Свойства каменного угля. Методы отбора и подготовки проб для лабораторных испытаний

  • Вид работы:
    Контрольная работа
  • Предмет:
    Другое
  • Язык:
    Русский
    ,
    Формат файла:
    MS Word
    140,97 Кб
  • Опубликовано:
    2015-09-14
Вы можете узнать стоимость помощи в написании студенческой работы.
Помощь в написании работы, которую точно примут!

Свойства каменного угля. Методы отбора и подготовки проб для лабораторных испытаний

Оглавление

уголь топливо экспертиза каменный

Введение

. Идентификация, классификация, ОКП

. Потребительские свойства угля

. Методы отбора проб угля

. Экспертиза каменного угля

. Метод прямого весового определения влаги в аналитической пробе (ГОСТ 9516-92)

. Организации, проводящие экспертизу угля в Санкт-Петербурге

. Потребительская экспертиза каменного угля

. Упаковка, маркировка, транспортирование

Список литературы

Введение


Уголь ― вид ископаемого топлива, образовавшийся из частей древних растений под землей без доступа кислорода. Уголь был первым из используемых человеком видов ископаемого топлива. Он позволил совершить промышленную революцию, которая в свою очередь способствовала развитию угольной промышленности, обеспечив её более современной технологией.

В древних торфяных болотах, начиная с девонского периода (примерно 416 млн. лет назад), накапливалось органическое вещество, из которого без доступа кислорода формировались ископаемые угли.

Уголь образуется в условиях, когда гниющий растительный материал накапливается быстрее, чем происходит его бактериальное разложение. Идеальная обстановка для этого создаётся в болотах, где стоячая вода, обеднённая кислородом, препятствует жизнедеятельности бактерий и тем самым предохраняет растительную массу от полного разрушения. На определённой стадии процесса, выделяемые в ходе него кислоты предотвращают дальнейшую деятельность бактерий. Так возникает торф ― исходный продукт для образования угля. Если затем происходит его захоронение под другими наносами, то торф испытывает сжатие и, теряя воду и газы, преобразуется в уголь.

Способы добычи угля зависят от глубины его залегания. Разработка ведется открытым способом в угольных разрезах, если глубина залегания угольного пласта не превышает 100 метров. Нередки и такие случаи, когда при всем большем углублении угольного карьера далее выгодно вести разработку угольного месторождения подземным способом. Для извлечения угля с больших глубин используются шахты. Самые глубокие шахты на территории Российской Федерации добывают уголь с уровня чуть более 1200 метров.

Самые большие угольные бассейны в России по объему добычи месторождения каменного угля - это Тунгусский, Кузнецкий, Печорский бассейны. В Казахстане - Карагандинский. В США - Аппалачский и Пенсильванский бассейны. В Германии - Рурский и многие др. Крупные залежи каменного угля имеют многие страны.

1. Идентификация, классификация, ОКП


Принадлежность продукта к товарной группе "Уголь" можно оценить по следующим признакам:

.        Это вещество черного цвета;

.        Твердой консистенции;

.        Растительного происхождения;

.        С неровной поверхностью.

Классифицировать уголь можно по следующим признакам (табл. 1):

Таблица 1. Признаки классификации угля

Признак

Значение

Страна добычи

Россия, США, Германия, Казахстан

Способ добычи

Гидравлический и механический. Гидравлическая добыча - это процесс подземной выемки угля, его транспортировки и подъёма на поверхность с использованием жидкостных струй. В качестве источника жидкости чаще используется приток подземных вод в шахту. Механическое разрушение при добыче угля осуществляется исполнительным органом очистного комбайна разрушения.

По размеру

Плитный (более 100 мм), крупный (50-100 мм), орех (26-50 мм), мелкий (13-25 мм), семечко (6-13 мм), штыб (менее 6 мм).

