.
Чистку і мийку установки зовні
вручну проводять тільки при відключених приводах. Установка встановлюється з
урахуванням необхідних проходів для обслуговування і ремонту. В процесі роботи
забороняється проводити будь-який ремонт, знімати або розбирати огородження.
Один раз в півроку слід змащувати
наступні вузли: шарикопідшипники осей роликів, корпус редуктора приводу
відділювачей.
Проводити профілактичні огляди,
перевіряти герметичність ліній, пневможивлення і стан магнітних пускачів не
менше одного разу в 2 місяці.
Ремонт пов'язаний із заміною роликів
відділювала, паса,катків проводити при відключенній електросхемі.
Однією з найважливіших частин
технічної експлуатації обладнання є система планово-попереджувального ремонту.
Система планово-попереджувального ремонту (ППР) технологічного обладнання являє
собою сукупність організаційних і технічних заходів по нагляду, догляду і всіх
видів ремонту, що проводяться по заздалегідь розробленому плану з метою
забезпечення безвідмовності роботи машини, апарата, трубопровідних комунікацій.
Головною задачею ППР є подовження
міжремонтного строку служби обладнання, зниження витрат на його ремонт,
підвищення якості ремонту. Система планово-попереджувального ремонту включає
наступні види робіт по технічному догляду і ремонту обладнання: міжремонтне
обслуговування; профілактичні огляди; поточний ремонт; середній ремонт;
капітальний ремонт.
Відповідальність за загальну
організацію і проведення заходів по ППР на підприємстві несуть головний інженер
і головний механік.
Для кожного виду ремонту
встановлений випробувальний термін роботи машини під навантаженням: поточний
ремонт - 8 год., середній - 16 год., капітальний - 24 год.Для визначення
строків проведення ремонту необхідно знати ремонтний цикл, міжремонтні та
міжоглядові періоди для обладнання. В таблиці 6.1 наведено структуру ремонтних
циклів і тривалість міжремонтних періодів для сировиготовлювача та установки
для соління сирного зерна в потоці. Ступінь складності ремонту і його ремонтні
особливості оцінюють в категоріях складності від першої складності ремонту до
останньої (1К...10К). В таблиці 6.2 подано категорії складності і норми часу на
ремонтні роботи для основного обладнання цеху виробництва твердого сиру.
Таблиця 6.1 - Структура ремонтних
циклів і тривалість міжремонтних періодів
|
Група обладнання
|
Структура ремонтних циклів
|
Час періоду до найближчого ремонту чи огляду,
міс.
|
|
|
К
|
С
|
П
|
|
Сировиготовлювач, установка для соління
сирного зерна в потоці
|
К-О-О-П-О-О-П-О-О-П-О-О-С-О-О-П-О-О-П-О-О-К
|
24
|
12
|
3
|
1
|
Таблиця 6.2 - Категорії складності і
норми часу на ремонтні роботи
|
Обладнання
|
Категорія ремонтної складності
|
Норма часу на ремонтні роботи, люд·год.
|
|
|
К
|
С
|
П
|
|
Сировиготовлювач
|
1,2
|
42,0
|
25
|
8,4
|
|
Установка для соління сирного зерна
|
3,0
|
106,3
|
63
|
21,0
|
В процесі ремонту виконуються
наступні основні операції: очищення і мийка обладнання; розбирання машини на
деталі чи вузли; очищення і миття деталей вузлів; дефектація і сортування
деталей; відновлення або заміна зношених деталей; балансування роторів;
складання машини; індивідуальні випробування і передача в наладку.
Основним документом для передачі в
експлуатацію відремонтованої машини є акт прийому-передачі обладнання після
ремонту.
Акт складається спеціально
визначеною комісією під головуванням головного механіка. В акті вказуються
найменування та інвентарний номер сировиготовлювача та установки для соління
сирного зерна в потоці, час виконаного ремонту, якість ремонту планове і
фактичне перебування в ремонті. Акт прийому-передачі машини підписується
головним інженером підприємства.
7. Технологія виготовлення окремих
деталей
.1 Вибір
деталі та обґрунтування вибору матеріалу
Технологічне обладнання підприємств
харчової промисловості різноманітне. Багато деталей і вузлів контактують з середовищем,
створеним харчовими продуктами.
Безпосередня взаємодія з
технологічними та харчовими середовищами, довготривала безперервна робота,
абразивна дія деяких домішок, агресивний вплив навколишнього середовища, миючих
та дезінфікуючих розчинів, підвищена температура, значні перепади тиску, а
також інші специфічні умови, визначають особливі вимоги до вибору і призначення
конструкційних матеріалів.
Виходячи з аналізу характеристик
середовища, в якому працює шток, та усіх факторів які впливають на нього,
враховуючи властивості тих чи інших матеріалів для виготовлення даної деталі,
найкраще підходить легована сталь, а саме сталь 12Х18Н9ТЛ ГОСТ 977-88. Дана
сталь має помірну вартість, досить легко піддається обробці і витримує
підвищені температури. Для деталей з легованої сталі характерні незначна
чутливість до впливу зовнішніх концентраторів напружень при циклічних
навантаженнях.
Відповідно до вимог креслення і в
результаті аналізу конструкції штоку робимо висновок, що найбільш доцільно
використовувати заготовку із круглого прокату точності В.
7.2 Розроблення
технологічного процесу виготовлення деталі
При розробленні технологічного
маршруту вибирають методи обробки кріплення та базування заготовок, що
забезпечують їх надійність установлення та точність виготовлення.
При базуванні на необробленій
поверхні керуються такими міркуваннями:
поверхня повинна мати просту форму і
розміри, достатні для стійкого положення при обробленні;
заготовка не повинна деформуватися
елементами кріплення;
бажано чорновими базами вибирати
поверхні, що в подальшому не обробляються.
Детальний технологічний маршрут
виготовлення штоку представлений в таблиці 7.1.