По степени углефикации

Бурый, каменный и антрацит. Самая низкая теплота сгорания у бурых углей, а самая высокая - у антрацитов. Наиболее выгодное отношение цены и удельной теплоты сгорания имеют каменные угли. Антрациты находят свое применение, как правило, в котельных, т.к. они могут гореть без поддува. Угли слабоспекающиеся применяются для получения электрической энергии, т.к. они имеют большую теплоту сгорания, но сжигание данного вида углей связано с технологическими трудностями, которые оправданы лишь в случае необходимости большого количества угля.

По виду

Каменные делятся на длиннопламенные, газовые, жирные, коксовые, отощенно-спекающиеся, тощие и слабоспекающиеся.

По способу применения

В качестве топлива, сырья для промышленности, для извлечения редких и рассеянных элементов.



Сведем данную таблицу в схему на рис. 1.


Рис. 1. Классификация угля

Код ОКП представлен на рис. 2:

Рис. 2. Код ОКП

. Потребительские свойства угля

Выберем 12 потребительских свойств угля и выявим среднюю оценку экспертами этих свойств (см. табл. 2):

Таблица 2. Потребительские свойства угля

Потребительское свойство

Средняя оценка эксперта

Цена

5

Цвет

2

Запах

1

Твердость

4

Размер

5

Температура горения

4

Способ применения

5

Условия хранения

5

Место добычи

5

Влажность

3

Способ добычи

Пористость

2


. Методы отбора проб угля

Отбор проб угля урегулирован в ГОСТ 10742-71 "Угли бурые, каменные, антрацит, горючие сланцы и угольные брикеты. Методы отбора и подготовки проб для лабораторных испытаний".

Отбор объединенных проб производят от каждой партии топлива. При регулярных поставках допускается по согласованию сторон периодическое опробование партий топлива.

Отбор проб производят:

·        от потока топлива в местах его перепада или с поверхности транспортирующего устройства;

·        от неподвижного слоя топлива, погруженного в транспортные средства.

Отбор проб должен производиться механизированным способом с применением пробоотборников, соответствующих требованиям настоящего стандарта.

Если невозможен механизированный отбор, допускается отбор проб вручную.

Точечные пробы, отбираемые в объединенную пробу, должны быть равномерно распределены по всему объему партии топлива.

Количество точечных проб (n), отбираемых в объединенную пробу от партии каменных углей и антрацитов массой до 1000 т или партии бурых углей, горючих сланцев и брикетов массой до 2500 т для определения зольности, массовой доли общей влаги и низшей теплоты сгорания с погрешностью приведено в табл. 3.

Таблица 3. Количество точечных проб



Вид топлива

Количество точечных проб (n), не менее

Топливо обогащенное и брикеты

16

Топливо необогащенное

32


От партии топлива, состоящего из одного железнодорожного вагона, в объединенную пробу отбирают 8 точечных проб, независимо от вида топлива.

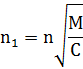
При отборе объединенных проб от партии более 1000 т для каменных углей и антрацитов и более 2500 т для бурых углей, горючих сланцев и брикетов количество точечных проб вычисляют по формуле,


где М - масса опробуемой партии топлива, т;

С - 1000 т - для каменных углей и антрацитов или 2500 т - для бурых углей, горючих сланцев и брикетов.

Масса точечных проб, отбираемых в объединенную пробу, должна быть не менее


где m - минимальная масса точечной пробы, кг;- размер максимальных кусков, мм.

За размер максимальных кусков рядового топлива условно принимают размер отверстия сита, на котором при просеивании по ГОСТ 2093 надрешетный продукт составляет не более 5%. За размер максимальных кусков сортового топлива принимают верхний предел крупности данного сорта.

Масса точечных проб брикетов должна быть не менее 3 кг.

Если масса точечной пробы в четыре и более раз превышает минимально необходимую (например, при отборе проб из потоков большой мощности по всему сечению, при отборе проб из вагонов или сосудов грейферными установками и т.д.), допускается сокращение массы первоначально отобранных точечных проб без предварительного дробления до нормируемых значений.

. Экспертиза каменного угля

Физико-химические показатели угля представлены в таблице 4.

Таблица 4. Физико-химические показатели угля

ГОСТ 7657-84

DIN 51749

Наименование показателя

Норма для марки

 


марка "A"

марка "Б"

марка "В"

 


Высший сорт

1-ый сорт

1-ый сорт

2-ой сорт

 

 

Кажущаяся плотность, г/см3, не менее

0.37

0.37

не нормируется

не нормируется

Массовая доля золы, %, не более

2.5

3.0

2.5

3.0

4.0

6.0

Массовая доля нелетучего углерода, %, не менее

90

78

88

77

67

78

Массовая доля воды, %, не более

6

6

6

6

8

 Массовая доля угля с зернами в местах погрузки, %, не более

 

размером не менее 25 мм

5

5

не нормируется

 

размером не менее 12 мм

5

5

7

7

7

20

Массовая доля головней, %, не более

отсутствуют

2

отсутствие

2

2

отсутствие

Масса 1 дм3 угля, гр, не менее

210

210

не нормируется

не нормируется



. Метод прямого весового определения влаги в аналитической пробе (ГОСТ 9516-92)

Уголь нагревают при температуре 105-110 градусов в токе сухого азота, очищенного от кислорода. Выделившаяся при этом влага собирается в поглотительной трубке, содержащей осушитель. Содержание влаги в угле определяют по увеличению массы поглотительной трубки.

Материалы:

.        Поглотитель;

.        Азот. Максимальное содержание кислорода в азоте - 30 частей на миллион частей.

Аппаратура:

.        Весы аналитические;

.        Электропечь;

.        Колонка осушительная, наполненная поглотителем для сушки азота, поступающего в ретортную трубку;

.        Расходомеры для измерения скорости потока газа, обеспечивающие двухкратный обмен азота в ретортной трубке в 1 мин;

.        Стеклянные ретортные трубки вместимостью 50 куб.см.;

.        Поглотительные трубки, заполненные таким количеством поглотителя, которое может полностью поглотить влагу из потока азота.

Проведение испытания:

Регулируют скорость потока азота, проходящего через осушительную колонку и расходомер так, чтобы в ретортной трубке обеспечивался двухкратный обмен азота в 1 мин. Пустую ретортную трубку присоединяют к поглотительной трубке и к источнику азота через расходомер (схема на рис. 3):

Рис. 3. Схема прибора для проведения испытания

Систему проверяют на герметичность, открывают поглотительную трубку и, в случае необходимости, снова регулируют скорость потока газа.

Ретортную трубку вставляют в печь, нагретую до температуры 105-110 градусов, и пропускают азот в течение 15 мин. Поглотительную трубку закрывают, отсоединяют, вытирают и оставляют на 20 мин в комнате для взвешивания. Через 20 мин трубку на мгновение открывают, чтобы уравновесить давление, и взвешивают с точностью до 0,2 мг, используя в качестве противовеса точно такую же трубку.

Пока поглотительная трубка находится в комнате для взвешивания, ретортную трубку удаляют из печи и охлаждают током сухого азота, проходящего через нее. После охлаждения в трубку (или в лодочку) взвешивают с точностью до 0,1 мг около 1 г угля и распределяют его ровным слоем но длине трубки (лодочки) не более 0.15 г угля на 1 кв.см.

Снова подсоединяют взвешенную поглотительную трубку, проверяют на герметичность и, пропуская азот, нагревают пробу до-105-110°С.

Через определенное время поглотительную трубку закрывают, отсоединяют и взвешивают, точно следуя процедуре, описанной выше. Перед отсоединением поглотительной трубки перекрывают поток азота и закрывают выходной конец ретортной трубки. После взвешивания снова отсоединяют поглотительную трубку, регулируют скорость потока азота и продолжают нагревание.

Эту процедуру повторяют с интервалом в 30 чин до тех пор, пока изменение в .массе поглотительной трубки будет не более 0.2 мг.

Уголь можно взвешивать также в лодочке, которую вставляют в ретортную трубку после подсоединения поглотительной трубки. В этом случае ретортную трубку между двумя последовательными взвешиваниями можно не удалять из печи и не охлаждать (см. примечание к разл 3).