Таблиця 7.1
- Технологічний маршрут виготовлення деталі
|
№
|
Назва операції, переходу
|
Інструмент та обладнання
|
Вимірювальний інструмент
|
|
10
|
Заготівельна
|
Прокат Æ21
мм, Сталь 12Х18Н9ТЛ
|
|
|
10.1
|
Відрізати заготовку L=1160 мм
|
Дискова відрізна фреза Æ280
мм, Р6М5
|
Зубр 34058-05-19
|
|
20
|
Фрезерно-центрувальна
|
Фрезерно-центрувальний верстат
|
|
|
20.1
|
Фрезеруємо пов.1; 2, витримавши L=1150 мм
|
Фреза дискова, Р6М5, тиски
|
ШЦ 1
|
|
20.2
|
Центруємо пов.1; 2
|
Свердла центрувальні, Р6М5
|
ШЦ 1
|
|
30
|
Токарна
|
Верстат 1341; 3-х кулачковий патрон на розжим,
упор
|
|
|
30.1
|
Точити пов. 1
L=50 мм, Æ=17
мм начорно
|
Різець прохідний упорний правий, Т15К6, B×H×L=16×25×140
мм, α=8º,
γ=10º, φ=90º,
|
ШЦ 1
|
|
30.2
|
Точити пов. 1
L=50 мм, Æ=17
мм начисто
|
Різець прохідний упорний правий, Т15К6, B×H×L=16×25×140
мм, α=8º,
γ=10º, φ=90º,
|
ШЦ 1
|
|
30.3
|
Точити пов. 2
L=1100 мм, Æ=20
мм начорно
|
Різець прохідний упорний правий, Т15К6, B×H×L=16×25×140
мм, α=8º,
γ=10º, φ=90º,
|
ШЦ 1
|
|
30.4
|
Точити пов. 2
L=1100 мм, Æ=20
мм начисто
|
Різець прохідний упорний правий, Т15К6, B×H×L=16×25×140
мм, α=8º,
γ=10º, φ=90º,
|
ШЦ 1
|
|
30.5
|
Підрізати пов. 3 Æ=16
мм
|
Різець спеціальний канавочний, Т15К6
|
ШЦ 1
|
|
30.6
|
Нарізати різьбу пов. 4
М16×25
|
Різець різьбонарізний, Т15К6
|
ШЦ 1
|
|
30.7
|
Точити фаску пов. 5 2,5х45°
|
Різець розточний, φ=45º,
Т15К6
|
ШЦ 1
|
|
30.8
|
Точити фаску пов. 6 2,5х45°
|
Різець розточний, φ=45º,
Т15К6
|
ШЦ 1
|
|
40
|
Шліфувальна
|
Шліфувальний верстат
|
|
|
40.1
|
Шліфувати пов. 1 L=1100 мм
|
Шліфувальний круг
|
|
|
40.2
|
Шліфувати пов. 2 L=25 мм
|
Шліфувальний круг
|
|
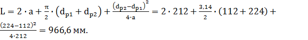
7.3 Розрахунок
припусків розрахунково-аналітичним методом
Технологічний маршрут обробки
поверхні (Ø20h6) складається
з чорнового, чистового точіння та шліфування. Точіння проводять в
трьохкулачковому патроні, що самоцентрується. Шліфування проводять на
шліфувальному верстаті із застосуванням шліфувального круга.
Технологічний маршрут обробки
будемо записувати в розрахункову таблиці 7.2. В таблицю також записуємо
відповідні кожному технологічному переходу значення елементів припуску. Поле
допуску заготовки відповідно до ГОСТ 2590-88 складає 700 мкм (
мм), що
відповідає підвищеній точності класу Б.
Сумарне відхилення:
,
де
- величина
відхилення розташування (місцева або загальна), мкм;
- величина
відхилення розташування заготовки, мкм;
мкм/мм - величина питомого
відхилення розташування;
мм -
відстань від перерізу, для якого визначають величину відхилення розташування до
місця кріплення заготовки, мм;
мм - допуск на діаметр базової
поверхні заготовки, що використовується при центруванні, мм.
Тоді:
мкм,
мкм,
мм.
Залишкове просторове
відхилення:
,
де
-
коефіцієнт уточнення (
,
).
Звідки знаходимо:
мкм,
мкм.
Похибка встановлення:
мкм
Залишкова похибка
встановлення:
.
Тоді:
мкм,
мкм.
Розрахунок мінімальних
значень припусків проводимо, користуючись формулою та записуємо до таблиці 7.2:
Графу таблиці 7.2
«Розрахунковий розмір» заповнюємо шляхом послідовного додавання мінімального
припуску кожного технологічного переходу:
мм;
мм;
мм;
мм.
Записавши у відповідній графі
розрахункової таблиці значення допусків на кожний технологічний перехід і
заготовку, у графі «Найменший граничний розмір» визначимо їх значення для
кожного технологічного переходу, округлюючи розрахункові розміри збільшенням їх
значень. Округлення проводимо до такого ж знаку десяткового дробу, з яким дано
допуск на розмір кожного переходу. Найбільші граничні розміри розраховуємо
відніманням допуску до округленого найменшого граничного розміру:
мм;
мм;
мм;
мм.
Граничні значення припусків
визначаємо як різниця найбільших граничних розмірів
і
- як
різниця найменших граничних розмірів попереднього і виконуваного переходів:
мм;
мм;
мм;
мм;
мм;
мм.
Всього:
мм;
мм.
В даному випадку визначаємо
номінальний припуск з врахуванням симетричності розташування поля допуску
заготовки.
Таблиця 7.2 - Розрахунок
припусків та граничних розмірів по технологічних переходах обробки поверхні Ø20h6
Технол.
переходи обробки поверхні
Елементи припуску,
мкм
мкм
,
|
мкмГраничні розміри,
ммГраничні значення припусків, мм
|
|
|
|
|
|
|
      
|
|
|
|
|
|
|
|
|
|
|
Заготовка
|
100
|
100
|
541
|
110
|
-
|
700
|
23,375
|
24,075
|
-
|
-
|
|
Точіння чорнове
|
60
|
60
|
32
|
6,6
|
2∙752
|
84
|
21,615
|
21,699
|
2,376
|
1,76
|
|
Точіння чистове
|
30
|
30
|
2
|
0
|
2∙153
|
33
|
20,111
|
20,144
|
1,555
|
1,504
|
|
Шліфування
|
10
|
20
|
-
|
-
|
2∙62
|
13
|
19,987
|
20
|
0,144
|
0,124
|
|
3,388
|
4,075
|
Схема графічного розташування
припусків та допусків на обробку поверхні Ø20h6
штока
представлена на рисунку 7.1.
Рисунок 7.1 - Схема графічного
розташування припусків та допусків на обробку поверхні Ø20h6
штока
7.4 Визначення
режимів різання
Розрахунок режиму різання при
чорновому точіння поверхні Ø20h6
Вихідні дані: оброблюваний матеріал
- Сталь 12Х18Н9ТЛ; устаткування - токарно-гвинторізний верстат моделі 16К20;
інструмент - прохідний різець з пластиною із твердого сплаву Т15К6.
Призначають подачу
мм/об.
Вибирають період стійкості різця Т = 60 хв. і визначають швидкість різання за
формулою:
м/хв.,
де
Тоді:
м/хв.
Розрахункове значення частоти
обертання шпинделя, яке допускається стійкістю різця:
об/хв.
З найближчих наявних на
верстаті призначають
об/хв.
Тоді:
м/хв.
мм/хв.
Головна складова сили різання
, яка
визначає потужність, що витрачається на обробку.
, Н.
Для даних умов:
Н.
Потужність, яка витрачається на
точіння:
кВт.
Оскільки ця потужність значно
менша від ефективної потужності верстата, швидкість обмежується тільки
економічною стійкістю інструмента.
На основі виконаних
розрахунків остаточно приймають режим різання при чорновому точінні поверхні Ø20h6:
мм;
об/хв.;
мм/хв.;
об/хв.;
м/хв.;
Н;
кВт.
Розрахунок режиму різання при
чистовому точіння поверхні Ø20h6
Вихідні дані: оброблюваний
матеріал - Сталь 12Х18Н9ТЛ; устаткування - токарно-гвинторізний верстат моделі
16К20; інструмент - прохідний різець з пластиною із твердого сплаву Т15К6.
Призначають з наявних на
верстаті подачу
мм/об.
Вибирають період стійкості різця Т = 60 хв. і визначають швидкість різання за
формулою:
м/хв.,
де
Тоді:
м/хв.
Розрахункове значення частоти
обертання шпинделя, яке допускається стійкістю різця:
об/хв.
З найближчих наявних на
верстаті призначають
об/хв.
Тоді:
м/хв.
мм/хв.
Головна складова сили різання
, яка
визначає потужність, що витрачається на обробку.
, Н.
Для даних умов:
Н.
Потужність, яка витрачається
на точіння:
кВт.