Вычисление результатов

Массовую долю влаги (W) в анализируемом угле в процентах вычисляют по формуле


Где m1- масса навески угля, г;-увеличение массы поглотительной трубки в процессе испытания. г;- увеличение массы поглотительной трубки в процессе контрольного определения, г.

Метод определения минерального вещества (ГОСТ 29086-91)

Частичная деминерализация пробы угля обработкой соляной и фтористоводородной кислотами в условиях, при которых угольное вещество остается неизменным. Регистрация потери массы угля, обусловленной кислотной обработкой, и определение нерастворимой части минерального вещества озолением частично деминерализованного угля. Определение содержания железа в золе с целью расчета содержания пирита в экстрагированном угле. Определение количества соляной кислоты, поглощенной угольным веществом.

Реактивы

Для анализа используют только реактивы квалификации ч.д.а., дистиллированную воду или воду эквивалентной чистоты.

Соляная кислота, 1,18 г/см3.

Соляная кислота, раствор (HСl) 5 моль/дм3.

Фтористоводородная кислота, 1,13 г/дм3.

Предостережение. Очень токсична при вдыхании, при попадании на кожу и внутрь. Вызывает сильные ожоги. Следует держать контейнер плотно закрытым в хорошо проветриваемом месте. При попадании в глаза немедленно промывают большим количеством воды и обращаются за медицинской помощью. При работе надевают соответствующую защитную одежду и перчатки. При несчастном случае или недомогании немедленно следует обратиться за медицинской помощью (если возможно, следует предъявить этикетку реактива).

Аппаратура

Вся перечисленная ниже аппаратура должна быть устойчивой к воздействию кислот, особенно фтористоводородной кислоты. Подходящим материалом является поливинилхлорид (ПВХ).

Химический стакан с крышкой вместимостью 200 см3.

Чехол для термометра - трубка, запаянная с одного конца, в которую вставляется термометр.

Мешалка.

Промывалка.

Склянка для фильтрования под вакуумом.

Весы с погрешностью взвешивания не более 0,1 мг.

Фильтровальное устройство (рис. 4):

Рис. 4. Фильтровальное устройство

Подготовка пробы

Для определения минерального вещества используют аналитическую пробу, измельченную до прохождения через сито с отверстиями размером 200 мкм. При необходимости перед определением пробу распределяют тонким слоем и выдерживают в течение минимального времени, которое необходимо для установления приблизительного равновесия между влажностью пробы и влажностью атмосферы в лаборатории.

Перед началом определения воздушно-сухую аналитическую пробу угля тщательно перемешивают в течение 1 мин предпочтительно механическим способом.

Проведение анализа

Взвешивают около 6 г пробы с точностью 0,1 мг в химический стакан и добавляют 40 см3 раствора соляной кислоты. Вставляют мешалку и трубку с термометром и закрывают крышкой. Химический стакан помещают в водяную баню, нагретую до температуры 55-60°С. Содержимое перемешивают с интервалом в 5 мин. Через 45 мин стакан вынимают и дают осесть угольной суспензии в течение 10 мин. Раствор фильтруют через фильтр под вакуумом. Уголь на фильтре промывают водой, дают стечь воде и переносят в химический стакан, смывая его водой в количестве не более 5 см3. Необходимо избегать потерь угля при разбрызгивании.

В химический стакан добавляют 40 см3 фтористоводородной кислоты и повторяют тепловую обработку и фильтрование, как описано выше. Уголь с фильтра переносят в химический стакан, смывая его водой в количестве не более 5 см3. В химический стакан добавляют 50 см3 соляной кислоты, помещают его на водяную баню и повторяют ранее описанную тепловую обработку. Раствор фильтруют и трижды промывают уголь водой, каждый раз декантируя раствор. Весь уголь переносят на фильтр и промывают горячей водой 20 раз по 25 см3. Остатки угля удаляют из стакана при помощи палочки с резиновым наконечником и холодной воды.