Оскільки ця потужність значно
менша від ефективної потужності верстата, швидкість обмежується тільки
економічною стійкістю інструмента.
На основі виконаних
розрахунків остаточно приймають режим різання при чистовому точінні поверхні Ø20h6:
мм;
об/хв.;
мм/хв.;
об/хв.;
м/хв.;
Н;
кВт.
8. Автоматизація
виробництва
На сучасному етапі в молочній
промисловості широко використовуйся автоматизовані системи управління
технологічними процесами. Поряд з локальними системами управління
запроваджуються централізовані системи на базі ЕОМ.
В процесі виготовлення твердих сирів
велику увагу приділяють дозріванню продукту в камерах дозрівання
(сиросховищах). Тому в камерах необхідно підтримувати визначений температурний
режим та вологість повітря.
Це може бути досягнуто шляхом
впровадження автоматизованих установок кондиціювання повітря. Для цього в
дипломному проекті розроблена локальна система управління процесом
кондиціювання повітря в камері дозрівання.
8.1 Опис
апаратурно-технологічної схеми
Система кондиціювання повітря
складається з кондиціонера, який має змішувальну камеру №1 і №2, два
калорифери, зрошувальну камеру і камеру дозрівання сирів.
Установка має два сезонних режими
роботи «зимовий» і «літній».
Влітку закритий шибер 2к і клапани
4к, 7к, зволоження і одночасне охолодження повітря відбувається в форсунковій
камері за рахунок вприскування води в потік повітря.
Взимку вмикається електродвигун 2д
вентилятора VIII, повітря засмоктується у певному співвідношенні із оточуючого
середовища із камери (повітря першої рециркуляції) дозрівання через шибер 2к в
змішувальну камеру №1. Пройшовши через фільтр II у певному співвідношенні,
повітря подається в калорифер першого підігріву, де підігрівається за рахунок
пари, подача якоїрегулюється клапаном 4к.
Підігріте повітря далі попадає в
форсункову камеру IV, де зволожуйся холодною водою, що вприскується через
форсунки в потік повітря, температура якої підтримується холодильником, по
якому циркулює розсіл. Подача води здійснюється клапаном 5к.
Потім насичене повітря проходить
бризковідділювач V. В певному співвідношенні через другий калорифер і обвідний
патрубок 6к суміш підігрівається і направляється в камеру дозрівання.
На рисунку 8.1 представленино опис
структурної схеми системи автоматизації сировиготовлювача.
Рисунок 8.1 - Структурна схеми
системи автоматизації системи
Згідно схеми, автоматизоване
управління технологічним процесом ділянки, здійснюється з пункту управління, де
розміщено щит управління і постійно знаходиться оператор-технолог (робітник).
На щиті управління сконцентровані
технічні засоби, що дозволяють здійснювати контроль і регулювання параметрів.
Для управління об'єктами передбачені
системи дистанційного, автоматичного і програмно-логічного управління.
8.2 Опис
блок-схеми алгоритму управління
У відповідності з завданням
розроблена блок-схема алгоритму програмно-логічного управління процесом пуску
кондиціонера повітря, згідно якого по ініціативному сигналу «Пуск» система
автоматизації повинна виконувати:
відкрити клапан подачі
рециркуляційного повітря 2к і клапан подачі холодного повітря 1к в змішувальну
камеру 31 (оператор 2-3);
ввімкнути електродвигун вентилятора
і насоса 1д, 2д подачі холодоносія у форсунку (оператор 4);
отримати сигнал виходу на задане
значення температури насиченого повітря (оператор 5);
включити 5к подачу холодної води у
форсунки і клапан 4к, подачу холодоносія в калорифер першого підігріву
(оператор 6-7). Перемкнути шибер 3к для регулювання співвідношення повітря
підігрітого і не підігрітого;
отримати сигнал про зміну
температури в камері дозрівання твердого сиру (оператор 8);
провести регулювання цієї
температури, відкрити клапан подачі теплоносія в калорифер другого підігріву 7к
і переключити 6к для певного співвідношення отепленого і не отепленого повітря
(оператор 9-10);
сповістити про вихід на режим
роботи.
8.3 Обґрунтування
вибору системи технічних засобів автоматизації
При виборі системи автоматизації
слід виходити з структурних і алгоритмічних особливостей, умов роботи і вимог
до якості роботи проектованої системи. Для забезпечення таких вихідних даних
необхідна локальність системи, однорідність апаратури, а також невелика
інерційність об'єкта, велика частота збуджень, необхідність дистанційної
передачі сигналів і високі вимоги до якості роботи. Виходячи з результатів
аналізу цих даних, застосовується електрична система з урахуванням її великої
дистанційності, малої інерційності, можливості автоматизації різноманітних
параметрів, простоти установки живлення, а також зв'язку з УОК. На рисунку 8.2
приведена блок-схема роботи розроблених технічних засобів автоматизації.
Рисунок 8.2 - Блок-схема
8.4 Опис
функціональної схеми системи автоматизації
Контроль температури повітря перед
форсунковою камерою здійснюється манометричним термометром 4а-4в та вториним
приладом 4д, який реєструє сигнал датчика. Регулювання температури повітря
після бризковідділювача проводиться системою, що складається із манометричних
датчиків температури 4а-4в та 46-4г, Пі-регулятора 4д, байпасних панелей 4н,
4м, 4п, для управління та ручного регулювання пневмопідсилювачів 4р, 4с, 4т,
мембранних виконавчих механізмів 4ф, 4ц, 4ш та регулюючих органів шибера 3к та
клапанів 4к, 5к. При зимовому режимі роботи ввімкнені всі складові даної
системи регулювання. А влітку вимикають клапани подачі пари в калорифер першого
підігріву 4к і шибера 3к перекривають для подачі повітря в калорифер, тобто
проходить лише охолодження і насичення повітря. Регулятор 5а здійснює
регулювання температури в камері дозрівання сиру влітку. Він отримує сигнал від
манометричного датчика температури 6а-6в і датчика 4б-4г, регулююча дія через
байпасну панель 5г і пневмопідсилювач 5д, мембранний виконавчий механізм 5е
включає або виключає шибер 8к подачі повітря другої рециркуляції.
В «зимовому» режимі роботи регулятор
6д сприймає сигнал від манодатчика температури повітря в змішувальній камері №2
6б-6г і 6а -6б і діє через байпасні панелі 6л, 6м, виконавчі мембрані механізми
6р, 6с на подачу теплоносія в калорифер другого підігріву і співвідношення
повітря, що йде в калорифер по одному каналу. Програмнологічне управління
процесом кондиціювання повітря здійснюється за допомогою мікропроцесорного
контролера 8а, який через ряд перетворювачів зв'язаний з інформаційними і
виконавчими пристроями системи.
Завдання на розробку АСУТП наведено
в таблиці 8.1.
Таблиця 8.1 - Завдання на розробку
АСУТП
|
№
|
Обладнання
|
Кількість
|
Параметр
|
Система АСУТП
|
Місце контролю
|
|
|
|
|
Вид системи
|
Характер контролю,
регулювання
|
Додаткові
вимоги
|
|
|
1
|
Змішувальна камера №1
|
1
|
Температура
|
Контроль Управління Регулювання
|
Автоматична і ручна дистанційна стабілізація
|
Світлова, звукова Дія на подачу
|
Щит -II- по місцю
|
|
2
|
Фільтр
|
1
|
Маса
|
Контроль Регулювання Управління
|
Покази, запис сигналіз. Стабілізація
Автоматичне і ручне блокування
|
Світлова Дія на потік сиру
|
Щит -II- -II-
|
|
3
|
Калорифер
|
1
|
Температура
|
Контроль Регулювання Управління
|
Покази сигналіз.
|
Світлова, звукова
|
-II-
|
|
4
|
Форсуночна камера
|
1
|
Стан
|
Контроль Регулювання Управління
|
Покази стабілізація
|
Дія на подачу молока
|
-II-по місцю
|
|
5
|
Бризковід- дільник
|
1
|
Тиск
|
Контроль
|
Покази
|
Дія на подачу повітря
|
-II-
|
|
6
|
Змішувальна камера №2
|
1
|
Температура
|
Контроль Регулювання Управління
|
Автоматична і ручна дистанційна стабілізація
|
Світлова, звукова Дія на подачу
|
Щит -II-
|
|
7
|
Вентилятор
|
1
|
Температура
|
Контроль Регулювання
|
Покази, запис сигналіз. Стабілізація
|
Дія на подачу пари
|
|
8
|
Насос
|
1
|
Маса
|
Регулювання Управління
|
Автоматичне і ручне блокування
|
Відкрити закрити
|
Щит-II-
|
|
Таблиця 8.2 - Заказна специфікація на пристрої
і засоби автоматизації
|
Виробник
|
м. Київ
|
Завод Вимірювальних приладів м.Талін
|
Завод, ”Пищепромавтоматика” м.Одеса
|
|
Кількість
|
2
|
1
|
2
|
|
Тип
|
1858 УТВ-1
|
РП-160
|
ПИГ-2
|
|
Найменування ітехніччна характеритика
|
Прилад електрометричнийдля
завантаження продуктів в ємкостях. Діапазон дозування 0,002…1,клас
точності0,5
|
Вторинний вимір, прилад, клас точності 1,0
|
Призначений для вимірювання і перетворення в
стандартний пневматичний сигнал на підприємствах масломолочної та іншої
промисловостях
|
|
Місцевимірювання
|
Ваги на щиті
|
На щиті
|
На щиті
|
|
Значення параметрів
|
500кг
|
|
0,1…10м
|
|
Місце відбору сигналу
|
маса
|
витрати
|
рівень
|
|
Позиції на схемі автоматизації
|
1а
|
2а
|
За 36 4а 46
|
|
„Тепло контроль”
|
„Тепло контроль”
|
Завод „Старорус прибор”
|
|
1
|
1
|
1
|
|
ТПТ-4
|
ТПТ-4
|
ЭРСУ-3
|
|
Термометр призначений для вимірювання
температури рідини. Клас точності 1,5, глибина погруження термобалона
L=200мм.
|
Клас точності 1, глибина погруження
термобалона L=200мм.
|
Регулятор-сигналізатор рівня призначений для
контролю рівня рідких електропровідних середовищ. Похибка спрацювання ±5мм,
довжина вимірювання перетворювача 2м
|
|
На щиті
|
На щиті
|
На щиті
|
|
80°
|
-50° +50°
|
0,2-3 м
|
|
температура
|
температура
|
рівень
|
|
5а
|
6а
|
7а 7б
|
9. Заходи
з охороні праці
.1 Законодавство
про охорону праці в Україні
Основною законодавчою базою в
Україні з охорони праці є «Закон України Про охорону праці» та «Кодекс законів
про працю України». їх доповнюють міжгалузеві та галузеві нормативні акти - це
стандарти, правила, норми, положення, статути, інструктажі та інші документи,
яким надано чинність правових норм.
Право на здоров'я та безпечні умови
праці - невід'ємне право кожної людини. Важливим моментом в державній політиці
України є її ставлення до питань захисту працюючого громадянина через прийняття
нових законодавчих і нормативних актів про охорону праці, створення державних
виконавчих структур для забезпечення ефективності їх виконання. Згідно з
Законом України «Про охорону праці», охорона праці - це система правових,
соціально-економічних, організаційно-технічних, санітарно-гігієнічних і
лікувально-профілактичних заходів та засобів, спрямованих на збереження здоров'я
і працездатності людини під час праці.
9.2 Фінансування
заходів з охорони праці на ТОВ «Біла лінія»
Кошти фондів охорони праці в кінці
календарного року не підлягають списанню або перерахуванню і переходять
повністю на наступний календарний рік. Кошти фондів витрачаються виключно на
заходи щодо створення безпечних здорових умов праці згідно з кошторисами
витрат, які затверджуються і контролюються власниками коштів, а також
відповідними службами Держнаглядохоронпраці.
Фінансування заходів з охорони праці
здійснюється з фонду охорони праці підприємства, а у разі недостатності цих
коштів на рахунок цього фонду відраховується частка прибутку підприємства, яка
визначається рішенням трудового колективу підприємства. За відсутності прибутку
і негайної потреби фінансування заходів з охорони праці необхідні кошти в фонд
охорони праці підприємства переводяться з поточних рахунків виробничого фонду
(рахунки основних і обігових коштів), що підвищує собівартість продукції.
Фонд охорони праці підприємства
формується за рахунок відрахування 50 % коштів від суми штрафів за порушення
норм та правил з охорони праці, які накладають на підприємство органи
державного нагляду і спонсорських внесків. Сума максимального штрафу не повинна
перевищувати 2 % від фонду заробітної плати працівників підприємства.
9.3 Інструктаж
з охорони праці на сирзаводі
Всі працівники, що приймаються на
роботу, а також в процесі роботи, проходять на підприємстві «Біла лінія»
навчання та інструктаж з охорони праці, вивчають правила надання першої
долікарської допомоги потерпілим від нещасних випадків, а також правила
поведінки при виникненні аварійних ситуацій або аварій. Працівники, що
виконують роботи по обслуговуванню обладнання підвищеної небезпеки проходять
обов'язкове курсове навчання з подальшим обов'язковим іспитом. Відповідальним
за організацію навчання і перевірку знань на підприємстві покладають на його
керівника, а в структурних підрозділах на керівників цих підрозділів. Контролює
ці питання відділ охорони праці. Всі посадові особи до початку виконання своїх
обов'язків і періодично (1 раз на 3 роки) проходять навчання та перевірку знань
з охорони праці.
Інструктажі за часом та характером
їх проведення поділяють на 5 видів: вступний, первинний, повторний або
періодичний, позаплановий, цільовий.
Мета проведення - навчити працівника
правильно і безпечно для себе і оточуючого середовища виконувати свої трудові
обов'язки.
Вступний інструктаж - проводиться з
усіма працівниками, які щойно прийнятті на роботу (постійну чи тимчасову),
незалежно від їх освіти, стажу роботи, професії або посади.
Первинний - проводиться на робочому
місці до початку роботи з новим працівником.
Повторний або періодичний інструктаж
- проводять на робочому місці із усіма працівниками: 1 раз на півроку.
Проводиться індивідуально або з групою працівників, що виконують однотипні
роботи, за програмою первинного інструктажу в повному обсязі.
Позаплановий інструктаж -
проводиться з працівниками на робочому місці або в кабінеті з охорони праці.
Обсяг і зміст інструктажу визначається в кожному окремому випадку залежно від
обставин, що спричинили необхідність його проведення.
Цільовий інструктаж - проводять із
працівниками при виконанні разових робіт, що не пов'язані безпосередньо з
основними роботами працівника та при ліквідації наслідків аварії і стихійного
лиха.