Уголь просушивают под вакуумом в течение 5-10 мин.

Фильтр разбирают, влажный уголь разрыхляют и сушат вместе с фильтром в вакуумном шкафу при температуре 50°С и давлении 3,5 кПа* в течение 1,5 ч, затем извлекают и охлаждают на воздухе в течение 1 ч для доведения до воздушно-сухого состояния, после чего взвешивают. Уголь по возможности максимально переносят в стеклянную емкость, закрывающуюся стеклянной пробкой. Верхнюю часть фильтра и фильтровальную бумагу очищают от угля и взвешивают. Массу экстрагированного угля находят по разности.

* 1 кПа =10 мбар.

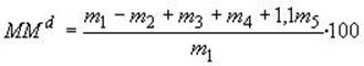
Экстрагированный уголь тщательно перемешивают и определяют в нем влагу, хлор и зольность, а также общее железо в золе. Определяют также влагу и зольность исходной пробы, причем каждое определение следует проводить в соответствии с требованиями соответствующего стандарта (см. разд. 2). Вычисляют количество соляной кислоты, эквивалентное содержанию хлора, и количество пирита, эквивалентное общему содержанию железа.

Обработка результатов

Результаты, используемые при расчетах, должны быть выражены на сухое состояние топлива. Массовую долю минерального вещества () в процентах, вычисляют по формуле


где - масса взятой для испытания навески, г;

- масса испытуемого угля после экстрагирования, г;

- масса пирита в экстрагированном угле, г;

- масса соляной кислоты в экстрагированном угле, г;

- масса золы экстрагированного угля за вычетом массы оксида железа из пирита, г.

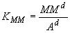
Коэффициент содержания минерального вещества () вычисляют по формуле

,

где - зольность исходной пробы угля, %.

Определение насыпной плотности (ГОСТ Р 54246-2010)

Сущность метода заключается в том, что пробу измельченного угля или шихты загружают в конус (бункер), расположенный на определенной высоте над приемным сосудом, объем и массу которого предварительно определяют. После быстрого открытия затвора конуса уголь поступает в приемный сосуд (мерную емкость). Поверхность угля в сосуде разравнивают планкой и сосуд с углем взвешивают.

Насыпную плотность рассчитывают как отношение массы свеженасыпанного угля к его объему.

Аппаратура

Мерная емкость (приемный сосуд) представляет собой контейнер в виде куба с ручками объемом (0,0284 ± 0,000082) м3 (1 кубический фут), с внутренними размерами, равными 305 мм (1 фут). Емкость имеет жесткую конструкцию и гладкую внутреннюю поверхность. Точный объем емкости (м3) определяют, используя воду с известной плотностью.

Мерную емкость изготавливают из металла такой толщины, чтобы обеспечить достаточную прочность стенок и дна в условиях опыта. Минимальная рекомендуемая толщина стенок равна 3 мм.

Конус предназначен для наполнения углем мерной емкости (см. рисунок 5). Размеры конуса: высота 610 мм, внутренний диаметр верхней части 510 мм, диаметр круглого отверстия на дне конуса 115 мм. Подвижный клапан конуса состоит из задвижки, которая представляет собой передвижную пластину, и опоры, приваренной к основанию конуса таким образом, чтобы клапан мог легко открываться и закрываться при движении задвижки по направляющим опоры. Конус помещают в каркас типа треноги, верхняя часть которого представляет собой кольцо с внутренним диаметром 460 мм. Конус вставляют в каркас таким образом, чтобы расстояние от верхней части задвижки до дна мерной емкости составляло 560 мм (см. рисунок 5).

Выравнивающая планка представляет собой узкую стальную полосу с приблизительными размерами 760 х 40 х 5 мм.

Устройство для взвешивания представляет собой платформу для взвешивания до 100 кг груза с пределом допускаемой погрешности 0,05 кг.