9.4 Аналіз
шкідливих та небезпечних виробничих факторів у цеху виробництва сиру
В даному дипломному проекті
передбачається модернізація сировиготовлювача Я5-ОСЖ-10. У цеху працюють 6
спеціалістів, що обслуговують лінію. На робочому місці присутні такі шкідливі й
небезпечні чинники: шум, вібрація, газо- та паровиділення, електронебезпека,
механічні травми, тепловиділення та вологовиділення.
Мікроклімат
У дільниці пресування сиру системи
припливно-витяжної вентиляції приєднуються до існуючих систем вентиляції
виробничого корпусу
У відділку соління сиру і
накопичення сиру згідно з технологічними вимогами передбачено технологічне
кондиціювання повітря з установкою автоматичних імпортних кондиціонерів, які
прикріпляються до стелі та підтримують необхідні внутрішні температури
tвн=10…12 °С і відносну вологість повітря φ=75…85%.
Вентиляційні системи обладнані
контрольно-вимірювальними приладами і засобами автоматизації згідно з вимогами
розділу 9 СНиП 2.04.05-91. Відстань між повітрозбірними отворами та викидами в
атмосферу витяжних систем прийняті у відповідності до п. 7.5 СНиП 2.04.05-91 і
становить понад 10 м.
Зниження шуму від вентиляційних
установок регулюється:
обмеженням швидкості робочого колеса
вентилятора до 30 м/с;
обмеження швидкості руху повітря в
повітроводах до 10-12 м/с з регулювальним балансуванням робочого колеса
вентилятора та регулюванням підшипників;
ізолювання вентиляторів та
повітроводів від будівельних конструкцій застосуванням віброізолюючих основ,
гнучких вставок.
Шум
Одним з найбільш розповсюджених
негативних факторів, які впливають на людину, являється шум. Він задає великої
шкоди здоров'ю та виробничій діяльності людині. В результаті втоми, що виникає
під дією шуму, збільшується кількість помилок при роботі, підвищується загроза
виникнення травм, знижується продуктивність праці. Все це є однією з причин
збільшення економічних витрат. В
останній час спостерігається тенденція до постійного збільшення шуму на
виробництві внаслідок зростання потужностей технологічного обладнання. Тому
одним з найважливіших завдань є боротьба із шумом. Допустимі норми шуму для
підприємства взяті згідно з ГОСТ 12.1.003-83.ССБТ. Для зменшення рівня шуму
ставляться різні звукопоглинаючі пристрої (конструкції типу Є-01).
Вібрація
Основою профілактики вібраційної
хвороби є застосування обладнання й інструментів з параметрами вібрації, що не
перевищують норм відповідно до ГОСТ 12.1012-90, а також введення прогресивних
технологій, виключаючи дію виробничої вібрації на робочих.
Освітлення
За видами джерела світла, що
використовується, освітлення може бути природнім (сонячним), штучним (лампи
розжарювання або газорозрядні) та суміщеним, тобто коли в світлі години доби
використовують обидва джерела світла одночасно.
Електроосвітлення цеху по
виробництву сиру забезпечує необхідну нормовану освітленість згідно з відомчими
нормами ВНТП СПП-46-24.95 «Підприємства по переробці молока».
Встановлено світильники з
люмінесцентними лампами, в складі готової продукції - світильники з лампами
розжарювання. Управління освітленням здійснюється вимикачами по місцю.
Заходи з електробезпеки
Електропостачання проектуємої
дільниці передбачається від існуючих мереж 0,4кВ головного виробничого корпусу.
Основні показники проекту наведені в
таблиці 9.1.
Таблиця 9.1 - Основні показники
проекту
|
Найменування
|
Кількість значень
|
|
Напруга, кВ - силових струмоприймачів -
освітлення
|
0,38/0,2 2
|
|
Встановлена потужність (проектуємо), КВт
|
0,22
|
Для захисту персоналу від ураження
електричним струмом передбачається захисне заземлення. Всі металеві частини
силових та освітлювальних електроустановок, які не проводять струм, підлягають
захисному заземленню шляхом приєднання їх до нульових робочих провідників та
існуючої магістралі заземлення. В якості нульових захисних провідників
використовуються кабельні лотки електропроводок, металеві конструкції будівлі
та технологічного обладнання.
Заходи з пожежної безпеки
Будівля цеху відповідає ІІ ступеню
вогнестійкості. У відповідності з класифікацією виробництва по вибухопожежній і
пожежній небезпеці відноситься до категорії Д.
Протипожежна безпека досягається
використанням конструкцій та матеріалів, ясі мають необхідну межу
вогнестійкості та забезпечують будівлі необхідну ступінь вогнестійкості згідно
СНиП 2.01.02-85 «Протипожежні норми» і СНиП 2.09.02-85 «Виробничі споруди».
В будівлі передбачені протипожежні
заходи як архітектурним рішенням планування приміщень, так і використанням
інженерних мереж і систем.
Внутрішнє планування приміщень
забезпечує повну і безпечну евакуацію людей. Двері в приміщеннях передбаченні
шириною не менше 800 мм, з відкриванням їх в бік евакуаційних виходів. В
доступних місцях встановлюються вогнегасники та обладнується пожежний щит з
набором необхідних інструментів та інвентарю.
Загальна потрібна розрахункова кількість
води на гасіння пожежі залежить від витрат води на зовнішнє (від гідрантів) і
внутрішнє (від внутрішніх пожежних кранів) гасіння та визначається за формулою:
= k·t·(n1 + n2),
де k = 3,6 - перевідний коефіцієнт
для переведення годин в секунди і літри в м3;t - тривалість гасіння пожежі,
год.;n1 і n2 - витрати води відповідно на внутрішнє і зовнішнє пожежогасіння,
л/с.
Техніка безпеки при експлуатації
обладнання
Для безпечної експлуатації установки
щодо пожежної безпеки виконуються наступні вимоги:
дотримання всіх частин установки
режиму роботи відповідно паспортних даних і технологічного регламенту;
оснащення установки пристроями для
запобігання накопичення статичної електрики;
дотримання терміну своєчасного
змащування відповідними мастилами, для запобігання підвищенню температури
підшипників;
установлення на обладнанні граничних
норм завантаження, швидкості переробки;
дотримання своєчасного проведення
оглядів, профілактичного випробування і планово-попереджувального ремонту.
Для роботи на обладнанні може бути
допущений персонал, який пройшов навчання і ознайомився з правилами безпечної
експлуатації.
Перед пуском сировиготовлювача
необхідно перевірити правильність складання всіх деталей обладнання і
впевнитись у відсутності сторонніх осіб біля машини. Кнопка вмикання
електродвигуна має бути змонтована поблизу сировиготовлювача. Підходи до кнопки
не можна захаращувати сторонніми предметами. Електродвигун має бути заземленим.
Забороняється працювати на даному
обладнанні при наявності сторонніх шумів, при підвищеній вібрації
сировиготовлювача, зношенні підшипників, виявленні у ванні сторонньої рідини.
Починати розбирання
сировиготовлювача можна тільки після повної його зупинки. Вузли і деталі
розбирати і складати можна лише за допомогою призначених для цієї мети
інструментів і пристроїв. Застосовувати випадкові предмети заборонено.
Не дозволяється використовувати
сировиготовлювач із значно зношеними гумовими прокладками.
В цеху повинно бути чисто, не
допускається наявність бруду та слизькості. Робоче приміщення повинно бути
добре освітленим, але так, щоб світло не заважало зору.
Пропозиції щодо покращення умов
праці
забезпечення працюючих правилами,
стандартами, нормами положеннями та інструкціями;
контроль за відповідність
нормативним актам про охорону праці машин, механізмів, устаткування,
технологічних процесів;
забезпечення працюючих колективними
та індивідуальними засобами захисту від шкідливих та небезпечних факторів
виробництва, лікувально-профілактичним харчуванням, миючими засобами;
рекомендується принцип матеріального
заохочення працівників, які сумлінно ставляться до виконання виробничих
обов'язків і беруть активну участь у підвищенні безпеки та поліпшення умов
праці.
10. Заходи
цивільної оборони
.1 Консервація
обладнання у харчовій промисловості
На підприємстві може так статися, що
обладнання не може працювати на повну потужність, і вимушене тимчасово
припинити експлуатацію частини основних засобів. Однак припинення експлуатації
обладнання, машин, транспортних засобів може зробити їх непридатними, тому
необхідно нести певні витрати для збереження основних засобів у належному
технічному стані.
Організаційні основи та порядок
підготовки до консервації, проведення консервації та розконсервації основних
виробничих засобів підприємств визначає «Положення про консервацію основних
виробничих фондів підприємств». Це положення обов'язкове для підприємств, які
мають стратегічне значення для економіки та безпеки держави, а також засновані
на державній власності. Для інших підприємств це положення має рекомендаційний
характер.
Консервація основних фондів
підприємств - це комплекс заходів, спрямованих на довгострокове (але не більше
як три роки) зберігання основних фондів підприємств у разі припинення
виробничої та іншої господарської діяльності з можливістю подальшого
відновлення їх функціонування.
Основні засоби підприємств можуть
бути законсервовані, якщо за техніко-економічним обґрунтуванням подальше
використання їх у виробництві визнано тимчасово недоцільним. Консервація,
утримання та розконсервація основних засобів підприємства здійснюються згідно з
проектом консервації, який повинен бути затверджений:
органом, уповноваженим управляти
його майном, - для підприємств, заснованих на державній власності;
власником (власниками) за
погодженням із міністерством або іншим центральним органом виконавчої влади (за
галузевим принципом) - для підприємств, які мають стратегічне значення для
економіки і безпеки держави, або з Мінекономіки, якщо підприємство займається
діяльністю, що стосується кількох галузей економіки;
власником (власниками) - для решти
підприємств.
Також регулюють порядок консервації
основних засобів підприємств Постанова «Про порядок консервації основних фондів
і тимчасового виведення з експлуатації виробничих потужностей підприємств, що
виготовляють товари легкої промисловості», Постанова «Про порядок консервації
основних фондів і тимчасове виведення з експлуатації виробничих потужностей
підприємств, що виготовляють товари лісової та деревообробної промисловості» та
«Положення про порядок консервації і розконсервації об’єктів будівництва».
Нарахування амортизації здійснюється
протягом строку корисного використання (експлуатації) об'єкта, який
встановлюється підприємством при визнанні цього об'єкта активом (зарахуванні на
баланс), і призупиняється на період його реконструкції, модернізації, добудови,
дообладнання та консервації. Отже, на вартість об'єктів основних засобів, які
знаходяться на консервації, амортизація не нараховується.
На період консервації основні засоби
приводяться до стану, який забезпечує збереження технологічного обладнання,
будов, споруд, а також безпеку персоналу та охорону навколишнього середовища.
Процес консервації та подальше утримання об'єктів основних засобів, які
знаходяться на консервації, потребують від підприємства витрат: матеріальних;
витрат на оплату праці персоналу, який обслуговує об'єкти; амортизацію основних
засобів, які беруть участь у роботах, пов'язаних із консервацією чи утриманням
законсервованих об'єктів тощо. Враховуючи, що законсервовані об'єкти не беруть
участі у господарській діяльності підприємств, тобто не пов'язані безпосередньо
з виробництвом або реалізацією продукції (товарів, робіт, послуг), перелічені
витрати треба класифікувати як інші витрати.
З метою оподаткування прибутку
підприємств у «Законі про оподаткування прибутку підприємств» зазначено, що у
разі виведення з експлуатації окремого об'єкта основних фондів групи 1
балансова вартість такого об'єкта для цілей амортизації прирівнюється до нуля,
при цьому амортизаційні відрахування не нараховуються.
У разі виведення з експлуатації
окремого об'єкта основних фондів групи 1 або передачі його до складу
невиробничих фондів за рішенням платника податку балансова вартість такого
об'єкта для цілей амортизації прирівнюється до нуля. При цьому амортизаційні
відрахування не нараховуються.
Отже, за основними фондами групи 1,
починаючи з кварталу, наступного за кварталом, у якому такі основні фонди були
переведені на консервацію, нарахування амортизації припиняється. Після
розконсервації, починаючи з наступного кварталу, нарахування амортизації
поновлюється і балансова вартість розконсервованого об'єкта збільшує балансову
вартість групи 1 основних фондів.
У разі виведення з експлуатації
окремих фондів груп 2, 3, 4 з будь-яких причин (крім продажу) балансова
вартість таких груп не змінюється. Отже, порядок нарахування амортизації за
основними фондами 2, 3, 4 груп при переведенні їх на консервацію не змінюється.
Не підлягають амортизації та повністю відносяться до складу валових витрат
звітного періоду витрати платника податку на утримання основних фондів, які
знаходяться на консервації.
Розглянемо організацію обліку
основних фондів, які перебувають на консервації, обліку витрат, що їх несе
підприємство для здійснення консервації, а також відображення таких операцій у
фінансовій звітності і податковому обліку.
Консервація - комплекс заходів,
спрямованих на тривале зберігання основних виробничих фондів у разі припинення
виробничої та іншої господарської діяльності з можливістю у майбутньому
відновлення їх функціонування. Консервація основних фондів здійснюється у тому
разі, коли у певний період часу їх використання у виробничому процесі є
недоцільним, проте підприємство не виключає можливості їх використання згодом у
власній господарській діяльності. Консервація основних виробничих фондів та їх
тимчасове виведення з виробничого процесу, а також розконсервація здійснюються
з дотриманням процедур і є частиною звичайної діяльності підприємства.
Розглянемо питання обліку витрат на підприємстві недержавної форми власності.
Об’єкти основних фондів, які
тимчасово виводяться з експлуатації, не втрачають статусу основних засобів
(фондів) і тим більше не відчужуються підприємством, тобто не змінюють
власника. Як і до консервації, об’єкт основних засобів обліковується в
«Інвентарній картці обліку основних засобів», додатково оформляється акт про
тимчасове виведення основних фондів з виробничого процесу та їх консервацію.
сировиготовлювач
виробництво автоматизація
10.2 Технічна
карта консервування даного виду обладнання
Пакування та консервація
сировиготовлювача повинно забезпечувати зберігання виробу на місці не менше 12
місяців від дня консервації.
У випадку зберігання
сировиготовлювача більше встановленого терміну, потрібно провести його
переконсервацію.
Вертикальний резервуар із теплообмінною
рубашкою, ріжуче-вимішувальний механізм із мішалками, вертикальні вали,
реверсивний привід, патрубки для подачі молока й інших вихідних компонентів,
пристрій для відбору сироватки і вивантаження сирного зерна, опори та інші
роз'ємні частини консервуються без упаковки.