Рис. 5. Аппарат в сборе

Проведение испытания

Конус, вставленный в каркас-треногу, помещают на горизонтальную поверхность (на металлическую пластину или на пол). Подготовленную пробу размещают на ровной поверхности и осторожно разравнивают лопатой или совком так, чтобы толщина слоя угля была около 100 мм. Следует избегать надавливания на уголь тыльной стороной лопаты или совка. Затем последовательно набирают полную лопату или совок угля из равномерно распределенных точек на поверхности угля и осторожно ссыпают его в конус, подходя к нему с разных сторон. Это предотвратит сегрегацию и уплотнение угля во время заполнения конуса. Загружают в конус около 34 кг угля.

Центр предварительно взвешенной мерной емкости располагают под клапаном конуса. Затем полностью открывают задвижку клапана, весь уголь высыпается в емкость и пересыпается через край. Если увлаженный уголь не высыпается свободно из бункера, осторожно проталкивают сверху вниз сквозь уголь выравнивающую планку (5.3).

После заполнения мерной емкости (5.1) осторожно удаляют излишки угля с одновременным выравниванием его поверхности движением выравнивающей планки (5.3) в горизонтальной плоскости с ее опорой на края мерной емкости. При этом следят за тем, чтобы все углы мерной емкости были заполнены углем. Следует избегать сотрясения или передвижения наполненной емкости до тех пор, пока не будет удален весь лишний уголь. Мерную емкость помещают на платформу для взвешивания (5.4) и взвешивают с пределом допускаемой погрешности 0,05 кг. Разность массы наполненной и пустой емкостей представляет собой массу неуплотненного угля.

Проводят определение содержания общей влаги и гранулометрического состава. Результат определения влаги включают в протокол испытаний. Туда же включают результаты ситового анализа для правильной интерпретации величины насыпной плотности. Определение влаги проводят методом, регламентированным в ГОСТ Р 52911, а ситовой анализ - по ГОСТ 2093.

Обработка результатов

Насыпную плотность, выраженную в кг/куб.м., в расчете на сухое состояние угля рассчитывают по формуле


Где  - масса чистой сухой мерной емкости, кг;

 - масса наполненной мерной емкости, кг;- объем чистой сухой мерной емкости, куб.м.;

 -общая влага угля, %.

. Организации, проводящие экспертизу угля в Санкт-Петербурге

.        Санкт-Петербургская автономная некоммерческая организация сертификации и экспертиз товаров (работ, услуг) "КронЭкс"

СПб, ул. Таврическая, д. 2, пом. 17Н, тел. (812) 655-50-10

.        Правовой центр "Омега" (Центр юридических услуг, независимых экспертиз и оценки)

Единый многоканальный телефон (812) 45 000 45

СПб, ул. Комсомола, д. 16, оф. 2, тел. (812) 922-62-40, 542-66-82

СПб, Московский пр., д. 189, оф. 1, тел. (812) 373-21-14, 920-54-70

Ленинградская обл., г. Кириши, пр. Победы, д. 40, корпус 4Б, оф. 612,

тел. (813-68) 96-171, +7 964 361-93-03, +7 921 750-81-51

Ленинградская обл., г. Кингисепп, ул. Октябрьская, д. 9,

тел. (813-75) 64-023, +7 911 251-57-69

.        "Бюро товарных экспертиз"

СПб, Наб. реки Фонтанки, д. 26, тел. (812) 579 98 97

.        Фонд "Центр независимой потребительской экспертизы"

СПб, Саперный пер., д. 21, тел.327-80-32

.        ООО "Северо-Западное экспертное общество"

СПб, Суворовский пр., д. 65, офис 2,6, тел. (812) 271-15-66, 271-18-44

.        Независимая медико-юридическая экспертиза

СПб, ул. Гаккелевская, д. 29, офис 122, тел. (812) 349-03-78, 716-59-10

.        ООО "Центр независимой профессиональной экспертизы "ПетроЭксперт" СПб, ул. Рубинштейна, д. 34, тел. (812)314-24-28, (812)331-81-80

. Потребительская экспертиза каменного угля

Совершенно не каждый сорт угля подходит для твердотопливных котлов долгого горения. Если в обычные печи можно засыпать топливо любой фракции, то в современные нужно тщательно подбирать уголь. При некачественном продукте подвижные колосники будут забиваться шлаком, а если прогадать с фракцией - уголь из камеры горения провалится в зольник.