Дрібні складові одиниці та деталі,
що ідуть із сировиготовлювачем пакуються в ящики по ГОСТ 10198-71.
Контрольно-вимірювальні прилади,
скло, та інші дрібні деталі сировиготовлювача повинні бути упаковані в ящики
типу 3, виготовлені по ГОСТ 2991-69, які кладуться в основний ящик і
закріплюються в ньому за допомогою сталевої стрічки Н-0540 ГОСТ 3560-73 і
дерев’яними брусками.
В місцях доторкання деталей і
складових частин сировиготовлювача ящиком, сталевою стрічкою чи розпірними
дерев’яними брусками для зберігання нанесеної фарби чи оброблених поверхонь від
пошкоджень повинні бути підкладені м’які прокладки.
Експлуатаційні та технологічні
документи повинні бути завернуті в спеціальний папір по ГОСТ 8273-75, упаковані
у пакети із поліетиленової плівки по ГОСТ 1035-4-73 і вкладені в карман,
розташований на внутрішній стороні бокової стінки основного ящика.
Для зварювання монтажних стиків,
передбачених монтажними кресленнями, разом із сировиготовлювачем поставляється
необхідна кількість електродів. Електроди повинні бути загорнуті в
поліетиленову плівку по ГОСТ 10354-73 і упаковані в ящики, що виготовлені по
ГОСТ 2991-69 при цьому вага упакованого ящика не повинна перевищувати 50 кг.
Потрібно забезпечити зберігання
сировиготовлювача на площадках під навісом. Ящики повинні зберігатись в
складських приміщеннях.
Поверхні деталей і складальних
одиниць сировиготовлювача, що не мають лакового покриття, підлягають
консервації з метою захисту від корозії по ГОСТ 13168-69.
Всі робочі поверхні повинні бути
покриті солідолом УС-2 по ГОСТ 1033-73 чи пластичним змащуванням ПВК по ГОСТ
19537-74 без бар’єрної упаковки.
Табличка маркування
сировиготовлювача виготовляється по ГОСТ 12969-67 з тонколистової сталі і
кріпиться і кріпиться до нього сваркою. Місце кріплення таблички згідно
креслень. Форма таблички - прямокутна, розмір 125x80 мм по ГОСТ 12972-1-67.
Напис на табличці повинен бути виконаний по ГОСТ 12971-67. Зміст маркування по
ГОСТ 27-00-37-71.
Місце роз'ємів усіх вузлів у
розібраному вигляді повинні бути промаркіровані.
Потрібний час для консервування
окремих частин сировиготовлювача наведена в таблиці 10.1.
Таблиця 10.1 - Тривалість
консервування частин сировиготовлювача
|
Назва
|
Кількість
одиниць, шт.
|
Тривалість консервування однієї одиниці,
чол·год.
|
|
Вертикальний резервуар
|
1
|
1
|
|
Мішалка
|
2
|
0,2
|
|
Головний вал
|
2
|
0,1
|
|
Сопло подачі продукту
|
8
|
0,05
|
Підрахуємо загальний час
консервування:
Т=1+2*0,2+2*0,1+8*0,05+0,3+4*0,1+0,3+0,5+0,5=4
год.
Висновок: консервація дозволяє
зберегти обладнання для подальшої експлуатації. Загальний час консервування
всього обладнання складає 4 год. Якщо працюватимуть 2 працівника, то вони
виконають всю роботу (4 год./2) за 2 год.
11. Охорона довкілля
Охороні навколишнього середовища в
нашій країні приділяють велику увагу, тому що стрімкий розвиток промисловості
став сильно впливати на навколишнє середовище (на стан повітря, ґрунту, річну і
озерну воду), що може загрожувати стійкому існуванню рослинного і тваринного
світу.
Харчова промисловість України - одна
із провідних галузей економіки країни. Розвиток харчової промисловості потребує
подальшої інтенсифікації технологічних процесів, зменшення витрат палива,
електроенергії на їх здійснення, витрат металів й інших конструкційних
матеріалів на виготовлення машин та апаратів, а також покращення екологічної
ситуації в нашій країні.
У процесі модернізації обладнання
найбільший економічний ефект дають ті рішення, які спрямовані на раціональне
використання сировини й матеріалів (природних ресурсів), впровадження
матеріалозберігаючої техніки та технології і зменшення впливу на екологію
країни.
Введення в експлуатацію цеху по
виробництву сиру з точки зору забруднення навколишнього середовища не впливає
на екологічну обстановку в районі його розміщення. Цех по виробництву сиру, що
проектується, є другорядним джерелом забруднення атмосфери, яке не впливає
негативно на її стан. Основними викидами забрудників від технологічних процесів
є викиди теплових та водяних парів.
Для кращого розсіювання забрудників
від витяжних систем викид витяжних повітроводів слід розміщувати на висоті
1,5…2 м вище рівня покрівлі.
У зв’язку з тим, що основним
забрудником у виробництві є викиди тепла і водяних парів, то очищення витяжного
повітря не потрібне.
Передбачена безвідходна технологія
виробництва. Відходи пакувальних матеріалів збираються в контейнерах на
спеціально передбаченому майданчику та вивозяться на міське звалище відповідно
договору з комунальною службою міста.
Джерелом водопостачання передбачені
існуючі водопровідні мережі проммайданчика. Вода за хімічними та
бактеріологічними показниками відповідає ГОСТ 2874-82 «Вода питна».
Каналізаційний стік від виробництва
твердих сирів поступає до зовнішньої каналізаційної мережі підприємства.
Враховуючи сучасну безвідходну
технологію, до каналізаційних мереж попадають стоки тільки від миття
обладнання. Зокрема, жироутримуючі стічні води до попадання до загального стоку
піддаються попередньому очищенню на існуючій жироловці. Після комплексного
очищення стічні води не мають шкідливих домішок.
Санітарно-захисна зона промислового
майданчика, яка становить 50 м, озеленена деревами та кущами, які мають
фітонцидні властивості, що позитивно впливає на навколишнє середовище.
Аналіз та зіставлення видів та
рівнів впливу на навколишнє середовище організуючого підприємства показує, що
прийняті в проекті заходи по застосуванню прогресивних технологічних процесів
та обладнання, утилізація відходів виробництва дозволяє зробити висновок про
екологічну безпеку виробництва при дотримуванні адміністрацією всіх діючих норм
та правил, зв'язаних з екологічною безпекою об'єкта.
В результаті модернізації обладнання
по виготовленню сиру підвищилася продуктивність, передбачена безвідходна
технологія виробництва, стічні води не містять шкідливих домішок. В результаті
покращилася екологічна ситуація на підприємстві та в регіоні.
Висновки
Метою дипломного проекту було
покращення техніко-економічних показників роботи сировиготовлювача Я5-ОСЖ-10,
шляхом проведення його модернізації.
Сутність модернізації полягає у
зміні конструкції завантажувально-розвантажувального пристрою. Створення
пристрою для відбору сироватки і вивантаження сирного зерна у вигляді забірної
та зливної труб, з'єднаних через золотниковий елемент, дозволяє розмістити в
одному пристрої вузли для відбору сироватки і вивантаження сирного зерна, що
дає можливість використовувати один привід.
Запропонована конструкція дозволяє
проводити інтенсивний відбір сироватки самопливом, без зупинки мішалок і
застосування насосу. Таким чином відбувається підвищення надійності роботи
сировиготовлювача за рахунок виключення технологічних операцій осадження
сирного зерна і подальшого дроблення пласту, зменшення втрат сирного зерна та
поліпшення його якості, зниження енергозатрат і собівартості виробленої
продукції.