Остановите свой выбор на каменном угле сорта "Шахтный орех". Он имеет фракцию 25-50 мм, поэтому оптимально подходит как для котлов долгого горения, так и для обычных печей. Единственный недостаток - на рынке можно встретить уголь, содержащий большой процент породы, которая не сгорает полностью, забивая при этом колосники.

Если в вашем регионе уголь представлен в изобилии, покупайте длиннопламенный, газовый или антрацит. Последний отдает очень много тепла, но не важно горит, поэтому использовать его для неавтоматических котлов нежелательно. В продаже можно встретить жирный уголь, добыт он в местах, где сопутствующим ископаемым служит нефть. Топливо хоть и хорошо горит, но сильно засоряет дымоходы, потому, что в составе содержится некоторая часть нефтепродуктов.

Откажитесь от покупки угля, если вы замечаете, что его состав неоднородный, а фракция не соответствует заявленной. Слишком много "семечки", которая в народе называется пылью, говорит о низком качестве топлива. Уголь будет не только плохо гореть, но и оставлять после себя огромное количество золы.

Качественный уголь имеет практически однородный цвет. Если вы замечаете, что некоторые камни выделяются серовато-беловатым оттенком - это порода, которая не будет гореть и отдавать тепло. Большое количество несгораемых примесей значительно увеличивает вес ведра угля - покупать такое топливо совершенно невыгодно.

Если у вас есть возможность съездить в несколько организаций, занимающихся реализацией каменного угля, воспользуйтесь ей. Так вы сможете оценить топливо по внешнему виду еще до доставки вам, а соответственно, если что-либо вас не устроит - отказаться от покупки будет еще не поздно.

. Упаковка, маркировка, транспортирование

При перевозке каменного угля влажностью больше 7%, бурого влажностью больше 30% необходимо применять некоторые профилактические меры:

обсмаливание;

смешивание влажного и сухого ископаемого;

промораживание;

пересыпка древесными опилками.

Обсмаливание производится с помощью тяжелых масел коксохимического производства при задействовании специализированных обсмаливающих установок. Если невозможно использовать обсмаливающие установки, влажные угли могут перевозиться посредством применения других профилактических мер. Путем прослойной пересыпки производится добавление сухого угля к влажному, при этом один слой сухого топлива насыпается на пол вагона, а два слоя насыпаются по высоте погрузки. Пересыпка опилками влажных углей осуществляется в три слоя: первый 30-40 см, второй и третий 20-30 см. В холодное время года перевозка шлама допускается только в промороженном виде.

Способы транспортировки угля довольно разнообразны: ж/д, авто, морской транспорт. Транспортировка автомобильным транспортом осуществляется в том случае, когда объем груза небольшой, а выхода к железнодорожным путям или к морю нет. Перевозка посредством автомобиля - сложный процесс, который состоит из ряда операций: погрузка, перемещение, выгрузка. Уголь - очень специфический груз, при его неправильной погрузке наблюдаются существенные потери угля при транспортировке, особенно при длительных расстояниях. Поэтому необходимо очень тщательно подходить к выбору транспортного средства, чтобы не потерять в качестве, ведь раздробленное сырье ценится значительно ниже. Для наибольшей эффективности транспортировки твердого топлива необходимо учитывать максимально подходящие для дороги транспортные средства, их грузоподъемность.

Транспортировка угля в России осуществляется еще и с помощью ж/д транспорта, что, без сомнения, очень выгодно, просто, экономно и надежно. Еще одним эффективным и эргономичным способом транспортировки твердого топлива является морской или речной. Такой вид грузоперевозок хоть и достаточно медленный, но очень надежный. Если для перевозок использовать специальные контейнеры, это может гарантировать практически 100% сохранность и надежность перевозки. Этот способ дает возможность полностью контролировать процесс грузоперевозки и эффективно поставлять угли покупателю.