Крім того, дана конструкція дозволяє
покращити санітарну обробку сировиготовлювача і зменшити витрати миючих засобів
та води за рахунок повного беззалишкового спорожнення сировиготовлювача.
Список використаної
літератури
1. Сурков,
В. Д. Технологическое оборудование предприятий молочной промышленности [Текст]
/ В.Д. Сурков. - М. : Пищевая промышленность, 1983. - 432с.
2. Гальперин,
Д. М. Технология монтажа, наладки и ремонта оборудования пищевых производств
[Текст] / Д. М. Гальперин, Г. В. Миловидов. - М. : Пищевая промышленность,
1990.
. Купчик,
М. П. Основи охорони праці [Текст] / М. П. Купчик, І. Ф. Степанець. - К., 2000.
- 416 с.
. Томбаев,
Н. Л. Справочник по оборудованию предприятий молочной промышленности [Текст] /
Н. Л. Томбаев. - М. : Пищепромиздат, 1972. - 543 с.
. Золотим,
Ю. П. Оборудование предприятий молочной промышленности [Текст] / Ю. П. Золотим,
М. Б. Френклах, Н. Г. Пашутин. - М. : Агропромиздат, 1985. - 270 с.
. Ростороса,
Н. Л. Курсовое и дипломное проектирование предприятий молочной промышленности
[Текст] / Н. Л. Ростороса, П. В. Мордвинцева.- М. : Пищевая промышленность,
1976. - 297 с.
. Красов,
Б. В. Монтаж и ремонт оборудования предприятий молочной промышленности [Текст]
/ Б. В. Красов.- М. : Пищевая промышленность, 1973. - 305 с.
. Медведев,
А. М. Охрана труда в мясной и молочной промышленности [Текст] / А. М. Медведев,
И. С. Анципович, Ю. Л. Виноградов. - М. : Агропромиздат, 1989. - 256 с.
. Липатов,
Н. Л. Руководство к лабораторним и практическим занятиям по курсу оборудования
предприятий молочной промышленности [Текст] / Н. Л. Липатов. - М. : Пищевая
промышленность, 1978. - 287 с.
. Волчков,
И. И. Сепаратори для молока и молочних продуктов [Текст] / И. И. Волчков. - М.
: Пищевая промышленность, 1975. - 223 с.
. Твердохлеб,
Г. В. Технология молока и молочных продуктов [Текст] / Г. В. Твердохлеб, 3. X.
Диланян, Л. В. Чекулаева. - М. : Агропромиздат, 1991. - 463 с.
. Абалмасов,
Г. Ф. Примеры и задачи по курсу технологического оборудования предприятий
молочной промышленности [Текст] / Г. Ф. Абалмасов, Т. А. Боушев, Ф. М. Тарасов.
- М. : Машиностроение, 1966. - 285 с.
. Соколов,
А. А. Основы расчета й конструирования машин й аппаратов пищевых производств
[Текст] / А. А. Соколов. - М. : Пишепромиздат, 1960. - 431 с.
. Киркач,
Н. Ф. Расчет й проектирование деталей машин [Текст] / Н. Ф. Киркач, Р. А.
Баласанян. - X. : Основа, 1981. - 276 с.
. Павлище,
В. Т. Основи конструювання та розрахунок деталей машин [Текст] / В. Т. Павлище.
- К. : Вища школа, 1993. - 556 с.
. Медведєв,
І. Г. Економічне проектування впровадження нової техніки на підприємствах
м'ясної і молочної промисловості [Текст] / І. Г. Медведєв. - К. : ІДСО, 1995. -
152 с.
. Бабичев,
В. В. Охорона праці і техніка безпеки в торгівлі і громадському харчуванні:
Підручник для студентів торгово-економічних і комерційних вузів [Текст] / В. В.
Бабичев, Г. Ф. Сорокін. - К.: ІЗМН, 1996. - 224 с.
. Будорагіна,
Л. В. Производство кисломолочных продуктов [Текст] / Л. В. Будорагіна, Н. К.
Ростроса - М. : Агропромиздат, 1986. - 151 с.
. Домарецький,
В. А. Екологія харчових продуктів [Текст] / В. А. Домарецький, Т. П. Златєв. -
К. : Урожай, 1993. - 192 с.
. Казаков,
Н. Ф. Технология пищевого машиностроения: Учебник для ВУЗов по специальности
”Машины и аппараты пищевых производств“ [Текст] / Н. Ф. Казаков, Г. А.
Мартынов. - М. : Машиностроение, 1982. - 296 с.
. Супрунчук,
В. К. Конструкционные материалы и покрытия в продовольственном машиностроении:
Справочник [Текст] / В. К. Супрунчук, З. В. Островский. - М. : Машиностроение,
1984. - 328 с.
. Трегуб,
В. Г. Проектирование, монтаж и эксплуатация систем автоматизации пищевых
производств [Текст] / В. Г. Трегуб, А. П. Ладанюк. - М. : Легкая и пищевая
промышленность, 1981. - 362 с.
. Дьяченко,
П. Ф. Технологія молока і молочних продуктів [Текст] / П. Ф. Дьяченко, М. С.
Коваленко, А. Д. Гріщенко, А. И. Чеботарев - М. : Харчова промисловість, 1974.
. Дьяченко,
П. Ф. Новий спосіб виділення білка із знежиреного молока: сб. реф. науч. работ
[Текст] / П. Ф. Дьяченко. - М. : ВНИМИ, 1955.
. Евдокимов,
І. А. Реальні мембранні технології [Текст] / І. А. Евдокимов, Д. Н. Володин, А.
С. Бессонов, М. С. Золотарева // Молочна промисловість. - 2010. - № 1.
. Клепкер,
В. М. Використовування білків молока при виробництві сиру і сирних виробів
[Текст] / В. М. Клепкер // Молочна промисловість. - 2008. - № 8.
. Манилов,
С. В. Дослідження впливу денатурованих сироваткових білків на властивості
низькокалорійних молочнобілкових продуктів: дис. канд. техн. наук: 05.18.04
[Текст] /С. В. Манилов. - Кемерово : Кемеровський технологічний інститут
харчової промисловості, 2009.
. Молочников
В. В., Виробництво і використовування білків молочної сироватки: оглядова
інформація [Текст] / В. В. Молочников, П. Г. Нестеренко. - М. : Мясомолпром,
1983.
. Попкова,
Г. Ю. Сирні вироби і нові технології [Текст] / Г. Ю. Попкова, А. А. Могильний
// Молочна промисловість. - 2008. - № 8.
. Ростроса,
Н. К.Виробництво молочнобілкових продуктів на основі сумісної коагуляції
казеїну і сироваткових білків [Текст] / Н. К. Ростроса, П. Ф. Дьяченко. - М. :
Мясомолпром, 1974.
. Храмцов,
А. Г. Довідник майстра по промисловій переробці молочної сироватки [Текст] / А.
Г. Храмцов, С. В. Василисин // Легка і харчова промисловість. - 1983.
. Остерман,
Л. А. Методи дослідження білків і нуклеїнових кислот. Електрофорез і
ультрацентрифугування [Текст] / Л. А. Остерман. - М.: Наука, 1981.
. Практична
хімія білка [Текст] / пер. з англ.; під ред. А. Дарбре. - М. : Мир, 1989.