Маркировка угля - установлена с целью рационального промышленного использования угля. Угли подразделяются на марки и технологические группы; в основу такого подразделения положены параметры, характеризующие поведение углей в процессе термического воздействия на них. Российская классификация отличается от западной (табл. 5):

Таблица 5. Маркировка угля

Марки угля

Буквенное обозначение марок

Выход летучих веществ Vг, %

содержание углерода Сг, %

теплота сгорания Qгб, ккал/кг

Отражательная способность в масляной иммерсии, %

Бурые

Б

41 и более

<76

6900-7500

0,30-0,49

Длиннопламенные <https://ru.wikipedia.org/w/index.php?title=%D0%94%D0%BB%D0%B8%D0%BD%D0%BD%D0%BE%D0%BF%D0%BB%D0%B0%D0%BC%D0%B5%D0%BD%D0%BD%D1%8B%D0%B5_%D1%83%D0%B3%D0%BB%D0%B8&action=edit&redlink=1>Д>39767500-80000,50-0,64






Газовые <https://ru.wikipedia.org/w/index.php?title=%D0%93%D0%B0%D0%B7%D0%BE%D0%B2%D1%8B%D0%B5_%D1%83%D0%B3%D0%BB%D0%B8&action=edit&redlink=1>Г36837900-86000,65-0,84






Жирные

Ж

30

86

8300-8700

0,85-1,14

Коксовые <https://ru.wikipedia.org/wiki/%D0%9A%D0%BE%D0%BA%D1%81%D1%83%D1%8E%D1%89%D0%B8%D0%B5%D1%81%D1%8F_%D1%83%D0%B3%D0%BB%D0%B8>К20888400-87001,15-1,74






Отощённо-спекающиеся

ОС

15

89

8450-8780

1,75-2,04

Тощие <https://ru.wikipedia.org/w/index.php?title=%D0%A2%D0%BE%D1%89%D0%B8%D0%B5_%D1%83%D0%B3%D0%BB%D0%B8&action=edit&redlink=1>Т12907300-87502,05-2,49






Антрациты <https://ru.wikipedia.org/wiki/%D0%90%D0%BD%D1%82%D1%80%D0%B0%D1%86%D0%B8%D1%82>Аменее 8>918100-87502,50-6,00







Угли подразделяются на технологические группы по спекающей способности; для указания технологической группы к буквенному обозначению марки прибавляется цифра, указывающая низшее значение толщины пластического слоя в данных углях, например Г6, Г17, КЖ14 и т.п.

По размеру получаемых при добыче кусков каменный уголь классифицируется на

·        П - (плита) более 100 мм

·        К - (крупный) 50-100 мм

·        О - (орех) 25-50 мм

·        М - (мелкий) 13-25 мм

·        С - (семечка) 6-13 мм

·        Ш - (штыб) 0-6 мм

·        Р - (рядовой) шахтный 0-200 мм, карьерный 0-300 мм

Марки угля Д и Г могут гореть без поддува, эта их особенность позволяет использовать уголь в котельных. А уголь СС, Т или ОС может использоваться для получения электроэнергии. Марки Г и Ж, как правило, применяют в чёрной металлургии.

Список литературы


1.      ГОСТ 25543-88. Угли бурые, каменные и антрациты. Классификация по генетическим и технологическим параметрам;

.        ГОСТ 930-61 Угли бурые, каменные, антрацит и горючие сланцы. Методы отбора проб из потока и разделки их для лабораторных испытаний;

.        ГОСТ 27379-87 Топливо твердое. Методы определения погрешности отбора и подготовки проб;

.        ГОСТ 10742-71 "Угли бурые, каменные, антрацит, горючие сланцы и угольные брикеты. Методы отбора и подготовки проб для лабораторных испытаний".

Похожие работы на - Свойства каменного угля. Методы отбора и подготовки проб для лабораторных испытаний

 

Не нашли материал для своей работы?
Поможем написать уникальную работу
Без плагиата!
Без нейросетей!